Разработка системы водопроводной и канализационной сетей жилого здания
Принятые условные обозначения (по
ГОСТ 21.205-93)
|
1.1. ВОДОПРОВОД
|
|
1. ТРУБОПРОВОДЫ:
|
|
|
Водопровод хозяйственно-питьевой
|
В1
|
|
Трубопровод теплоносителя подающий
|
Т1
|
|
Трубопровод теплоносителя обратный
|
Т2
|
|
Трубопровод горячей воды подающий
|
Т3
|
|
Трубопровод горячей воды циркуляционный
|
Т4
|
|
Стояк водопроводный
|
Ст. В1-N, Ст. Т3-N
|
|
Теплоизоляция
|
|
|
2. АРМАТУРА
|
|
|
Вентиль запорный
|
|
|
Задвижка
|
|
|
Обратный клапан
|
|
|
Поливочный кран (ПК)
|
|
|
Смеситель, общее обозначение
|
|
|
Смеситель с душевой сеткой
|
|
|
Автоматический воздухоотводчик
|
|
|
Водомер
|
|
|
Бак закрытый с давлением больше атмосферного
|
|
|
Насос центробежный
|
|
|
1.2. КАНАЛИЗАЦИЯ
|
|
1. ТРУБОПРОВОДЫ И ФАСОННЫЕ ЧАСТИ
|
|
|
Канализация бытовая
|
К1
|
|
Канализация дождевая
|
К2
|
|
Стояк канализационный
|
Ст. К1-N
|
|
Стояк дождевой канализации
|
Ст. К2-N
|
|
Конец трубы с пробкой
|
|
|
Ревизия
|
R
|
|
Прочистка
|
Пр
|
|
Тройник косой
|
|
|
Тройник прямой
|
|
|
Крестовина косая
|
|
|
Крестовина прямая
|
|
|
Компенсационный патрубок
|
|
|
Направление потока жидкости
|
|
|
Сифон двухоборотный
|
|
|
Сифон бутылочный
|
|
|
Сифон напольный
|
|
|
2. ПРИЕМНИКИ СТОЧНЫХ ВОД
|
|
|
Мойка кухонная
|
|
|
Умывальник
|
|
|
Ванна
|
|
Унитаз
|
|
|
Воронка внутреннего водостока
|
|
Примечания:
. Движение воды через обратный
клапан должно быть направлено от белого треугольника к черному.
. Условные обозначения
санитарно-технических приборов: слева - для планов и видов сверху, справа - для
видов спереди или сбоку, и для схем и разрезов.
СОДЕРЖАНИЕ
Введение
. КРАТКАЯ ХАРАКТЕРИСТИКА
ОБЪЕКТА
. РАСЧЁТ И ПРОЕКТИРОВАНИЕ
ВНУТРЕННЕГО ХОЛОДНОГО ВОДОПРОВОДА ЗДАНИЯ
.1 Выбор системы и схемы
.2 Выбор места ввода
водопровода и расположение водомерного узла
.3 Конструирование сети и
построение аксонометрической
схемы внутреннего схемы холодного водопровода
2.4
Гидравлический расчёт внутреннего холодного водопровода
2.5
Подбор водомера
2.6
Определение
требуемого напора в системе холодного водопровода и
подбор повысительной установки
2.7
Описание запроектированной водопроводной сети
3. РАСЧЁТ И ПРОЕКТИРОВАНИЕ
ВНУТРЕННЕЙ КАНАЛИЗАЦИИ
3.1 Выбор системы и схемы
3.2 Проектирование сети и
построение аксонометрической схемы внутренней
канализации
3.3
Проектирование и расчёт дворовой канализации. Построение продольного профиля
3.4
Описание запроектированной канализационной сети
Заключение
Список используемых источников
водопровод
канализация здание
ВВЕДЕНИЕ
Система водоснабжения - это комплекс
инженерных сооружений, предназначенных для забора воды из источника водоснабжения,
её очистки, хранения и подачи потребителям.
Канализация представляет собой
комплекс инженерных сооружений и мероприятий, предназначенных для следующих
целей: а) приёма сточных вод в местах их образования и транспортирования их к
очистным сооружениям; б) очистки и обеззараживания сточных вод; в) утилизация
вредных веществ содержащихся в сточных водах и их осадке; г) спуска очищенных
вод в водоём.
Санитарно-техническое устройство и оборудование
современных зданий представляет собой комплекс инженерного оборудования
холодного и горячего, он необходим для жизнеобеспечения населения и определяет
степень в целом.
Данным курсовым проектом предусматривается
решение вопросов выбора системы внутреннего водопровода жилого здания с
разработкой схемы водопроводной сети, проектирование элементов сети водопровода
и канализации, конструирование отдельных элементов сети.
Выбор системы внутреннего
водопровода следует производить в зависимости от технико-экономической
целесообразности, санитарно-гигиенических и противопожарных требований, а также
с учётом принятой системы наружного водопровода.
Проектирование внутренней
канализации зданий и сооружений выполняется в строгом соответствии с правилами
органов санитарного надзора и осуществляется согласно требованиям, предъявляемыми
к конкретному зданию
1. КРАТКАЯ ХАРАКТЕРИСТИКА ОБЪЕКТА
Объектом ВИК в данном курсовом
проекте является отдельно стоящее семиэтажное жилое здание, состоящее из
четырех секций, находящееся в черте города.
Конструктивная схема здания -
каркасная со сборно-монолитным каркасом. Высота этажа (от пола до пола) 3,1 м с
толщиной междуэтажных перекрытий 0,35м. Покрытие выполнено в виде плоской
неэксплуатируемой крыши. Материал стен - блоки из ячеистого бетона. Здание
оборудовано системой хозяйственно-питьевого водопровода, бытовой канализацией,
централизованным горячим водоснабжением. Соответственно, водопроводные и
канализационные стояки размещаются около стены в специальном коробе -
«зашивке». От стояков идет поквартирная разводка ко всем санитарно-техническим
прибором (мойки, умывальники, ванны, унитазы).
На каждом этаже типовой секции
запроектировано 4 квартиры (однокомнатная, двухкомнатная , трёхкомнатная,
четырёхкомнатная). В здании проживает 448 человек. Общее количество
обслуживающий приборов 512.
Отметка пола первого этажа принята
0,95 м от уровня земли. Здание оборудовано подвалом, отметка пола которого ниже
уровня земли на 2,15 м. Грунты сухие (супесь), несвязные. Глубина промерзания
грунта 1,3 м. Гарантийный напор, обеспеченный городской сетью, 22 м.
Центральный тепловой пункт обслуживает 3 однотипных здания (количество жителей
в каждом 448, число приборов - 512).
2.
РАСЧЁТ
И ПРОЕКТИРОВАНИЕ ВНУТРЕННЕГО ХОЛОДНОГО ВОДОПРОВОДА ЗДАНИ
2.1 Выбор системы и схемы
Жилое здание расположено в черте населенного
пункта, на территории, охваченной городскими сетями водопровода и канализации,
следовательно, в нем могут быть лишь централизованная хозяйственно-питьевая
проточная и противопожарная системы. Так как жилое здание в данном курсовом
проекте 8-этажное, то принимается только централизованная проточная
хозяйственно-питьевая система. В этом случае схема водоснабжения - тупиковая, с
нижней разводкой (т.к. перерыв в подаче воды возможен). Система включает в себя
ввод в здание, водомерный узел, магистральную сеть, стояки, разводящие
трубопроводы к сантехническим приборам, водоразборную и смесительную арматуру.
Для ответа на вопрос, нужна ли в
схеме повысительная установка, надо рассмотреть соотношение гарантийного и
требуемого напоров. Минимальный гарантийное напор задан в исходных данных, а
требуемый необходимо определить. Поэтому, для того чтобы предварительно
определить - необходимо применить повысительную установку или нет, используется
формула:
(2.1.1)
где n - число этажей в
здании;
- сумма высоты этажа и потерь
напора на одном этаже (в среднем).
Если
-
повысительная установка не требуется. В противном случае - она
предусматривается.
Исходя из данного
неравенства, предусматриваем повысительную установку, т.к. система не
обеспечена напором от сети наружного водопровода.
2.2 Выбор
места ввода водопровода и расположение водомерного узла
Участок трубопровода от места
врезки на сети наружного водопровода до водомерного узла называется вводом.
Ввод осуществляется через фундамент под уклоном i=0,002-0,005
в сторону наружной сети (в данном случае принятый уклон составляет 0,003).
Расстояние по горизонтали между вводами хозяйственно-питьевого водопровода и
выпусками канализации должно быть не менее 1,5 м. В местах присоединения ввода
к наружной сети городского водопровода устраивается колодец, в котором
размещаются задвижки.
Рациональнее всего ввод в
здание осуществлять в его центральную часть, но под вспомогательные помещения
(кухня, санузел, коридор, лестница). Глубина заложения ввода определяется по
формуле:

(2.2.1)
где 
- глубина промерзания грунта, м
(задается в исходных данных).
Расстояние по горизонтали
между вводами хозяйственно-питьевого водопровода и выпусками канализации должно
быть не менее 1,5 м при диаметре ввода до 200 мм включительно и не менее 3 м
при большем диаметре. При тех же условиях, но при расположении водопроводных
линий ниже канализационных, это расстояние следует увеличить на разность
глубины заложения трубопроводов. Расстояние в свету между вводами и другими
водопроводами при пересечении их между собой должно быть не менее 0,15 м.
2.3 Конструирование
сети и построение аксонометрической схемы внутреннего водопровода
Прокладка внутреннего
холодного водопровода предусматривается в помещениях с температурой воздуха
выше 5
.
Горизонтальные трубопроводы,
запроектированы с уклоном i=0,003 в сторону
ввода (к водомеру) и стоякам для возможности спуска воды из системы.
Магистраль прокладывается на
расстоянии 0,3 м от потолка подвала. Для предотвращения образования конденсата
она изолируется матами из минеральной ваты. Участки труб в местах прохода через
стены и перекрытия заключают в металлические гильзы из труб большего диаметра,
чтобы трубы имели свободное осевое движение.
На магистральных линиях
предусматривается присоединение ответвлений к поливочным кранам, которые
выводятся к наружным стенам здания в ниши на высоте 0,3…0,35 м от поверхности
земли через каждые 60…70 м по периметру здания. Подводки к кранам оборудованы
запорными устройствами, расположенными в теплых помещениях здания. Поливочный
кран состоит из вентиля (25 или 32 мм) и насадки для присоединения рукава.
Водопроводные стояки
располагаются вместе с канализационными стояками в зашивках санузлах, используя
для них общие отверстия в перекрытиях с учетом требований монтажного
проектирования. При скрытом расположении стояков в местах разъема соединений
трубопровода (фланцы и сгоны), а также в местах установки вентилей необходимо предусмотреть
ниши со смотровыми люками.
Ответвление в квартиру
выполняется на высоте 1,5 м от уровня пола, водомер устанавливается на высоте
1,1-1,3 м
от пола.
Поквартирная разводка
холодного водопровода от стояков на высоте 0,25 м от пола. К водоразборной арматуре
вода подается по подводкам, которые могут быть выполнены в виде вертикальных
трубопроводов или гибких шлангов.
Установку запорной арматуры
на внутренних водопроводных сетях надлежит предусматривать: на вводе, на
ответвлениях от магистральных линий внутреннего водопровода, у основания
стояков хозяйственно-питьевой сети, на ответвлениях в каждую квартиру, на
подводках к смывным бачкам, перед наружными поливочными кранами.
В жилых зданиях высота
установки санитарных приборов (до верха борта) следующая: умывальники - 800 мм,
ванны - 600 мм, унитазы - 400 мм.
На аксонометрической схеме
показываются все элементы внутреннего водопровода от водопроводного колодца на
уличной сети: ЦТП (условно), ввод водопровода, пересечение его со стеной
подвала, водомерный узел, магистраль, стояки, поквартирные разводки и подводки
к приборам, арматура, в том числе поливочные краны. Также проставлены
абсолютные отметки: поверхности земли, пола подвала и этажей, осей труб ввода,
водомера, магистрали (с учетом уклона), поливочных кранов и диктующего
водоразборного устройства. На схеме обозначены расчетные участки и показаны их
длины и уклоны (i - l), а также и диаметры. Все стояки и поливочные краны
следует подписаны (например, Ст. В1-1, ПлК-1).
Аксонометрическая схема
построена без масштаба, но соблюдена соразмерность длин, участков и элементов
системы. Что позволяет обеспечить соответствие графического изображения системы
ее реальному виду.
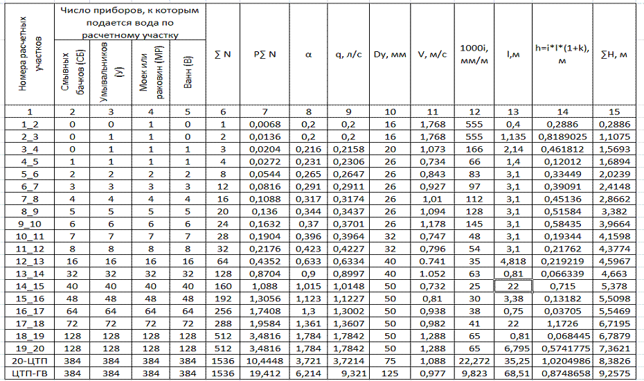
2.4 Гидравлический расчёт
внутреннего холодного водопровода
Гидравлический расчет сети
холодного водопровода производится только после конструктивного решения всей
схемы системы холодного водоснабжения, вычерчивания аксонометрической расчетной
схемы подающих трубопроводов всего расчетного здания и квартала.
Гидравлический расчет
осуществляется в следующей последовательности:
1. Выбирается диктующая точка с
учетом удаленности и высоты расположения водоразборной арматуры, а также
величины свободного напора Hf для санитарных приборов.
. Сеть разбивается на расчетные
участки. Расчетным называется участок, расход воды на котором постоянный:
участки трубопровода между точками присоединения подводок водоразборной
арматуры к поквартирной разводке, квартирных разводок к стоякам, стояков к
магистрали. Разбивка на расчётные участки осуществляется против хода движения
воды, начиная от диктующей точки.
. Определяется количество
приборов, обслуживаемых расчетным участком. При этом поливочные краны в расчет
не включаются.
По прил.3 [1] для дальнейшего
расчета определяем следующие параметры:
. Удельный секундный расход воды
прибором.
Так как в данном курсовом проекте
диктующим прибором выбрана ванна, то для нее:
=0,3 л/c -
общий расход;
=0,2 л/с - расход холодной воды.
. Норма расхода воды в час
наибольшего водопотребления.

= 15,6 л/чел - общая норма
водопотребления;

= 10 л/ чел - норма потребления
горячей воды.
На каждом участке
определяется расчетный расход воды, л/с:

(2.4.1)
где 
- максимальный секундный расход
холодной воды, л/с, отнесенный к одному прибору.

- величина, определяемая в
зависимости от общего числа приборов N на расчетном участке и вероятности их
действия Pc.
Вероятность действия
приборов:
Участок 1-ЦТП:

(2.4.2)
Участок ЦТП-ГВ

(2.4.3)
где U - число жителей в
доме;=448
N - количество всех
водоразборных приборов;=512

- норма расхода холодной воды одним
потребителем в час наибольшего водопотребления, л/ч .

- общая норма расхода воды
потребителем в час наибольшего водопотребления, л/ч;

(2.4.4)

- норма расхода горячей воды одним
потребителем в час наибольшего водопотребления, л/ч;
Зная вероятность P
одновременного действия приборов и количеств приборов N
определяем α
и

.
Далее по табл. Шевелева
подбираем диаметры полиэтиленовых и чугунных водопроводных труб на основе
расчетных расходов, задаваясь скоростью течения воды. Учитывая, что скорость
движения воды в трубопроводах внутренних водопроводных сетей не должна
превышать 3 м/с. При подборе внутренних диаметров трубопроводов холодного
водоснабжения учитываем наиболее экономичные скорости движения воды, которые
для труб d
40 мм
находятся в пределах 0,7…0,9 м/с, для труб d>40 мм - в пределах 0,9…1,2 м/с.
Минимальный диаметр
(поквартирная разводка) принимается 18 мм, для стояка
по расчетам данной курсовой работы, также 18 мм.
Необходимо контролировать, чтобы диаметры труб увеличивались телескопически.
Потери напора, м, на участках
трубопроводов систем холодного водоснабжения следует определять по формуле:

(2.4.5)
где 
- удельные потери напора на трение,
мм/м;- длина расчетного участка, м;- коэффициент, учитывающий потери напора в
местных сопротивлениях. В сетях хозяйственно-питьевых водопроводов жилых зданий
принимается kl=0,3.
По основному пути от
диктующей точки до городского водопровода подсчитывают сумму потерь напора.
Гидравлический расчет
представлен в табличной форме:
2.5 Подбор водомера
В системах внутреннего водопровода
устанавливаются водомеры - устройства для измерения количества и расхода воды.
Система водоснабжения в современных городах уже невозможна без установки
счётчиков учёта воды (водосчетчиков), позволяющих точно определять расход как
горячей так и холодной воды.
К водомерам относятся
расходомеры,
водосчетчики.
В данном курсовом проекте необходимо
запроектировать водосчетчик, так как он является измерителем, суммирующим всю
воду, проходящую через них с разной скоростью за промежуток времени между
отсчетами.
Принцип действия водосчетчика
основан на измерении числа оборотов крыльчатки, скорость вращения которой
пропорциональна расходу воды, протекающей в трубопроводе.
Необходимо подобрать 3 водосчетчика:
водосчетчик для ЦТП;
водосчетчик на вводе в здание;
поквартирный водосчетчик.
Среднечасовой расход холодной
воды за период максимального водопотребления
, м3/ч, определяется по формуле

(2.5.1)
где U - число жителей в
квартире с диктующим прибором, чел;- период потребления воды, ч (для жилых
зданий 24ч);

-норма расхода холодной воды, л/с,
потребителем в сутки наибольшего водопотребления. Определяется по формуле:

(2.5.2)
где 
- общая норма водопотребления, л/c;

- норма расхода горячей воды, л/c.
Значения 
и 
определим по приложению Б1 [3].

= 300 л/c 
= 120 л/c
Диаметр водосчетчика следует
принимать исходя из следующего условия:
Потери напора в счетчиках
hвод, м, при расчетном секундном расходе воды определяются по формуле:

(2.5.3)
где S - гидравлическое
сопротивление счетчика, примем согласно табл.1 прил.2 [6].
. Расчет поквартирного
водосчетчика.
Среднечасовой расход холодной
воды за период максимального водопотребления
, м3/ч:
По полученному расходу
принимаем турбинный водомер ВК-15 с диаметром условного прохода воды 15мм;
эксплуатационным расходом 1,2 
; гидравлическим сопротивлением
счетчика S=14.5 
.
Расчетный секундный расход воды
согласно гидравлическому расчету равен 0,2306
л/c. Таким образом,
получим:
. Расчет водосчетчика на вводе в
здание.
Норма расхода холодной воды 
, л/с, потребителем в сутки наибольшего
водопотребления:
По полученному расходу
принимаем крыльчатый водомер ВК-25 с диаметром условного прохода воды 25 мм;
эксплуатационным расходом 2,8 
; гидравлическим сопротивлением
счетчика S=2,64 
.
Расчетный секундный расход
воды согласно гидравлическому расчету равен 1,784 л/c.
Таким образом, потери напора в счетчиках hвод, м, при расчетном секундном
расходе воды:
Следовательно, выбираем
крыльчатый водомер с диаметром условного прохода 32мм (ВК-32) с диаметром
условного прохода воды 32 мм; эксплуатационным расходом 4 
; гидравлическим сопротивлением
счетчика S= 1,3 
. Тогда потери напора будут равны:
. Проведем расчет
водосчетчика ЦТП.
Норма расхода холодной воды 
, л/с, потребителем в сутки
наибольшего водопотребления:
Используя таблицу принимаем
крыльчатый водомер ВК-50 диаметром условного прохода воды 50 мм;
эксплуатационным расходом 12 
; гидравлическим сопротивлением
счетчика S=0,143 
.
Расчетный секундный расход
воды, согласно гидравлическому расчету, равен 9,321 л/c.
Таким образом, потери напора в счетчиках hвод, м, при расчетном секундном
расходе воды:
Следовательно, выбираем
турбинный водомер с диаметром условного прохода 65 мм (ВК-65); эксплуатационным
расходом 17 
; гидравлическим сопротивлением
счетчика S=0,00810 
.
2.6.Определение требуемого
напора и подбор повысительной установки
Требуемый напор 
, м, то есть напор, который должен
быть в системе для нормального ее функционирования, определим по формуле

(2.6.1)
где Нгеом - геометрическая
высота подъема жидкости, которая равна разности отметок диктующей точки и
отметки люка колодца городского водопровода, м. Согласно аксонометрической
схеме, для данного курсового Нгеом=25,55 м.
Σhl,
tot - сумма потерь напора в трубопроводах системы водоснабжения, принимается из
гидравлического расчета, м;вод - потери напора в водомере, м;- свободный
(рабочий) напор перед диктующим прибором, м. Согласно прилож. 2 [1] для данного
курсового Hf=2м.
Сравним требуемый напор Hтр ,
м, с величиной гарантированного напора Hг , м, в наружной водопроводной сети,
который в данном курсовом равен 22м.тр=
> Hг=22
Из данного неравенства
следует вывод о необходимости применения повысительной установки.
В качестве повысительной
установки примем консольный центробежный насос. Насосы присоединяют после
водомерного узла.