Транспортно-экспедиционное обслуживание доставки груза по маршруту Архангельск-Саратов
Министерство
образования и науки Российской Федерации
Государственное
образовательное учреждение
высшего
профессионального образования
Национальный
минерально-сырьевой университет "Горный"
Курсовой
проект
Транспортно-экспедиционное
обслуживание доставки груза по маршруту Архангельск - Саратов
Студент: 5 курса
шифр: 9603020001
Форма обучения: очно-заочная
Специальность: 190701.65
Группа ОПУв-09-2
Лебедев Сергей Александрович
Преподаватель:
Таневицкий Игорь Владимирович
Санкт-Петербург,
2014 г.
Задание
Разработать технологию доставки груза в междугороднем сообщении с
использованием двух видов транспорта и двух способов доставки груза.
доставка груз транспортный договорной
Исходные данные
|
Склад ГО (продавца)
|
Архангельск
|
|
Склад ГП (покупателя)
|
Саратов
|
|
Вид груза
|
Бумага листовая для офисной
техники
|
|
Тара грузового места
|
Ящики из гофрированного
картона
|
|
Масса грузового места
брутто, кг.
|
25,8
|
|
Размеры грузового места,
мм. -длина -ширина -высота
|
430 305 235
|
|
Объем партии поставки,
груз. ед.
|
500
|
|
Наличие подъездных ж/д
путей ГО ГП
|
Нет Есть
|
|
Вознаграждение
экспедитора,%
|
10
|
Дополнительные данные
. Погрузочно-разгрузочные работы: погрузка груза на складе
грузоотправителя (ГО) выполняется грузоотправителем; погрузка и разгрузка груза
на железнодорожной станции отправления (прибытия) выполняется железнодорожным
транспортом; разгрузка груза на складе грузополучателя (ГП) выполняется
грузополучателем.
. Скорость междугородней перевозки груза автомобильным транспортом
(АТ) - 450 км/сутки, железнодорожным транспортом (ЖТ) - 300 км/сутки; средняя
скорость доставки груза АТ в черте города - 20 км/час; скорость локомотива 30
км/ч.
. Страхование груза производится на период доставки груза от ГО до
ГП.
. Вознаграждение экспедитора определяется в процентах от стоимости
доставки груза.
Содержание
Введение
. Выбор вида
транспорта и способа доставки груза Архангельск - Саратов
. Маршруты
доставки груза
. Выбор
транспортных средств и транспортного оборудования
. Расчет
транспортно-технологической схемы доставки груза
.1 Сетевой
график выполняемых работ
.2 Расчет
стоимости и времени доставки груза
.3 Выбор
варианта доставки
.
Организационно-договорное обеспечение транспортно-технологической схемы
доставки груза
.1 Участники
процесса доставки груза
.2 Виды
договоров, заключаемые между участниками процесса доставки груза
.3
Структурная схема договорно-правовых отношений между участниками доставки груза
Заключение
Библиографический
список
Введение
Главной целью
курсового проекта является разработка процесса оптимальной доставки груза в
междугороднем направлении с использованием двух различных видов транспорта, и
двух способов доставки груза. Для достижения главной цели курсового проекта
необходимо решить следующие задачи:
выбрать виды
транспорта и оптимальные способы доставки груза по маршруту Архангельск -
Саратов;
выбрать
маршруты доставки груза;
- разработать оптимальную транспортно-технологическую схему доставки
груза на основе расчета временных и денежных затрат;
описать транспортно-экспедиционные операции на всём пути следования, от
грузоотправителя до грузополучателя для выбранной транспортно-технологической
схемы;
распределить обязанности между участниками перевозочного процесса в
соответствии с заключаемыми между ними договорами.
1. Выбор вида транспорта и способа доставки груза Архангельск - Саратов
ГОСТ 6658-75 Изделие из бумаги и картона. Изделия из бумаги и картона
упаковывают в кипы или ящики. На каждую кипу или ящик на одну из боковых сторон
или на загнутые концы оберточной бумаги должен быть наклеен бумажный ярлык с
маркировкой, характеризующей упакованную продукцию. Мягкая упаковка кип
предназначена для внутригородских перевозок изделий всеми видами транспорта
либо в контейнерах, а также для железнодорожных перевозок вагонными отправками
без перевалки в пути и при обязательном наличии железнодорожных путей у склада
грузополучателя.
В Архангельске грузоотправитель не имеет в наличии железнодорожные
подъездные пути и находится в 10 км. от ж/д станции Архангельск-Товарный.
Грузополучатель в Саратове находится в 15 км от ж/д станции
Саратов-Товарный и имеет свой подъездной железнодорожный путь.
Так как по ГОСТу груз может транспортироваться любыми видами транспорта,
мы повезем автомобильным и железнодорожным.
Способ доставки груза выбираем конвенциональный и контейнерный.
2. Маршруты доставки груза
Рис. 2.1. Схема первого маршрута доставки груза автомобильным транспортом
от грузоотправителя до грузополучателя.

3. Выбор транспортных средств и транспортного оборудования
Масса партии груза:
Мпг = Nге·mге, (1)
где Nге - количество грузовых единиц в партии груза;ге - масса грузовых
единиц.
Мпг = 500·25,8 = 12900 кг.
Объем партии груза:
пг = Nге·υге, (2)
где Nге - количество грузовых единиц в партии груза;
υге - объем грузовых единиц.
пг = 500·(0,430·0,305·0,235)=500·0,031=15,5 м3
Выбор автомобиля:
Бортовой автомобиль МАЗ-6312в9470-000 Грузоподъемность
14,75 т. Объем 46,8 м3
Удельная масса:
ρгр=
, (3)
ρгр=
=
= 832,258 кг/м3
Так как ρгр>230 кг/м3 то в расчёт тарифа на перевозку
ведётся по массе.
Так как масса одного грузового места < 100кг, надбавки к тарифу не
применяются.
Выбор ж/д вагона:
Подходит 4-осный крытый цельнометаллический модель 11-260
грузоподъемностью 68 т., 4-осная платформа, модель 13-935А-04
Выбор контейнера: 20 фут. контейнер "Dry-Cube"
Контейнер 1ССC: грузоподъемность 21,63т., объем 33 м3
4. Расчет транспортно-технологической схемы доставки груза
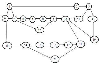
.1 Сетевой график выполнения работ
Рис. 4.1. Сетевой график транспортно-экспедиционного обслуживания по
маршруту Архангельск-Саратов
4.2 Расчет стоимости и времени доставки груза
Таблица 1
Расчет стоимости и времени доставки груза по маршруту Архангельск-Саратов
|
Выполняемая работа и ее
расчет
|
Стоимость, Руб.
|
Время Час.
|
|
0 Отправка груза
|
-
|
-
|
|
1 Погрузка груза
конвенциональным способом на АТ в Архангельске
|
7000
|
2,5
|
|
2 Перевозка груза АТ от ГО
до ГП
|
129000
|
105
|
|
3 Разгрузка груза на складе
ГП в Саратове.
|
-
|
3
|
|
4 Получение груза, его
прием
|
-
|
-
|
|
5 Перевозка АТ от склада ГО
на ж/д ст. Архангельск- товарный
|
100
|
0,7
|
|
6 Разгрузка груза с АТС на
ж/д вагон ст. Архангельск-товарный
|
853,3
|
3
|
|
7 Хранение груза на
закрытом складе
|
98,04
|
24
|
|
8 Погрузка груза на крытый
ж/д вагон на ст. Архангельск-товарный
|
853,3
|
2,5
|
|
9 Перевозка груза ж/д от
ст. Архангельск-товарный до Саратов-товарный.
|
91550
|
155
|
|
10 Подача и уборка ж/д
вагона под разгрузку от ст. Саратов-товарный до ст. ГП
|
1927,5
|
0,83
|
|
11 Разгрузка груза из ж/д
вагона на склад ГП.
|
-
|
3
|
|
12 Перегрузка на ж/д. ст.
Архангельск-товарный
|
1370,08
|
3
|
5000 -
|
0,5 2,5
|
|
14 Перевозка контейнера 1С
АТ со ст. ГО на ж/д Архангельск-товарный
|
5000
|
0,33
|
|
15 Разгрузка контейнера на
контейнерную открытую площадку
|
84
|
0,15
|
|
16 Хранение груза
контейнера на ж/д Архангельск-товарный
|
74
|
24
|
|
17 Погрузка груза
контейнера с открытой контейнерной площадки на жд вагон
|
84
|
0,15
|
|
18 Перевозка груза
контейнера ж/д от Архангельск-товарный до Саратов-товарный
|
15761
|
155
|
|
19 Разгрузка контейнера на
склад ГП
|
-
|
3
|
|
Аренда порожних контейнеров
|
1050
|
155
|
|
20 Перегрузка контейнера с
ЖТ на АТ
|
134
|
0,15
|
.3 Выбор варианта доставки
Таблица 2
Стоимость и время доставки при различных вариантах доставки.
|
№ варианта
|
Схема варианта
|
Стоимость, руб.
|
Время, час.
|
|
1
|
0-1-2-3-4
|
136000
|
110,5
|
|
2
|
0-1-5-6-7-8-9-10-11-3-4
|
102 382,14
|
194,53
|
|
3
|
0-1-5-12-9-10-11-4
|
101 947,58
|
165,03
|
|
4
|
0-13-14-15-16-17-18-10-19-4
|
27 930,5
|
186,46
|
|
5
|
0-13-14-20-18-10-19-4
|
27 822,5
|
162,31
|
Относительное значение критериев доставки.
/27 822,5=4,88
382,14/27 822,5=3,68
947,58/27 822,5=3,66
930,5/27 822,5=1,003
,53/110,5=1,76
,03/110,5=1,49
,46/110,5=1,68
,31/110,5=1,46
Таблица 3
|
№ варианта
|
Схема варианта
|
стоимость
|
время
|
|
1
|
0-1-2-3-4
|
4,88
|
|
2
|
0-1-5-6-7-8-9-10-11-3-4
|
3,68
|
1,76
|
|
3
|
0-1-5-12-9-10-11-4
|
3,66
|
1,49
|
|
4
|
0-13-14-15-16-17-18-10-19-4
|
1,003
|
1,68
|
|
5
|
0-13-14-20-18-10-19-4
|
1
|
1,46
|
Среднеарифметическое значение потерь.
=min{Mj(R)}
=2,94
=2,72
=2,57
=1,34
=1,23
Таблица 4
|
№ варианта
|
Схема варианта
|
Mj(R)
|
|
1
|
0-1-2-3-4
|
2,94
|
|
2
|
0-1-5-6-7-8-9-10-11-3-4
|
2,72
|
|
3
|
0-1-5-12-9-10-11-4
|
2,57
|
|
4
|
0-13-14-15-16-17-18-10-19-4
|
1,34
|
|
5
|
0-13-14-20-18-10-19-4
|
1,23
|
По данным расчетов следует, что оптимальным вариантом доставки является
вариант №5.
Стоимость сквозной доставки с учетом вознаграждения экспедитора составит:
822,5+10% =30 604,75 руб.
5. Организационно-договорное обеспечение транспортно-технологической
схемы доставки груза
.1 Участники процесса доставки груза
Участниками процесса доставки груза являются:
Компания-поставщик (грузоотправитель)
Транспортные или экспедиционные компании (экспедитор)
Распределительный центр или склад
Компания-грузополучатель
.2 Виды договоров, заключаемымих между участниками процесса доставки
груза
- Договор купли/продажи между ГО и ГП
- Договор ТЭО между ГО и ГП
- Договор страхования между Экспедитором и страховой компанией
- Договор аренды контейнеров между Экспедитором и владельцем порожних
контейнеров
- Договор перевозки между Экспедитором и АТ
- Договор ж/д перевозок
5.3 Структурная схема договорно-правовых отношений между участниками
доставки груза
Заключение
При выполнении курсового проекта проведены расчёты с целью определения
наиболее оптимального способа доставки листовой бумаги для офисной техники из
Архангельска до Саратова.
Определена стоимость перевозки с учётом вознаграждения экспедитора.
Разработаны схемы, на которых подробно представлены основные участники
доставки, их обязанности, документооборот и сопровождающие груз транспортно-экспедиционные
операции.
Список литературы
1. Основы
транспортно-экспедиционнного обслуживания: Методические указания к выполнению
курсовой работы для студентов специальностей 190701 - организация перевозок и
управление на транспорте (автомобильный транспорт), 080502 - экономика и
управление на предприятии (автотранспорта) / СПб. гос. архит.-строит. ун-т.;
сост. О.В. Попова. - СПб., 2008;
. Горев А.Э.,
Грузовые автомобильные перевозки: Учеб. пособие для студ. высш. учеб.
заведений. - М.: Издательский центр "Академия", 2004;
. Сханова
С.Э., Попова О.В., Горев А.Э. Транспортно-экспедиционное обслуживание: Учебное
пособие для студ. высш. учеб. заведений. - М.: Издательский центр
"Академия", 2005.