Биоинновационные технологии для сохранения свежести хлеба
Аннотация
В диссертации исследована возможность замедления
процесса черствения хлеба из пшеничной муки путем применения комплексного
хлебопекарного улучшителя.
На основании литературных и экспериментальных данных
разработан состав комплексного улучшителя, который включает в себя смесь
камедей, пшеничный глютен и ферментный препарат Veron М4 с активностью грибной α-амилазы. Оптимальный количественный
состав улучшителя определен с реализацией симплекс-центроидных планов Шеффе.
Исследована эффективность применения улучшителя
разработанного состава путем проведения пробных лабораторных выпечек с
последующим анализом качественных показателей полученных образцов и изменения
их свойств при хранении.
Содержание
Введение
. Аналитический обзор
литературы
.1 Механизм черствения
хлебобулочных изделий
.2 Использование
гидроколлоидов для сохранения свежести хлеба
.3 Использование
амилолитических ферментных препаратов для замедления черствения хлеба
.4 Роль сухой пшеничной
клейковины в сохранении свежести изделий
. Экспериментальная часть
.5 Исследование свойств
сырья и полуфабрикатов
.6 Проведение пробной
лабораторной выпечки хлеба из пшеничной муки
.7 Анализ качества
изделий
.8 Определение свежести
хлеба
.9 Моделирование состава
трехкомпонентной смеси и выбор оптимального соотношения компонентов
.10 Выбор методов
определения свежести хлеба
Результаты и их
обсуждение
Выводы
Список использованных
источников
Введение
Основной целью технологического процесса производства
хлеба является получение высококачественной продукции. Однако в настоящее время
ее достижение затрудняется возникновением ряда проблем, связанных с
нестабильностью свойств сырья и общей тенденцией к снижению его качества [1].
Качество хлебопекарной и мукомольной продукции определяется качеством основного
сырья - муки. Хлебопекарные предприятия перерабатывают значительные объемы (до
60 %) муки с пониженными хлебопекарными свойствами: низким содержанием
клейковины, неудовлетворительным ее качеством - слабой или короткорвущейся
клейковиной [2].
Для выработки хлебобулочных изделий с показателями,
отвечающими нормам национальных стандартов, мукомолам и хлебопекам необходимо
соответствующее сырье [3]. Но в современных условиях ощущается дефицит
высококачественного зерна. Такой хлеб, хранившийся в течение суток, уже не
удовлетворяет запросам покупателей относительно внешнего вида, вкуса и аромата,
поэтому проблема замедления процесса черствения заслуживает пристального
внимания.
Для замедления черствения хлеба применяют различные
методы и приемы, сдерживающие изменения в крахмале и белковых веществах, а
также ограничивающие миграцию влаги и ее перераспределение между ними.
Приоритет биоинновационных технологий на современном этапе обусловил применение
ферментных препаратов как обязательного элемента и незаменимого
технологического средства для хлебопекарной промышленности. Использование таких
препаратов позволяет значительно ускорять технологические процессы,
корректировать исходные свойства сырья, увеличивать выход готовой продукции,
повышать ее качество, экономить сырьевые и материальные ресурсы [4].
Целью данной работы является разработка комплексного
улучшителя для корректировки свойств пшеничной муки и получения хлебобулочных
изделий с удлиненными сроками хранения.
1. Аналитический обзор литературы
1.1 Механизм черствения хлебобулочных изделий
Свежесть хлеба является одним из основных показателей
его качества. При хранении хлеба наблюдается снижение его качества, связанное с
процессом черствения и усыхания [5]. Экономические потери вследствие этих
процессов очень существенны, поэтому данной проблеме уделяется большое внимание
[6].
Черствение изучается уже в течение полутора сотен лет,
этой проблеме посвящено множество исследований. Но, несмотря на это, ни
структура и свойства хлеба самого по себе, ни механизмы протекающих в нем
процессов окончательно не выяснены и являются предметом многочисленных споров
[7]. Изменения свойств мякиша обусловлены, с одной стороны, изменениями
структурных компонентов хлеба при хранении, с другой - перераспределением влаги
между ними и частичной ее потерей (усыханием) [8-9].
Усыхание, т.е. потеря массы хлеба, начинается сразу
после его выхода из печи. Протекание его обусловливается тепло- и
массообменными процессами внутри хлеба и на его поверхности. Усыхание хлеба
происходит в результате испарения водяных паров и летучих веществ [10].
Наряду с этим происходит и перераспределение влаги в
хлебе [11-13]. Корка в момент выхода хлеба из печи практически почти безводна,
но она быстро остывает, и влага из мякиша в результате разности концентрации и
температуры во внутренних и внешних слоях хлеба устремляется в корку, повышая
ее влажность [14]. Корка, при этом, из хрупкой и твердой превращается в мягкую,
эластичную, морщинистую, более влажную корку. Увеличение влажности корки
сопровождается ухудшением ее вкуса. При очень длительном хранении корка вновь
становится твердой. За счет высыхания слоев мякиша сжимаемость целого изделия
снижается. Мякиш из мягкого, легко сжимаемого, слегка влажного на ощупь, не
крошащегося, становится более сухим, крошащимся, твердым, менее сжимаемым.
Изделие теряет свой приятный аромат и вкус, и по мере увеличения
продолжительности хранения приобретает вкус черствого изделия.
На усыхание хлеба оказывают влияние многие факторы, в
том числе: температура, относительная влажность и скорость движения воздуха в
остывочном отделении, форма изделия и способ его выпечки (в формах или на
поду), условия выпечки (увлажнение поверхности изделия в конце выпечки),
качество изделия, способ его хранения (в лотках, ящиках и др.) [15].
Большинством исследователей главная роль в черствении
хлеба отводится ретроградации крахмала как основного компонента хлеба,
составляющего до 70 % сухих веществ готовых изделий [16-17]. При выпечке
крахмальные зерна набухают и частично клейстеризуются с поглощением воды,
выделяемой коагулирующими белками. При этом крахмал переходит из
кристаллического состояния в аморфное [18-19]. Во время хранения происходит
обратный переход его в кристаллическое состояние, который называется
ретроградацией.
Первым исследователем, связавшим черствение хлеба с
ретроградацией крахмала, был Л. Линде, в дальнейшем эта идея была развита и
экспериментально подтверждена рядом исследователей (И. Катц, Р. Керр, С. Ким,
Б. Д’Апполониа и др.) [20].
На скорость ретроградации крахмала хлеба влияет
степень изменения водородных связей гидроксильных групп амилозной и
амилопектиновой фракций крахмала, способность его к гидратации, а также
температура хранения хлеба.
На изменение водородных связей гидроксильных групп в
амилозной и амилопектиновой фракциях крахмала при его ретроградации в процессе
черствения указывает Р.В. Керр [21]. Установлено, что две макромолекулы
крахмала, имеющие по три полярные группы -ОН, образуют между собой водородные
связи, в результате чего возникают ассоциаты. Продолжительность существования
ассоциатов зависит от внешних условий [5].
Представления о ретроградации крахмала мякиша как
основной причине процесса черствения были развиты и экспериментально
подтверждены исследованиями И. Катца с применением рентгеноспектрографического
метода [13, 15]. Крахмал зерна, муки и теста перед выпечкой дает рентгеноспектр
А, типичный для кристаллического строения зерна крахмала. Мякиш выпеченного
изделия дает рентгеноспектр, названный Катцем V-спектром клейстеризованного
крахмала, сочетающий элементы аморфного состояния с элементами кристаллического
состояния. Мякиш черствого изделия дает новый рентгеноспектр В, который
сочетает в себе элементы рентгеноспектров А и V, причем, чем черствее хлеб, тем
более спектр его крахмала приближается по характеру к спектру крахмала в
кристаллическом состоянии [14, 19].
Многие исследователи считают, что основную роль в
ретроградации крахмала мякиша хлеба играет его амилопектиновая фракция [14,
22]. Т. Шоч и Д. Френч предложили модель, описывающую обратимое при нагревании
агрегирование амилопектина в качестве основной причины черствения хлеба [23].
Они предположили, что в процессе набухания зерен крахмала часть амилозы
становится растворимой, переходит в водную среду и образует концентрированный раствор.
При охлаждении молекулы амилозы при помощи водородных связей образуют ассоциаты
и быстро ретроградируют, образуя прочный гель и влияя на структуру изделия.
Считается, что этот гель остается неизменным в ходе дальнейшего хранения и не
участвует в процессе черствения [24-25]. Увеличение твердости мякиша
объясняется изменениями в ориентации молекул амилопектина внутри набухших
крахмальных зерен. В свежем хлебе разветвленные цепи амилопектина «раскрыты» и
распределены в объеме. Постепенно полимерные цепи агрегируются, перестраиваясь
в пространстве за счет внутримолекулярных связей различных типов. Это приводит
к повышению жесткости внутренней структуры крахмальных зерен, результатом чего
является общее увеличение твердости мякиша [26-27].
Тем не менее, полностью исключать роль амилозы в
процессе черствения хлеба нельзя. В ряде работ упоминается, что при хранении
хлеба свойства амилозы изменяются. Заслуживает внимания теория С. Эрландера,
которая исходит из постулата, что в процессе старения мякиша хлеба происходит
агрегация амилозы и амилопектина [7, 28].
В подавляющем большинстве работ по исследованию
черствения хлеба изменения реологических свойств мякиша хлеба связывают с
изменениями в состоянии крахмала [14]. Белковым веществам мякиша отводится
только роль вещества, воспринимающего влагу, выделяемую крахмалом при его
ретроградации. Неоднократно отмечалась практическая невозможность уловить
какие-либо изменения в белковой части мякиша хлеба при его черствении.
Установлено лишь, что чем больше белковых веществ в хлебе, тем медленнее
происходит его черствение. Но если вспомнить, что именно белковые
коагулированные вещества составляют пространственно непрерывную фазу
структурного остова мякиша хлеба, а зерна крахмала лишь вкраплены в этот остов,
то трудно допустить, что изменение реологических свойств мякиша хлеба не
связано с изменением состояния и хотя бы реологических свойств его белковых
веществ [8, 13, 15, 29].
Е. Вилхофтом было высказано предположение, что при
хранении продолжаются процессы изменения гидратированных белков клейковины, что
приводит к снижению гидратационной способности и отдаче свободной воды. Эти
изменения связывают с увеличением степени денатурации белка или изменением их
конфигурации [5].
Л. Я. Ауэрман и Р. Г. Рахманкулова, изучавшие черствение
пшеничного хлеба, обратили внимание на изменения в белковой части мякиша хлеба,
обратные тем, которые происходят в процессе денатурации белков при выпечке
хлеба. Это изменения, приводящие к уплотнению структуры белка, снижению
гидратационной способности и способности связывать метиленовую синюю краску. Но
эти изменения, по данным тех же авторов, протекают значительно медленнее
ретроградации крахмала, да и белка в хлебе в 5…7 раз меньше, чем крахмала.
Поэтому Л. Я. Ауэрман и Р. Г. Рахманкулова присоединились к мнению большинства
исследователей о том, что основную роль в черствении хлеба играет все же
изменения крахмала [14, 30].
Также существуют и другие объяснения процесса
черствения хлеба. М.И. Княгиничев рассматривает процесс черствения хлеба как изменение
форм воды (связанной и свободной) при выпечке и хранении хлеба. Это
обусловливается образованием микро- и макрополостей при выпечке хлеба. Он
считает, что при выпечке хлеба усиливается диффузия воды в межмолекулярные
пространства крахмала и белка; отдельные звенья молекул (глюкозные и
аминокислотные остатки) приходят в движение, молекулы становятся гибкими, при
этом образуются микро- и макрополости. Под действием повышенной температуры в
хлебопекарной печи происходит коагуляция белков, образующих каркас,
закрепляющий пористую структуру хлеба.
Стенки пор, состоящие из крахмала и белков,
представляют собой набухшую систему, в которой одна часть молекул воды
термодинамически связана, другая распределена в межмолекулярном пространстве
денатурированного белка и набухшего, частично клейстеризованного крахмала. Эта
система рассматривается как набухший, бесструктурный эластичный студень. В
процессе остывания и последующего хранения хлеба благодаря гибкости звеньев
крахмала происходит сближение цепей и под действием межмолекулярных
Ван-дер-ваальсовых сил образуется механически прочная сетка. Образование сетки
повышает механическую прочность структуры, что связано с черствением хлеба.
Высказывается вероятность, что вода, в образовавшихся
микронеплотностях, является не свободной, а упорядоченной благодаря высокой
полярности ее молекул и электростатическим силам поверхности микронеплотностей,
стенки которых образованы молекулами крахмала и белка. В результате образуется
единая структурная система молекул воды, крахмала и белка. При освежении хлеба
нагреванием структура воды в микронеплотностях мякиша разрушается, и цепи
высокополимеров могут перейти в состояние, свойственное свежевыпеченному хлебу
[5].
Таким образом, приведенные выше данные показывают, что
существенную роль в черствении хлеба играет ретроградация крахмала и изменение
белковых веществ. Также многочисленными исследованиями было установлено, что на
черствение изделий существенное влияние оказывают свойства сырья, используемого
для их приготовления, рецептура, способ приготовления, условия хранения после
выпечки, а также применение отдельных добавок [15, 31].
На основе анализа данных о механизме черствения хлеба
можно считать, что для замедления этого процесса при хранении хлеба необходимо
применять методы и приемы, сдерживающие изменения в крахмале и белковых
веществах и уменьшающие потерю воды.
Применение улучшителей является одним из эффективных
способов повышения качества хлеба и удлинения срока сохранения его свежести. Их
добавлением можно регулировать технологический процесс производства хлеба при
переработке муки различного качества. Улучшители особенно эффективны в
ускоренных способах производства хлеба. Интенсифицировать процессы
тестоприготовления и продлить свежесть хлеба можно, используя различные
ферментные препараты [32-35]. Поверхностно-активные вещества способствуют
улучшению физико-механических свойств мякиша хлеба, образуя комплексы с
амилозой и препятствуя ее ретроградации [36-40]. Существенного увеличения
сроков сохранения свежести хлеба можно добиться использованием препаратов на
основе гидроколлоидов [15].
Наряду с отдельными улучшителями, при изготовлении
теста используют и комплексные, в состав которых входят два или несколько
компонентов. Применение комплексных улучшителей всегда эффективнее, так как
предусматривает воздействие на оба основных компонента муки - клейковину и
крахмал, позволяет снизить дозировку каждого компонента и в определенных
сочетаниях за счет синергизма получить значительно больший эффект [5].
1.2 Использование гидроколлоидов для сохранения свежести хлеба
При черствении изменения свойств мякиша обусловлены в
первую очередь перераспределением влаги между структурными компонентами хлеба и
частичной ее потерей. Для связывания свободной влаги в тесте и обеспечения его
общей стабильности используются различные гидроколлоиды [15].
Гидроколлоиды - обширная группа пищевых ингредиентов,
выделенная в 1978 г. В самостоятельную категорию на основании общности свойств,
проявляемых ими в пищевых системах. В эту группу входят соединения, добавляемые
в жидкие или твердые продукты питания в процессе их изготовления с целью
придания желаемой вязкости или консистенции, а также с целью стабилизации
пищевых дисперсных систем (эмульсий, суспензий и др.) Не все гидроколлоиды
функционируют одинаково в растворах при различных значениях рН, приразных
концентрациях электролитов, при термической обработке или имеют одинаковую
устойчивость при хранении и т.д. Следовательно, задачей производителя пищевого
продукта является выбор наиболее подходящего для конкретной цели гидроколлоида.
В зависимости от совокупности особенностей строения и
свойств гидроколлоид может использоваться как загуститель, гелеобразователь или
стабилизатор. Основные представители загустителей: гуаровая камедь, камедь
рожкового дерева, карбоксиметилцеллюлоза, альгинат натрия, гуммиарабик,
ксантановая камедь. Основные представители гелеобразователей: пектины,
каррагинаны, альгинаты, агар, желатин [41].
В хлебопечении находят применение различные виды
камедей (ксантановая, гуаровая, рожкового дерева), альгиновая кислота и ее
соли, пектины, каррагинаны, карбоксиметилцеллюлоза и другие полисахариды. В
последние годы в пищевой промышленности эти ингредиенты становятся все более
популярными. Несмотря на то, что их концентрации составляют обычно не более 1
%, они оказывают сильное влияние на текстурные и органолептические свойства
пищевых продуктов [42].
В данной работе для сохранения свежести хлеба будут
рассмотрены такие загустители, как ксантановая и гуаровая камеди. Вследствие
того что они растворимы при комнатной температуре, имеют достаточно широкий
оптимальный диапазон рН и, в отличие от гелеобразователей и стабилизаторов, не
требуют присутствия других соединений (солей, сахаров, белков и т. п.) для
проявления стойкого сгущающего эффекта. В свою очередь, они позволяют уменьшить
потерю влаги при термообработке и последующем хранении готового продукта, а
также обладают высокой экономичностью по сравнению с другими гидроколлоидами.
Ксантановая камедь представляет собой быстро гидратируемый
гидроколлоид, растворимый в воде при комнатой температуре, а также в растворах
соли и сахара. Молекулы ксантана адсорбируют воду с образованием трехмерной
сетки из двойных спиралей ксантана, по структуре близкой с гелем, но
отличающейся меньшей вязкостью. В связи с этим, ксантан обычно используют как
загуститель или стабилизатор, а не гелеобразователь.
Перед введением в тесто этот гидроколлоид сначала
необходимо диспергировать и гидратировать. Для достижения оптимальных
технологических свойств важно обеспечить до использования гидроколлоида
необходимую степень его гидратации. К основным факторам, влияющим на
гидратацию, относятся эффективность диспергирования, скорость перемешивания,
размер частиц и состав растворителя. Для достижения максимальной вязкости
раствора следует равномерно диспергировать камедь в минимальном количестве
воды. Очень тонкий порошок трудно диспергируется, но после образования
дисперсии он быстро гидратируется, и наоборот, грубый порошок легко
диспергируется, но медленно гидратируется. Продолжительность гидратации
ксантановой камеди зависит от эффективности диспергирования; размеров частиц
камеди; типа растворителя; присутствия других ингредиентов.
Для эффективной гидратации отдельные частицы камеди
должны быть хорошо диспергированы в растворителе. Недостаточное диспергирование
приводит к набуханию и комкообразованию при перемешивании. Наличие комков
ухудшает гидратацию камеди и ее технологические свойства [43]. При
неравномерном распределении влаги внутри теста, объем готового изделия
уменьшается, и текстура его мякиша может оказаться неоднородной и не
эластичной. При введении ксантановой камеди вместе с другими сухими
ингредиентами она быстро и равномерно гидратируется, предотвращая образование
комков на начальной, решающей стадии замеса. Именно эта гидратация способствует
равномерному распределению влаги в жидком тесте, что, в свою очередь, облегчает
стабилизацию мелких пузырьков воздуха, которые образуются в процессе замеса.
В хлебопечении ксантановая камедь обеспечивает хлебу однородность
консистенции, пористость и стабильность эффекта при изменении рецептурного
состава. Такие продукты имеют повышенную влажность, объем, упругость мякиша,
меньше крошатся, а, следовательно, лучше переносят условия транспортировки.
Такая стабилизация улучшает объем и обеспечивает готовому изделию правильную
форму. Ксантан может быть введен в тесто в количестве 0,05 % (от общей массы
теста) без изменения рецептурного состава [42].
В работах З. Кохайдовой и И. Коровицевой было
замечено, что при добавлении в тесто 1 % ксантановой камеди водопоглотительная
способность теста увеличилась на 13,8 % по сравнению с контрольным образцом
[44], но объем готового изделия и эластичность теста снизились на 17 % и 14 %
соответственно. Возможно, это происходит из-за нестабильности образующегося
коллоида [45]. С другой стороны, Россель доказал, что добавление ксантана может
вызывать утолщение стенок мякиша, окружающего пузырьки воздуха в хлебе [46].
В исследованиях Гуарда и др. было доказано, что при
добавлении в тесто 0,1 % и 0,5 % ксантановой камеди, наилучший эффект
наблюдался в хлебе с 0,1 % добавки. Через 24 ч такой хлеб терял на 1 % меньше
свободной влаги, тем не менее, образец с ксантановой камедью становился
черствым быстрее остальных (с каппа-каррагинаном, КМЦ и альгинатом).
Возможно, это происходит из-за того, что ксантан
представляет собой полиэлектролит анионного типа, который образует неустойчивые
соединения с молекулами белков. Другая версия основана на том, что ксантан
может увеличивать фактическую концентрацию клейковины в однородной фазе с
белками и полисахаридами, что приводит к ускорению краткосрочной ретроградации
крахмала. Подобное явление наблюдалось при взаимодействии ксантановой камеди с
крахмалом. Было отмечено, что в присутствии ксантана увеличивается фактическая
концентрация крахмальных компонентов [47-49].
Однако в работах Циарини и др., которые занимались
безглютеновым хлебом, было отмечено, что ксантановая камедь проявляет обратные
свойства. Например, удельный объем готового изделия с 0,5 % ксантана на 20 %
выше контрольного образца. Такой хлеб имел более рыхлую структуру, а его корка
выглядела ровной и гладкой. Твердость хлебного мякиша с добавкой была на 44 %
ниже по сравнению с контролем, и хранился такой хлеб на 72 ч дольше [50].
Возможно, гидроколлоиды, как и декстрины [51] способны ингибировать
взаимодействие между крахмалом и белками муки или замедлять образование
макромолекулярных конструкций.
Бреннан и др. установили, что ксантан стабилизирует
крахмальные гели и замедляет ретроградацию крахмала [52]. Давидоу и др.,
исследующие пшеничный хлеб, отмечают в своих работах, что степень твердости
мякиша и скорость черствения в процессе хранения снижаются при добавлении
гидроколлоидов; они предположили, что камеди изменяют структуру аморфной фазы
мякиша, возможно за счет того, что сдерживают образование макромолекулярных
конструкций из крахмала. Возможно, подобный процесс происходит и в
безглютеновом хлебе.
Гуаровая камедь представляет собой смесь
высокомолекулярных полисахаридов растительного происхождения. Высокая степень
разветвления молекулы обеспечивает хорошую растворимость даже в холодной воде.
Однопроцентный раствор гуаровой камеди обладает псевдопластичными и
тиксотропными свойствами.
В пищевой промышленности гуаровая камедь используется в
качестве загустителя и стабилизатора для различных продуктов [53]. В
хлебобулочных изделиях камедь используется для улучшения вкусовых характеристик
продукта, для изменения его реологических свойств [54] и для увеличения сроков
хранения [55] за счет удержания влаги в изделии. Также было установлено, что
гуаровая камедь может замедлять черствение хлеба, возможно, за счет замедления
ретроградации амилопектина, поскольку гуаровая камедь взаимодействует
преимущественно с крахмалом. Также гуаровая камедь может препятствовать
связыванию молекул амилозы, возможно, за счет того, что гуар с помощью
водородных связей образует с амилозой промежуточные соединения [56].
В работах З. Кохайдовой и И. Коровицевой [44] было
замечено, что при добавлении в тесто 1 % гуаровой камеди водопоглотительная
способность теста увеличилась на 4,3 % по сравнению с контрольным образцом,
объем возрос на 20,2 %, а эластичность теста осталась неизменной.
Согласно Т. Фунами и др.[57], сравнивая влияние
гуаровой камеди и камеди рожкового дерева на скорость ретроградации крахмала
при охлаждении (14 дней при 4 ºС), действие гуара на замедление
черствения значительно выше. Это объясняется более крупным размером молекул и
наиболее эластичной структурой гуаровой камеди [58].
В работах А. Антона и др. [59] сообщается, что
гуаровая камедь не оказывает значительного влияния на водопоглощение теста при
добавлении 0,5 % к массе муки, но стабильность такого теста увеличивается
практически на 50 %, по сравнению с контрольным образцом. В этом исследовании наиболее
выраженным положительным эффектом обладал гуар, он лучше других добавок
замедлял скорость черствения и улучшал качество хлеба в целом. С учетом
реологии и физических свойств теста с гуаровой камедью, наиболее выгодным для
промышленного производства считается введение 0,5 % добавки.
В исследованиях Риботта и др. [60] замечено, что при
добавлении 0,5 % гуара в тесто жесткость готового изделия на 3 день ниже на
16,35 % по сравнению с контрольным образцом.
При совместном использовании двух и более загустителей
возможно проявление синергического эффекта: смеси загущают сильнее, чем можно
было бы ожидать от суммарного действия компонентов. Это проявляется, например,
при смешении ксантана с гуаровой камедью или с камедью рожкового дерева [61].
Ксантановая камедь вступает в синергическое
межмолекулярное взаимодействие с гуаровой камедью и камедью рожкового дерева
(КРД), а также с конжаковым маннаном. Результатом этого являются улучшенные
показатели вязкости при взаимодействии с гуаровой камедью и низкими концентрациями
КРД [62]. Взаимодействие с камедью рожкового дерева и конжаковым маннаном при
более высоких концентрациях приводит к образованию мягких, эластичных и
термообратимых гелей. Хлеб с добавлением смеси из гуаровой и ксантановой
камедей имеет более высокую пористость и повышенную газоудерживающую
способность [63].
Существует несколько гипотез, которые объясняют этот
синергетический эффект.
Первая гипотеза заключается в том, что незамещенные
области гуаровой камеди объединяются с основной цепью ксантановой камеди,
которая закручена в спираль [64-66]. Межмолекулярное связывание ксантана и
гуара облегчается дестабилизацией спирали ксантановой камеди [67-68]. В этом
случае гуаровая камедь действует как денатурирующее средство, которое нарушает
равновесное состояние спирально-закрученной структуры ксантана и сдвигает
упорядоченные конформации ксантана для более эффективного взаимодействия с ним
[69]. Результаты, полученные в исследовании Вонга и др. [70] показали, что
между молекулами ксантана и гуара возникает межмолекулярное взаимодействие, при
этом молекулы гуара сильно влияют на то, что жесткая упорядоченная спираль
ксантана приобретает более упругую структуру. В своих выводах Вонг и др.
говорят о том, что прочность спиральной структуры ксантановой камеди и
упругость ее цепи играют решающую роль при взаимодействии с гуаром.
Другая гипотеза предполагает, что основная цепь
гуаровой камеди, полностью замещенная остатками галактозы, которые расположены
по одну сторону, связана с основной цепью ксантана. Данная гипотеза не
опровергает ту, что приводилась выше, она объясняет взаимодействие ксантана с
гуаровой камедью [71-73]. С другой стороны, Бресолин и др. [74] сообщили, что
существует сильное взаимодействие между ксантаном (независимо от его
конформаций) и полностью замещенной цепью гуара, предполагая различные
механизмы, происходящие между двумя полисахаридами. В исследовании Шорша и др.
было рассмотрено влияние следующих параметров: отношение ксантана и гуара,
содержание галактозы, молекулярная масса гуаровой камеди и ионная сила среды из
смеси ксантана и гуара. В результате полученных данных можно сделать вывод о
том, что ксантановая камедь играет главную роль в проявлении реологических
свойств системы из ксантана и гуара [75].
В различных исследованиях [63, 76-77] при добавлении в
тесто смеси ксантановой и гуаровой камедей (в соотношении 1:1) в количестве от
0,5 % до 1 % замечено, что пористость такого хлеба в среднем выше на 14 %
относительно контроля, на 18 % и 23 % относительно взятых в отдельности ксантановой
и гуаровой камедей, соответственно. Удельный объем и жесткость мякиша готового
изделия, изготовленного из смеси камедей, в среднем на 10 % выше, чем у хлеба,
произведенного только с добавлением ксантана.
1.3 Использование амилолитических ферментных препаратов для замедления
черствения хлеба
Большинство исследователей, как было упомянуто выше,
главную роль в черствении хлеба отводят ретроградации крахмала как основного
компонента хлеба. Замедлить ретроградацию крахмала можно внесением в тесто
веществ, повышающих гидрофильные свойства мякиша - модифицированных крахмалов,
декстринов, камедей и т.п. Поверхностно-активные вещества способствуют
улучшению физико-механических свойств мякиша хлеба, образуя комплексы с
амилозой и препятствуя ее ретроградации. Существенного увеличения сроков
сохранения свежести хлеба можно добиться использованием амилолитических
ферментных препаратов [78-79]. Ферментативное воздействие на крахмал
способствует увеличению количества сахаров в тесте, что приводит к
интенсификации процесса брожения, усилению газообразования на этапе
окончательной расстойки и на ранних стадиях выпечки. В свою очередь, это
приводит к увеличению объема изделий, улучшению пористости и текстуры мякиша.
Амилолитические ферменты относятся к классу гидролаз и
катализируют реакции гидролиза крахмала - растительного полисахарида сложного
строения, состоящего из 13…30 % амилозы и 70…85 % амилопектина. В зависимости
от типа разрываемой связи и ее расположения в молекуле субстрата ферменты
данного семейства делятся на несколько видов: α- и β-амилазы, глюкоамилаза (или
амилоглюкозидаза), пуллуланаза, изоамилаза и некоторые другие. Механизм
воздействия амилолитических ферментов на крахмал представлен на рисунке 1.3.
Рисунок 1.3 - Схема гидролиза крахмала
амилолитическими ферментами разных видов [81]
Наиболее часто для повышения качества хлеба и
продления срока его хранения применяют препараты α-амилазы.
α-Амилаза (КФ 3.2.1.1) - фермент,
вызывающий неупорядоченное гидролитическое расщепление α-1,4-гликозидных связей крахмала с
образованием низкомолекулярных декстринов. Фермент α-амилаза имеет выраженное сродство к
гликозидным связям, удаленным от конца молекулы, являясь типичным
эндо-действующим ферментом с преобладающим декстринизирующим эффектом. В
результате его действия в процессе брожения и выпечки происходит изменение
структуры и свойств крахмала, а также накопление низкомолекулярных продуктов
гидролиза, что сказывается как на реологических свойствах теста, так и на
особенностях текстуры мякиша хлеба и их изменениях с течением времени.
Исследованию возможностей использования α-амилазы для сохранения свежести хлеба
посвящено множество работ, и их эффективность была доказана экспериментально,
однако теоретическое обоснование подобного действия фермента до сих пор
остается спорным вопросом.
Замедление черствения хлеба большинством
исследователей объясняется изменениями в структуре и свойствах крахмала под
действием α-амилаз. Частичный гидролиз амилопектина с образованием
соединений меньшей молекулярной массы позволяет снизить скорость его
ретроградации и уменьшить размеры образующихся при этом кристаллов. Кроме того,
под действием эндоферментов происходит разрыв крахмальных цепей, связывающих
кристаллы крахмала между собой, что сопровождается ослаблением структуры мякиша
в целом и как следствие - более высокими показателями сжимаемости при хранении.
В свою очередь, гидролитическое расщепление цепей амилозы увеличивает их
подвижность и ускоряет их ассоциирование. В результате образуется более прочная
сеть, внутри которой дальнейшие перестроения молекул биополимеров и
взаимодействия между ними затруднены и протекают с меньшей скоростью.
Вместе с тем, в ряде работ большое внимание уделяется
продуктам гидролиза крахмала - низкомолекулярным декстринам со степенью
полимеризации 19…24, способным замедлять ретроградацию амилопектина и
затруднять взаимодействия между биополимерами мякиша хлеба, обуславливающие
увеличение его жесткости.
Технологические свойства ферментов в отношении
повышения качества продукции и сроков сохранения свежести во многом
определяются их происхождением. В хлебопекарном производстве используются в
основном грибные и бактериальные α-амилазы, для каждого вида характерны
свои оптимальные условия действия. Для решения задач сохранения свежести хлеба
большое значение имеет температура инактивации применяемого фермента, поскольку
этот показатель определяет глубину гидролиза крахмала.
Известно, что грибная α-амилаза, обладая более низкой
термостабильностью по сравнению с бактериальной, проявляет максимальную
активность в температурном диапазоне 40…50 °С, т.е. до начала клейстеризации
крахмала. Таким образом, к моменту, когда крахмал станет доступен для действия
ферментов, активность грибной амилазы (и, соответственно, ее эффективность)
будет невысока.
Напротив, термостабильная бактериальная амилаза может
сохранять свою активность и при 80…110 °С (т.е. даже после выпечки),
предотвращая таким образом ретроградацию крахмала и агрегацию его структурных
компонентов, но за счет накопления растворимых декстринов может придать хлебу
избыточную влажность и липкость, что недопустимо для некоторых видов изделий.
Установлено, что эффективность α-амилаз различного происхождения для
замедления кристаллизации крахмала снижается в ряду: бактериальная >
> грибная > зерновая. В связи с этим в последние
десятилетие велись активные поиски путей получения бактериальных ферментов с
пониженной температурой инактивации. Получены α-амилазы бактериального происхождения
«средней термостабильности» (Intermediate Thermostable Amylase), максимальная
активность которых наблюдается при 65…70 °С. В процессе получения хлеба они
достигают оптимальной активности при температуре клейстеризации крахмала (или
немного ранее) и инактивируются на заключительных стадиях выпечки (рис. 1.4).
Установлено, что добавление препарата α-амилазы, полученной продуцированием
штамма Bacillus megaterium, увеличивает срок сохранения свежести изделий на
15…33 %. Возможно также снижение температуры инактивации путем получения
композиций из препаратов разного происхождения.
- грибная α-амилаза; 2 - зерновая α-амилаза; 3 - бактериальная α-амилаза; 4 - бактериальная ITS α-амилаза, полученная продуцированием
генетически модифицированных штаммов
Рисунок 1.4 - Влияние температуры на активность α-амилаз различного происхождения [81]
Особое место среди амилолитических ферментов занимает
мальтогенная амилаза (КФ 3.2.1.133), являющаяся изоферментом α-амилазы. Бактериальная мальтогенная
амилаза обладает в основном осахаривающей способностью. Она гидролизует крахмал
до мальтозы и мальтоолигосахаридов, занимая промежуточную позицию между экзо- и
эндо-действующими ферментами и сочетая их свойства (табл. 1.1). Однако в
отличие от α-амилазы, она воздействует преимущественно на внешние ветви
амилопектина, укорачивая их, но не нарушая целостность крахмальных зерен и не
разрывая связи между ними.
Таблица 1.1 - Эффективность амилаз различного
происхождения для сохранения свежести хлеба [81]
|
Вид фермента и его
происхождение
|
Действие
|
Термостабильность
|
Смягчающий эффект
(сжимаемость)
|
Воздействие на упругость
(эластичность)
|
|
Грибная α-амилаза (Aspergillus oryzae)
|
Главным образом, эндогенное
|
Низкая
|
+
|
Очень ограниченное
|
|
Грибная α-амилаза (Aspergillus niger)
|
Главным образом, эндогенное
|
Средняя
|
+
|
Малое
|
|
Бактериальная α-амилаза (Bacillus amyloliquefaciens)
|
Эндогенное
|
Высокая
|
++++
|
Негативное
|
|
Бактериальная ITS α-амилаза (Bacillus megaterium)
|
Эндогенное
|
Средняя
|
++++
|
Положитель- ное
|
|
Бактериальная мальтогенная
амилаза (Bacillus stearothermophilus)
|
Экзо- и эндогенное
|
Средняя
|
+++
|
Положитель- ное
|
Таким образом, достигается замедление ретроградации
амилопектина при минимальном негативном воздействии на реологические свойства
теста, характерном для α-амилаз.
Высокая эффективность мальтогенной амилазы в отношении
сохранения свежести хлеба объясняется также ее способностью гидролизовать
крахмал с получением специфических продуктов - мальтоолигосахаридов со степенью
полимеризации 3…9, которые обладают способностью замедлять кристаллизацию
крахмала. Предполагается, что именно эти олигомеры имеют наиболее подходящие
размеры, чтобы удерживать молекулы воды вокруг молекул крахмала и тем самым
служить помехой при взаимодействиях крахмала с белками клейковины. Мальтоза
оказалась менее эффективной в этом отношении по причине ее относительно
небольших размеров и как следствие - высокой подвижности молекул и меньшей
влагоудерживающей способности.
Важным свойством бактериальной мальтогенной амилазы
является ее пониженная термостабильность. Фермент проявляет максимальную
активность при температуре 60…70 °C и инактивируется на заключительных стадиях
выпечки, обеспечивая интенсивный гидролиз крахмала без риска передозировки
препарата и получения изделий с влажным липким мякишем.
Проводится большое количество исследований по изучению
влияния ферментных препаратов различных марок на сохранение свежести хлеба.
Амилолитическими препаратами отечественного производства являются Амилоризин
П10Х грибного происхождения (Aspergillus oryzae) и Амилосубтилин Г10Х
бактериального происхождения (Bacillus subtilis). Их добавление в тесто
позволяет замедлить процесс черствения хлеба до 48 ч. Но в настоящее время эти
препараты не находят широкого применения в хлебопекарной промышленности -
предпочтение отдается препаратам зарубежного производства. К ним относится
ферментный препарат Новамил датской фирмы Novozymes, разработанный специально
для сохранения свежести хлеба. Это очищенная мальтогенная амилаза, которая
продуцируется штаммом Bacillus stearothermophilus, полученным генно-инженерным
методом, и выпускается в двух формах. Препараты Новамил 1500MG и Новамил
10000BG представляют собой порошкообразный микрогранулят, Новамил Л имеет
жидкую консистенцию. При использовании препаратов в производстве хлебобулочных
изделий из пшеничной муки свежесть изделий можно сохранить до 72 ч (при
хранении в упаковке), что было подтверждено анализом сжимаемости и
крошковатости мякиша.
Сравнительные исследования ферментных препаратов
различной направленности были проведены учеными Швейцарской высшей технической
школы (г. Цюрих). Изучив действие мальтогенной амилазы препарата Новамил 1500MG
и α-амилазы препарата BAN, они
обнаружили, что во всех системах (как в модельных системах, так и в образцах
мякиша) мальтогенная амилаза увеличивала начальную мягкость хлеба и уменьшала
скорость черствения, тогда как использование α-амилазы препарата BAN способствовало
лишь снижению скорости черствения [80].
Фирмой AB Enzymes выпускается несколько марок
ферментных препаратов с преобладающей амилолитической активностью. Это
препараты Veron M4, Veron SX, Veron 2000, Veron Amylofresh. При этом они
отличаются друг от друга происхождением фермента (бактериальные, грибные), а
также дополнительной активностью. Величина амилолитической активности, происхождение
препарата, а также наличие и вид дополнительной активности являются важными
критериями при выборе препарата. В рамках данного исследования наиболее
целесообразным представляется использование препарата Veron М4,
характеризующегося активностью грибной амилазы и высокой величиной
амилолитической активности.
1.4 Роль сухой пшеничной клейковины в сохранении свежести изделий
Белковые вещества муки определяют ее технологические
свойства и оказывают существенное влияние на качество хлеба и сохранение его в
свежем виде. Белки образуют единый структурный каркас, основу которого
составляет взаимодействие, главным образом, двух групп белков - глиадина и
глютенина. Технологические свойства муки, ее способность давать
высококачественный хлеб и способность продлевать свежесть хлеба определяет не
весь белок в целом, а только те белковые вещества, которые не растворяются в
воде и солевых растворах и образуют вещество, называемое клейковиной. Только
при определенном уровне содержания и качества клейковины можно получить хлеб
хорошего качества [5].
Исследованиями, проведенными в МГУППе, было
установлено, что в процессе черствения пшеничного хлеба в белковой части мякиша
хлеба закономерно происходят изменения, приводящие к уплотнению структуры,
снижению гидратационной способности. По своему характеру эти изменения обратны
тем, которые происходили в процессе денатурации белка выпекаемой тестовой
заготовки. Эти изменения в белковой части мякиша хлеба происходят, однако, в
4…6 раз медленнее по сравнению со скоростью ретроградации крахмала. Если учесть
еще и то, что крахмала в хлебе в 5…7 раз больше, чем белка, то естественно, что
основную роль в черствении хлеба играют все же изменения крахмала [14, 30].
Существуют также версии, учитывающие не только
изменения биополимеров мякиша, но и взаимодействия между ними. Р. Мартин, К.
Железняк и С. Хосни [80] высказали свою точку зрения на черствение мякиша
хлеба. По их мнению, поверхность набухших зерен крахмала становится пористой,
цепочки амилозы образуют ответвления. Гидроксильные группы (-ОН) и цепочки
амилозы взаимодействуют с аминогруппами (-NH2) посредством водородных связей с
образованием дополнительных поперечных связей между белковой глобулой,
расщепленными гранулами крахмала и разветвленными молекулами амилозы. Образовавшиеся
водородные связи, увеличивают энергию взаимодействия структурных компонентов
мякиша изделия при хранении и это приводит к изменению реологических свойств
мякиша изделия: увеличивается его твердость и снижается эластичность [15, 82].
Таким образом, изменением количества и качества
клейковины можно добиться более длительного сохранения свежести изделий не
только за счет возможного увеличения их удельного объема, но и за счет снижения
скорости черствения [7, 83-85].
Наиболее простой и прямой способ улучшение
хлебопекарные свойств муки - внесение в нее сухой пшеничной клейковины (СПК).
Добавление сухой клейковины повышает ее содержание в муке до стандартного,
корректирует качество клейковины муки - все это позволяет мукомольным и
хлебопекарным предприятиям вырабатывать продукцию стандартного качества
[85-86].
СПК значительно повышает качественные показатели
хлебобулочных изделий при всех способах тестоведения. Свойство клейковины в
создании эластичной массы полезно используется при выпечке, когда газ, зародившийся
от брожения дрожжей, сохраняется внутри эластичной структуры, образованной
клейковиной. За счет улучшенной способности связывания воды повышается выход
теста и срок сохранности выпекаемой продукции [87]. Применение СПК очень
удобно, так как не вызывает необходимости использования каких-либо специальных
приемов и режимов, и поэтому целесообразно при всех способах
тестоприготовления: опарном, безопарном и ускоренном [88-89].
Применение СПК в технологии хлебобулочных изделий
позволяет: повысить водопоглотительную способность теста, укрепить физические
свойства теста, улучшить физико-химические и органолептические показатели
качества хлеба, увеличить срок хранения свежести готовых изделий, снизить
крошковатость мякиша, увеличить выход готовых изделий на 2…7 % [87].
В ряде работ [85, 90] выявлено, что ввод СПК в
сортовую пшеничную муку позволяет не только повышать содержание клейковины, но
и корректировать качество клейковины муки. Исследования изменения физических
свойств теста из муки разных сортов и различного качества при вводе СПК
показало, что пшеничная клейковина оказывала наиболее существенное влияние на
повышение хлебопекарных свойств более слабой по качеству муки, повышая ее силу
до уровня более сильной муки [85, 90]. Для муки высшего сорта с содержанием
клейковины 25…26 % наибольшее увеличение объемного выхода хлеба отмечено при
вводе 1…2 % СПК. При дальнейшем увеличении дозы (до 3 %) объемный выход хлеба
практически не изменялся. Это объясняется низкой газо- и сахаробразующей
способностью муки, что подтверждается недостаточной амилолитической активностью
муки. Вследствие этого для удержания выделяющихся при брожении относительно
небольших количеств диоксида углерода не требовался дополнительный ввод
клейковины.
Сухая клейковина - натуральное вещество, и ее
количество при использовании в качестве добавки может не ограничиваться. СПК
способствует увеличению водопоглотительной способности теста, улучшению его
физических свойств, повышению показателей качества хлеба, в том числе
структурно-механических свойств мякиша, выхода и срока хранения хлебобулочных
изделий [86].
Таким образом, применение улучшителей в хлебопекарном
производстве позволит гарантировать стабильное качество хлебобулочных изделий
из муки с низкими хлебопекарными свойствами и дольше сохранить свежесть готовых
изделий.
2. Экспериментальная часть
2.1 Исследование свойств сырья и полуфабрикатов
2.1.1 Определение «силы» муки по
содержанию и свойствам клейковины
«Сила» муки - основной фактор, определяющий
хлебопекарные свойства пшеничной муки. Этим условным термином принято
обозначать способность муки образовывать тесто, обладающее после замеса и в
ходе брожения и расстойки определенными структурно-механическими свойствами.
Пшеничная мука различной силы образует тесто с неодинаковыми структурно-
механическими свойствами.
Решающая роль в определении структурно-механических
свойств теста или «силы» муки принадлежит клейковине. Количество и качество
сырой клейковины в муке определяют в соответствии с ГОСТ 27839-88, отмывая ее
из теста, замешанного из муки и воды, с последующим исследованием ее упругих
свойств на приборе ИДК-1М.
2.1.2 Определение подъемной силы дрожжей методом всплывания шарика теста
Подъемная сила - один из основных показателей качества
хлебопекарных дрожжей, характеризующий их способность сбраживать собственные
сахара муки.
Качество прессованных дрожжей, применяемых при
приготовлении теста, определяли экспресс-методом по времени всплывания шарика
теста в соответствии с требованиями ГОСТ 171-81.
2.1.3 Определение амилолитической
активности ферментных препаратов
Амилолитическая активность характеризует способность
амилолитических ферментов катализировать гидролиз крахмала до декстринов
различной молекулярной массы и выражается числом единиц указанных ферментов в 1
г препарата.
За единицу амилолитической активности (АС) принята
способность фермента при определенных значениях температуры, рН и времени
действия катализировать до декстринов различной молекулярной массы 1 г
крахмала, что составляет 30 % крахмала, введенного в реакцию.
Определение амилолитической активности ферментных
препаратов проводят колориметрическим методом по ГОСТ 20264.4-89 с
использованием прибора КФК-2. Метод основан на гидролизе крахмала ферментами
амилолитического комплекса до декстринов различной молекулярной массы.
2.1.4 Определение автолитической
активности муки по автолитической пробе [91]
Автолитическая активность («авто» - само, «лизис» -
растворение) - это способность муки образовывать при прогреве водно-мучной
суспензии определенное количество водорастворимых веществ. Это суммарный
показатель, отражающий состояние углеводного комплекса и активности
амилолитических ферментов, главным образом, -амилазы.
Во взвешенный на технических весах фарфоровый
стаканчик вместимостью 50 см3 вместе со стеклянной палочкой, которая остается в
нем в течение всего определения, отвешивают 1 г муки с точностью до 0,05 г,
добавляют мерной пипеткой 10 см3 дистиллированной воды и тщательно перемешивают
палочкой. Стаканчик с пробой погружают в кипящую водяную баню так, чтобы уровень
жидкости в стаканчиках был на 0,75...1,0 см ниже уровня воды в бане. В
свободные гнезда вставляют стаканчики, заполненные дистиллированной водой по 10
см3 в каждый. Первые 2...3 минуты содержимое стаканчиков перемешивают палочкой
3...4 раза для равномерной клейстеризации крахмала муки.
По окончании клейстеризации для предохранения от
испарения воды стаканчики накрывают стеклянными воронками. После 15-минутного
прогрева от момента погружения стаканчик вместе с крышкой вынимают из бани и в
каждый из них немедленно вливают до 20 см3 дистиллированной воды, энергично
перемешивают и охлаждают до комнатной температуры. Затем общую массу
охлажденного автолизата доводят на весах дистиллированной водой до 30 г с
точностью до 0,05 г, для чего обычно требуется прилить около 0,2…0,5 г воды.
После тщательного перемешивания до появления пены
содержимое стаканчика некоторое время отстаивают, а затем фильтруют через
складчатый фильтр. Так как масса получается трудно фильтруемая, то на фильтр не
рекомендуется переносить осадок. Первые 2 капли фильтрата отбрасывают, а
последующие 2...3 капли стеклянной палочкой наносят на призму рефрактометра,
проводят измерения, а затем рассчитывают содержание сухих веществ в пересчете
на сухое вещество муки как указано выше.
2.1.5 Определение автолитической
активности муки по экспресс-выпечке [91]
Для определения автолитической активности пшеничной
муки высшего или 1 сорта берут 20 г муки, взвешенной с точностью до 0,01 г,
замешивают с 12 см3 воды, имеющей комнатную температуру (17...20 оС), в тесто
однородной консистенции. Сразу после замеса из теста формуют шарик, который
помещают для выпечки в лабораторную хлебопекарную печь и выпекают при
температуре 225 оС в течение 12 мин. Выпеченный шарик охлаждают и подвергают
органолептической оценке. Если нижняя корочка более плоская, верхняя корочка
несколько зарумянена, мякиш липкий и темный, то мука имеет повышенную
автолитическую активность.
2.2 Проведение пробной лабораторной выпечки хлеба из пшеничной муки [91]
Безопарное тесто готовят по рецептуре, приведенной в
таблице 2.1. В лабораторных условиях на одну выпечку берут 460 г муки.
Количество остального сырья рассчитывают исходя из рецептуры с учетом вариантов
задания.
Таблица 2.1 - Рецептура теста
|
Наименование
компонентов
|
Количество сырья,
мас. %
|
|
Мука пшеничная
|
100
|
|
Дрожжи
хлебопекарные
|
1,0
|
|
Соль
|
1,5
|
|
Вода
|
По расчету
|
Количество вносимой при замесе теста воды GВ, см3,
определяют по формуле:
С - суммарная масса сырья, расходуемого на
приготовление теста (без воды), г;- влажность теста, % (из муки высшего сорта -
43,5 %; 1 сорта - 44,5 %; 2 сорта - 45,5 %);С - средневзвешенная влажность
сырья, %.
Средневзвешенную влажность сырья WС, %, рассчитывают
по формуле:
Где GМ,GСЛ,GД - соответственно количество муки, соли,
дрожжей, расходуемое на приготовление теста, г;М,WСЛ,WД - соответственно
влажность муки, соли и дрожжей (принимаем WМ = 14,5 %, WСЛ = 0,25 %, WД = 75
%).
Температуру воды для замеса теста tВ, °С, рассчитывают
по формуле:
Где tm - заданная температура теста, °С;М -
теплоемкость муки, Cм = 0,3 кал/(г × град);В - теплоемкость воды, CВ = 1 кал/(г × град);М - количество муки, г; tМ -
температура муки, °С;В - количество воды в тесте, г;- поправочный коэффициент
(летом принимают равным 0...1, в весеннее и осеннее время - 2, зимнее - 3).
Температура воды для замеса не должна превышать 45 °С.
Выпечка проводилась в печи «Moulinex Home Bread». Была
выбрана программа для выпекания № 2 для французской булки. Порядок загрузки
ингредиентов следующий: вода, соль, мука, дрожжи, добавки. Режим выпечки
представлен в таблице 2.2.
Таблица 2.2 - Режим выпечки
|
Название стадии
|
Продолжительность, мин
|
|
1-й замес
|
5
|
|
Отлежка
|
5
|
|
2-й замес
|
20
|
|
Брожение
|
39,6
|
|
1-я обминка
|
0,2
|
|
Брожение
|
30,5
|
|
2-я обминка
|
0,2
|
|
Брожение
|
59,5
|
|
Выпечка
|
50
|
|
Общее время приготовления
|
210
|
2.3 Анализ качества изделий
2.3.1 Определение влажности хлеба и
хлебобулочных изделий
Влажность хлебобулочного изделия определяют для
расчета выхода; для проверки соблюдения режима технологического процесса и
рецептуры; для учета энергетической ценности. При повышении влажности изделия
повышается его выход, снижается энергетическая ценность, ухудшается внешний вид
изделия.
Стандартом на хлебобулочные изделий предусмотрен метод
определения влажности мякиша путем высушивания навески измельченного мякиша при
заданной температуре. Определение ведется по ГОСТ 21094-75.
2.3.2 Определение пористости хлеба и хлебобулочных изделий
Под пористостью понимают отношение объема пор мякиша к
общему объему хлебного мякиша, выраженного в процентах. Пористость изделия с
учетом его структуры (размера пор, однородности, толщины стенок) характеризует
такое важное свойство продукта, как усвояемость. Низкая пористость обычно
присуща изделиям из плохо выброженного теста, с низкой влажностью. Определение
ведется по ГОСТ 5669-96 с использованием прибора Журавлева.
2.3.3 Определение кислотности хлеба и
хлебобулочных изделий
Показатель кислотности хлебобулочного изделия
характеризует его качество с вкусовой стороны. По этому показателю можно также
судить о выполнении правил ведения технологического процесса приготовления
изделия. Кислотность хлеба в основном обусловлена продуктами, получаемыми в
результате брожения теста.
Кислотность выражают в градусах кислотности. Под
градусами кислотности понимают количество миллилитров 1 н раствора гидроксида
натрия, необходимое для нейтрализации кислот, содержащихся в 100 г хлебного
мякиша. Определение ведется ускоренным методом по ГОСТ 5670-96.
2.3.4 Органолептическая оценка
хлебобулочных изделий
Органолептическая оценка хлебобулочных изделий в
оценке их качества имеет очень большое значение. Основным способом оценки
потребительских свойств служит метод экспертных оценок, дескрипторами были
выбраны стандартные органолептические показатели, приведенные в таблице 2.3.
Этот метод может быть индивидуальным и коллективным. В данном случае использовался
коллективный метод. Разработка методики основана на литературных данных [91,
92].
Для проведения оценки хлеба формируют группу пробантов
из 6 человек. Качество хлеба оценивают через 24 часа и 72 часа после выпечки.
Оценку органолептических показателей проводили по пятибалльной шкале: 5 баллов
означало - самый мягкий и свежий вариант хлеба, 1 балл - самый черствый и
жесткий хлеб.
Таблица 2.3 - Показатели органолептической оценки
качества хлеба
|
Показатель
|
Характеристика
|
|
1
|
2
|
|
Внешний вид хлеба: форма поверхность
корки
|
Правильная, неправильная
Гладкая,неровная(бугристаяилисо вздутиями), с трещинами*, с подрывами**,
рваная
|
|
Цвет корки
|
Бледная, светло-желтая,
светло-коричневая, коричневая, темно-коричневая
|
|
Состояние мякиша: цвет
равномерность окраски эластичность пористость: по крупности по
равномерности по толщине стенок пор липкость
|
Белый, серый, темный,
темноватый (для муки высшего и первого сортов) Светлый, темный, темноватый
(для муки второго сорта и обойной) Равномерная, неравномерная Хорошая,
средняя, плохая, отмечается плотность мякиша, если при надавливании не
происходит его деформации Мелкая, средняя, крупная Равномерная,
неравномерная Тонкостенная, толстостенная Отмечается в случае обнаружения
|
|
Вкус
|
Нормальный, свойственный
отмечается наличие посторонних привкусов
|
хлебу;
|
|
Хруст
|
Наличие или отсутствие
хруста
|
|
Комкуемость разжевывании
|
при
|
Наличие или отсутствие
комкуемости
|
|
Крошковатость
|
Крошащийся, некрошащийся
|
|
|
|
|
*Трещинами считают разрывы, проходящие через верхнюю
поверхность корки в одном направлении.
**Подрывом считают разрывы между боковой и верхней
коркой у формового или по окружности нижней корки у подового хлеба: мелкие
разрывы до 0,5 см; крупные - свыше 0,5 см.
Эластичность мякиша определяют легким надавливанием на
поверхность среза двумя или тремя пальцами на глубину 1 см, быстрым отрывом их
от поверхности среза и наблюдением за скоростью восстановления его поверхности
в исходное положение. При полном отсутствии остаточной деформации эластичность
мякиша характеризуется хорошей, при незначительной, то есть при почти полном
восстановлении, - средней; при заминаемости мякиша и значительной остаточной
деформации - плохой.
Вкус и хруст хлеба определяют путем разжевывания
мякиша изделия.
После выставления пробантами оценок выводилась средняя
оценка образцов хлеба. Пример представлен в таблице 2.4.
Таблица 2.4 - Средняя оценка органолептического
показателя - внешнего вида изделия через 24 ч
|
Участники
|
I
|
II
|
III
|
IV
|
V
|
VI
|
Средняя оценка
|
|
Контроль
|
4
|
5
|
3
|
3
|
4
|
4
|
3,83
|
|
Образец с улучшителем УКХ-4
|
5
|
4
|
5
|
5
|
5
|
5
|
4,83
|
По остальным показателям расчет проводился аналогично.
На основании данных, полученных в ходе определения органолептической оценки,
обобщают результаты и подводят итог испытания путем построения профилограмм.
2.4 Определение свежести хлеба
Показателями, характеризующими свежесть хлеба, служат
крошковатость и сжимаемость мякиша хлеба.
2.4.1 Определение крошковатости мякиша хлеба (метод Ройтера)
Из мякиша хлеба вырезают два куска в форме параллелепипеда массой по 5 г
каждый и помещают в коническую колбу вместимостью 250 мл. Содержимое колбы
перемешивают в течение 5 мин. на вибрационной мешалке. Крошки, отделившиеся в
результате трения двух кусков друг от друга, собирают и взвешивают на
технических весах.
Крошковатость Х, % к массе мякиша хлеба, определяют по
формуле:
Где m1 и m2 - масса крошек и навески соответственно.
2.4.2 Определение крошковатости мякиша хлеба при разрезании
Из мякиша хлеба вырезают кусок в форме параллелепипеда
размером 6×6×6 см. Затем его дополнительно разрезают на восемь равных
частей. Крошки, отделившиеся в результате разрезания, собирают и взвешивают на
аналитических весах.
Крошковатость Х, % к массе мякиша хлеба, определяют по
формуле:
Где m1 и m2 - масса крошек и навески соответственно.
2.4.3 Определение сжимаемости мякиша хлеба
Из мякиша хлеба вырезают кусок в форме параллелепипеда
размером 6×6×6 см. На подготовленный кусок помещается часовое стекло, на
которое последовательно устанавливаются гири весом 500, 1000 и 1500 г. При этом
происходит деформация куска - его сжатие. В ходе эксперимента определяют высоту
образца до и после воздействия нагрузки.
Сжимаемость мякиша Х, % определяют по следующей
формуле:
Где h1 - высота образца при воздействия нагрузки;-
высота образца до воздействия нагрузки.
2.4.4 Определение коэффициента
водопоглощения мякиша
Готовят суспензию из мякиша и воды в соотношении 1:3
соответственно, путем вымачивания измельченных сухарей в дистиллированной воде
в течение 1 часа при комнатной температуре. Чтобы суспензия стала более
однородной, используют блендер (мешалку), который работал в течение 15 с на
низкой скорости и в течение 60 с на высокой. Устанавливают коэффициент водопоглощения
путем измерения количества воды, выделившейся из суспензии после
центрифугирования в лабораторной центрифуге «Ока» в течение 30 мин при 13000
оборотах в мин. Коэффициент водопоглощения выражают в процентах выделившейся
воды после центрифугирования, относительно начального веса суспензии.
2.5 Моделирование состава трехкомпонентной смеси и выбор оптимального
соотношения компонентов
Нередко для решения технологических задач требуется
исследовать свойства трехкомпонентной смеси при различных соотношениях
компонентов с целью определения ее оптимального качественного и количественного
состава. Подбор оптимального процентного соотношения компонентов представляет
значительную трудность, поскольку такие исследования обычно сопряжены с
проведением большого числа опытов, что не всегда возможно и эффективно. Для
решения этой задачи использовалось симплекс-центроидное планирование
эксперимента с получением регрессионной модели и графическим отображением
результатов в виде диаграмм «состав - свойство».
При планировании эксперимента факторное пространство
представляет собой правильный (q - 1)-мерный симплекс, а изучаемое свойство
является функцией аргументов и может быть с достаточной точностью представлено
полиномом. Каждая точка полинома соответствует одному определенному составу
смеси, выраженному в мольных, весовых, объемных долях или процентах. При q = 3
симплекс представляет собой треугольник, вершины которого соответствуют чистым
компонентам, а стороны - двойным смесям. В симплекс-центроидных планах Шеффе
для трехкомпонентной системы содержится 7 точек, 3 из которых приходится на
чистые компоненты, 3 - на двойные смеси и одно наблюдение - на трехкомпонентную
смесь (центральная точка плана). Матрица планирования представлена в таблице
2.5.
Таблица 2.5 - Матрица планирования эксперимента для
трехкомпонентной смеси
|
Число опытов
|
Х1
|
Х2
|
Х3
|
|
1
|
1
|
0
|
0
|
|
2
|
0
|
1
|
0
|
|
3
|
0
|
0
|
1
|
|
4
|
0,5
|
0,5
|
0
|
|
5
|
0,5
|
0
|
0,5
|
|
6
|
0
|
0,5
|
0,5
|
|
7
|
0,333
|
0,333
|
0,333
|
В соответствии с планом эксперимента, значение Xi -
содержания i-го компонента в исследуемой смеси - может варьироваться в пределах
от 0 до 1, при этом для всех точек плана выполняется условие Σ Xi = 1. При данных фиксированных
соотношениях компонентов проводится серия опорных экспериментов, в ходе которых
определяется значение функции отклика Y. Вычислительный эксперимент состоит в
получении поверхности отклика по модели при варьировании значений переменных по
всему факторному пространству и определении коэффициентов полиномов в уравнении
регрессии с использованием свойства насыщенности плана.
Даннаяпроцедураможетбытьреализованаврамкахмодуля
«Планирование эксперимента» пакета «STATISTICA 6.1».
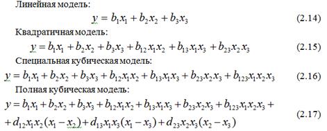
Для получения уравнения регрессии используют 4 стандартные модели:
Здесь y обозначает зависимую переменную, bij - коэффициенты
регрессии, xi - значения факторов.
К значениям зависимой переменной подгоняется
поверхность отклика возрастающей сложности, начиная с линейной и завершая
полной кубической моделью. Статистическая обработка данных заключается в
вычислении коэффициентов регрессии, проверке их значимости и установке
адекватности полученной регрессионной модели по критериям Стьюдента и Фишера в
доверительном интервале вероятности 95 %.
Конкретная подогнанная модель может быть
визуализирована в виде диаграммы поверхности на треугольнике или в виде
контурной диаграммы, которая может также включать соответствующую подогнанную
функцию. Пример диаграммы поверхности приведен на рисунке 2.1.
Рисунок 2.1 - Диаграмма поверхности отклика
Анализ подобных диаграмм позволяет легко находить
величину искомого технологического параметра при разном соотношении компонентов
и на практике прогнозировать свойства трехкомпонентной смеси.
2.6 Выбор методов определения свежести хлеба
Современные методы исследований позволяют получить
более полное представление об изменениях, происходящих при черствении хлеба, и
наметить пути замедления этого процесса.
Изменение свойств хлеба при хранении можно
характеризовать объективными инструментальными методами, исследованием
химических превращений составных его частей и органолептической оценкой.
В настоящее время разработаны и совершенствуются
объективные методы определения степени свежести хлеба, в основу которых
положена характеристика изменений свойств мякиша при его хранении и
перераспределение влаги внутри изделия.
Наиболее широкое распространение получили методы,
основанные на определении сжимаемости, крошковатости и влажности хлебобулочных
изделий. В ходе исследований была найдена методика определения коэффициента
водопоглощения мякиша, также позволяющая оценить степень свежести хлеба.
Данные показатели свежести можно разделить на две
группы:. показатели, характеризующие реологические свойства мякиша в
процессе хранения (сжимаемость и крошковатость);. показатели,
характеризующие степень удержание влаги внутри изделия (влажность и коэффициент
водопоглощения).
На первом этапе исследований проводилась оценка
методик определения свежести хлеба, с точки зрения погрешности измерений и
установления методик, которые бы давали минимальную ошибку эксперимента.
Были проведены четыре параллельных опыта определения
свежести хлеба по различным методикам на примере городской булки. Полученные
данные представлены в таблице 2.6.
Таблица 2.6 - Показатели свежести булки городской по
различным методикам определения
|
Число параллельных опытов
|
Сжимаемость (500г),%
|
Сжимаемость (1000г), %
|
Сжимаемость (1500г), %
|
Крошковатость при
разрезании, %
|
Крошковатость по Ройтеру, %
|
Влажность, %
|
Коэффициент водо-
поглощения мякиша, %
|
|
I группа
|
II группа
|
|
1
|
2,27
|
4,47
|
6,82
|
0,053
|
2,7
|
33,20
|
42,04
|
|
2
|
2,33
|
4,65
|
0,057
|
2,6
|
36,58
|
41,82
|
|
3
|
2,60
|
5,38
|
7,45
|
0,062
|
2,7
|
30,82
|
39,97
|
|
4
|
2,81
|
5,02
|
7,91
|
0,068
|
3,1
|
33,33
|
38,08
|
Используя программу «STATISTICA 6.1» была проведена
статистическая обработка полученных данных. Результаты по статистике
представлены в таблице 2.7.
Таблица 2.7 - Результаты статистической обработки
данных
|
Номер группы
|
Показатели
|
Среднее арифметическое
|
Среднее квадратичное
отклонение
|
Коэффициент вариации, %
|
Ошибка среднего
арифметического
|
Критерий надежности
среднего арифметического
|
Показатель точности опыта,
%
|
|
I
|
Сжимаемость (500г),%
|
2,50
|
0,25
|
9,99
|
0,125
|
20,02
|
5,0
|
|
Сжимаемость (1000г),%
|
4,88
|
0,404
|
8,29
|
0,202
|
24,16
|
4,1
|
|
Сжимаемость (1500г),%
|
7,29
|
0,49
|
6,72
|
0,245
|
29,76
|
3,4
|
|
Крошковатость при разрезании,
%
|
0,06
|
0,0065
|
10,83
|
0,00325
|
18,45
|
5,4
|
|
Крошковатость по Ройтеру, %
|
2,775
|
0,22
|
7,9
|
0,11
|
25,23
|
4,0
|
|
II
|
Влажность, %
|
33,48
|
2,37
|
7,08
|
1,185
|
28,25
|
3,5
|
|
Коэффициент водо-
поглощения мякиша, %
|
40,48
|
1,85
|
4,57
|
0,925
|
43,76
|
2,3
|
Согласно литературным данным коэффициент вариации
должен быть не более 33…35 %, что позволяет сделать вывод об относительно
невысокой колеблемости признака, о типичности, надежности средней величины, об
однородности совокупности. Если он более 33…35 %, то все приведенные выводы
следует изменить на противоположные. Как видно из приведенных данных все
методики дают надежные результаты, коэффициент вариации не превышает 11 %.
Если найденная величина критерия надежности среднего
арифметического больше 3 (Т > 3), то среднее арифметическое считается
надежным. В случае же, если Т < 3, найденное среднее нельзя считать надежным
и необходимо продолжать исследования, повышая точность измерений, число
параллелей и число опытов. Как видно из приведенных данных все методики имеют
высокие критерии надежности от 18 до 43.
Для характеристики разброса значений принято
пользоваться средним квадратичным отклонением: чем оно меньше, тем точнее
среднее арифметическое. Как видно из приведенных данных все методики имеют
невысокий разброс значений.
Показатель точности опыта является погрешностью опыта,
и чем он меньше, тем точнее является методика. Как видим из таблицы 2.6, для I
группы показателей наиболее точной является методика определения сжимаемости
мякиша при высокой нагрузке (1500 г), а для II группы - коэффициента
водопоглощения мякиша.
Следовательно, для того чтобы лучше оценить степень
свежести изделия, необходимо выбрать наиболее точные методы из каждой группы
показателей. Таким образом, далее в работе будут использованы методики для
определения таких показателей, как сжимаемость мякиша при высокой нагрузке
(1500 г), влажность и коэффициент водопоглощения.
3. Результаты и их обсуждение
Черствение хлеба является самым неприятным его
недостатком, который резко снижает потребительские свойства хлебобулочных
изделий. Продление сроков свежести испеченного хлеба является актуальной
задачей практиков и ученых хлебопечения. В свое время были защищены многие
диссертации по этому поводу, но на практике срок свежести хлеба в магазинах не
превышает 48 ч, то есть двух суток. Как видно из представленного аналитического
обзора причиной подобных изменений служит целый ряд сложных процессов,
протекающих с различной скоростью и касающихся основных компонентов хлебного
мякиша. На сегодняшний день основными факторами, определяющими изменения
текстуры мякиша при хранении, считаются ретроградация крахмала, изменения в
белковой части мякиша и перераспределение влаги между крахмалом и клейковиной.
Поиск путей замедления процесса черствения
представляется важной технологической задачей. Анализ научной литературы
показывает, что для ее выполнения перспективно использование хлебопекарных
улучшителей. Хлебопекарные улучшители в большинстве случаев представляют собой
композиционные смеси, компоненты которых имеют различную направленность
действия.
В данной работе при выборе компонентов хлебопекарного
улучшителя мы руководствовались тем, что каждый компонент композиции должен
оказывать воздействие как на биополимер (крахмал, белки), который
непосредственно или опосредовано, связан с процессами, протекающими при
черствении хлеба, так и задерживать влагу внутри изделия, тем самым снижая его
усушку.
Изменения свойств мякиша обусловлены, прежде всего,
перераспределением влаги между структурными компонентами изделия и частичной ее
потерей (усыханием). За счет высыхания слоев мякиша сжимаемость целого изделия
снижается. Мякиш из мягкого, легко сжимаемого, слегка влажного на ощупь, не
крошащегося, становится более сухим, крошащимся, твердым, менее сжимаемым.
Поэтому в качестве одного из компонентов комплексного улучшителя были выбраны
гидроколлоиды, а именно камеди, которые используются для изменения
реологических свойств продукта и для увеличения сроков хранения за счет
удержания влаги внутри изделия.
В процессе хранения черствение хлеба наступает не
только из-за потери хлебом влаги, доказано, что белковая составляющая также
имеет определенное значение. Изменением количества и качества клейковины можно
добиться более длительного сохранения свежести изделий не только за счет
возможного увеличения их удельного объема, но и снижения скорости черствения.
Поэтому в качестве второго компонента хлебопекарного улучшителя была выбрана
сухая пшеничная клейковина. Она обладает свойствами, которые позволяют
создавать стабильную структуру теста, повышать растяжимость клейковинного
каркаса, увеличивать газоудерживающую способность теста, улучшать физико-
химические и органолептические показатели качества хлебобулочных изделий.
Выбор ферментного препарата Veron®M4 с активностью
единичной грибной α-амилазы обусловлен его воздействием на крахмальные
цепи, связывающие кристаллы крахмала между собой, что сопровождается их
разрывом и ослаблением структуры мякиша в целом. В результате этого черствение
хлеба замедляется. Грибная амилаза отличается устойчивостью при передозировке,
побочный эффект от ее применения очень незначителен, она инактивируется на
более ранних стадиях выпекания (50…65 0С), что предотвращает риск избыточного
формирования декстринов при высоких температурах. Хлеб, приготовленный с
добавлением грибных амилаз, отличается сухим, нежным мякишем и лишен липкости.
Таким образом, в состав разрабатываемого улучшителя
вошли камеди (гуаровая и ксантановая), сухая пшеничная клейковина и ферментный
препарат Veron® М4 с единичной активностью грибной α-амилазы.
Для работы использовалось следующее сырье:
· мука пшеничная хлебопекарная высшего
сорта ГОСТ Р 52189-2003, принадлежащая ко II группе качества по клейковине
(выход сырой клейковины 32 %, показатель ИДК 85 усл. ед., удовлетворительно
слабая). Мука такого качества пригодна для хлебопечения (группа качества не
ниже II);
· дрожжи хлебопекарные «Саф-Момент»
сухие быстродействующие ТУ 9182-001-48975583-2000 с подъемной силой 48 мин.,
что соответствует требованиям стандарта (не более 70 мин.);
· соль поваренная пищевая ГОСТ Р
51574-2000;
· вода питьевая СанПиН 2.1.4.107-01;
· гуаровая камедь (Е412) фирмы «Sarda
Gums & Chemicals», Индия, партия № 20/262-11; массовая доля влаги не более
11 %, вязкость 1 % раствора через 2 ч не менее 5400 cPs, через 24 ч - не менее
5600 cPs);
· ксантановая камедь (Е415) фирмы
«Foodchem International Corporation», КНР, партия № 20100702; массовая доля
влаги не более 13 %, вязкость 1 % раствора не менее 1200 cPs);
· сухая пшеничная клейковина ТУ
9189-005-00932117-06У;
· ферментный препарат Veron®М4 с
активностью грибной α-амилазы (АС = 5272 ед/г препарата ).
Моделирование оптимального количественного состава
комплексного улучшителя для замедления процесса черствения хлеба с
использованием метода симплекс-планирования предполагает, что каждый компонент
смеси должен иметь определенную минимальную и максимальную дозировку (пределы
варьирования), которая в рамках матрицы планирования кодируется значениями 0 и
1 соответственно. Минимальная дозировка для всех трех добавок по условиям планирования
приравнивается к нулю. Максимальная дозировка определяется на подготовительном
этапе.
Для определения предельных значений дозировок
компонентов композиции было исследовано влияние каждой из добавок на свойства
клейковины и качество хлеба путем проведения пробных лабораторных выпечек
безопарным способом.
Согласно литературным данным все гидроколлоиды
повышают водопоглотительную способность теста. Поэтому была поставлена серия
экспериментов по влиянию гидроколлоидов на водопоглотительную способность муки.
В результате эксперимента было выявлено, что водопоглотительная способность
гуаровой камеди составляет 500 см3/100 г, ксантановой камеди - 230 см3/100 г,
смеси камедей в соотношении 1:1 - 400 см3/100 г, смеси ксантановой и гуаровой
камедей в соотношении 1:9 соответственно - 670 см3/100 г.
Далее было исследовано влияние каждой из добавок на
свойства клейковины в соответствии с ГОСТ 27839-88. Перед введением в тесто
гидроколлоид в необходимой дозировке смешивали с водой из расчета его
водопоглотительной способности и выдерживали в течение 30 мин. Набухший
гидроколлоид вносили в муку при замесе, после чего тесто оставляли на отлежку в
течение 20 мин, затем отмывали сырую клейковину и анализировали ее качество.
Гуаровую камедь вносили в количестве от 0,5 до 6 % от
массы муки. Ксантановую камедь - в количестве от 0,01 до 0,7 % от массы муки.
Результаты исследования сведены в таблицах 3.1 и 3.2 соответственно,
графическая интерпретация изменения количества сырой клейковины муки в
зависимости от вида и дозировки камедей представлена на рисунке 3.1.
Таблица 3.1 - Влияние гуаровой камеди на качество
сырой клейковины муки
|
Количество гуаровой камеди,
% от массы муки
|
Качество клейковины, ед.
прибора ИДК
|
Группа качества клейковины
|
Характеристика клейковины
|
|
контроль
|
85±5
|
II
|
Удовлетворительная слабая
|
|
0,5
|
85±5
|
II
|
Удовлетворительная слабая
|
|
1
|
90±5
|
II
|
Удовлетворительная слабая
|
|
2
|
90±5
|
II
|
Удовлетворительная слабая
|
|
3
|
90±5
|
II
|
Удовлетворительная слабая
|
|
4
|
90±5
|
II
|
Удовлетворительная слабая
|
|
5
|
95±5
|
II
|
Удовлетворительная слабая
|
|
6
|
-
|
III
|
Неудовлетворительно слабая
|
Таблица 3.2 - Влияние ксантановой камеди на качество
сырой клейковины муки
|
Количество ксантановой
камеди, % от массы муки
|
Качество клейковины, ед.
прибора ИДК
|
Группа качества клейковины
|
Характеристика клейковины
|
|
контроль
|
85±5
|
II
|
Удовлетворительная слабая
|
|
0,01
|
85±5
|
II
|
Удовлетворительная слабая
|
|
0,03
|
85±5
|
II
|
Удовлетворительная слабая
|
|
0,05
|
85±5
|
II
|
Удовлетворительная слабая
|
|
0,15
|
85±5
|
II
|
Удовлетворительная слабая
|
|
0,3
|
90±5
|
II
|
Удовлетворительная слабая
|
|
0,5
|
85±5
|
II
|
Удовлетворительная слабая
|
|
0,7
|
-
|
III
|
Неудовлетворительно слабая
|
Рисунок 3.1 - Изменение количества сырой клейковины
муки в зависимости от вида и дозировки камедей
Полученные экспериментальные данные свидетельствуют о
том, что гуаровая камедь ослабляет клейковину муки. При этом между количеством
вводимой добавки и качеством клейковины наблюдается прямая зависимость: чем
выше дозировка, тем «слабее» становится мука. При дозировке гуаровой камеди 5 %
от массы муки показатель ИДК увеличивается на 10 единиц. В эксперименте с
ксантановой камедью показатель ИДК практически не изменяется.
В обоих случаях при максимальных дозировках камедей
клейковина становится крошащаяся, представляет собой после отмывания губчатую,
легко рвущуюся массу и не формуется в шарик, что позволяет отнести ее согласно
ГОСТ 27839-88 к третьей группе качества, т.е. данная мука не может быть
пригодна для хлебопечения. Можно высказать предположение, что подобное явление
связано с перераспределением влаги между белками клейковины и гидроколлоидами.
Камеди, образуя пространственную решетку, нарушают структуру белковых молекул.
Этим можно объяснить и снижение выхода сырой клейковины после отмывания. При
добавлении начальных дозировок камедей количество клейковины практически не
изменяется, но при их увеличении структура белковых молекул разрушается и выход
клейковины снижается, что видно на рисунке 3.1.
Таким образом, максимально возможная дозировка
гуаровой камеди составляет 5 % от массы муки, ксантановой камеди - 0,5 %.
Результаты исследования сведены в таблице 3.3, графическая
интерпретация изменения количества сырой клейковины муки в зависимости от
дозировки смеси камедей представлена на рисунке 3.2.
Таблица 3.3 - Влияние совместного введения ксантановой
и гуаровой камедей (1:9) на качество сырой клейковины муки
|
Количество камедей, % от
массы муки
|
Качество клейковины, ед.
прибора ИДК
|
Группа качества клейковины
|
Характеристика клейковины
|
|
контроль
|
85±5
|
II
|
Удовлетворительная слабая
|
|
0,33
|
90±5
|
II
|
Удовлетворительная слабая
|
|
0,5
|
90±5
|
II
|
Удовлетворительная слабая
|
|
1
|
90±5
|
II
|
Удовлетворительная слабая
|
|
2
|
-
|
III
|
Неудовлетворительно слабая
|
Рисунок 3.2 - Изменение количества сырой клейковины
муки в зависимости от дозировки смеси камедей
Полученные экспериментальные данные свидетельствуют о
том, что добавление к муке смеси ксантановой и гуаровой камедей в соотношении
1:9 в дозировке до 1 % практически не влияет на качество клейковины муки, а при
большей дозировке клейковина становится не пригодной для хлебопечения. В
результате совместного использования камедей максимальная дозировка, при
которой происходит «ослабление» муки, наблюдается при меньших количествах
смеси, что можно объяснить синергетическим эффектом.
Таким образом, для дальнейшего исследования была
выбрана смесь камедей в количестве 1 %, т.к. при такой дозировке не нарушаются
реологические свойства клейковины.
Для того чтобы оценить влияние камедей на
перераспределение влаги внутри изделия, мы провели серию пробных лабораторных
выпечек безопарным способом [91]. Их вносили в тесто, как по отдельности, так и
в смеси в соотношении ксантановая камедь : гуаровая камедь = 1:9 [63].
Ксантановую камедь добавляли в тесто в количестве 0,05 % [42], гуаровую камедь
- 0,5 % от массы муки [60], а их смесь в количестве 1 % от массы муки, так как
именно такая дозировка не разрушает клейковинный каркас. Перед введением в
тесто гидроколлоид смешивали с водой из расчета его водопоглотительной
способности и выдерживали в течение 30 мин. Набухший гидроколлоид вносили в
тесто при замесе, после чего изделия формовали, расстаиваливтечение20…30
минивыпекалипритемпературе220 0С. Охлажденные изделия хранили в течение разных
промежутков времени (48, 72, 120 и 300 ч), а затем проводили оценку
перераспределения влаги внутри изделия по влажности в различных его зонах. Для
этого из центральной части
каждого изделия вырезали ломоть толщиной около 5 мм и
разрезали его на 7 частей, как показано на рисунке 3.3. Было принято, что
полученные части символизируют корку, подкорковую, среднюю и центральную зоны
изделия.
Рисунок 3.3 - Расположение семи частей центрального
ломтика хлеба Изменение реологических характеристик хлеба при черствении
На первом этапе работы оценивали распределение влаги
внутри отрезанного ломтика, хранившегося различное количество времени. Графическая
интерпретация представлена на рисунке 3.4.
Рисунок 3.4 - Влажность контрольного образца мякиша
при различной продолжительности хранения
Из представленного графика видно, что влажность хлеба
с течением времени снижается, что приводит к его усыханию. Наряду с этим
происходит и перераспределение влаги в хлебе. Изменение влажности для различных
зон контрольного образца хлеба представлены на рисунке 3.5.
Рисунок 3.5 - Изменение влажности внутри изделия с
течением времени
Как видно из экспериментальных данных в первые часы
хранения хлеба влажность подкорковой зоны мякиша снижается быстрее по сравнению
с влажностью внутренних частей изделия, при этом влажность корки наоборот
увеличивается. Это связано с тем, что после выхода изделия из печи корка
поглощает влагу из внутренних слоев, которая перемещается наружу и становится
более мягкой и эластичной. При очень длительном хранении корка вновь становится
твердой. Мякиш из мягкого, легко сжимаемого, слегка влажного на ощупь,
становится более сухим, крошащимся, твердым и менее сжимаемым. Влажность
центральной зоны хлебобулочного изделия выше, чем влажность средних и
подкорковых зон. Данная картина сохраняется в течение достаточно длительных
сроков хранения. При этом влажность постепенно снижается. Следовательно, в ходе
хранения влажность в различных частях изделия выравнивается.
Но, несмотря на это, разница между содержанием влаги
во внутренних и внешних частях изделия остается достаточно большой даже после
300 ч хранения.
В хлебобулочных изделиях камеди используются для
изменения реологических свойств продукта и увеличения сроков хранения за счет
удержания влаги в изделии. Поэтому на втором этапе работы в тесто добавляли
гидроколлоиды и исследовали их влияние на изменение содержания свободной влаги
в различных частях изделия. Результаты представлены на рисунке 3.6.
Рисунок 3.6 - Влажность образцов хлеба по истечению
120 ч хранения
Из представленного графика мы также видим, что
влажность центральной зоны контрольного образца отличается от образцов, которые
содержали в своем составе гидроколлоиды. Например, при продолжительности
хранения 120 ч влажность центральной зоны образца с добавлением ксантановой камеди
выше на 5 %, а с гуаровой камедью выше на 8 %, чем у контрольного образца с той
же продолжительностью хранения. Это свидетельствует о том, что гидроколлоиды
способны удерживать влагу внутри изделия в процессе хранения и замедляют ее
перемещение из внутренних частей в корку, тем самым предотвращая
преждевременное черствение хлеба.
Влияние времени хранения на содержание влаги
центральной зоны мякиша хлеба, полученного с добавлением различных
гидроколлоидов, по сравнению с контрольным образцом, представлено на рисунке
3.7.
Рисунок 3.7 - Влияние продолжительности хранения на
влажность центральной зоны мякиша хлеба
Из приведенных экспериментальных данных видно, что при
добавлении гидроколлоидов потеря влаги центральной зоной мякиша снижается. При
этом наибольший эффект достигается при использовании смеси ксантановой и
гуаровой камедей. Хлеб со смесью камедей через 300 ч хранения достигает той же
влажности, что и контрольный образец через 250 ч. Это можно объяснить тем, что
при смешивании двух камедей возникает синергетический эффект. По одной из
версий данный эффект возникает в результате того, что незамещенные области
гуаровой камеди объединяются с основной цепью ксантановой камеди, закрученной в
спираль [64-66]. В этом случае гуаровая камедь нарушает равновесное состояние
спирально-закрученной структуры ксантана и сдвигает его упорядоченные
конформации для более эффективного взаимодействия [69]. В результате этого
возникает межмолекулярное взаимодействие, и молекулы гуара значительно влияют
на спираль ксантана, которая приобретает еще более упругую структуру.
Таким образом, максимальный эффект снижения скорости
черствения хлеба будет проявляться при использовании смеси ксантановой и
гуаровой камедей. Продолжительность хранения хлеба с такой добавкой
увеличивается в среднем на 48 ч по сравнению с контрольным образцом.
Наряду с влажностью мякиша, также эффективным
показателем из данной группы, характеризующим степень удержания влаги внутри
изделия, является коэффициент водопоглощения. Данный показатель определяли
через 48, 72, 120 и 300 ч после выпечки изделия. По полученным данным построены
кривые изменения коэффициента водопоглощения при хранении (рис. 3.8).
Рисунок 3.8 - Зависимость коэффициента водопоглощения
от продолжительности хранения образцов
Наибольший объем воды выделяется из суспензии на
основе контрольного образца, а наименьший - из суспензии, содержащей смесь
камедей. При черствении хлеба снижается способность мякиша к набуханию и
поглощению воды, но в образце с добавками присутствуют камеди, которые
связывают и удерживают влагу, поэтому коэффициент водопоглощения у него ниже,
чем у контрольного образца. Также полученные данные можно объяснить
водопоглотительной способностью каждой камеди в отдельности, например,
водопоглотительная способность гуара в среднем в 2 раза выше, чем у ксантана,
следовательно, образец с добавлением гуаровой камеди выделит меньше влаги.
Эффективным показателем другой группы, характеризующим
реологические свойства мякиша в процессе хранения, является сжимаемость мякиша
при высокой нагрузке (1500 г). Данный показатель определяли через 48, 72, 120 и
300 ч после выпечки изделия. По полученным данным построена гистограмма
изменения сжимаемости мякиша при хранении (рис. 3.9).
Рисунок 3.9 - Зависимость сжимаемости мякиша от
продолжительности хранения хлеба
Полученные экспериментальные данные свидетельствуют о
том, что наилучший результат наблюдается у образца, содержащего гуаровую
камедь. Данная камедь способствует более равномерному перемещению и
распределению влаги по всему объему изделия в процессе хранения. Использование
смеси камедей в дозировке 1 % от массы муки позволяет хорошо удерживать влагу в
хлебе, но, к сожалению, показатель сжимаемости такого хлеба даже ниже, чем у
контрольного образца. Вероятно, это связано с тем, что влага слишком сильно
удерживается данной добавкой и практически не перемещается внутри изделия, в
результате этого оставшаяся часть изделия быстро обезвоживается и черствеет.
По сравнению с контрольным образцом использование
камедей позволяет значительно увеличить сжимаемость мякиша в 1,5…2 раза и
снизить коэффициент водопоглощения в среднем на 10 % через 120 ч хранения
образцов.
Далее была исследована эффективность совместного
использования камедей на качество хлеба путем проведения пробных лабораторных
выпечек безопарным способом. Смесь камедей в соотношении 1:9 вносили в
рекомендуемой дозировке в количестве 0,33…1 % от массы муки. Хлеб после выпечки
оставляли на хранение. Через 48, 72, 120 и 300 дней от выпечки определяли
показатели свежести изделия. По полученным данным построены кривые изменения
влажности хлеба, коэффициента водопоглощения и сжимаемости мякиша при хранении
(рис. 3.10- 3.12).
Рисунок 3.10 - Влажность образцов хлеба по истечению
120 ч хранения
Из рисунка 3.10 можно сделать вывод о том, что
наибольшей влажностью обладает образец хлеба со смесью камедей в дозировке 1 %,
так как именно такая дозировка лучше остальных замедляет перемещение влаги в
хлебе в процессе его хранения.
Рисунок 3.11 - Изменение коэффициента водопоглощения
мякиша в зависимости от продолжительности хранения
Из представленного графика видно, что наибольший объем
воды выделяется из суспензии на основе контрольного образца, а наименьший - из
суспензии, содержащей хлеб со смесью ксантановой и гуаровой камедей в дозировке
1 % от массы муки. Схожие результаты были получены при оценке изделия,
содержащего смесь камедей в дозировке 0,5 %. Это свидетельствует о том, что
добавка в таких количествах способна поглощать достаточное количество влаги и
замедлять ее перемещение в течение всего срока хранения готового продукта, тем
самым замедляя его черствение.
Рисунок 3.12 - Зависимость сжимаемости мякиша от
продолжительности хранения хлеба
Установлено, что мякиш изделий с добавлением смеси
гидроколлоидов в количестве 0,5 % имел более высокие значения показателей
сжимаемости в течение всего периода хранения.
Полученные экспериментальные данные свидетельствуют о
том, что применение смеси камедей в соотношении 1:9 существенно улучшает
показатели, характеризующие свежесть изделий. По сравнению с контролем
использование смеси позволяет значительно увеличить сжимаемость мякиша в 1,5…2
раза и снизить коэффициент водопоглощения в среднем на 10 % через 72 ч
хранения. Использование смеси камедей в дозировке 1 % от массы муки позволяет
хорошо удерживать влагу в хлебе, но показатель сжимаемости такого хлеба ниже,
чем у контрольного образца. Слишком сильное удержание влаги добавкой не
позволяет ей перемещается внутри изделия, в результате этого оставшаяся часть
изделия быстро обезвоживается и черствеет. Поэтому наилучший эффект достигается
при использовании смеси камедей в дозировке 0,5 % от массы муки.
Для создания модели композиции в качестве максимальной
была выбрана допустимая дозировка смеси камедей в количестве 1 % от массы муки,
поскольку превышение данного значения приведет к снижению качества клейковины,
и она станет не пригодной для хлебопечения (таблица 3.3).
Фирмой AB Enzymes выпускается несколько марок
ферментных препаратов с преобладающей амилолитической активностью: Veron® M4,
Veron® SX, Veron® 2000, Veron® Amylofresh. При этом они отличаются друг от
друга происхождением фермента (бактериальные, грибные), а также дополнительной
активностью.
Активность амилолитических препаратов была определена
колориметрическим методом на приборе КФК-2 (по ГОСТ 20264.4-89). Характеристика
и величина амилолитической активности ферментных препаратов приведена в таблице
3.4.
Таблица 3.4 - Характеристика ферментных препаратов
|
Veron® M4
|
Veron® SX
|
Veron® 2000
|
Veron® Amylofresh
|
|
Описание активности
|
Активность грибной амилазы
|
Активность грибной амилазы
и дополнительно бактериальной ксиланазы
|
Активность грибной амилазы
и грибной ксиланазы
|
Активность специальной
амилазы
|
|
Амилолитическая активность,
(АС), ед./г
|
5272
|
1219
|
1110
|
841
|
В рамках данного исследования наиболее целесообразным
представляется использование препарата Veron® М4, характеризующегося высокой
величиной активности грибной амилазы. Амилолитическая активность может быть
двух видов: декстринизирующая и осахаривающая. Для определения вида
амилолитической активности данного ферментного препарата была проведена ее
оценка по экспресс-выпечке [91]. Ферментный препарат Veron® M4 обладает в
основном декстринизирующей способностью. При его добавлении в тесто мякиш
получался липкий и темный, что свидетельствовало о накоплении значительного
количества декстринов.
При исследовании влияния ферментного препарата Veron®
М4 дозировка препарата выбиралась на основании рекомендаций фирмы-производителя
и по автолитической пробе [91]. Результаты автолитической активности в
зависимости от дозировки ферментного препарата приведены в таблице 3.5.
Таблица 3.5 - Показатель автолитической активности для
пшеничной муки
|
Показатель
|
Требование ГОСТ 27495-87
для муки высшего сорта
|
Дозировки ФП Veron® M4, %
от массы муки
|
|
|
0,001
|
0,01
|
0,03
|
0,05
|
|
Автолитическая активность
по автолитической пробе, % на СВ
|
При нормальном содержании
клейковины среднего и хорошего качества не более 29
|
10
|
12
|
25
|
35
|
|
Автолитическая активность
по экспресс-выпечке
|
Форма правильная, без
подрывов, корочка равномерно окрашена, мякиш достаточно сухой
|
Форма правильная, без
подрывов, корочка равномерно окрашена, мякиш достаточно сухой
|
Мякиш липкий, темный
|
Исходя из данных, представленных в таблице 3.5,
максимальная дозировка фермента Veron® M4 для последующих пробных лабораторных
выпечек была определена на уровне 0,03 % от массы муки, поскольку хлеб,
выпеченный из муки с повышенной способностью к автолизу, будет иметь липкий,
заминающийся мякиш, темноокрашенную корку, пустоты в мякише и другие дефекты.
В ходе исследования изучалось влияние препарата на
сохранение свежести хлеба. Были определены показатели, характеризующие свежесть
изделия в зависимости от дозировки Veron® М4. На основе экспериментальных
данных построены зависимости изменения сжимаемости мякиша и коэффициента
водопоглощения при хранении хлеба от дозировки ферментного препарата по
сравнению с контрольным образцом (рисунки 3.13 и 3.14).
Из экспериментальных данных видно, что лучшие
результаты показал хлеб с добавлением фермента в количестве 0,01 % от массы
муки. По сравнению с контролем использование ферментного препарата Veron® М4 в
такой дозировке позволяет значительно увеличить сжимаемость мякиша в 1,5 раза и
снизить коэффициент водопоглощения в среднем на 20 % через 72 ч хранения.
Замедление черствения хлеба объясняется изменениями в структуре и свойствах
крахмала под действием α-амилаз.
Рисунок 3.13 - Зависимость сжимаемости мякиша от
продолжительности хранения хлеба
Рисунок 3.14 - Изменение коэффициента водопоглощения
мякиша в зависимости от продолжительности хранения
Частичный гидролиз амилопектина с образованием
соединений меньшей молекулярной массы позволяет снизить скорость его
ретроградации и уменьшить размеры образующихся при этом кристаллов. Кроме того,
под действием эндо-ферментов происходит разрыв крахмальных цепей, связывающих
кристаллы крахмала между собой, что сопровождается ослаблением структуры мякиша
в целом и как следствие - более высокими показателями сжимаемости при хранении.
В свою очередь, гидролитическое расщепление цепей амилозы увеличивает их
подвижность и ускоряет их ассоциирование. В результате образуется более прочная
сеть, внутри которой дальнейшие перестроения молекул биополимеров и
взаимодействия между ними затруднены и протекают с меньшей скоростью.
Для создания модели композиции в качестве максимальной
дозировки была выбрана допустимая дозировка фермента в количестве 0,03 % от
массы муки, поскольку превышение данного значения приведет к увеличению
показателя автолитической активности муки.
Пшеничный глютен вносили в количестве до 10 % от массы
муки. Результаты исследований представлены в таблице 3.6, графическая
интерпретация изменения количества клейковины муки в зависимости от количества
внесенного пшеничного глютена представлена на рис. 3.15.
Таблица 3.6 - Влияние пшеничного глютена на качество
клейковины
|
Количество
пшеничного глютена, % от массы муки
|
Качество
клейковины, ед. прибора ИДК
|
Группа качества
клейковины
|
Характеристика
клейковины
|
|
контроль
|
85±5
|
II
|
Удовлетворительная
слабая
|
|
2
|
80±5
|
II
|
Удовлетворительная
слабая
|
|
4
|
80±5
|
II
|
Удовлетворительная
слабая
|
|
6
|
75±5
|
I
|
Хорошая
|
|
8
|
75±5
|
I
|
Хорошая
|
|
10
|
75±5
|
I
|
Хорошая
|
Рисунок 3.15 - Изменение количества клейковины муки в
зависимости от количества внесенного пшеничного глютена
Полученные экспериментальные данные свидетельствуют о
том, что внесение пшеничного глютена увеличивает выход сырой клейковины в
зависимости от дозировки добавки, что вполне логично, т.к. при внесении данной
добавки дополнительно вносятся белки пшеницы. При добавлении 10 % глютена
количество сырой клейковины увеличивается практически в 1,5 раза.
Как видно из таблицы 3.6, вносимый пшеничный глютен
укрепляет клейковину. Внесение пшеничного глютена в дозировке от 6 % и выше
снижает показатель ИДК на 10 единиц. Вероятно, это связано с преобладанием в
его составе глютениновой фракции, которая, в отличие от глиадиновой фракции,
при замесе теста образует плотную упругую массу, тем самым положительно влияя
на структурно-механические свойства клейковины муки [97].
Анализ полученных данных показал, что качество
клейковины не изменяется при внесении глютена от 6 % и выше. Также известно,
что добавление большего количества глютена нецелесообразно ввиду его высокой
стоимости и - как следствие - удорожания изделий. Таким образом, максимальная
дозировка глютена при планировании эксперимента составит 6 % от массы муки. Для
того чтобы оценить влияние глютена на степень удержания влаги внутри изделия,
мы провели серию пробных лабораторных выпечек безопарным способом. Влияние
времени хранения на содержание влаги центральной зоны мякиша хлеба, полученного
с добавлением различных дозировок глютена, по сравнению с контрольным образцом,
представлено на рисунке 3.16.
Рисунок 3.17 - Влияние продолжительности хранения на
влажность центральной зоны мякиша хлеба
Из рисунка 3.17 видно, что при добавлении сухой
пшеничной клейковины (СПК) потеря влаги центральной зоной мякиша меньше, чем у
контрольного образца. При этом наибольший эффект достигается при использовании
4 % и 6 % глютена. Это можно объяснить тем, что СПК способна связывать воду и
тем самым повышать водопоглотительную способность теста [85].
Наряду с влажностью мякиша, также эффективным
показателем из данной группы, характеризующим степень удержания влаги внутри
изделия, является коэффициент водопоглощения. Данный показатель определяли
через 48, 72, 120 и 300 ч после выпечки изделия. По полученным данным построены
кривые изменения коэффициента водопоглощения при хранении (рис. 3.17).
Рисунок 3.17 - Изменение коэффициента водопоглощения
мякиша в зависимости от продолжительности хранения
Из данного рисунка видно, что количество воды, которое
выделяется от суспензии на основе контрольного образца хлеба всегда выше, чем
то количество воды, которое выделяется от суспензий на основе хлеба с
добавлением глютена. При добавлении 2 % глютена зависимость коэффициента
водопоглощения от продолжительности хранения образцов практически совпадает с
контрольным образцом, что свидетельствует о малой эффективности данной
дозировки глютена. Лучший результат показал образец с добавлением глютена в
количестве 6 % от массы муки.
Эффективным показателем другой группы, характеризующим
реологические свойства мякиша в процессе хранения, является сжимаемость мякиша
при высокой нагрузке (1500 г). Данный показатель определяли через 48, 72, 120 и
300 ч после выпечки изделия. По полученным данным построена гистограмма
изменения сжимаемости мякиша при хранении (рис. 3.18).

Полученные экспериментальные данные свидетельствуют о
том, что использование глютена позволяет увеличить сжимаемость мякиша в 1,5…2
раза по сравнению с контрольным образцом. Это происходит за счет того, что СПК
позволяет укрепить физические и реологические свойства теста; увеличить срок
сохранения свежести готовых изделий; улучшить структурно- механические свойства
мякиша, а также увеличить выход готовых изделий. При добавлении СПК в
количестве 4 % и 6 % сжимаемость практически одинаковая. Следовательно, для
снижения себестоимости продукции оптимальной дозировкой по результатам
лабораторных выпечек является 4 % пшеничного глютена.
Для создания модели композиции в качестве максимальной
дозировки была выбрана допустимая дозировка глютена в количестве 6 % от массы
муки, поскольку превышение данного значения не приведет к улучшению
хлебопекарных свойств муки.
На втором этапе исследования для определения
эффективности совместного использования выбранных улучшителей, а также для
определения оптимального состава смеси была проведена серия опытов с
реализацией симплекс-центроидных планов Шеффе с последующим графическим
отображением предполагаемого эффекта в виде диаграмм «состав - свойство». В
качестве варьируемых факторов были выбраны дозировки смеси камедей, сухой
пшеничной клейковины и ферментного препарата. Функцией отклика (зависимой
переменной) являлось изменение коэффициента водопоглощения мякиша.
Вычислительный эксперимент состоял в получении поверхности отклика по модели
при варьировании значений переменных по всему факторному пространству.
Проведена серия опорных экспериментов, в которых значения функции отклика
определены при различных фиксированных соотношениях компонентов.
Матрица планирования симплексной решетки для
исследуемой системы и результаты опытов представлены в табл. 3.6.
Полученные данные были описаны полиномом неполного
третьего порядка. Коэффициенты полиномов получены с использованием свойства
насыщенности плана. Уравнения регрессии имеет следующий вид:
Где Y1 - значение сжимаемости мякиша;- значение
коэффициента водопоглощения мякиша;, X2, X3 - содержание смеси камедей, глютена
и Veron М4 в составе композиции улучшителя.
Согласно полученной модели была построена диаграмма
«состав - свойства». Линии уровня функции отклика нанесены в площади
треугольника, для наглядного изображения изменения величины коэффициента
водопоглощения при варьировании состава улучшителя. Это позволяет на практике
прогнозировать качество готовых изделий при выбранном соотношении компонентов. Полученная
диаграмма свойств трехкомпонентной смеси представлена на рис. 3.19.
Таблица 3.6 - Матрица планирования и результаты
эксперимента
|
Варьируемые переменные
|
Отклик
|
|
Кодированные значения, ед.
|
Действительные значения, %
|
Сжимае- мость мякиша, %
|
Коэффициент водопоглощения,
%
|
|
Смесь камедей
|
Глю- тен
|
Veron М4
|
Смесь камедей
|
Глю- тен
|
Veron М4
|
|
|
|
X1
|
X2
|
X3
|
X1
|
X2
|
X3
|
Y1
|
Y2
|
|
1
|
0
|
0
|
1
|
0
|
0
|
7,2
|
33,2
|
|
0
|
1
|
0
|
0
|
6
|
0
|
21,1
|
34,1
|
|
0
|
0
|
1
|
0
|
0
|
0,03
|
16,2
|
35,2
|
|
0,5
|
0,5
|
0
|
0,5
|
3
|
0
|
19,2
|
31,8
|
|
0,5
|
0
|
0,5
|
0,5
|
0
|
0,015
|
14,4
|
32
|
|
0
|
0,5
|
0,5
|
0
|
3
|
0,015
|
20,2
|
33,5
|
|
0,333
|
0,333
|
0,333
|
0,333
|
1,998
|
0,00999
|
25,7
|
31,3
|
Рисунок 3.19 - Изменение сжимаемости мякиша через 72 ч
хранения в зависимости от состава комплексного улучшителя
Исходя из диаграммы, представленной на рисунке 3.16,
можно спрогнозировать оптимальную область композиционного состава улучшителя.
Разработанный комплексный улучшитель максимально продлевающий свежесть хлеба
имеет в своем составе следующее оптимальное соотношение компонентов, % от массы
муки:
• смесь камедей - 0,3…0,5 %
• пшеничный глютен - 2…3 %
• ферментный препарат Veron® М4 - 0,008… 0,009
%.
Диаграмма для коэффициента водопоглощения мякиша (рис.
3.20) носит обратный характер, однако оптимальная область находится примерно в
этих же пределах.
Рисунок 3.20 - Изменение коэффициента водопоглощения
мякиша через 72 ч хранения в зависимости от состава комплексного улучшителя
На основе сравнения двух диаграмм был выбран
конкретный композиционный состав хлебопекарного улучшителя УКХ-4, % от массы
муки:
смесь камедей - 0,35;
глютен - 2,0;® М4 - 0,009.
Эффективность использования улучшителя УКХ-4 была
проверена путем проведения пробных лабораторных выпечек образцов хлеба и
сравнения их с контрольным образцом. Пробные выпечки в условиях лаборатории
осуществлялись в печи «Moulinex Home Bread» по режиму, приведенному в п. 2.2
Рецептура для проведения пробной лабораторной выпечки приведена в таблице 3.7.
Таблица 3.7 - Рецептура теста на 100 г муки и
показатели процесса
|
Наименование сырья и
показателей процесса
|
Расход сырья и параметры
процесса
|
|
Контрольный образец
|
Образец с улучшителем
|
|
1
|
2
|
3
|
|
Мука пшеничная
хлебопекарная высший сорт, масс. %
|
100
|
100
|
|
Дрожжи хлебопекарные сухие
быстродействующие, масс. %
|
1
|
1
|
|
Соль поваренная пищевая,
масс. %
|
1,5
|
1,5
|
|
Смесь камедей, масс. %
|
-
|
0,35
|
|
Глютен, масс %
|
-
|
2,0
|
|
Veron М4, масс. %
|
-
|
0,009
|
|
Вода, см3
|
239
|
267
|
|
Температура воды, °С
|
38,4
|
38,4
|
Полученные образцы хлеба были проанализированы на
предмет соответствия требованиям стандартов по таким критериям как влажность,
пористость и кислотность. Полученные экспериментальные данные представлены в
табл. 3.8.
Таблица 3.8 - Основные нормируемые показатели качества
готовой продукции
|
Показатели
|
Требование ГОСТ
26987-86 для формового хлеба из пшеничной муки высшего сорта
|
Контрольный
образец
|
Образец с улучшителем
|
|
Кислотность, 0Н
|
Не более 3,0
|
1,6±0,5
|
1,9±0,5
|
|
Пористость, %
|
Не менее 74
|
80±1
|
83±1
|
|
Влажность, %
|
Не более 44
|
41,5±1
|
42,0±1
|
|
Объем изделия,
см3
|
Не нормируется
|
2195±30
|
2976±30
|
Далее было исследовано влияния улучшителя УКХ-4 на
органолептические показатели готового хлеба через 24 ч и 72 ч. Был проведен
профильный дегустационный анализ хлеба, полученного в результате пробной
лабораторной выпечки, дескрипторами были выбраны показатели, характеризующие
органолептические свойства продукта. Дегустационный совет состоял из шести
человек, каждый из которых оценивал органолептические показатели по
пятибалльной шкале: 5 баллов означало - самый мягкий и свежий вариант хлеба, 1
балл - самый черствый и жесткий хлеб. Результаты профильного дегустационного
анализа хлеба приведены в таблицах 3.9 и 3.10.
Таблица 3.9 - Результаты профильного дегустационного
анализа хлеба через 24 часа
|
Оцениваемые показатели
|
Баллы пробантов
|
Средняя оценка
|
|
I
|
II
|
III
|
IV
|
V
|
VI
|
|
|
КО
|
У К Х -4
|
КО
|
У К Х -4
|
КО
|
У К Х -4
|
КО
|
У К Х -4
|
КО
|
У К Х -4
|
КО
|
У К Х -4
|
КО
|
У К Х -4
|
|
Внешний вид
|
4
|
5
|
5
|
4
|
3
|
5
|
3
|
5
|
4
|
5
|
4
|
5
|
3,8
|
4,8
|
|
Цвет корки
|
3
|
4
|
3
|
5
|
3
|
5
|
2
|
5
|
2
|
5
|
3
|
5
|
2,7
|
4,8
|
|
Пористость
|
4
|
5
|
3
|
5
|
4
|
5
|
4
|
4
|
5
|
5
|
4
|
5
|
4
|
4,8
|
|
Цвет мякиша
|
4
|
5
|
5
|
5
|
3
|
4
|
3
|
5
|
4
|
5
|
4
|
5
|
3,8
|
4,8
|
|
Эластичность
|
5
|
4
|
4
|
4
|
4
|
5
|
5
|
4
|
5
|
4
|
5
|
4
|
4,7
|
4,2
|
|
Хруст
|
4
|
4
|
4
|
5
|
3
|
5
|
3
|
5
|
4
|
4
|
5
|
5
|
3,8
|
4,7
|
|
Вкус
|
4
|
5
|
3
|
4
|
3
|
5
|
4
|
5
|
4
|
5
|
4
|
5
|
3,7
|
4,8
|
|
Разжевываемость
|
5
|
4
|
4
|
4
|
4
|
4
|
5
|
4
|
5
|
5
|
5
|
4
|
4,7
|
4,2
|
|
Крошковатость
|
4
|
5
|
3
|
4
|
3
|
5
|
4
|
5
|
5
|
5
|
4
|
5
|
3,8
|
4,8
|
|
Суммарная оценка
|
35
|
41,9
|
Таблица 3.10 - Результаты профильного дегустационного
анализа хлеба через 72 часа
|
Оцениваемые показатели
|
Баллы пробантов
|
Средняя оценка
|
|
I
|
II
|
III
|
IV
|
V
|
VI
|
|
|
КО
|
У К Х -4
|
КО
|
У К Х -4
|
КО
|
У К Х -4
|
КО
|
У К Х -4
|
КО
|
У К Х -4
|
КО
|
У К Х -4
|
КО
|
У К Х -4
|
|
Внешний вид
|
4
|
5
|
5
|
4
|
3
|
5
|
3
|
5
|
4
|
5
|
5
|
3,8
|
4,8
|
|
Цвет корки
|
3
|
4
|
3
|
5
|
3
|
5
|
2
|
5
|
2
|
5
|
3
|
4
|
2,7
|
4,7
|
|
Пористость
|
4
|
5
|
3
|
5
|
4
|
4
|
4
|
5
|
5
|
5
|
4
|
5
|
4
|
4,8
|
|
Цвет мякиша
|
4
|
5
|
5
|
5
|
3
|
4
|
3
|
5
|
4
|
5
|
4
|
5
|
3,8
|
4,8
|
|
Эластичность
|
3
|
4
|
2
|
4
|
2
|
3
|
3
|
4
|
3
|
4
|
3
|
3
|
2,7
|
3,7
|
|
Хруст
|
4
|
4
|
3
|
5
|
4
|
3
|
5
|
4
|
4
|
4
|
4
|
4
|
4
|
4
|
|
Вкус
|
4
|
4
|
3
|
3
|
3
|
5
|
3
|
5
|
4
|
5
|
3
|
5
|
3,3
|
4,5
|
|
Разжевываемость
|
3
|
4
|
2
|
4
|
2
|
3
|
2
|
4
|
3
|
4
|
3
|
4
|
2,5
|
3,8
|
|
Крошковатость
|
2
|
3
|
2
|
4
|
2
|
4
|
3
|
3
|
3
|
5
|
2
|
4
|
2,3
|
3,8
|
|
Суммарная оценка
|
29,1
|
38,9
|
Где КО - контрольный образец;
УКХ-4 - образец с добавлением улучшителя УКХ-4
Профилограммы качества хлеба через 24 ч и 72 ч,
приготовленного с добавлением полученного улучшителя, представлены на рисунках
3.19 и 3.20 соответственно.
Рисунок 3.21 - Профилограмма органолептической оценки
образцов хлеба через 24 часа
Рисунок 3.22 - Профилограмма органолептической оценки
образцов хлеба через 72 часа
Суммарная оценка образцов за 24 ч и 72 ч испытаний
составила: контроль - 35 баллов и 29,1 балл, образец с улучшителем УКХ-4 - 49,1
балл и 38,9 баллов соответственно.
Сравнительный анализ полученных образцов, позволяет
сделать вывод, что добавка УКХ-4 способствует улучшению внешнего вида, вкуса,
цвета корки и мякиша изделия. Также было выяснено, что в результате хранения
(через 72 ч) образец с улучшителем УКХ-4 имел более высокие показатели
эластичности и разжевываемости по сравнению с контролем, что свидетельствует о
том, что данный хлеб дольше остается свежим и мягким. Внешний вид полученных
образцов приведен на рисунке 3.23.
Контрольный образец Образец с улучшителем
Рисунок 3.23 - Образцы, полученные при проведении
пробных лабораторных выпечек через 72 ч хранения
Оба полученных образца соответствуют требованиям
стандарта. Необходимо также отметить, что образец с улучшителем превосходит
контрольный образец по объему изделия на 36 % и по пористости мякиша на 4 %.
Результаты измерений показателей свежести хлеба представлены в таблице 3.9.
Таблица 3.11 - Показатели, характеризующие свежесть
изделия
|
Показатели
|
Контрольный образец
|
Образец с улучшителем
|
|
48 ч
|
72 ч
|
48 ч
|
72 ч
|
|
Сжимаемость (1500 г), %
|
10,8±0,2
|
5,3±0,2
|
32,8±,02
|
24,7±0,2
|
|
Коэффициент водопоглощения,
%
|
34,2±0,9
|
38,1±0,9
|
27,3±0,9
|
31,3±0,9
|
При черствении хлеба снижается сжимаемость и возрастает
его коэффициент водопоглощения. Как видно из представленных данных, добавление
комплексного улучшителя привело к улучшению практически всех качественных
показателей хлебобулочных изделий. Показатели, характеризующие свежесть
изделий, также существенно улучшились, что свидетельствует об эффективности
применения улучшителя разработанного состава для замедления процесса
черствения. Использование такой добавки позволяет продлить срок хранения
свежести хлеба до 72 ч.
Таким образом, результаты данной работы свидетельствуют
о перспективности использования улучшителя УКХ-4 в хлебопечении, обеспечивающим
не только улучшение органолептических, но и физико- химических показателей.
Выводы
В данной работе исследована возможность использования
биоинновационных технологий для корректировки исходных свойств сырья и
повышения качества хлебобулочных изделий.
На основании литературных данных для замедления
процесса черствения хлеба был проведен выбор компонентов хлебопекарного
улучшителя, который включал в себя смесь гуаровой и ксантановой камедей,
пшеничный глютен, ферментный препарат с активностью грибной амилазы.
В результате экспериментальных исследований было
подтверждено положительное влияние данных компонентов на сохранение свежести и
улучшение структурно-механических свойств хлеба. Определены оптимальные
дозировки каждого из компонентов.
Оптимальный количественный состав композиционного
улучшителя был определен с реализацией симплекс-центроидных планов Шеффе.
Проведен ряд пробных лабораторных выпечек, на основе
которых установлено, что использование разработанного комплексного улучшителя
позволяет продлить срок сохранения свежести хлеба до 72 часов.
Образцы хлебобулочных изделий соответствуют
требованиям стандарта по всем органолептическим и физико-химическим показателям.
черствение хлеб
глютен улучшитель
Список использованных источников
1. Spiecher G., Brummer J. M. Baked Goods: Biotechnology:
12-volume comprehensive treatise. Vol. 9. Enzymes, Biomass, Food and Feed; еd.
By G. Reed, T. W. Nagodawithana. 2nd ed., completely rev. Weinheim [etc.]: VCH,
1995. 804 p.
2. Валентас К.Дж., Ротштейн Э., Сингх Р. П. Пищевая инженерия:
справочник с примерами расчетов; пер. с англ. под общ. науч. ред. А. Л. Ишев
ского. СПб.: Профессия, 2004. 848 с.
3. Золоева Г.В. Оценка качества хлеба - дело серьезное // Методы
оценки соответствия. 2010. №10. С. 22-27.
4. Матвеева И. В., Юдина Т. А. Современные биоинновационные
технологии для решения приоритетных задач хлебопекарной промышленности //
Хлебопекарное производство. 2010. №8. С. 95-101.
5. Горячева А. Ф., Кузьминский Р. В. Сохранение свежести хлеба.
М.: Легкая и пищевая промышленность, 1983. 240 с.
6. Piazza L., Masi P. Moisture redistribution throughout the
bread loaf during staling and its effect on mechanical properties // Cereal Chemistry.
1995. Vol. 72. № 3. P. 320-325.
7. Gray J. A., Bemiller J. N. Bread staling: Molecular basis and
control // Comprehensive Reviews in Food Science and Safety. 2003. Vol. 2. № 1.
P. 1-21.
8. Lai H. M., Lin T. C. Bakery Products: Science and Technology;
еd. by Y. H. Hui. Oxford: Blackwell Publishing, 2006. P. 3-69.
9. Slade L., Levine Н. Beyond water activity: Recent advances
based on an alternative approach to assessment of food quality and safety //
CRC Critical Reviews in Food Science and Nutrition. 1991. Vol. 30. №2-3. P.
115-360.
.Еремеева В. Сага о хлебе. Правильно сохраненном // Кухни и ванные
комнаты. 2002. №6. C.96-99
11. Baik M. Y., Chinachoti Р. Moisture redistribution and phase
transitions during bread staling // Cereal chemistry. 2000. Vol. 77. № 4. P.
484-488.
12. Ribotta P. D., Le Bailc А. Thermo-physical assessment of
bread during staling // LWT - Food Science and Technology. 2007. Vol. 40. № 5.
P. 879-884.
13. Eliasson A. C., Larsson К. Cereals in Breadmaking: A
Molecular Colloidal Approach. - New York: Marcel Dekker, 1993. 376 S.
14 Ауэрман Л.Я. Технология хлебопекарного производства: учебник.
9-е изд., перераб и доп.; под общ. ред. Л.И. Пучковой. СПб.: Профессия, 2005.
416 с.
15 .Пучкова Л. И., Паландова Р. Д., Матвеева И. В. Технология
хлеба, кондитерских и макаронных изделий. Часть 1. Технология хлеба. СПб.:
ГИОРД, 2005. 559с.
16. Goesaert Н., Slade L., Levine H. et. al. Amylases and bread
firming - an integrated view // Journal of Cereal Science. 2009. Vol. 50. № 3.
P. 345- 352.
17. Xie F. The study of bread staling using visible and
near-infrared reflectance spectroscopy: PhD thesis. Manhattan: Kansas State
University, 2002. 104 p. 18.Goesaert Н., Brijs K., Veraverbeke S.W. et. al.
Wheat flour constituents: How they impact bread quality, and how to impact
their functionality//in Food Science and Technology. 2005. Vol. 16. № 1-3. P.
12-30.
19. Tester R. F., Karkalas J., Qi X. Starch - composition, fine
structure and architecture // Journal of Cereal Science. 2004. Vol. 39. № 2. P.
151-165.
20. Kim S. K., D’Appolonia B. L. Bread staling studies // Cereal
Chemistry.1977. Vol. 54. № 2. P. 207-229.
21 Химия и технология крахмала; под ред. Р. В. Керра; перевод с
англ.
М., 1956. 579 с.
22 .Цыганова Т.Б. Технология хлебопекарного производства: учеб.
для нач. проф. образования. М.: ПрофОбрИздат, 2002. 432 с.
23. Imberty А., Buleon A., Perez S. et. al. Recent advances in
knowledge of starch structure // Starch. 2006. Vol. 43. № 10. P. 375-384.
24. Pateras I. M. C. Bread spoilage and staling // Technology of
Breadmaking; еd. by S. P. Cauvain, L. S. Young. - 2nd ed. - Berlin: Springer,
2007. - P. 275-298.
25. Ribotta P. D., Cuffini S., León A.E. et. al. The staling of bread:
An X-ray diffraction study // European Food Research and Technology. 2004. Vol.
218. № 3. P. 219-223.
26. Schiraldi A., Fessas D. Mechanism of staling: An overview //
Bread Staling; еd. by P. Chinachoti, Y. Vodovotz. - Boca Raton, Florida : CRC
Press, 2000. P. 1-17.
27. Pérez S., Bertoft E. The molecular
structures of starch components and their contribution to the architecture of
starch granules: a comprehensive review
// Starch. 2010. Vol. 62. № 8. P. 389-420.
.Козьмина Н. П. Биохимия хлебопечения. 2-е изд., перераб. и доп. М.:
Пищевая промышленность, 1978. 278 с.
.Vittadini E., Vodovotz Y. Changes in the physicochemical properties of
wheat- and soy-containing breads during storage as studied by thermal analyses
// Journal of Food Science. 2003. Vol. 68. № 6. P. 2022-2027.
30 .Экспертиза хлеба и хлебобулочных изделий. Качество и
безопасность: Учеб.-справ. пособие / А. С. Романов [и др.]; под общ. ред. В. М.
Позняковского. 2-е изд., испр. Новосибирск: Сиб. унив. изд-во, 2007. 278 с.
31 .Ким Л. В. О черствении хлеба // Хлебопекарная и кондитерская
промышленность. 1975. № 5. С.19-20.
32. Duran E., Leon A., Barber B. et. al. Effect of low molecular
weight dextrins on gelatinization and retrogradation of starch // European Food
Research and Technology. 2001. Vol. 212. № 2. P.203-207.
33. Błaszczak W., Sadowska J., Rosell C. M. et.
al. Structural changes in the wheat dough and bread with the addition of
alpha-amylases // European Food Research and Technology. 2004. Vol. 219. № 4.
P. 348-354.
34. Enzymes in Breadmaking: Bakery Products: Science and
Technology / H. Goesaert [et. al]; еd. by Y. H. Hui. Oxford: Blackwell
Publishing, 2006. P. 337-364.
35. Van der Maarel M. J. E. C., Van der Veen B. B., Uitdehaag J.
C. M. J. C. et. al. Properties and applications of starch-converting enzymes of
the α- amylase family // Journal of Biotechnology.2002.
Vol. 94. № 2. P. 137-155. 36.Chung O. K., Pomeranz Y., Finney K. F. Wheat flour
lipids in breadmaking // Cereal Chemistry. 1978. Vol. 55. № 5. P. 598-618.
37. Sawa К., Inoue S., Lysenko E. et. al. Effects of purified
monoglycerides on Canadian short process and sponge and dough mixing
properties, bread quality and crumb firmness during storage // Food
Chemistry.2009. Vol. 115. № 3. P. 884-890
38. Gomez М., Del Real S., Rosell C. M. et. al. Functionality of
different emulsifiers on the performance of breadmaking and wheat bread quality
// European Food Research and Technology. 2004. Vol. 219. № 2. P. 145-
.
39 .Тимошенко Ю. А., Маркина В. Ю., Красильников В. Н.
Гидролизованные лецитины в хлебобулочных изделиях // Кондитерское и
хлебопекарное производство. 2005. № 5. С. 4.
40 .Ангалеб А. Применение эмульгаторов при производстве мучных
изделий; пер. А. Виноградовой // Кондитерское и хлебопекарное производство.
2004. № 6. С. 8-9.
41 .Нечаев А. П., Кочеткова А. А., Зайцев А. Н. Пищевые добавки:
учеб. для вузов. М.: Колос, Колос-Пресс, 2002. 256 с.
42 .Справочник по гидроколлоидам / под ред. Г. О. Филлипса, П.
А. Вильямса; пер. с англ. под ред. А. А. Кочетковой, Л. А. Сарафановой. СПб.:
ГИОРД, 2006. 535 с.
43 Пищевые загустители, стабилизаторы, гелеобразователи / А.
Аймесон (ред.-сост.); перев. с англ. д-ра хим. наук С. В. Макарова. СПб.: ИД
«Профессия», 2012. 408с.
44.Kohajdová Z., Karovičová J. Influence of hydrocolloids on
quality of baked goods // Acta Sci.Pol., Technol. Aliment.2008. Vol. 7. № 2. P.
43-49.
.Андреев А. Н., Дмитреева Ю. В. Исследование влияния негидратированных
гидроколлойдов на удельный объем булочных изделий // Процессы и аппараты
пищевых производств. 2012. № 1. С. 1-9.
46. Rosell C. M., Rojas J. A., Benedito С. Influence of hydrocolloids
on dough rheology and bread qualit // Food Hydrocolloids. 2001a. № 15. P.
75-81.
47. Mandala I., Michon С., Launay В. Phase and rheological
behaviors of xanthan/amylose and xanthan/starch mixed systems // Carbohydrate
Polymers. 2004. Vol. 58. №. 3. P. 285-292.
48. Mandala I. G., Bayas Е. Xanthan effect on swelling,
solubility and viscosity of wheat starch dispersions // Food Hydrocolloids.
2004. Vol. 18. № 2. P. 191-201.
49. Mandala I., Karabela D., Kostaropoulos А. Physical properties
of breads containing hydrocolloids stored at low temperature. I. Effect of
chilling // Food Hydrocolloids. 2007. Vol. 21. № 8. P. 1397-1406.
50. Sciarini L. S., Ribotta P. D., Leo´n А. Е. et. al. Effect of
hydrocolloids on gluten-free batter properties and bread quality //
International Journal of Food Science and Technology. 2010. № 45. P. 2306-2312.
51. Martin M. L., Zeleznak K. J., Hoseney R. C. Mechanism of
Bread Firming. Role of Starch Swelling / Cereal Chem. 1991. Vol. 30. №5. P.
498-503.
52. Brennan C. S., Tan С. К., Kuri V. et. al. The pasting behaviour and
freeze- thaw stability of native starch and native starch-xanthan gum pastes //
International Journal of Food Science and Technology. 2004. № 39. P. 1017-1022.
53. Slavin J. L., Greenberg N. A. Partially hydrolyzed guar gum:
clinical nutrition uses // Nutrition. 2003. № 19. P. 549-552.
54. Turabi E., Sumnu G., Sahin S. Optimization of baking of rice
cakes in infrared-microwave combination oven by response surface methodology //
Food and Bioprocess Technology. 2008. № 1. P. 64-73.
55. Selomulyo V. O., Zhou W. Frozen bread dough: Effects of
freezing storage and dough improvers // Journal of Cereal Science. 2007. № 45.
P. 1-17.
56. Shalini K. G., Laxmi А. Influence of additives on rheological
characteristics of whole-wheat dough and quality of chapatti (Indian unleavened
flat bread) Part I-hydrocolloids // Food Hydrocolloids. 2007. № 21. P. 110-117.
57. Funami T., Kataoka Y., Omoto T. et. al. Effects of non-ionic
polysaccharides on the gelatinization and retrogradation behavior of wheat
starch // Food Hydrocolloids. 2005. Vol. 19. № 1. P. 1-13.
58. Ribotta P. D., Pe´rez G. T., Leo´n А. Е. et. al. Effect of emulsifier
and guar gum on microstructural, rheological and baking performance of frozen
bread dough // Food Hydrocolloids. 2004. № 18. P. 305-313.
59. Antona A. A., Lukowb О. М., Fulchera R. G. et.al. Shelf
stability and sensory properties of flour tortillas fortified with pinto bean
(Phaseolus vulgaris L.) flour: Effects of hydrocolloid addition, LWT // Food
Science and Technology. 2009. Vol. 42. № 1. P. 23-29.
60. Ribotta P. D., Ausar S. F., Beltramo D. M. et. al.
Interactions of hydrocolloids and sonicated-gluten proteins // Food
Hydrocolloids. 2005. № 19. P. 93-99.
.Сарафанова Л.А. Применение пищевых добавок. Технические рекомендации.
6-е изд., испр. и доп. СПб.: ГИОРД, 2005. 200 с.
62. Ward F.M., Andon S. A. Hydrocolloids as film formers,
adhesives and gelling agents for bakery and cereal products // Cereal Foods
World. 2002.
№ 47. P. 52-55.
63. Ozkoc S. O., Sumnu G., Sahin S. The effects of gums on macro
and micro- structure of breads baked in different ovens // Food Hydrocolloids.
2009. № 23. P. 2182-2189.
64. Dea I. C. M., Morris E. R, Rees D. A. et. al. Associations of
like and unlike polysaccharides: mechanism and specificity in galactomannans,
interacting bacterial polysaccharides and related // Carbohydrate Research.
1977. № 57. P. 249-272.
65. Garca-Ochoa F., Santos V. E., Casas J. A. et. al. Xanthan
gum: production, recovery, and properties // Biotechnology Advances. 2000. Vol.
18. № 7. P. 549-579.
66. Gurkin S. Hydrocolloids-Ingredients that add flexibility to
tortilla processing // Cereal Foods World. 2002. № 47. P. 41-43.
67. Cheetham N. W. N., Mashimba E.N.M. Conformational aspects of
xanthan- galactomannan gelation // Carbohydrate Polymers. 1988. № 9. P.
195-212.
68. Cheetham N. W. N., Mashimba E.N.M. Conformational aspects of
xanthan- galactomannan gelation: Further evidence from optical-rotation //
Carbohydrate Polymers. 1991. № 14. P. 17-27.
69. Morris V. J., Brownsey G. J., Ridout M. J. Role of
conformation in synergistic interactions of xanthan-Reply // Carbohydrate
Polymers. 1994.
№ 23. P. 139-140.
70. Wang F., Wang Y. J., Sun Z. Conformational role of xanthan
gum in its interaction with guar gum // Journal of Food Science. 2002. № 67. P.
3289- 3294.
71. McCleary B. V. Enzymatic hydrolysis, fine structure, and
gelling interaction of legume-seed D-galacto-D-mannans // Carbohydrate
Research. 1979. № 71. P. 205-230.
72. McCleary B.V., Dea I.C.M., Windust J. et. al. Interaction
properties of D- galactose depleted guar galactomannan // Carbohydrate
Polymers. 1984. № 4. P. 253-270.
73. Schorsch C., Garnier C., Doublier J.L. Viscoelastic proerties
of xanthan/galactomannan mixtures: comparison of guar gum with locust bean gum
// Carbohydrate Polymers. 1997. № 34. P. 165-175.
74. Bresolin T.M.B., Sander P.C., Reicher F. et. al.
Viscosimetric studies on xanthan and galactomannan // Carbohydrate Polymers.
1997. № 33. P. 131- 138.
75. Morris E.R., Rees D.A., Young G. et. al. Order-disorder
transition for a bacterial polysaccharide in solution. A role for
polysaccharide conformation in recognition between Xanthomonas pathogen and its
plant host // Journal of Molecular Biology. 1977. № 110. P. 1-16.
76. Rosell C. M., Collar С., Haros М. Assessment of hydrocolloid
effects on the thermo-mechanical properties of wheat using the Mixolab // Food
Hydrocolloids. 2007. № 21. P. 452-462.
77. Azizi M. H., Venkateswara Rao G. Effect of surfactant gels on
dough rheological characteristics and quality of bread // Critical Reviews in
Food Science and Nutrition. 2004. Vol. 44. № 7/8. P. 545-552.
78. Jemli S., Messaoud E., Ayadi-Zouari D. et. al. A β-cyclodextrin glycosyltransferase from a newly
isolated Paenibacillus pabuli US132 strain: Purification, properties and
potential use in bread-making // Biochemical Engineering Journal. 2007. Vol.
34. № 1. P. 44-50.
79. Morgan K.R., Gerrard J.A., Every D. et. al. Staling in Starch
Bread: the Effect of Antistaling alpha-amilase //Starch. 1997. № 49. P. 54-59.
80. Martin M. L., Zeleznak K. J., Hoseney R. C. A. Mechanism of
Bread Firming. I. Role of Starch Swelling //Cereal Chem. 1991.Vol. 30. №5. P.
498-503.
.Степычева Н.В., Кучеренко П.Н. Использование амилолитических ферментных
препаратов для замедления ретроградации крахмала //направлена в редакцию
журнала Известия вузов. Химия и химическая технология.
82. Hug-Iten S., Handschin S., Conde-Petit В. et. al. Changes in
starch microstructure on baking and staling of wheat bread // Food Science and
Technology. 1999. Vol. 32. № 5. P. 255-260.
83. Primo-Martín C., Martínez-Anaya M. A., Collar C. Composition of the
glutenin macropolymer: Effects of flour quality and nonamylolytic enzyme
addition // European Food Research and Technology. 2004. Vol. 218. № 5. P.
428-436.
84 .Дубцова В.Г. Сухая пшеничная клейковина - эффективная
добавка для повышения качества муки и хлебобулочных изделий // Кондитерское и
хлебопекарное производство. 2005. № 9. С. 16-18.
85 .Мелешкина Е. П. Влияние СПК на хлебопекарные свойства муки
// Хлебопродукты. 2004. №1. C. 43-44.
86 .Дулаев В. Г., Мелешкина Е.П., Анисимов А.А. и др. Обогащение
пшеничной хлебопекарной муки сухой клейковиной на мукомольных заводах //
Хлебопродукты. 2004. № 10. С. 16-18.
87 .Пути сохранения свежести // Продукты и прибыль. 2006. № 5.
88.Глютен - способ сохранить качество // Мой Алтай: село и город. 2004.
№ 12-13
89 .Черных В.А., Ширшиков М. А., Максимов А. С. Реологическое
поведение модельных систем, содержащих крахмал и клейковину // Хранение и
переработка сельхозсырья. 2003. № 3. С. 7-11.
90 .Мелешкина Е. П., Мартьянова А.И., Коваль А.И. и др.
Обогащение пшеничной и сортовой муки сухой клейковиной на мельничных
предприятиях // Хранение и переработка сельхозсырья. 2003. № 12. C. 69-73.
91 .Степычева Н. В. Технология хлеба, кондитерских и макаронных
изделий. Ч. 1. Основы технологии хлебопекарного производства. Иваново: ГОУ ВПО
Иван. гос. хим.-технол. ун-т., 2005. 152 с.
92 .Дробот В. И. Повышение качества хлебобулочных изделий. Киев:
Техника, 1984. 191 с.
93 .Ройтер И. М., Демчук А. П., Дробот В. И. Новые методы
контроля хлебопекарного производства. Киев: Техника, 1977. 192 с.
94 .Колупаева Т., Матвеева И., Ланшин Н. и др. Сохранение
свежести хлеба и снижение крошковатости с применением препарата «Новамил Л» //
Хлебопродукты. 2006. № 3. С. 46-47.
95 Чиркова Л. А., Карачевцева Е. А., Тимофеенко Т. И.
Использование сиропа стевии в производстве мороженого: Сборник тезисов докладов
«Технологии и оборудование химической, биотехнологической и пищевой
промышленности». Бийск: Изд-во Алт. гос. техн. ун-т, 2010. 419 с.
96 .Бондарь А. Г., Статюха Г. А., Потяженко И. А. Планирование
эксперимента при оптимизации процессов химической технологии (алгоритмы и
примеры). Киев: Вища школа, 1980. 264 с.
97 .Колпакова В. В., Студенникова О. Ю. Гидратационная
способность и физико-химические свойства белков пшеничной клейковины //
Известия вузов. Пищевая технология. 2009. № 2/3. С. 5-8.