Оценка инструментальных погрешностей при экспериментальных исследованиях
Задание
1. Построить в соответствии с исходными
данными в линейном масштабе график исследуемого сигнала и произвести его
аналитическое описание.
2. Найти пиковое Um,
среднее Uср,
средневыпрямленное Uср.в
и среднеквадратическое U
значения напряжения наблюдаемого сигнала.
3. Произвести аналитическое описание
переменой составляющей сигнала и построить ее график в том же масштабе, что и
график исходного сигнала, и сравнить их.
4. Найти пиковое
, среднее
,
средневыпрямленное
и
среднеквадратическое
значения
напряжения переменной составляющей заданного выходного сигнала.
. Определить коэффициенты
амплитуды Ka, формы Kф и усреднения
Kу всего
исследуемого сигнала и коэффициенты амплитуды
, формы
и
усреднения
его
переменной составляющей.
. Найти показания вольтметров
с различными типами преобразователей с закрытым (З) или открытым (О) входом в
соответствии с заданием, если вольтметры проградуированы в среднеквадратических
значениях для гармонического сигнала.
. Оценить пределы допускаемых
абсолютной и относительной погрешностей (расширенных неопределенностей)
показаний вольтметров, определенных в пункте 6 задания, если используемые
измерительные приборы имеют класс точности g
и конечное значение шкалы (предел измерения) Uк.
8. Оформить результаты измерений напряжения
вольтметрами в соответствии с нормативными документами в двух вариантах: 1) с
указанием границ абсолютной погрешности (расширенной неопределенности); 2) с
указанием границ относительной погрешности, если измерения проведены в
нормальных условиях.
Исходные данные:




UV1
- СВ,О
UV2
- ПВ,З
UV3
- КВ,З
UV4
- КВ,О
Решение:
) Цель:
Построить в линейном масштабе график исследуемого сигнала и произвести его
аналитическое описание
Рисунок 1
Сигнал можно описать следующим образом:
u(t)=
1. Найдем коэффициенты первой линейной функции
a=
;
2. Найдем коэффициенты второй линейной функции
Таким образом,
аналитическое описание сигнала имеет вид:
2) Цель: Найти пиковое Um,
среднее Uср,
средневыпрямленное Uср.в
и среднеквадратическое U
значения напряжения наблюдаемого сигнала.
a) Пиковое значение
напряжения - максимальное значение напряжения сигнала за период T:
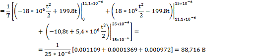
б) Среднее значение напряжения определяется
формулой:
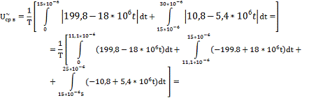
в) Средневыпрямленное значение напряжения -
среднее значение модуля напряжения сигнала за период T:
г) Среднеквадратическое значение напряжения -
среднеквадратическое значение напряжения сигнала за период T:
3) Цель: Произвести аналитическое описание
переменой составляющей сигнала и построить ее график в том же масштабе, что и
график исходного сигнала, и сравнить их.
Переменную составляющую сигнала найдем по
формуле:
Рисунок 2
График переменной составляющей сигнала смещен по
оси напряжения на размер среднего значения напряжения
Найдем точки, в которых функция обращается в 0
)
)
4) Цель: Найти пиковое
, среднее
,
средневыпрямленное
и
среднеквадратическое
значения
напряжения переменной составляющей заданного выходного сигнала.
a) Пиковое
значение напряжения
б) Среднее значение напряжения
в) Средневыпрямленное значение напряжения

5) Цель: Определить коэффициенты
амплитуды Ka , формы Kф и
усреднения Kу всего
исследуемого сигнала и коэффициенты амплитуды
, формы
и
усреднения
его
переменной составляющей.
1) Весь сигнал
Коэффициент амплитуды
Коэффициент формы
Коэффициент усреднения
Проверим правильность вычислений из условия:
2) Переменная составляющая сигнала
Коэффициент амплитуды
Коэффициент формы
Коэффициент усреднения
Проверим правильность вычислений из условия:
6) Цель: Найти показания вольтметров с
различными типами преобразователей с закрытым (З) или открытым (О) входом в
соответствии с заданием, если вольтметры проградуированы в среднеквадратических
значениях для гармонического сигнала.
а) Показание вольтметра с преобразователем
средневыпрямленных значений с открытым входом
где
коэффициент
формы гармонической формы сигнала
б) Показание вольтметра пикового значения с
закрытым входом:
где
в) Показание вольтметра с преобразователем
среднеквадратических значений с закрытым входом
Показания вольтметра с преобразователем
среднеквадратического значения равны среднеквадратическому значению сигнала
г) Показание вольтметра с преобразователем
среднеквадратических значений с открытым входом
Показания вольтметра с преобразователем
среднеквадратического значения равны среднеквадратическому значению сигнала
) Цель: Оценить пределы допускаемых абсолютной и
относительной погрешностей (расширенных неопределенностей) показаний
вольтметров, определенных в пункте 6 задания, если используемые измерительные
приборы имеют класс точности g и конечное значение шкалы
(предел измерения) Uк,
указанные в исходных данных.
Предел допускаемой абсолютной погрешности:
где
- предел
допускаемой основной приведенной погрешности, равный классу точности
- нормирующее
значение, равное верхнему пределу измерения
Предел допускаемой относительной погрешности для
каждого показания:
8)Цель: Оформить результаты измерений напряжения
вольтметрами в соответствии с нормативными документами
=0,997 Условия
измерений нормальные
сигнал погрешность вольтметр
амплитуда
Список литературы
1. Запасный И.Н., Сметанин В.И.
Методические указания по выполнению индивидуального задания по курсу метрология
стандартизация и сертификация - Н.: Связь, 2012 - 38 с.
. Горлов Н.И., Запасный И.Н.,
Сметанин В.И. Оценка инструментальных погрешностей при экспериментальных
исследованиях. - Н.: Связь, 1995. - 27с.