Расчет диффузионных процессов в многокомпонентных углеводородных газовых смесях в воздух
МИНИСТЕРСТВО ОБРАЗОВАНИЯ
И НАУКИ РЕСПУБЛИКИ КАЗАХСТАН
КАЗАХСКИЙ НАЦИОНАЛЬНЫЙ
УНИВЕРСИТЕТ ИМ. АЛЬ-ФАРАБИ
Магистратура физического
факультета
Кафедра теплофизики,
стандартизации и метрологии
Магистерская диссертация
Расчет диффузионных
процессов в многокомпонентных углеводородных газовых смесях в воздух
Исполнитель
Магистрант 2 курса М.Т. Бекетаева
Научный руководитель
д.ф. - м.н., профессор Ю.И. Жаврин
Алматы, 2010
СОДЕРЖАНИЕ
Введение
.
Диффузия в многокомпонентных газовых смесях
.1
Теории диффузии в многокомпонентных газовых смесях
.2
Особенности многокомпонентной диффузии
.3
Диффузионный бароэффект в многокомпонентных системах
.4
Описание изотермической диффузии в многокомпонентных газовых смесях методом
эффективных коэффициентов диффузии
.5
Постановка задачи
.6
Выводы по разделу 1
.
Исследования диффузии в многокомпонентных газовых смесях
.1
Исследование диффузии в многокомпонентных газовых смесях методом двухколбового
аппарата
.2
Расчет многокомпонентного массопереноса в двухколбовом аппарате с применением
языка программирования DELPHІ
.3
Диффузия бинарной смеси газов в чистый компонент
.4
Диффузия некоторых бинарных углеводородных газовых смесей в воздух
.5
Диффузия многокомпонентных углеводородных газовых смесей в воздух при изменении
их термодинамических параметров
.6
Выводы по разделу 2
Заключение
Список
использованных источников
Приложение
ВВЕДЕНИЕ
Диффузия - самопроизвольное проникновение молекул одного
вещества в другое. Данное явление характерно как для твердых, так и для жидких
и газообразных систем.
Знание закономерностей диффузии необходимы при описании,
проектировании и расчетах массообменного процесса при добыче, эксплуатации и
транспортировке газообразного топлива. Наиболее яркими примерами являются
синтез аммиака из природного газа, процесс горения смеси. Данные процессы
невозможно рассчитать, не зная закономерностей диффузии. В настоящее время при
разработке и расчете промышленных аппаратов химической технологии, энергетике
уже недостаточно знания констант массопереноса для случая бинарных смесей.
Поэтому изучение диффузии в многокомпонентных газовых смесях является
актуальной задачей, так как в реальных процессах приходится иметь дело с
диффузией нескольких компонентов
Исследования многокомпонентного массопереноса показали
сложный характер процесса смешения. Возникновение перепада давления
(диффузионный бароэффект) в замкнутых диффузионных приборах, вследствие
неодинаковой подвижности молекул газовой смеси, приводит к появлению
гидродинамического потока смеси газов как целого. Подразделение суммарного
переноса компонентов на диффузионный поток, характеризуемыми истинными
коэффициентами диффузии, и гидродинамический позволяет дать правильную
физическую картину процесса диффузии не только в случае двух компонентов, но и
в более сложной смеси. При проведении экспериментов по измерению коэффициентов
диффузии в многокомпонентных системах был выявлен ряд особенностей не
свойственных бинарным газовым смесям: «реверсивная диффузия», «осмотическая
диффузия», «диффузионный барьер».
Наиболее распространенным прибором при диффузионных
измерениях является двухколбовый аппарат. Он используется для определения
коэффициентов взаимной диффузии в широком интервале температур, давлений
концентраций, а также термодиффузии.
Основная задача данной работы: проведение вычислительного
эксперимента для получения информации о диффузионных процессах различных
многокомпонентных природных газовых смесей в воздух в зависимости от
термодинамических параметров.
Цель работы: определение диффузионных характеристик в
многокомпонентных углеводородных смесях в воздух применительно к двухколбовому
аппарату с использованием программы Stefan, разработанной на языке
программирования Borland Delphi.
Положения, выносимые на защиту: в результате проводимых
исследований показать возможность применения разработанной программы на языке
программирования Delphi к расчету сложного диффузионного процесса в
двухколбовом аппарате.
Новизна: применение разработанной программы для описания
процесса массопереноса многокомпонентных природных углеводородных газовых
смесей в воздух с использованием метода эффективных коэффициентов диффузии
(ЭКД).
Научная ценность: возможность применения расчетного метода, в
частности метода ЭКД, для определения диффузионных характеристик технически важных
газовых смесей, содержащих углерод. Совпадение расчета с другими методиками в
пределах погрешности измерений, свидетельствует, что предложенная методика
может с успехом применяться к различным массообменным процессам.
Прикладная ценность: результаты работы могут найти применение
при расчетах диффузионных процессов в многокомпонентных системах и будут
полезны при изучении особенностей многокомпонентного массопереноса в разработке
и расчете промышленных аппаратов технологии.
В предлагаемой работе изложены результаты вычислительного
исследования различных вопросов диффузии в трех-, пяти- и восьмикомпонентной
системах расчетным методом применительно к двухколбовому диффузионному
аппарату. Излагаемый метод ЭКД оказался удобным при описании многокомпонентного
массопереноса и его особенностей.
1. ДИФФУЗИЯ В МНОГОКОМПОНЕНТНЫХ ГАЗОВЫХ СМЕСЯХ
.1 Теории диффузии в многокомпонентных газовых смесях
Явление многокомпонентного массопереноса описывается в ряде
теорий. Эти теории подразделяются на: строгую кинетическую
Кертисса-Гиршфельдера, гидродинамическую Стефана-Максвелла и термодинамическую
[1,32]. В настоящее время диффузионные потоки в многокомпонентных системах
обычно определяются из уравнений Стефана-Максвелла, прочем вследствие сложности
последних необходимо применять или численное интегрирование, или какой-либо
приближенный метод расчета. Число экспериментальных работ по исследованию
диффузии в многокомпонентных газовых смесях невелико.
Согласно первому приближению строгой кинетической теории,
изобарно-изотермическая диффузия в n-компонентной смеси разряженных газов
описывается системой уравнений Стефана-Максвелла:
(1)
где
- мольная концентрация компонента i в
смеси;
- мольная доля компонента i при мольной
концентрации смеси X;
- плотность диффузионного потока компонента
i;
-бинарный коэффициент взаимной диффузии
(КВД) пары газов i и j.
В случае эквимолярной диффузии
,
и уравнение (1) для независимых потоков и
градиентов преобразуется к виду
(2)
Коэффициенты диффузии
,
образуют матрицу коэффициентов
многокомпонентной диффузии (МКМД) (в литературе эти коэффициенты иногда
называют "практическими").
При описании диффузии в многокомпонентных смесях чаще
употребляются эффективные коэффициенты диффузии, которые вводятся аналогично
коэффициенту бинарной диффузии:
1.2 Особенности многокомпонентной диффузии
Анализируя уравнения Стефана-Максвелла для эквимолярной,
противоточной диффузии в трехкомпонентной газовой смеси, Тур определил условия
(соотношения между концентрациями и коэффициентами взаимной диффузии (КВД)
компонентов), при которых наблюдаются следующие эффекты [3]:
"противодиффузия" или "реверсивная" -
перенос компонента в направлении его градиента (т.е. перенос компонента из
области с меньшей концентрацией в область с большей концентрацией);
"осмотическая диффузия" - перенос компонента при
отсутствии градиента его концентрации (т.е. перенос компонента не равен нулю,
даже если его градиент концентрации равен 0).
"диффузионный барьер" - отсутствие переноса
компонента при наличии градиента его концентрации.
Эти "эффекты" Тура на сегодняшний день стали
классическим примером проявления особенностей многокомпонентной диффузии.
Физика возникновения этих, на первый взгляд странных, явлений заключается в
том, что наблюдаемый при диффузии перенос компонентов есть результат сложения
(векторного) собственно диффузионной и гидродинамической составляющих переноса.
Гидродинамическая составляющая появляется из-за возникновения в замкнутых
диффузионных аппаратах перепада давления (т.е. вследствие возникновения
диффузионного бароэффекта). Рассмотрим с этих позиций перечисленные выше
особенности многокомпонентной диффузии.
В газовых смесях, когда два или более основных диффундирующих
газа равномерно разбавлены третьим - балластным газом (градиент концентрации
газа - разбавителя равен нулю), последний может переноситься гидродинамическим
потоком, что соответствует "осмотической" диффузии.
Если существующая концентрация балластного газа в верхнем
сосуде, например, двухколбового аппарата, больше, чем в нижнем, и продолжает с
течением времени увеличиваться, то говорят об "обратной" диффузии. В
этом случае перенос градиента концентрации балластного газа диффузией будет
меньше, чем встречным гидродинамическим потоком. Подбирая соответствующим
образом концентрацию газа - разбавителя в колбах аппарата, можно уравновесить
перенос вещества диффузией и гидродинамическим потоком, что будет
соответствовать "диффузионному барьеру".
Таким образом, возникший диффузионный бароэффект порождает
гидродинамический поток, который в значительной степени влияет на перенос
компонентов, что было проверено постановкой специальных экспериментов и
проведением необходимых расчётов с использованием эффективных коэффициентов
диффузии (ЭКД).
Разделение газовой смеси при многокомпонентной диффузии может
наблюдаться и в смесях, не содержащих балластный газ. Например, в бинарной
смеси газов, компоненты которой имеют различные коэффициенты диффузии в третий
- чистый компонент, возможно появление сдвига концентраций в бинарной смеси.
Это сдвиг пропорционален разности коэффициентов диффузии газов в чистый
компонент. В публикациях это явление названо "диффузионным затвором"
[4]. Смысл этого явления состоит в том, что в начале диффузионного процесса
скорость одного из компонентов (обычно это тяжелый газ) может стать практически
равной нулю, и этот компонент фактически оказывается запертым в колбе в течение
некоторого времени.
Это явление нетрудно объяснить, если учесть, что более
подвижный газ, диффундируя в чистый компонент вызовет появление диффузионного
бароэффекта, а последний породит гидродинамический поток такой интенсивности,
что при данной концентрации компонентов встречный диффузионный поток другого
компонента (диффузионные способности его должны быть меньше, чем первого) не
сможет его "преодолеть" и экспериментатору будет казаться, что
компонент как бы "заперт" в колбе аппарата. Такое состояние газа
продолжается до тех пор, пока не произойдет перераспределение концентраций в
колбах до таких значений, что величина бароэффекта уже не способна будет
порождать необходимой интенсивности гидродинамический поток, который, в свою
очередь, не сможет держать "запертым" второй газ.
Еще одна особенность многокомпонентной диффузии и состоит в
появлении затухающих колебаний концентрации. Этот эффект предcказан на
основании численного решения системы уравнений Стефана-Максвелла применительно
к трехкомпонентным системам с балластным газом для противоточной диффузии
компонентов в замкнутых системах. Авторы работы определяют причину его
появления в непостоянстве диагональных диффузионных коэффициентов, то есть в
нелинейности соответствующих уравнений переноса, а не в наличии перекрестных
членов, которые даже «сглаживают» влияние «нелинейности» диагональных
коэффициентов.
Исследование диффузии в многокомпонентных газовых смесях
показало, что при одних и тех же условиях в одних системах процесс протекает
устойчиво, т.е. существуют только собственно диффузионные потоки компонентов,
на которые накладывается гидродинамический поток, возникший за счёт
бароэффекта. По величине эти потоки одного порядка. В других системах возникают
мощные конвективные потоки, которые существенным образом влияют на диффузионный
процесс, который в этом случае носит неустойчивый характер. Неустойчивый
диффузионный процесс сопровождается нерегулярными осциллирующими колебаниями
концентраций компонентов.
.3 Диффузионный бароэффект в многокомпонентных системах
Как показали эксперименты последних лет, диффузия газовых
смесей в замкнутых диффузионных приборах сопровождается появлением перепада
давления (диффузионный бароэффект). В двухколбовом диффузионном приборе
давление в колбе с более тяжелой смесью компонентов становится больше, чем в
другой колбе на значение порядка от одной до нескольких десятков дин/см2
(в зависимости от состава смесей, общего давления и диаметра). Перепад давления
вызывает течение всей смеси газов, которое приносит все компоненты в одном
направлении. Наблюдаемый перенос компонентов является суммой собственно
диффузионного переноса и переноса компонентов возникшим гидродинамическим
течением. Ученые исследовали процесс диффузии двух газов, разбавленных в равной
степени третьим, балластным. По увеличению концентрации балластного газа можно
было сделать заключение о величине переноса компонентов гидродинамическим
потоком. Оказалось, что, несмотря на малое значение бароэффекта,
макроскопический перенос компонентов того же порядка, что и непосредственно
наблюдаемый по изменению концентраций в колбах прибора. Этот факт
свидетельствует о том, что перепад давления, возникающий при диффузии, нельзя
рассматривать как незначительный по величине эффект второго порядка малости,
которым можно пренебречь. Наоборот, это одна из необходимых составных частей
внутреннего механизма процесса взаимной диффузии в газовых смесях. Чтобы до
конца понять этот процесс, необходимо выяснить причины возникновения, роль и
количественные закономерности макроскопического переноса при диффузии.
Возникновение перепада давления при диффузии в замкнутых
диффузионных приборах предсказывалось элементарной кинетической теорией
Максвелла-Больцмана-Джинса. В этой теории наблюдаемый в замкнутом приборе
перенос компонента рассматривается как результат одновременного протекания двух
различных по своей природе процессов. В двухколбовом диффузионном аппарате
диффузия сопровождается появлением перепада давления между колбами, содержащие
разные газы [5, 6]. Более лёгкие и подвижные молекулы проходят через
диффузионный капилляр быстрее, чем тяжёлые, поэтому в колбе с тяжёлым
компонентом их становится больше, что приводит к повышению давления от одной до
нескольких десятков единиц давления (дин/см2), (величина давления
зависит от газов и диаметра капилляра). Большое давление устанавливается в той
части прибора, где больше концентрация тяжелых компонентов смеси. Рост давления
продолжается до тех пор, пока обратный гидродинамический (компенсирующий) поток
газов не обратит суммарные потоки компонентов в нуль.
Таким образом, наблюдаемый в эксперименте перенос компонентов
есть сумма собственного диффузионного переноса, обусловленного тепловым
хаотическим движением молекул газов и переносом гидродинамического потока,
возникшего под действием перепада давления (диффузионный бароэффект).
Если перенос компонентов осуществляется только тепловым
хаотическим движением молекул газов, т.е. будет отсутствовать бароэффект (∆p=0),
тогда диффузионный процесс характеризуется истинными коэффициентами диффузии
(ИКД).
В многокомпонентных газовых смесях, механизм образования
диффузионного бароэффекта аналогичный, как и в бинарных смесях. И появление
"эффектов" Тура объясняется влиянием бароэффекта, из-за того, что
суммарный перенос есть результат наложения молекулярного переноса компонента и
переноса его гидродинамическим потоком.
Исследование диффузионного бароэффекта в многокомпонентных
газовых смесях [7] показало, что основные положения теории диффузии Больцмана о
механизме его возникновения справедливы и подтверждаются экспериментом.
.4 Описание изотермической диффузии в многокомпонентных
газовых смесях методом эффективных коэффициентов диффузии
Решение задач многокомпонентной диффузии методами строгой
кинетической, термодинамической и гидродинамической теорий приводят к
громоздким и сложным выражениям, с большим числом различных характеристик,
которые иногда не определены однозначно. Естественно, использовать такие
выражения в инженерных расчетах крайне неудобно. Для существенного упрощения
расчета многокомпонентного массопереноса был введен ЭКД [8], который в
предельном случае двухкомпонентной системы тождественно равен обычному
коэффициенту взаимной диффузии. Полагается, что поток каждого из компонентов в
n - компонентной смеси газов описывается законом Фика:
(3)
Таким образом, диффузионный поток i-го компонента в смеси
определяется его ЭКД и градиентом концентрации данного компонента. Так как
поток каждого из компонентов смеси зависит от распределения концентрации всех
компонентов, то ЭКД представляет собой сложную величину, изменяющуюся при
переходе от одной точки системы к другой. Если эта зависимость выражена слабо,
можно уже использовать известное решение соответствующей диффузионной задачи
для бинарных систем простой заменой в нём коэффициента взаимной диффузии (КВД)
-
на
. К таким частным случаям диффузии относятся [8]:
для систем, в которых компоненты 2,3...S перемещаются с одинаковой
скоростью или неподвижны, справедливо соотношение:
(4)
для следовой диффузии компонента i в однородную смесь остальных
имеем:
(5)
диффузия малых примесей (следовая диффузия) веществ 2,3,...n в
почти чистом веществе 1, при этом
.
диффузия в системах, в которых коэффициенты взаимной диффузии
пар газов, входящих в смесь, одинаковы,
т.е.
;
В других случаях приходится находить некоторые, усреднённые по
длине диффузионного слоя, значения ЭКД. Несмотря на то, что в настоящее время
нет обоснованных способов нахождения усреднённых значений ЭКД, и поэтому этот
метод широко используется. Для простейшего случая многокомпонентной диффузии
трёх компонент интегральное (усреднённое по всему диффузионному слою) значение
ЭКД может быть определено следующим образом:

, (6)
где 
- усредненное по всему диффузионному слою значение КВД газов, 
- усредненные молярные доли компонентов i и j.
Знак ЭКД будет зависеть и от распределения компонентов внутри
системы. Он может быть как положительным, так и отрицательным. В отличие от
формул (4),(5), формула (6) описывает процесс в самом общем виде и более удобна
для сравнения с экспериментальными данными. Эта формула учитывает распределение
компонентов внутри системы.
При определении эффективных коэффициентов (ЭКД) требуется наличие
данных коэффициента взаимной диффузии (КВД). Для бинарной системы оно является
функцией температуры, давления и состава. Для получения необходимых
коэффициентов применяем кинетическую теорию Чепмена-Энскогa. Формулы
Чепмена-Энскогa в случае разреженных газов имеет вид:

.
Если принять, что по закону идеальных газов с = p/RT, находим
следующее выражение для 
:

.
Здесь 
выражен в см2·с-1; с - в моль·см-3;
Т - в К; р - в атм.; 
- в А; 
- безразмерная функция температуры и межмолекулярного
потенциального поля для одной молекулы А и одной молекулы В. Удобно выразить
это потенциальное поле функцией Леннарда - Джонса:

.
Таблица 1
Параметры сил межмолекулярного взаимодействия
|
Вещество
|
Молекулярный
вес М
|
Параметры
потенциала Леннарда-Джонса
|
|
|
 , Åε/k,
К
|
|
|
Легкие элементы
|
|
Н2
|
2.016
|
2.915
|
38.0
|
|
Не
|
4.003
|
2.576
|
10.2
|
|
Благородные
газы
|
|
Ne
|
20.183
|
2.789
|
35.7
|
|
Kr
|
83.80
|
3.498
|
225.0
|
|
Простые
многоатомные вещества
|
|
Air
|
28.97
|
3.617
|
97.0
|
|
CO2
|
44.01
|
3.996
|
190.0
|
|
Углеводороды
|
|
CH4
|
16.04
|
3.822
|
137.0
|
|
C2H6
|
30.07
|
4.418
|
230.0
|
|
C3H8
|
44.09
|
5.061
|
254.0
|
|
n-C4H10
|
58.12
|
5.341
|
313.0
|
|
n- C5H12
|
72.15
|
5.769
|
345.0
|
|
|
|
|
|
Таблица 2
Функции, необходимые для расчета коэффициентов переноса в
разреженных газах
|
kТ/  kТ/  kТ/  kТ/ 
|
|
|
|
|
|
|
|
|
0.30
|
2.662
|
2.50
|
0.9996
|
6.0
|
0.8124
|
40.0
|
0.5960
|
|
0.70
|
1.729
|
3.20
|
0.9328
|
7.0
|
0.7896
|
60.0
|
0.5596
|
|
1.00
|
1.439
|
3.70
|
0.8998
|
8.0
|
0.7712
|
70.0
|
0.5464
|
|
1.35
|
1.253
|
4.50
|
0.8610
|
9.0
|
0.7556
|
80.0
|
0.5352
|
|
1.80
|
1.116
|
4.80
|
0.8492
|
10.0
|
0.7424
|
90.0
|
0.5256
|
|
2.10
|
1.057
|
5.0
|
0.8422
|
20.0
|
0.6640
|
100.0
|
0.5170
|
В приведенных выше таблицах 1,2 для модели с потенциальной
энергией приведены величины 
в виде функции kТ/
. Используя указанные результаты, можно рассчитать, что 
увеличивается примерно пропорционально степени 2,0 при низких
температурах и в степени 1,65 при очень высоких температурах. Комбинируя
параметры Леннарда-Джонса 
для молекул А и В можно рассчитать значения 
в интервале среднего отклонения около 6 %:

;

.
Таким образом были определены необходимые коэффициенты для
вычисления эффективных коэффициентов диффузии. В приведенной ниже таблице 3
даны коэффициенты взаимной диффузии, вычисленные расчетным методом для
следующих сложных систем, имеющее место в данной работе: 1) Air(1) - CH4(2) +
C2H6(3); 2) Air(1) - 0.936CH4(2) + 0.032C2H6(3) + 0.028C3H8(4) + 0.004C4H10(5);
3) Air(1) - 0.8531CH4(2) + 0.0581C2H6(3) + 0.0536C3H8(4) + 0.0200n - C4H10(5) +
0.0018n - C5H12(6) + 0.0044CO2(7) + 0.0090N2(8); 4) C3H8(4) + C4H10(5) -
Air(1); 5) Air(1) - 0.7240CH4(2) + 0.0930C2H6(3) + 0.0780C3H8(4) + 0.0490n -
C4H10(5) + 0.0305n - C5H12(6) + 0.0100CO2(7) + 0.0155N2(8) (нумерация газов
соответствует химическому символу газа).
Таблица 3
Коэффициенты взаимной диффузии, вычисленные расчетным методом при
разных термодинамических параметрах
|
Коэффициент
взаимной диффузии (КВД), см2/с
|
|
Т=298К и
Р=0,101МПа
|
|
1.2=0.217
|
2.5=0.105
|
5.6=0.036
|
1.8=0.203
|
|
1.3=0.144
|
3.5=0.066
|
1.7=0.151
|
2.8=0.217
|
|
2.3=0.151
|
4.5=0.050
|
2.7=0.165
|
3.8=0.144
|
|
1.4=0.111
|
1.6=0.082
|
3.7=0.104
|
4.8=0.112
|
|
2.4=0.121
|
2.6=0.092
|
4.7=0.079
|
5.8=0.096
|
|
3.4=0.077
|
3.6=0.057
|
5.7=0.067
|
6.8=0.083
|
|
1.5=0.079
|
4.6=0.043
|
6.7=0.058
|
7.8=0.151
|
|
Т=350К и
Р=10МПа
|
|
1.2=0.015
|
1.3=0.013
|
2.3=0.007
|
|
Т=773К и Р=30МПа
|
|
1.2=0.045
|
2.5=0.024
|
5.6=0.009
|
1.8=0.041
|
|
1.3=0.030
|
3.5=0.016
|
1.7=0.033
|
2.8=0.045
|
|
2.3=0.034
|
4.5=0.012
|
2.7=0.036
|
3.8=0.030
|
|
1.4=0.024
|
1.6=0.018
|
3.7=0.024
|
4.8=0.024
|
|
2.4=0.027
|
2.6=0.021
|
4.7=0.018
|
5.8=0.021
|
|
3.4=0.018
|
3.6=0.014
|
5.7=0.016
|
6.8=0.018
|
|
1.5=0.021
|
4.6=0.011
|
6.7=0.014
|
7.8=0.032
|
|
|
|
|
|
|
.5 Постановка задачи
Освоить методику расчета в многокомпонентных газовых смесях
по предложенной программе и апробировать ее на ряде многокомпонентных системах.
Используя предложенную на языке программирования Delphi методику описания
многокомпонентного массопереноса, произвести расчет диффузионного процесса в
двухколбовом аппарате для трех-, пяти- и восьмикомпонентной газовой смеси при
различных термодинамических параметрах. Определить бинарные коэффициенты сложных
смесей, также их ЭКД и МКМД, получить распределение концентрации компонентов в
колбах диффузионного аппарата в зависимости от времени.
.6 Выводы по разделу 1
Исследования показали сложный характер процесса смешения.
Возникновение перепада давления (диффузионный бароэффект) в замкнутых
диффузионных приборах, вследствие неодинаковой подвижности молекул газовой
смеси, приводит к появлению гидродинамического потока смеси газов как целого.
Подразделение суммарного переноса компонентов на диффузионный поток,
характеризуемый истинными коэффициентами диффузии, и гидродинамический
позволяет дать правильную физическую картину процесса диффузии не только в
случае двух компонентов, но и в более сложной смеси. Следует отметить, что
уравнения Стефана-Максвелла дают правильное количественное описание
результирующих диффузионных потоков. Истинные коэффициенты диффузии (ИКД) в
элементарной кинетической теории являются основными величинами, определяющими
все стороны процесса диффузии. А при инженерных расчетах удобно использовать
метод эффективных коэффициентов диффузии (ЭКД).
В разделе освоены методики расчета в многокомпонентных
газовых смесях, также изучены некоторые особенности многокомпонентной диффузии.
2. ИССЛЕДОВАНИЕ ДИФФУЗИИ В МНОГОКОМПОНЕНТНЫХ ГАЗОВЫХ СМЕСЯХ
.1 Исследование диффузии в многокомпонентных газовых смесях
методом двухколбового аппарата
ЭКД были измерены двухколбовым методом. Двухколбовый метод
является классическим квазистационарным методом, который довольно часто
используется при измерении КВД, самодиффузии, термодиффузии, изучении
диффузионного бароэффекта, а также при исследовании явлений, сопровождающих
режимы смешения в многокомпонентных газовых смесях. Положительной стороной
этого метода является возможность проведения экспериментов в широкой области
параметров (давление, температура, концентрация). Недостатком метода можно
назвать, во-первых, длительность экспериментов для получения коэффициентов
переноса с минимальной погрешностью (при больших давлениях может достигать
нескольких суток), во-вторых, получаемые коэффициенты переноса являются
усредненными по сечению и длине диффузионного канала, в-третьих, учет
допущений, сделанных при выводе расчетной формулы.
Установка двухколбового метода состоит из двух основных узлов
блока подготовки газов и термостата, в баке которого непосредственно
располагается диффузионный аппарат. В двухколбовом аппарате происходит диффузия
газов через капилляр из одного сосуда в другой.
Рисунок 1. Схема экспериментальной установки двухколбового
метода. А, Б - баллоны с газами; І - блок подготовки газов; ІІ - термостат с
двухколбовым аппаратом. 1-10 - краны, 11 - мембранные разделители, 12 -
образцовые манометры, 13 - выравнивающая ёмкость, 14 - нижняя колба, 15 -
диффузионный канал, 16 - верхняя колба, 17 - фторопластовая таблетка, 18 -
шток, 19 - вороток
В соответствии с рисунком 1, диффузионный аппарат,
изготовленный, из нержавеющей стали, представляет собой две цилиндрические
камеры (колбы) 14 и 16, которые соединяются между собой диффузионным каналом
15. Диффузионный канал перекрывается в верхней колбе фторопластовой таблеткой
17, которая располагается в штоке 18. Шток может перемещаться только
поступательно в вертикальном направлении. Конструкция перекрывающего устройства
не должна нарушать объемы диффузионных камер в момент, когда они сообщаются или
разобщаются между собой.
Методика работы на установке заключается в следующем: колбы
аппарата разобщаются между собой и форвакуумным насосом производится откачка
одной из колб, которая затем промывается (заполняется и снова откачивается 2-3
раза) газом из соответствующего баллона и окончательно заполняется газом до
давления несколько превышающим давления опыта. Аналогичную процедуру производят
со второй колбой и заполняют ее давлением, несколько меньшим давления опыта.
После того как установка выходит на нужный температурный
режим (обычно при температуре T=298,0 К) давление в колбах выравнивается через
специальную емкость 13. По образцовым манометрам 12 отмечается давление в
колбах аппарата. Абсолютное значение Pопыта находится суммированием
атмосферного давления и давления, снятого по манометру (избыточное давление).
Диффузионный канал открывается после выравнивания давления и
одновременно включается секундомер. По окончании эксперимента колбы
разобщаются, и отмечается время диффузии. Анализ газов после диффузии
проводится либо интерферометрическим методом (бинарные смеси), либо
хроматографическим методом (трехкомпонентные смеси и выше) как из верхней
колбы, так и из нижней. Измерив концентрации газов, и зная геометрические
параметры аппарата (постоянная прибора) по формуле:
(7)
где L, S - длина и площадь поперечного сечения диффузионного
капилляра соответственно; Vв, Vн - объемы верхней и
нижней колб аппарата;
и
- разность концентрации между колбами в начальный и конечный
моменты времени; t - время диффузии;
- постоянная прибора.
По формуле (7) рассчитывают КВД в бинарных смесях и ЭКД в
многокомпонентных для данного давления и температуры.
2.2 Расчет многокомпонентного массопереноса в двухколбовом
аппарате с применением языка программирования DELPHІ
Для расчета диффузии в многокомпонентных газовых смесях
применяется ряд методов, большинство из них основано на использовании системы
уравнений Стефана-Максвелла [1]. Эти уравнения в самом общем виде достаточно
сложны в применении и громоздки из-за большого числа различных характеристик,
поэтому разработка простых, но в тоже время достаточно точных методов расчета
переноса в сложных газовых смесях имеет большое значение.
Таким образом, одним из путей, облегчающих описание
многокомпонентной диффузии, является использование эффективного коэффициента
диффузии (ЭКД), который в предельном случае двухкомпонентной системы
тождественно равен обычному коэффициенту взаимной диффузии.
Одновременно с экспериментальными исследованиями велась разработка
на базе уравнений Стефана-Максвелла метода расчета сложного массопереноса,
идеология которого была рассмотрена на конкретном примере в работе [14].
Программа расчета оказалась очень удачной и претерпела незначительную
модернизацию лишь в 1995 г. [17].
Дальнейшее развитие вычислительной техники поставило задачу,
связанную с переводом программы расчета из языка Фортран (операционная система
DOS) на один из современных языков программирования Delphi (операционная
система Windows: 9X/Me, 2000, XP) при сохранении основной идеологии
вычислительного процесса была разработана программа Stef.exe. Она позволяет
увеличить производительность, обладает удобным интерфейсом, а также в отличие
от операционной системы DOS, возможностью сохранения и редактировании вводимых
данных. В программе была учтена возможность построения графиков: вычисленных
значений концентраций, разностей концентраций и коэффициентов диффузии
компонентов в зависимости от времени. Программа позволяет варьировать шагом по
времени в расчетах, а также минимальной разностью концентраций компонентов. В
качестве примера в таблице 4 сопоставлены результаты расчета авторов работ
[17,20] и расчетов по данной программе [21].
Таблица 4
Результаты расчетов концентраций компонентов в колбах
диффузионного аппарата в зависимости от времени по различным методикам. (Используемые
в расчетах данные взяты из [20] DH2-N2 = 0,833, DH2-CO2 =
0,680, DN2-CO2 = 0,168 см2/с при Р = 1 атм, Т = 308,4 К.
Постоянная прибора β = 10077 см2,
в которой Vв = 77,99 см3, Vн = 78,63 см3, L = 8.59 см, d
= 0,208 см)
|
Время диффузии,
час
|
Результаты
расчета концентраций верхняя/нижняя колбы, мольные доли
|
|
данные [20]
|
расчет [17]
|
расчет [21]
|
|
H2
|
N2
|
CO2
|
H2
|
N2
|
CO2
|
H2
|
N2
|
CO2
|
|
|
|
|
|
|
|
|
|
|
. Система 0,540 Н2 + 0,460 N2 - 0,480
CO2 + 0,520 N2
0,480 0,490 0,030 0,475 0,493 0,031
0,475 0,493 0,031
,060 0,490 0,450 0,065 0,486 0,448
0,065 0,486 0,448
0,425 0,515 0,060 0,426 0,516 0,057
0,426 0,517 0,057
,115 0,465 0,425 0,114 0,463 0,422
0,114 0,463 0,423
0,365 0,535 0,100 0,360 0,543 0,097
0,360 0,543 0,096
,180 0,440 0,380 0,180 0,437 0,383
0,179 0,437 0,383
0,295 0,555 0,150 0,301 0,554 0,145
0,301 0,554 0,136
,240 0,430 0,330 0,239 0,426 0,335
0,239 0,426 0,336
0,280 0,540 0,180 0,281 0,545 0,174
0,281 0,545 0,174
,260 0,435 0,305 0,259 0,435 0,306
0,259 0,434 0,306
. Система 0,500 Н2 + 0,500 N2 - 0,500
N2 + 0,500 CO2
0,400 0,535 0,065 0,395 0,548 0,057
0,394 0,548 0,057
,107 0,453 0,443 0,105 0,451 0,443
0,105 0,451 0,443
0,335 0,565 0,100 0,334 0,569 0,096
0,334 0,570 0,096
,170 0,430 0,400 0,166 0,430 0,403
0,166 0,430 0,403
0,280 0,570 0,150 0,278 0,575 0,146
0,278 0,575 0,146
,225 0,425 0,350 0,221 0,425 0,353
0,221 0,425 0,353
0,260 0,560 0,180 0,260 0,563 0,177
0,260 0,563 0,176
,240 0,440 0,320 0,240 0,437 0,323
0,240 0,437 0,323
0,255 0,540 0,205 0,253 0,546 0,201
0,253 0,546 0,201
,250 0,450 0,300 0,247 0,454 0,299
0,247 0,454 0,299
Как видно из таблицы, отличие расчета по [17] и по
представленной методике [20] практически не прослеживается, хотя они несколько
отличаются от [19], но это объяснимо. В [19] данные представлены в виде
графиков, что не позволяет воспроизвести их с необходимой точностью.
Такого хорошего совпадения результатов можно было ожидать,
так как в основах всех программ расчета заложена одна и та же идеология,
базирующаяся на уравнениях Стефана-Максвелла [14].
В приложении А приведен внешний вид экрана при вводе данных и
текст файла отчета с результатами вычислений [20] для системы Air - 0,7240СН4 +
0,0930С2Н6 + 0,0780С3Н8 + 0,0490n - С4Н10 + 0,0305n - С5Н12 + 0,0100СО2 +
0,0155N2 при Т=773К и Р=30МПа.
.3 Диффузия бинарной смеси газов в чистый компонент
На сегодняшний день имеется достаточно большой
экспериментальный материал по изучению сложного массопереноса для самых общих
случаев. Весь эволюционный процесс, связанный с разработкой методики расчета
многокомпонентного массопереноса, показал, что первоначальная база, основанная
на уравнениях Стефана-Максвелла, выбрана правильной и удачной.
Изучение концентрационной зависимости ЭКД компонентов обычно
проводят в тройных смесях, т.е. простейших многокомпонентных системах.
Применение тройных систем обусловлено, прежде всего, возможностью изменения
концентраций газов во всем диапазоне, а также простотой отображения полученных
результатов. Подобные отдельные исследования проводились и ранее (см., например,
[12,11]), поэтому задача была расширена.
Таким образом, рассчитывался массоперенос в тройных системах
для бинарной смеси диффундирующих в воздух. Расчет массопереноса производился
по схеме, предложенной в работе [20]. Результаты вычислений представлены в
таблице 5 и на рисунках 3,4. При расчетах использовались КВД пар газов взятых
из литературных источников [21-25]. Их численные значения в последних строках
таблиц.
Таблица 5
Эффективные коэффициенты диффузии компонентов в системе Air -
CH4 + C2H6 в зависимости от концентрации метана в бинарной смеси
При Р = 0,101 МПа и Т = 298 К
|
Концентрация,
мольные доли
|
Эффективные
коэффициенты диффузии, см2/с
|
|
Air
|
CH4
|
C2H6
|
|
0
|
0,1440
|
0,1781
|
0,1440
|
|
0,2
|
0,1562
|
0,2061
|
0,1437
|
0,1694
|
0,2085
|
0,1434
|
|
0,5
|
0,1765
|
0,2097
|
0,1432
|
|
0,6
|
0,1838
|
0,2111
|
0,1431
|
|
0,8
|
0,1996
|
0,2139
|
0,1427
|
|
1,0
|
0,2170
|
0,2170
|
0,1474
|
Как видно из данных таблицы, для всех компонентов в
рассмотренной системе идет обычный диффузионный процесс, «диффузионный затвор»
не проявляется.
Рисунок 3. Эффективные коэффициенты диффузии системы Air - CH4 -
C2H6 в зависимости от концентрации метана в бинарной смеси. При Т=298 К,
Р=0,101 Мпа
Рисунок 4. Зависимость МКМД в системе Air(1) - CH4(2) - C2H6(3) (в
скобках после химического символа приведена нумерация газов) при Т = 298 К, Р =
0,101 МПа
Из рисунка 4 видно, что “перекрестные” коэффициенты в МКМД могут
иметь как положительное значение, так и отрицательное значение. Численные
значения этих коэффициентов также могут быть различны, т.е. либо соизмеримыми с
«главными» коэффициентами диффузии, либо отличаться от них в несколько раз или
даже порядков. Качество измерений КВД в бинарных, а ЭКД в многокомпонентных
системах всегда зависят от чистоты используемых газов.
Вычисленные результаты могут быть представлены как в
табличной, так и графической форме. В качестве примера на рисунке 2 приведен
расчет [21] изменения концентраций газов в колбах аппарата для первой системы
[36] Air - 0,5CH4 + 0,5C2H6 с течением времени (от 0 до 360 мин).
Рисунок 2. Изменение концентраций компонентов в верхней и нижней
колбе диффузионного аппарата для системы Air - 0,5CH4 + 0,5C2H6
Из сказанного следует, что если приходится работать с газами,
в которых имеются примеси, то необходимо определить их влияние на диффузию
основных компонентов. Такая задача, несомненно, является актуальной при изучении
массообменных процессов.
Таким образом, проведенные исследования [26] позволяют дать
оценку поведению газов в тройных системах, а также при малых концентрациях того
или иного компонента в бинарной смеси. Результаты работы могут найти применение
при расчетах диффузионных процессов в многокомпонентных системах и будут
полезны изучении многокомпонентного массопереноса.
2.4 Диффузия некоторых многокомпонентных углеводородных
газовых смесей в воздух
Для описания течения реального газа в трубопроводных сетях,
при использовании в технологических процессах, связанных с тепло- массообменом,
необходимо знать теплофизические свойства углеводородных (природных) газов в
широком интервале температур и давлений. В справочной литературе практически
отсутствует информация о массообменных свойствах углеводородных газов, их
смесей, а также природных газов. В наше время для практических задач (например,
рациональной эксплуатации производственного оборудования, расчет оптимального
режима горения газообразного топлива, проектирование технологических циклов)
требуются данные о коэффициентах диффузии в многокомпонентных смесях.
В данном исследовании для расчета диффузионных характеристик
газов применяется приближенный метод - метод эффективного коэффициента диффузии
(ЭКД) [27,28]. Мы не будем останавливаться на процедуре его введения,
свойствах, физическом смысле, методиках измерения, расчете и т.д., об этом
говорилось выше (раздел 1), а также в соответствующей литературе
[11,17,20,27,28].
Для исследования [33] были взяты системы: 1) Air(1) -
0,936CH4(2) + 0,032C2H6(3) + 0,028C3H8(4) + 0,004C4H10(5); 2) Air(1) -
0,8531CH4(2) + 0,0581C2H6(3) + 0,0536C3H8(4) + 0,0200n - C4H10(5) + 0,0018n -
C5H12(6) + 0,0044CO2(7) + 0,0090N2(8). При этом воздух полагался, как один
компонент. Это вполне обоснованно, если считать, что концентрации кислорода и
азота не подвергаются сильным изменениям [30,31]. Подчеркнем, что аналогичные
исследования (расчетные и экспериментальные) для системы Air - Н2 + CH4 были
проведены ранее [30,32]. В этих работах приведена таблица ЭКД компонентов в
зависимости от концентрации газов в бинарной смеси и давления.
Так как диффузионный процесс в двухколбовом аппарате является
нестационарным, то естественно представляет интерес поведение коэффициентов
диффузии компонентов в системах с течением времени. В качестве примера такая
зависимость представлена на рисунке 5 для системы Air - 0,936CH4 + 0,032C2H6 +
0,028C3H8 + 0,004C4H10.
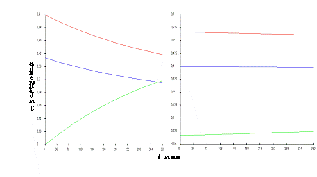
Рисунок 5. Изменение ЭКД компонентов с течением времени в
системе Air - 0,936CH4 + 0,032C2H6 + 0,028C3H8 + 0,004n-C4H10.Т=298К и Р=0,1МПа
диффузия многокомпонентный газовый смесь
Как видно из рисунка 5, ЭКД газов за интервал времени в 360
минут практически не изменились, хотя изменение концентраций в колбах аппарата
достигло значений близких к равновесным. Такое поведение газов вполне объяснимо
тем, что их КВД в воздух отличаются незначительно.
В результате вычислений были получены: эффективные
коэффициенты диффузии (ЭКД), а также МКМД компонентов систем при Р = 0,101МПа и
Т = 298 К. Отметим, что в расчетах использовались коэффициенты взаимной
диффузии (КВД) пар газов, которые были определены теоретически [31]. Ниже
приведены полученные результаты:
ЭКД компонентов системы Air(1) - 0,936CH4(2) + 0,032C2H6(3) +
0,028С3Н8(4) + 0,00n-4С4Н10(5): 1 - 0,209; 2 - 0,215; 3 - 0,142; 4 - 0,107; 5 -
0,062 см2/с (Р = 0,101МПа, Т = 298К).
МКМД системы Air(1) - 0,936CH4(2) + 0,032C2H6(3) +
0,028С3Н8(4) + 0,004С4Н10(5) для независимых потоков и градиентов первых
четырех компонентов (цифры после химического символа газа):
(1,1) = 0,1354; D(1,2) = - 0,0765; D(1,3) = - 0,0400; D(1,4)
= - 0,0225;(2,1) = - 0,0440; D(2,2) = 0,1685; D(2,3) = - 0,0146; D(2,4) = -
0,0021;(3,1) = - 0,0017; D(3,2) = - 0,0018; D(3,3) = 0,1434; D(3,4) = -
0,0001;(4,1) = - 0,0015; D(4,2) = - 0,0018; D(4,3) = - 0,0006; D(4,4) = 0,1128
см2/с.
ЭКД компонентов системы Air(1) - 0,8531CH4(2) + 0,0581C2H6(3)
+ 0,0536C3H8(4) + 0,0200n - C4H10(5) + 0,0018n - C5H12(6) + 0,0044CO2(7) +
0,0090N2(8): 1 - 0,199; 2 - 0,212; 3 - 0,141; 4 - 0,107; 5 - 0,064; 6 - 0,077;
7 - 0,146; 8 - 0,198 см2/с, при Р = 0,101МПа, Т = 298 К.
МКМД системы системы Air(1) - 0,8531CH4(2) + 0,0581C2H6(3) +
0,0536C3H8(4) + 0,0200n - C4H10(5) + 0,0018n - C5H12(6) + 0,0044CO2(7) +
0,0090N2(8) для независимых потоков и градиентов первых четырех компонентов
(цифры после химического символа газа):
(1,1) = 0,19849; D(1,2) = -0,00691; D(1,3) = 0,02872; D(1,4)
= 0,04553; (1,5) = 0,06691; D(1,6) = 0,06054; D(1,7) = 0,02590; D(2,1) =
0,00019; (2,2) = 0,20707; D(2,3) = 0,02609; D(2,4) = 0,03720;D(2,5) = 0,03915;
(2,6) = 0,04763; D(2,7) = 0,02025; D(3,1) = 0,00001; D(3,2) = -0,00029; (3,3) =
0,14154; D(3,4) = 0,00277; D(3,5) = 0,00295; D(3,6) = 0,00363;(3,7) = 0,00167;
D(4,1) = 0,00006; D(4,2) = -0,00042; D(4,3) = 0,00170; (4,4) = 0,11193; D(4,5)
= 0,00285; D(4,6) = 0,00352; D(4,7) = 0,00167; (5,1) = 0,00038; D(5,2) =
-0,00018; D(5,3) = 0,00063; D(5,4) = 0,00100;(5,5) = 0,08652; D(5,6) = 0,00135;
D(5,7) = 0,00064; D(6,1) = 0,00000; (6,2) = -0,00002; D(6,3) = 0,00006; D(6,4)
= 0,00009; D(6,5) = 0,00010; (6,6) = 0,08165; D(6,7) = 0,00006; D(7,1) =
0,00000; D(7,2) = -0,00004; (7,3) = 0,00014; D(7,4) = 0,00022; D(7,5) =
0,00024; D(7,6) = 0,00029; (7,7) = 0,14872 см2/с.
Анализируя результаты, нетрудно обратить внимание на
количество коэффициентов диффузии в методе ЭКД и МКМД. Как видно из приведенных
данных, диффузионный процесс в газовой смеси можно описать, используя 5 ЭКД или
16 МКМД. Отсюда можно сделать вывод, что диффузию в этой системе по числу
необходимых коэффициентов гораздо легче и проще описать, используя ЭКД, чем
МКМД. Заметим, что если бы возникла необходимость в экспериментальной проверке
данных расчета, то измерение ЭКД реально, а МКМД невозможно по причине
отсутствия соответствующей методики. Таким образом, вычисленные коэффициенты
диффузии (ЭКД и МКМД) для природных многокомпонентных газовых систем могут
служить в качестве, справочной информации при описании массообменных процессов
их компонентов в воздух.
.5 Диффузия многокомпонентных углеводородных газовых смесей в
воздух при изменении термодинамических параметров
Для некоторых инженерных расчетов газовой и химической
промышленности требуются надежные данные о термодинамических свойствах как
чистых веществ, так и их бинарных и многокомпонентных смесей. Необходимые
интервалы температур и давлений определяются в каждом конкретном случае
технологическим процессом. Особенно надежные данные о термодинамических
свойствах, в частности, диффузионные характеристики природных газов требуются
при проектировании компрессорных станций (КС). Природный газ - смесь газов,
образовавшаяся в недрах земли при анаэробном разложении органических веществ.
Природный газ в пластовых условиях находится в газообразном состоянии (в
стандартных условиях (101,325кПа и 200С) газ находится только в
газообразном состоянии). Движение газа в пласте подчиняется законам диффузии.
Газ выходит из недр вследствие того, что в пласте он находится под давлением,
многократно превышающем атмосферное. Таким образом актуально выявление характеристик
процесса диффузии при различных температурах и давлении. Освоение новых
месторождений природных газов и необходимость транспортировки газов к
промышленным объектам по магистральным газопроводам большой протяженности
требуют предоставления как проектным, так и эксплуатационным организациям
надежных характеристик природных газов самых различных составов.
Для исследования были взяты системы [37]: 1) С3Н8 + С4Н10 -
Air (при нормальных условиях и Т=350К, Р=10МПа); 2) природная газовая смесь
Марковского месторождения (Балыхтинский пласт) Air - 0,7240СН4 + 0,0930С2Н6 +
0,0780С3Н8 + 0,0490n - С4Н10 + 0,0305n - С5Н12 + 0,0100СО2 + 0,0155N2 (при
нормальных условиях и Т=773К, Р=30МПа).
В результате вычислений были получены: эффективные
коэффициенты диффузии (ЭКД), а также МКМД компонентов систем при различных
параметрах. В расчетах использовались коэффициенты взаимной диффузии (КВД) пар
газов, которые были определены расчетным методом [1]. КВД были определены для
системы С3Н8(1) + С4Н10(2) - Air(3) расчетным методом для Т=350К и Р=10МПа: DAir-C3H8=0,013;
DAir-C4H10=0,007; DC3H8-C4H10=0,015см2/с. Как
видно из расчетов, ЭКД всех газов за интервал времени в 360 минут практически
не изменились (в пределах 1-3%), хотя изменение концентраций в колбах достигло
значений близких к равновесным. Такое их поведение объяснимо тем, что КВД этих
газов в воздух отличаются незначительно. Ниже приведены полученные результаты.
ЭКД компонентов системы С3Н8(1) + С4Н10(2) - Air(3) (при
нормальных условиях и Т=350К, Р=10МПа: 1 - 0,108 и 0,013; 2 - 0,098 и 0,007; 3
- 0,104 и 0,008 см2/с.
МКМД системы С3Н8(1) + С4Н10(2) - Air(3) для независимых
потоков и градиентов первых двух компонентов (цифры после химического символа
газа) (при нормальных условиях и Т=350К, Р=10МПа):
(1,1) = 0,093; D(1,2) = 0,023; D(2,1) = 0,013; D(2,2) =
0,078;(1,1) = 0,014; D(1,2) = -0,00010; D(2,1) = -0,00310; D(2,2) = 0,007 см2/с.
Так как диффузионный процесс в двухколбовом аппарате является
нестационарным, то естественно представляет интерес поведение коэффициентов
диффузии компонентов в системах с течением времени. При увеличении температуры
и давления концентрации компонентов в верхней колбе аппарата и ЭКД с течением
времени изменяются в пределах 1-3%. В качестве примера такая зависимость
представлена на рисунках 6,7.
Рисунок 6. Распределение по концентрациям компонентов в верхней
колбе аппарата с течением времени для системы 0.6C3H8 + 0.4C4H10 - Air (Т=298К,
Р=0,1МПа и Т=350К, Р=10МПа)
Рисунок 7. Изменение ЭКД компонентов с течением времени в системе
0.6C3H8 + 0.4C4H10 - Air (Т=298К, Р=0,1МПа и Т=350К, Р=10МПа)
При повышении давления ЭКД понижается и доходит до минимального
значения, это объясняется тем, что диффузионный процесс протекает и начинается
процесс конвекции
Рисунок 8. ЭКД компонентов системы 0,6C3H8 + 0,4C4H10 - Air в
зависимости от давления в бинарной смеси (Т=350 К и Р=10 МПа)
Рисунок 9. ЭКД компонентов системы C3H8 + C4H10 - Air в зависимости
от концентрации пропана в бинарной смеси (Т=350 К и Р=10 МПа)
В 1930-ых годах благодаря развитию техники бурения скважин и
переходу на большие глубины (1500-3000м и более) был открыт новый тип залежи -
газоконденсатный; разработка этих залежей потребовала создания новой
технологии. В конце 40-ых годов с интенсивным развитием газовой промышленности
внедряется в практику научные методы разработки газовых и газоконденсатных
месторождений. В 1948 году под руководством Б.Б. Лапука был создан первый научно-обоснованный
проект разработки газового месторождения (Султангулово Куйбышевской обл.). В
нынешнее время промышленные месторождения разрабатываются по проектам,
составленным на основе последних достижений промысловой геологии,
гидродинамики. Важным этапом освоения месторождения является его разведка.
Детальная разведка газовой залежи, в частности, иметь информации о его
химическом составе, физических характеристиках способствует безопасности
рабочей области [39]. Промышленные месторождения встречаются в виде
обособленных скоплений, не связанных с каким-либо др. полезным ископаемым; в
виде газонефтяных месторождений, в которых газообразные углеводороды полностью
или частично растворены в нефти или находятся в свободном состоянии и заполняют
повышенную часть залежи (газовые шапки) или верхние части сообщающихся между
собой горизонтов газонефтяной свиты; в виде газоконденсатных месторождений, в
которых газ обогащен жидкими, преимущественно низкокипящими углеводородами.
Природные газы состоят из метана, этана, пропана и бутана, иногда содержат
примеси легкокипящих жидких углеводородов - пентана, гексана и др.; в них
присутствуют также углекислый газ, азот, сероводород и инертные газы [38].
Многие месторождения залегающие на глубине не более 1,5 км, состоят почти из
одного метана с небольшими примесями его гомологов (этана, пропана, бутана),
азота, аргона, иногда углекислого газа и сероводорода; с глубиной содержание
гомологов метана обычно растет. В отдельных газовых месторождениях наблюдается
повышенное содержание углекислого газа, сероводорода и азота. Образуются
природные газы в основном в результате катагенетического преобразования
органического вещества осадочных горных пород. Переход к комплексному
проектированию разработки газовых месторождений, интенсификация притока газа к
скважинам, автоматизация установок на газовых промыслах позволили значительно
увеличить рабочие дебиты скважин, улучшить подготовку газа к транспортировке и
снизить себестоимость природного газа. Ниже излагаются результаты вычислительного
исследования диффузионного процесса многокомпонентной газовой смеси Марковского
месторождения из Балыхтинского пласта при повышении его температуры на 773К и
давления на 30МПа.
Коэффициенты взаимной диффузии (КВД) системы Air - 0,7240СН4
+ 0,0930С2Н6 + 0,0780С3Н8 + 0,0490n - С4Н10 + 0,0305n - С5Н12 + 0,0100СО2 +
0,0155N2 были вычислены расчетным методом для Т=773К и Р=30МПа: DAir-CH4=0,045;
DAir-C2H6=0,030; DCH4-C2H6=0,034; DAir-C3H8=0,024;
DСН4-C3H8=0,027; DC2H6-C3H8=0,018; DAir-C4H10=0,021;
DСН4-C4H10=0,024; DC2H6-C4H10=0,016; DС3Н8-C4H10=0,012;
DAir-C5H12=0,018; DСН4-C5H12=0,021; DC2H6-C5H12=0,014;
DС3Н8-C5H12=0,011; DС4Н10-C5H12=0,009; DAir-CО2=0,033;
DСН4-C02=0,036; DC2H6-C02=0,024; DC3H8-СО2=0,018;
DС4Н10-CО2=0,016; DС5Н12-CО2=0,014; DAir-N2=0,041;
DСН4- N2=0,045; DC2H6-N2=0,030; DC3H8-N2=0,024;
DС4Н10-N2=0,021; DС5Н12-N2=0,018; DСО2-N2=0,032
см2/с.
ЭКД компонентов системы Air(1) - 0,7240СН4(2) + 0,0930С2Н6(3)
+ 0,0780С3Н8(4) + 0,0490n - С4Н10(5) + 0,0305n - С5Н12(6) + 0,0100СО2(7) +
0,0155N2(8) (при Т=298К и Р=0,101МПа, Т=773К и Р=30МПа):
- 0,180 и 0,038; 2 - 0,206 и 0,043;
- 0,138 и 0,029; 4 - 0,107 и 0,023;
- 0,068 и 0,020; 6 - 0,079 и 0,017;
- 0,144 и 0,032; 8 - 0,193 и 0,039 см2/с.
МКМД системы Air(1) - 0,7240СН4(2) + 0,0930С2Н6(3) +
0,0780С3Н8(4) + 0,0490n - С4Н10(5) + 0,0305n - С5Н12(6) + 0,0100СО2(7) +
0,0155N2(8) для независимых потоков и градиентов первых семи компонентов (цифры
после химического символа газа) при нормальных условиях:(1,1) = 0,18680; D(1,2)
= -0,00664; D(1,3) = 0,02727; D(1,4) = 0,04300; (1,5) = 0,06234; D(1,6) =
0,05697; D(1,7) = 0,02458; D(2,1) = 0,00036; (2,2) = 0,19682; D(2,3) = 0,02093;
D(2,4) = 0,02987; D(2,5) = 0,03161;(2,6) = 0,03818; D(2,7) = 0,01638; D(3,1) =
0,00005; D(3,2) = -0,00046; (3,3) = 0,13460; D(3,4) = 0,00418; D(3,5) =
0,00446; D(3,6) = 0,00546;(3,7) = 0,00252; D(4,1) = 0,00010; D(4,2) = -0,00059;
D(4,3) = 0,00234;(4,4) = 0,10630; D(4,5) = 0,00392; D(4,6) = 0,00480; D(4,7) =
0,00228; (5,1) = 0,00085; D(5,2) = -0,00041; D(5,3) = 0,00146; D(5,4) =
0,00230;(5,5) = 0,08308; D(5,6) = 0,00309; D(5,7) = 0,00146; D(6,1) = 0,00005;
(6,2) = -0,00030; D(6,3) = 0,00092; D(6,4) = 0,00146; D(6,5) = 0,00161; (6,6) =
0,07825; D(6,7) = 0,00092; D(7,1) = 0,00001; D(7,2) = -0,00009;(7,3) = 0,00030;
D(7,4) = 0,00047; D(7,5) = 0,00051; D(7,6) = 0,00061; (7,7) = 0,13971 см2/с.
МКМД смеси Air(1) - 0,7240СН4(2) + 0,0930С2Н6(3) +
0,0780С3Н8(4) + 0,0490n - С4Н10(5) + 0,0305n - С5Н12(6) + 0,0100СО2(7) +
0,0155N2(8) для независимых потоков и градиентов первых семи компонентов (цифры
после химического символа газа) при Т=773К, Р=30МПа:(1,1) = 0,00129; D(1,2) =
-0,00007; D(1,3) = 0,00017; D(1,4) = 0,00027; (1,5) = 0,00032; D(1,6) =
0,00037; D(1,7) = 0,00013; D(2,1) = 0,00000; (2,2) = 0,00138; D(2,3) = 0,00011;
D(2,4) = 0,00018; D(2,5) = 0,00021;(2,6) = 0,00024; D(2,7) = 0,00009; D(3,1) =
0,00000; D(3,2) = -0,00001; (3,3) = 0,00098; D(3,4) = 0,00002; D(3,5) =
0,00003; D(3,6) = 0,00003; (3,7) = 0,00001; D(4,1) = 0,00000; D(4,2) =
-0,00001; D(4,3) = 0,00001; (4,4) = 0,00078; D(4,5) = 0,00003; D(4,6) =
0,00003; D(4,7) = 0,00001; (5,1) = 0,00000; D(5,2) = 0,00000; D(5,3) = 0,00001;
D(5,4) = 0,00001; (5,5) = 0,00069; D(5,6) = 0,00002; D(5,7) = 0,00001; D(6,1) =
0,00000; (6,2) = 0,00000; D(6,3) = 0,00000; D(6,4) = 0,00001; D(6,5) = 0,00001;(6,6)
= 0,00059; D(6,7) = 0,00000; D(7,1) = 0,00000; D(7,2) = 0,00000;(7,3) =
0,00000; D(7,4) = 0,00000; D(7,5) = 0,00000; D(7,6) = 0,00000; (7,7) = 0,00103
см2/с.
Анализируя результаты нетрудно обратить внимание на
количество коэффициентов диффузии в методе ЭКД и МКМД. Как видно из приведенных
данных диффузию в системах по числу необходимых коэффициентов гораздо легче и
проще описать используя метод ЭКД, чем МКМД. Также при возникновении надобности
экспериментальной проверки данных расчета, измерение ЭКД реально, а МКМД
невозможно по причине отсутствия соответствующей методики..
Как видно из расчетов, ЭКД всех газов за интервал времени в
360 минут практически не изменились (в пределах 1-3%), хотя изменение
концентраций в колбах достигло значений близких к равновесным. Такое их
поведение объяснимо тем, что КВД этих газов в воздух отличаются незначительно.
.6 Выводы по разделу 2
Предложена методика расчета диффузионного процесса в
многокомпонентных газовых смесях в двухколбовом аппарате на языке программирования
Borland Delphі. Методика прошла апробацию и может с успехом применяться на
практике при описании многокомпонентного массопереноса.
Проведен расчет диффузионного процесса в двухколбовом
аппарате для тройной системы Air - CH4 - C2H6 в зависимости от концентрации и
для смеси С3Н8 + С4Н10 - Air с изменением температуры и давления. Определены
ЭКД и МКМД компонентов в зависимости от концентрации. Исследования позволяют
дать оценку поведению газов при малых концентрациях того или иного компонента в
бинарной смеси. При увеличении термодинамических параметров расчет показал
изменение данных в интервале 1-3%.
Проведен вычислительный эксперимент для многокомпонентной
системы: 1. Air - 0,936CH4 + 0,032C2H6 + 0,028C3H8 + 0,004C4H10; 2.
Air-0,8531CH4 + 0,0581C2H6 + 0,0536C3H8 + 0,0200n-C4H10 + 0,0018n-C5H12 +
0,0044CO2 + 0,0090N2; 3. Air - 0,7240СН4 + 0,0930С2Н6 + 0,0780С3Н8 +
0,0490n-С4Н10 + 0,0305n-С5Н12 + 0,0100СО2 + 0,0155N2 (при нормальных условиях и
Т=773К, Р=30МПа). Вычисленные с помощью программы Stef.exe значения ЭКД хорошо
описывают эксперимент и согласуются с рассчитанными ранее по методике,
описанной в работе [14] (среднее отклонение составляет 4-5%). Совпадение нашего
расчета с другими методиками, в основном, в пределах погрешности измерений свидетельствует,
что методика определения диффузионных характеристик, предложенная нами, может с
успехом применяться к различным массообменным процессам.
Определены ЭКД и МКМД компонентов в зависимости от
концентрации, также при измененных параметрах. Анализ полученных результатов
показал, что расчет диффузии упрощается, если воспользоваться методом ЭКД.
ЗАКЛЮЧЕНИЕ
. Освоена методика расчета по разработанной программе на
языке Borland Delphi диффузионного процесса в двухколбовом аппарате и
апробирована на ряде хорошо изученных многокомпонентных системах.
. Проведен вычислительный эксперимент для технически важных
многокомпонентных газовых смесей, содержащих углеводороды.
. Определены ЭКД и МКМД исследуемых многокомпонентных систем.
Необходимо отметить, что точность наших вычислительных данных находится в
пределах точности экспериментов (4-9 %). Совпадение нашего расчета с другими
методиками, свидетельствует, что предложенная программа, может с успехом
применяться к различным массообменным технологическим процессам.
Результаты работы могут найти применение при расчетах
диффузионных процессов в многокомпонентных системах и будут полезны при
изучении особенностей многокомпонентного массопереноса.
СПИСОК ИСПОЛЬЗОВАННЫХ ИСТОЧНИКОВ
1. Гиршфельдер
Д., Кертисс Ч., Берд. Молекулярная теория газов и жидкостей: Пер. с анг.- М.:
ИЛ, 1961. - С.932
. Wang
- Chang C.S. Uhlenbeck G/F/ Transport Phenomena in Polyatomik Molecules,
University of Michigan Publication, CM, 1985. - С.681
. Toor
H.L. Diffusion in three component gas mixture // A. I. Ch. E. Journal.- 1957.-
V.3. - Р.38-41
. Селезнев
В.Д., Смирнов В.Г. Диффузия трехкомпонентной смеси газов в системе двух колб //
ЖТФ.- 1981.- Т.51, №4. - С.975 - 980
. Andrew
S.P. A simple method of measurements gaseous diffusion coefficients //
Chem.Eng.Sci. -1955. - V.4. - Р.269-272
. Kramers
H.A., Kistemaker J. On the slip of diffusion gas mixture along a
wall\\phys.-1943.-V. № 8. - Р.699-713
. Суетин
П.Е. Бароэффект при взаимной диффузии газов// ЖТФ.-1964.- Т34, №6. -
С.1107-1114
. Адибаев
Б.М, Косов Н.Д., Новосад З.И. Бароэффект при взаимной диффузии в некоторых
четырехкомпонентных газовых смесях // Диффузия в газах и жидкостях.- Алма-Ата,
1974. - С.36-40
. Жаврин
Ю.И., Косов Н.Д., Белов С.М., Семидоцкая Н.И. О применении метода эффективных
коэффициентов к диффузии в многокомпонентных газовых смесях при повышенных
давлениях Тепломассоперенос в жидкостях и газах.- Алма-Ата, 1982. - С.3-12
. Жаврин
Ю.И., Косов Н.Д. и др. Расчет диффузионного процесса в двухколбовом аппарате
для случая многокомпонентной газовой смеси// Каз.у-т, НИИЭТФ.- Алматы, 1995. -
С.26
. Нoвoсaд
З.И., Косов Н.Д. Истинные коэффициенты диффузии трехкомпонентных газовых
смесей//Физика.- Алма-Ата,1970. - Вып.1. - С.130
. Косов
Н.Д., Жаврин Ю.И., Новосад З.И. Диффузия в многокомпонентных газовых смесях //
Теплофизические свойства веществ и материалов. - М.: Изд-во Стандартов, 1982. -
Вып.17. - С.86-112
. Новосад
З.И., Косов Н.Д. Эффективные коэффициенты диффузии трехкомпонентных газовых
смесей гелия, аргона, и углекислого газа // ЖТФ.- 1970. - Т. 40, №11. -
С.2368-2375
. Жаврин
Ю.И., Косов В.Н. Некоторые особенности динамики неустойчивого диффузионного
массопереноса в изотермических трехкомпонентных газовых смесях // Теплофизика и
аэромеханика. - 1995. - Т.2, № 2. - С.145-151
. Жаврин
Ю.И., Косов Н.Д., Новосад З.И. Расчет эквимолярной диффузии в многокомпонентных
газовых смесях методом эффективных коэффициентов// Диффузия в газах и
жидкостях. - Алма-Ата, 1974. - С.12-19
. Айткожаев
А.З., Жаврин Ю.И., Косов Н.Д., Курмакаев Ф.З. Таблицы рекомендуемых справочных
данных // (Водород +аммиак) - азот. Эффективные коэффициенты диффузии
компонентов при температуре 298,0 К в области давлений от 1,0 до 5,0 МПа и
концентраций газов в исходных бинарных смесях от 0,1 до 0,9 мольных долей. -
Москва, 1989. - С.26-34
. Айткожаев
А.З., Болотов И.В., Жаврин Ю.И., Косов Н.Д., Курмакаев Ф.З. Таблицы
рекомендуемых справочных данных // Система водород - азот - аргон. Эффективные
коэффициенты диффузии компонентов при температуре 298,0 К в области давлений от
1,0 до 5,0 МПа и концентраций газов в исходных бинарных смесях от 0,1 до 0,9
мольных долей. - Москва, 1989. - С.26-34
. Жаврин
Ю.И., Косов Н.Д., Косов В.Н., Красиков С.А., Бычков А.Г. Расчет диффузионного
процесса в двухколбовом аппарате для случая многокомпонентной газовой смеси /
Каз. ун-т., НИИ ЭТФ. - Алматы, 1995. - С.26 - Деп. в КазГосИНТИ 05.07.95,
№6239. Ка-95.
. Теплотехнические
расчеты процессов транспорта и регазификации природных газов (Справочное
пособие). - М.:«Недра», 1980. - С.125
. Dunkan
J.B., Toor H.L. An experіmental study of three component gas dіffusіon // A.І.
Chem. E. Journal. - 1962. - V.8, № 1. - P.38-41
. Жаврин
Ю.И., Жаврин В.Ю., Косов В.Н., Поярков И.В. Расчет многокомпонентного
массопереноса в двухколбовом аппарате с применением языка программирования
Delphi // Вестник КазНУ, серия физическая. - Алматы, 2006. - №2(22). - С.72-79
. Варгафтик
Н.Б. Справочник по теплофизическим свойствам газов и жидкостей. 2-е изд.
перераб. и допол. - М.: Наука, 1972. - С.720
. Солоницын
Б.П. Исследование температурной зависимости коэффициентов взаимной диффузии
газов стационарным проточным методом: Автореферат дис. канд. физ.-мат. наук. -
Алма-Ата, 1979. - С.23
. Селезнев
В.Д., Ивакин Б.А., Лойко А.Э. и др. Диффузия в бинарной смеси разреженных и
плотных газов // Теплофизические свойства веществ и материалов. - М.: Изд-во
Стандартов, 1982. - Вып.17. - С.24-43
. Жаврин
Ю.И., Косов Н.Д., Новосад З.И. Измерение взаимных коэффициентов диффузии метана
в некоторые газы с применением хроматографического метода анализа // Прикладная
и теоретическая физика. - Алма-Ата, 1973. - Вып.5. - С.149-153
. Косов
В.Н., Жаврин Ю.И. Коэффициенты диффузии некоторых бинарных и трехкомпонентных
газовых смесей, содержащих фреон-12 // Теплофизические свойства веществ и
материалов. - М.: Изд-во Стандартов, 1989. - Вып.28. - С.112-122
. Жаврин
Ю.И., Косов В.Н., Кульжанов Д.У., Поярков И.В., Егорова М.А. Диффузия бинарной
смеси газов в чистый компонент // Вестник КазНУ серия физическая. - Алматы. -
2007, №1(23). - С.73-80
. Тирский
Г.А. Вычисление эффективных коэффициентов диффузии в ламинарном
диссоциированном многокомпонентном пограничном слое // ПММ. - 1969, Вып.1. -
С.180-182
. Жаврин
Ю.И., Косов Н.Д., Новосад З.И. Описание нестационарной диффузии в многокомпонентных
газовых смесях методом эффективных коэффициентов //ЖФХ. - 1975. - Т.49, №3. -
С.706-709
. Загорученко
В.А., Бикчентай Р.Н., Вассерман А.А. и др. Теплотехнические расчеты процессов
транспорта и регазификации природных газов // Справочное пособие. - М., Недра.
- 1980. - С.320
. Кульжанов
Д.У., Сериков Т.П., Жаврин Ю.И., Косов В.Н. Исследование диффузии бинарной
смеси водорода с метаном в воздух // Нефть и газ. - 2001, №2. - С.66-72
. Берд
Р., Стьюарт В., Лайтфут Е. Явления переноса: Пер. с англ. - М.: Химия, 1974. -
С.688
. Айткожаев
А.З., Бычков А.Г., Жаврин Ю.И. и др. Исследование диффузии в системе (водород +
метан) - воздух при различных давления и концентрациях компонентов бинарной
смеси // Каз. ун-т, НИИ ЭТФ. - Алма - Ата, 1993. - С.22 - Деп. В КазНИИНКИ
15.01.93, №3984. Ка - 93.
. Жаврин
Ю.И., Поярков И.В., Егорова М.А., Котелевская Е.А., Торопыгина А.В. Диффузия
некоторых многокомпонентных углеводородных газовых смесей в воздух // Вестник
КазНУ, серия физическая. - Алматы, 2007. - № 2(24). - С.8-12
. Жаврин
Ю.И., Поярков И.В., Егорова М.А. Эффективные коэффициенты диффузии в газовых
системах, содержащих воздух, водород, метан, этан и пропан // Сборник трудов
5-ой Международной научной конференции «Современные достижения физики и
фундаментальное физическое образование» Казахстан, Алматы, 9-12 октября 2007 г.
- Алматы, 2007. - С.60-62
. Бекетаева
М.Т. Исследование диффузии углеводородной газовой смеси метана и этана при
различных концентрациях в воздух // Сборник тезисов 3-его Международного
конгресса студентов и молодых ученых «Мир науки», Алматы, 23-30 апреля 2009 г.
- Алматы, 2009. - С.38
. Бекетаева
М.Т. Исследование диффузии углеводородной газовой смеси в воздух с изменением
температуры и давления // Сборник тезисов Международной конференции студентов и
молодых ученых «Мир науки», Алматы, 19-22 апреля 2010 г. - Алматы, 2010. - С.15
. Еременко
Н. А. Геология нефти и газа.- М., 1968.- С.139
. Базлов
М. Н., Жуков А. И., Алексеев Т. С. Подготовка природного газа и конденсата к
транспорту.- М., 1968.- С.267
ПРИЛОЖЕНИЕ А
ВНЕШНИЙ ВИД ЭКРАНА ПРИ ВВОДЕ ДАННЫХ И ТЕКСТ ФАЙЛА ОТЧЕТА С
РЕЗУЛЬТАТАМИ ВЫЧИСЛЕНИЙ [20] ДЛЯ СИСТЕМЫ Air - 0,7240СН4 + 0,0930С2Н6 +
0,0780С3Н8 + 0,0490n - С4Н10 + 0,0305n - С5Н12 + 0,0100СО2 + 0,0155N2 (при
Т=773К и Р=30МПа)
Расчет диффузии
в двухколбовом аппарате
***************************************
Введите число
компонентов - 8
Обзовите газы по
номерам :
- Air
- CH4
- C2H6
- C3H8
- C4H10
- C5H12
- CO2
- N2
Введите число
газов в верхней колбе - 1
Введите число
газов в нижней колбе - 7
Введите
начальное распределение концентраций газов
(N газа .
концентрация в мольных долях <Enter>)
Концентрация
компонентов в верхней колбе :
-1.1.0
Концентрация
компонентов в нижней колбе :
-2.0.7240
-3.0.0930
-4.0.0780
-5.0.0490
-6.0.0305
-7.0.0100
-8.0.0155
Введите
коэффициенты взаимной диффузии, см2/с (P норм, атм.):(1,2) = 0.045(1,3) =
0.030(2,3) = 0.034(1,4) = 0.024(2,4) = 0.027(3,4) = 0.018(1,5) = 0.021(2,5) =
0.024(3,5) = 0.016(4,5) = 0.012(1,6) = 0,018(2,6) = 0,021(3,6) = 0,014(4,6) =
0,011(5,6) = 0,009(1,7) = 0.033(2,7) = 0.036(3,7) = 0.024(4,7) = 0.018(5,7) =
0.016(6,7) = 0,014(1,8) = 0.041(2,8) = 0.045(3,8) = 0.030(4,8) = 0.024(5,8) =
0.021(6,8) = 0,018(7,8) = 0.032
Введите
постоянную прибора в см2 - 2500
Атмосферное
давление в мм. рт. ст. - 760
Давление в
кгс/см2 :_нач - 0_кон - 30
Шаг по давлению
- 30
Введите
начальное время для вывода в минутах - 0
Введите конечное
время для вывода в минутах - 150
Интервал вывода
в минутах - 15
< Ввод данных
завершен. Для начала расчета используйте Ctrl+E >
-------------------------------------------------------
Результаты
расчета
-------------------------------------------------------
Избыточное
давление по манометру P = 0 кгс/см2 ( 0 МПа )
Коэффициент
перевода давления Kp = 1
М к м д , см2/с
(для условий опыта) :(1,1) = 0,03881 ; D(1,2) = -0,00197 ; D(1,3) = 0,00525 ;
(1,4) = 0,00812 ; D(1,5) = 0,00961 ; D(1,6) = 0,01115 ; (1,7) = 0,00382 ;
D(2,1) = 0,00000 ; D(2,2) = 0,04148 ;(2,3) = 0,00338 ; D(2,4) = 0,00555 ;
D(2,5) = 0,00642 ; (2,6) = 0,00726 ; D(2,7) = 0,00284 ; D(3,1) = 0,00000 ;(3,2)
= -0,00024 ; D(3,3) = 0,02932 ; D(3,4) = 0,00071 ; (3,5) = 0,00083 ; D(3,6) =
0,00093 ; D(3,7) = 0,00036 ; (4,1) = 0,00000 ; D(4,2) = -0,00019 ; D(4,3) =
0,00037 ; (4,4) = 0,02355 ; D(4,5) = 0,00079 ; D(4,6) = 0,00081 ;(4,7) =
0,00040 ; D(5,1) = 0,00000 ; D(5,2) = -0,00013 ; (5,3) = 0,00022 ; D(5,4) =
0,00042 ; D(5,5) = 0,02059 ; (5,6) = 0,00057 ; D(5,7) = 0,00024 ; D(6,1) =
0,00000 ; (6,2) = -0,00009 ; D(6,3) = 0,00013 ; D(6,4) = 0,00022 ; (6,5) =
0,00031 ; D(6,6) = 0,01779 ; D(6,7) = 0,00014 ; (7,1) = -0,00001 ; D(7,2) =
-0,00002 ; D(7,3) = 0,00005 ; (7,4) = 0,00009 ; D(7,5) = 0,00010 ; D(7,6) =
0,00011 ;(7,7) = 0,03093 ;
--------------------------------------------------------
|èìÿ
|êîíöåíòðàöèè
|ðàçíîñòü |ìãíîâåí.
|èíòåãð. |
|ãàçà|êîìïîíåíòîâ,
|êîíöåí.,
|çíà÷åíèÿ
|çíà÷åíèÿ |
|
|ìîëüíûå
äîëè
|ìîëüíûå
|ýôôåêò.
|ýôôåêò. |
|
|------------------|äîëè
|êîýôô.
|êîýôô. |
|
|âåðõíÿÿ
|íèæíÿÿ |
|äèôôóçèè,|äèôôóçèè
|
| |êîëáà
|êîëáà |
|ñì2/ñ |ñì2/ñ |
------------------------------------------------------=
0 ìèí
| Air| 1,00000 | 0,00000 |
1,00000 | 0,03826 | 0,03826 |
| CH4| 0,00000 | 0,72400
|-0,72400 | 0,04329 | 0,04329 |
|C2H6| 0,00000 | 0,09300
|-0,09300 | 0,02885 | 0,02885 |
|C3H8| 0,00000 | 0,07800
|-0,07800 | 0,02311 | 0,02311 |
|C4H10|0,00000 | 0,04900
|-0,04900 | 0,02012 | 0,02012 |
|C5H12|0,00000 | 0,03050
|-0,03050 | 0,01705 | 0,01705 |
| CO2| 0,00000 | 0,01000
|-0,01000 | 0,03172 | 0,03172 |
| N2 | 0,00000 | 0,01550
|-0,01550 | 0,03935 | 0,03935 |= 15 ìèí
| Air| 0,99316 | 0,00684 |
0,98632 | 0,03825 | 0,03825 |
| CH4| 0,00560 | 0,71840
|-0,71280 | 0,04330 | 0,04330 |
|C2H6| 0,00048 | 0,09252
|-0,09204 | 0,02886 | 0,02885 |
|C3H8| 0,00032 | 0,07768
|-0,07735 | 0,02312 | 0,02312 |
|C4H10|0,00018 | 0,04882
|-0,04865 | 0,02014 | 0,02013 |
|C5H12|0,00009 | 0,03041
|-0,03031 | 0,01706 | 0,01706 |
| CO2| 0,00006 | 0,00994
|-0,00989 | 0,03173 | 0,03172 |
| N2 | 0,00011 | 0,01539
|-0,01528 | 0,03937 | 0,03936 |= 30 ìèí
| Air| 0,98642 | 0,01358 |
0,97284 | 0,03823 | 0,03825 |
| CH4| 0,01111 | 0,71289
|-0,70178 | 0,04332 | 0,04330 |
|C2H6| 0,00096 | 0,09204
|-0,09109 | 0,02887 | 0,02886 |
|C3H8| 0,00064 | 0,07736
|-0,07671 | 0,02313 | 0,02312 |
|C4H10|0,00035 | 0,04865
|-0,04829 | 0,02015 | 0,02014 |
|C5H12|0,00019 | 0,03031
|-0,03013 | 0,01708 | 0,01706 |
| CO2| 0,00011 | 0,00989
|-0,00977 | 0,03174 | 0,03173 |
| N2 | 0,00022 | 0,01528
|-0,01507 | 0,03938 | 0,03937 |= 45 ìèí
| Air| 0,97977 | 0,02023 |
0,95954 | 0,03822 | 0,03824 |
| CH4| 0,01654 | 0,70746
|-0,69092 | 0,04333 | 0,04331 |
|C2H6| 0,00143 | 0,09157
|-0,09015 | 0,02889 | 0,02887 |
|C3H8| 0,00096 | 0,07704
|-0,07608 | 0,02315 | 0,02313 |
|C4H10|0,00053 | 0,04847
|-0,04795 | 0,02016 | 0,02014 |
|C5H12|0,00028 | 0,03022
|-0,02994 | 0,01710 | 0,01707 |
| CO2| 0,00017 | 0,00983
|-0,00966 | 0,03175 | 0,03174 |
| N2 | 0,00032 | 0,01518
|-0,01485 | 0,03939 | 0,03937 |= 60 ìèí
| Air| 0,97322 | 0,02678 |
0,94643 | 0,03821 | 0,03823 |
| CH4| 0,02189 | 0,70211
|-0,68022 | 0,04334 | 0,04332 |
|C2H6| 0,00189 | 0,09111
|-0,08921 | 0,02890 | 0,02887 |
|C3H8| 0,00128 | 0,07672
|-0,07544 | 0,02316 | 0,02313 |
|C4H10|0,00070 | 0,04830
|-0,04760 | 0,02018 | 0,02015 |
|C5H12|0,00037 | 0,03013
|-0,02976 | 0,01711 | 0,01708 |
| CO2| 0,00022 | 0,00978
|-0,00955 | 0,03177 | 0,03174 |
| N2 | 0,00043 | 0,01507
|-0,01465 | 0,03941 | 0,03938 |= 75 ìèí
| Air| 0,96675 | 0,03325 |
0,93351 | 0,03819 | 0,03823 |
| CH4| 0,02716 | 0,69684
|-0,66969 | 0,04336 | 0,04332 |
|C2H6| 0,00236 | 0,09064
|-0,08829 | 0,02891 | 0,02888 |
|C3H8| 0,00159 | 0,07641
|-0,07482 | 0,02317 | 0,02314 |
|C4H10|0,00087 | 0,04813
|-0,04725 | 0,02019 | 0,02016 |
|C5H12|0,00046 | 0,03004
|-0,02958 | 0,01713 | 0,01709 |
| CO2| 0,00028 | 0,00972
|-0,00944 | 0,03178 | 0,03175 |
| N2 | 0,00053 | 0,01497
|-0,01444 | 0,03942 | 0,03939 |= 90 ìèí
| Air| 0,96038 | 0,03962 |
0,92076 | 0,03818 | 0,03822 |
| CH4| 0,03234 | 0,69166
|-0,65931 | 0,04337 | 0,04333 |
|C2H6| 0,00281 | 0,09019
|-0,08737 | 0,02893 | 0,02889 |
|C3H8| 0,00190 | 0,07610
|-0,07420 | 0,02318 | 0,02315 |
|C4H10|0,00104 | 0,04796
|-0,04691 | 0,02021 | 0,02016 |
|C5H12|0,00055 | 0,02995
|-0,02939 | 0,01715 | 0,01710 |
| CO2| 0,00033 | 0,00967
|-0,00934 | 0,03179 | 0,03175 |
| N2 | 0,00063 | 0,01487
|-0,01424 | 0,03943 | 0,03939 |= 105 ìèí
| Air| 0,95410 | 0,04590 |
0,90820 | 0,03816 | 0,03821 |
| CH4| 0,03745 | 0,68655
|-0,64910 | 0,04339 | 0,04334 |
|C2H6| 0,00327 | 0,08973
|-0,08647 | 0,02894 | 0,02889 |
|C3H8| 0,00221 | 0,07579
|-0,07358 | 0,02320 | 0,02315 |
|C4H10|0,00121 | 0,04779
|-0,04657 | 0,02022 | 0,02017 |
|C5H12|0,00064 | 0,02986
|-0,02921 | 0,01716 | 0,01711 |
| CO2| 0,00038 | 0,00962
|-0,00923 | 0,03180 | 0,03176 |
| N2 | 0,00073 | 0,01477
|-0,01403 | 0,03945 | 0,03940 |= 120 ìèí
| Air| 0,94790 | 0,05210 |
0,89581 | 0,03815 | 0,03821 |
| CH4| 0,04248 | 0,68152
|-0,63904 | 0,04340 | 0,04334 |
|C2H6| 0,00371 | 0,08929
|-0,08557 | 0,02895 | 0,02890 |
|C3H8| 0,00252 | 0,07548
|-0,07297 | 0,02321 | 0,02316 |
|C4H10|0,00138 | 0,04762
|-0,04623 | 0,02023 | 0,02018 |
|C5H12|0,00073 | 0,02977
|-0,02903 | 0,01718 | 0,01711 |
| CO2| 0,00044 | 0,00956
|-0,00913 | 0,03182 | 0,03177 |
| N2 | 0,00083 | 0,01467
|-0,01384 | 0,03946 | 0,03941 |= 135 ìèí
| Air| 0,94179 | 0,05821 |
0,88359 | 0,03814 | 0,03820 |
| CH4| 0,04744 | 0,67656
|-0,62913 | 0,04341 | 0,04335 |
|C2H6| 0,00416 | 0,08884
|-0,08469 | 0,02897 | 0,02891 |
|C3H8| 0,00282 | 0,07518
|-0,07236 | 0,02322 | 0,02317 |
|C4H10|0,00155 | 0,04745
|-0,04590 | 0,02025 | 0,02019 |
|C5H12|0,00082 | 0,02968
|-0,02885 | 0,01720 | 0,01712 |
| CO2| 0,00049 | 0,00951
|-0,00902 | 0,03183 | 0,03177 |
| N2 | 0,00093 | 0,01457
|-0,01364 | 0,03948 | 0,03941 |= 150 ìèí
| Air| 0,93577 | 0,06423 |
0,87154 | 0,03812 | 0,03819 |
| CH4| 0,05231 | 0,67169
|-0,61937 | 0,04343 | 0,04336 |
|C2H6| 0,00460 | 0,08840
|-0,08381 | 0,02898 | 0,02891 |
|C3H8| 0,00312 | 0,07488
|-0,07176 | 0,02323 | 0,02317 |
|C4H10|0,00172 | 0,04728
|-0,04556 | 0,02026 | 0,02019 |
|C5H12|0,00091 | 0,02959
|-0,02868 | 0,01721 | 0,01713 |
| CO2| 0,00054 | 0,00946
|-0,00892 | 0,03184 | 0,03178 |
| N2 | 0,00103 | 0,01447
|-0,01345 | 0,03949 | 0,03942 |
-------------------------------------------------------
Избыточное
давление по манометру P = 30 кгс/см2 ( 29,43 МПа )
Коэффициент
перевода давления Kp = 0,033275
М к м д , см2/с
(для условий опыта) :(1,1) = 0,00129 ; D(1,2) = -0,00007 ; D(1,3) = 0,00017 ;
(1,4) = 0,00027 ; D(1,5) = 0,00032 ; D(1,6) = 0,00037 ;
D(1,7) = 0,00013
; D(2,1) = 0,00000 ; D(2,2) = 0,00138 ;
D(2,3) = 0,00011
; D(2,4) = 0,00018 ; D(2,5) = 0,00021 ; (2,6) = 0,00024 ; D(2,7) = 0,00009 ;
D(3,1) = 0,00000 ;
D(3,2) =
-0,00001 ; D(3,3) = 0,00098 ; D(3,4) = 0,00002 ; (3,5) = 0,00003 ; D(3,6) =
0,00003 ; D(3,7) = 0,00001 ;
D(4,1) = 0,00000
; D(4,2) = -0,00001 ; D(4,3) = 0,00001 ; (4,4) = 0,00078 ; D(4,5) = 0,00003 ;
D(4,6) = 0,00003 ;
D(4,7) = 0,00001
; D(5,1) = 0,00000 ; D(5,2) = 0,00000 ; (5,3) = 0,00001 ; D(5,4) = 0,00001 ;
D(5,5) = 0,00069 ;
D(5,6) = 0,00002
; D(5,7) = 0,00001 ;D(6,1) = 0,00000 ; (6,2) = 0,00000 ; D(6,3) = 0,00000 ;
D(6,4) = 0,00001 ; (6,5) = 0,00001 ; D(6,6) = 0,00059 ; D(6,7) = 0,00000 ;
(7,1) = 0,00000 ; D(7,2) = 0,00000 ; D(7,3) = 0,00000 ; (7,4) = 0,00000 ;
D(7,5) = 0,00000 ; D(7,6) = 0,00000 ;(7,7) = 0,00103 ;
--------------------------------------------------------
|èìÿ
|êîíöåíòðàöèè
|ðàçíîñòü
|ìãíîâåí. |èíòåãð.
|
|ãàçà|êîìïîíåíòîâ,
|êîíöåí.,
|çíà÷åíèÿ
|çíà÷åíèÿ |
|
|ìîëüíûå
äîëè
|ìîëüíûå
|ýôôåêò.
|ýôôåêò. |
|
|-------------------|äîëè
|êîýôô.
|êîýôô. |
|
|âåðõíÿÿ
|íèæíÿÿ |
|äèôôóçèè,|äèôôóçèè,|
|
|êîëáà
|êîëáà |
|ñì2/ñ |ñì2/ñ |
-------------------------------------------------------=
0 ìèí
| Air| 1,00000 | 0,00000 |
1,00000 | 0,00127 | 0,00127 |
| CH4| 0,00000 | 0,72400
|-0,72400 | 0,00144 | 0,00144 |
|C2H6| 0,00000 | 0,09300
|-0,09300 | 0,00096 | 0,00096 |
|C3H8| 0,00000 | 0,07800
|-0,07800 | 0,00077 | 0,00077 |
|C4H10|0,00000 | 0,04900
|-0,04900 | 0,00067 | 0,00067 |
|C5H12|0,00000 | 0,03050
|-0,03050 | 0,00057 | 0,00057 |
| CO2| 0,00000 | 0,01000
|-0,01000 | 0,00106 | 0,00106 |
| N2 | 0,00000 | 0,01550
|-0,01550 | 0,00131 | 0,00131 |= 15 ìèí
| Air| 0,99977 | 0,00023 |
0,99954 | 0,00127 | 0,00127 |
| CH4| 0,00019 | 0,72381
|-0,72362 | 0,00144 | 0,00144 |
|C2H6| 0,00002 | 0,09298
|-0,09297 | 0,00096 | 0,00096 |
|C3H8| 0,00001 | 0,07799
|-0,07798 | 0,00077 | 0,00077 |
|C4H10|0,00001 | 0,04899
|-0,04899 | 0,00067 | 0,00067 |
|C5H12|0,00000 | 0,03050
|-0,03049 | 0,00057 | 0,00057 |
| CO2| 0,00000 | 0,01000
|-0,01000 | 0,00106 | 0,00106 |
| N2 | 0,00000 | 0,01550
|-0,01549 | 0,00131 | 0,00131 |= 30 ìèí
| Air| 0,99954 | 0,00046 |
0,99908 | 0,00127 | 0,00127 |
| CH4| 0,00038 | 0,72362
|-0,72325 | 0,00144 | 0,00144 |
|C2H6| 0,00003 | 0,09297
|-0,09294 | 0,00096 | 0,00096 |
|C3H8| 0,00002 | 0,07798
|-0,07796 | 0,00077 | 0,00077 |
|C4H10|0,00001 | 0,04899
|-0,04898 | 0,00067 | 0,00067 |
|C5H12|0,00001 | 0,03049
|-0,03049 | 0,00057 | 0,00057 |
| CO2| 0,00000 | 0,01000
|-0,00999 | 0,00106 | 0,00106 |
| N2 | 0,00001 | 0,01549
|-0,01549 | 0,00131 | 0,00131 |= 45 ìèí
| Air| 0,99931 | 0,00069 |
0,99863 | 0,00127 | 0,00127 |
| CH4| 0,00056 | 0,72344
|-0,72287 | 0,00144 | 0,00144 |
|C2H6| 0,00005 | 0,09295
|-0,09290 | 0,00096 | 0,00096 |
|C3H8| 0,00003 | 0,07797
|-0,07794 | 0,00077 | 0,00077 |
|C4H10|0,00002 | 0,04898
|-0,04896 | 0,00067 | 0,00067 |
|C5H12|0,00001 | 0,03049
|-0,03048 | 0,00057 | 0,00057 |
| CO2| 0,00001 | 0,00999
|-0,00999 | 0,00106 | 0,00106 |
| N2 | 0,00001 | 0,01549
|-0,01548 | 0,00131 | 0,00131 |= 60 ìèí
| Air| 0,99908 | 0,00092 |
0,99817 | 0,00127 | 0,00127 |
| CH4| 0,00075 | 0,72325
|-0,72250 | 0,00144 | 0,00144 |
|C2H6| 0,00006 | 0,09294
|-0,09287 | 0,00096 | 0,00096 |
|C3H8| 0,00004 | 0,07796
|-0,07791 | 0,00077 | 0,00077 |
|C4H10|0,00002 | 0,04898
|-0,04895 | 0,00067 | 0,00067 |
|C5H12|0,00001 | 0,03049
|-0,03048 | 0,00057 | 0,00057 |
| CO2| 0,00001 | 0,00999
|-0,00998 | 0,00106 | 0,00106 |
| N2 | 0,00001 | 0,01549
|-0,01547 | 0,00131 | 0,00131 |= 75 ìèí
| Air| 0,99886 | 0,00114 |
0,99771 | 0,00127 | 0,00127 |
| CH4| 0,00094 | 0,72306
|-0,72213 | 0,00144 | 0,00144 |
|C2H6| 0,00008 | 0,09292
|-0,09284 | 0,00096 | 0,00096 |
|C3H8| 0,00005 | 0,07795
|-0,07789 | 0,00077 | 0,00077 |
|C4H10|0,00003 | 0,04897
|-0,04894 | 0,00067 | 0,00067 |
|C5H12|0,00002 | 0,03048
|-0,03047 | 0,00057 | 0,00057 |
| CO2| 0,00001 | 0,00999
|-0,00998 | 0,00106 | 0,00106 |
| N2 | 0,00002 | 0,01548
|-0,01546 | 0,00131 | 0,00131 |= 90 ìèí
| Air| 0,99863 | 0,00137 |
0,99725 | 0,00127 | 0,00127 |
| CH4| 0,00112 | 0,72288
|-0,72175 | 0,00144 | 0,00144 |
|C2H6| 0,00010 | 0,09290
|-0,09281 | 0,00096 | 0,00096 |
|C3H8| 0,00006 | 0,07794
|-0,07787 | 0,00077 | 0,00077 |
|C4H10|0,00004 | 0,04896
|-0,04893 | 0,00067 | 0,00067 |
|C5H12|0,00002 | 0,03048
|-0,03046 | 0,00057 | 0,00057 |
| CO2| 0,00001 | 0,00999
|-0,00998 | 0,00106 | 0,00106 |
| N2 | 0,00002 | 0,01548
|-0,01546 | 0,00131 | 0,00131 |= 105 ìèí
| Air| 0,99840 | 0,00160 |
0,99680 | 0,00127 | 0,00127 |
| CH4| 0,00131 | 0,72269
|-0,72138 | 0,00144 | 0,00144 |
|C2H6| 0,00011 | 0,09289
|-0,09278 | 0,00096 | 0,00096 |
|C3H8| 0,00008 | 0,07792
|-0,07785 | 0,00077 | 0,00077 |
|C4H10|0,00004 | 0,04896
|-0,04892 | 0,00067 | 0,00067 |
|C5H12|0,00002 | 0,03048
|-0,03046 | 0,00057 | 0,00057 |
| CO2| 0,00001 | 0,00999
|-0,00997 | 0,00106 | 0,00106 |
| N2 | 0,00003 | 0,01547
|-0,01545 | 0,00131 | 0,00131 |= 120 ìèí
| Air| 0,99817 | 0,00183 |
0,99634 | 0,00127 | 0,00127 |
| CH4| 0,00150 | 0,72250
|-0,72100 | 0,00144 | 0,00144 |
|C2H6| 0,00013 | 0,09287
|-0,09274 | 0,00096 | 0,00096 |
|C3H8| 0,00009 | 0,07791
|-0,07783 | 0,00077 | 0,00077 |
|C4H10|0,00005 | 0,04895
|-0,04891 | 0,00067 | 0,00067 |
| CO2| 0,00002 | 0,00998
|-0,00997 | 0,00106 | 0,00106 |
| N2 | 0,00003 | 0,01547
|-0,01544 | 0,00131 | 0,00131 |= 135 ìèí
| Air| 0,99794 | 0,00206 |
0,99588 | 0,00127 | 0,00127 |
| CH4| 0,00169 | 0,72231
|-0,72063 | 0,00144 | 0,00144 |
|C2H6| 0,00014 | 0,09286
|-0,09271 | 0,00096 | 0,00096 |
|C3H8| 0,00010 | 0,07790
|-0,07781 | 0,00077 | 0,00077 |
|C4H10|0,00005 | 0,04895
|-0,04889 | 0,00067 | 0,00067 |
|C5H12|0,00003 | 0,03047
|-0,03044 | 0,00057 | 0,00057 |
| CO2| 0,00002 | 0,00998
|-0,00997 | 0,00106 | 0,00106 |
| N2 | 0,00003 | 0,01547
|-0,01543 | 0,00131 | 0,00131 |= 150 ìèí
| Air| 0,99771 | 0,00229 |
0,99543 | 0,00127 | 0,00127 |
| CH4| 0,00187 | 0,72213
|-0,72026 | 0,00144 | 0,00144 |
|C2H6| 0,00016 | 0,09284
|-0,09268 | 0,00096 | 0,00096 |
|C3H8| 0,00011 | 0,07789
|-0,07778 | 0,00077 | 0,00077 |
|C4H10|0,00006 | 0,04894
|-0,04888 | 0,00067 | 0,00067 |
|C5H12|0,00003 | 0,03047
|-0,03044 | 0,00057 | 0,00057 |
| CO2| 0,00002 | 0,00998
|-0,00996 | 0,00106 | 0,00106 |
| N2 | 0,00004 | 0,01546
|-0,01543 | 0,00131 | 0,00131 |
-------------------------------------------------------
Конец расчета
--------------------------------------------------------
ПРИЛОЖЕНИЕ Б
Графическое построение программой изменения концентрации
компонентов в нижней колбе аппарата в системе Air - 0,7240СН4 + 0,0930С2Н6 +
0,0780С3Н8 + 0,0490n - С4Н10 + 0,0305n - С5Н12 + 0,0100СО2 + 0,0155N2 (а) при
Т=298К и Р=0,101МПа; (б) при Т=773К и Р=30МПа
, мин
ПРИЛОЖЕНИЕ В
Графическое построение программой изменения ЭКД компонентов в
системе Air - 0,7240СН4 + 0,0930С2Н6 + 0,0780С3Н8 + 0,0490n - С4Н10 + 0,0305n -
С5Н12 + 0,0100СО2 + 0,0155N2 (при Т=298К и Р=0,101МПа и Т=773К и Р=30МПа)