Технология изготовления интегральной схемы транзисторно-транзисторной логики (ТТЛ)

  • Вид работы:
    Курсовая работа (т)
  • Предмет:
    Информатика, ВТ, телекоммуникации
  • Язык:
    Русский
    ,
    Формат файла:
    MS Word
    800,97 Кб
  • Опубликовано:
    2014-09-16
Вы можете узнать стоимость помощи в написании студенческой работы.
Помощь в написании работы, которую точно примут!

Технология изготовления интегральной схемы транзисторно-транзисторной логики (ТТЛ)

ФЕДЕРАЛЬНОЕ АГЕНТСТВО ПО ОБРАЗОВАНИЮ

Томский Университет Систем Управления и Радиоэлектроники

(ТУСУР)

Кафедра физической электроники (ФЭ)








Технология изготовления интегральной схемы ТТЛ

курсовой проект по дисциплине "Процессы микро- и нанотехнологии"

ФЭТ КР 314200.001 П3


Студент гр. 314 - 2

Бронников С.М.

Руководитель

Доцент кафедры ФЭ

канд. тех. наук

К. И. Смирнова




Министерство общего и профессионального

образования Российской Федерации

ТОМСКИЙ ГОСУДАРСТВЕННЫЙ УНИВЕРСИТЕТ СИСТЕМ

УПРАВЛЕНИЯ И РАДИОЭЛЕКТРОНИКИ

(ТУСУР)

Кафедра Физической Электроники (ФЭ)

ЗАДАНИЕ

по курсовому проектированию по дисциплине "Процессы микро- и нанотехнологии"

Студент Бронников Сергей Михайлович

группа 314-2 факультет электронной техники

1. Тема проекта: Технология изготовления интегральной схемы ТТЛ

2. Срок сдачи студентом законченного проекта____________________

3. Исходные данные к проекту:

1. Схема изготовлена по изопланарной технологии;

. Подложка КДБ-10 со скрытым слоем;

. Эпитаксиальная пленка 3КЭФ -0,1; xбк = 2,2 мкм; ρs = 180 Ом/; xэб = 0,8 мкм; ρs = 6 Ом

4. Содержание пояснительной записки:

1.      Анализ схемы

2. Технологический маршрут

3.      Расчет режимов диффузии и эпитаксии

4.      Расчет профилей распределения и процесса автолегирования

5.      Расчет точности изготовления резисторов

5. Перечень графического материала:

1. Схема техпроцесса

2.      Чертежи комплекта ФШ

3.      Расчетные зависимости

6. Дата выдачи задания:_________________________

Содержание

Введение

1.  Анализ схемы

1.1  Техпроцесс изготовления схемы

2.  Расчёт режимов диффузии

2.1  Расчет режима диффузии скрытого слоя

2.2    Расчёт режима эпитаксии

.3      Расчет профиля автолегирования

.4      Расчет режимов базовой диффузии

.5      Расчет режимов эмиттерной диффузии

.6      Уточнение профиля распределения примеси в эмиттерной области

3.  Расчет точности изготовления резисторов

Вывод

Список литературы

Введение

Разработка интегральных микросхем (ИМС) представляет собой сложный процесс, требующий решения разнообразных научно-технических проблем. Вопросы выбора конкретного технического воплощения ИМС решают с учетом особенностей разрабатываемой схемы, возможностей и ограничений, присущих различным способам изготовления, а также технико-экономического обоснования целесообразности массового производства. Эти вопросы решают главным образом путем использования двух классов микросхем - полупроводниковых и гибридных. Оба эти класса могут иметь различные варианты структур, каждый из которых с точки зрения проектирования и изготовления обладает определенными преимуществами и недостатками.

Полупроводниковые интегральные микросхемы - это монолитное устройство, в котором все элементы изготовлены на единой полупроводниковой подложке и в едином технологическом цикле. Особенность технологического процесса производства полупроводниковых интегральных микросхем заключается в том, что одновременно с изготовлением транзисторных структур необходимо получать диоды, резисторы и конденсаторы, параметры которых удовлетворяли бы требованиям, устанавливаемым на этапе схемотехнической отработки.

Целью курсового проекта является приобретение практических навыков решения инженерной задачи создания конкретного микроэлектронного изделия, а также закрепление и углубление теоретических знаний, приобретенных ранее.

1.       Анализ схемы

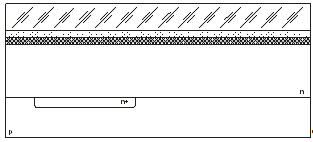
Полупроводниковая интегральная схема ТТЛ изготовлена по изопланарной технологии, суть которой заключается в создании изолированных областей для отдельных элементов.

Планарная технология позволяет одновременно получать большое количество элементов в течение единого технологического процесса и характеризуется тем, что все внешние границы p-n- переходов выходят на одну плоскость, т.е. все выводы элементов находятся на одной стороне полупроводниковой пластины.

Особенностью рассматриваемой схемы ТТЛ является применение в ней многоэмиттерного транзистора V1, в данном случае двухэмиттерного. Так же она содержит три биполярных транзистора V2, V3, V5 , диод V4 и четыре резистора R1-R4, изготовленные на основе базовой диффузии. Изоляция элементов производится окислением кремния, для чего выполняются травления окон на 0.44 толщины эпитаксиальной пленки и дальнейшим окислениям в сумме получим 15 изолированных областей. Все транзисторы, контактные площадки и диоды формируются в разных изолированных областях кроме контактной площадки номер 7, так как она соединена с общей шиной (заземление). Так же резисторы, сформированные в базовой области, можно формировать в одном кармане, при этом на изолирующую область подается высокий потенциал.

1.1    Техпроцесс изготовления схемы

1)      Очистка подложки;

2)     
Проводится окисление во влажном кислороде для образования SiO2 , нанесение позитивного фоторезиста. Совмещение фотошаблона №1 и экспонирование фоторезиста;


3)      Удаление фоторезиста. Производится травление селективным травителем. Проводится двухстадийная диффузия для формирования скрытого слоя;


4)      Удаление SiO2 и выращивание эпитаксиальной пленки;


5)      Окисление, нанесение позитивного фоторезиста, совмещение фотошаблона №2 и экспонирование;

6)     
Удаление фоторезиста. Проводится травление эпитаксиальной пленки на толщину 0,44;


7)      Проводится окисление защитной области;


8)      Нанесение позитивного фоторезиста, совмещение фотошаблона №3 и экспонирование;


9)      Производится травление селективным травителем. Удаление фоторезиста. Проводится двухстадийная диффузия для формирования баз транзисторов и всех диффузионных резисторов;


10)    Окисление, нанесение позитивного фоторезиста, совмещение фотошаблон №4 и экспониравание;


11)    Производится травление селективным травителем, удаляется фоторезист. Проводится одностадийная диффузия для получения эмиттеров и подконтактных, сильно легированных коллекторных областей;


12)    Окисление, нанесение позитивного фоторезиста, совмещаем фотошаблона №5 и экспонирование;


13)    Провидение травления под контакты, удаление фоторезиста.


14)    Нанесение фоторезиста и совмещение фотошаблона №6;


15)    Экспонирование;

16)   
Напыление пленки Al для создания металлизации;


17)    Проведение взрывной фотолитографии. Вжигание контактов.

2.     
Расчёт режимов диффузии

Сущность легирования состоит в том, что в полупроводник внедряется легирующая примесь и образует область с определённым типом проводимости. Чтобы получить p-n переход, количество введённой примеси должно быть достаточным, чтобы компенсировать ранее введённую примесь и создать её избыток, тогда тип проводимости полупроводника сменится и образуется p-n переход.

Диффузией называют перенос вещества, обусловленный хаотичным тепловым движением, которое возникает при наличии градиента концентрации. Диффузионный процесс направлен в сторону уменьшения концентрации, а так как скорость диффузии величина конечная, то концентрация обычно убывает от поверхности в глубь.

Для получения полупроводника p-типа проводимости используются элементы 3-й группы таблицы Менделеева: B, In и Al. Для полупроводника n-типа проводимости применяют элементы 5-й группы: P, As и Sb. Выбирают элементы с максимальной растворимостью, с учётом коэффициента диффузии (скорости растворимости). Также выбираются те элементы, которые имеют максимальную диффузию при температуре растворимости.

Наиболее предпочтительными элементами являются:

1)    Бор (В) - для p-типа проводимости;

2)      Фосфор (Р) - для n-типа проводимости.

При получении p-n переходов используют два вида граничных условия:

a)  диффузия из неограниченного источника;

b)      диффузия из ограниченного источника в полубесконечный полупроводник.

Неограниченный источник предполагает такое состояние системы, когда количество примеси, которое уходит из приповерхностного слоя полупроводника в его объём, равно количеству примеси, поступающей в её приповерхностный слой. Неограниченная диффузия представляет собой первый этап диффузии, когда в тонком приповерхностном слое создаётся определённое количество примеси - этап загонки.

Второй этап диффузии из ограниченного источника называется этапом разгонки, в котором вся примесь, введённая в процессе загонки, подвергается разгонке в глубь полупроводника.

Решая закон Фика получаем два закона распределения примеси: на этапе загонки диффузия распределяется по закону интеграла функции ошибок, а на этапе разгонки - по закону Гаусса.

2.1    Расчет режима диффузии скрытого слоя

В данном курсовом проекте для создания скрытого слоя будет использоваться Мышьяк (As). Так как диффузия скрытого слоя осуществляется на глубину 2 мкм, то она будет состоять из двух этапов: разгонки и загонки.

Исходные данные:


Выбираю параметры подложки 300КДБ-10 отсюда удельное сопротивление в подложке , из зависимости удельного сопротивления от концентрации примеси определим концентрацию в подложке (Nподл=0,5·1015 см-3):

По графику зависимости N0 от σ для Si n-типа с гауссовым распределением примеси найдем концентрацию примеси на поверхности (Ns=9·1019 см-3).

Рассчитаем вторую стадию диффузии, этап разгонки. При температуре равной 1205С°:


Рассчитаем первый этап загонки и определим его время при температуре равной 860С°:


Графическая зависимость распределения примеси в скрытом слое показана на рис.2.1.

Рис. 2.1 Распределение примеси в скрытом слое.

2.2    Расчёт режима эпитаксии

Эпитаксия - это наращивание на монокристаллической подложке монокристаллической плёнки определённого типа проводимости.

Требования к процессу эпитаксии:

1)    высокая подвижность атомов на подложке (реализуется за счёт поступления на подложку одиночных атомов, а не групп);

2)      хорошая структура подложки (т.е. перед началом эпитаксии необходимо проводить процесс газового травления).

Основой эпитаксии является химическое осаждение из газовой фазы. При наращивании пленки методом эпитаксии из газовой фазы атомы полупроводника переносятся в составе химического соединения, которое диссоциирует на подложке. При этом происходит перенос реагентов к поверхности кристаллической подложки; адсорбция и реакция реагентов на поверхности; десорбция продуктов реакции из кристалла к основному потоку и упорядочение кристаллизации адсорбированных атомов кремния в решетке.

В настоящее время, в технологии полупроводников для эпитаксиального выращивания кремния, применяется осаждение из газовой фазы при нормальном давлении, например, путем водородного восстановления тетрахлорида кремния. Этот метод обеспечивает достаточную однородность наносимых покрытий и может проводиться при температуре 1150-1250Сº. При условии, что концентрация хлорида в водороде поддерживается на уровне 0.5-1%, а скорость потока газа составляет W=20-60 см в сек, скорость роста эпитаксиальных слоев равна 0.5-1 мкм в минуту. В использованном температурном интервале скорость роста сравнительно слабо зависит от температуры и определяется, главным образом, концентрацией тетрахлорида в водороде.

В данном курсовом проекте для создания эпитаксиальной пленки выберу следующие параметры роста:


Расчет скорости эпитаксии:

1)      Определим скорость потока газа - W;


2)     
Определим границы протекания газа с помощью критерия Пекле;


Так как Ре>>1, то между поверхностью подложки и потоком реагента образуется некий пограничный слой, в котором не меняется температура нагревателя и скорость движения. В этом случае скорость роста эпитаксиальной плёнки определяется выражением:


В данном курсовом проекте выбрана кремниевая эпитаксиальная структура диаметром 100 мм, с толщиной эпитаксиального слоя 3 мкм. Материал эпитаксиального слоя - кремний марки КЭФ (кремний электронной проводимости легированный фосфором) с удельным сопротивлением 0,1 Ом·см. Толщина подложки 300 мкм, подложка из кремния марки КДБ (кремний дырочной проводимости легированный бором) с удельным сопротивлением 10 Ом·см.



2.3    Расчет профиля автолегирования

Так как процесс эпитаксии идёт при высокой температуре и длится 3-10 минут, то при наличии в подложке скрытого слоя происходит процесс автолегирования, т.е. переход примеси из скрытого слоя и подложки в эпитаксиальную плёнку. Автолегирование происходит за счёт твёрдотельной диффузии, за счёт испарения примеси и переноса через газовую фазу в плёнку. Для определения профиля распределения, полученного в результате автолегирования, необходимо решить следующие задачи: во-первых, автолегирование идёт при движении верхней границы и что идёт во всех трёх направлениях; во-вторых, идёт как через твёрдую фазу, так и через газообразную.

Допущения: Учитываем твердофазную диффузию; считаем, что толщина плёнки достаточно велика и до её поверхности примесь не достигает; верхнюю границу плёнки считаем неподвижной.

Так как в подложке имеется скрытый слой, то распределение примеси будет подчиняться закону Гаусса и для его решения необходимо использовать метод сеток. То есть непрерывную область решений заменяют сеткой, представляющей собой дискретное множество точек, которые принадлежат области решения. Диффузионное уравнение заменяется разностной сеткой, при этом необходимо учитывать, чтобы разностная схема была сходимой, то есть, чтобы существовало решение для любой сеточной функции.

Исходные данные для построения профиля автолегирования:


Зададим шаг по оси времени:


Зададим шаг по глубине:

Пусть N2(x) - распределение примеси мышьяка в скрытом слое при автолегировании, а N1(х) - распределение примеси мышьяка в эпитаксиальной плёнке также при автолегировании.


Проверяем условие сходимости:


Построение профиля:


Граничные условия:


Закон Гаусса, описываемый методом сеток:


Рис. 2.2 Профиль распределения примеси мышьяка при автолегировании.

Из полученного профиля распределения примеси видно, что примесь проникает из подложки и скрытого слоя в эпитаксиальную пленку на глубину 0.265 мкм. Поскольку толщина эпитаксиального слоя равна 3 мкм, а глубина база-коллекторного - перехода равна 2.2 мкм, то смещение р-n - перехода и поверхностная концентрация меняются несущественно.

Расчет режимов базовой диффузии

Исходные данные для расчета:


Так как удельное сопротивление в подложке , то по графику зависимости удельного сопротивления от концентрации примеси определим концентрацию в подложке (Nисх = 1017 см-3):


По графику зависимости N0 от σ для Si n-типа с гауссовым распределением примеси найдем концентрацию примеси на поверхности (Ns = 1018 см-3).

Рассчитаем вторую стадию диффузии, этап разгонки. Выберем оптимальную температуру стадии.


Рассчитаем первый этап загонки и определим его время:


Строим профиль распределения:

Рис. 2.3. Профиль распределения примеси бора в базовой области.

2.4    Расчет режимов эмиттерной диффузии

Так как эмиттерная диффузия осуществляется на глубину менее 2 мкм, то она будет проводиться в одну стадию - этап загонки.

а.       Определим исходную концентрацию примеси в базе на глубине эмиттерного перехода


б.      Определим поверхностную концентрацию примеси в эмиттере:


Используя кривые Ирвина [ ] находим поверхностные концентрации:


в.       Определим температуру этапа загонки, коэффициент диффузии фосфора и время этапа загонки:


Используя таблицу функций дополнения интеграла ошибок erfc z [ ], находим значение z:


Принимаем температуру этапа загонки примеси фосфора равной:


Построение профиля распределения примеси в базе и эмиттере


Рис. 2.4. Профиль распределения примесей в эмиттере и базе.

2.5    Уточнение профиля распределения примеси в эмиттерной области

Для уточнения расчёта профиля распределения эмиттерной области проводят разбиение полученного профиля на несколько участков, в каждом из которых коэффициент диффузии усредняют и принимают постоянным.

Принимаем температуру этапа загонки примеси фосфора равной:


а.       Находим коэффициент диффузии на участке III:


б.      Находим коэффициент диффузии на участке II:


Определим Ns** на границе II и III участков при x=x2:


Определим x2:


Определим Ns* на границе II:


Определим x1:


Найдем концентрацию для точки x1 для участка I:


в.       Находим коэффициент диффузии на участке I:


Рассчитаем профиль распределения примеси фосфора для трёх участков.


Рассчитаем суммарный профиль распределения примеси фосфора.


Рис 2.5. Профиль распределения примеси фосфора для трёх участков.

Рис 2.6. Профиль распределения примесей в эмиттере (уточненный) и базе.

3.     
Расчет точности изготовления резисторов

Сопротивление диффузионного резистора R3 определяется по формуле:


Относительную погрешность δσ можно определить, воспользовавшись графиком зависимости поверхностной концентрации от проводимости. Аппроксимируя эту зависимость прямой на участке, включаем заданную поверхностную концентрацию слоя, получим:


а - тангенс угла наклона прямой, ограниченный точками с координатами (σ1 ,N1) и (σ2 ,N2).


Относительная погрешность глубины залегания p-n перехода δx зависит от всех параметров, определяющих xp-n. Выражение для относительной погрешности глубины залегания p-n перехода имеет вид:


Погрешность сопротивления слоя определяется:


Погрешность ширины δb и длины δl резистора определяется точностью обеспечения ширины и длины при диффузии. При локальной диффузии примесь внедряется не только в направлении, перпендикулярном поверхности, но и вдоль поверхности. Принято считать, что боковая диффузия примерно равна глубине залегания p-n перехода. Тогда ширина резистора b=bm+2xp-n, где bm-ширина резистора, полученного в маске SiO2 и xp-n-глубина залегания p-n перехода. Учитывая погрешность изготовления маски и глубины залегания p-n перехода, определим относительную погрешность ширины резистора


Рассчитаем погрешность резистора по длине


Относительная погрешность сопротивления резистора равна


Вывод

В данном курсовом проекте был разработан технологический маршрут изготовления интегральной схемы ТТЛ. Рассчитаны режимы диффузии и эпитаксии, технологическая погрешность изготовления диффузионных резисторов.

Были получены данные:

1)           для получения скрытого слоя производим диффузию мышьяка в две стадии: время загонки составляет 62.358 мин при температуре загонки 1133 К, коэффициент диффузии равен 4.408·10-17 см2/с; время разгонки 57.568 мин при температуре разгонки 1478 К, коэффициент диффузии равен 2.393·10-13 см2/с;

2)      скорость роста эпитаксиальной пленки Vр= 1.379 мкм/мин при температуре 1473 К и скорости потока газа W0= 10 см/с, время роста эпитаксиальной пленки толщиной 3 мкм составляет 2.175 мин;

)        для получения базового производим диффузию бора в две стадии: время загонки составляет 50.702 мин при температуре загонки 1123 К, коэффициент диффузии равен 2.956·10-16 см2/с; время разгонки 55.996 мин при температуре разгонки 1448 К, коэффициент диффузии равен 1.564·10-12 см2/с;

)        для получения эмиттерного слоя производим диффузию фосфора в одну стадию: время диффузии 48.175 мин при температуре диффузии 1353 К, коэффициент диффузии равен 8.857·10-14 см2/с;

)        значение погрешности изготовления резисторов полупроводниковой интегральной схемы составило 6.837 %.

полупроводниковый диффузия резистор эпитаксия

Список литературы

1.      Данилина Т.И., Смирнова К.И. , Илюшин В.А., Величко А.А. "Процессы микро- и нанотехнологий". Томск. 2005г

2.      Maтсон Э.И., Крыжановский Д.В. "Справочное пособие по конструированию микросхем ". М. В.Ш. 1984

Похожие работы на - Технология изготовления интегральной схемы транзисторно-транзисторной логики (ТТЛ)

 

Не нашли материал для своей работы?
Поможем написать уникальную работу
Без плагиата!
Без нейросетей!