Плин магнітної рідини в магніторідинних герметизаторах
Міністерство
освіти і науки України
Сумський
державний університет
Кафедра
загальної механіки і динаміки машин
Курсова
робота
з
курсу«Організація науково дослідницької роботи»
Виконав:Лисицький
О. М.
Група:КМс-32
Перевірив:Гудков
С.М.
Суми
2014
РЕФЕРАТ
Курсова робота: 30 с., 5 рис., 20 дж.
Об'єкт дослідження: магніторідине ущільнення.
Предмет дослідження: плин магнітної рідини в
магніторідинних герметизаторах.
Мета роботи: розглянути як впливає магнітне,
механічне, теплове поля на магніторідинні герметизаторі і розробити підходи до
його моделювання і розрахунку.
Методи дослідження: теоретичні та числові
дослідження магніторідинних ущільнень, комп’ютерне моделювання їх роботи.
У роботі показано, що магніторідинні
герметизатори в яких одночасно існують магнітні, електричні, теплові та
механічні поля і ефекти яких впливають один на одного. Нелінійні анізотропні
плоско паралельні і плоско меридіані, двомірні і тривимірні, магнітне,
електричне та теплове поля, що у МРГ, описуються диференціальними рівняннями
подібних типів. На основі єдиного підходу до моделювання методом кінцевих
різниць і методом кінцевих елементів розроблені узагальнені числові моделі МР
пристроїв герметизації.
У роботі створено системний підхід до числового
моделювання взаємозалежних фізичних полів в магніторідинні системах
герметизації. Запропоновано послідовно - ітераційний і паралельно - ітераційний
алгоритми розрахунку фізичних полів з урахуванням їх взаємного впливу.
Розроблено систему взаємозв'язаного розрахунку з єдиним методологічним
підходом.
МАГНІТОРІДИННЕ УЩІЛЬНЕННЯ, МАГНІТНА РІДИНА,
АНІЗОТРОПНІ, ПЛОСКО ПАРАЛЕЛЬНІ, ПЛОСКО МЕРИДІАНІ, МЕТОДОМ КІНЦЕВИХ РІЗНИЦЬ,
МЕТОДОМ КІНЦЕВИХ ЕЛЕМЕНТІВ, ПОСЛІДОВНО - ІТЕРАЦІЙНИЙ, ПАРАЛЕЛЬНО - ІТЕРАЦІЙНИЙ.
ЗМІСТ
Вступ
1.
Врахування взаємозалежності фізичних явищ в магніторідинних герметизаторах
1.1
Доцільне врахування взаємного впливу магнітних , теплових і механічних полів в
МРГ
1.2
Системний підхід до моделювання взаємозалежних фізичних полів в МРГ
1.3
Деякі кінцеві співвідношення обліку взаємного впливу фізичних полів в МРГ
1.4
Адаптація підходу до блокових послідовно - ітераційного і паралельно -
ітераційного розрахунків
Висновоки
Перелік
посилань
ВСТУП
магнітна рідина герметизатор поле
Нанодисперсного магнітні рідини (МР) являє собою
стійкий колоїдний розчин нанодисперсного магнетика - твердих магнітних
одно-доменних частинок, покритих молекулярним шаром диспергуючої речовини і
зважених в рідині - носії. МР повинна бути стійкою, тобто тверді магнітні
частки не повинні злипатися один з одним, утворюючи агрегати, і випадати в
осад. Для цього діаметр твердих магнітних частинок повинен становити порядку 10
нм. Для порівняння, діаметр молекули водню Н2 дорівнює 0,1 нм. Для виключення
агрегації магнітних частинок їх поверхня покривається захисною оболонкою -
молекулярним шаром поверхнево-активної речовини.
В якості магнітного матеріалу (дисперсної фази)
частіше застосовуються магнетит, карбонильное залізо, нікель, кобальт; в якості
дисперсійного середовища-кремнійорганічні і фтороорганіченої рідини, мінеральні
і синтетичні масла, ефіри, гас, вода, інші рідини. Вид дисперсійного середовища
залежить від призначення МР.
Нанодисперсні МР мають ряд унікальних
властивостей:
вони мають намагніченість і плинність, завдяки
чому течуть в область з більшою магнітною напруженістю Н;
їх намагніченість є функцією напруженості Н і
температуру Т, тому за допомогою Н і Т можна управляти течією нанодисперсного
МР;
Їх в'язкість залежить від напруженості Н, за
допомогою магнітного поля можна регулювати силу в'язкого тертя і момент тертя;
в неоднорідному магнітному полі на немагнітні
тіла, занурені в МР, діє додаткова Архімедова сила;
магнітне поле впливає на електричні, теплові,
акустичні, оптичні та інші фізичні властивості МР.
Поєднання унікальних властивостей нанодисперсних
МР відкрило широкі перспективи для створення нових технічних пристроїв і
технологій в різних областях науки і техніки. До теперішнього часу розроблені і
використовуються різноманітні види магніторідинних пристроїв: магніторідинні
сепаратори для розділення немагнітних матеріалів по щільності, демпфуючих
пристрої, муфти, опори; різного роду датчики; електродинаміки, заповнені МР в
цілях поліпшення охолодження; пристрої з використанням МР для ультразвукової
дефектоскопії; пристрої з магніторідинні мастилом і інше. Нанодисперсного МР
застосовуються в різних технологічних процесах: загартуванню металів, зниженні
гідравлічного опору трубопроводів, очищенню води від нафтопродуктів, фіксації
немагнітних деталей при обробці тощо.
Мета роботи - розглянути як впливає магнітне,
механічне, теплове поля на магніторідинних герметизаторах і розробити підходи
до його моделювання і розрахунку.
Задачі роботи:
Виконати огляд магнітних герметизаторів в яких
одночасно існує магнітне, механічне, теплове і електричне поля.
Розробити числову модель взаємних фізичних полів
в магніторідинні системі герметизації.
Об'єкт дослідження: магніторідине ущільнення.
Предмет дослідження: плин магнітної рідини в
МРГ.
Методи дослідження: теоретичні та чисельні
дослідження магніторідинних ущільнень, комп’ютерне моделювання їх роботи.
Курсова робота складається з вступу, 1 розділу,
висновків та переліку посилань.
У першому розділі описано облік взаємозалежності
фізичних явищ в магніторідинних герметизаторах.
. ВРАХУВАННЯ ВЗАЄМОЗАЛЕЖНОСТІ ФІЗИЧНИХ ЯВИЩ В
МАГНІТОРІДИННИХ ГЕРМЕТИЗАТОРАХ
.1 Доцільне врахування взаємного впливу
магнітних , теплових і механічних полів в МРГ
При аналізі МРГ бажано використовувати системний
підхід, в якому, при прийнятих припущеннях, всі процеси розглядаються в рамках
загальної системи з урахуванням всіх супутніх факторів і їх взаємозв'язків.
Найбільш повна модель МРГ може забезпечити спільне вивчення процесів різної
фізичної природи (теплових, магнітних, силових), їх особливостей і проявів у взаємодії
зв'язку, яка визначається закономірностями об'єкта (принципами роботи,
конструкцією, параметрами), а також керуючими впливами. Це дозволяє розглядати
одночасно всю сукупність різних «внутрішніх» фізичних процесів, що існують в
об'єкті. Системний аналіз може забезпечити результат більший, ніж сума
результатів розгляду окремих незв'язаних завдань.[1]
При реалізації системного аналізу ефективно
використання єдиного методологічного підходу до опису різних по фізичній
природі, але взаємопов'язаних між собою процесів. Такий узагальнений
методологічний підхід до розгляду фізичних полів в електромеханічному
перетворювачі може бути вибраний на основі методу кінцевих елементів.
МРГ є складною системою, яка у собі різні
відбуваються фізичні явища. Виникаючі в МРГ магнітні, теплові та механічні поля
існують і взаємодіють одне - тимчасово. Саме спільне прояв взаємопов'язаних
фізичних процесів - електромагнітних, теплових, силових - формує в підсумку
робочі властивості МРГ і визначає їх функціональну придатність.
Системна модель фізичних полів МРГ дозволить
вирішувати завдання їх проектування на більш високому рівні. Це дає можливість
ще на стадії розробки МЖГ більш точно прогнозувати його показники і управляти
процесом їх формування. Удосконалення конструкцій на основі чисельного аналізу
цих полів дозволяє знизити матеріаломісткість. [2]
Складність обліку взаємозалежності фізичних
процесів в МРГ обумовлює прийняття припущень. Так характеристики МРГ
розраховуються виходячи з магнітних властивостей магнітів і МР при деякій
температурі. При цьому температура часто приймається незалежно від фактичної
температури навколишнього середовища , інтенсивності охолодження. Реальна
температура в різних елементах магії га і МР може виявитися відмінною від
прийнятої. Якщо магнітні і до теплові розрахунки виконуються окремо, це вносить
похибки у визначення магнітного потоку, втрат і розігрівів відповідно.
МРГ містять постійні магніти і МР. Усередині
рідини при русі, внаслідок в'язкості, є зони тепловиділення від низького тертя,
що призводить до підвищення температури. У магнітів NdFeB, що володіють дуже
високими магнітними властивостями, сильна температурна залежність магнітних
властивостей, низька точка Кюрі і відповідно невелика гранична робоча
температура (до 150 °С), що вимагає взаємопов'язаного термомагнітного
розрахунку при використанні їх у МРГ. Крім обліку температури навколишнього и
пологи, при якій працює магніт, при роботі різні точки магніту можуть
перебувати в різних температурних умовах. По масиву магніту виникає перепад температур
через що виділяються в МP втрат і відповідно до умов теплопередачі і
охолодження. Це призводить до того, що кожен елемент магніту має своєї
намагніченістю, залежної як від своєї робочої точки на кривій повернення, так і
від своєї температури. Якщо допустити перепад температур по тілу магніту від
одного до декількох десятків градусів, то виникне додаткова похибка у
визначенні індукції магніту. [6]
Зростання температури знижує намагніченості
постійного магніту і рідини, коефіцієнт теплопровідності, в'язкість і магнітну
проникність рідини. Одночасно намагніченості постійного магніту і рідини ,
магнітна проникність рідини і магнітні властивості сталей залежать від
параметрів магнітного поля. Крім того, величина індукції магнітного поля
магніту в рідині впливає на конструкцію і «жорсткість» вибудовуються ланцюжків
з феромагнітних частинок. Вони визначають значення коефіцієнта теплопровідності
і в'язкості рідини, а значить, і втрати, перетворень в теплову енергію. Форма і
положення магнітної рідини залежать від прикладеної перепаду тиску і
визначаються з розподілу магнітного поля , яке само залежить від положення
рідини. Тобто в МРГ проявляється взаємний вплив магнітних, теплових полів і
механічних напруг. Це підтверджується експериментальними даними, за якими
підвищення температури на кілька десятків градусів призводить до зниження
утримуваного перепаду тиску на 20 - 40 %. Облік температурного режиму МРГ
представляє важливу задачу. [9]
Якщо розглядаються досить жорсткі пристрої
невеликих розмірів, то реальні деформації елементів конструкції під впливом
напруг від електромагнітних зусиль і теплових напружень, внаслідок значущості
модулів пружності матеріалів, малості коефіцієнтів теплового розширення і
невеликих перепадів температур, можуть бути невеликі, і впливом напруг і
деформацій на розподіл температур можна знехтувати. Це дозволяє незалежно
розрахувати поле температур, а потім вже визначити напруження і деформації,
викликані цим полем температур. Інша справа, при використанні рідкого робочого
тіла, наприклад магнітної рідини. У цьому випадку під дією механічних сил
деформація форми може бути значною і вплив цього на інші поля - істотним. Тут
навіть несуттєві окремо взаємні впливи фізичних полів при спільному прояві
можуть призводити до значних ефектів.
Ряд взаємних залежностей фізичних явищ
представляється у вигляді математичних співвідношень і проявляється у впливі
параметрів одного поля на властивості матеріалів і збуджуючі фактори , що
визначають розподіл, іншого поля. Так , взаємозв'язок теплових і магнітних
полів проявляється через члени правих частин рівнянь - збуджуючі фактори.
Аналіз магнітного поля дозволяє обчислити локально по окремих елементах
значення втрат в магнітних матеріалах. При підвищенні температури зростає
питомий електричний опір вихровим струмам. Тому об'ємні питомі втрати в
магнітопроводі , як збудливий чинник теплового поля, є в тому числі і функцією
температури. У діапазоні температур 0 - 200 °С для перевищення температури Т ці
втрати можна визначити як
де СМ - постійна, визначена для конкретного
магнітного матеріалу і заданої частоти перемагнічування при температурі 20 °С;
ζ - 1,01; βСТ - температурний коефіцієнт втрат,
βСТ
= 0,0005 1 / °С.
Зміна цих втрат становить - 0,05% / °С.
Збільшення магнітної індукції В викликає квадратичне зростання втрат в сталі.
Таким чином, розподіл магнітного поля впливає на характер теплового поля.
Теплова потужність Р, що виділяється в
Провідникові, при щільності струму в ньому j визначається законом Джоуля:
Електрична провідність γ
як
параметр, що характеризує розподіл струму в провідниках, залежить від
температури. Так в провідниках в області середніх температур для перевищення
темпера тури Т над температурою 20 °С
де βМ
- температурний коефіцієнт, для міді βМ
= 0,0041 1 / °С;
γ 20 - електрична
провідність при температурі 20 °С.
Розрахункові питомі об'ємні електричні втрати
залежать від щільності струму і температури. Зміна втрат в міді становить
+0,41% / °С. Напруженість електричного поля Е викликає струм провідності j = γЕ.
Втрати від струму провідності
Отже, напруженість електричного поля може
знаходити збудливий чинник теплового поля. Теплопровідність металів
визначається участю вільних електронів в тепло перенесенні. Тому у металів
спостерігається пропорційність між коефіцієнтом теплопровідності і електричну
провідність, залежна від температури. Це співвідношення відбивається законом
Відемана-Франца:
де L - число Лоренца ; Та - абсолютна
температура.
Ряд залежностей наводяться у вигляді графіків.
Для деяких електротехнічних сталей магнітні властивості залежать від
температури, незважаючи на високу температуру точки Кюрі. На рисунку 1.1
приведено сімейство характеристик намагнічування для сталі 3413 уздовж
прокатки, що проводиться при різних температурах, в діапазоні температур (20 -
260) °С. При підвищенні температури відбувається падіння константи магнітної
анізотропії та зменшення індукції насичення. Так при напруженості поля 100 А/м
відбувається зменшення індукції з 1,4 Тл для 20 °С до 1,25 Тл для 260 °С
(на 10,7 %). Тобто температурний коефіцієнт
зміни індукції при цій напруженості становить - 0,0446 % / °С. Процентне зміна
напруженості при заданій індукції більше. Так, для створення індукції 1,8 Тл
при температурі 20 °С потрібно напруженість поля 1200 А / м, а при температурі
260 °С вже 3000 А/м (зміна на 150 %). Температурний коефіцієнт зміни напруженості
для цієї індукції становить 0,625 % / °С. [8]
Існують магнитомягкие аморфні сталі, що
володіють високими магнітними властивостями. Ці властивості зберігаються при
температурах, що не перевищують 125 - 150 °С, що вимагає коректного розрахунку
теплових режимів.
Рисунок 1.1 - Магнітні характеристики стали 3413
уздовж прокатки
Істотна залежність магнітної проникності
пермаллоя 50НП від температури. Так проникність пермаллоя змінюється від 1 о.е.
при температурі 0 °С до 8 о.е. при температурі 500 °С і потім зменшується знову
до 1. Для пресованих порошкоподібних сердечників температурний коефіцієнт зміни
магнітної проникності (ТКЗМ) складає + (0,01 - 0,02)% / °С в діапазоні
температур від - 60 °С до +100 °С.
Рисунок 1.2 - Термомагнітні характеристики
фериту М3000НМС
Залежність магнітних властивостей феритів від
температури (рис. 1.2) велика. Так для фериту M3000HMC при напруженості 700 А/м
і температурі 20 °С індукція становить 0,45 Тл, а при температурі 100 °С вона
дорівнює 0,31 Тл (ТКЗМ = - 0,56% / °С). Індукція насичення феритів знижується з
ростом температури в діапазоні від 20 °С до 120 °С на 20 %. Для деяких феритів
зменшення магнітної проникності в діапазоні температур від - 60 °С до +85 °С
досягає 85 % при температурі точки Кюрі, що не перевищує 120 °С. [11]
Для магнітної рідини ТКЗМ становить -0,071 %
/°С. Намагніченість МР залежить від напруженості Н зовнішнього магнітного поля,
температури Т і може бути описана функцією Ланжевена. Чим більше напруженість
зовнішнього магнітного поля, тим більшою мірою орієнтуються по ньому
феромагнітні частки рідини зі своїми магнітними моментами, підвищуючи тим самим
результуючу намагніченість. З іншого боку, збільшення температури підвищує
теплову енергію частинок, що знижує орієнтованість магнітних моментів часток по
зовнішньому полю і зменшує намагніченість. При заданому зовнішньому магнітному
полі температурне зміна намагніченості МР для рідин з намагніченістю 10 - 100
кА/м при 20 °С становить 0,01 - 0,15 кА/(м °С) , тобто з температурним
коефіцієнтом зміни від - 0,1 до - 0,15 %/°С.
Для високоенергетичних магнітів на основі NdFeB
при зміні температури в інтервалі 20 - 100 °С температурний коефіцієнт зміни
коерцитивної сили
складає - 0,6 %
/°С, а температурний коефіцієнт зміни залишкової індукції βВ
становить - 0,12 % /°С при максимальної робочої температурі магніту 150 °С і
температурі точки Кюрі 310 °С. Це істотно змінює магнітну характеристику
магніту і робочу точку (рис. 1.3). Індукція постійних магнітів на основі NdFeB
може змінюватися з 1,25 Тл при 0 °С до 0,35 Тл при 140 °С, тобто з
температурним коефіцієнтом - 0,5 %/°С. [9]
Для магнітів на основі з'єднання SmCo
температурний коефіцієнт зміни залишкової індукції значно менше і не перевищує
- ( 0,05 ... 0,07 ) %/°С в діапазоні температур від - 60 до +200 °С. При більш
високих температурах індукція різко знижується. Водночас температурний
коефіцієнт зміни коерцитивної сили по намагніченості становить - 0,002 %/°С,
при максимальній робочій температурі 250 °С. Температура
Рисунок 1.3 - Магнітні характеристики магніту
NdFeB при різних температурах точки Кюрі 725 °С.
У феритових магнітів температурний коефіцієнт
зміни залишкової індукції дорівнює - ( 0,05 ... 0,2 ) %/°С. Так , для анізотропного
фериту барію В знижується з 0,43 Тл при температурі - 60 °С до 0,24 Тл при
температурі +200 °С, тобто на 44 % або з температурним коефіцієнтом зміни -0,17
%/°С. [11]
Температурні коефіцієнти зміни залишкової
індукції різних магнітів можуть бути позитивними, негативними і нульовими.
Температурний коефіцієнт зміни коерцитивної сили також може бути як більше, так
і менше нуля і мати різні знаки з температурним коефіцієнтом зміни залишкової
індукції. Так, наприклад, для сплавів ЮНДК24 або 6БІ240 із зростанням
температури індукція магніту знижується, а коерцитивної сила зростає. [5]
У деяких ізоляційних матеріалів відбувається
зниження відносної діелектричної проникності із зростанням температури. У
полістиролу, як і у церезину, вона зменшується з 2,8 при - 50 °С до 2,0 при 100
°С. При цьому низька температура плавлення церезину (залежно від марки 60 - 70
°С) пред'являє високі вимоги до точності розрахунку теплового поля. У
конденсаторної поліпропіленової плівки в тому ж діапазоні температур зниження
становить від 2,4 до 2,0. У стіросіла зниження становить від 3,5 при 20 °С до
+3 при 140 °С. У деяких інших матеріалів відносна діелектрична проникність з
ростом температури зростає . Так у плівки ПЕТФ спостерігається нелінійне
зростання діелектричної проникності від 3,1 до 3,5 в діапазоні температур від -
60 до +150 °С. У електротехнічного фарфору це зростання становить від 10 при 0
°С до +60 при 100 °С. Для деяких матеріалів, наприклад для сегнетоелектриків,
діелектрична проникність залежить і від температури, і від напруженості
електричного поля. Діелектрична проникність титаніту барію при кімнатній
температурі складає 1400, при нагріванні до 80 °С вона збільшується майже в
чотири рази, досягає максимуму і при подальшому нагріванні різко знижується.
Для МP температурний коефіцієнт збільшення відносної діелектричної проникності
може досягати +0,44 % ГС. Тобто температурний коефіцієнт зміни діелектричної
проникності лежить в діапазоні від - 0,19 % /°С у полістиролу до +18 % / °С у
порцеляни .
Зміна температури може викликати зміну пробивної
напруги у діелектриків . Так пробивна напруга для мусковіту знижується з 240
МВ/м при 20 °С до 55 МВ/м при 800 °С, а для міканітів ФФГ з 50 МВ/м при 20°С до
24,8 МВ/м при 220 °С (температурний коефіцієнт зміни -0,25%/°С). Тому для
визначення електричної міцності виробу за результатами розрахунку електричного
поля необхідний розрахунок і теплового поля. [9]
Напруженість електричного поля викликає
збільшення теплофізичних властивостей матеріалів, зокрема у діелектриків. Так,
теплопровідність олеїнової кислоти, що застосовується при виробництві МР,
зростає з 0,19 Вт/(м
°С) при відсутності
електричного поля до 0,27 Вт/(м
°С) при
напруженості 1,5 МВ/м, то є на 42 %. Коефіцієнт тепловіддачі при накладенні
електричного поля 2,4 МВ/м для рідких діелектриків збільшується на 30 %.
Діелектрична проникність у МР зростає до 50 %
при накладенні магнітного поля напруженістю в 800 кА/м. Водночас електрична
міцність магнітної рідини знижується з 4 до 3 МВ/м при збільшенні магнітного
поля з 0 до 500 кА/м.
В'язкість МР росте по статечному закону з
накладенням магнітного поля внаслідок посилюючого взаємодії феромагнітних
частинок. Так в'язкість збільшується в 2,5 рази при переміщенні МР із зони
відсутності магнітного поля (0,05 Тл) в зону магнітного поля з індукцією 0,35
Тл, тобто зміна в'язкості пропорційно індукції в ступені 0,5. [5]
При накладенні магнітного поля в МР шикуються
ланцюжки з феромагнітних частинок і теплопровідність рідини в напрямку дії поля
зростає до 15 %. Термомагнітна конвекція, що виникає при використанні МР як
охолоджувальної середовища в теплообмінниках об'єктів електромеханіки з
наявністю магнітного поля, наприклад, трансформаторів, дозволяє підвищити
коефіцієнт тепловіддачі порівняно з вільною конвекцією немагнітного теплоносія
і знизити максимальну температуру обмотки трансформатора на 17 %. Коефіцієнт
тепловіддачі об'єкта з такою охолоджувальною рідиною залежить від індукції
магнітного поля. Додатковий вплив електричного поля також змінює коефіцієнт
тепловіддачі у такого об'єкта.
Механічні напруги в конструктивних елементах МРГ
викликаються також і термонапруженої, внаслідок різного терморозширений
елементів у поле температур. Механічні напруги призводять до деформацій
конструктивних елементів, що викликає перерозподіл інших полів (магнітних,
електричних). Отже, параметри магнітного, електричного та теплового полів
взаємопов'язані з параметрами поля механічних зусиль і деформацій.
Більш складне завдання виникає при дослідженні
взаємно впливаючи нестаціонарних фізичних полів, коли для кожного моменту часу
характерна своя конфігурація розрахункової області, свої електромагнітні
параметри і зусилля, свій температурний режим. [2]
.2 Системний підхід до моделювання взаємозалежних
фізичних полів в МРГ
Взаємозв'язок фізичних полів і явищ у МРГ
обумовлена законом збереження енергії. Кожна зі складових у рівнянні
енергетичного балансу може бути визначена з розподілу своїх потенційних функцій
у розглянутій області , в якій одночасно існують магнітне, електричне, теплове
поля і поле механічних напруг і деформацій. [2]
Щодо z - складової векторного магнітного
потенціалу А прирощення запасеної енергії магнітного поля ∆WM для
лінеарізованої моделі в двовимірної постановці завдання на одиницю довжини
третьої координати
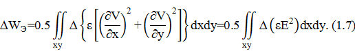
Для скалярного електричного потенціалу V
прирощення запасеної енергії електричного поля
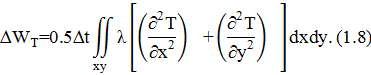
Виділювана за час ∆t теплова енергія
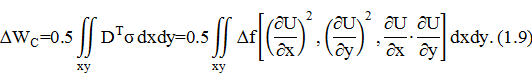
Прирощення запасеної енергії в силовому
механічному поле ∆WC визначається по зміні деформацій або вектора
переміщення:
Електромагнітна сила може також визначатися
через поле розподілу поверхневих механічних напруг, що розраховуються
безпосередньо з результатів аналізу магнітного поля. [8]
Для конкретного об'єкта характерні свої значення
ν,
ε,
λ,
модуль пружності Y і коефіцієнт Пуассона Г, а також свої розподілу потенційних
функцій А, V, Т і U з поточними координатами х і у. Розподіл цих функцій
виходить в результаті мінімізації відповідних енергетичних функціоналів полів
магнітного QМ, електричного QЭ, теплового QT і механічного - силового QC, що
залежать від властивостей середовища, заданої щільності струму j і
намагніченості М, щільності електричного заряду ρ,
об'ємної Р та поверхневої PG питомих потужностей джерел теплоти, прикладених масових,
поверхневих і термопружних зусиль або напружень σ,
визначених граничних умов і характеризуються в тому числі коефіцієнтом
тепловіддачі α. [2]
Нелінійні властивості параметрів поля
проявляються у впливі одних характеристик поля на інші характеристики того ж
поля. Так досить часто спостерігаються залежності:
ν = f(B) , j = f(B) і М =
f(B) - для магнітного поля;
ε = f(E) і ρ
= f(E) - для електричного поля;
Р = f (T + Toc ), α
= f(T+Toс) і α = f(T+Tоc) - для теплового
поля;
U = f(σ) - для поля механічних
зусиль .
При взаємовплив полів в загальному випадку можна
припустити існування додаткових нелінійних залежностей :
σ = f(T+Toс,В); В, Е,
T+Toс=f(U); ν =f(E, T+Tоc);=f(E,
T+Tоc); M=f(E, T+Tоc); ε =f(B,
T+Tоc);
ρ =f(B, T+Tоc); P=f(E,
B, j); λ=f(E,
B); α=f(E,
B).
Взаємні залежності можуть бути враховані за
допомогою представлення їх у вигляді зворотних зв'язків, що визначаються за
результатами розрахунку взаємно вливаючи полів (температури, магнітних і
електричних параметрів, зміни конфігурації тіл внаслідок деформацій і т.д.). Ці
взаємовпливу можна
Рисунок 1.4 - Взаємовплив фізичних полів
представити у вигляді рисунку 1.4. Безумовно,
деякі з цих залежностей можуть бути відсутні, бути несуттєвими або мати досить
обмежений характер використання в МРГ. Однак при спільному прояві вони можуть
призводити до значних ефектів і повинні враховуватися при аналізі процесів.
[11]
Якщо розглядаються нелінійні і взаємозалежні як
за властивостями середовищ, так і по збудливим факторам поля: магнітне,
теплове, електричне і механічне, то можна вважати, що розподіл одних
потенційних функцій впливає на розподіл інших потенційних функцій:
А = f(V,T+Toс,U);
V = f(A,T+Toс,U); T+Toс
= f(A,V, U); U = f(A,T+Toс).
У цьому випадку при звичайно - елементному
моделюванні необхідна взаємно ув’язана мінімізація енергетичних функціоналів
всіх полів QM , QЭ,
QТ і QС.
Завдання
стає
багатокритеріальною.
Один з можливих підходів до її вирішення полягає
в переході до одно критеріальної мінімізації узагальненої функції F,
складеної з цих функціоналів. При лінійних зв'язках функціоналів можливе
визначення F в аддетивном вигляді. Але ці взаємні зв'язки не завжди лінійні, і
тому функція Лагранжа повинна містити крім суми вкладів різних полів добавку,
що враховує вплив одного поля на інше. У цьому випадку виникає завдання
визначення цієї добавки. Крім того F, складена простим підсумовуванням
функціоналів, не забезпечує одночасну мінімізацію їх при різних знаках
функціоналів. [11]
Можливе використання F, складеної з зростаючих і
позитивних функцій від «енергетичних» функціоналів, із введенням для кожного
функціоналу свого вагового коефіцієнта. Наприклад, функції, складеної з суми
квадратів функціоналів:
Але така функція F не має коректного фізичного
сенсу. У зв'язку з цим використання однієї загальної функції розглядатися не
буде, і мінімізувати всі функціонали будуть системно.
Цьому відповідає необхідність одночасного
виконання умов
де fM, fЭ fT, fC - нев'язкі, суть
нездійсненність закону повного струму, рівнянь теплового, електричного або
силового балансів . [11]
Один з можливих підходів до вирішення такого
завдання полягає в системному досягненні здійсненності нульових неув’язок з
використанням ітераційного методу, наприклад методу Ньютона для вирішення
безпосередньо системи мінімізуємо функціоналів. Системний підхід до розрахунку
чотирьох фізичних полів призводить до необхідності взаємопов'язаного вирішення
п польових рівнянь. Число рівнянь п залежить від виду використовуваних
потенційних функцій і розмірності розглянутої задачі. Так при розрахунку
тривимірного магнітного поля через комплексний векторний магнітний потенціал
для шести складових потенціалу (три осьові проекції реальною і три осьові
проекції уявної частин) необхідна запис уже шести рівнянь. Тобто при
використанні такого виду потенційних функцій для розрахунку чотирьох полів n
може досягати 24. При розрахунку тривимірних магнітного та силового полів через
векторні, а електричного і теплового полів через скалярні функції n становить
вісім. Для розрахунку двовимірної задачі (х , у) чотирьох полів через одну
складову векторного магнітного потенціалу А, скалярний електричний потенціал V,
скаляр - перевищення температури Т над температурою навколишнього середовища
ТОС і дві складові вектора вузлових переміщень Ux, Uy п становить п'ять. Цей
випадок і розглядатиметься. [5]
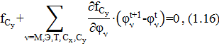
При використанні методу Ньютона для розв'язання
системи n рівнянь вибирається початкове наближення
для
1 = М, Э, Т, Сх, Су ; Фі = А, V, Т, Ux, Uy. Потім знаходяться послідовні
наближення
для номера
ітерації t шляхом вирішення системи лінеарізованих рівнянь для I = м, е, т, cx,
су.
або в системному вигляді




де значення f1 і похідних
беруться
при
.
У кожному з рівнянь присутній n невідомих
потенційних функцій φ , а також
похідні від 1 -й неув’язки по всім потенційним функціям .
Рішення системи нелінійних рівнянь порядку п
методом Ньютон - Рафсона призводить до необхідності неодноразового рішення щодо
Л < р (збільшень шуканих функцій) системи лінеарізованних рівнянь,
записуваних в матричному вигляді:
стовбців під
матриці і N строк під матриці

Так як розглядаються різні поля для одного
об'єкта, то може бути використана одна спільна звичайно - елементна модель.
Тому для розрахунку чотирьох полів складаємо єдину конечно - елементною сітку
перетину електротехнічного пристрою, причому кожному елементу з номером L із
загальної кількості Е відповідають свої νL,
εL
λL,
модуль пружності YL, а кожному k-му з її N вузлів свої Ak Vk, Тk, Uxk і Uyk.
Загальна система нелінійних алгебраїчних рівнянь зростає в N раз, і її порядок
становить
.
Тоді fM, fЭ, fT, fcx, fcy, ∆A, ∆V, ∆T,
∆UX, ∆Uy - вектор - стовпці розміру N. Загальна матриця Якобі
складатиметься з (
) під матриць
.
Тобто загальна матриця Якобі має розмір
елементів.
Кожна підматріца, що характеризується
конкретними 1 і φ,
складається з
приватних похідних
,
для l = М, Э, Т, Сх, Су; φ - А, V, Т,
Ux, Uy; k = l, 2, ... N і m = 1, 2, ... N - номерів вузлів.
Під матриці, розташовані на головній діагоналі,
характеризують окремі поля або їх складові, а поза головної діагоналі - ступінь
взаємовпливу полів і в загальному випадку всі під матриці не нульовий .
Так, наприклад, під матриця впливу магнітного
поля на теплове поле представляється у вигляді приватних похідних від неув’язки
виконання рівняння теплового балансу у вузлі k - fТk по векторному магнітному
потенціалу у вузлі m - Аm (k = 1, 2.... N і m = l, 2,... N).
При оптимальній нумерації вузлів під матриці є
позитивно певними, найчастіше симетричними, слабо заповненими і стрічковими з
шириною стрічки Llv. Тут 1 = М, Е, Т, Сх, Су; ν
= М, Е, Т, Сx, Су. Наприклад, вищенаведена матриця може бути представлена як
узагальнена матриця, вигляд якої показаний праворуч. [11]
При відрізняється нумерації вузлів однієї сітки
для різних полів ширина стрічок у різних під матриць відрізнятимуться. Тобто,
наприклад,
. Хоча нерідко самі
під матриці є симетричними, загальна матриця Якобі в цілому становиться
несиметричною, так як, наприклад,
Стрічковий характер загальна матриця Якобі
практично втрачає, крім стрічки біля головної діагоналі з'являються додаткові
стрічки , віддалені від неї на величину, кратну N. [3]
.3 . Деякі кінцеві співвідношення обліку
взаємного впливу фізичних полів в МРГ
Отримаємо співвідношення обліку термомагнітних
властивостей постійного магніту. Нехай задані для постійного магніту βВ
- температурний коефіцієнт зміни залишкової індукції, βН
- температурний коефіцієнт зміни коерцитивної сили по індукції і відома
залежність Мd15= f(Bd15) при температурі 15 °С. [9] Будемо вважати, що магнітна
проникність магніту не залежить від температури і дорівнює μ0.
Вид залежності між намагніченістю, магнітною індукцією і напруженістю магніту
зберігається:
Якщо прийнято
то намагніченість постійного магніта при
температурі
для
може
представити як
де HcB15 - відома коерцитивної сила по індукції
постійного магніту при температурі 15 °С.
Таким чином, намагніченість постійного магніту
при тим - пературі 15 °С визначається за вже відомою залежності для
і
через розраховані складові індукції по осях легкого і важкого намагнічування
магніту при поточній температурі
.
[8]
Таким же чином можуть бути визначені приватні
похідні:
урахуванням складові результуючих деформацій і
напруг, які характеризують механічну міцність об'єкта. Визначаються нова
конфігурація розрахункової моделі і нові значення координат вузлів кінцево -
елементної сітки, що призводить до зміни магнітного, електричного та теплового
полів.
Якщо залежності дано у вигляді графіків, то для
визначення приватних похідних по взаємозалежним полях можуть використовуватися
апроксимація кривих, інтерполяції між двома сусідніми залежностями і чисельне
диференціювання. [9]
.4 Адаптація підходу до блокових послідовно -
ітераційного і паралельно - ітераційного розрахунків
Так як загальна матриця Якобі декількох
взаємозалежних полів втрачає стрічковий характер і стає несиметричною,
застосування ефективних методів зберігання в оперативній пам'яті і обробки її
при вирішенні системи лінійних рівнянь , як , наприклад , методом Холесского,
стає неможливим. Рішення такої системи прямим методом можливо тільки методом
Гауса із зберіганням повної матриці Якобі, що різко знижує для поширених ПК
число вузлів сітки. Один з виходів полягає в штучному симетрування загальної
матриці Якобі або навіть відкиданні під матриць, що знаходяться не на головній
діагоналі. Не зовсім точне завдання елементів матриці Якобі або нехтування її
деякої не симетрією дозволяє використовувати ефективні процедури її збереження
та обробки, а також скоротити обчислювальні ресурси. Однак це погіршує
збіжність методу Ньютона, оскільки прирости визначатимуться неточно. Водночас
якщо рішення досягнуто, то воно коректно, так як остаточний результат
провіряється по здійсненності балансних рівнянь. При цьому для досягнення тієї
ж точності може виявитися легше, швидше і з меншими витратами оперативної
пам'яті зробити 2-4 зайві ітерації в методі Ньютона, витрачаючи на кожну
ітерацію в 4 - 5 разів менше часу при використанні штучно симметрированої
загальної матриці Якобі, ніж виконати менше число ітерацій рішення, але
обробляти і зберігати коректну, але несиметричну матрицю Якобі з великими
вимогами до оперативної пам'яті. У такому випадку рішення можливо поблочно для
різних під матриць, в тому числі і для діагональних під матриць (для окремих
полів), і в неврахуванні впливу при прямому вирішенні на даній ітерації
похідних від даного поля по інших полях. У цьому випадку під матриці, які є
симетричними, стрічковими і позитивно певними, будуть оброблятися окремо. Тому
можна використовувати ефективні методи їх розкладання. При цьому
організовується зовнішній уточнююче ітераційний цикл. Облік взаємних
залежностей між різними полями виконуватиметься опосередковано на зовнішніх уточнюючих
ітераціях, за результатами розрахунку взаємозалежних полів. З іншого боку, при
поблочний вирішенні взаємно вливаючи завдань можливе погіршення збіжності
рішення загальної системи може призводити до розбіжних ітераційного процесу, і
прагнучи виграти у швидкості рішення і необхідних обчислювальних ресурсах, ми
можемо не отримати рішення взагалі. [9]
Пропонується використовувати поблочний підхід,
що полягає у тому, що неув’язки f [формуються з урахуванням впливу полів один
на одного, але при реалізації роботи алгоритму методу Ньютона зберігаються
доданки лише при 1=v :
де 1 = М, Э, Т, Сх, Су і φ
= А, V, Т, Ux, Uy.
Таким чином, рішення виконуються для систем
лінеаризованих рівнянь конкретного поля. Це не призводить до повного розпаду
загальної системи на п незалежних систем рівнянь, оскільки доводиться
коригувати по взаємозалежним системам величини неув'язок на зовнішніх ітераціях
рішення загальної системи. Тут необхідність збереження в пам'яті зовнішніх
ітераціях рішення загальної системи. Тут необхідність збереження в пам'яті ПК
стосується лише масивів невідомих Am, Vm, Тm, Uxm, Uym, або похідних від них
(індукція, напруженість). Польові завдання стають пов'язані мінімальним чином,
і це оплачується гіршій сходження ітераційного процесу. Але якщо рішення по
здійсненності балансних рівнянь досягнуто, то все взаємозалежності в ньому
будуть враховані і виконані. Такий ітераційний процес досягнення рішення може
реалізовуватися як послідовно-ітераційний і паралельно-ітераційний. При
послідовно-ітераційної схемою рішення загальної системи досягається зовнішнім
циклічним перебором рішень польових систем (перебором польових задач) (рис.
3.5). [11]
При цьому кожна окрема система вирішується
ітераційного методом Ньютона з лінеаризацією в межах ітерації і використанням
прямого рішення СЛАР методом Холесского. Додатково на кожній ітерації методу
Ньютона здійснюється вкладений ітераційний цикл за визначенням оптимального
коефіцієнта демпфірування. Ітераційний процес методу Ньютона при вирішенні
черговий системи припиняється після досягнення або заданої похибки, або
максимального числа ітерацій Imax. Як правило, збіжність вирішення різних
Рисунок 1.5. - Послідовно-ітераційна схема
рішення
систем різна, для однієї з них задана похибка
досягається раніше за інших. Тоді в наступному циклі дана система проходить
менше число ітерацій розрахунку. Тому для кожної польової задачі може бути
задане свою кількість внутрішніх ітерацій. Критерієм закінчення повторення
циклів перебору завдань є досягнення заданої похибки для всіх п систем, яке
забезпечується при виконанні 1в зовнішніх уточнюючих ітераціях. Навіть при
розрахунку взаємно впливають, але лінійних польових задач рішення загальної
системи при аналогічному поблочний циклічнім розрахунку окремих завдань буде
досягнуто при числі циклів
не менше 2.
Відомо, що для вирішення загальної , але лінійної системи методом Ньютона
потрібно одна Ітерація. [10]
Якщо є комп'ютерна мережа, яка об'єднує кілька
ПК, з розподіленою обчислювальною потужністю або багато процесорна ЕОМ, то
можливо проводити Поблочні паралельні обчислення різних полів на окремих
процесорах при
зовнішніх
уточнюючих ітераціях.
Так як звичайно-елементна сітка єдина, то
структура балансних рівнянь для одного і того ж вузла буде однакова для всіх
полів. Це стосується числа членів в рівнянні і їх розташування, так як k-й
вузол сітки має однаковий набір зв'язків та оточуючих його трикутників для всіх
полів. Для різних полів будуть відрізнятися тільки абсолютні значення членів
рівняння. Системи рівнянь різних полів будуть подібні і час виконання однієї
ітерації у різних процесорів, що обробляють різні поля, буде приблизно
однаковим, що важливо для ефективної роботи багатопроцесорних ЕОМ, оскільки
виключається «простий» частини процесорів через не синхронності закінчення їх
роботи. На кожному процесорі в одне і теж час проводиться декілька ітерацій
розрахунку свого поля або його складової. Коригування властивостей матеріалів і
збуджуючих факторів по взаємозалежності проводиться на зовнішніх ітераціях
після деякого, але однакового для різних полів , числа внутрішніх ітерацій I
методу Ньютона. Схему рішення можна назвати паралельно-ітераційної. [9]
При наявності додаткових процесорів легко
додаються поля, причому чим більше полів, тим більше виграш у часі рахунки в
порівнянні з послідовно-ітераційним поблочний рішенням на одно процесорних ЕОМ.
Схема організації обчислювального процесу рішення нелінійних задач на
паралельних процесорах може бути виконана за схемами «труба» (послідовно -
ітераційне) і «фермер» (паралельно - ітераційне). [10]
ВИСНОВКИ
У магніторідинному герметизаторі одночасно
існують магнітні, електричні , теплові та механічні явищі, поля і ефекти яких
істотно впливають один на одного. Нелінійні анізотропні плоско паралельні і
плоско меридіані двомірні і тривимірні магнітне, електричне та теплове поля, що
у МРГ, описуються диференціальними рівняннями подібних типів. На основі єдиного
підходу до моделювання методом кінцевих різниць і методом кінцевих елементів
розроблені узагальнені чисельні моделі МР пристроїв герметизації. Розроблено
формована параметрически звичайно-елементна модель герметизатора .
Розроблений метод звичайно - елементного
моделювання герметизаторів з постійними магнітами , як нелінійних анізотропних
джерел магнітного поля , враховує термо залежні і розподіл намагніченості по
перетину магніту, здійснює автоматичне знаходження нетотожних робочих точок
різних частин магніту , що дозволяє відмовитися від додаткових ітерацій при
розрахунку магнітного поля.
Сформульовано системний підхід до чисельного
моделювання взаємозалежних фізичних полів в магніторідинні системах
герметизації. Отримано кінцеві співвідношення для аналізу взаємопов'язаних
полів. Запропоновано послідовно - ітераційний і паралельно - ітераційний
алгоритми розрахунку фізичних полів з урахуванням їх взаємного впливу .
Розроблено систему взаємозв'язаного розрахунку з єдиним методологічним підходом
і стандартизованим інтерфейсом на загальній звичайно - елементної моделі взаємо
- впливають двомірних магнітних , електричних і теплових полів , з можливістю
інтегрування в системи розробки конструкції.
ПЕРЕЛІК ПОСИЛАНЬ
Казаков,
Ю.Б. Усовершенствованные наномагнитожидкостные герметизаторы / Ю.Б. Казаков,
С.М. Перминов // Вестник ИГЭУ. - 2006. - № 3. - С. 31 -32.
Лойцянский,
Л.Г Механика жидкости и газа / Л.Г\ Лойцянский. - М.: Наука, 1987.-840 с.
Магнитные
жидкости в машиностроении / Д.В. Орлов [и др.]. - М.: Машиностроение, 1993. -
272 с.
Михалев,
10.0. Методы исследований и испытаний магнитожидкостных электромеханических
устройств: учеб. пособие / 10.0. Михалев; Иван. гос. энерг. ун-т. - Иваново,
2001. - 124 с.
Морозов,
H.A. Анализ положения магнитной жидкости в рабочем зазоре магнитожидкостного
герметизатора / Н.А. Морозов, Ю.И. Страдомский, Ю.Я. Щелыкалов // 11-я
Международная ГІлес- ская конференция по магнитным жидкостям. Сентябрь, 2004,
Плес, Россия: сб. науч. тр. - Иваново, 2004. - С. 305 - 308.
Гіирсол,
И. Кавитация / И. Пирсол. - М.: Мир, 1975. - 94 с.
Розенцвецг,
Р. Феррогидродинамика / Р. Розенцвецг. - М.: Мир. 1989.-356 с.
Способ
получения феррожидкости: а.с. СССР №456666 / Е.Е. Бибик, И.С. Лавров //
Открытия, изобретения, пром. образцы, товар. знаки. - 1975.-№3.- С. 52.
Страдомский,
Ю.И. Основы феррогидродинамики: учеб. пособие/ Ю.И. Страдомский; ГОУВПО
«Ивановский государственный энергетический университет». - Иваново, 2004. - 108
с.
Такеоми,С.
Магнитные жидкости : пер. с яп. / С. Такеоми, С. Та- кидзуми; под ред. В.Е.
Фертмана. - М.: Мир. 1993. - 272 с.
Фертман,
В.Е. Магнитные жидкости - естественная конвекция и теплообмен / В.Е. Фертман. -
Минск: Наука и техника, 1978. - 177 с.