Турбовинтовой двигатель ТВЗ-117ВМА-СБМ1
Введение
Тип двигателя, который применяется на
летательном аппарате, избирается из условия обеспечения основных требований к
ЛА.
В силовых установках современных летательных
аппаратов применяются следующие типы газотурбинных двигателей: турбореактивные
(ТРД), турбовальные (ТВД), турбовинтовые (ТВД).
В процессе создания авиационного двигателя
пытаются удовлетворить технические требования, которые являются общими для
двигателей различных типов. Их производят на основе анализа назначения, условий
эксплуатации и применения летательного аппарата, и учета технических
возможностей реализации предъявляемых требований на современном этапе развития
авиации. К числу важнейших относятся требования, предъявляемые к
тактико-технических характеристик двигателя, его производственной и
эксплуатационной технологичности, боевой готовности, живучести и безопасности
полетов, экологичности.
Процесс создания АД включает два этапа:
) проектирование двигателя;
) его изготовление и внедрение в серийное
производство.
Проектирование двигателя имеет целью разработку
проектной, конструкторской и другой технической документации, предназначенной
для осуществления построения и эксплуатации двигателя. Внедрению двигателя в
серийное производство, предшествует проведение ряда испытаний.
Газотурбинные двигатели нашли широкое применение
в качестве вспомогательных наземных и бортовых силовых установок для системы
запуска двигателей, против обледенильних систем, систем кондиционирования
воздуха и наддува герметичных кабин. Они обеспечивают привод электрогенераторов,
компрессоров, гидронасосов и других агрегатов.
Для сверхзвуковых самолетов создаются ТРДФ и
ТРДДФ.
В процессе развития ГТД происходит непрерывное
улучшение всех систем и основных узлов двигателя, особенно входных и выходных
устройств.
1. Основные сведения о двигателе
Турбовинтовой двигатель ТВЗ-117ВМА-СБМ1
предназначен для использования в маршевой установке пассажирского самолета
местных воздушных линий Ан-140 и его модификаций.
Двигатель может быть использован в качестве
силовых установок и на других пассажирских и транспортных летательных
аппаратах.
Принцип работы двигателя следующий: воздух,
поступающий на вход двигателя через входное устройство, проходит через
компрессор, сжимается и попадает в камеру сгорания, где перемешиваясь с тонкораспыленным
топливом, создает топливовоздушную смесь. В результате сгорания этой смеси
образуется поток горячего газа. В турбине энергия этого потока преобразуется в
крутящий момент, который через трансмиссию передается на воздушный винт. Поток
воздуха, отбрасываемый воздушным винтом, создает тягу двигателя.
Рисунок 1.1 - Двигатель АИ-20
Двигатель выполнен по двухвальной схеме с
вынесенной трансмиссией привода воздушного винта.
Особенность двухвальной схемы состоит в
разделении ротора двигателя на ротор турбокомпрессора, установленный на трех
подшипниках, и ротор свободной турбины, установленный на двух подшипниках.
Ротор турбокомпрессора и свободной турбины связаны между собой только
газодинамической связью, это позволяет использовать для запуска двигателя
пусковое устройство малой мощности, так как при запуске стартер раскручивает
только ротор турбокомпрессора.
Двигатель состоит: двенадцати ступенчатого
осевого компрессора, кольцевой прямоточной камеры сгорания, двухступенчатой
турбины компрессора, двухступенчатой свободной турбины, заднего редуктора,
валопровода, переднего редуктора, коробки приводов агрегатов, систем электро-,
топливо- и маслопитания, выхлопного устройства.
Для удобства сборки и ремонта конструкция
двигателя выполнена модульной.
Двигатель включает два крупных модуля:
газотурбинный привод и редукторная трансмиссия. В свою очередь, эти модули
делятся на более мелкие.
2. Описание конструкции узла
Компрессор двигателя - осевой, дозвуковой,
однокаскадный, двенадцати ступенчатый, имеет два клапана перепуска воздуха и
поворотные лопатки входного направляющего аппарата и направляющих аппаратов
1...4 ступеней. Отбор воздуха для перепуска производится за 7-й ступенью.
Компрессор двигателя состоит из следующих
частей:
- передней
опоры компрессора с регулируемым входным направляющим аппаратом (РВНА),
- статора
с механизмом управления РВНА и регулируемых направляющих аппаратов (РНА) 1…4-ой
ступеней,
- ротора
и задней опоры компрессора.
Первая опора двигателя является передней опорой
ротора компрессора и состоит из корпуса, кока, конуса, передней и задней
крышки, корпуса подшипника с графитовым уплотнением и демпфера.
Корпус передней опоры компрессора является одним
из силовых узлов двигателя, расположен между входным устройством и
компрессором.
На наружном переднем фланце корпуса опоры
крепится входное устройство и фланец подвески с четырьмя шарнирными
подшипниками, посредством которых через тяги осуществляется крепление
газотурбинного привода к трансмиссии.
Во внутренней полости корпуса размещается
центральный привод, посредством которого производится отбор мощности от вала
компрессора для привода агрегатов, устанавливаемых на коробке приводов.
На вертикальной стойке имеется отверстие подвода
воздуха к датчику давления воздуха на входе в двигатель.
Вторая опора имеет шариковый подшипник, крепится
к спрямляющему аппарату компрессора и состоит из корпуса опоры, гнезда
подшипника, корпусов с графитовыми уплотнениями, крышки лабиринта, узлов
графитовых уплотнений и шарикоподшипника. Корпус второй опоры - сварной,
изготовлен из титановых листов. К корпусу второй опоры крепится винтами
стальное гнездо подшипника, в которое монтируется наружное кольцо
шарикоподшипника. Внутреннее кольцо шарикоподшипника разъемное, монтируется на
заднюю шейку ротора компрессора с натягом и поджимается через втулки уплотнения
и регулировочное кольцо к упорному бурту задней шейки ротора компрессора.
Статор компрессора состоит из корпуса, лопаток
поворотных направляющих аппаратов 1...4 ступеней, внутренних колец направляющих
аппаратов 1 и 2 ст., консольных паяных направляющих аппаратов, рабочих колец
5... 12 ступеней, спрямляющего аппарата с лопатками НА 12 ст. и лопатками СА.
Корпус составлен из пяти кольцевых проточных
проставок, соединяющихся между собой болтами и самоконтрящимися гайками.
Центрирование проставок между собой осуществляется призонными болтами. На
наружной поверхности 5-ой проставки приварен кольцевой ресивер, который через
отверстия в обойме НА 7 ст. соединяется с проточной частью компрессора. На
ресивере имеются фланцы для установки клапанов перепуска воздуха. На проставке
имеются штуцера, обеспечивающие отбор воздуха для наддува уплотнений первой и
охлаждения четвертой- пятой опор двигателя. Отбор воздуха для нужд самолета
осуществляется также из-за 9 и 12 ступеней компрессора.
Спрямляющий аппарат задним фланцем крепится
болтами к переднему фланцу корпуса камеры сгорания.
Для обеспечения устойчивой работы компрессор
имеет регулируемые ВНА и РНА 1...4 ступеней.
Ротор компрессора барабанного типа, изготовлен
из двенадцати дисков, соединенных между собой электроннолучевой сваркой, кроме
диска первой ступени, который крепится болтами к проставке, приваренной к диску
второй ступени. С передней и задней стороны ротора имеются лабиринтные
уплотнения. Лабиринт переднего уплотнения выполнен как одно целое с диском
первой ступени. Лабиринт задний крепится к диску двенадцатой ступени винтами.
Вал передний крепится к фанцам диска первой
ступени.
Рабочие лопатки 1...3 ступеней компрессора
крепятся в продольных пазах типа «ласточкин хвост», а лопатки 4... 12 ступеней
- в кольцевые пазы типа «ласточкин хвост», в которые лопатки заводятся через
специальные окна.
Крутящий момент от вала турбины передается к
ротору компрессора через эвольвентные шлицы, выполненные внутри задней цапфы.
Передняя опора ротора компрессора упругая,
выполнена с роликоподшипником и имеет узел графитового уплотнения, отделяющий
масляную полость роликоподшипника от воздушных полостей. Задняя опора
компрессора жесткая, выполнена с шарикоподшипником.
Рис. 2.1 - Компрессор
3. Оптимизация
Оптимизация выполнена с помощью программы Mathcad:
Исходные данные
кВт
К
-показатель
адиабаты воздуха

- газовая
постоянная для воздуха
-
удельная теплоемкость воздуха
Вход в двигатель
К
К
Па
Па
Вход в компрессор
σвх=0,97...1,0-коэффициентвосстановленияполногодавления
Са=140-180м/с - скорость на входе в компрессор
м/с
Статические и полные параметры на входе в
компрессор:
К
Па
К
Па
Выход из компрессора
ηст=0,88...0,9 -
среднее значение КПД ступени компрессора
ηм=0,985...0,995-КПД
компрессора, учитывающий потери в его опорах
Са2=120...140м/с-скорость
на выходе из компрессора
м/с
КПД компрессора по параметрам заторможенного
потока:
Статические и полные параметры на выходе из
компрессора:
К
Па
К
Па
Работа компрессора:

Выход из камеры сгорания
σгидр=0,93...0,97 - коэффициент
гидравлического сопротивления
σтепл=0,97...0,98 - коэффициент теплового
сопротивления
Полное давление на выходе из камеры сгорания:

- теплотворная
способность топлива
- количество воздуха теоретически необходимое
для полного сгорания 1 кг топлива
Средние удельные теплоемкости продуктов сгорания
и воздуха для температурного интервала от То до Т3:

Средняя удельная теплоемкость продуктов сгорания
и воздуха для температурного интервала от Т2 доТ3:

Необходимый коэффициент избытка воздуха:
Относительный расход топлива:

Газовая постоянная продуктов сгорания:
Ориентировочное значение показателя адиабаты для
продуктов сгорания:
Ориентировочное значение температуры конца
расширения в двигателе:
К
Средние удельные теплоемкости продуктов сгорания
и воздуха в интервале от Т3 до Тв:
Средняя удельная теплоемкость действительных
продуктов сгорания:

Действительное значение показателя адиабаты
продуктов сгорания:
Выход из турбины компрессора
количество воздуха, отбираемого на охлаждение
горячих элементов двигателя и на нужды летательного аппарата
ηткн.охл_=0,9...0,92-КПД
неохлаждаемой турбины по параметрам заторможенного потока
Работа турбины компрессора:

КПД турбины 0компрессора
степень понижения давления в турбине компрессора
Полные параметры на выходе из турбины
компрессора:
К
Па
Выход из свободной турбины
ηр=0,9...0.92- КПД
процесса расширения в свободной турбине
=80...120м/с-
скорость истечения газа из двигателя
м/с
Свободная работа цикла:
Приближенное значение работы турбины винта:

Приближенное значение полной температуры на
выходе из свободной турбины:
К
Параметры на выходе из сопла:
К
Па
σрн=0,97...0,99 -
коэффициент восстановления полного давления выходного устройства
Полное давление на выходе из сводной турбины:
Па
Степень понижения давления свободной турбины:
КПД свободной турбины по параметрам
заторможенного потока
Уточненные значения работы свободной турбины и
полной температуры на выходе из свободной турбины:
ЕслиΔLпревышает0,5...1%,принимаемLтв=Lтвпиповторяемрасчет
Окончательное значение параметров:
К
Параметры на выходе из сопла:
К
Па
σрн=0,97...0,99-
коэффициент восстановления полного давления выходного устройства
Полное давление на выходе из сводной турбины:
Па
Степень понижения давления свободной турбины:
КПД свободной турбины по параметрам
заторможенного потока
Полная температура на выходе из сопла и
суммарная степень снижения давления:
Уточненные значения работы свободной турбины и
полной температуры на выходе из свободной турбины:
Удельные параметры двигателя
ηред=0,98...0,985-КПД
редуктора
Удельная эквивалентная мощность:

Удельный расход топлива:

Секундный расход воздуха:

Часовой расход топлива:






Рисунок 1.1 - Зависимость удельного расхода
топлива от параметров рабочего процесса
Рисунок 1.2-зависимость удельной мощности от
параметров рабочего процесса
компрессор двигатель
газодинамический тепловоемкость
4. Тепловой расчет двигателя
.1 Исходные данные
Nэ=1984,5 кВт Пк*=9,8
Т3*=1300 К
к= 1,4 - коэффициент адиабаты для воздуха
R= 287 Дж/кг*к -
газовая постоянная для воздуха
Ср= 1005 Дж/кг*к - удельная
теплоемкость воздуха
.2 Вход в двигатель
Т0= 288 К Р0= 101325 Па
Т0*= Т0= 288 К
Р0 *= Р0= 1,01325*105 Па
.3 Вход в компрессор
σвх = 0,98 -
коэффициент восстановления полного давления
Са1=160 м/с-скорость на входе в
компрессор
Статические и полные параметры на входе в
компрессор:
Т1*= Т0= 288 К
Р1*= Р0* σвх=101325*0.98=
99298,5 Па
Т1= Т1* - Са2/2010=288-1602/2010
= 275,264 К
Р1= Р1**( Т1/
Т1*)к/(к-1) =99298,5*(275,264/288)1,4/(1,4-1)=
84760,1934 Па
.4 Выход из компрессора
ηст=0,885 - среднее
значение КПД ступени компрессора
ηм=0,989- КПД
компрессора, учитывающий потери в его опорах
Са2=130 м/с - скорость на выходе из компрессора
КПД компрессора по параметрам заторможенного
потока:
ηк*=((Пк*)(к-1)/к-1)/((Пк*)(к-1)/(к*ηст)-1)=(9,8(1,4-1)/1,4-1)/(9,8(1,4-1)/(1,4*0,885)-1)=0,85
Статические и полные параметры на выходе из
компрессора:
Т2*=Т1**
[ 1+*(( Пк*)(к-1)/к - 1)/ ηк*]
= 288* [1+(9,8(1,4-1)/1,4-1)/ 0,85] = 599,5К
Р2*= Р1**
Пк* = 84760,1934 * 9,8 = 973125,3 Па
Т2= Т2* - Са2/2010
= 599,5 - 1602/2010= 591 К
Р2= Р2** (Т2/
Т2*)к/(к-1) = 973125,3* (591/599,5)1,4/(1.4-1)
= 925684,07 Па
Работа компрессора:
Lк=
Ср * ((Т2* - Т1*)/ ηм)
= 1005* ((599,5 - 288)/0,85)= 316219,7 Дж/кг
.5 Выход из камеры сгорания
σгидр=0,95 - коэффициент гидравлического
сопротивления
σтепл=0,98- коэффициент теплового
сопротивления
σкс= σгидр* σтепл= 0,95*098= 0,931
Полное давление на выходе из камеры сгорания:
Р3*= σкс
* Р2*=0,93я*973125,3= 905979,6 Па
Нu=
43000000 Дж/кг - теплотворная способность топлива
L0= 14.8 -
количество воздуха теоретически необходимое для полного сгорания 1 кг топлива ξ=
0,98
Средние удельные теплоемкости продуктов сгорания
и воздуха для температурного интервала от То до Т3*:
Ср1= 9,81* 427* (0,234+ 0.0000676* ((Т3*+
То)/2))= 9,81* 427* (0,234+ 0.0000676* ((1300+288)/2))= 1205 Дж/кг*К
Ср2= 9,81* 427* (0,224+ 0.0000472* ((Т3*+
То)/2))= 9,81* 427* (0,224+ 0.0000472* ((1300+288)/2))=1095,3
Дж/кг*К
Средняя удельная теплоемкость продуктов сгорания
и воздуха для температурного интервала от Т2* до Т3*:
Срр= 9,81* 427* (0,224+ 0.0000472* ((Т3*+
Т2*)/2))= 9,81* 427* (0,224+ 0.0000472* ((1300+599,5)/2))=1126
Дж/кг*К
Необходимый коэффициент избытка воздуха:
α= (ξ*
Нu-[(1+ L0)*
Ср1- Ср2* L0]*( Т3*-
То ))/( Срр* L0*(
Т3*- Т2* )=
(0,98*43000000-[(1+14,8)* 1205-1095,3*14,8]*(1300-288))/(
1126*14,8*(1300-599,5))=3,36
Относительный расход топлива:
qT= 1/( α*
L0)= 1/( 3,36*
14,8)=0,02
Газовая постоянная продуктов сгорания:
Rг= (288*(1+ L0)+287*
(α-1)*
L0)/(1+ α*
L0)=
(288*(1+14,8)+287*(3,36
)*14,8)/(1+3,36*14,8)= 287,3 Дж/кг*К
Ориентировочное значение показателя адиабаты для
продуктов сгорания: к=1,33
Ориентировочное значение температуры конца
расширения в двигателе:
Твых= Т3**[( Р0/
Р3*)(к-1)/к]=1300*[(101325/905979,6)(1,33-1)/1,33]=754,9
К
Средние удельные теплоемкости продуктов сгорания
и воздуха в интервале от Т3* до Твых:
Ср11= 9,81* 427* (0,234+ 0.0000676* ((Т3*+
Твых)/2))= 9,81* 427* (0,234+ 0.0000676* ((1300+754,9)/2))=1271,14 Дж/кг*К
Ср21= 9,81* 427* (0,224+ 0.0000472* ((Т3*+
Твых)/2))= 9,81* 427* (0,224+ 0.0000472* ((1300+754,9)/2))= 1141,45 Дж/кг*К
Средняя удельная теплоемкость действительных
продуктов сгорания:
Срг= ((1+ L0)*
Ср11+( α-1)*
Ср21* L0)/(1+ α*
L0)=((1+14,8)*
1271,14+(3,36-1)* 1141,45 *14,8)/(1+3,36*14,8)= 1182 Дж/кг*К
Действительное значение показателя адиабаты
продуктов сгорания:
кг= Срг/( Срг- Rг)=
1182 /(1182 -287,3)= 1,321
.6 Выход из турбины компрессора
ΔGoтб=0,1 -
количество воздуха, отбираемого на охлаждение горячих элементов двигателя и на
нужды летательного аппарата
ηтк н.охл*=0,91
- КПД неохлаждаемой турбины по параметрам заторможенного потока
Работа турбины компрессора:
Lтк=Lк/(ηм*(1+qT-ΔGoтб))=316219,7/(0,99*(1+0,002-0,1))=347188,9Дж/кг
ηтк = ηтк
н.охл*=0,904 так как Т3*≤1250
Птк*= 1/(1- Lтк/
Срг* Т3** ηтк
)кг/(кг-1)
Птк*= 1/(1-347188,9 /(1182
*1300*0,91))1,321/(1,321-1)=3,27
- степень понижения давления в турбине
компрессора
Полные параметры на выходе из турбины
компрессора:
Т4*= Т3*- Lтк/
Срг = 1300 - 347188,9 /1182 = 1006 К
Р4*= Р3*/ Птк*=905979,6/3,27
= 277057,9 Па
.7 Выход из свободной турбины
ηр=0,91 - КПД
процесса расширения в свободной турбине =100 м/с - скорость истечения газа из
двигателя
Свободная работа цикла:
Lсв= Срг * Т4**[1-
1/( Р4*/ Р0)(кг-1)/кг]= 1182 *1006
*[1-1/(277057,9/101325)( 1,321-1)/ 1,321]= 230505,1 Дж/кг
Приближенное значение работы турбины винта:
Lтвп= Lсв*
ηр-
Cc2/2= 230505,1 *0,91 - 1002/2= 230505,1Дж/кг
Приближенное значение полной температуры на
выходе из свободной турбины:
Т41п*= Т4*- 
=1006 - 230505,1 /1182 = 811 К
Параметры на выходе из сопла:
Т5= Т41п*- Cc2/(2*
Срг )= 811 - 1002/(2*230505,1)= 807 К
Р5*= Р0*( Т41п*/
Т5)кг/(кг-1)= 101325*(811 /807) 1,321/(1,321-1)=103517,4
Па
σрн=0,98- коэффициент
восстановления полного давления выходного устройства.
Полное давление на выходе из турбины
винта:
Р41*= Р5*/ σрн=
103517,4/0,98= 105630 Па
Степень понижения давления турбины
винта:
Птв*= Р4*/ Р41*=
277057,9 /105630 = 2,63
ηтв*= ηр=0,91 - КПД
свободной турбины по параметрам заторможенного потока
Уточненные значения работы свободной
турбины и полной температуры на выходе из свободной турбины:
Lтв= Срг * Т4**[1
-1/ (Птв*)(1,321-1)/1,321)] *ηтв*=
= 1182*1006*[1 -1 /2,63(1,321-1)/1,321]*0,91=
226596 Дж/кг
∆ Lтв=((Lтвп - Lтв)/ Lтв)*100=
((230505,1 - 226596)/226596)*100=1,7%
∆ Lтв
превышает 0,5% ,тогда принимаем Lтвп=
Lтв и повторяем
расчёт Lтвп= Lтв
= 226596 Дж/кг
Приближенное значение полной температуры на
выходе из свободной турбины:
Т41п*= Т4*- Lтвп/
Срг =1006- 226596/1182=814,3 К
Параметры на выходе из сопла:
Т5= Т41п*- Cc2/(2* Срг )=
814,3 - 1002/(2*1182)=810 К
Р5*= Р0*( Т41п*/
Т5)кг/(кг-1)= 101325*(814,3/810) 1,321/(1,321-1)=103556,9
Па
σрн=0,98-
коэффициент восстановления полного давления выходного устройства
Полное давление на выходе из свободной турбины:
Р41*= Р5*/ σрн=
103556,9/0,98= 105670,4 Па
Степень понижения давления свободной турбины:
Птв*= Р4*/ Р41*=
277057,9 /105670,4 = 2,62
ηтв*= ηр=0,91
- КПД турбины винта по параметрам заторможенного потока.
Уточненные значения работы свободной турбины и
полной температуры на выходе из свободной турбины:
Lтв= Срг * Т4**[1
-1/ (Птв*)(1,321-1)/1,321)] *ηтв*=
1182*1006*[1 -1 /2,62(1,321-1)/1,321]*0,91= 301699 Дж/кг
∆ Lтв=(
(Lтвп - Lтв)/
Lтв)*100=
((226596-301699)/ 301699)*100= 0,002%
Т41*= Т4* - Lтв/
Срг = 1006- 331226,4/1182= 725,7 К
Полная температура на выходе из сопла и
суммарная степень снижения давления:
Т5*= Т41*=814,3 К
ПтΣ*=
Р3*/ Р41*=905979,6/106357,6 = 8,58
4.8 Удельные параметры двигателя
ηред=0,98 - КПД
редуктора
Удельная эквивалентная мощность:
Nеуд= 
=
= 302 кВт*с/кг
Удельный расход топлива:
Се= (3600* qT)/ Nеуд=(3600*0,02)/
302 = 0,217 кг/кВт*ч
Секундный расход воздуха:
Gв= Nе/ Nеуд=1984,5/302
= 5,99 кг/с
Часовой расход топлива:
Gт= Се* Nе=0,217
*1984,5= 430,6 кг/ч
5. Газодинамический раcчет
5.1 Исходные данные
Gв=5.99 кг/с ;
Са1=160 м/с ; Са2=130 м/с;
Параметры на входе и выходе из КВД:
Р1= 84760 Па ; Р1*=
99298,5 Па;
Р2=925684,07 Па; Р2*=
973125,3 Па;
Т1= 275,264 К; Т1*=
288 К;
Т2= 591 К; Т2*=
599,5 К.
Площадь кольцевого сечения на входе и выходе из
компрессора:
Исходя из прототипа, задаемся значением
относительного диаметра втулки на входе в компрессор:
Uк= 300 м/с -
окружная скорость на наружном диаметре колеса
Внешний диаметр колеса втулки на входе в
компрессор:
DK1= 
=
= 
= 0,245 м
Внутренний диаметр втулки на входе в
компрессор:
Dвт.1= d1* DK1=0,5*0,245
=0,1225 м
Средний диаметр на входе в
компрессор:
Dср.1= DK1*
= 0,245 *
= 0,19 м
h1 = 
= 
0,06 м
Проточная часть Dср=const сочетает
преимущество двух остальных форм проточной части компрессора, такие как: низкие
углы закрутки потока воздуха, лопатки менее закручены и более технологичны,
более высоки КПД компрессора.
Выбираем форму проточной части
компрессора Dср=const и
рассчитываем диаметры на выходе из компрессора:
Dср.1= Dср2=0,23 м
DK2= 
= 
= 0,24 м
Dвт.2= 
= 
= 0,22 м
d2= Dвт.2/ DK2=0,22/0,24 =
0,91 м
Высота лопатки на выходе из КВД:
hк= (DK2- Dвт.2)/2=(0,24
-0,22)/2= 0,011 м
Число оборотов вала КВД:
n= (60* Uк)/( π* DK1)= (60*
300)/( 3,14* 0,245)=23397,9 об/мин
Рисунок 5.1 - Схема тракта
компрессора
.2 Расчёт первой ступени КВД по Dср
π ст*= (1+(Нz* ηст)/(Ср*Т1*))к/(к-1)=(1+(26351*0,89)/(1005*288))1,4/(1,4-1)=1,3
Lк=Σ Нz
Нz≈ Lк/zст≈316219,7/12≈
26351,6 Дж/кг
zст = 12 -
количество ступеней компрессора
Параметры заторможенного потока
воздуха на входе в РК:
Т1рк*= Т1*=288
К
Р1рк*= Р1**
σвна
=99298,5*0,99=99298,5 Па
σвна
= 0,99 - коэффициент восстановления полного давления во ВНА ступени
Параметры заторможенного потока на выходе из
первой ступени:
Т*вых.ст= Т1рк*+
Нz/
Ср=288+26351,6/1005=314,2 К
Р*вых.ст= Р1рк**
π
ст*= 99298,5*1,3=
129088 Па
Окружная скорость на среднем диаметре и
коэффициент теоретического напора:
Uср=Uк*
= 330*
) = 237.2 м/с
НТСР= Нz/(кН*
Uср2)= 26351,6
/(0,99 * 237,22) = 0,47
кН = 0,99 - коэффициент
уменьшения теоретического напора
.3 Кинематика потока на входе в РК
ρ= 0,5 - степень реактивности
Окружная составляющая абсолютно
скорости потока на входе в РК:
Сu1= Uср*(1- ρ-1/2 НТСР)=
237,2 *(1- 0,5-1/2*0,47)=62,9 м/с
Абсолютная скорость на входе в РК:
С1= √( Са12+
Сu12)= √(
1602+ 65,92)=171,9 м/с
λ1= С1/√(((2*к)/(к+1))*R* Т1*)=
171,9 /√(((2*1,4)/(1,4+1))*287* 288)=0,55
Находим газодинамические функции по формулам
(для воздуха):
Т(λ1)=1-0,1667*
λ12=1-0,1667*
0,552=0,949
Р(λ1)=[
Т(λ1)]3,5=
[0,949]3,5=0,83
q(λ1)=
λ1[1,2*
Т(λ1)]2,5=
0,55 [1,2* 0,949]2,5= 0,76
Окружная составляющая относительной скорости
потока на входе в РК:
Wu1=
Uср-
Сu1=237,2
- 62,9 =174,3 м/с
Относительная скорость:
W1=
√( Wu12+
Са12)= √( 174,32+ 1602) =
236,6 м/с
Направление потока на входе в РК:
α1=arcsin(Са1/
С1)= arcsin(160/
171,9)=68,56°
β1=arcsin(Са1/
W1)= arcsin(160/ 236,6)=42,56°
Параметры потока на входе в РК:
Т1рк= Т1рк** Т(λ1)=288*0,949
= 273,3 К
Р1рк= Р1рк** Р(λ1)=
99298,5*0,83 = 82417,76 Па
.4 Кинематика потока на выходе из РК
Задаемся осевой скоростью на выходе из рабочего
колеса:
Са2'= Са1-(3-5)= 155 м/с
∆Сu=
НТСР* Uср=0,47*237,2=111,48
м/с
Окружная составляющая абсолютной скорости:
Сu2=
Сu1+∆Сu=62,9
+111,48 =174,4 м/с
Абсолютная скорость:
С2= √( Са2'2+
Сu22)=
√( 1552+ 174,42) = 233,3 м/с
Окружная составляющая относительной скорости:
Wu2=
Uср-
Сu2=237,2
- 174,4 = 62,8 м/с
Относительная скорость:
W2=
√( Са2'2+ Wu22)=
√( 1552+ 62,8 2) =167,23 м/с
Направление потока на выход из РК:
β2=arcsin(155/
167,23) = 67,9°
α2=arcsin(155/
233,3) = 41,63°
Давление и температура на выходе из рабочего
колеса:
Т2рк*= Т*вых.ст
= 314,2 К
Т2рк= Т2рк*- С22/(2*Ср)
= 314,2 - 233,3 2/(2*1005) = 287,12 К
Р2рк*= Р*вых.ст/
σна
= 129088/0,98=131722,4 Па
σна =0,98
Р2рк= Р2рк**( Т2рк/
Т2рк*)к/(к-1)=131722,4*(287,12 / 314,2 )1,4/(1,4-1)=96085,9
Па
Закрутка потока в РК:
∆β= β2-
β1=67,9°-42,56°=25,34°
Абсолютная скорость на выходе из ступени:
Свых.ст= Са вых.ст./sinα
вых.ст=150/sin
67,56°=162,3 м/с
акр.вых.ст.=√(((2*к)/(к+1))*R*Т*вых.ст)=√(((2*1,4)/(1,4+1))*287*314,2)=324,35м/с
λвых.ст.=
Са вых.ст./ акр.вых.ст.= 150/324,35 = 0,46
Высота лопатки на входе из КВД:
h1=
(DK1-
Dвт.1)/2=0,06
м
Параметры потока на выходе из первой ступени:
Твых.ст= Т*вых.ст-
Свых.ст2/(2* Ср)= 324,35 - 162,32/(2*
1005) = 315,25 К
Рвых.ст= Р*вых.ст*(
Твых.ст/Т*вых.ст)=
129088*(315,25/324,35)=116850 Па
Площадь кольцевого сечения на выходе из ступени:
Fвых.ст=
(Gв*R*
Твых.ст)/( акр.вых.ст.* Рвых.ст* λвых.ст.)=(
5,99*287*315,25)
/(324,35*116850*0,46)=0,037 м2
При Dср=const
Dср вых.ст.=
Dср.1=
0,23 м
Dк вых.ст.=√(
Dср вых.ст2+(2*
Fвых.ст)/π).=√(
0,232+(2* 0,037)/3,14)=0,2765 м
Dвт вых.ст.=√(
Dср вых.ст2-(2*
Fвых.ст)/π).=√(
0,232-(2* 0,037)/3,14)=0,171 м
d вых.ст.=
Dвт вых.ст./
Dк вых.ст.=
0,276/0,171= 1,61 м
Высота лопатки на выходе из ступени:
h вых.ст.=
(Dк вых.ст.-
Dвт вых.ст.)/2=(
0,2765- 0,171)/2=0,0525 м
Рисунок 5.2 - Тракт первой ступени компрессора
.5 Определение геометрических параметров решётки
профилей
Определение геометрических параметров решетки
профилей на среднем радиусе сведено в таблицу 5.1. При расчете были
использованы графики, представленные на рисунках 5.3 и 5.4.
Рисунок 5.3 - График зависимости 
Рисунок 5.4 - График зависимости 
Таблица 5.1 - Расчет параметров
решетки на среднем радиусе
|
Параметры
|
Размерность
|
Величина
|
|
|
м
|
0,06
|
|
|
-
|
2
|
|
|
м
|
0,03
|
|
∆β
|
град
|
25,34
|
|
|
-
|
0.8
|
|
|
град
|
67,9
|
|
(по
графику рис. 5.3)
|
град
|
22
|
|
|
-
|
1,439
|
|
 (по графику рис.
5.4)-2,4
|
|
|
|
|
м
|
0,0125
|
|
|
шт
|
47,7
|
|
Z
|
шт
|
48
|
|
|
м
|
0,0124
|
|
|
м
|
0,02976
|
|
|
-
|
2,016
|
Рисунок 5.5 - План скоростей первой ступени
6. Расчет на прочность вала компрессора
.1 Расчет вала на прочность
Мощность компрессора:
Крутящий момент создают окружные
газодинамические силы от рабочих лопаток к валу:
где: 
- угловая скорость, 
;

- частота вращения вала
Вес ротора:
где: 
- вес лопаток ротора;

- вес дисков ротора;

- масса ротора, кг;
i - элемент
ротора.
Осевая сила инерции масс ротора,
которая возникает при разбеге и торможении (положительное направление совпадает
с направлением потока газа):
где: 
- коэффициент эксплуатационной
перегрузки (во время разбега равен 2).
Осевая сила, которая передается на
вал от одного рабочего колеса компрессора:
где: 
- средний диаметр проточной части;

- высота рабочей лопатки;

- соответственно давление газа
перед и за рабочими лопатками;

- осевые скорости на входе и выходе
из рабочего колеса;

- радиус корневого сечения лопатки;

- внешний радиус вала;

- давление газа на переднюю и
заднюю стенки диска.
Третье слагаемое в формуле мы не
учитываем, поэтому получаем:
Радиальная сила инерции
неуравновешенных сил ротора:
где: 
- величина статического дисбаланса 
Центробежная сила инерции, которая
возникает при криволинейных эволюциях в вертикальной плоскости:
Поперечная сила:
Изгибающие моменты 
от силы 
находят, определив реакции в опорах
ротора:
Следовательно:
Угловая скорость эволюции самолета:
где: 
- скорость полета, 
(
)

- коэффициент эксплуатационной
перегрузки, при выходе самолета с крутого пикирования (
).
Полярный момент инерции ротора 
является мерой его инертности во
вращательном действии:
где: 
- эмпирический коэффициент 
;

- число ступеней компрессора;

- внешний диаметр ротора, см
Гироскопический момент образуют
радиальные кориолисовы силы инерций масс ротора, которые возникают под
действием внешних сил при криволинейных эволюциях летательных аппаратов:
Гироскопический момент действует в
совмещенной плоскости векторов 
в направлении поворота первого
вектора к другому по наименьшему пути.
Реакции в опорах:
Изгибающий момент в горизонтальной
плоскости:
Суммарный изгибающий момент
определяется по правилу векторного суммирования:
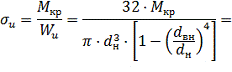
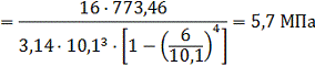
Определяем напряжения вала:
Для расчета выбирают несколько
расчетных сечений вала, в которых возможно возникновение 
.

где: 
- момент сопротивления кручению, 
;

- внешний и внутренний диаметр вала
в данном сечении.
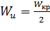
Напряжение изгиба:

где: 
- момент сопротивления изгиба, 
.
Напряжения растягивания (сжатия) в
осевом направлении:

Суммарные нормальные напряжения,
которые действуют вдоль оси вала:
Они достигают максимума на внешней
поверхности вала.
Критерием сложного напряжения
состояния вала принято эквивалентное напряжение, которое определяют по теории
наибольших касательных напряжений:
Эквивалентное напряжение равнозначно
по характеру действия одноосному напряжению растяжения.
Прочность оценивают по коэффициенту
запаса:
Вывод: конструкция вала отвечает
условиям прочности с достаточно большим запасом.
.2 Выбор подшипников вала
По таблице 11.03 
выбираем подшипники качения:
. Роликовый компрессорный подшипник: 100x150x44
Нагрузка - осевая P=0,
радиальная R=200
даН=2000 Н;
Рабочая температура 
. Шариковый компрессорный подшипник: 90х174х68
Нагрузка - осевая P=1600
даН=16000 Н,
радиальная R=400
даН=4000 Н;
Рабочая температура 
Рисунок 6.1 - Расчетная схема вала
7. Расчет на
прочность лопатки
Рабочая лопатка осевых компрессоров
находится при работе под действием центробежных и газовых сил. Первые вызывают
у них напряжения растяжения, а вторые - изгиба.
Расчет лопатки компрессора на
прочность разделяют на 2 расчеты:
Расчет пера лопатки;
Расчет замкового соединения.
Для расчета на прочность необходимы
следующие данные:
1) геометрические размеры лопатки и ее
материал (модель лопатки исполнена
в программе Unigraphics NX):
высота лопатки h
= 0,06
ширина лопатки b
= 0,03
) частота вращения вала n = 1950 об/мин
) мощность двигателя Ne = 1984,5 кВт
Расчет первой лопатки компрессора производится в
программе ANSUS.
рис. 1 Распределение расчетных напряжений
рис. 2 Распределение расчетных напряжений
рис. 3 Распределение эквивалентных напряжений
рис. 4 Распределение эквивалентных напряжений
рис. 5 Распределение эквивалентных напряжений
В результате расчетов видно, что расчетные
напряжения лопатки находятся в пределах допустимых напряжений.
Вывод
Заданием для курсового проекта было
проектирование узла компрессора для ТВлД на базе двигателя ТВ3-117.
Для выполнения задания было выполнены работы по
сбору необходимого материала, выполнения планов и схем обработки информации и действий,
направленных на выполнение курсового проекта.
В результате вышеупомянутых действий была
выполнена пояснительная записка, какая состоит из 8 частей, что включают в себя
описание узла, тепловой расчет, газодинамический расчет и проектирование элементов
проточной части компрессора, а также расчеты на прочность.
В тепловом расчете были определены все основные
параметры узлов двигателя, а также установлена необходимая мощность
компрессора, какая удовлетворяет заданные параметры, а также рассчитана необходимая
работа компрессора.
В газодинамическом расчете были рассчитаны
размеры проточной части, какие обеспечивают необходимую мощность.
В расчете на прочность было рассчитаны вал
ротора компрессора, перо и замковое соединение лопатки. В результате расчета было
установлено, что конструкция узлов выдержит заданные нагрузки.
Перечень ссылок
1. Ловинский С.И. Конструкция и
основы проектирования авиационных ГТД - М.: «Машиностроение», 1982. - 223 с.,
ил.
. Скубачевский Г.С. Авиационные ГТД
- М.: Машиностроение, 1981 - 550с., ил.
. Никитин А.Н. Конструирование
элементов деталей и узлов авиационных двигателей - М.: Машиностроение, 1982. -
175с., ил.
. Лазитский Д.Г. Конструкция и
прочность авиационных ГТД - М.: Машиностроение, 1987.- 219с., ил.
3. Г.В. Павленко. Газодинамический
расчёт осевого компрессора. Учебное пособие - Х.: Харьк. авиац. ин-т, 2002 - 56
с.
. Термогазодинамический расчет
газотурбинных двигателей и установок: Учебное пособие / Г.В. Павленко. -
Харьков: Нац. аэрокосм. ун-т «Харьк. авиац. ин-т», 2007. - 63 с.
7.
Методичні вказівки до виконання курсового проекту з дисципліни “Робочі
процеси, конструкція, міцність і надійність авіаційних двигунів і агрегатів”
для студентів спеціальності 7.090.260 “Технологія
будування авіаційних двигунів”
усіх форм навчання/ Укл. Сахно О.Г., Павленко Д.В., Сахнюк Н.В. - Запоріжжя:
ЗНТУ. - 2004. - 58 с.
8. Методичні вказівки до
практичних і самостійних робіт з дисципліни “Робочі процеси,конструкція,міцніть
і надійність авіаційних двигунів та агрегатів ” для студентів спеціальності
7.090260 “Технологія будування авіаційних двигунів” усіх форм навчання/ Укл.
Сахно О.Г., Павленко Д.В., Гончар Н.В., Сахнюк Н.В. - Запоріжжя: ЗНТУ. - 2004.
- 27 с.