Розрахунок судового двигуна внутрішнього згоряння марки 7ДКРН 70/280
Вступ
Для здійснення корисної роботи,
пов'язаної з переміщенням або обробкою тел потрібна механічна енергія. Система
циліндр-поршень, перетворююча енергію теплового розширення продуктів згоряння
палива в силовий рух поршня, є виробником механічної енергії - двигуном.
Механічна енергія двигуна вимірюється роботою, досконалої силами теплового
розширення.
Здійснення процесу згоряння
всередині такої системи класифікує її як двигун внутрішнього згоряння - ДВС.
Отже, двигун внутрішнього згоряння
(ДВЗ) являє собою таку теплову машину, в якій підведення теплоти до робочого
тіла здійснюється за рахунок спалювання палива в камері згоряння всередині
самого двигуна, тобто хімічна енергія палива перетворюється в механічну роботу
безпосередньо в робочому циліндрі. Робочим тілом в таких двигунах є на першому
етапі повітря або суміш повітря з розпорошеним паливом, а на другому (після
займання і згоряння палива) - продукти згоряння палива (гази), які,
розширюючись, здійснюють роботу.
Для здійснення сталості процесу
згоряння палива і отримання доцільних рухів кінематична пара циліндр - поршень
в більшості випадків доповнюється групою деталей, що утворюють в сукупності
кінематичний ланцюг, звану кривошипно-шатунним механізмом.
Двигуни, виготовлені за такою
схемою, відносяться до поршневих вальним двигунів, які широко застосовуються в
різних областях техніки.
Розвиток вітчизняного
двигунобудування супроводжувалося розробкою питань теорії робочого процесу та
конструкції двигунів. Професор В.І. Гриневецький розробив теорію робочого
процесу в ДВС, яка в подальшому була поглиблена його учнями - професорами Є.К.
Мазінг і Н.Р. Брілінгом.
Ця теорія є основою при вивченні та
кількісній оцінці робочих процесів, що відбуваються в циліндрі двигуна, і є
важливим посібником при проектуванні ДВС; вона забезпечила вдалий вибір
основних параметрів, що дають наочне уявлення про основні елементи процесів,
чіткість їх визначень, правильність якісної оцінки впливу різних чинників на ці
параметри і на весь робочий процес. Всі елементи теорії використовуються до
теперішнього часу. Якщо додати до цього простоту її математичного апарату, то
буде зрозуміло, що вона є прекрасним засобом для з'ясування основних
залежностей. Теорія газообміну в двотактних двигунах розроблена професором А.С.
Орлиним. Дизелебудування належить до числа передових галузей техніки. У світі
випускається величезна кількість дизелів.
Досить сказати, що тільки за
кордоном їх виробляється більше 20 млн. На рік, а все зростаючий попит на них
характеризується значним поліпшенням їх якості та економічності.
Основний напрямок розвитку і
вдосконалення дизелів пов'язано з поліпшенням їх економічних показників при
тривалій експлуатації.
Підвищення експлуатаційної
економічності і надійності дизеля досягається економією паливно-мастильних
матеріалів (ПММ), вдосконаленням окремих вузлів дизеля і здешевленням
технічного обслуговування та ремонтів.
Заходи з економії ПММ включають
підвищення якості та ефективності всіх видів паливопідготовки, оптимізацію
процесів подачі палива, його розпилювання та спалювання в робочому циліндрі
дизеля, фаз газорозподілу в робочому циклі дизеля; вибір схеми і агрегатів
наддуву, вибір раціональних способів утилізації теплоти відхідних газів після
турбіни і в системах змащення й охолодження, оптимізація всіх елементів циркуляційної
масляної системи змащення, системи мастила робочих циліндрів і т.п.
Надійність дизеля забезпечується,
головним чином, в процесі його проектування і експлуатації. Сучасні форсовані
дизелі на відміну від своїх попередників являють собою значно більш складні і
напружені технічні установки як по конструкції і запасам міцності,
так і щодо динамічної взаємодії
складових елементів систем і процесів. У великій частині це компенсується
розвиненими автоматизованими системами захисту, контролю, управління і регулювання.
Безаварійна і ефективна робота
сучасних дизелів повинна бути, в першу чергу, забезпечена відповідною
кваліфікацією персоналу і необхідним рівнем баз технічного обслуговування, які
мають кваліфікованими кадрами і повними комплектами спеціалізованого
інструменту. Якість технічних оглядів (ТО) і ремонтів істотно визначає
експлуатаційну економічність і надійність дизеля.
Значного розвитку набула теорія
розвитку робочих процесів. У ній з'явилися нові розділи, присвячені погодженням
характеристик складових елементів комбінованих двигунів між собою, розрахунку
газодинамічних процесів несталого потоку в газовоздушном тракті двигуна,
прогнозуванню теплонапруженості основних деталей і т.п.
Досягнення в галузі ЕОМ дали
можливість успішно використовувати математичне моделювання та системи
автоматичного проектування при створенні й доведенні комбінованих двигунів.
В даному курсовому проекті
проводиться розрахунок суднового двигуна внутрішнього згоряння марки 7ДКРН
70/280, як видно з марки двигун чотирициліндровий, двотактний, крейцкопфний,
реверсивний, з газотурбінним наддувом; діаметр циліндра - 0,7 м, хід поршня -
2,8 м, номінальна потужність двигуна 21735 кВт при частоті обертання
колінчастого вала 91 хв-1.
Конструктивні особливості двигуна
Двигун MAN B&W 7S70МС-С -
двотактний двигун простої дії, реверсивний, крейцкопфний з
механічно-гідравлічною системою подачи палива, з двома турбонагнітачами з
наддувом при постійному тиску и двома холодильниками наддувного повітря. У
двигуні були виконані значні зміни в елементах паливних систем та систем
підготовки повітря та газообміну у порівнянні з інакшими конструкціями.
Рис.1.1 Переріз двигуна MAN B&W
7S70МС-С
Рис.1.2 Стендові характеристики
двигуна MAN B&W 7S70МС-С
Таблиця 1.1 Основні технічні дані
двигуна
|
Номінальна потужність двигуна, кВт
|
21735
|
|
Частота обертання, хв-1
|
91
|
|
Циліндрова потужність, кВт
|
21770
|
|
Питома витрата палива при 100% навантаження,
г/(кВт·год)
|
169
|
|
Питома витрата палива при 80% навантаження,
г/(кВт·год)
|
168
|
|
Діаметр циліндра, мм
|
700
|
|
Хід поршня, мм
|
2800
|
|
Середній ефективний тиск, МПа
|
1,9
|
|
Максимальний тиск згоряння, МПа
|
15,1
|
|
Тиск наддуву, МПа
|
0,365
|
|
Тиск стиснення, МПа
|
13,2
|
|
Витрата циліндрового масла, г/(кВт·год)
|
0,7
|
|
Витрата масла у стічно-циркуляційній системі,
г/(кВт·год)
|
0,15
|
|
Температура відхідних газів на вході в
турбонагнітач, ºС
|
398
|
|
Температура вихідних газів на виході з
турбонагнітача, ºС
|
245
|
Фундаментна рама двигуна виконана з
упорним підшипником у кормовій частині. Вона являє собою стальну зварну
конструкцію з повздовжньою балкою з литими сталевими постілями для рамових
підшипників. Рамові підшипники, тонкостінної
конструкції, залиті білим металом. Для кріплення двигуна до фундаменту
передбачаються довгі еластичні високоміцні болти з гідравлічною затяжкою. Рама
виконується без ухилу при кріпленні на епоксидних клиннях.
Масляний піддон двигуна виконано зі
стальної основи та приварюється до фундаментної рами.
Станину двигуна виконано за типом
зварної конструкції. На стороні вихлопу розміщені запобіжні клапани на кожному
циліндрі, на стороні розподілу- оглядові лючки. Направляючі повзуни крейцкопфа
приварені. Станина з'єднана з фундаментною рамою болтами.
Станина, фундаментна рама та блоки
циліндрів з'єднанні анкерними зв’язками.
Блок циліндрів виконаний з чавуну.
Зі сторони розподільного валу блок циліндрів має кришок, для нагляду за
поршневими кільцями, яка має отвори для входу
продувочного повітря з боку продувного колектору. Блок циліндрів має трубки для
підводу масла на охолодження поршня.
На блоці кріпляться: повітряний
ресивер, турбонагнітач, охолоджувач повітря і кронштейни для площадок. У нижній
частині блока розміщений сальник штока поршня, який призначений для ущільнення:
зі сторони картера запобігає потрапляння масла у підпоршневу порожнину; зі
сторони підпоршневої порожнини запобігає потраплянню повітря, газів,
відпрацьованого циліндрового масла у картер.
Циліндрова втулка двигуна виконана з
чавунної відливки і встановлюється на блоці за допомогою фланця. У верхній
частині маються свердлення в які встановлюються трубки з ізоляцією або без.
Розміщення охолоджувальних каналів, найменування або відсутність ізоляції
трубок призначені для підтримання температури втулки за якої відсутня сірчиста
корозія та одночасно не вище температури при якій порушується режим змащування
робочої поверхні.
Циліндрова кришка двигуна - масивна
сталева єдина конструкція з просвердленими охолоджувальними каналами. У кришці
встановлено вихлопний клапан, запобіжний та індикаторний кран. Кришка кріпиться
до станини шпильками, гайки кріплення затягуються гідравлічно.
Шатун двигуна виконується кованим
або литим із сталі і з’єднує крейцкопф та колінчастий вал за допомогою
підшипників. Підшипники з’єднуються болтами, гайки яких затягуються
гідравлічно. Крейцкопфний підшипник - тонкостінчастий, вкладиші вкриті білим
металом. Основне навантаження бере на себе нижній вкладиш. Мотилевий підшипник
-тонкостінчастий, вкладиші вкриті білим металом.
Змащення підшипників здійснюється
через отвори у крейцкопфі і у шатуні.
У цілях економії висоти шатун
виконують відносно коротким.
Поршень складається з головки та
тронка. Тронк поршня - чавунне лиття з бронзовим бандажем. Головка поршня
виконана з високоякісної сталі та має чотири кільцеві канавки, що вкриті
хромовим покриттям з двох сторін канавки.
Верхнє поршневе кільце типу CPR
(компресійне), три інші кільця мають косі замки. Верхнє поршневе кільце ширше
за інші.
Шток поршня - кований стальний з
обшліфованою та термічно обробленою поверхнею для надання йому твердості і
зносостійкості, що дозволяє збільшити питомий тиск ущільнюючих кілець сальника
і довговічності при стиранні. Шток з’єднаний з крейцкопфом чотирма шпильками.
Шток має центральний отвір в якому знаходиться трубка для підводу масла для
охолодження поршня.
Крейцкопф забезпечую передачу
потужності від штоку поршня до шатуна і навпаки, він виготовляється кованим
сталевим і з’єднується зі сталевими литими башмаками вкритими білим металом.
Поперечина крейцкопфа має телескопічну трубку для входу і виходу масла.
Розподільний вал призначений для
розподілу подачі палива за циліндрами, відкриття
вихлопних клапанів та є приводом для лубрикаторів. Розподільний вал збірний з
напресованими кулачками. Розподільний вал має цепний привод від колінчастого
валу.
Упорний підшипник типу В&W-Michell
знаходиться у задній частині двигуна і складається з упорного гребеня, основи
підшипника та упорних подушок з білого металу. Упорний вал складова частина
колінчастого валу і змащується від системи циркуляційного змащення.
Реверсування двигуна здійснюється
електронікою, зміною часу впорскування палива, активацією вихлопного клапану і
пускових клапанів.
Валоповоротний пристрій. Обертове
колесо пов’язане з упорним валом і обертає шестерню кінцевого вала передачі,
який встановлений на фундаментній рамі. Передача обертається електричним
двигуном в я кому присутній гальмівний пристрій. Блокування головного двигуна
при пуску здійснюється, коли передача знаходиться у зачепленні. Введення та
виведення з зачеплення здійснюється в ручному режимі при аксіальному русі
шестерні.
Демпфер повздовжніх коливань
складається з поршня і збірного корпусу, розташованого
спереду рамового підшипника. Поршень демпферу виконано у вигляді інтегрального
гребеня на рамовій шийці, а корпус розташовано на основі підшипника.
Система наддувочного повітря.
Повітря входить у турбонагнітач з машинного відділення через фільтр-глушник.
Потім через наддувочну трубу, охолоджувач,
ресивер та крізь отвори у втулці циліндрів надходить до них під час фази
газообміну.
Охолоджувачі наддувочного повітря блочного
типу окремі для кожного турбонагнітача. У ньому повітря охолоджується забортною
водою тиском 0,2…0,25 МПа або прісною водою тиском 0,45 МПа. Конструкція
повітроохолоджувача виконана таким чином, що різниця між температурами
наддувочного повітря і вхідної забортної води може досягати 12 ºC.
Двигун має допоміжні повітродувки
повітря від яких входить у двигун, не проходячи охолоджувач наддувочного
повітря. Між охолоджувачем і ресивером встановлюються незворотні клапани, які
автоматично закриваються при непрацюючій повітродувці. Повітродувки починають
працювати перед пуском двигуна для досягнення ефективного тиску необхідного для
нормального початку роботи машини.
Паливні і пускові клапани
Циліндрова кришка має три форсунки,
пусковий клапан і індикаторний кран. Відкриття клапанів здійснюється за рахунок
бустера високого тиску, а
закриття
пружиною. При зупинці двигуна паливо автоматично циркулює через клапан,
золотник автоматично скидає паливо при несправностях клапанів.
Труби високого тиску мають спеціальні
з’єднання і рукава для витримування високого тиску. Механічний
повітророзподільник встановлюється на двигунах МС, має один соленоїдний клапан
на кожний циліндр, який контролюється контрольною системою дизеля. Повільний
поворот перед пуском запрограмований у програмі базової контрольної системи.
Пусковий клапан відкривається
повітрям і закривається пружиною.
Інтегральна контролююча система
дизеля контролює роботу пускового клапана у часі.
Двигун обладнаний індикаторним
краном на який може встановлюватися датчики системи діагностування.
Випускний клапан складається з
корпуса і штока клапана. Корпус клапана
чавуна відливка з каналами для
охолодження. Корпус має у нижній частині охолоджувальне стальне днище замість
встановлення сідла. Шток випускного клапана виконаний з жароміцного нікелевого
сплаву (німоніку). Вихлопний клапан відкривається електронною гідравлічною
системою, а закривається тиском повітря.
Робота вихлопного клапана
контролюється розподільчим валом. Обертання клапана для його надійного та щільного
прилягання у сідлі забезпечується, встановленим
на штоку імпелером.
У верхній і нижній частині клапана,
для забезпечення його м'якої роботи встановлені демпфери. Порожнини охолодження
ущільнюються силіконовими кільцями, які змінюють через 1,5…-2 тис. годин. Нижнє
кільце змінене на розрізне, підпружинене, фторопластове для збільшення ресурсу
до 3 тис. годин.
Робоча поверхня сідла має жароміцний
нікелевий наплав, для ефективної протидії високотемпературній корозії.
Появи на сідлі плям прогару не
рекомендується видаляти до тих пір, поки не з’являться наскрізні канавки. В
останніх моделях фірма почала виробництво клапанів Duracel з наплавленням на
посадочну поверхню жароміцного та жаростійкого хромонікелевого сплаву
(інконель), який витримує високу температуру. Одночасно фірма перейшла на
конструкцію сідел з двома камерами (W - подібна посадкова поверхня сідла).
Двигун обладнаний кронштейнами,
площадками, леєрами. Площадки встановлені таким чином, щоб легко виконувати
перевірки і спостереження. У районі
кронштейнів проходять труби різних систем, що забезпечують роботу двигуна. Зі
сторони випуску до кронштейнів кріпляться балки штормового кріплення двигуна.
Паливна система двигуна
Паливна система призначена для
прийому, зберігання, перекачування, очищення, підігріву і подачі палива до
головних і допоміжних двигунів внутрішнього згорання і парогенераторів, а також
для передачі його на берег або на інші судна. Більшість дизелів транспортних
теплоходів на основних режимах плавання працюють на важких (вузьких) сортах
палива. При запуску само,на перехідних режимах і перед зупинкою використовують
легке (малов’язке) паливо. Тому в складі СДУ необхідна наявність двох паливних
систем: важкого і легкого палива; перша забезпечує також роботу допоміжного
парогенератора, а друга - роботу допоміжних двигунів.
Витратні цистерни розташовують на
верхніх майданчиках машинного відділення. Запас палива в цих цистернах повинен
забезпечити роботу головних двигунів протягом 8 ч. Видаткова цистерна 7
(рисунок 1.3) забезпечена вимірником рівня, який виконують у вигляді скляної
трубки або поплавка із зовнішнім покажчиком. Для важкого палива цистерна має
змійовик для підігріву. Цистерна повинна мати також вентиляційну трубку, що
виходить на палубу, трубу для переливу палива в одну з цистерн основного запасу
на випадок переповнення цистерни, кран для спуску води, трубопровід для
поповнення цистерни і горловину для огляду й очищення.
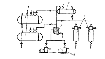
На малюнку 1.4 представлена схема
паливної системи дизеля для роботи на важкому паливі. Паливо зберігається в
міждонних цистернах 1.
Паливоперекачувальні насоси 2
подають паливо в відстійні цистерни 3 і 4, звідки воно надходить до сепараторів
5 і 6, включених послідовно.
Сепаратор 5 працює як пуріфікатор (з
безперервним видаленням води),
сепаратор
6 - як кларіфікатор.
Рис 1.3 Схема паливної системи для
роботи дизеля на важкому паливі
Очищене від води і механічних
домішок паливо надходить в видаткову цистерну 7. Паливоперекачувальний насос 12
через фільтр 11 приймає паливо з цистерни 7 і нагнітає його через підігрівач 13
і фільтр 15 до ПНВТ 16.
Пуск двигуна і робота при
маневруванні здійснюються на дизельному паливі або на моторному паливі типу ДП.
Воно зберігається в цистерні 10.
За допомогою роз'єднувальних
клапанів можна переводити двигун на роботу на пусковому паливі.
При використанні високов'язких палив
передбачається паровий підігрів палив в міждонних цистернах до 35 ... 50 ° С,
електропідігрів перед сепараторами до 85 ° С, у видаткових цистернах до 45 ...
50 ° С. Після витратних цистерн в підігрівачі 13 паливо підігрівається до
температури, при якій в'язкість його перед форсунками буде не вище 2,5 ° ВУ.
Спеціальні в’язкозіметри 14
вимірюють в'язкість палива по виході з топлівоподогревателей. Термостати
автоматично регулюють подачу пари на підігрівники, підтримуючи задану в'язкість
палива. Трубопроводи високого тиску від ТНВД до форсунок забезпечені паровим
супутником.
Надлишки палива від ПНВТ
повертаються в цистерни 8 і 9. Повернення гарячого палива (80 ... 85 ° С) в
спеціальну цистерну невеликого обсягу дозволяє підтримувати у видатковій
цистерні (обсяг якої досягає 8 ... 10 м3)порівняно невисоку температуру (40 ...
50 ° С), що сприяє зниженню температури в машинному відділенні.
Система пуску двигуна
Пускова система стисненого повітря
складається з наступних пристроїв:
допоміжних компресорів, балонів
стислого повітря (воздухохранітелей), трубопроводів високого тиску, головного
пускового клапана, повітророзподільників і пускових клапанів робочих циліндрів.
За Правилами Регістру енергетична
установка повинна обладнуватися не менш як двома головними компресорами і
аварійним (первинним) дизель-компресором з ручним пуском. Кожен компресор
повинен мати таку продуктивність, при якій один з балонів головного дизеля
заповнюється повітрям від тиску 0,5 МПа (5 кгс / см2) до робочого тиску 2,5 ...
3,0 МПа(25 ... 30 кгс / см2) не довше ніж протягом однієї години. Ємність
кожного воздухохранітеля повинна бути достатньою для 12 пусків реверсивного або
шести пусків нереверсивного дизеля з холодного стану, без додавання повітря.
Енергетична установка обладнується
двома павітряними ресиверами для головних дизелів і двома балонами для
допоміжних. Між компресором і балонами встановлюють волого відділювач, що
очищує повітря не тільки від води, а й від мастила, що потрапило в повітря в
циліндрах компресора.
Рис 1.4 Пускова система стисненого
повітря
- повітряні ресивери; 2 - балон для
суднових потреб; 3 вологовідділювач; 4 балони для пуску допоміжних дизелів;5 -
компресори
Система мащеня двигуна
Призначення і склад системи. Система
мастила забезпечує подачу масла до тертьових поверхонь для зменшення їх тертя,
відводу теплоти, виділяється при терті, а також для очищення поверхонь тертя
від продуктів зносу, нагару та інших сторонніх часток. Оскільки масло часто
використовується для гідроприводу і в якості охолоджуючої рідини для відводу
теплоти від нагрітих деталей, наприклад від головки поршня, то поряд з терміном
«Система мащення» широко використовується термін «масляна система». У першому
випадку підкреслюється основна функція системи - мастило поверхонь, а в другому
- рід рідини без вказівки її призначення.
Система змащення включає в себе
масляні насоси, масляні фільтри, охолоджувачі масла, масляні цистерни (ємкості),
мастилопроводи. Масляні насоси служать для безперервної або періодичної подачі
певного кількості масла в нагнітальний трубопровід; масляні фільтри - для
очищення масла від сторонніх включень (нагару, відкладень металевих частинок).
В охолоджувачах масло віддає теплоту, відведену їм від гарячих поверхонь
деталей двигуна.
На малюнку 1.5 представлена схема
масляної системи з «сухим» картером. Масло знаходиться в циркуляційної цистерні
1, розташованої нижче двигуна.Один з насосів 9 (другий - резервний) через
приймальний фільтр 10 приймає масло з цистерни 1, подає через фільтр грубого
очищення 8, терморегулятор 6 і охолоджувач масла 5 в нагнітальну магістраль 4.
Частина масла після фільтра грубої очистки 8 надходить у фільтр тонкого
очищення 7 і повертається в цистерну1. Масло, що стікає з поверхонь тертя в
картер, зливається по трубі 3 в цистерну 1. Це відпрацьоване масло має
підвищену температуру, насичене парами, повітрям і газами, містить багато піни.
У цистерні 1 воно відстоюється, пари конденсуються, повітря і гази
відокремлюються і йдуть по вентиляційній трубі 2
.
Малюнок 1.5 Схема мастильної системи
з «сухим» картером
Фільтр тонкого очищення 7 на
багатьох двигунах встановлюється в системі не паралельно фільтру грубого
очищення 8, а послідовно. У такому випадку він називається полнопроточним.
Система охолодження двигуна
Система охолодження служить для
охолодження деталей, що нагріваються від згоряння палива і від тертя, для
відводу теплоти від робочих рідин (масла, палива, води) і наддувочного повітря.
Охолоджувати деталі двигуна необхідно з різних причин: кришку циліндра - для
зниження температури вогневого днища і температурних напружень до значень, які
забезпечують збереження механічних властивостей і тривалу міцність деталі;
втулку циліндра - для зниження температури дзеркала до значень, які
забезпечують збереження масляної плівки; поршень - для зниження температурних
напружень і забезпечення надійної роботи поршневих кілець; корпус турбіни
турбокомпресора - для зменшення підігріву повітря в компресорі; колектор
випускний або його кожух - для оберігання обслуговуючого персоналу від опіку і
зменшення виділення теплоти в машинне відділення судна.
Система охолодження складається з
водяних насосів, охолоджувачів, розширювальної цистерни, терморегуляторів,
трубопроводів. Водяні насоси забезпечують безперервний рух (циркуляцію)
охолоджуючої води в системі. Охолоджувачі призначені для відводу у воду
надлишкової теплоти від охолоджуваних рідин і наддувочного повітря.
Розширювальна цистерна
(Бачок) служить для компенсації змін
об'єму води в системі внаслідок зміни її температури, для поповнення втрат води
в системі через витоки і випаровування, а також видалення з системи повітря і
водяної пари.
Терморегулятори повинні автоматично
підтримувати температуру води, а також охолоджуваних рідин в заданому
діапазоні.
У одноконтурній системі охолодження
насос забортної води через фільтр і всмоктувальну трубу приймає забортну воду і
подає її в нагнітальну магістраль, прокачувати через мастилоохолоджувач. Після
проходження через двигун нагрілася вода зливається за борт.
Рисунок 1.6 Схема двоконтурної
системи охолодження
У двоконтурної системі охолодження
(малюнок 1.6) насос прісної води 7 нагнітає воду в двигун через магістраль 5.
Вихідна з двигуна гаряча вода по трубопроводу 4 направляється в охолоджувач
прісної води 8 і після охолодження повертається до насоса 7. Таким чином,
система прісної води виявляється замкнутою і вода в ній циркулює безперервно.
До цього замкнутому кільцю підключені труби 2 і 6, що виходять на
розширювальний бачок 3, в якому завжди повинна бути вода. Труба 6 підключається
до всмоктуючого патрубка насоса і служить для заповнення витоків води і для
компенсації зміни об'єму води в замкнутому контурі (при пуску і прогріві
двигуна вода нагрівається і частина її виходить у бачок 3, при охолодженні води
після зупинки двигуна її обсяг зменшується і частина води з бачка 3 надходить в
циркуляційний контур). Трубка 2, що з'єднує верхню частину двигуна з бачком 3,
служить для видалення з системи парів води і повітря, тому її часто називають
пароповітряної або пароотводной.
Забортної вода в зовнішньому контурі
схеми подається насосом забортної води 12 на охолоджувачі наддувочного повітря
1, палива 11, масла 10, прісної води 8. На охолоджувачі 8 встановлений
терморегулятор 9, який для підтримки температури робочої рідини в заданих межах
при зміні режиму роботи двигуна або зовнішніх умов змінює кількість прісної
води, проходить через охолоджувач.
Тепловий розрахунок дизеля
Розрахунок робочого циклу двигуна
Вибір і обґрунтування вихідних даних
Процеси, які здійснюються в робочому
циліндрі, внаслідок складних взаємозв'язків між параметрами і фізичними
явищами, а також через змінність об'єму циліндра дуже складні. Тому в
розрахунках звичайно прибігають до визначених спрощень опису фізичних явищ, що
дозволяє використовувати загальновідомі положення технічної термодинаміки.
Зміна параметрів у процесах циклу
залежить як від конструктивних особливостей двигуна, наприклад, дійсного
ступеня стиску, так і від параметрів у колекторах, що залежать від особливостей
систем повітропостачання і газовідводу.
Розрахунок власне циклу зводиться до
визначення параметрів наприкінці відповідних процесів, починаючи з процесу
наповнення, розрахунку параметрів, що характеризують цикл у цілому -
індикаторних показників двигуна; побудові теоретичної індикаторної діаграми.
Крім того, проводять розрахунок параметрів,
що
характеризують роботу двигуна в цілому - ефективних показників двигуна.
Для розрахунку робочого циклу
необхідно вибрати ряд вихідних параметрів. Вибір кількості вихідних даних
залежить від прийнятої схеми розрахунку робочого циклу, а правильність
прийнятих даних істотно впливає на точність кінцевих результатів розрахунку.
Дійсне значення ступеня стиснення .
Величина дійсного ступеня стиснення впливає на параметри циклу і показники
двигуна. Прагнення зменшити максимальний тиск в циклі (і тим самим збільшити
ресурси двигуна) примушує зменшувати величину ступеня стиснення найбільш
вигідною з погляду паливної економічності. Для двигуна, що розраховується,
приймаємо ступінь стиснення = 12,5 [6].
Коефіцієнт залишкових газів γг.
Величина коефіцієнта залишкових газів залежить від тактності і оборотності
двигуна, типу системи газообміну і її конструктивного виконання, розмірів
циліндра, ступеня стиснення. Приймаємо
= 0,04 [6].
Температура повітря в наддувочному
колекторі Тк. Величина температури в наддувочному колекторі не повинна бути
нижче за температуру точки роси, яка залежить від тиску наддувочного повітря,
температури навколишнього середовища і відносної вологості навколишнього
повітря. У першому наближенні можна
прийняти Тк =320 К [6].
Коефіцієнт наповнення циліндра. У
першому наближенні для двохтактних ДВЗ ηн
= 0,85 [6].
Підігрів повітря об стінки циліндра.
Згідно з досвідченими даними для ДВЗ наддувом Та = 5 К [6].
Коефіцієнт зниження тиску при вході
в циліндр. Для двохтактних ДВЗ з прямоточно-клапанним
продуванням Ка=1,0 [6].
Показник політропи стиснення. У
першому наближенні n1 =1,35 [6].
Коефіцієнт використання теплоти в кінці
згорання, точка “z”.
Приймаємоξz=0,93
[6].
Коефіцієнт використання теплоти в
кінці процесу розширення, точка “b”.
Приймаємо ξb
= 0,96 [6].
Ступінь підвищення тиску в циліндрі λ.
Приймаємо λ=
1,33 [6].
Максимальна температура при згоранні
палива Тz. У першому наближенні Тz= 2000 К [6].
Температура в кінці розширення, Tb =
1000 К (попередня величина для
розрахунку) [6].
Показник політропи розширенні (у
першому наближенні) n2 = 1,25 [6].
Температура залишкових газів Тг =
673 К [4].
Механічний ККД двигуна, ηм.
Приймаємо величину ηм
= 0,95 [6].
Коефіцієнт тактності z. Для
двотактного двигуна z = 1 [6].
Частка втраченого 70/280 (MAN
7S70MC-С) згідно [4]:
Діаметр циліндра Dц = 0,70 м.
Хід поршня S = 2,800 м.
Ефективна потужність двигуна Nе =
21735 кВт.
Частота обертання n = 91 хв-1.
Число циліндрів i = 7.
Очікувана питома ефективна витрата
палива ge = 0,169 кг/(кВт·год).
Частка втраченого ходу
=
0,08 [6].
Коефіцієнти в рівняннях середньої
ізохорної теплоємності чистого повітря і чистих продуктів згорання [6]:'v =
19,26 кДж/(кмоль·К); a''v = 20,47кДж/(кмоль·К); b' = 0,0025кДж/(кмоль·К2); b''
= 0,0036 кДж/(кмоль·К2).
Склад палива (приймається умовне
паливо [7]): вуглець С = 0,866 кг; водень Н = 0,13 кг; кисень О = 0,004 кг;
волога W = 0 кг і сірка S = 0 кг.
Коефіцієнт округлення індикаторної
діаграми φскр
= 1,0 [6].
Механічний ККД ηm
= 0,95 [6].
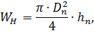
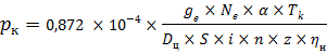
Розрахунок процесу наповнення
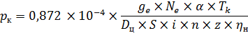
Необхідний тиск повітря в
наддувочному колекторі, МПа [6]:
|
рк
=
0,872
× 10-4
|
×
|
0,169 ×
21735 ×
2,5 × 320
|
|
|
= 0,345
МПа.
|
|
|
|
|
|
|
|
|
|
0,7
2
× 2,8
× 7 ×
91
× 1 ×
0,85
|
|
|
|
|
|
|
|
Тиск в кінці процесу наповнення, МПа
[6]:
= 1,0·0,345 = 0,345
МПа.
Температура в кінці процесу
наповнення, К [6]:
|
Та
=
|
TK
+ DTa
+g Г
×Т Г
|
=
|
320 +
5 + 0,04 ×
673
|
= 344 К.
|
|
1+g
Г
|
|
|
|
|
|
|
1 +
0,04
|
Коефіцієнт наповнення циліндра[6]:
|
ηh
=
|
12,5
|
|
×
|
|
0,345
|
×
|
|
320
|
|
×
|
|
1
|
× (1
- 0,08)
= 0,876.
|
|
|
|
|
|
0,345
|
|
344
|
|
|
|
|
|
|
|
12,5 -1
|
|
|
|
|
|
|
|
1 +
0,04
|
|
|
|
|
|
|
|
|
|
|
|
|
|
|
|
|
|
|
|
|
|
|
|
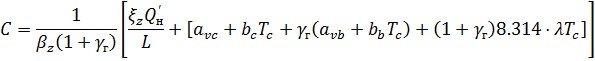
Процес стиснення повітря в циліндрі
ДВЗ здійснюється при русі поршня від нижньої мертвої точки (НМТ) до верхньої
мертвої точки (ВМТ). Основне призначення процесу стиснення - підвищення температури
заряду для забезпечення самозаймання упорскуємого палива (суміші) і ефективного
його спалювання. Цей процес стиснення є політропним з показником ступеня
стиснення n1, змінним на всьому протязі ходу поршня. У розрахунку робочого
процесу стиснення приймається, що він відбувається за політропою з умовним
середнім показником n1 = const, величина якого забезпечує отримання такої ж
роботи на лінії стиснення, як і при дійсному показнику.
Коефіцієнти в рівнянні середньої
ізохорної теплоємності заряду на лінії стиснення розраховуємо за формулами [6]:
Підставивши значення отримаємо:
Середній показник політропи
стиснення, n1 визначаємо методом послідовних наближень за формулою:
Перше наближення:
Друге наближення:
Третє наближення:
Знаходимо різницю значень показника
політропи стиснення в 3-му і
-му наближеннях:
Оскільки різниця не перевищує ±
0,005, останнє значення приймається як остаточне.
Тобто n1 = 1n (III ) = 1,371.
Тиск в кінці стиснення, МПа [6]:
Температура в кінці стиснення, К
[6]:
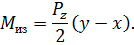
Розрахунок процесу згорання
Основним процесом, що відбувається в
циліндрі двигуна, є горіння рідкого розпорошеного палива, що упорскується в циліндр
дизеля. Процес горіння представляє окислення складових частин палива з
виділенням теплоти, яку необхідно корисно використовувати.
Теоретично необхідно, кількість
повітря для згоряння 1 кг палива L0,
кмоль/кг
[6]:
Дійсна кількість повітря, необхідна
для згоряння 1 кг палива L,кмоль/кг
Хімічний коефіцієнт молекулярної
зміни β0 [6]:
Дійсний коефіцієнт молекулярної
зміни β [6]:
Коефіцієнт молекулярної зміни в
точці z, βz
[6]:
Постійна палива k [6]:
Коефіцієнти в рівнянні середньої
ізохорної теплоємності газів у точці z
визначаються
за рівняннями [6]:
Коефіцієнти в рівнянні середньої
ізохорної теплоємності газів у точці b [6]:
Підставивши значення отримаємо:
Теплота згоряння палива, приведена
до абсолютного нуля Qн, кДж/кг [6]:
Нижча теплота згоряння палива,
приведена до абсолютного нуля
, кДж/кг[6]:
Постійні в рівнянні згоряння:
У першому наближенні температуру Tz
приймаємо виходячи з того, що при більшому значенні Tz > 2000 К відбувається
дисоціація газів, що небажано.
Максимальна температура в циклі Tz
визначається методом послідовних наближень за формулою, К [6]:
Перше наближання при Tz = 2000 К:
Друге наближання:

Максимальний тиск в циліндрі pz, МПа
[6]:
Розрахунок процесу розширення
Основний робочий хід поршня двигуна
здійснюється при розширенні
продуктів
згорання. На процес розширення впливають теплообмін газів, що
розширюються,
із стінками циліндра, можливість витоку газів через нещільність в результаті
процесу дисоціації. Всі ці фактори обумовлюють зменшення показника політропи
n2. У зв'язку з труднощами врахування всіх факторів супроводжуючих процес
розширення, для визначення параметрів газів використовують політропу і умовний
показник n2, що постійний на процесі розширення і дає таку ж роботу, як при
дійсній політропі.
Ступінь попереднього розширення
[6]:
Ступінь подальшого розширення
[6]:
Температура газу в кінці розширення
Тb, К [6]:
Тиск в кінці процесу розширення рb,
МПа [6]:
Визначення індикаторних показників
циклу
Індикаторні показники характеризують
досконалість робочого циклу в
циліндрі,
де враховуються тільки теплові втрати.
Всі теплові втрати в даному циклі
двигуна враховуються індикаторним
ККД,
який є критерієм використання теплоти, підведеної до робочого тіла.
Середній індикаторний тиск по
діаграмі без скруглення pi', МПа [6]:
судовий двигун паливний
дизель
Середній індикаторний тиск за
округленій індикаторній діаграмі, МПа [6]:
Питома індикаторна витрата палива
gi, кг/(кВт·год) [6]:
Індикаторний ККД ηi
[6]:
Визначення ефективних параметрів
двигуна
Ефективні показники робочого циклу
враховують теплові і механічні
втрати,
які є при передачі енергії розширення газів через поршень і
кривошипно-шатуновий механізм на колінчастий вал.
Середній ефективний тиск є одним з
найважливіших показників робочого циклу, що характеризують ступінь ефективного
використання об'єму робочого циліндра, а також рівень наддуву. Ефективний ККД
характеризує ступінь досконалості
робочого циклу, ступінь наближення розрахункового циклу до
ідеального,
ступінь досконалості конструкції [6].
Середній ефективний тиск ре, МПа
[6]:
Питома ефективна витрата палива ge,
кг/(кВт·год) [6]:
Ефективний ККД двигуна, ηе:
Динаміка двигуна
Розрахункова схема
кривошипно-шатунного механізму
Складові рушійного зусилля
Під рушійною силою розуміють систему
всіх сил, прикладених до
центру
приведення всіх поступально рухомих мас механізму.
Для крейцкопфних двигунів точкою
приведення буде центр головного
підшипника.
У загальному випадку рушійні зусилля будуть представляти
алгебраїчну
суму
PДВ = РГ + РS + Pg + PK + Pтр
де РДВ - сила від тиску газів;- сила
інерції поступальних мас;
Рg - сила тяжіння поступальних мас;
РК - сила тиску на поршень з тильної
частини;
РТР- сила тертя.
При ескізному проектуванні двигуна
сили тертя враховувати не обов'язково,
тобто деяке збільшення РДВ отримане при цьому підвищить запас
міцності
деталей в подальших розрахунках на міцність.
У св’язку с тим, що сила Рg та сила
РК є величини постійні, то в розрахунках будемо використовувати формулу
PДв = РГ + РS ,
яка враховує основні складові
рушійного зусилля.
Силова схема КШМ
На рисунку 3.1 представлена силова
схема КШМ, де показано розташування
сил у центрах головного та мотильового підшипників.
Рисунок 3.1 Силова схема КШМ
Найменування цих сил наступне:-
нормальна сила, що діє перпендикулярно осі циліндра;- сила, що діє уздовж осі
шатуна;- радіальна сила, що діє вздовж радіуса кривошипа;
Т - дотична сила, що діє по дотичній
до траєкторії центру мотильової шийки.
Вибір вихідних даних для розрахунку
динаміки
Тактність (число тактів) D = 2;
Частота обертання колінчастого вала,
хв-1 n = 91;
Питома маса поступальних частин
кривошипно-шатунного механізму, кг / м2= 13000;
Радіус кривошипа, м R = 1,4;
Ставлення радіусу кривошипа до
довжини шатуна L = 0,25;
Тиск сил тяжіння поступальних мас
кривошипно-шатунного механізму,
МПа РТ = 0,180;
Тиск на поршень з його тильній
частині, МПа РК = 0,336;
Тиск кінця стиснення, МПа PC = 13,2;
Максимальний тиск в циліндрі, МПа PZ
= 15,1;
Ступінь попереднього розширення RO =
1,388;
Показник політропи стиснення n1 =
1,371;
Показник політропи розширення n2 =
1,245;
Ступінь стиснення еР = 12,5.
Побудова діаграми сумарних дотичних
зусиль і визначення середнього крутильного моменту
Визначення максимального кута
повороту кривошипа
Кут повороту кривошипа відповідний
періоду зміни сумарної дотичній
діаграми визначається за формулою:
де z = 1 - коефіцієнт тактності
двигуна;
i = 7 - кількість циліндрів двигуна;
тоді
Побудова діаграми сумарних дотичних
зусиль
Останній стовпчик таблиці 3.1
ділиться на шість рівних ділянок, відповідних
αΣ
= 60 °. Значення дотичного зусилля кожної
ділянки заповнюється
в таблиці 3.1 у вигляді вертикальних стовпців у відповідний з
порядком
роботи циліндрів двигуна. Причому, останні значення стовпця
записується
першим в подальшому. Потім підсумовуємо всі значення
дотичного
зусилля по горизонтальних рядках. В останньому стовпці
виходить
значення дотичній сили ΣТ.
Середнє значення сумарної дотичній
сили визначається за формулою:
де n = 7 - кількість сумарних
дотичних зусиль.
Таблица 3.1
|
Угол поворота Номера циліндрів Сумарні колінвала
αΣ, 1 2 3 4
5 6 7 дотичні град
зусилля, МПа 0
0 -0,982 0 2,056 0 3,396 0 4,47 10
-0,207 -0,793 2,939 1,981 3,554 -0,793 5,6132 12,2942 30
-0,617 -0,481 4,682 1,658 4,3075 -0,481 6,7051 15,7736 40
-0,809 -0,542 3,707 1,417 3,675 -0,542 5,8604 12,7664 50
-0,975 -0,859 2,922 1,145 3,0935 -0,859 5,1217 9,5892 60
-1,095 -1,42 2,441 0,859 2,627 -1,42 4,5716 6,5636 70
-1,145 -1,942 2,205 0,57 2,245 -1,942 4,1034 4,0944 80
-1,108 -1,659 2,108 0,284 1,892 -1,659 3,4806 3,3386 90
-0,982 0 2,056 0 3,396 0 6,434 10,904
|
Перевірочний розрахунок на міцність
основних деталей двигуна
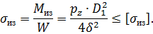
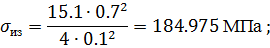
Основний розрахунковий елемент
поршня - його днище, в якому під час роботи виникає напруга, обумовлена тиском
газів і різницею температур внутрішньої і зовнішньої поверхонь. Поршневе днище
прийнято розраховувати (рисунок
4.1), як вільно лежачу плиту, що спирається на коло середнього діаметру
поршня
D1 і навантажену рівномірним тиском Pz..
Рисунок 4.1 - Розрахункова схема
поршня
Напруга в матеріалі за вказаних умов
є більшою, ніж в реальному випадку закріплення плити по краях [8].
Небезпечний перетин I - I
розташовано по діаметру. Розглянемо умови
рівноваги
будь-якої половини плити. Рівнодіючий тиск Pz становитиме
а для половини плити вона складе
/2
і буде прикладена в центрі тяжкості півкола
на відстані х від перетину - . Рівнодіюча опорного
тиску (реакція) по величині
також рівна
/2, але направлена
в протилежну сторону і прикладена в центрі
тяжіння півкола на відстані у від небезпечного перетину.
Таким чином, в діаметральному
перетині діє пара сил, що створює момент вигину:
Відомо, що
а
.
Тоді:
Момент опору вигину W в припущенні,
що днище плоске
Напруга вигину
Для створення додаткового запасу
міцності в розрахунках приймають
, де D - діаметр
циліндра.
тут
а - коефіцієнт пропорційності, рівний для чавуну 0,00835, для сталі 0,02, для
алюмінієвих сплавів 0,00547;
- товщина днища,
м; q - питоме теплове навантаження, Дж/(м2·с), рівна q=(0,071...0,186·n)·pi; п
- частота обертання колінчастого валу, с-1; pi - середній індикаторний тиск,
Н/м2.
Сумарна напруга в днище поршня,
рівне
не повинно
перевищувати для чавунних поршнів 200 МПа, для сталевих 400 МПа, для
алюмінієвих 150 МПа. З останньої формули виходить, що із збільшенням
товщини
днища поршня механічна напруга знижується, а теплові зростають.
Таким чином, якщо підставити в
приведені формули всі відомі значення, отримаємо:
Таким чином запас міцності
забезпечений.
Розрахунок систем двигуна
Розрахунок систем паливоподачі у
першу чергу стосується вибору
основних
геометричних розмірів паливного насоса високого тиску, соплового
апарата
форсунки й паливного кулачка, що забезпечують одержання заданих
параметрів
упорскування [8].
Нижче приводиться скорочений спосіб
визначення основних
конструктивних
елементів паливної апаратури.
Головне в розрахунку форсунки -
визначення діаметра соплових отворів dc.
Вихідним для розрахунку є вираз, що встановлює кількість палива gЦ, що
доводиться
на одну циклову подачу, г/цикл:
де NeЦ - номінальна потужність
циліндра двигуна, що обслуговується однією
форсункою;
ge - питома витрата палива; nк - номінальна частота обертання
розподільного
вала.
Таким чином при
,
,
,
одержимо:

де
=
0,85…0,90 - густина палива, г/см3.
Об’єм палива
,
який повинен пройти через соплові отвори форсунки й
потрапити
в камеру стиснення за певний заданий проміжок часу й з відповідною
швидкістю.
Така умова визначиться рівнянням
нерозривності потоку:
Звідки
де
-
сумарна площа прохідного перетину всіх соплових отворів розпилювача;
-
швидкість витікання палива;
- час упорскування,
де
впр
- кут упорскування
(поворот кривошипа за період витікання палива з форсунки);= 91 хв-1 - частота
обертання колінчастого вала;
= 0,7...0,8 -
коефіцієнт витікання
з соплового отвору. Приймаємо
= 0,75.
У двигунах з однокамерним
сумішоутворенням можна прийняти
= 250…350 м/с.
Вибір кута
впр залежить від
способу сумішоутворення, швидкохідності й інших факторів. У даному випадку φвпр
= 20 ° п.к.в., тоді:
Визначивши з рівняння величину
і
маючи на увазі, що
, де
-площа
прохідного перетину одного соплового отвору;= 1... 12 - число соплових отворів.
Остаточно отримаємо:
Діаметр соплових отворів у побудованих двигунах
становить= (0,15...1,0) мм. Кут між осями отворів перебуває в межах 70...45 °.
Його
вибирають
залежно від форми камери згоряння.
Розміри паливного насоса визначають виходячи з
величини
.
Якщо враховувати стискальність палива, втрати
палива через нещільності рухливих
частин паливного насоса й інші фактори, то продуктивність насоса зазвичай
приймають з запасом у 1,5…2 рази.
Таким чином, об’єм палива, що повинен
розміститися в над плунжерному просторі
становитиме:
Основні розміри насоса можуть бути визначені з
виразу:
де dп - діаметр плунжера; ℎп -
активний хід плунжера.
Практикою вироблені оптимальні відносини
.
Для тихохідних дизелів m = 0,5...2,0. Приймаємо
m= 2,0.
Підставивши обрані значення, одержимо
Істотним для роботи двигуна є закон подачі
палива. Подача відбувається на відрізку кривої наростання швидкості. Отже,
величина ℎп
повинна становити
приблизно
одну третину повного робочого ходу
плунжера.
Література
1.
Возницкий И.В. Судовые двигатели внутреннего сгорания. Том1. СПб.:
Моркнига,
2007.
.
Возницкий И.В., Пунда А.С. Судовые двигатели внутреннего сгорания. Том2.
СПб.:
Моркнига, 2008.
.
Возницкий И.В. Современные двухтактные малооборотные двигатели. СПб.:
Моркнига,
2006.
.
Возницкий И.В. Современные судовые среднеоборотные двигатели. СПб.:
Моркнига,
2005.
.
Румб В.К., Медведев В.В. Прочность судового оборудования. Часть I.
Конструирование
и расчеты прочности судовых двигателей внутреннего
сгорания:
Учебник, СПбМГУ. - СПб.: 2006.
.
Судовые энергетические установки. Румб В.К., Яковлев, Г.В., Шаров Г.И. и др.
ЧастьI.
Судовые дизельные энергетические установки: Учебник, СПбМГУ. -
СПб.:
2007.
.
Возницкий И.В., Михеев Е.Г. "Судовые дизели и их эксплуатация". М.:
Транспорт
- 1990.
.
Возницкий И.В., Камкин С.В., Шмелев В.П., Осташенков В.Ф. «Рабочие
процессы
судовых дизелей» М.: Транспорт. - 1985.
.
Самсонов В.И., Худов Н.Н., Мирющенко А.А. «Судовые двигатели
внутреннего
сгорания», М.: - Транспорт. - 1981.
.
Портнов Д.А. Быстроходные турбопоршневые двигатели с воспламенением от
сжатия.
М.: Машгиз. - 1963.
.
Лебедев О.Н., Сомов В.А., Калашников С.А. Двигатели внутреннего сгорания
речных
судов. М.: Транспорт. - 1990.
.
Ваншейдт В.А. Конструирование и расчеты прочности судовых дизелей: Л.:
«Судостроение». - 1989.
.
Гогин А.Ф., Кивалкин Е.Ф., Богданов А.А. Судовые дизели. - М.: Транспорт.
-1988.
.
Дизели. Справочник под ред. В.А.Ваншейдта- М-Л.: - Машгиз. -1964.
.
Конструкция и расчет комбинированных двигателей/ Орлин А.С.,Вырубо
Д.Н.,
и др. - М.: «Машиностроение». - 1984.
.
Белоусов Е.В. Методическое пособие к выполнению курсового проекта по
дисциплине:
судовые двигатели внутреннего сгорания и их эксплуатация
«Тепловой,
кинематический, динамический и прочностной расчет двух- и четырехтактных
судовых ДВС». - Херсон: ХДМИ, 2009. - 133 с.