Осцилятор терагерцового діапазону на основі надрешітки AlAs/GaAs
МІНІСТЕРСТВО ОСВІТИ І НАУКИ
УКРАЇНИ
СУМСЬКИЙ
ДЕРЖАВНИЙ УНІВЕРСИТЕТ
КАФЕДРА
НАНОЕЛЕКТРОНІКИ
ОДЗ
із
дисципліни «Дисципліна індивідуальної підготовки»
на
тему
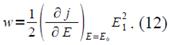
Осцилятор
терагерцового діапазону на основі надрешітки AlAs/GaAs
Виконав:студент
групи ФЕ.м-41
Пурига
О.О.
Перевірив:Кривець О.С.
Суми-2014
ВСТУП
Сучасна наука не стоїть на місці. Потреба у дослідженні все
більшого і більшого числа об’єктів формує потребу у специфічних джерелах
коливань. Однією з таких потреб є джерела терагерцового діапазону. Дане
випромінювання цікаве тим що:
· Дає можливість вивчення біологічних
об’єктів.
· Просвічує діелектрики.
· Не впливає на структуру
досліджуваного об’єкту (на відміну від рентгенівського випромінювання).
· Не іонізує середовище.
· Добре поглинається металами.
Терагерцове випромінювання належить проміжку
Гц. Спектр частот лежить між ІЧ та
НВЧ.
Одним за приладів, що здатен генерувати випромінювання в
терагерцовому діапазоні - напівпровідникова структура GaAs/AlAs. Вона примітна тим що має
параметричну дію (тобто здатність легко підстроювати частоту вихідного
коливання без зміни геометричних параметрів решітки). Це дає можливість вивчати
об’єкти з використанням набору довжин хвиль. Фіксований множник частоти дає змогу
точно спрогнозувати поводження вихідного коливання.
Отримують дану структуру методом електронно-променевої
епітаксії, що дає можливість отримати якомога більшу чистоту зразків та
варіативну товщину шарів. Структура приладу заснована на комбінації шарів AlAs, GaAs. Це дає змогу отримати чергування
ширини заборонених зон, що і обумовлює поводження структури.
Співвідношення розмірів шарів AlAs та GaAs дає можливість налаштувати прилад на
потрібне помноження вхідної частоти накачки для отримання потрібної довжини
хвилі на виході.
Загальна
характеристика терагерцового випромінювання
Терагерцове випромінювання отримується досить важко. Існує
так званий терагерцовий провал. Однією з задач сьогодення є подолання
террагерцового провалу. Тож основне завдання - отримання нових джерел
терагерцового випромінювання.
Спектр частот лежить у межах
. Уявлення про положення даного
діапазону представлено на рисунку 1.
Рис. 1. Загальний вигляд повного спектру частот.
Ця ділянка електромагнітного спектра довгий час залишалася
практично неосвоєна - в сенсі проведення спектроскопічних досліджень та
ефективного практичного використання. Причин появи такого «терагерцового
провалу» було досить багато.
Найважливіша з них полягає в тому, що терагерцове
випромінювання має дуже «незручну» довжину хвилі. Співмірна з розмірами деталей
спектрометра чи іншого приладу довжина хвилі не дозволяє застосовувати ні
звичайні елементи оптичних схем, ні звичні радіофізичні антени або хвилеводи.
Лише за останні десятиліття вдалося розробити досить ефективні методи
терагерцової спектроскопії - методи, до яких часто застосовують додаток
«квазіоптичні».
терагерцовий напівпроводниковий надрешітка
осцилятор
Рис. 2. Терагерцовий провал.
Оптична система представляє собою надтонкі шари пластику,
тефлону або інших прозорих у терагерцовому спектрі матеріалів. На відміну від
радіо та НВЧ діапазонів, де зв’язок виконується за допомогою дротів або хвилеводів
тут використовують точно зафіксовані елементи класичної оптики з незвичних для
неї матеріалів. Предметна установка зазвичай віброізолюється. У приладах
практично реалізується якомога більшим екрануванням від зовнішньої дії (як
віброізоляція так і електромагнітне екранування).
Для генерації у спектрі використовують як старі методи
(радіолампи і тому подібне) так і більш сучасні напівпровідникові методи.
Останнім часом практикують осциляторні напівпровідникові системи (системи з
помноженням/діленням частоти). Хоч вони мають не велику потужність, та мають
досить солідний ККД. Простота системи накачки та відносна технологічність, малі
розміри дозволяють робити промислові об’єкти повсякденного вжитку. Однією з
таких систем і є напівпровідникова надрешітка AlAs/GaAs.
Напівпровідникові
гетероструктури
Напівпровідникова гетероструктура (англ. semiconductor
heterostructure) - штучна структура, виготовлена з двох або більше різних
напівпровідникових речовин (матеріалів), в якій важлива роль належить перехідному
шару, тобто межі розділу двох речовин (матеріалів).
До складу напівпровідникових гетероструктур входять елементи II-VI
груп (Zn, Cd, Hg, Al, Ga, In, Si, Ge, P, As, Sb, S, Se, Te), сполуки AIIIBV
і їх тверді розчини, а також сполуки AIIBVI. З сполук типу AIIIBV
найбільш часто використовуються GaAs і GaN, з твердих розчинів - AlxGa1-xAs.
Використання твердих розчинів дозволяє створювати гетероструктури з
безперервним, а не стрибкоподібним зміною складу і, відповідно, безперервним
зміною ширини забороненої зони.
Для виготовлення гетероструктур важливо узгодження
(близькість за величиною) параметрів кристалічної решітки двох контактуючих
сполук (речовин). Якщо два шари сполук з сильно розрізняються постійними
решітки вирощуються один на іншому, то при збільшенні їх товщини на межі
розділу з'являються великі деформації і виникають дислокації невідповідності. У
зв'язку з цим для виготовлення гетероструктур часто використовують тверді
розчини системи AlAs-GaAs, так як арсеніди алюмінію і галію мають майже
однакові параметри решітки. У цьому випадку монокристали GaAs є
ідеальною підкладкою для зростання гетероструктур. Іншою природної підкладкою є
InP, який застосовується в комбінації з твердими розчинами GaAs-InAs,
AlAs-AlSb та ін.
Прорив у створенні тонкошарових гетероструктур стався з
появою технології росту тонких шарів методами молекулярно-променевої епітаксії,
хімічного осадження з парів металоорганічних сполук і рідиннофазної епітаксії.
З'явилася можливість вирощувати гетероструктури з дуже різкими межами розділу,
розташованими настільки близько один до одного, що в проміжку між ними
визначальну роль відіграють розмірні квантові ефекти. Області подібного типу
називають квантовими ямами, рідше - квантовими стінками. У квантових ямах
середній вузько зонних шар має товщину кілька десятків нанометрів, що
призводить до розщеплення електронних рівнів внаслідок ефекту розмірного
квантування. Гетероструктури, особливо подвійні, дозволяють управляти такими
фундаментальними параметрами напівпровідників, як ширина забороненої зони,
ефективна маса і рухливість носіїв заряду, електронний енергетичний спектр.
Загальна
характеристика речовин AlAs, GaAs.
Для визначення властивостей кінцевої структури потрібно
визначити фізичні та хімічні властивості окремих елементів.
Арсенід алюмінію (AlAs) - хімічна сполука алюмінію і
миш'яку.
Фізичні
властивості AlAs
Непрямозонних напівпровідник з шириною забороненої зони 2.15
еВ при 300 K. Утворює з GaAs добре відому гетеропереходную пару,
яка використовується для створення гетеропереходів. Виходить шляхом нагрівання
алюмінію з миш'яком:
As + Al = AlAs
Хімічні
властивості AlAs
При кімнатній температурі стійкий в абсолютно сухому повітрі.
З водою і водяною парою реагує гідролізуючись до пористого гідроксиду алюмінію
і арсена. Бурхливо реагує навіть зі слабкими кислотами. Пил запалюється від
контакту з водою.
Рис. 3. Просторова структура AlAs.
Структура гратки даної структури гранецентрована з атомами
включеннями. Перейдемо до GaAs.
Арсенід галлію GaAs, один з основних напівпровідникових матеріалів, що
відноситься до класу сполук AIIIBV. Арсенід галію має непогані
теплофізичні характеристики, досить велику ширину забороненої зони, високу
рухливість електронів, сприятливі особливості зонної структури, що обумовлюють
можливість прямих міжзонних переходів носіїв заряду. Розроблено технології
отримання матеріалу з хорошими ізолюючими властивостями і високою прозорістю в
інфрачервоній області спектра.
Кристалічна
структура GaAs
Кристали арсеніду галію кристалізуються в решітці сфалериту.
Постійна решітки при 300К дорівнює 5,6533 А, відстань між
найближчими сусідніми атомами - 2,45 А; відносна молекулярна маса - 144,63;
число атомів в 1 см3 - 4,42 · 10^22; щільність GaAs в твердому
стані - 5,32 г / см3, в рідкому стані - 5,71 г / см3; температура плавлення tпл
= 1238оС; рівноважний тиск парів миш'яку в точці плавлення ~ 1.105
Па (0,98 атм), що значною мірою ускладнює технологію його одержання.
Твердість за мінералогічною шкалою - 4,5; температурний коефіцієнт
лінійного розширення t. = 6,4106 К-1; ширина забороненої зони - 1,43
еВ; діелектрична проникність статична - 12,9, високочастотна - 10,89.
Рис. 4. Кристалічна гратка GaAs.
Фізичні
властивості
Електрофізичні властивості нелегованого арсеніду галію в
сильному ступені залежать від складу та концентрації власних точкових дефектів,
концентрації фонових домішок і режимів термообробки злитків. Для отримання
монокристалів n- і p-типу провідності із заданою
концентрацією носіїв заряду використовують легування електрично активними
домішками. Основними легуючими домішками при отриманні монокристалів n-типу є S, Se, Te, Si, Sn, а
при отриманні монокристалів p-типу - Zn.
Хімічні
властивості
Арсенід галію не взаємодіє з водою, але активно розкладається
під дією кислот з виділенням токсичного арсина. Питома швидкість розчинення
арсеніду галію істотно зростає в сумішах кислот. При нагріванні на повітрі до 300
оС арсенид галію окислюється. Арсенід галію відноситься до числа
розкладаються сполук. Починаючи з 600 оС, розкладається з виділенням
миш'яку. Розплавлений арсенід галію дуже активний і взаємодіє практично з усіма
відомими матеріалами, використовуваними для виготовлення контейнерів.
Найбільшого поширення в технології арсеніду галію знайшов синтетичний кварц.
Для отримання високочистого напівізолюючих арсеніду галію застосовують
пиролитический нітрид бору.
Отже речовини AlAs, GaAs схожі по просторовій структурі. Вони мають одникові
геометричні параметри, що дозволяє їм створити надгратку. Далі розглянемо її
будову.
Будова
надрешітки. Модель 1-ї зони Бріллюена GaAl/AlAs
Основою, що характеризує роботу будь-якого приладу є
просторово-фізична структура приладу.
Дана надрешітка складається з двох напівпровідникових
компонентів AlAs, GaAs. Для отримання даної структури
використовували молекулярно променеву епітаксію по напрямку (100) на підложці GaAs. У шар GaAs інжектуються шар AlAs. Отримують послідовність з
періодом а по осі х. Напрям х перпендикулярній до площини
вирощування (100).
Рис. 5. Структура надрешітки AlAs/GaAs.
Згідно викладок, наведених у главі 3 надструктура містить в
основі кубічну гранецентровану комірку. Маємо також атоми включення, що
розташовані на головних діагоналях комірок. Періоди граток збігаються, тому
дані зразки дуже часто використовують в комбінаціях для виготовлення певних
структур.
Оскільки основні процеси дрейфу носіїв, що й визначають
роботу готового приладу, проходять у першій зоні Бріллюена, то промоделюємо її
за допомогою ресурсу nanohub.org.
Рис. 6. Перша зона Бріллюена для GaAs, AlAs.
Метод
електронно-променевої епітаксії
Молекулярно-променева епітаксія (МПЕ) - епітаксіальне
зростання в умовах надвисокого вакууму. Дозволяє вирощувати гетероструктури
заданої товщини з моноатомно гладкими гетеропереходами і з заданим профілем
легування. В установках МПЕ є можливість досліджувати якість плівок «in situ»
(тобто прямо в ростовий камері під час росту). Для процесу епітаксії необхідні
спеціальні добре очищені підкладки з атомарногладкою поверхнею.
Технологія молекулярно-променевої епітаксії була створена в
кінці 1960-х років Дж. Р. Артуром (JR Arthur) і Альфредом Чо (Alfred Y. Cho).

Технологічні
засади методу
Основою
методу є осадження випаруваної з молекулярного джерела речовини на кристалічну підкладку
<#"805932.files/image010.gif">
Рис. 8. Загальна схема установки.
Система
контролю росту плівок
Система контролю організована на системі RHEED. Опишемо дану
систему.
Дифракція швидких електронів на відображення (ДБЕ, RHEED,
Reflection High Energy Electron Diffraction) - метод, заснований на
спостереженні картини дифракції відбитих від поверхні зразка електронів.
Цей метод дозволяє стежити в реальному часі за наступними
параметрами зростання:
· чистота поверхні (по яскравості
відбитого сигналу);
· температура зразка (по зміні картини
дифракції при критичних температурах через перебудову поверхні);
· орієнтація підкладки (у напрямку смуг
в дифракційної картині);
· швидкість росту (по осциляції
основного рефлексу в ході росту).
Система складається з:
· електронної гармати;
· люмінесцентного екрану;
· реєструючої системи.
Продемонструємо схему системи на рисунку 9.
Рис. 9. Схема системи HREED.
Використання
методу
Метод найбільш часто використовується для вирощування
напівпровідникових гетеро структур з потрійних розчинів або четверних розчинів
заснованих на елементах з третьої і п'ятої групи періодичної системи елементів,
хоча вирощують і AIIBVI з'єднання, а також кремній, германій, метали і
т. д.
Структури зі зниженою розмірністю МПЕ дозволяє отримувати
наступні структури зі зниженою розмірністю:
· 0-мірні: квантові точки;
· 1-мірні: квантові нитки (також звані
«квантовими дротами»);
· 2-мірні: квантові ями, Надґратка,
плоскі хвилеводи.
Якість вирощених плівок залежить від узгодження постійних
грат матеріалу і підкладки. Причому чим більше неузгодженість, тим меншої
товщини можна виростити бездефектну плівку. Зростаюча плівка намагається
підлаштуватися під кристалічну структуру підкладки. Якщо постійна решітки
зростаючого матеріалу відрізняється від постійної решітки підкладки в плівці
виникають напруги, що збільшуються з ростом товщини плівки. Це може призводити
до возникненню безлічі дислокацій на інтерфейсі підкладка-плівка, що погіршують
електрофізичні властивості матеріалу. Зазвичай цього уникають. Наприклад,
ідеальна пара з'єднань GaAs і потрійний розчин AlGaAs дуже часто
використовується для виробництва структур з двовимірним електронним газом. Для
отримання квантових точок (InAs) використовується явище самоорганізації,
коли вирощують пару монослоёв InAs-плівки на GaAs-подлоджке, а
так як неузгодженості об'ємних постійних решіток досягає 7% дана плівка рветься
і InAs збирається в острівці, які й називаються через свої розміри
квантовими точками.
Підводячи підсумки вище сказаного даний метод як не найкраще
підходить для формування надгратки нашого осцилятора.
Структура
енергетичних рівнів та будова надрешітки
Дана надрешітка складається з двох напівпровідникових
компонентів AlAs, GaAs. Для отримання даної структури
використовували молекулярно променеву епітаксію по напрямку (100) на підложці GaAs. У шар GaAs інжектуються шар AlAs. Отримують послідовність з
періодом а по осі х. Напрям х перпендикулярній до площини
вирощування (100).
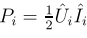
Електрони при русі по осі х відділяються бар’єрами AlAs. Відповідно до періоду потенціалу
надрешітки електронна, енергія для збудження у напрямі х поділена на
мінірівні. Ширина мінірівня залежить від відношення шарів двох матеріалів.
Рис. 10. Рівнева структура надрешітки AlAs GaAs.
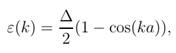
Транспорт електронів відбувається у першому мінірівні.
Дисперсія енергій для найнижчого мінірівня зі збудженням по х має
вигляд:
(1)
де
- енергія електрону, ka - фаза,
- ширина рівня.
Рис. 11. Дисперсійна крива для першого мінірівня.
Для опису системи виберемо модель Есакі-Тсу. Вона якнайбільш
підходить для опису подібних систем (напівпровідникових систем з від’ємним
диференціальним опором).
Модель
Есакі-Тсу
Енергетичний спектр електронів в кристалі, в тому числі і в
напівпровіднику являє собою набір дозволених енергетичних зон, що містять ті
значення енергії, які може мати електрон, і розділених забороненими зонами
(енергетичними щілинами) - проміжками таких значень енергії, якими електрон
володіти не може. При абсолютному нулі температури електрони займають нижні
дозволені зони, тобто спектр складається із заповнених і порожніх зон.
Накладення додаткового періодичного потенціалу надґратка
викликає розщеплення зони провідності на ряд дозволених та заборонених підзон,
ширина яких значно менше ширини вихідної зони.
Введення одновимірного потенціалу надґратка призводить до
порушення зонної структури вихідних матеріалів, виникає серія вузьких підзон і
заборонених щілин, які з'являються внаслідок поділу зони Бріллюена на ряд
мінізон.
Рис. 12.Розчеплення енергетичної зони кристалу з постійною
гратки а на мінізони
потенціалом надгратки з періодом d. Число мінізон рівне - d/a .
Електрон під дією постійного електричного поля E,
спрямованого уздовж осі z (вісь z перпендикулярна верствам
напівпровідникової надґратка), може переміщатися вздовж напрямку цієї осі. При
цьому квазіімпульс змінюється як
(2)
де k- квазіімпульс в напрямку z.
Інтегруючи (2), для постійного електричного поля E отримаємо:
(3)
У періодичному потенціалі Надґратка енергія руху носіїв
струму уздовж осі надґратка є періодичною функцією квазіімпульса з періодом
Енергія електронна в наближенні сильного зв'язку має вигляд
(4)
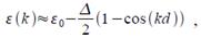
де d- період надґратка уздовж z; Δ- ширина мінізони; ε0 - енергія нижній мінізони.
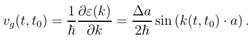
З формули (4) випливає, що швидкість електрона, який розпочав
рух у центрі зони Бріллюена в момент часу t = 0:
(5)
Де
- блохівська частота.
Таким чином, якщо уздовж осі напівпровідникової Надґратка з
періодом dдокладено достатньо сильне електричне поле E, так що електрон
рухається в межах однієї енергетичної зони від однієї межі зони Бріллюена до
іншої майже без розсіювання, то електрон робить блохівське коливання з
блохівське частотою. Припустимо, що ймовірність того, що електрон в плині часу
t буде рухатися безрозсіювання,
, де
- середній час між зіткненнями. Тоді середня швидкість
дрейфу електрона уздовж осі надґратки:
(6)
Де введено критичне поле
. Для простоти припустимо, що кожен
розсіяний електрон повертається в центр зони Бріллюена. При слабкому
електричному полі E<Ec електрони не можуть покинути параболічної
частини дисперсійного співвідношення, швидкість дрейфу зростає. При E=Ec
крива v(E) досягає максимуму. При подальшому збільшенні поля електрон
досягає області v <0, внаслідок чого зменшується швидкість дрейфу до
тих пір, поки при дуже великих E час, в перебігу якого електрон
знаходиться в областях з v <0 і v> 0, не стане однаковим,
тоді швидкість дрейфу падає до 0 при E → ∞.
Рис. 13. Енергія і швидкість електрона в найнижчій мінізони
(a) і результуюча швидкість дрейфу як функція від E(b). При E<Ec
електрон, розсіяний в центр зони Бріллюена до того, як він покине параболічну
частину ε(k). Залежність v(E) лінійна в
цьому режимі. При E≥Ec електрон досягає області зони Бріллюена, де
швидкість стає менше, ніж до розсіювання. Крива v(E) досягає максимуму
при E=Ec. При E>Ec електрон входить в область з v<0.
Так як струм пропорційний швидкості електронів, то в досить
сильних полях струму буває із зростанням напруженості електричного поля, тобто
на вольт амперній характеристиці (ВАХ) з'являється падаюча ділянка. Падаючу
ділянку ВАХ відповідає області негативної диференціальної провідності.
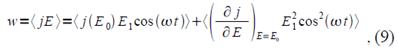
Нехай крім постійного електричного поля на напівпровідник діє
змінне електричне поле E=E1cos(ωt). Покажемо, що в області
негативної диференціальної провідності поглинається потужність негативна, тобто
можливе посилення падаючого випромінювання.
Густина струму:
(7)
де E = E0 + E1cos (ωt), E0 - постійне поле.
Припустимо E1 << E0. Тоді j можна
представити у вигляді
Середня густина потужності, що поглинається

Тоді з (9) з урахуванням (11) отримаємо:
У області негативної диференціальної провідності
то можливе підсилення.
Використовуючи модель Есакі і Тсу, було показано, що в
області негативною диференціальної провідності можливе посилення
випромінювання, що проходить через напівпровідникову надґратки.
Рух
електронів у статичному електричному полі
Відповідно
до теорії над решітки електрони прискорюються деяким електромагнітним полем
(13)
Де E(t) сила електричного поля залежна від часу. Фаза ka для пакету електронів:
(14)
Де t0 - початковий момент часу коли
енергія електрону рівна нулю. Групова швидкість :
(15)
Поєднуючи 14 та 15 отримуємо:
(16)
Даний вираз можемо інтегрувати для групової швидкості:
(17)
У статичному електричному полі
електрон коливається по синусоїді у,
що залежить від Блохівської частоти:
(18)
Блохівські коливання відбуваються відповідно до відгуку
Брагга коли електрон досягає зони Бріллюена
. При цьому електрон досягає верхньої
межі мінірівня
. Траекторію руху можна описати за допомогою виразу:
(19)
Для дуже сильних полів
,тоді
. А Блохівська функція обмежена одним
періодом надрешітки. Для таких полів дана модель не може бути використана.
Введемо час релаксації електрона
. Тоді швидкість руху
може бути подана у вигляді:
(20)
де:
(21)
Ймовірність того що електрон не релаксує у інтервалі
.
- пікова дрейфова швидкість при
температурах близьких до 0К. Інтегрування від
до
враховує усі початкові стани
електронів. Використовуючи залежності Больцмана отримаємо температуро залежну
функцію для швидкості:
(22)
Де
- модифіковані функції Бесселя. Подальше інтегрування веде
до відношення Есакі-Тсу:
(23)
Заміна
веде до наступного виразу:
(24)
Де
- критичне значення сили поля для надрешітки. Крива на
рисунку 4 показує лінійну зміну швидкості електрону при малій силі поля і
максимальну швидкість при критичному значенні
.
Рис. 14. Вольт-амперна характеристика Есакі-Тсу.
Рух
електронів у терагерцових полях
Характеристика Есакі-Тсу ситуативна. Для опису поводження
електрона в ВЧ полях (
) потрібно доповнити 9 параметрами, що залежать від частоти
випромінювання (динамічною Блохівською частотою):
(25)
(26)
динамічна Блохівська частота. Її максимум залежить від сили
поля накачки.
Рис. 15. Швидкість дрейфу електронів у надрешітці з високою
частотою поля. Зображено один цикл накачки.
Динамічні
параметри надрешітки
Модель Есакі-Тсу була використана для пояснення виникнення
каналів. Для опису параметричного підсилювача використаємо більш загальну
викладку. Швидкість дрейфу електронів
(27)
Вирахувана для часово залежного електричного поля
. Також потрібно вирахувати
компоненти Фур’є
.
Рис. 16. Дрейфові швидкості відповідно до розкладу Фур’є.
Для амплітуд швидкості
отримуємо відповідні амплітуди
струмів згідно з виразом:
(28)
Піковий струм -
.
- індуктивна щільність електронів. А
- кросс секційний простір надрешітки. Амплітуда напруги на надрешітці та
критична напруга
вираховується за допомогою
(29)
Високочастотна рухомість подається у вигляді:
(30)
При дії полів малої сили мобільність подається у вигляді
константи
(омічна мобільність).
Високочастотний опір
для різних гармонік отримують з:
(31)
Омічний опір решітки заданий
. Гармонічна потужність -
від’ємна. Коефіцієнт корисної дії
для конверсії випромінювання з
до
частоти гармоніки отримується з виразу:
(32)
Наведені вище параметри використовують для характеристики
будь-якого електронного приладу для пояснення його принципу роботи. Для нашої
надгратки приведемо залежності величин на графіку (рисунок 16)
Рис. 17. Залежність параметрів третьої гармоніки від
амплітуди напруги третьої гармоніки.
Використання
осцилятора
При використанні у приладах надрешітка повинна комбінуватись
з джерелом накачки та системою відводу. Вивід підвищеної частоти проводиться
після проходження структури (рисунок 18).
Рис.18. Параметричний осцилятор. Принципова схема приладу.
Рис. 19. Практичне виконання приладу на надгратці.
Рис. 20. Зовнішній вигляд приладу на надгратці. Містить 200
шарів
ВИСНОВКИ
· Тип решітки речовини.
· Побудована 1-ша зона Бріллюена для
речовин.
· Поводження електрона у електричному
полі.
· Поводження електрона у полі високої
частоти.
· Структура енергетичних рівнів
речовини (рівні та підрівні).
· Отримана вольт-амперна характеристика
системи.
· Досліджений коефіцієнт корисної дії
для 3-ї гармоніки.
Приведені у роботі розрахунки дають уяву про механізм роботи
приладу. Також показують його ефективність.
Даний прилад дає можливість спростити отримання терагерцового
випромінювання, а його використання з підсилювачами дасть змогу розширити коло
використання.
Можливі прилади з використанням розробки - терагерцовий
томограф, терагерцовій спектроскоп.
Список
використаної літератури
1. Р.Г.
Мириманов
Миллиметровые и субмиллиметровые волны. - М.: изд. ин. литературы, 1959.
2. Kiyomi
Sakai (Ed.) Terahertz Optoelectronics. - Springer, 2005
3. Отфрид
Маделунг, «Физика полупроводниковых соединений элементов ІІІ и V групп»
(перевод с англ.), М. «Мир» - 1967, 478 с.
4. Курносов
А.И. (1980). Материалы для полупроводниковых приборов и интегральных схем.
Москва: Высшая школа.
. http://newuc.jinr.ru/img_sections/file/Aspirant/Belushkin/%201%20for%20pdf.pdf
- дата доступу 07.11.2014
. http://arxiv.org/ftp/cond-mat/papers/0502/0502284.pdf
- дата доступу 11.10.2014.
. http://epub.uni-regensburg.de/10777/1/B_I_Stahl_Diss.pdf
- дата доступу 20.09.2014.
8. Алферов
Ж.И. Двойные гетероструктуры: концепции и применения в физике, электронике и
технологии // УФН. 2002. Т. 172, №9. С. 1072-1086.
. Гусев
А.И. Нано материалы, нано структуры, нано технологии. - М.: Физматлит, 2007. -
416 с.
. Ф.Г.
Басс. Полупроводники со сверхрешётками. ≪Природа≫, 1984 г.
. А.П.
Силин. Полупроводниковые сверхрешётки. Успехи физических наук, том 147, вып. 3. 1985 г.
. Bernhard
Rieder. Diss: Semiclassical Transport in Semiconductor Superlattices with
Boundaries, 2004.