Проектирование трансформаторной подстанции с двухобмоточным трансформатором
Содержание
Введение
. Разработка однолинейной схемы коммутации
трансформаторной подстанции
.1 Схемы первичного напряжения 110 кВ
.2 Схемы вторичного напряжения 35 кВ
. Расчет мощности подстанции
.1 Характерные суточные графики нагрузок предприятий
различных отраслей промышленности
.2 Расчет нагрузок
. Расчёт максимальных рабочих токов основных
присоединений подстанции.
. Расчет параметров короткого замыкания
.1 Составление расчетной схемы
.2 Базисные ступени напряжения, расчёт основных
параметров
.3 Приведение параметров элементов схемы замещения к
базисным условиям
. Выбор и проверка токоведущих частей и электрического
оборудования трансформаторной подстанции
.1 Выбор токоведущих частей.
.2 Выбор изоляторов.
.3 Выбор отключающих аппаратов 110 кВ..
.3.1 Выбор выключателей в ОРУ-110 кВ
.3.2 Выбор разъединителей в ОРУ-110 кВ
.3.3 Выбор разрядников в ОРУ-110 кВ
.3.4 Выбор электрических аппаратов в цепи заземления
нейтрали трансформатора.
.4 Выбор трансформаторов тока
.5 Выбор трансформаторов напряжения
.6 Выбор электрических аппаратов в РУ-35 кВ
.7 Релейная защита
.8 Управление, сигнализация, блокировка
.9 Автоматика
.10 Высокочастотная связь
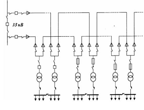
.Компоновка ТП
.1 Компоновка ОРУ 110 кВ
.2 Компоновка ЗРУ 35 кВ
. Требования ПУЭ к сооружению трансформаторных подстанции
Заключение
Список литературы
Приложения
Таблица 1. - Исходные данные
|
Наименование параметров
|
Параметры
|
|
Номер трансформаторной подстанции (ТП)
|
1
|
|
Мощность КЗ на шинах 110 кВ районной подстанции (РП) РП-1,
SK1, МВА РП-2, SK2, МВА
|
950 450
|
|
Длина воздушных линий (ВЛ) 110 кВ или 35 кВ, км l1
l3 l4 l5 l6 l7 остальных,
представленных на исходной схеме нет
|
31 21 15 28 25 24
|
|
Номера потребителей, питающихся от проектируемой подстанции
|
1, 2, 4, 6, 8
|
|
Мощность трансформатора понижающей подстанции от которой
питается проектируемая ТП, SНОМ.ТР, МВА
|
-
|
|
Напряжение КЗ трансформаторов, u,%
|
-
|
|
Мощность трансформатора собственных нужд, SТСК,
кВА
|
160
|
Таблица 2 - Характеристика потребителя
|
№
|
Наименование потребителя (потребители 35 кВ)
|
Установленная мощность, Ру, кВт
|
Категория потребителя
|
Коэффициент
|
|
|
|
|
спроса, Кс
|
мощности, Км =
|
|
1
|
Металлургический завод
|
12 000
|
1
|
0,6
|
0,93
|
|
2
|
Завод стоительных материалов
|
4 000
|
2
|
0,4
|
0,93
|
|
4
|
Текстильная фабрика
|
4 500
|
1
|
0,63
|
0,92
|
|
6
|
Машиностроительный завод
|
6 000
|
1
|
0,55
|
0,93
|
|
8
|
Пищевая промышленность
|
3 000
|
1
|
0,51
|
0,92
|
Содержание задания
По заданной схеме питания трансформаторных подстанций и нагрузкам
требуется:
. Составить принципиальную схему электрических соединений ТП на
листе формата А1.
. Определить наибольшие активные мощности отдельных потребителей.
. Вычислить суммарную полную мощность потребителей для каждого
напряжения (35 кВ) с учетом потерь в электросетях и трансформаторах.
. Выбрать количество тип и мощность понижающих трансформаторов.
. Определить мощности на шинах первичного напряжения подстанции.
. Произвести расчет максимальных токов короткого замыкания для
характерных точек ТП.
. Вычислить наибольшие рабочие токи на шинах и по присоединениям
одного РУ 35 кВ.
. Произвести выбор и проверку по токам короткого замыкания
основного оборудования одного РУ 35 кВ и указать их на принципиальной схеме
электрических соединений:
.1. сборных шин;
.2. высоковольтных выключателей;
.3. разъединителей;
.4. измерительных трансформаторов тока;
.5. измерительных трансформаторов напряжения;
. Описать требования ПУЭ к сооружению ТП.
Исходная схема:
Введение
Электрическая подстанция - электроустановка, предназначенная для приема,
преобразования и распределения электрической энергии, оснащенная
преобразователями электрической энергии, коммутационным оборудованием и
вспомогательными устройствами, необходимыми для управления этим оборудованием.
Электрическая подстанция предназначенная для преобразования электрической
энергии одного напряжения в энергию другого напряжения с помощью трансформатора
называется трансформаторной подстанцией.
В зависимости от способа подключения к питающим линиям электропередач
электрические подстанции бывают:
Опорные (узловые) - получают питание по трем и более вводам.
Транзитные (проходные) - включены в рассечку линии электропередач.
Отпаечные - подключаются параллельно одной или двум линиям
электропередач.
Тупиковые (концевые) - располагаются в конце одной или двух линий
электропередач.
В соответствии с ПУЭ, все потребители электрической энергии делятся на
три категории.
К потребителям первой категории относятся потребители, перерыв питания
которых связан с угрозой для жизни людей, повреждением дорогостоящего
оборудования, нарушением сложного технологического процесса, массовым браком
продукции.
Перерыв питания потребителей первой категории допускается на время
автоматического включения резерва.
К потребителям второй категории относятся потребители, перерыв питания
которых связан с простоем людей, недоотпуском продукции, невыполнением плана
работы.
Перерыв питания потребителей второй категории допускается на время
включения резерва персоналом.
К потребителям третьей категории относятся все остальные потребители, не
входящие в первую и вторую категории.
Перерыв питания третьей категории связан с моральным ущербом и
допускается на время ремонта оборудования, но не более одних суток, за это
время должны быть приняты меры по восстановлению электроснабжения потребителей
использование передвижных подстанций и трансформаторов, временных питающих
линий.
1.
Разработка однолинейной схемы коммутации
трансформаторной подстанции
1.1 Схемы первичного
напряжения 110 кВ
Экономически целесообразное напряжение питающей линии ТП можно оценить по
формуле
ЭК =
ЭК =
= 107,53 кВ
Что вполне соответствует заданному напряжению в 110 кВ.
При разработке схемы электрических соединений следует стремиться к
максимальному их упрощению и использованию минимума коммутационных аппаратов.
Такие схемы не только дешевле, но и надежнее. Упрощению схемы способствует
применение автоматики (АВР, АПВ), позволяющей быстро и безошибочно осуществлять
резервирование элементов и тем самым повышать надёжность электроснабжения.
Наиболее экономично применение блочных схем, при которых отсутствуют сборные
шины первичного напряжения и, как правило, выключатели. Применение их оправдано
при питании непосредственно от районных подстанций (блок: линия 35 - 220 кВ -
трансформатор ГПП).
На крупных трансформаторных подстанциях г(лавных понизительных
подстанциях и подстанциях глубокого ввода (ПГВ), как правило, число
трансформаторов не более двух. Это обеспечивает надежное питание потребителей
всех категорий.
Однотрансформаторные ПГВ допускается применять при обеспечении
послеаварийного питания нагрузок по связям вторичного напряжения с соседними
ПГВ, с ТЭЦ или другими источниками питания, а также при отсутствии ударных
нагрузок, создаваемых электропечами, прокатными станами и т. п.
При магистральном питании однотрансформаторных ПГВ по линиям 35-220 кВ
ближайшие подстанции рекомендуется присоединять к разным линиям или цепям с
последующим использованием в послеаварийных режимах связей на вторичном
напряжении.
Для уменьшения токов короткого замыкания работа трансформаторов на
двухтрансформаторных подстанциях в сетях промышленных предприятий, как правило,
предусматривается раздельной. Следует стремиться применять однотипные
трансформаторы одинаковой мощности для упрощения замены в случае выхода одного
трансформатора из строя, а также для сокращения номенклатуры складского
резерва.
Число и мощность трансформаторов выбираются:
• по категории потребителей с учетом наличия у потребителей нагрузок 1-й
категории, требующих надежного резервирования;
• по графику нагрузки потребителя, средней и максимальной мощности
предприятия;
• по технико-экономическим показателям отдельных намеченных вариантов
числа и мощности трансформаторов с учетом капитальных затрат и эксплуатационных
расходов.
Наиболее часто применяются блочные схемы подстанций 35 - 220 кВ без
перемычки между питающими линиями с трансформаторами мощностью 6300 кВА и выше
приведены на рис.1.1.
Схема 1.1, а целесообразна, если питание каждого трансформатора
осуществляется по отдельной линии. При срабатывании защиты трансформатора
включается короткозамыкатель, что приводит к отключению выключателя на питающей
подстанции, и линия остается без напряжения.
Когда к питающей линии на отпайках присоединены несколько подстанций,
применяют линию 1.1, б. В этой схеме после отключения выключателя на питающей
подстанции предусмотрено отключение отделителя на ГПП, после чего устройством
АПВ восстанавливается питание прочих подстанций. В отдельных случаях вместо
отделителей и короткозамыкателей приходится применять выключатели. Может быть
использована схема 1.1, в для подстанций в районах Крайнего Севера и в зонах с
загрязненной средой, где отделители и короткозамыкатели работают недостаточно
надёжно, или при расположении ГПП близко от районной подстанции, так как
включение короткозамыкателя в этом случае приводит к значительному снижению
напряжения на шинах районной подстанции.

а) б)
в)
рис. 1.1. Схемы блочных подстанций 35 - 220 кВ без перемычек между
питающими линиями: а) - с короткозамыкателями; б) - с короткозамыкателями и
отделителями; в) - с выключателями.
Схема мостика с отделителями, короткозамыкателями и с неавтоматической
перемычкой, содержащей два разъединителя между вводами, приведена на рис. 1.2,
а. Эта перемычка позволяет сохранить в работе трансформатор при повреждении
питающей его линии, подключив его ко второй линии. Схему мостика с выключателем
в перемычке (рис. 1.2, б) используют при питании подстанции по транзитным
линиям 110 - 220 кВ или по линиям с двусторонним питанием. Чтобы не прерывать
транзит энергии на линии при ремонте выключателя, используют ремонтную
перемычку с двумя разъединителями. По причинам указанным выше, возможно
применение в схеме 1.2,б выключателей вместо отделителей и короткозамыкателей.
При напряжении 110 кВ к нейтрали трансформатора присоединяют заземляющий
разъединитель и разрядник. Нейтрали трансформаторов 220 кВ заземляют наглухо.

а) б)
рис. 1.2. Схемы блочных подстанций 110 (220) кВ с перемычкой между
питающими линиями: а) - схема мостика с отделителями и неавтоматической
перемычкой; б) - схема мостика с выключателем в перемычке.
Согласно СТО 5647007-29.240.30.010-2008. «Схемы принципиальные электрические
распределительных устройств подстанций 35 - 750 кВ. Типовые решения» существуют
стандартные схемы.
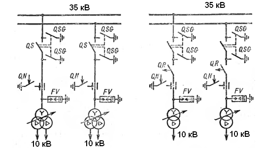
Рассмотрим некоторые из них для двухобмоточных трансформаторов
(Приложение А).
1.2
Схемы вторичного напряжения 35 кВ
При проектировании схемы электроснабжения предприятий наряду с
надёжностью и экономичностью необходимо учитывать такие требования, как
характер размещения нагрузок на территории предприятия, потребляемую мощность,
наличие собственного источника питания.
В нашем случае нагрузка представлена объектами средней (5 - 7,5 до 75
МВА)[Металлургический завод (12 МВА), машиностроительный завод (6 МВА)] и малой
(до 5МВА) [завод стойматериалов (4 МВА, текстильная фабрика (4,5 МВА),
предприятие пищевой промышленности (3 МВА)] мощности. Для предприятий средней и
малой мощности, как правило, применяют схемы электроснабжения с одним приёмным
пунктом электроэнергии (ГПП, ГРП. РП). У нас имеются потребители I категории, в
этом случае необходимо предусмотреть секционирование шин приёмного пункта и питание
каждой секции по отдельной линии.
Для предприятий средней мощности, получающих питание 35 кВ и более
применяют схему глубокого ввода. Такая схема характеризуется максимально
возможным приближением высшего напряжения к электроустановкам потребителей с минимальным
количеством ступеней промежуточной трансформации и аппаратов.
Линии глубоких вводов проходят по территории предприятия и имеют
ответвления к нескольким подстанциям глубоких вводов (ПГВ), расположенных
близко от питаемых ими нагрузок. Обычно ПГВ выполняют по простой схеме: без
выключателей и сборных шин на стороне высшего напряжения.
Глубокие вводы осуществляют при помощи магистральных воздушных линий
(рис. 1.3). Распределение электроэнергии при таких схемах осуществляется на РУ
вторичного напряжения 10 кВ и 0,4 кВ.
Рис. 1.3. Глубокий ввод, выполненный магистральными ВЛ.
Для потребителей малой мощности применяют наиболее дешевые схемы с
отделителями и коротко замыкателями (рис.1.4).
а) б)
Рис. 1.4. а) схема подстанции на разъединителях и короткозамыкателях; б)
схема подстанции на разъединителях, отделителях и короткозамыкателях.
В первую очередь рекомендуется широкое применение простых радиальных (рис.
1.5) и магистральных схем. В последнем случае применение схемы двойной сквозной
магистрали (рис. 1.6) и наличие резервных перемычек на низшем напряжении
позволяет обеспечить надежное питание потребителей любой категории.
Окончательный выбор схемы производится путем сопоставления ТЭП двух-трех
вариантов. Критерием выбора является минимум приведенных затрат.
Рис. 1.5. Одноступенчатая радиальная схема внутреннего распределения
электроэнергии
Рис. 1.6. Схема питания двойными сквозными магистралями
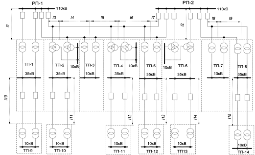
На рис 1.7. представлена предварительная макет-схема, по которой составим
однолинейную схему коммутации трансформаторной подстанции.
Рис. 1.7. Однолинейная упрощенная схема (расчетная схема)
2. Расчет мощности
подстанции
.1 Характерные суточные графики нагрузок
предприятий различных отраслей промышленности
При решении вопросов развития распределительной сети, сети внешнего
электроснабжения промышленных предприятий, а также при выполнении электрических
расчетов сетей в характерных режимах требуются данные о графиках электрических
нагрузок предприятий различных отраслей промышленности. На рис. 2.1-2.6
приведены характерные суточные графики активной и реактивной нагрузок
предприятий различных отраслей промышленности (заданных в задании).
Рис. 2.1. Завод чёрной металлургии
Рис. 2.2. Завод цветной металлургии
Рис. 2.3. Завод стройматериалов
Рис. 2.4. Текстильная фабрика
Рис. 2.5. Машиностроительный завод (станкостроение)
Рис. 2.6. Завод пищевой промышленности.
2.2 Расчет нагрузок
Электрические нагрузки предприятий являются определяющими для выбора всех
элементов системы электроснабжения (СЭС): мощности понижающих трансформаторных
подстанций потребителей (ТПП), главной понижающей подстанции (ГПП) или
центрального распределительного пункта (ЦРП), распределительной сети. Мощность
каждого потребителя определяют исходя из заданного значения его установленной
мощности, коэффициентов спроса и мощности, типового графика нагрузки (в
курсовом проекте каждый заданный потребитель рассматривается в целом без
разделения его нагрузки по цехам, участкам и т. п.). на основании формулы
Рmax = Ру
Кс (2.1)
где Ру - установленная мощность потребителя, кВт;
Кс - коэффициент спроса, учитывающий загрузку и КПД
оборудования
вычисляют максимальную активную мощность потребителя. Затем определяют
реактивную мощность в час максимума.
max = Pmax
(2.2)
Максимальная полная мощность всех потребителей с учетом потерь в сетях
выше 1000 В и понижающих трансформаторах потребителей, кВ
А
Smax = (1 +
)
(2.3)
где рпост и рпер - постоянные и переменные потери в
стали трансформаторов и переменные потери в сетях и трансформаторах,
принимаемые соответственно равными 1 - 2% и 6 - 10%;
- максимальное значение суммарной нагрузки, кВт;
- сумма реактивных мощностей всех n потребителей в час
максимума суммарной нагрузки, квар, рассчитывается по формуле (2.1).
В расчетах принимаем следующее:
(2.4)
(2.5)
где
- максимальная мощность потребителя, определенная по
выражению (2.1);
Кум - коэффициент участия в максимуме;
для потребителей с неравномерным графиком нагрузки Кум
0,75
0,8 - потребитель 2.
для предприятий с механическим оборудованием, насосными установками и
других потребителей с непрерывным технологическим процессом и с равномерным
графиком Кум
0,90
0,95 - потребитель 1, 4, 6, 8.
Расчеты сведем в таблицу.
Таблица 2.1. Электрические нагрузки
|
Наименование нагрузки
|
Pу (кВт)
|
Категория потребителя
|
Kс
|
Км (cosφ)
|
Км (tgφ)
|
Pmax, МВт
|
Qmax, Вар
|
|
Металлургический завод
|
12 000
|
1
|
0,6
|
0,93
|
0,395
|
11,16
|
4.582
|
|
Завод стоительных материалов
|
4 000
|
2
|
0,4
|
0,93
|
0,395
|
3,72
|
1.469
|
|
Текстильная фабрика
|
4 500
|
1
|
0,63
|
0,92
|
0,426
|
4.14
|
1.764
|
|
Машиностроительный завод
|
6 000
|
1
|
0,55
|
0,93
|
0,395
|
5.58
|
2.204
|
|
Пищевая промышленность
|
3 000
|
1
|
0,51
|
0,92
|
0,426
|
2.76
|
1.176
|
|
29500
|
|
27.36
|
11.195
|
10.415 вар.
В итоге получаем:
Полная мощность на вторичной обмотке трансформаторов ТП, необходимая для
питания потребителей:
Smax2 =
=
= 27,484 MBA
Мощность нагрузки на первичной стороне трансформатора с учетом потерь в
нём:max1 = (1 +
)
= 30,232 МВ
А.
С учетом мощности установленного трансформатора собственных нужд SСН
= 160 кВА = 0,160 МВА полная максимальная мощность на шинах 35 кВ:max
= 30,392 МВ
А
Выбор понижающих трансформаторов
МВА
(2.6)
Таблица
2.2. Трансформатор ТРДН-25000/110 (ТДН-25000/110) паспортные данные
|
Тип
|
Sном, МВА
|
Uном обмоток, кВ
|
Схема и группа со- единения обмоток
|
Потери, Вт
|
uКЗ, %
|
IXX, %
|
|
|
ВН
|
НН
|
|
PXX кВт
|
PКЗ кВт
|
|
|
|
1
|
2
|
3
|
4
|
5
|
6
|
7
|
8
|
9
|
|
Напряжение до220 кВ
|
|
ТДН-25000/110
|
25
|
115
|
38,5
|
|
25
|
120
|
10,5
|
0,65
|
|
ТРДН-25000/110
|
25
|
115
|
38,5
|
|
25
|
120
|
10,5
|
0,65
|
· КZ = 0.62- коэффициент загрузки трансформатора в
нормальном режиме;
· KИП = 0,05
При расчёте нагрузочной способности трансформатора по программе Circuit
Magic. 1.0.0.3. получили следующие результаты:
¾ Максимальная температура масла Тмах = 84,98
;
¾ Максимальная температура обмотки Тоб = 131,42
;
¾ Суточный износ изоляции 3,82.
Согласно этим вспомогательным расчетным данным трансформатор подходит.
Произведем точный расчет мощности нагрузки с учетом выбранных
трансформаторов
Расчёт потерь в трансформаторе
кВт
(2.7)
где
Kz-коэффициент загрузки трансформатора в нормальном режиме,
-активные потери в обмотке трансформатора,
-
реактивные потери в обмотке трансформатора.
(2.8)
где
ΔQk - реактивные потери в обмотке
трансформатора,HOM.TP - номинальная мощность трансформатора,k%
-напряжение короткого замыкания.
(2.9)
где
-активные потери в стали трансформатора,
-
реактивные потери в стали трансформатора.
кВар
(2.10)
где
-реактивные потери в стали трансформатора,
-
номинальная мощность трансформатора,
-ток
холостого хода.
кВар
(2.11)
где
-реактивные потери в стали трансформатора,
-
реактивные потери в меди трансформатора,
-коэффициент
загрузки,
-потери
реактивной энергии на 1 трансформатор.
кВт
(2.12)
где
-активные потери в трансформаторах,
-активные
потери в обмотке трансформатора,
-активные
потери в стали трансформатора,- число трансформаторов на ГПП.
кВар
(2.13)
где
-реактивные потери в стали трансформатора,
-
реактивные потери в меди трансформатора,
-потери
реактивной энергии на трансформаторах подстанции, n-число трансформаторов на
ГПП.
кВт
(2.14)
где
- расчётная мощность на стороне 35кВ,
ΔP -активные потери в трансформаторах,
-
расчётная мощность на стороне 110 кВ.
= 11195
+ 2343,1 = 13538,1 кВар (2.15)
где
- расчётная реактивная мощность на стороне 35 кВ,
ΔQ - реактивные потери в трансформаторах,
-
расчётная реактивная мощность на стороне 110 кВ.
=
С
учетом ТСН: Smax = 30,760 + 0,16 = 30,92 МВ
Аmax(приближенный расчет) = 30,392 МВ
Аmax(точный расчет) = 30,92 МВ
А
Вывод:
значения мощности сопоставимы.
Погрешность
составила:
d =
100 % = 1,74 % (что меньше 3 - 5 %).
Выбираем
Smax(точный расчет) = 30,92 МВ
А
А (2.17)
где
U-номинальное напряжение питающей сети,
-расчётный
ток в послеаварийном режиме.
Выбор сечения
проводов воздушной ЛЭП
Выбор сечения провода проводится по экономической плотности тока в
нормальном и аварийном режиме:
эк =
где jэк − нормированное значение экономической плотности тока, А/мм2
Правильно выбранное сечение должно удовлетворять следующим условиям:
. По перегрузочной способности (в аварийном режиме при отключении одной
из питающих линий)
,3 Iдоп
Iв а.р.
где Iдоп − допустимый ток для выбранного сечения, А;в
а.р. − расчетный ток в аварийном режиме, А.
. По условию механической прочности: согласно условию механической
прочности на воздушных линиях выше 1000 В могут применяться алюминиевые провода
сечением не менее 35 мм2, сталеалюминевые и стальные - не менее 25
мм2.
. По допустимой потере напряжения: допустимая длина питающей линии
определяется
доп = LΔU1%
ΔU доп
Lфакт
где LΔU1% − длина линии при полной
нагрузке, на которой потеря напряжения равна 1%, принимается по справочной
литературе;
ΔU доп − допустимое
значение потери напряжения, %;ф акт - фактическая длина линии, км.
. Проверка на корону производится только для Uм он ≥
110 кВ)
Проверяется выполнение условия
,07 ⋅ Е ≤0,9 ⋅ E0
где Е - напряженность электрического поля около поверхности
нерасщепленного провода;
Е =
(кВ/см),
ср - среднегеометрическое расстояние между проводами фаз,
смСреднегеометрическое расстояние между проводами одноцепной линии находится по
формуле
CP =
где D12, D13, D23 - расстояния между
проводами отдельных фаз.
Чертежи и геометрические размеры некоторых типов опор даны0 -
начальная напряженность возникновения коронного разряда.
Для проводов радиуса r определяется по формуле
Е0 = 24,5
(кВ/см),
где m = 0,82-0,94 - коэффициент гладкости провода;
δ = 1,04-1,05 (для районов с умеренным климатом) -
относительная плотность воздуха, определяемая атмосферным давлением и
температурой воздуха;- радиус провода, см.
При радиусе провода r < 1см можно использовать формулу
Е0 = 30.3
(кВ/см),
Определим технико-экономические показатели варианта схемы внешнего
электроснабжения предприятий первой категории по надежности, работающего в три
смены (Tmax =6300 ч), при питании напряжением Uн1=110 кВ
и Uн2=35 кВ. Длина линий L= 113 и 31 км; расчетная мощность нагрузки
Sрасч = 30,760 МВ⋅А.
Рассмотрим вариант - напряжение питающей линии 110 кВ.
Выбираем двухцепную воздушную линию со сталеалюминиевыми проводами на
стальных опорах, вычислив экономическое сечение провода по следующей формуле
эк =
=
= 81,24 мм2
где jэк =1 А/мм2 − нормированное значение экономической
плотности тока при Tmax >5000 ч.
Из стандартного ряда сечений с ориентацией на условие коронирования
согласно рекомендациям ПУЭ принимаем S = 95/16 мм2, допустимый ток -
Iдоп = 330 А.
Проверяем выбранное сечение по перегрузочной способности
,3⋅330 = 429 ≥ 2⋅161,638= 323,276 А.
По условию механической прочности 95 мм2 > 25 мм2.
По допустимой потере напряжениядоп = 4,85
5%
131 км
Условие не выполняется, поэтому выбираем (последовательно перебирая)
провода марки АС-185/29, допустимый ток - Iдоп = 520 А., тогда
По допустимой потере напряжениядоп = 4,62
5%
131 км
Проверка на корону: для двухцепной стальной опоры с подвеской проводов
шестиугольником находим среднегеометрическое расстояние между проводами
CP =
=
= 5.47 м
Начальная напряженность возникновения коронного разряда (для провода
марки АС-185, r = 0,94 см): Е0 = 30.3
= 30.3
= 33,68(кВ/см),
Напряженность электрического поля около поверхности нерасщепленного
провода рассчитывается по формуле:
Е =
=
= 14,983
Проверяем выполнение условия:
,07 ⋅ Е ≤0,9 ⋅ E0
,07⋅14,983 = 16,032 ≤ 0,9⋅33,68 = 30,312 кВ/см.
Выбранное сечение удовлетворяет всем условиям проверки.
Характеристика провода АС-185/29
|
Марка провода
|
rуд, удельное активное сопротивление на 100 км
при 200С
|
худ, Ом
|
bуд*10-6, См
|
qуд, Мвар
|
|
АС-185/29
|
16,2
|
41,3
|
2,75
|
3,7
|
Общее удельное сопротивление:
=
=
= 0,444 Ом/км
На шинах НН - 35 кВ количество линий определяется по экономической
плотности тока
Определяем максимальный ток линий, отходящих к потребителю по КЛ
, кА
кА.
Определяем
суммарное экономическое сечение всех кабельных линий, отходящих к потребителю
мм2
где
=1,2 А/мм2- экономическая плотность тока
мм2.
Определение
кабельных линий
Принимаем
за сечение одной линии 70 мм2
;
.
Определив
уточнённое количество линий, производим проверку выбранного сечения по
допустимому току
где
Iдоп = 170 А - допустимый ток;
-
уточнённое количество линий;
.
Принимаем
трёхжильный кабель марки АСБ-1 - (3 х 700), так как не известен способ
прокладки.
Выбор компенсирующих устройств
Комплектные конденсаторные установки (рис. 2.7) применяются на напряжение
35 и 10 (6) кВ для автоматического регулирования (компенсацииреактивной
мощности в сети промышленных предприятий.
e
= Pp* tgφэк =27360 * 0.3 = 8208 кВар
где Qe экономическая реактивная мощность,p-
расчётная активная мощность на подстанции,φэк = 0.3 -коэффициент мощности задается
энергосистемой (выбираем равным 0,3).
кур= Qsum - Qe = 13621 - 8208 = 5413 кВар
где Qкур - расчётная реактивная мощность батарей
конденсаторов,sum - расчётная реактивная мощность на подстанции.
Подсчитаем количество последовательных групп конденсаторов для
конденсаторной установки на напряжение 35 кВ, соединенной в треугольник при
следующих данных: (Uс = 36 кВ; Uном.к = = 1,05 кВ; К2 = I
(индуктивность отсутствует); К1 = 0.9 (расхождение по емкости более
10%).
Количество последовательных групп конденсаторов должно быть:
=
=
= 38
При расхождении емкости на 5% количество последовательных групп
составит:=
= 36
Рис. 2.7. Схема подключения комплектной конденсаторной установки 35 кВ
для автоматического регулирования (компенсации) реактивной мощности в сети
(Схема соединения конденсаторов в ячейке и ячеек в модуле показана условно).
На рис. 2.8. приведена компановка конденсаторов.
Таким образом, можно скомплектовать батарею на 35 кВ из конденсаторов на
напряжение 1,05 кВ из 22, 11 или 6 отдельных конструкций в каждой фазе (рис.
2.8,а).
При составлении на такую же мощность батареи на 35 кВ из конденсаторов на
напряжение 3,15 кВ при установке их на семи отдельных конструкциях в каждой
фазе получается, что каждая конструкция соответствует по напряжению одному
конденсатору. При этом требуется только изоляция конструкции с конденсаторами
от земли на изоляторах напряжением 35 кВ (рис. 2.8,б).
Рис. 2.8. Схемы соединений конденсаторных батарей напряжением 35 кВ в
звезду (одной фазы). а - из конденсаторов на напряжение 1,05 кВ нз 22
последовательных групп по четыре параллельно; б - из конденсаторов на
напряжение 3,15 кВ из 7 последовательных групп по 12 параллельно (цифры указывают
последовательные группы).
Устанавливаем конденсаторную установку АУКРМ на 35 кВ с конденсаторами
КС-1,05 - 50
|
Показатели
|
Значения
|
|
Полная мощность установки, квар
|
50 - 20 000
|
|
Шаг регулирования, квар,
|
50 - 900
|
Величина компенсациикур = 5450 кВар
АУКРМ устанавливаются на питающих подстанциях 0,4; 6; 10; 35 кВ с целью
автоматического регулирования сosφ по низкой или высокой стороне (в
зависимости от типа нагрузки и схемы питания).
Установка АУКРМ обеспечит:
· автоматическое поддержание близкого к единице коэффициента
мощности, вследствие чего оплата за потребленную и выработанную реактивную
мощность и всевозможные штрафы за реактив снизятся практически до нуля;
· существенное увеличение пропускной способности
трансформаторов и кабелей;
· отсутствие потерь активной мощности, уменьшение на 5-30%
выплат за потребленную активную мощность;
· эффективную разгрузку энергосетей от протекания реактивного
тока (т.е. позволит скомпенсировать индуктивную реактивную мощность).
Возможно применение следующих автоматических установок на 35 кВ
· КРМ (УКЛ57) - установка компенсации
реактивной мощности без разъединителя, без фильтров гармоник, нерегулируемая,
вводная ячейка расположена слева
· КРМ (УКЛ56) - установка компенсации
реактивной мощности с разъединителем, без фильтров гармоник, нерегулируемая,
вводная ячейка расположена слева
· КРМ (УКРМ) - установка компенсации
реактивной мощности с разъединителем, без фильтров гармоник, регулируемая,
вводная ячейка расположена слева
· КРМФ - установка компенсации
реактивной мощности с разъединителем, с фильтрами гармоник, регулируемая,
вводная ячейка расположена слева
Мощность нагрузки с учётом компенсации реактивной мощности составит при UНОМ:
.
Расчёт максимальных рабочих токов
основных присоединений подстанции
Электрические аппараты выбирают по условиям длительного режима работы
сравнением рабочего напряжения и наибольшего длительного рабочего тока
присоединения, где предполагается установить данный аппарат, с его номинальным
напряжением и током. При выборе учитывается необходимое исполнение аппарата
(для наружной и внутренней установки). Выбранные аппараты выбирают по условиям
короткого замыкания.
Согласно ПУЭ по режиму КЗ при напряжении выше 1000 В не проверяют:
· аппараты и проводники, защищенные предохранителями с плавкими
вставками на номинальный ток до 60 А - по электродинамической стойкости;
· аппараты и проводники, защищенные плавкими предохранителями
независимо от их номинального тока и типа - по термической стойкости;
· аппараты и шины цепей трансформаторных напряжений при
расположении их в отдельной камере или за добавочным резистором;
· проводники к неответвленным индивидуальным электроприемникам;
· провода воздушных линий (ВЛ) электропередачи при ударном токе
КЗ, меньшем 50 кА, и отсутствии быстродействующих устройств АПВ.
За наибольший рабочий ток присоединения принимают ток с учетом допустимой
перегрузки длительностью не меньше 30 мин. При расчете максимальных рабочих
токов необходимо учитывать возможность 1,5-кратной перегрузки трансформаторов в
наиболее неблагоприятном режиме, увеличение токов параллельно включенных
трансформаторов и линий в случае отключения одного из трансформаторов или
линии. Для выбора линии также следует предусматривать запас на перспективу,
который можно принять равным 30% существующей мощности потребителей.
Вводы 110 кВ (по формуле (3.1)):
Ip.max =
(3.1)
где kпр = 1,3 - коэффициент перспективы развития потребителей;пс
- максимальная полная расчетная мощность подстанцииp.max =
= 211,224 кА
Система шин 110 кВ:
Ip.max =
(3.2)
рн1 - коэффициент распределения нагрузки по шинам первичного напряжения,
равный 0,5 - 0,8.p.max =
= 147,857 А
Первичная обмотка понижающего трансформатора:
Ip.max = =
= 197,057 А.
пс = n*Sтр = 2* 25000 = 50000 кВА - максимальная полная мощность
всей подстанции с двумя трансформаторами 25 МВА
- коэффициент допустимой перегрузки трансформаторов, (1,5).
Обмотка низшего напряжения:
Ip.max = =
= 412,882 А.
Система шин 35 кВ:
Ip.max =
= 693,64 А.
Питающие линии потребителей 35 кВ рассчитываем по формуле
p.max = =
.
где
- максимальная мощность потребителей;
- коэффициент мощности потребителей.p.max1 = =
. = 277,03 Аp.max2 = =
. = 92,343Аp.max3 = =
. = 105,016 Аp.max4 = =
. = 138,515 Аp.max5 = =
. = 70 А
Первичная обмотка ТСН по формуле:
Ip.max = =
= 3,964 А
.
Расчет параметров короткого замыкания
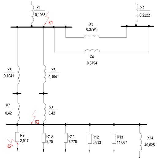
.1 Составление расчетной схемы
Расчетная схема представлена на рис. 1.5. Составим схему замещения
Рис. 4.1. Схема замещения
4.2 Базисные ступени
напряжения, расчёт основных параметров
Применение системы относительных единиц часто
существенно упрощает расчетные выражения, описывающие процессы в различных
элементах электроэнергетической системы, облегчает контроль расчетных данных и
сопоставление результатов расчетов для установок различной мощности, поскольку
для таких установок относительные значения расчетных величин часто имеют
одинаковый порядок. Чтобы получить относительные значения различных физических
величин, необходимо предварительно выбрать значения соответствующих величин,
принимаемые за базисные, т.е. в качестве единиц измерения. В частности, чтобы
выразить параметры различных элементов схемы замещения электрической цепи и
параметры режима в системе относительных единиц, необходимо иметь четыре
базисные единицы: базисное напряжение Uб базисный ток Iб
базисную мощность (трехфазной системы) Sб и базисное сопротивление Zб.
Две из них выбирают произвольно, а две другие определяют из соотношения для
мощности трехфазной системы:
(4.1.)
и
формулы, выражающей закон Ома:
(4.2.)
В качестве базовых величин принимаются базовая (базисная) мощность Sб
и базовое (базисное) напряжение Uб. За базисную мощность принимается
суммарная мощность генераторов (если мощности генераторов известны), или
принимается Sб=100 МВА (Sб=1000 МВА). Для основной
ступени, для которой производится расчёт токов короткого замыкания принимается
Uб = Uср. Среднее значение напряжения ступени
электрической цепи Uср берётся на 5% выше номинального напряжения
сети: ср = 0,23кВ; 0,4 кВ; 0,525 кВ; 0,69 кВ; 3.15кВ; 6,3кВ; 10,5кВ;
15,75кВ; 21кВ; 37 кВ; 115 кВ; 154 кВ; 230 кВ; 340 кВ; 515 кВ и т.д.
В данной курсовой работе, исходя из параметров установленных
трансформаторов, принимается Sб=1000 МВА, Uб =115 кВ.
Напряжение второй ступени UII = 35 кВ.
Рассчитываем базисный ток и сопротивление, исходя из принятых базисной
мощности и напряжения:
(4.3)
(4.4)
Приведение
величин второй ступени напряжения к базисной
(4.5)
(4.6)
(4.7)
4.3 Приведение параметров элементов схемы
замещения к базисным условиям
Теперь непосредственно приступим к расчету параметров схемы замещения
системы. Для расчета параметров сразу в базисных величинах, рассчитаем базисные
напряжения и токи каждой ступени:
Для
расчетов примем
МВА.
кВ (на 5%
больше номинального).
Сопротивления до шин районной подстанции РП1 (РП2)определяем по формуле:
х =
(4.8)
х1 =
= 0,1053
х2 =
= 0,222
относительные сопротивления линий L1 и L3 - 7 (31 и
113 км)
х*б3,4 = х0* L
= 0,444*113 *
= 0,3794
х*б5,6= х0* L
= 0,444*31 *
= 0,1041
сопротивления трансформаторов TV1, TV2:
x*7,8 =
=
= 0,420.
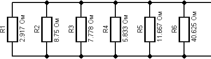
Сопротивление нагрузки, приведенное к базисным условиям, определяем по
формуле:
сопротивления трансформатора собственных нужд типа ТМ-160/35:
x*14 =
=
= 40,625.
Составляем схемы преобразования:
х15 =
=
= 0,1897
х16 = х2 + х15 = 0,222 + 0,1897 = 0,412
х17 (К1) =
=
= 0,084
нагрузка:
Рис. 4.2 Схема замещения нагрузки
х18 = 1,1528
Рис. 4.3.
х19, 20 = х5 + х7 = 0,1041 + 0,42 =
0,5241
х21 =
=
= 0,262
Рис. 4.4.
х22 (К2) = х17 + х21 = 0,084 + 0,262 =
0,346
Рис. 4.5.
Расчеты сведем в таблицу
Таблица 4.1.
|
Расчетные велечины
|
Формула для расчета
|
Расчетные значения токов и мощности КЗ в расчетных точках
|
|
К1
|
К2
|
|
Базисный ток
|
 
|
|
|
|
Действующее значение периодической составляющей тока
трехфазного КЗ
|
IK1(3) =
|
IK1(3) = = 5.9833 kA.
|
IK1(3) = = 4.5645 kA.
|
|
Ток двухфазного КЗ
|
=
|
= 0,866*5.9833= 5.1816 кА
|
= 0,866*4.5645 = 3.9528 кА
|
|
Ударный ток
|
iy1 = 2.55* IK1(3)
|
iy1 = 2,55*5.9833= 15.2574кА.
|
iy1 = 2,55*4.5645= 11,64 кА.
|
|
Мощность КЗ
|
SR1 =
|
SR1 = = 1190.5 MBA
|
SR1 = = 289 MBA
|
|
Полный тепловой импульс тока КЗ
|
ВКЗ = (tоткл + Та)
tоткл = tрз + tср + tсв
|
ВКЗ = 5.98332 (2,14 + 0,025) = 77.507
кА2*с tоткл = 2,0 + 0,1 + 0,04 = 2,14 с Та =
0,025 с
|
ВКЗ = 4.5645 2 (1,65 + 0,02) = 34.794
кА2*с tоткл=1,5 + 0,1 + 0,05 = 1,65 с Та =
0,02 с
|
|
Апериодическая составляющая тока КЗ в момент размыкания
контактов выключателя
|
iτ,α = IK1(3)
* exp (-τ/Ta). τ = t зmin+ t св
|
1,414*5.9833*ехр (-0,05/0,025) = 1.145 кА. τ
= 0,01 + 0,04 = 0,05 сек
|
1,414*4.5645*ехр (-0,06/0,02) = 0.321 кА. τ
= 0,01 + 0,05 =
0,06сек
|
|
|
|
|
|
Токи и мощность КЗ в любой точке распределительного устройства имеют
одинаковое значение, различными будут только значения тепловых импульсов.
Поэтому в точке К2* на линии районного потребителя выполняется расчет только
теплового импульса.
ВКЗ = 4.56452 (0,65 + 0,045) = 14.48 кА2*срз
= 0,5 соткл= 0,5 + 0,1 + 0,05 = 0,65 с
Та = 0,045 с
.
Выбор и проверка токоведущих частей и
электрического оборудования трансформаторной подстанции
5.1 Выбор токоведущих
частей
Выбор гибких сборных шин на стороне 110 кВ.
Для РУ 35 кВ и выше применяют гибкие шины, выполненные проводами АС.
Выбор проведем по таблице
Таблица 5.1.
|
Характеристика условий выбора гибких шин
|
Формула.
|
|
По длительному допустимому току
|
Iдоп Ip.max
|
|
По термической стойкости
|
q qmin = /C
|
|
По условиям отсутствия коронирования (при напряжениях 35 кВ
и выше).
|
0.9E0 1.07E
|
Для сборных шин подстанции:
p.max =
где kпр = 1,3 - коэффициент развития потребителей;рн1
- коэффициент распределения нагрузки по шинам первичного напряжения, равный 0,6
- 0,8.
пс = n*Sтр = 2* 25000 = 50000 кВА - максимальная полная мощность
всей подстанции с двумя трансформаторами 25 МВА
p.max =
= 246,293 А.
Выбираем бдижайший допустимый длительный ток Iдоп = 265 А
АС-50,- выбранное сечение, мм2min - минимальное
сечение токоведущей части по условию термической стойкости, мм2min
=
/88 = 100 mm2 (для АС С =
88)
ближайшее стандартное большее сечение 100
АС-120
Максимальное значение начальной критической напряженности электрического
поля, при котором возникает разряд в виде короны, кВт/см
Е0 = 30,3m(1 + 0.299/
)
- коэффициент, учитывающий шероховатость поверхности провода (для
многопроводного провода АС он равен 0,82);- радиус провода (для АС120 r = 7,6
мм = 0,76 см)
Е0 = 30,3*0,82(1 + 0,299/
) = 27,54 кВт/см.
Напряженность электрического поля около поверхности провода
Е =
- среднее геометрическое расстояние между проводами фаз, см.
При горизонтальном расположении фаз
= 1,26D. Здесь D - расстояние между
соседними фазами, см. для сборных гибких шин приняты расстояния между проводами
разных фаз - 1,5; 3,0 и 4,0 м для напряжений 35; 110 и 220 кВ соответственно.
= 1,26D = 1,26*3,0 = 3,78 м = 378 см.
Е =
= 19,0 кВ/см
Таким образом,
,9 Е0 = 0,9* 27,54 = 24,786 кВ/см
,07Е = 1,07* 19,0 = 20,33 кВ/см и условие
.9E0
1.07E выполняется
Окончательно выбираем АС-120/19.
Таблица 5.2.
Характеристика провода АС-120/18 Iдоп = 390 А
|
Марка провода
|
rуд, удельное активное сопротивление на 1 км при
200С
|
худ, Ом
|
bуд*10-6, См
|
qуд, Мвар
|
|
АС-120/19
|
0,249
|
0,427
|
2,75
|
3,7
|
Общее удельное сопротивление:
=
=
= 0,494 Ом/км
Выбор сборных жестких шин на стороне 35 кВ.
В закрытых РУ сборные шины выполняют жесткими алюминиевыми шинами.
Таблица 5.3.
|
Характеристика условий выбора жестких шин
|
Формула.
|
|
По длительно допустимому току
|
Iдоп Ip.max
|
|
По термической стойкости
|
q qmin = /C
|
|
По электродинамической стойкости.
|
σдоп σрасч
|
Выбор и проверка на термическую стойкость жестких шин определяется
аналогично гибким шинам. Следует учесть, что при расположении шин
прямоугольного сечения плашмя значения допустимых токов приведенные в
справочниках должны быть уменьшены на 5% для шин с шириной полос до 60 мм и 8%
с шириной полос больше 60 мм.p.max =
= 693,64 А.
Подходят алюминиевые прямоугольные шины, расположенные плашмя при числе
полос на фазу = 3: 60 х 6 мм = 0.06 x 0.006 мдоп = 0,92*870 = 800
А.= 360 мм2min =
/88 = 67,03 мм2 - условие
выполняется
Электродинамическая стойкость шин, укрепленных на опорных изоляторах,
проверяется по механическому напряжению, возникающему в них при КЗ:
σрасч = 1,76
10-8 МПа
где lои = 1 м - расстояние между соседними опорными
изоляторами, м;
а = 0,75 м - расстояние между осями шин соседних фаз, м;у -
ударный ток трехфазного КЗ;- момент сопротивленияшины относительно оси, перпендикулярно
действию усилия, при расположении плашмя
= bh2 /6 = 0.006*0.062/6 = 3,6*10-6 м2
σрасч = 1,76 *
10-6 = 0,5 МПа
выбираем шины из алюминиевого сплава типа АДО 60 х 6 мм σдоп = 25,0 МПа,допmax
= 870 А.
Выбор силовых кабелей и воздушных линий потребителей (условно принимаем
длину - 8 км - кабелей и 10 км - ВЛ).
В зависимости от места прокладки, свойств среды, механических усилий,
воздействующих на кабель, рекомендуются различные марки кабеля.
Выбор произведём по таблице
Таблица 5.4.
|
Характеристика условий выбора силовых кабелей
|
Формула.
|
|
По конструкции, в зависимости от места прокладки, свойств
среды и механических усилий
|
|
|
По номинальному напряжению
|
UH Up = 35 kB
|
|
По экономической плотности тока для U 35 kB
|
q qэ = Ip max/jэ,
|
|
По длительному допустимому току
|
IH Ip.max
|
|
По термической стойкости
|
q qmin = /C
|
|
По потере напряжения до потребителя
|
ΔUдоп ΔU (около 5%)
|
Для кабелей и ВЛ потребителей:
p.max =
=
= 288,68 А
Пусть от РУ ТП отходит 5 кабельных линии, проложенных в земле и 3 ВЛ,
тогда Ip.max = 288,68/8 = 36,1 А для каждой линии.
Предварительный выбор:
кабели с алюминиевыми жилами проложенные в земле= 120 мм2 (Iдоп
= 210 А)
ВЛ - АС- 70/11 (Iдоп = 265 А)min =
/88 = 67,03 мм2 - условие
выполняется.
По экономической плотности тока эти линии не проверяются U = 35 kB
Определим потери в линиях
ΔU =
(r0Cos φ + x0 Sin φ) L*Ip.max
0
- удельное активное сопротивление линии;0 - удельное реактивное
сопротивление линии;
кабели:0 = 0,48 Ом/км x0 = 0,06 Ом/км
ВЛ:0 = 0,428 Ом/км ; x0 = 0,444 Ом/км
примем для расчёта среднее значение Cos φ = 0,925 ⇒ Sin φ = 0,38
Кабели: ΔU =
Σ(0,48*0.925+ 0,06*0.38)*8 * 288,68 = 0,09 %
5%
ВЛ: ΔU =
Σ(0,428*0.925+ 0,444*0.38) *10*288,68 = 0,133 %
5%
Окончательный выбор:
ВЛ: АС-70/11мм2
5.2 Выбор изоляторов
Выбор подвесных изоляторов.
Гибкие шины открытых РУ ВН подстанций обычно крепят на гирляндах
подвесных изоляторов. Количество подвесных изоляторов в гирлянде в зависимости
от их типов и напряжения определяется в результате расчетов:
Таблица 5.5.
|
Характеристика условий выбора подвесных изоляторов
|
Формула.
|
Значение.
|
|
По конструкции, в зависимости от места установки и типа
изоляторов
|
Тип ПС70 Тип ПФ70
|
Число в гирлянде 9 8
|
|
По номинальному напряжению
|
UH Up = 110 kB
|
110
|
|
По длительному допустимому току
|
IH Ip.max= 630 А
|
246,293 А
|
p.max =
= 246,293 А.
Выбор опорных изоляторов.
Жесткие шины РУ НН крепят на опорных изоляторах.
Таблица 5.6.
|
Характеристика условий выбора опорных изоляторов
|
Формула.
|
|
По конструкции, в зависимости от места установки и типа
изоляторов
|
Внутренняя установка. Внешняя установка
|
|
По номинальному напряжению
|
UH Up = 35 kB
|
|
По допустимой нагрузке
|
F 0.6F разр = 22,5 Н
|
|
Характеристика условий выбора опорных изоляторов
|
Формула.
|
Значение
|
|
По конструкции, в зависимости от места установки и типа
изоляторов
|
Внутренняя установка. Внешняя установка
|
ИОР-35-7,5 ОНШ-35-1000
|
|
По номинальному напряжению
|
UH Up = 35 kB
|
35 кВ
|
|
По допустимой нагрузке
|
F 0.6F разр = 45 (117 Н) Н
|
31,8 Н
|
*в скобках указана разрушающая сила для ИОС F разр = 195 Н.
Сила, действующая на изолятор при КЗ, Н:
= 1,76
Н
где l - расстояние между соседними опроными изоляторами, м;
а - расстояние между осями шин соседних фаз, м;у - ударный ток
трехфазного КЗ;= (0.176*11,642 *1/0,75) = 31,8 Н
Выбираем Fразр = 7,5 даН = 75 Н
,6*Fразр = 0,6*75 = 45 кН
Окончательно выбираем: ИОР-35-7,5. УХЛ, Т
Выбор проходных изоляторов.
Эти изоляторы применяют для соединения частей электроустановок внутри
помещений и для соединения наружных и внутренних частей РУ.
Выбор производим по таблице
Таблица 5.7.
|
Характеристика условий выбора проходных изоляторов
|
Формула
|
Выбор.
|
Значение
|
|
По конструкции, в зависимости от места установки
|
-
|
ИП-35/400-750
|
|
|
По номинальному напряжению
|
UH Up kB
|
35 кВ
|
35 кВ
|
|
По допустимой нагрузке
|
F 0.6F расч
|
4500 Н
|
15,9 Н
|
|
По длительному допустимому току
|
IH Ip.max
|
400 А
|
246,293 А
|
|
По термической стойкости, q - сечение токоведущей части
изолятора.
|
q qmin = /C
|
200 мм
|
67 мм
|
Сила, действующая на изолятор при КЗ, Н:
= σрасч = 0,088
10-6 Н
где l - расстояние между соседними опроными изоляторами, м;
а - расстояние между осями шин соседних фаз, м;у - ударный ток
трехфазного КЗ;= 0.088*11,642 *1/0,75 = 15,9 Н
Выбираем Fразр = 7500 Н
,6*Fразр = 0,6*7500 = 4500 Н
Сечение токоведущей части изолятора:
min =
/C =
/88 = 67 мм2
Окончательно выбираем: ИП-35/630 - 750. УХЛ, Т
5.3 Выбор отключающих аппаратов
При выборе выключателя, его паспортные характеристики сравниваем с
расчетными условиями работы на подстанции. Расчет ведем по схеме:
Таблица 5.8.
|
Характеристика условий выбора выключателей
|
Формула.
|
|
По месту установки
|
Наружная, внутренняя
|
|
По номинальному напряжению
|
UH Up
|
|
По номинальному длительному току
|
IH Ip.max
|
|
По отключающей способности по номинальному периодическому
току отключения
|
IH.откл Iкз
|
|
по полному току отключения
|
Iн.откл(1
+ βн) Iкз + iα,τ
|
|
По электродинамической стойкости: по предельному
периодическому току КЗ по ударному току
|
Iпр.с Iкз iпр.с iy
|
|
По термической стойкости
|
I2T*tT Bk
|
где IH.откл - номинальный ток отключения выключателя по
каталогу, кА;α,τ - апериодическая составляющая тока КЗ
в момент расхождения контактов выключателя, кА:α,τ
(ВН) = 1,145 кА;α,τ
(НН) = 0,321 кА;пр.с
- эффективное значение периодической составляющей предельного сквозного тока КЗ
по каталогу, кА;пр.с - амплитудное значение предельного сквозного
тока КЗ по каталогу, кА;
βн - номинальное значение относительного содержания
апериодической составляющей в отключенном токе, определяем по графику
зависимости от τ:
τ(ВН) = 0,05 с; βн (ВН) =0,3;
τ(НН) = 0,06 с; βн(НН) = 0,25;
T
- предельный ток термической стойкости по каталогу, кА;T - время
прохождения тока термической стойкости по каталогу, с;k - тепловой
импульс тока КЗ по расчету, кА2с:k(ВН) = 77,507;k(НН)
= 34,794;y- ударный ток:y(ВН) = 15,2574 кА;y(НН)
= 11,64 кА.
Максимальные токи:p.max (ввод 110 кВ) =
= 211,224 кАp.max (СШ 110
кВ) =
= 147,857 А
p.max (ВН) =
= 197,057 А.p.max (НН)= =
= 412,882 А.p.max (СШ 35
кВ) =
= 412,882 А.
Питающие линии потребителей:
Ip.max1 = =
. = 277,03 Аp.max2 = =
. = 92,343Аp.max3 = =
. = 105,016 Аp.max4 = =
. = 138,515 Аp.max5 = =
. = 70 А
Первичная обмотка ТСН по формуле:
p.max = =
= 3,964 А
трансформаторный подстанция короткий замыкание
5.3.1 Выбор выключателей
На стороне 110 кВ ПС целесообразно применять воздушные сетевые
выключатели с металлическими дугогасительными камерами типа ВВУ или ВВБ в
системах ввода и шин - ВВБ - 110Б - 31,5/2000 (или ВВУ - 110 - 40/2000).
На стороне 110 кВ ВН ТП целесообразно применять специально разработанные
для таких ПС маломасляные выключатели типа ВМТ.
Промышленность выпускает маломасляные выключатели следующего типоразмера:
ВМТ -110Б - 25/1250 УХЛ1
Таблица 5.9.
Выбор силових выключателей - 110 кВ
|
Характеристика условий выбора
|
Расчетные параметры
|
Каталожные данные
|
Условия выбора
|
|
По номинальному напряжению
|
Ucном=110 кВ
|
Uном= 110 кВ
|
Ucном < U ном ( 110 кВ =110 кВ)
|
|
По номинальному длительному току
|
I110нр = 211,224 А
|
Iном= 1250 А
|
I110нр < Iном ( 211,224 А < 1250 А)
|
|
По отключающей способности по номинальному периодическому
току отключения по полному току отключения
|
Iкз= 5,9833 кА,
|
Iоткл = 25 кА
|
Iкз < Iоткл ( 5,9833 кА < 25 кА) Iн.откл(1 + βн) Iкз + iα,τ 1,414*25*(1 + 0,3) = 45,96 кА 1,414*5,9833 + 1,145 = 9,605 кА
|
|
По электродинамической стойкости: по по предельному
периодическому току по ударному току
|
Iкз= 5,9833 кА, iуд= 15,2574 кА
|
Iпр.с= 25 кА
|
Iкз < Iпр.с 5,9833кА 25 кА iуд < iпр.с
(15,2574 кА< 25 кА)
|
|
По термической стойкости
|
Вk =77,507 кА2с
|
it = 25 кВ it2tt =
Iт.с2 · t = 252·3 = 1875 кА2с
|
Вк < it2tt (77,507 кА2с
< 1875) кА2с)
|
Выключатели серии
ВМТ-110Б-25/1250УХЛ1 (сторона ВН) и ВВБ - 110Б - 31,5/2000 (ввод и СШ)
полностью удовлетворяют условиям выбора
Таблица 5.10.
Выбор сетевых выключателей в системе 35 кВ
|
Характеристика условий выбора
|
Расчетные параметры
|
Каталожные данные
|
Условия выбора
|
|
По номинальному напряжению
|
Ucном=35 кВ
|
Uном= 35 кВ
|
Ucном < U ном ( 35 кВ =3 кВ)
|
|
По номинальногму длительному току
|
I110нр = 412,882 А
|
Iном= 630, 1000 А
|
I110нр < Iном ( 412,882А < 630 А)
|
|
По отключающей способности по номинальному периодическому
току отключения по полному току отключения
|
Iкз= 4,5645кА,
|
Iоткл = 8,25 кА
|
Iкз < Iоткл ( 4,5645 кА < 16 кА) Iн.откл(1 + βн) Iкз + iα,τ 1,414*8,25*(1 + 0,3) = 15,167 кА 1,414*4,5645 + 0,321= 6,776 кА
|
|
По электродинамической стойкости: по по предельному
периодическому току по ударному току
|
Iкз= 4,5645 кА, iуд= 11,64 кА
|
Iпр.с= 21/25 кА
|
Iкз < Iпр.с 4,5645кА 21 кА iуд < iпр.с
( 15,2574кА< 21 кА)
|
|
По термической стойкости
|
Вk =34,794 кА2с
|
it = 20 кВ it2tt =
Iт.с.2 ·t = 202·3 = 1200 кА2с
|
Вк < it2tt (77,507 кА2с
< 1200 кА2с)
|
Выключатель серии ВМП-35-20/630УХЛ1 полностью удовлетворяет условиям
выбора
Таблица 5.11.
|
Место установки
|
Тип аппарата
|
Соотношение каталожных и расчетных данных
|
|
|

|
|
|
|
|
|
|
Ввод 110 0кВ
|
ВВБ - 110Б - 31,5/2000
|
|
|
|
|
|
|
|
СШ - 1100
|
ВМТ-110Б-25/1250У4
|
|
|
|
|
|
|
|
Первичная обмотка трансформатора
|
ВМТ-110Б-25/1250У4
|
|
|
|
|
|
|
|
Ввод РУ - 35 кВ
|
ВМП-35-20/630У4
|
|
|
|
|
|
|
|
Фидер к/с 35 кВ (СШ)
|
ВМП-35-20/630У4
|
|
|
|
|
|
|
|
ТСН
|
ВМП-35-20/630У4
|
|
|
|
|
|
|
|
Вторичная обмотка трансформатора
|
ВМП-35-20/630У4
|
|
|
|
|
|
|
|
Потребители (5 потребителей)
|
ВМП-35-20/630У4
|
|
|
|
|
|
|
Выбор выключателей нагрузки
Выключатель нагрузки - коммутационный аппарат, предназначенный для
отключения и включения токов нагрузки в нормальном режиме. Выключатели нагрузки
применяют в установках напряжением 6/10/35/110 кВ на распределительных пунктах
и трансформаторных подстанциях. Они предназначены для работы в шкафах, камерах
внутренней установки.
Выключатели нагрузки применяются в РУ 110 и 35 кВ на подстанциях с ВН 110
кВ типа МВ (маломаслянные МВ-35 и МВ-110) или наиболее новые: LBSH-36.
Выключатель нагрузки LBSH 36/630. В КРУ 35 кВ серии HMH 36 используется
элегазовый ВН типа LBSH 36. Его корпус изготовлен из эпоксидных смол и заполнен
элегазом под небольшим давлением 0,5 атм. В течении 20 лет нормальной
эксплуатации газ не требует какой-либо замены или обслуживания. LBSH-36
объединяет в себе ВН и заземлитель, которые находятся в элегазовой среде.
Наличие механической блокировки исключает возможность ошибочной последовательности
действий при включении/выключении ВН и заземлителя.
Условия выбора:
Таблица 5.12.
|
Характеристики условий выбора выключателей нагрузки
|
Формула
|
|
По конструкции
|
-
|
|
По номинальному напряжению
|
Uуст Uном
|
|
По номинальному току
|
I35 нр Iном
|
|
По отключающей способности
|
I35 нр Iоткл
|
|
По электродинамической стойкости
|
iуд < iпр.с
|
|
По термической стойкости
|
Вк< it2tt
|
Таблица 5.13.
|
Тип
|
Номинальный ток, А
|
Номинальный ток отключения, А
|
Наибольший ток отключения, А
|
Предельный сквозной ток, А
|
Допустимый ток включения, кА
|
Ток термической стойкости, кА/допустимое время его действия
|
Ток отключения холостого хода трансформатора, А
|
|
|
|
|
Амплитудное значение
|
Действующее значение периодической составляющей
|
Амплитудное значение
|
Действующее значение периодической составляющей
|
|
|
|
LBSH-36 (5 штук + 1 в резерве)
|
400
|
400
|
800
|
40
|
16
|
-
|
-
|
12
|
-
|
|
630
|
630
|
1250
|
50
|
20
|
-
|
-
|
16
|
-
|
|
1250
|
1250
|
2500
|
62,5
|
25
|
-
|
-
|
20
|
-
|
5.3.2 Выбор разъединителей
Условия выбора:
Таблица 5.14.
|
Характеристики условий выбора разъединителей и отделителей
|
Формула
|
|
По конструкции
|
-
|
|
По номинальному напряжению
|
Uуст Uном
|
|
По номинальному току
|
I110нр Iном
|
|
По электродинамической стойкости
|
iуд < iпр.с
|
|
По термической стойкости
|
Вк< it2tt
|
Промышленность выпускает разъединители на 110 кВ типа РНДЗ. На стороне
110 кВ необходимо установить разъединители : с двумя заземляющими ножами РНДЗ.2
- 110Б\1000 и с одним заземляющим ножом РНДЗ.1 - 110Б\1000
Условия выбора разъединителей одинаковы. Выбираем разъединители 2 типов
РНДЗ-1- 110Б/1000У1 и РНДЗ - 2 - 110Б/1000У1.
Таблица 5.15.
Выбор разъединителей -110 кВ
|
Расчетные параметры
|
Каталожные данные
|
Условия выбора
|
|
Uуст=110 кВ
|
Uном=110 кВ
|
Uуст Uном(110 кВ = 110 кВ)
|
|
I110нр = 211,224 А
|
Iном= 1000 А
|
I110нр Iном(211,224А < 1000
А)
|
|
iуд= 15,2574 кА
|
Iпр.с= 80 кА- амплитуда предельного сквозного
тока
|
iуд < iскв ( 15,2574 кА < 80 кА)
|
|
iat= 1,145 кА
|
iаном = 40 кА
|
iat < iаном(1,145 < 40кА)
|
|
Вk =77,507 кА2с
|
it2tt = 31,52*3=
2977 кА2с
|
Вк< it2tt (77,507кА2с
< 2977 кА2с)
|
т
= 31,5 кА - ток термической стойкости (1 с).
Разъединитель полностью удовлетворяет условия выбора.
Таблица 5.16
|
Расчетные параметры
|
Каталожные данные
|
Условия выбора
|
|
Uуст= 35 кВ
|
Uном= 35 кВ
|
Uуст Uном(35 кВ = 35 кВ)
|
|
I110нр = 412,882 А
|
Iном= 1000 А
|
I110нр Iном(412,882 А < 1000
А)
|
|
iуд= 11,64 кА
|
Iпр.с= 63 кА- амплитуда предельного сквозного
тока
|
iуд < iскв (11,64кА < 63кА)
|
|
iat= 1,145 кА
|
iаном = 25 кА
|
iat < iаном(1,145 < 25кА)
|
|
Вk =34,794 кА2с
|
it2tt=Iт2t=252*3
=1875 кА2с Iт = 25 кА, tt=3 сек.
|
Вк< it2tt (34,794 <
1875кА2с)
|
Разъединитель РНДЗ-35/1000 У3 полностью удовлетворяет условия выбора.
Таблица 5.17.
|
Тип
|
Номинальное напряжение, кВ
|
Наибольшее напряжение, кВ
|
Номинальный ток, А
|
Стойкость при сквозных токах КЗ, кА
|
Время протекания наибольшего тока термической стойкости, с
|
Привод
|
|
|
|
|
Амплитуда предельного сквозного тока
|
Предельный ток термической стойкости
|
главных ножей
|
заземляющих ножей
|
|
|
Разъединители внутренней установки В трехполюсном
исполнении (рама)
|
|
РВЗ-35/630У3
|
35
|
40,5
|
630
|
51
|
20
|
4
|
|
ПР-3У3
|
|
РВЗ-35/1000У3
|
35
|
40,5
|
1000
|
80
|
31,5
|
4
|
|
ПР-3У3
|
|
Разъединители внешней установки В однополюсном исполнении
|
|
РНДЗ-1-110/1000У РНДЗ-2-110/1000У
|
110
|
126
|
1000 1000
|
80 80
|
31,5 31,5
|
3
|
1
|
ПР-У1 или ПД-5У1
|
Таблица 5.18.
|
Место установки
|
Тип аппарата
|
Соотношения каталожных и расчетных данных
|
|
|
,кВ
|
А
|
кА
|
кА²·с
|
|
Вводы подстанции
|
РНДЗ - 2 - 110Б/1000У1.
|
|
|
|
|
|
Сборные шины РУ-110 кВ
|
РНДЗ - 1 - 110Б/1000У1.
|
|
|
|
|
|
Линейный разъединитель на 35 кВ
|
РВЗ-35/630У3
|
|
|
|
|
|
Шинный разъединитель на 35 кВ
|
РВЗ-35/630У3
|
|
|
|
|
|
Сборные шины РУ-35 кВ (секционный)
|
РВЗ-35/630У3
|
|
|
|
|
|
Потребитель (шинный)
|
РНД-35/1000 У3
|
|
|
|
|
|
Потребитель (линейный)
|
РНДЗ-35/1000 У3
|
|
|
|
|
|
ТСН
|
РНДЗ-35/1000 У3
|
|
|
|
|
|
Фидер к/с 35 кВ
|
РНД-1-35/1000
|
|
|
|
|
Линейные разъединители потребителей и ТСН с двумя заземляющими ножами или
с заземлителями типа ESH-01.
5.3.3 Выбор разрядников
Таблица 5.19.
Выбор разрядников в ОРУ-110 кВ и ЗРУ-35
|
РВС-35-У1
|
РВМГ-110М-У1
|
|
Uном
|
35 кВ
|
110 кВ
|
|
Uмакс.доп(дейст.знач.)
|
40,5 кВ
|
115 кВ
|
|
Uпробивное
|
75-90 кВ
|
170 - 195 кВ
|
|
Uпроб имп
|
116 кВ
|
260 кВ
|
|
U, не более, остающееся при импульсном токе с амплитудой,
кА
|
3
|
97 кВ
|
245 кВ
|
|
5
|
105 кВ
|
265 кВ
|
|
10
|
116 кВ
|
295 кВ
|
В нулевой провод трансформатора встроен трансформатор тока типа ТВТ-35
5.3.4 Выбор электрических аппаратов в цепи
заземления нейтрали трансформатора
Для цепи заземления нейтрали трансформатора промышленность выпускает
заземляющие разъединители типа ЗОН-110М-11У1.
Т.к. изоляция нейтрали трансформатора выполнена на напряжение 50 кВ,
параллельно разъединителю устанавливаются два, включенных последовательно,
разрядника тина РВС-35-У1
5.4 Выбор трансформаторов тока
Трансформаторы тока выбираются по месту установки, конструкции,
назначению, номинальному напряжению и току первичной цепи согласно условиям1HOM
UРАБ1HOM
IРАБ.MAX
РАБ.MAX - максимальный рабочий ток присоединения электроустановки, на котором
устанавливают трансформатор тока.
Выбранные трансформаторы тока проверяются по току КЗ на динамическую и
термическую стойкость:
;
,=
и
- коэффициенты динамической и термической стойкости по
каталогу;
и Вк - ударный ток и тепловой импульс тока КЗ в
месте установки трансформатора тока;т -время термической стойкости
по каталогу;T =
- ток термической стойкости.
Таблица 5.20
|
Место установки
|
Тип аппарата
|
Соотношения каталожных и расчетных данных
|
|
|
кВ
|
А
|
кВ
|
кА²·с
|
|
|
|
Сборные шины РУ-110 кВ
|
ТФЗМ-110Б
|
|
|
|
|
60
|
60
|
|
Первичная обмотка трансформатора
|
ТФЗМ-110А
|
|
|
|
|
60
|
60
|
|
Вторичная обмотка трансформатора 35 кВ
|
ТФЗМ-35
|
|
|
|
|
150
|
65
|
|
Потребители 1
|
ТПОЛ-35
|
|
|
|
|
150
|
65
|
|
Потребители 2
|
ТПОЛ-35
|
|
|
|
|
150
|
65
|
|
Потребители 3
|
ТПОЛ-35
|
|
|
|
|
150
|
65
|
|
Потребители 4
|
ТПОЛ-35
|
|
|
|
|
150
|
65
|
|
Потребители 5
|
ТПОЛ-35
|
|
|
|
|
150
|
65
|
|
ТСН
|
ТПОЛ-35
|
|
|
|
|
150
|
65
|
|
Фидер к/с
|
ТПОЛ-35
|
|
|
|
|
150
|
65
|
5.5 Выбор трансформаторов напряжения
Тип выбираемого трансформатора определяется назначением его в
электроустановке.
Выбирают трансформатор по величине рабочего напряжения распределительного
устройства согласно условию
1HOM
UРАБ
1HOM -номинальное первичное напряжение трансформатора, кВ;РАБ
-рабочее напряжение распределительного устройства, к шинам которого
подключается трансформатор, кВ;
Выбранный трансформатор проверяют на соответствие классу точности
согласно условию
2HOM
S 2РАСЧ
2HOM -номинальная мощность вторичной обмотки трансформатора в соответствующем
классе точности, ВА2РАСЧ -мощность, потребляемая измерительными
приборами и реле, подключенными к трансформатору, ВА;
Рис. 5.1. Подключение ТН
Для ОРУ-110 кВ выбираем трансформатор напряжения НКФ 110-57, который
удовлетворяет условию:1HOM = 110 кВ
UРАБ = 110 кВ
Выбранный трансформатор проверяем на соответствие классу точности
согласно условию S2HOM
S 2РАСЧ2HOM = 400 ВА в
классе точности 0,5, который необходим для нормальной работы счетчиков. Расчет
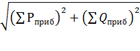
S 2РАСЧ производим в соответствии со схемой. Определяем расчетную
вторичную мощность.
2РАСЧ =
=
= 180.3 АВ
-сумма активных мощностей приборов и реле, Вт;
- сумма реактивных мощностей приборов и реле, вар;
Условие проверки трансформатора напряжения на соответствие классу
точности выполняется, т.к.2HOM = 400 А
S 2РАСЧ = 180,3 А
В
Таблица 5.21.
|
Наименование
|
Тип
|
Число катушек
|
Число приборов
|
Мощность, потребляемая одной катушкой
|
cos
|
sin
|
Суммарная потребляемая мощность
|
|
|
|
|
|
|
|
|
|
|
Вольтметр
|
Э378
|
1
|
2
|
2
|
1
|
0
|
4
|
0
|
|
Счетчик активной энергии
|
СА3У
|
2
|
2
|
4
|
0,38
|
0,93
|
6,08
|
14,88
|
|
Счетчик реактивной энергии
|
СР4У
|
3
|
2
|
4
|
0,38
|
0,93
|
9,12
|
22,32
|
|
Реле напряжения
|
РН-50
|
1
|
3
|
1
|
1
|
0
|
3
|
0
|
|
Реле направления мощности
|
РБМ-171
|
2
|
2
|
35
|
1
|
0
|
140
|
0
|
|
Итого
|
176,44
|
37,2
|
Для ЗРУ-35 кВ выбираем трансформатор напряжения ЗНОМ-35-65, который
удовлетворяет условию:1HOM = 35 кВ
UРАБ = 35 кВ
Выбранный трансформатор проверяем на соответствие классу точности
согласно условию S2HOM
S 2РАСЧ
2HOM = 3
= 3
450 ВА
в классе точности 0,5, который необходим для нормальной работы счетчиков.
Расчет S 2РАСЧ производим в соответствии со схемой. Определяем
расчетную вторичную мощность.
2РАСЧ =
=
= 43.3 АВ
Условие проверки трансформатора напряжения на соответствие классу
точности выполняется, т.к.
2HOM = 450А
S 2РАСЧ = 43,3 А
В
Таблица 5.22.
|
Наименование
|
Тип
|
Число катушек
|
Число приборов
|
Мощность, потребляемая одной катушкой
|
cos
|
sin
|
Суммарная потребляемая мощность
|
|
|
|
|
|
|
|
|
|
|
Вольтметр
|
Э378
|
1
|
2
|
2
|
1
|
4
|
0
|
|
Счетчик активной энергии
|
СА3У
|
2
|
2
|
4
|
0,38
|
0,93
|
6,08
|
14,88
|
|
Счетчик реактивной энергии
|
СР4У
|
3
|
2
|
4
|
0,38
|
0,93
|
9,12
|
22,32
|
|
Реле напряжения
|
РН-50
|
1
|
3
|
1
|
1
|
0
|
3
|
0
|
|
Итого
|
22,2
|
37,2
|
5.6 Выбор электрических аппаратов в ЗРУ-35 кВ
Выбор того или иного исполнения необходимо делать на основе анализа существенных
факторов, влияющих на условия эксплуатации и строительства подстанции.
Применение закрытых распределительных устройств, в первую очередь, оправдано на
объектах, размещенных в районах с высоким уровнем атмосферного загрязнения и
суровыми климатическими условиями. В данных случаях закрытые РУ, особенно в
модульном исполнении, значительно сокращают сроки строительных и
пусконаладочных работ, а в дальнейшем обеспечивают максимально надежное
энергоснабжение.
Закрытое распределительное устройство 35 кВ предназначено для приема,
распределения и передачи электрической энергии трехфазного переменного тока
частотой 50 Гц в сетях с изолированной нейтралью. ЗРУ 35 кВ размещаются в
железобетонной оболочке и содержат внутренний коридор обслуживания. При этом распределительное
устройство имеет небольшие размеры, что позволяет их применять на ограниченных
территориях, в частности, в городской местности .
Отличительной особенностью закрытых распределительных устройств является
применение малогабаритных комплектных РУ с элегазовой изоляцией типа НМН-36 или
типа RGD ЗРУ-35кВ состоит из отдельных блок-контейнеров с установленным в них
комплектными распределительными устройствами из шкафов КРУ напряжением 35кВ.
Вводные шкафы на токи 630 - 1250 А комплектуются вакуумными выключателями
с металлическими дугогасительными камерами типа ВВУ-35 Секционные шкафы на токи
до 1250 А и линейные на токи до 3200 А комплектуются многобъемными масляными
выключателями серии С-35М-10 с приводом ПЭ-38 - поэтому выбираем в ЗРУ- 35 кВ
НМН-36
В ячейках установлены выключатели типа МКП-35. Для выключателей этого
типа tcв=0,08с, тогда τ = tсз+ tcв
=0,01+0,08 = 0,09 с
Условия выбора вводных ячеек сведены в таблице 5.23.
Таблица 5.23.
|
Расчетные параметры
|
Каталожные данные
|
Условия выбора
|
|
Uуст=35 кВ
|
Uном=36 кВ
|
Uуст<Uном( 35кВ<36кВ)
|
|
I35нр =288,684 А
|
Iном = 630 - 1250 А
|
I35 нр <Iном(288,634А < 630А)
|
|
iατ=0,321 кА,
|
Iоткл = 20 кА
|
Iατ < Iоткл ( 0,321 < 20кА)
|
|
Ik = 4,5645 кА
|
Iм.вык = 10, 25, 40 кА
|
Ik< Iм.вык (4,5645кА < 10 кА)
|
|
iуд= 11,64 кА
|
Iскв.т = 26, 63, 100 кА
|
iуд < iск.т ( 11,64 кА < 26 кА)
|
|
Вk = 34,794 кА2с
|
it2tt=1200кА2с
|
Вк< it2tt (34,794 кА2с<1200кА2с)
|
Таблица 5.24.
Основные технические параметры ЗРУ НМН-36
|
Номинальное напряжение (линейное), кВ: 35 Наибольшее
рабочее напряжение (линейное), кВ: 40,5 Номинальный ток главных цепей шкафов
ЗРУ, А: 630 - 1250 Номинальный ток сборных шин, А: 1600; 2000; 2500; 3150
Номинальный ток выключателя нагрузки, А 630 Номинальный ток разъединителя А
1250 Ток отключения, кА 20 Ток термической стойкости (1с), кА 16, 20 Ток
электродинамической стойкости, кА 40. 50 Наличие в шкафах выкатных элементов
с выкатными элементами Условия обслуживания двухстороннее Номинальное
напряжение вспомогательных цепей, В: - постоянного тока - переменного тока -
освещения 24; 48; 110; 220 24; 48; 110; 220 36 Климатическое исполнение и
категория размещения (ГОСТ 15150) У1 (УХЛ1) Толщина стенки гололеда, мм до
40 Ветровое давление, Па до 1000 Степень загрязнения атмосферы (ГОСТ
9920-89) I - IV Сейсмичность в баллах по шкале MSK 64 до 9 Типовые схемы,
согласно «Схемы принципиальные электрические распределительных устройств 35 -
750 кВ»(приведены в Приложении Б) 35 - 1, 3Н, 4Н, 5Н, 5АН, 9
|
Вводные ячейки прошли все контрольные параметры. Для секции сборных шин
применяется спаренные ячейки .
Таблица 5.25.
Условия выбора ячеек для секционирования сборных шин
|
Расчетные параметры
|
Каталожные данные
|
Условия выбора
|
|
Uуст=35 кВ
|
Uном=36 кВ
|
Uуст<Uном( 35кВ<36кВ)
|
|
I35пр =288,684 А
|
Iном= 1600; 2000; 2500; 3150А
|
I10нр <Iном(288,684А <1600А)
|
|
iατ= 0,321 кА,
|
Iоткл =20кА
|
Iατ < Iоткл ( 0,321кА<20кА)
|
|
Ik = 4,5645кА
|
Iм.вык = 51 кА
|
Ik< Iм.вык (4,5645<51кА)
|
|
iуд= 11,64 кА
|
Iскв=51 кА
|
iуд < iскв ( 11,64 кА<51кА)
|
|
Вk = 34,794кА2с
|
it2tt=1200кА2с
|
Вк< it2tt (34,794кА2с<1200кА2с)
|
Для подключения отходящих линий используем шкафы на номинальные токи 630
А.
Таблица 5.26.
Условия выбора ячеек для отходящих линий
|
Расчетные параметры
|
Каталожные данные
|
Условия выбора
|
|
Uуст=35 кВ
|
Uном=36кВ
|
Uуст<Uном( 35кВ<36кВ)
|
|
I10пр = 288,684А
|
Iном= 630 А
|
I10нр <Iном(288,684А<630А)
|
|
iατ= 0,321 кА,
|
Iоткл =20кА
|
Iατ < Iоткл ( 0,321кА<20кА)
|
|
Iкз = 4,5645кА
|
Iм.вык = 51 кА
|
Ik< Iм.вык (4,5645кА<51кА)
|
|
iуд= 11,64кА
|
Iм.дин =51 кА
|
iуд < iскв ( 11,64кА<51кА)
|
|
Вk = 34,794 кА2с
|
it2tt=1200кА2с
|
Вк< it2tt (34,764кА2с<1200кА2с)
|
Исходя из расчетов видно, что выбор всех электрических аппаратов в РУ -
35 кВ удовлетворяет допустимым условиям
5.7 Релейная защита
Основными видами повреждения трансформаторов являются многофазные и
однофазные короткие замыкания в обмотках и на выводах трансформатора, а также
"пожар в стали" магнитопровода. Однофазные повреждения бывают двух
видов: на землю и между витками обмотки. Наиболее вероятны короткие замыкания
на выводах трансформаторов и однофазные замыкания в обмотках. При витковых
замыканиях разрушается изоляция и магнитопровод трансформатора, поэтому такие
повреждения должны отключатся быстродействующей защитой. Использовать для этой
цели токовые и дифференциальные защиты не представляется возможным, так как при
малом числе замкнувшихся витков ток в поврежденной фазе со стороны питания
может оказаться меньше значения номинального тока, а напряжение на выводах
трансформатора практически не изменится. Защиты, основанные на использовании
электрических величин не реагируют на "пожар в стали" магнитопровода.
Для защиты от такого вида повреждений и от витковых замыканий на трансформаторе
устанавливается токовая защита, которая является универсальной защитой от
токовых повреждений Достоинствами газовых защит являются:
высокая чувствительность и реагирование на все виды повреждений внутри
бака;
сравнительно не большое время срабатывания;
простота выполнения;
способность защищать трансформатор при недопустимом понижении уровня
масла.
Наряду с этим защита имеет ряд недостатков, основной из которых - не
реагирование на повреждения вне бака. Защита может действовать ложно при
попадании воздуха в бак трансформатора, например при доливке масла. В связи с
этим газовую защиту нельзя использовать в качестве единственной защиты от
внутренних повреждений. Вместе с газовой защитой устанавливается
дифференциальная защита.
Для защиты от внешних коротких замыканий применяются токовые защиты с
выдержкой времени. Эти защиты реагируют и на внутренние короткие замыкания,
следовательно могут использоваться как резервные. Защита от перегрузки
выполняется на реле тока, включенном в сеть одного из трансформаторов тока
защиты от внешних коротких замыканий. Для отстройки от кратковременных
перегрузок и коротких замыканий предусматривается реле времени. Выдержка
времени принимается на ступень селективности больше, чем время срабатывания
защиты трансформатора от внешних коротких замыканий.
а) На силовом трансформаторе 110/35
дифференциальная токовая защита
максимальная токовая защита с блокировкой по напряжению с 2 выдержками
времени на отключение ввода 110кВ-1 ступень, отключение выключателя 110кВ - 2
ступень
токовая защита от перегрузки с действием на сигнал
газовая защита с действием на сигнал и на отключение тр-ра
от понижения уровня масла
б) на вводах 35 кВ
максимальная токовая защита(1 ступень защиты тр-ра установлена на стороне
110 кВ
в) На секционном выключателе 35 кВ максимальная токовая защита
г) На отходящих кабальных линиях 35 кВ
токовая отсечка
максимальная токовая защита
защита от замыкания на землю (с действием на сигнал).
5.8 Управление, сигнализация, блокировка
Управление приводами масляных выключателей осуществляется с помощь ключа
управления установленного в шкафах КМ-1Ф и в релейных шкафах ИТР
(предполагается автоматическое управление ими). Управление разъединителями
110кВ осуществляется с помощью ручных приводов. В релейном шкафу собраны
выходные сигналы (аварийное отключение выключателей и неисправности
подстанции), которые выдают сигнал в пункт диспетчерского управления. Кроме
того выдается информация о положении выключатея110/35кВ. Предполагается
применение аппаратуры телемеханики КУСТ-А. Оперативная блокировка подстанции на
стороне 110кВ выполняется электромагнитной на выпрямленном оперативном токе 220
В.На стороне 110 кВ в комплектных РУ выполняется механическая блокировка.
5.9 Автоматика
Автоматика на подстанции предусматривает:
а) на тр-рах 110/35 кВ - автоматическое регулирование напряжения со
стороны 110 кВ
б) на вводах 110 кВ:
автоматическое отключение вводов при исчезновение напряжения.
-автоматическое включение вводов при восстановление напряжения.
в) на секционном выключателе 110 кВ
х стороннее автоматическое включение резерва без выдержки времени при
отключении одного из вводов 110 кВ.
автоматическое выключение выключателя при восстановление напряжения.
г) на отходящих линии 110 кВ
автоматическая частотная разгрузка.
автоматическое повторное включение после АЧР.
д) на шинах собственных нужд 220 В
автоматическое включение резерва (АВР).
е) на шинах обеспечивающих питание 220 В-АВР.
5.10 Высокочастотная связь
Проектом предусмотрено высокочастотная связь с диспетчерским пунктом
электрической сети.
6.
Компоновка ТП
6.1 Компоновка ОРУ 110 кВ
РУ 110 кВ выполняется открытым с использованием унифицированных
железобетонных элементов, на которые устанавливается электрооборудование.
Токоведущие части и проводники размещаются в двух ярусах.
В первом ярусе размещаются токоведущие части аппаратов и проводники
соединяющие. Их высота установки должна быть не менее 3600 мм. Проводники
ответвлений находятся во втором ярусе(не менее 1650мм).
Расстояние между аппаратами выбираем из условия возможности подъезда
испытательных, трансформаторных подъемных машин.
Силовые трансформаторы устанавливаются на фундаменте из сборного
железобетона. Для предотвращения растекания масла и распространения пожара при
повреждение силового трансформатора предусматривается маслоприемники и м
водоотводы.
Габариты маслоприемников выступают за габариты тр-ра на 1,5м. Объем
маслоприемника рассчитан на одновременный прием 100% масла(15т) содержащегося в
корпусе трансформатора.
Для прокладки контрольных и силовых кабелей по территории РУ
предусматриваются кабельные каналы.
Ошиновка выполняется алюминиевыми проводами, перемычки и ответвления
укрепляются с помощью подвесных изоляторов.
Таблица 6.1.
Технические параметры ОРУ 110 кВ
|
Наименование параметра
|
ОРУ-110 кВ
|
|
Номинальное напряжение, кВ
|
|
· высшее
|
110
|
|
· низшее
|
35 (10)
|
|
Номинальный ток , А
|
|
· цепей силовых трансформаторов
|
630
|
|
· цепей линий
|
до 630
|
|
· сборных шин ОРУ и перемычек
|
630 - 2500
|
|
· сборных шин щитов ввода 35 кВ
|
-
|
|
· ячеек 35 кВ
|
-
|
|
Мощность силового трансформатора, кВА
|
до 125 000
|
|
Сквозной ток короткого замыкания (амплитуда), кА
|
20, 25
|
|
Ток термической стойкости в течение 3 с, кА
|
31,5 - 50
|
|
Ток электродинамической стойкости, кА
|
80
|
|
Климатическое исполнение и категория размещения (ГОСТ
15150)
|
У1 (УХЛ1)
|
|
Толщина стенки гололеда, мм
|
до 40
|
|
Ветровое давление, Па
|
до 1000
|
|
Степень загрязнения атмосферы (ГОСТ 9920-89)
|
I - IV
|
|
Сейсмичность в баллах по шкале MSK 64
|
до 9
|
|
Типовые схемы, согласно «Схемы принципиальные электрические
распределительных устройств 35 - 750 кВ» (приведены в Приложении А)
|
110 - 1, 3Н, 4Н, 5Н, 5АН, 6, 6Н, 7, 8, 9, 9Н, 9АН, 12, 12Н,
13, 13Н, 14
|
Приведем схему ОРУ 110 кВ. в графической части работы.
6.2 Компоновка ЗРУ 35 кВ
ЗРУ-35 кВ соответствует ТУ-3412-010-23120818-2005.
Конструкция
Конструкция блок-контейнеров состоит из сварного
металлического каркаса. Стены и потолок обшиваются с наружных и внутренних
сторон окрашенными профильными листами и утепляются не горючим материалом из
базальтового волокна толщиной 100мм.
Основание блок-контейнеров изготовлено из швеллера.
Пол основания выполнен из рифленых стальных листов.
Крыша блок-контейнера двускатная, двойная, выполнена
из окрашенных профилированных листов.
В ЗРУ-35кВ предусмотрены отопление, освещение
напряжением 220В 50Гц, переносное освещение 36В 50Гц, система противопожарной
сигнализации, охранная сигнализация, система кондиционирования и вентиляции,
коридор обслуживания оборудования с двумя входами и наружные ремонтные двери.
Оборудование
ЗРУ-35кВ комплектуется следующим электротехническим
оборудованием:
распределительным устройством из шкафов с силовыми
вакуумными выключателями, установленными на выкатные тележки;
шкафом собственных нужд (ШСН);
блоком питания для устройств РЗА;
шкафом управления оперативным током;
щитом учета электроэнергии (ЩУ).
Компоновка ЗРУ-38 типа НПМ-36 приведена в приложении В
.
Требования ПУЭ к сооружению
трансформаторных подстанций
Нормы проектирования подстанций определяются рядом нормативно-правовых
актов РФ, которые в полной мере или частично применяются подрядчиком при
проектировании в зависимости от:
¾ целевого назначения подстанции (трансформаторные или
преобразовательные);
¾ места/значения подстанции в системе электроснабжения - главная
понизительная или подстанция глубокого ввода (аббревиатура ГПП и ПГВ
соответственно), тяговая, комплектная трансформаторная (КПП);
¾ места размещения и способа присоединения к лини
электропередач - тупиковая, осветительная, проходная, узловая;
¾ уровня напряжения входного тока - низкого, среднего и
высшего; количества и мощности используемых трансформаторов.
Следует отметить, что нормы проектирования подстанций низкого напряжения
6-10/0.4 кВ сегодня не систематизированы и формализованы так, как нормы
проектирования подстанций высшего напряжения, что в основном связано с
применением комплектных трансформаторных подстанций разного типа (мачтовых,
киосковых, шкафных и т.д.), одно и двухтрансформаторных, разрабатываемых на
специализированных предприятиях по ведомственным или собственным техническим
условиям для определенного уровня мощности и целевого использования (городских,
цеховых). Вместе с тем нормы проектирования подстанций высшего напряжения в
различных аспектах рассматриваемых конкретных вопросов (площадка для
строительства подстанции, электрические схемы распределительных устройств,
защита от перенапряжений, заземление, электромагнитная совместимость, елейная
защита и автоматика, в том числе противоаварийная автоматика и т.д.)
проецируются на подстанции более низкого напряжения и согласно № 184-ФЗ «О
техническом регулировании», действующим техническим регламентам и ГОСТ Р
1.4-2004 «Стандартизация в Российской Федерации» являются обязательными для
исполнения.
Наиболее актуальными и полными для проектирования подстанций в настоящий
момент являются «Нормы технологического проектирования подстанций переменного
тока с высшим напряжением 35-750 кВ», разработанные ОАО «Институт
«Энергосетьпроект» совместно с ОАО «ФСК ЕЭС», ОАО «ВНИИЭ», ОАО «Фирма «ОРГРЭС»,
ФГУП «Отделение дальних передач», ОАО «РОСЭП», филиалом ОАО «СевЗапНТЦ»
«Севзапэнергосетьпроект - Западсельэнергопроект», ОАО «Институт
«Томскэнергосетьпроект», ОАО «Институт «Нижегородскэнергосетьпроект», ОАО
«Дальэнергосетьпроект» и ОАО «Восточно-Сибирский Энергосетьпроект»,
согласованные с Департаментом систем передачи и преобразования электрической
энергии, Департаментом информационно-технологических систем, Дирекцией
технического регулирования и экологии ОАО «ФСК ЕЭС».
Согласно этому нормативно-правовому акту, имеющему статус стандарта
организации, для подстанций высшего напряжения (или любых подстанций при
адаптации этих норм к конкретным требованиям ТЗ):
· нормы проектирования подстанций в части выбора площадки для
строительства определяются требованиями земельного, водного законодательства
Российской Федерации, законодательными актами по охране природы и использованию
природных ресурсов, Градостроительным кодексом РФ, градостроительными кодексами
субъектов Федерации, Правилами землепользования и застройки, градостроительными
регламентами, а также СНиП 2.02.01-83 по просадочности грунтов;
· нормы проектирования подстанций в части электрических схем
распределительных устройств и выбора основного электротехнического оборудования
регламентируются положениями «Норм технологического проектирования подстанций
переменного тока с высшим напряжением 35-750 кВ»;
· нормы проектирования подстанций в части защиты от грозовых
перенапряжений определяются разделом 4.2 ПУЭ, внутренних перенапряжений -
расчетом средств компенсации емкостного тока в соответствии с ПУЭ и
«Методическими указаниями по выбору ограничителей перенапряжений в
электрических сетях», от высокочастотных перенапряжений - СО 153-34.47.38-2003
«Методические указания по устойчивости энергосистем», заземление - в
соответствии с требованиями ПУЭ (7-е издание), электромагнитная совместимость -
по СТО 56947007-2008 «Руководство по обеспечению электромагнитной совместимости
вторичного оборудования и систем связи электросетевых объектов» и СТО
56947007-2008 «Методические указания по обеспечению электромагнитной
совместимости на объектах электросетевого хозяйства»;
· нормы проектирования подстанций в части выбора числа и
мощности трансформаторов и резервного питания для собственных нужд определяются
«Нормами технологического проектирования подстанций переменного тока с высшим
напряжением»;
· нормы проектирования подстанций в части освещения
устанавливаются согласно 6 разделу ПУЭ 7-го издания;
· нормы проектирования подстанций в части релейной защиты и
автоматики устанавливаются по «Общим требованиями к системам противоаварийной и
режимной автоматики, релейной защиты и автоматики, телеметрической информации,
технологической связи в ЕЭС России»;
· нормы проектирования подстанций в части АСУ ТП и
диспетчерского управления принимаются в соответствии с главой 3.5 ПУЭ
«Автоматизированное управление»;
· нормы проектирования подстанций в части пожарной безопасности
устанавливаются по НПБ 105-03 (взрывопожаробезопасность), НПБ 110-03 «Перечень
зданий, сооружений, помещений и оборудования, подлежащих защите автоматическими
установками пожаротушения и автоматической пожарной сигнализацией», СНиП
21-01-97 «Пожарная безопасность зданий и сооружений» и главе 4-й ПУЭ-7;
· нормы проектирования подстанций в части ремонта, технического
и оперативного обслуживания устанавливаются «Правилами технической эксплуатации
электрических станций и сетей Российской Федерации» и «Нормами технологического
проектирования подстанций переменного тока с высшим напряжением», в части
численности персонала подстанции - действующими «Нормативами численности
промышленно-производственного персонала электрических сетей»;
· нормы проектирования подстанций в части учета электроэнергии
устанавливаются в соответствии с ПУЭ, РД 34.09.101-94 «Типовая инструкция по учету
электроэнергии и ее производству, передаче и распределению» и регламентов ОРЭ
«Автоматизированные информационно-измерительные системы коммерческого учета
электрической энергии (мощности) субъекта ОРЭ»;
· нормы проектирования подстанций в части влияния негативных
факторов окружающей среды устанавливаются в соответствии с требованиями СНиП
II-7-81 «Строительство в сейсмических районах», ПУЭ-7, ГОСТ 15150-69 «Машины,
приборы и другие технические изделия. Исполнения для различных климатических
районов. Категории, условия эксплуатации, хранения и транспортирования в части
воздействия климатических факторов внешней среды», ГОСТ 12.2.007.0-75 «Изделия
электротехнические. Общие требования безопасности», ГОСТ 14254-96 (МЭК 529-89)
«Степени защиты, обеспечиваемые оболочками (КОД IP)» и т.д.
Как видно общее число нормативно-правовых актов и регулируемые ими
аспекты строительства подстанций определяют исключительно командную работу
профессионалов, коллегиально осуществляющих проектирование подстанций
различного типа и разного уровня напряжения. Причем даже использование типовых
проектов низковольтных подстанций (комплектных трансформаторных подстанций)
требует от подрядчика выполнения объемных работ по адаптации проекта к
конкретным параметрам энергопотребления, климатическим условиям эксплуатации,
возможности размещения и т.д. Поэтому проектирование подстанций бескомпромиссно
делегируют компании, имеющей большой опыт работы в этой сфере деятельности, как
«АБ Арбат» или сходной с ней по профессиональному потенциалу и числу успешно
разработанных и реализованных проектов.
Заключение
При выполнении дипломного проекта была спроектирована
трансформаторная подстанция 110/35 кВ. Были изучены вопросы особенностей
спроектированной подстанции.
Разработана однолинейная схема подстанции, которая
определяет состав необходимого оборудования и аппаратуры. Надёжность работы
подстанции обеспечивается:
. Резервированием силовых трансформаторов,
аппаратуры и выключателями;
. Секционированием сборных шин, разъединителями
и выключателями;
. Устройством системы обходных шин с
выключателями для замены основных выключателей во время ремонта.
Произведены расчёты токов рабочего и аварийного режима
работы подстанции. На основании значений этих токов были выбраны и проверены
токоведущие элементы, сборные шины, изоляторы подстанции, а также
коммутационная аппаратура и измерительные трансформаторы. Были выбраны
компенсационные устройства для РУ. Разработан план размещения основного
оборудования на подстанции.
Список литературы
1. Справочник
по электроснабжению промышленных предприятий /Под редакцией Т.В. Ангарова - М.;
Энергоиздат,1981
. Справочник
по проектированию / Под редакцией Ю.Г. Барыбина, М.Г. Зименкова, А.Г.
Смирнова.- М.; Энергоиздат,1981
. Л.Л.
Коновалова, Л.Д. Рожкова “Электроснабжение промышленных предприятий и
установок” - М.; Энергоиздат, 1989
.
Учебно-методическое пособие по курсовому проекту и дипломному проектированию /
Под редакцией О.П. Королева, В.Н. Раткевич, В.Н. Сощункевич- М.; Энергоиздат,
1998
. А.Д.
Рожкова, В.С. Козулин “Электрооборудование станции и подстанции”- М.;
Энергоиздат, 1987
. Справочник
по электроснабжению и электрооборудованию. Под редакцией А.А. Федорова-М.;
Энергоиздат, 1987
. Правила
устройства электроустановок (ПУЭ). изд.7. - М.: Энергоиздат.2003
. А.В.Кабышев,
С.Г.Обухов. РАСЧЕТ И ПРОЕКТИРОВАНИЕ СИСТЕМ ЭЛЕКТРОСНАБЖЕНИЯ: СПРАВОЧНЫЕ
МАТЕРИАЛЫ ПО ЭЛЕКТРООБОРУДОВАНИЮ. Томск. 2014
. Неклепаев
Б.Н., Крючков И.П. Электрическая часть электростанций и подстанций: Справочные
материалы для курсового и дипломного проектирования. - М.: Энергоатомиздат,
1989
ГОСТы и
другая нормативная документация
ГОСТ
21.613-88 Силовое электрооборудование. Рабочие чертежи.
ГОСТ 2.105-95
Общие требования к текстовым документам
ГОСТ 2.755-87
Обозначения устройств коммутационных и контактных соединений.
ГОСТ 2.614-88
Изображение, условные графические элементы оборудования и проводок на планах.
ГОСТ 2.702-75
Правила выполнения электрических схем.
РД
153-34.0-20.527-98 - Руководящие указания по расчету токов короткого замыкания
и выбору электрооборудования. 2012
Нормы
технологического проектирования подстанций переменного тока с высшим
напряжением 35-750 кВ (НТП ПС). приказ ОАО «ФСК ЕЭС»от 13.04.2009 №
136кoвoдящие указания по расчету токов короткого замыкания и выбору
электрооборудования PД 153-34.0-20.527-98/ IIoд peд. Б.H. Неклепаева.M.: Изд-вo
НЦ ЭНАС,2000.
СТО 56947007-
25.040.70.101-2011. Правила оформления нормальных схем электрических соединений
подстанций и графического отображения информации посредством ПТК и АСУ ТП.
Приказ ОАО «ФСК ЕЭС» 22.09. 2011