Енергетичні характеристики доменного виробництва
ЗМІСТ
ВСТУП
. ЕНЕРГЕТИЧНI ХАРАКТЕРИСТИКИ ДОМЕННОГО
ВИРОБНИЦТВА
. ОПИС КОНСТРУКЦІЇ ДОМЕННОГО ПОВІТРОНАГРІВАЧА
. ТЕПЛОВИЙ РОЗРАХУНОК ДОМЕННОГО ПОВІТРОНАГРІВАЧА
.1 Розрахунок суміші палива
.2 Розрахунок швидкості дуття та продуктивності
компресорної станції
.3 Розрахунок поверхні нагріву та розмірів
насадки
.4 Тепловий баланс та розрахунок витрати палива
і повітря горіння
. РОЗРАХУНОК ТЕМПЕРАТУРНИХ ПОЛІВ ПО ВИСОТI
НАСАДКИ
.1 Розрахунок водних еквівалентів
.2 Розрахунок коефіцієнтів тепловіддачі
.3 Вибір матеріалів для насадки та розрахунок їх
теплофізичних характеристик
.4 Визначення висоти зон вогнетривів в насадці
. РОЗРАХУНОК АЕРОДИНАМІЧНОГО ОПОРУ ГАЗОВОГО
ТРАКТУ СИСТЕМИ ПОВІТРОПОСТОЧАННЯ
ВИСНОВОК
ВСТУП
Повітронагрівач -
теплообмінний апарат для нагріву, що проходить через нього. Повітронагрівачі
широко використовуються в котельних установках теплових електростанціях і
промислових підприємствах, в пічних агрегатах промисловості (наприклад -
металургійної, нафтопереробної), в системах повітряного опалення, приточної
вентиляції і кондиціювання повітря.
В якості теплоносія
використовують гарячі газоподібні продукти згоряння (в котельних и пічних
установках), водяний пар, гарячу воду або електроенергію (в системах опалення
та вентиляції).
За принципом дії
повітронагрівачі поділяють на рекуперативні та регенеративні. В рекуперативних
повітронагрівачах теплообмін між теплоносієм і повітрям, що гріється
відбувається безперервно через стінки поверхонь нагріву, що їх розділяють, в
регенеративних - теплообмін відбувається поперемінно нагрівом та охолодженням
насадок (металевих або керамічних) нерухомих або тих, що обертаються поверхонь
нагріву. На теплових електростанціях використовуються першочергово трубчаті
(стальні та чавунні) рекуперативні повітронагрівачі, рідше - регенеративні, що
обертаються. В металургійній промисловості широко розповсюджені регенеративні
повітронагрівачі періодичної дії з керамічною насадкою. Сучасні металеві
повітронагрівачі дозволяють нагріти повітря до 450-600°С, повітронагрівачі з
керамічною насадкою - до 900-1200°С.
1. ЕНЕРГЕТИЧНІ
ХАРАКТЕРИСТИКИ ДОМЕННОГО ВИРОБНИЦТВА
Спрощена схема
доменного виробництва показана на рис. 1. У доменних печах виробляється чавун
шляхом відновлення оксидів заліза, які містяться в руді. Відновлювачами служать
вуглець коксу, оксид вуглецю СО, що утворюється в печі, а також водень Н2,
виділяється при розкладі молекул вуглеводнів, що містяться в природному газі,
який вдувається в печі. Кокс є одночасно компонентом шихти, забезпечивши
газопроникність високого її шару. В шахті печі шматки металургійного коксу
повинні мати певні раз-заходи - близько 25 мм. Продуктивність доменних печей
(ДП) залежить в основному від їх корисного об'єму. В даний час на заводах нові
ДП корисним об'ємом 5000-5500 м3, у яких висота робочого простору
досягає 38,4, діаметр горна 15,1 м, а діаметр колошника 11,400 м.
Рис 1. Спрощена
схема доменного виробництва: 1 - завантажувальний пристрій; 2-шихти; 3 -
фурмена зона; 4 - холодильник; 5 - повітронагрівачі; 6 - турбокомпресор; 7 -
приводний двигун; 8 - ГУБТ; 9 - електрогенератора; 10 - змішують генератор; 11
- Газоочистка.
З метою
інтенсифікації доменного процесу і зниження питомої витрати дорогого, і
дефіцитного коксу повітря, яке вдувається в піч, підігрівають в спеціальних
доменних повітронагрівача (ДВ) регенеративної типу з керамічної насадкою (мал.
1), які обігріваються доменним газом, зазвичай кілька збагачений природним або
коксовим "(для напівзабезпечення потрібної температури горіння). На піч встановлюють
зазвичай чотири ДВ, які працюють по черзі то в режимі розігріву, то в режимі
дуття. Повітронагрівачі великих доменних печей мають діаметр до 8-13 і висоту
до 64 м. На сучасних печах дуття підігрівається до 1200 °С, освоюється підігрів
до 1400° С. З цими ж цілями, а також для підвищення ефективності збагачення
дуття киснем у печі вдувають в значних кількостях природний газ, досліджується
ефективність вдування вугільного пилу. Повітря, що вдувають збагачують киснем,
до 25-35% 02 за обсягом.
В результаті
процесів, що проходять в печі, утворюється горючий доменний газ, який
виділяється з верху шахти (колошника). Склад доменного газу сильно залежить від
ступеня збагачення дуття киснем, кількості природного газу, що вдувається,
температури дуття і ряду інших факторів і коливається, як правило, при
виробництві передільного чавуну (що йде на виробництво сталі на відміну від
ливарного чавуну, призначеного для чавунного лиття) у наступних межах СО
26-30%; С02 10-20%; N2 40-60%; СН4 и Н2
1-13%; Н20 до 80 г/м3. Відповідно його теплота згоряння
дорівнює 3500-5000 кДж/м3.
Як видно з
наведених даних, дійсні характеристики як доменного, так і коксового газів
коливаються в значних межах, тому при конкретних розрахунках необхідно
уточнювати їх склад і характеристики стосовно до режиму роботи печей (ступінь
збагачення киснем, кількість природного газу, що вдувається, температуру
дуття).
Вихід доменного
газу з печі об'ємом 5500 м при збагаченому до 35% О2 дутті становить
близько 700 000 м3/ч, що еквівалентно по теплу приблизно 100 т/год.,
або 0,85 млн. т/рік (умовного палива).
Температура
неочищеного доменного газу на виході з колошника печі (верх шахти) коливається
в залежності від різноманітних факторів: від 120 до 300 °С, а запиленість -
від 1 до 10 г/м3. Великі частинки осаджуються в інерційних обкладачах. Далі газ
охолоджується і очищується в скруберів, а потім в апаратах тонкої очистки до
вмісту пилу 4 - 5 мг/м3, що відповідає заводським нормам. Для порівняння
зазначимо, що на електростанціях запиленість димових газів, що скидаються в
атмосферу, допускається до 100 мг/м3 (при високих димових трубах).
2. ОПИС КОНСТРУКЦІЇ
ДОМЕННОГО ПОВІТРОНАГРІВАЧА
доменний
повітронагрівач тепловий паливо
Особливістю роботи
апаратів регенеративного типу є періодичність нагріву і охолоджування нерухомої
масивної насадки, яка є основним конструктивним елементом повітронагрівача.
Схема повітронагрівача представлена на рисунку 2.
Рисунок 2. −
Загальний вигляд повітронагрівача з внутрішньою камерою: горіння: 1 −
купол; 2 − днище; 2 − фундамент; 4 − стіна: 5 − камера
горіння; 6 − камера насадки; 7 − роздільна вертикальна стіна; 8 −
підкупольний простір; 9 − піднасадочний простір; 10 − трубопровід
холодного дуття; 11 − патрубок холодного дуття; 12 − шибер
холодного дуття; 13 − димової борів; 14 − димової патрубок;
15 − димовий клапан; 16 − вентилятор пальника; 17 − штуцер
гарячого дуття; 18 − шибер гарячого дуття; 19 − повітропроводи
гарячого дуття; 20 − газовий пальник; 21 − шибер пальника.
У режимі нагріву
доменний газ або суміш доменного і природного газу спалюється в камері горіння.
При закритих клапанах холодного і гарячого дуття і відкритих димових клапанах
продукти згорання палива рухаються вгору, проходять в підкупольний простір, де
змінюють напрям руху і, проходячи далі через подовжні канали насадки зверху
вниз, нагрівають її. У період дуття при закритих димових клапанах і відкритих
клапанах холодного і гарячого дуття через канали насадки знизу - вгору проходе
і нагрівається доменне дуття з тиском 300-500 кПа. Із-за циклічності роботи на
одну доменну піч споруджують блок з 4-х апаратів, що забезпечує безперервне
постачання доменної печі гарячим дуттям.
Основним
конструктивним елементом регенеративного повітронагрівача є насадка, що
визначає процеси передачі тепла від продуктів згорання до дуттєвого повітря.
Насадка викладається з вогнетривких виробів, містить велике число вертикальних
каналів, по яких в період нагріву рухаються продукти горіння, а в дуттєвий
період - повітря, що нагрівається.
Корпус повітронагрівача
виконується зварним з низьколегованої сталі марки 10Г2С1 або 09Г2С товщиною
20-30 мм. Насадки вмонтовуються на піднасадковому пристрої, що складається з
колон і грат. Матеріал - вогнетривкий чавун марки ЖЧХ-08 або ЖЧХ-30.
Кількість переданої
повітрю теплоти, його температура залежать від різних чинників, що впливають на
роботу апарату. До них відносяться:
ü величина
поверхні нагріву апарату;
ü тип
і форма вживаної насадки;
ü властивості
вогнетривких матеріалів;
ü температура
газів і дуттєвого повітря на вході в насадку, тривалість періодів нагріву і
охолоджування;
. ТЕПЛОВИЙ
РОЗРАХУНОК ДОМЕННОГО ПОВІТРОНАГРІВАЧА
Тепловий розрахунок
повітронагрівача виконується з метою знаходження конструктивних розмірів
апаратів при заданій витраті і температурі дуття або для аналізу роботи дійових
повітронагрівачів. Особливістю теплообміну в насадці регенератора є його
складність, викликана різноманітністю параметрів, які змінюються у просторі та
часі і їх щільний взаємозв’язок.
3.1 Розрахунок
суміші палива
Розрахунок
кількості продуктів горіння робиться при умові повного вигорання елементів
палива без урахування хімічної та механічної повноти вигорання. Паливом в
даному випадку є суміш доменного та природного газів.
Склад доменного
газу :4 = 0,12 = 54,452 = 11,45= 32,972
= 2,03сн =4,44 МДж/м3= 95%
Коефіцієнт надлишку
повітря α
= 1,07
Теоретично
необхідна кількість повітря для спалювання 1нм3 доменного газу:
Теоретичний об’єм
азоту в продуктах спалювання (ПС)
Об’єм триатомних
газів в ПС
Теоретичний об’єм
водяної пари в ПС
Дійсний об’єм
водяної пари в ПС
Дійсний об’єм азоту
у ПС
Сумарний об’єм
димових газів при спалюванні доменного газу
Об’ємна доля
триатомних газів в ПС
Об’ємна доля
водяної пари в ПС
Об’ємна доля азоту
в ПС
Склад природного
газу (Шебелинка):4 = 87,52H6 = 3,83H8
= 1,94H10 = 0,95H12 = 0,32
= 0,82 = 4,8сн =36,98 МДж/м3
Коефіцієнт надлишку
повітря α
= 1,07
Теоретичний об’єм
азоту в продуктах спалювання (ПС)
Об’єм триатомних
газів в ПС
Теоретичний об’єм
водяної пари в ПС
Дійсний об’єм
водяної пари в ПС
Дійсний об’єм азоту
у ПС
Сумарний об’єм
димових газів при спалюванні доменного газу
Об’ємна доля
триатомних газів в ПС
Об’ємна доля
водяної пари в ПС
Об’ємна доля азоту
в ПС
) Нехай
Нехай tk =1345
оС:
) Нехай
тоді
Нехай tk =1544
оС:
3) Нехай
тоді
Знайдемо
температуру купола через температуру на вході в насадку
Рисунок 3.1 -
Графік залежності температури згоряння паливної суміші від об’ємної долі
домішки висококолорійного газу
При
3.2 Розрахунок
швидкості дуття у насадці та продуктивності компресорної станції
нк
= 29,2 м2 - переріз насадкової камери0 = 0,335 м2
- відносний живий переріз насадки
де
;
.3 Розрахунок
поверхні нагріву і розмірів насадки
Поправочний
коефіцієнт:
По монограмі
знаходимо додаткові коефіцієнти, [3,с.12]:1 = 31,1; f2 =
18; f3 = 6; f4 = 4,1; f5 = 0;
Розмір питомої
поверхні нагріву
Поверхня нагріву
насадки повітронагрівача
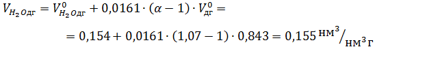
.4 Тепловий баланс
і розрахунок витрат палива й повітря горіння
Ентальпія продуктів
горіння
Ентальпія гарячого
дуття
Ентальпія холодного
дуття
Теплова потужність
повітронагрівача
Втрати тепла через
корпус
Витрата палива
Для послідовного
режиму : τ1
=2,9 год.; τ2
=1 год.
Витрата повітря
горіння
. РОЗРАХУНОК
ТЕМПЕРАТУРНИХ ПОЛІВ ПО ВИСОТІ НАСАДКИ
Теплові процеси,
які відбуваються в насадці регенеративних високотемпературних
повітронагрівачів, в загальному випадку описуються складними системами
нелінійних диференціальних рівнянь, рішення яких без спрощень не можливе.
У дослідженнях
теплоенергетичних установок широке використання знаходять методи математичного
моделювання з використанням обчислюваної техніки.
Найбільш складні
математичні моделі розглядаються при досліджуванні нестаціонарних теплових
процесів з урахуванням розподілу параметрів.
Початкові данні для
розрахунку температурних полів в насадці доменного повітронагрівача є
конструктивні та режимні характеристики апарата, які з’ясовують режимами
нагріву та охолодження.
.1 Розрахунок
водних еквівалентів
Водний еквівалент
продуктів горіння
Витрата кількості
продуктів горіння Vпг, що пройшли через насадку, знаходимо за
формулою:
де τц
=4 г - тривалість циклу ;
Водний еквівалент
дуття:
Середньобалансовий
водний еквівалент дуття, що пройшов через насадку W2, з урахуванням
роботи змішувача:
Значення
коефіцієнта φ
можна прийняти від 0,965 до 0,975 з послідуючим уточненням.
Швидкість продуктів
горіння у каналах насадки за нормальних умов
Середня температура
продуктів горіння в насадці
Середня температура
дуттєвого повітря в насадці
Наведемо швидкості
до робочих умов
При
для
газів
При
для
газів
.2 Розрахунок
коефіцієнтів тепловіддачі
Знаходимо критерій
Рейнольдса
де dе
=0,041 м - гідравлічний діаметр чарунок для насадки БНИ- 12-2 [2, с.5]; υ1,2
- кінематична в’язкість продуктів горіння та повітря власно при середніх
температурах [3, с.14].
Розрахунок
коефіцієнтів тепловіддачі конвекцією у газовий період αк1
та період дуття αк2
робиться в залежності від швидкості продуктів горіння дуття в насадці, по
відповідним для використаної насадки критеріальним рівнянням.
Коефіцієнт
тепловіддачі конвекцією в газовий період
Коефіцієнт
тепловіддачі конвекцією в період дуття
Де λ2
та λ1 -
коефіцієнти теплопровідності продуктів горіння та повітря при середніх
температурах [3,с.14].
Розрахунок
коефіцієнтів тепловіддачі випромінюванням αл
в газовому періоді при середній температурі
газового потоку Т та стінки tст з рахуванням випромінювання газів Н2О
і СО2
αл=
,
де коефіцієнти Ег
і Аст знаходяться з монограми.
Сумарний коефіцієнт
тепловіддачі у газовий період та період дуття:
.3 Вибір матеріалів для
насадки та розрахунок їх теплофізичних характеристик
Теплофізичні властивості
різноманітних вогнестійких матеріалів, які використовуються для насадки,
знаходимо з урахуванням завчасно прийнятого лінійного розподілення температури
по висоті насадки в діапазоні від Т′ до t′
для періодів нагріву та охолодження.
Згідно з температурних меж
використання вогнестійких матеріалів для цієї насадки, беремо такі матеріали
[3,c.9]: Динас, Шамот 37, Шамот 28.
Рисунок 4.1 - Розподіл
температур по висоті насадки
Таким чином беремо наступні
висоти вогнетривів
Відносна висота зони
вогнетриву
Коефіцієнт теплопровідності
Середня теплоємність
Густина
Значення коефіцієнтів λн та
Сн знаходять при середній температурі вогнетривів
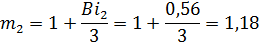
Знаходимо критерій Ві для
газового та дуттєвого періодів
Коефіцієнти масивності
насадки в газовий період та період дуття
Середній час процесу
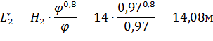
Наведена довжина насадки в
газовий період та період дуття
Середня наведена висота
насадки
Наведена тривалість газового
та дуттєвого періодів
Коефіцієнт використання
поверхні нагріву знаходиться по монограмі [2,с.16] в залежності від симетричних
параметрів τ0 і Н0,
ξ
=0,98.
Таблиця 4.1 Вихідні параметри
для програми розрахунку температурних полів
|
№
|
Найменування величин
|
Позначення
|
Значення
|
|
1
|
Водний еквівалент продуктів згоряння
|
W1
|
95307
|
|
2
|
Водяний еквівалент дуття
|
W2
|
258666
|
|
3
|
Тривалість газового періоду
|
τ1
|
2,9
|
|
4
|
Тривалість періоду дуття
|
τ2
|
1
|
|
5
|
Температура продуктів горіння на вході в
насадку
|
1425
|
|
6
|
Наведена довжина насадки в газовий період
|
L1
|
28,7
|
|
7
|
Коефіцієнт використання поверхні нагрівання
|
Ξ
|
0,98
|
|
8
|
Наведена тривалість періоду дуття
|
|
0,85
|
|
9
|
Наведена тривалість газового періоду
|
|
1,87
|
|
10
|
Тип насадки
|
-
|
БНИ-12-2
|
|
11
|
Наведена довжина насадки в період дуття
|
L
|
14,08
|
|
12
|
Температура дуттьового повітря на виході в
насадку
|
t′
|
150
|
.4 Визначення
висоти зон вогнетривів в насадці
За результатами
розрахунку на ЕВМ будуємо графік розподілу температури по висоті насадки в
кінці газового періоду τ
= τ1 і
періоду дуття τ
= τ2,
а потім в залежності від рівня температур графічно визначаємо зони вогнетривів
в насадки.
Исходные данные
Водный эквивалент
продуктов горения W1=95307.0
Водный эквивалент
воздуха дутья W2=258666.0
Длительность газового
периода TU1=2.90
Длительность
дутьевого периода TU2=1.00
Температуру
продуктов горения на входе в насадку T1=1425
Температуру
дутьевого воздуха на входе в насадку TM1=150
Приведенная длина
насадки в газовый период L1=28.70
Приведенная длина
насадки в дутьевой период L2Z=14.08
Коэффициент
использования поверхности нагрева CSI=0.980
Приведенная
длительность газового периода TU1C=1.870
Приведенная
длительность дутьевого периода TU2Z=0.850
Признак насадки
PR=12
За результатами
розрахунку на ЕВМ, побудувавши графік залежності рівня температур від зони
насадки, були визначені істинні довжини вогнетривів.
. РОЗРАХУНОК
АЕРОДІНАМІЧНОГО ОПОРУ ГАЗОВОГО ТРАКТУ СИСТЕМИ ПОВІТРОПОСТОЧАННЯ
При аеродинамічному
розрахунку визначають аеродинамічний опір тракту і визначають потужність
приводу димососа і дуттьового вентилятора. При виборі відповідного дуттьового
вентилятора і димососа враховують і витрати повітря та продуктів згоряння,
величини яких отримують їх теплового розрахунку.
Визначаємо
швидкість продуктів згоряння на вході в насадку
Швидкість продуктів
згоряння на виході з насадки
Визначаємо критерії
Рейнольдса на вході в насадку
Визначаємо критерії
Рейнольдса на виході з насадки
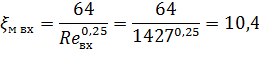
Розрахунок формули
для визначення коефіцієнту опору тертя, в залежності від критерію Рейнольдса,
Коефіцієнт
місцевого опору на вході в насадку
Коефіцієнт
місцевого опору на виході з насадку
Опір тертя
де ρвх
= 0,217 кг/м3 - щільність газів на вході в насадку
Місцевий опір

Загальні опір
газового тракту дорівнює сумі опору тертя та місцевих опорів
Опір газового
тракту
Потужність приводу
електродвигуна
ВИСНОВОК
В роботі
представлений опис конструкції доменного повітронагрівача. Було виконано два
основних розрахунки: тепловий розрахунок доменного повітронагрівача і
розрахунок температурних полів в насадці повітронагрівача за допомогою ЕОМ.
Також був проведений розрахунок суміші палива, в результаті якого доля доменного
газу склала r=0,86, природного - r=0,14. В результаті теплового розрахунку були
визначені конструктивні розміри апарата при заданому витраті і температурі
дуття. Поверхня нагріву склала
висота насадки
Так
само розрахована витрата палива
, і повітря горіння
.
Насадка
повітронагрівача викладена по висоті з різних вогнетривких матеріалів в
залежності від рівня температур. Розрахунок температурних полів насадки
повітронагрівача дозволить вибрати висоти зон вогнетривів та їх матеріал.
Істинні висоти вогнетривів дорівнюють LДВ= м; LШВ-37= м; LШВ-28= м.
В даній роботі був
також виконаний аеродинамічний розрахунок газового тракту. В результаті цього
розрахунку було знайдено загальний опір тракту рівний сумі опору тертя,
місцевих опорів і опору зміни геометричного натиску і склав ∆Р = 1950,84
Па, а також знайдено потужність приводу електродвигуна N = 45 кВт.
У результаті роботи
групи був виявлений зв’язок між витратами дуття та поверхнею нагріву насадки
повітронагрівача, витратами палива та відповідно затратами на паливо. Даний
зв’язок представлений на графіках, з яких видно, що при збільшенні кількості
дуття всі три показники, зазначені вище, також зростають.
Таблиця 1 Зв’язок
між різними показниками, за результатами роботи групи.
|
|
|
|
|
|
|
Кількість дуття Vд
[м3/хв.]
|
2700
|
2800
|
2900
|
3000
|
|
Поверхня нагріву насадки H0
[м2]
|
33475
|
34746
|
35403
|
37296
|
|
Витрати палива B
[м3/год.]
|
12091
|
12539
|
13071
|
13437
|
|
Затрати на паливо З [тис.
грн.]
|
5,8
|
6
|
6,3
|
6,5
|