Синтез автоматической системы стабилизации давления в теплообменнике охлаждения пирогаза
Содержание
Введение
. Выбор
периода квантования
. Получение
Z-передаточной функции объекта
. Получение
разностного уравнения объекта регулирования и построение временных
характеристик в аналоговой и дискретной форме
.1 Получение
разностного уравнения объекта регулирования
.2 Временные
характеристики непрерывного и дискретного объекта
. Сравнение
КЧХ непрерывного и дискретного объекта
. Расчет
настроек непрерывного и дискретного ПИ-регуляторов
.1. Расчет
настроек непрерывного ПИ-регулятора
.2. Расчет
настроек дискретного ПИ-регулятора методом теории дискретных систем
. Модель
системы управления в среде MATLAB
Вывод
Список
литературы
Приложение
Введение
Управление техническим объектом обычно состоит в выработке команд,
реализация которых обеспечивает целенаправленное изменение состояния этого
объекта при соблюдении заранее обусловленных требований и ограничений.
Состояние объекта в отношении цели управления определяется текущими
значениями некоторого числа контролируемых переменных, получивших название управляемых
величин объекта.
Воздействия, получаемые объектом со стороны внешней среды и приводящие к
нежелательным отклонениям управляемых величин, называют возмущающими
воздействиями, или возмущениями.
Изменение управляемых величин в соответствии с целью управления (и в
частности, поддержание их на неизменном уровне) осуществляется подачей на
объект специально организуемых управляющих воздействий.
Для возможности реализации этих управляющих воздействий всякий объект
снабжается специально предусмотренными для этой цели управляющими органами.
Управление, осуществляемое без участия человека, называют автоматическим,
а техническое устройство, выполняющее в этом случае функции управления, -
автоматическим управляющим устройством или контроллером; объект управления и
контроллер во взаимодействии друг с другом образуют систему автоматического
управления.
Управление называется непрерывным, если осуществляемое контроллером
изменение управляющего воздействия происходит в непрерывной зависимости от
изменения задающего воздействия и управляемой величины (а возможно, и от
производных и интегралов от этих изменений). В случае дискретного управления
управляющее воздействие принимает лишь какое-нибудь одно из нескольких
возможных значений (в пределе - только из двух возможных значений).
Как правило, из общей задачи управления выделяется задача устранения
(или, по крайней мере, сведения к допустимому минимуму) вредного влияния на
достижение цели управления действующих на объект неконтролируемых возмущений, а
также неконтролируемых погрешностей в задании модели объекта, т.е. задача,
которая в структуре замкнутой системы управления решается на основе рабочей
информации, получаемой контроллером по каналу обратной связи. Это относительно
самостоятельная часть задачи управления получила название задачи регулирования
объекта, а часть системы управления, выполняющая эту задачу, подсистемы
регулирования.
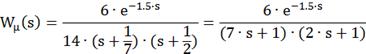
1. Выбор периода квантования
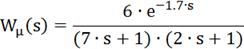
Передаточная функция объекта управления по каналу регулирующего
воздействия имеет вид:
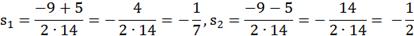
Определим корни характеристического уравнения:
Преобразуем знаменатель передаточной функции к следующему виду:
В результате получим:
Из теоремы Котельникова:
Сделаем замену:
Получим уравнение:
корни которого:
Так как один корень отрицательный, то
и
.
Находим период квантования:
Для того чтобы в дальнейшем при получении Z-передаточной функции
дискретного объекта регулирования можно было использовать обычное (а не
модифицированное) Z -
преобразование, следует изменить время запаздывания непрерывного объекта так,
чтобы это время было бы равно целому числу периодов квантования.
Время запаздывания непрерывного объекта меняем с
на
.
В результате передаточная функция объекта управления будет иметь вид:
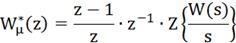
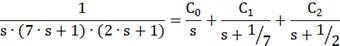
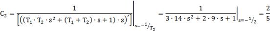
2.
Получение Z-передаточной
функции объекта
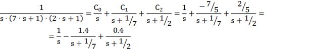
Разложим выражение в фигурных скобках на элементарные дроби через вычеты
по таблице находим Z-преобразование
каждой дроби
где T - время квантования
В итоге, получим Z-передаточную
функцию объекта вида:
после преобразований и подстановки времени квантования
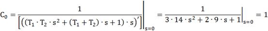
Проверка:
3.
Получение разностного уравнения объекта регулирования и построение временных
характеристик в аналоговой и дискретной форме
.1
Получение разностного уравнения объекта регулирования
Получаем разностное уравнение объекта:
3.2
Временные характеристики непрерывного и дискретного объекта
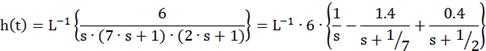
После применения обратного преобразования Лапласа получаем формулу для
вычисления временной характеристики непрерывного объекта:
Временная характеристика дискретного объекта регулирования получается из
разностного уравнения заменой m[kT] на дискретную единичную функцию 1[kT]:
Подставим в уравнение значения:
Y[3.4]=1.2118∙0-0.33526∙0+0.43697∙1 +0.30378∙0=0.43698[5.1]=1.2118∙0.43698-0.33526∙0+0.43697∙1
+0.30378∙1=1.27029[6.8]=1.2118∙1.27029-0.33526∙0.43698+0.43697∙1
+0.30378∙1=2.13360[8.5]=1.2118∙2.13360-0.33526∙1.27029+0.43697∙1
+0.30378∙1=2.90038
Построим графики временных характеристик непрерывного и дискретного
объектов (Рис. 1):
Значения функций непрерывного и дискретного объектов - см. приложение
Таблица 10.
Рис. 1. Временные характеристики непрерывного и дискретного объектов
4.
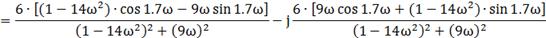
Сравнение КЧХ непрерывного и дискретного объекта
· Получение КЧХ непрерывного объекта:
При замене
, получаем:
Значения координат точек для построения КЧХ - см. приложение Таблица 11.
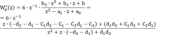
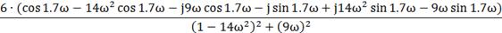
· Получение КЧХ дискретного объекта:
Заменим,
то получаем КЧХ дискретного объекта:
Значения координат точек для построения КЧХ - см. приложение Таблица 11.
Рис. 2. КЧХ непрерывного и дискретного объекта
Сравнивая характеристики непрерывного и дискретного объектов
регулирования, можно сделать вывод, что векторы КЧХ дискретного объекта
практически на всех частотах больше по модулю векторов КЧХ непрерывного
объекта, но имеют большее отставание по фазе.
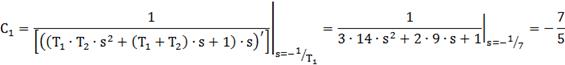
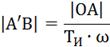
5. Расчет
настроек непрерывного и дискретного ПИ-регуляторов
.1 Расчет
настроек непрерывного ПИ-регулятора
В данной курсовой работе необходимо рассчитать оптимальные настройки
ПИ-регулятора по методу Ротача В.Я. при ограничении на частотный показатель
колебательности.
Исходные данные:
- степень затухания;
- частотный показатель колебательности;
Передаточная функция непрерывного объекта регулирования:
Произведем расчет настроек ПИ-регулятора в программе Linreg, для этого введем в соответствующие
поля данные объекта управления, время запаздывания, коэффициент передачи,
степень затухания.
Рис. 3. Интерфейс программы Linreg при расчете настроек ПИ-регулятора непрерывного объекта
Полученные значения настроек ПИ-регулятора:
Для нахождения оптимальных настроек непрерывного ПИ-регулятора
графо-аналитическим методом используем построение на миллиметровой бумаге (см.
приложение Рис.14), в котором:
Проводим из начала координат луч под углом
.
- угол, характеризующий запас устойчивости системы.
Для точек КЧХ непрерывного объекта, попадающих в III квадрант определяем расстояние
от начала координат.
Перпендикулярно
откладываем расстояние
и получаем КЧХ разомкнутой системы с
ПИ-регулятором с известным значением
.
рассчитываем по формуле:
Далее определяем радиус
окружности, которая будет одновременно касаться КЧХ
разомкнутой системы и луча, определяющего запас устойчивости.
Параметр
настройки регулятора определяем по формуле:
Параметр
определяется для каждого выбранного значения
.
В таблице 1 приведены результаты расчета:
Таблица 1
Значения рассчитанных параметров
|
|
|
|
|
|
|
|
|
|
|
|
0.230
|
-0.757
|
-2.775
|
2.876
|
|
2.779
|
2.501
|
2.274
|
2.084
|
1.924
|
|
0.250
|
-0.962
|
-2.483
|
2.663
|
|
2.367
|
2.130
|
1.936
|
1.775
|
1.638
|
|
0.270
|
-1.113
|
-2.204
|
2.469
|
|
2.032
|
1.829
|
1.663
|
1.524
|
1.407
|
|
0.290
|
-1.220
|
-1.942
|
2.294
|
|
1.758
|
1.582
|
1.438
|
1.318
|
1.217
|
|
0.310
|
-1.292
|
-1.699
|
2.134
|
|
1.530
|
1.377
|
1.252
|
1.147
|
1.059
|
|
0.330
|
-1.335
|
-1.475
|
1.989
|
|
1.340
|
1.206
|
1.096
|
1.005
|
0.927
|
|
0.350
|
-1.356
|
-1.270
|
1.858
|
|
1.179
|
1.061
|
0.965
|
0.885
|
0.816
|
|
0.370
|
-1.358
|
-1.083
|
1.737
|
|
1.043
|
0.939
|
0.854
|
0.783
|
0.722
|
|
0.390
|
-1.346
|
-0.914
|
1.627
|
|
0.927
|
0.834
|
0.759
|
0.695
|
0.642
|
|
0.410
|
-1.323
|
-0.762
|
1.527
|
|
0.827
|
0.745
|
0.677
|
0.621
|
0.573
|
|
0.430
|
-1.291
|
-0.624
|
1.434
|
|
0.741
|
0.667
|
0.606
|
0.556
|
0.513
|
Для удобства нанесения на миллиметровую бумагу введем масштабный
коэффициент:
Полученные значения с учетом масштаба приведены в таблице 2.
Таблица 2
Значения рассчитанных параметров в см
|
|
|
|
|
|
|
|
|
|
|
|
0.230
|
-5.0
|
-18.5
|
19.2
|
|
18.5
|
16.7
|
15.2
|
13.9
|
12.8
|
|
0.250
|
-6.4
|
-16.6
|
17.8
|
|
15.8
|
14.2
|
12.9
|
11.8
|
10.9
|
|
0.270
|
-7.4
|
-14.7
|
16.5
|
|
13.5
|
12.2
|
11.1
|
10.2
|
9.4
|
|
0.290
|
-8.1
|
-12.9
|
15.3
|
|
11.7
|
10.5
|
9.6
|
8.8
|
8.1
|
|
0.310
|
-8.6
|
-11.3
|
14.2
|
|
10.2
|
9.2
|
8.3
|
7.6
|
7.1
|
|
0.330
|
-8.9
|
-9.8
|
13.3
|
|
8.9
|
8.0
|
7.3
|
6.7
|
6.2
|
|
0.350
|
-9.0
|
-8.5
|
12.4
|
|
7.9
|
7.1
|
6.4
|
5.9
|
5.4
|
|
0.370
|
-9.1
|
-7.2
|
11.6
|
|
7.0
|
6.3
|
5.7
|
5.2
|
4.8
|
|
0.390
|
-9.0
|
-6.1
|
10.8
|
|
6.2
|
5.6
|
5.1
|
4.6
|
4.3
|
|
0.410
|
-8.8
|
-5.1
|
10.2
|
|
5.5
|
5.0
|
4.1
|
3.8
|
|
0.430
|
-8.6
|
-4.2
|
9.6
|
|
4.9
|
4.4
|
4.0
|
3.7
|
3.4
|
Измеряя радиусы полученных окружностей (см. приложение Рис.14) определили
значения
. Результаты предоставлены в таблице
3.
Таблица 3
Определение параметра
регулятора непрерывного объекта
|
|
|
|
|
|
|
|
0.79775
|
22.8
|
3.420
|
0.23326
|
4.50
|
0.05184
|
|
0.79775
|
20.1
|
3.015
|
0.26459
|
5.00
|
0.05292
|
|
0.79775
|
17.9
|
2.685
|
0.29711
|
5.50
|
0.05402
|
|
0.79775
|
16.8
|
2.520
|
0.31657
|
6.00
|
0.05276
|
|
0.79775
|
15.9
|
2.385
|
0.33449
|
6.50
|
0.05146
|
|
Настройки ПИ-регулятора,
полученные в Linreg:
|
0.29857
|
5.55
|
0.0538
|
Для определения оптимальных настроек ПИ-регулятора построим графики
зависимостей
и
см. Рис. 4 и Рис. 5.
Рис. 4. Зависимости Кп от Ти (для непрерывного объекта)
Рис. 5. Зависимости Кп/Ти от Ти (для непрерывного объекта)
5.2 Расчет
настроек дискретного ПИ-регулятора методом теории дискретных систем
Произведем расчет настроек цифрового ПИ-регулятора в программе Linreg, для этого введем в соответствующие
поля данные объекта управления, время запаздывания, коэффициент передачи,
степень затухания и период квантования.
Рис. 6. Интерфейс программы Linreg при расчете настроек цифрового ПИ-регулятора дискретного объекта
Полученные значения настроек ПИ-регулятора:
Для определения оптимальных настроек цифрового ПИ-регулятора
графо-аналитически методом теории дискретных систем используем построение на
миллиметровой бумаге (см. приложение Рис.15), в котором:
Проводим из начала координат луч под углом
.
- угол, характеризующий запас устойчивости системы.
Для точек КЧХ дискретного объекта, попадающих в III квадрант определяем расстояние
от начала координат.
К отрезку
добавляется отрезок
, характеризующий увеличение
вещественной составляющей цифрового регулятора на
.
рассчитываем по формуле:
Перпендикулярно
откладываем расстояние
и получаем КЧХ разомкнутой системы с
цифровым ПИ-регулятором с известным значением
.
рассчитываем по формуле:
Далее определяем радиус
окружности, которая будет одновременно касаться КЧХ
разомкнутой системы и луча, определяющего запас устойчивости. Параметр
настройки регулятора определяем по
формуле:
Параметр
определяется для каждого выбранного значения
.
В таблице 4 приведены результаты расчета:
Таблица 4
Значения рассчитанных параметров
|
|
|
|
|
|
|
|
|
|
|
|
0.19
|
-0.676
|
-3.288
|
2.974
|
|
0.634
|
0.571
|
0.519
|
0.476
|
0.439
|
|
0.21
|
-1.020
|
-2.923
|
2.859
|
|
0.585
|
0.526
|
0.478
|
0.439
|
0.405
|
|
0.220
|
-1.157
|
-2.740
|
2.643
|
|
0.562
|
0.506
|
0.460
|
0.421
|
0.389
|
|
0.230
|
-1.273
|
-2.559
|
2.448
|
|
0.540
|
0.486
|
0.442
|
0.405
|
0.374
|
|
0.250
|
-1.452
|
-2.209
|
2.271
|
|
0.499
|
0.449
|
0.409
|
0.374
|
0.346
|
|
0.270
|
-1.571
|
-1.878
|
2.110
|
|
0.462
|
0.416
|
0.378
|
0.347
|
0.320
|
|
0.290
|
-1.640
|
-1.571
|
1.964
|
|
0.429
|
0.386
|
0.351
|
0.322
|
0.297
|
|
0.310
|
-1.670
|
-1.290
|
1.831
|
|
0.399
|
0.359
|
0.326
|
0.299
|
0.276
|
|
0.330
|
-1.669
|
-1.036
|
1.709
|
|
0.371
|
0.334
|
0.304
|
0.278
|
0.257
|
|
0.350
|
-1.644
|
-0.807
|
1.598
|
|
0.346
|
0.311
|
0.283
|
0.259
|
0.239
|
|
0.370
|
-1.600
|
-0.602
|
1.496
|
|
0.323
|
0.291
|
0.264
|
0.242
|
0.224
|
|
0.390
|
-1.542
|
-0.421
|
1.627
|
|
0.302
|
0.272
|
0.247
|
0.226
|
0.209
|
|
0.410
|
-1.473
|
-0.261
|
1.527
|
|
0.283
|
0.254
|
0.231
|
0.212
|
0.196
|
Для удобства нанесения на миллиметровую бумагу введем масштабный
коэффициент:
Полученные значения с учетом масштаба приведены в таблице 5.
Таблица 5
Значения рассчитанных параметров
в см.
|
|
|
|
|
|
|
|
|
|
|
|
0.19
|
-3.4
|
-16.4
|
16.8
|
|
3.2
|
2.9
|
2.6
|
2.4
|
2.2
|
|
0.21
|
-5.1
|
-14.6
|
15.5
|
|
2.9
|
2.6
|
2.4
|
2.2
|
2.0
|
|
0.220
|
-5.8
|
-13.7
|
14.9
|
|
2.8
|
2.5
|
2.3
|
2.1
|
1.9
|
|
0.230
|
-6.4
|
-12.8
|
14.3
|
|
2.7
|
2.4
|
2.2
|
2.0
|
1.9
|
|
0.250
|
-7.3
|
-11.0
|
13.2
|
|
2.5
|
2.2
|
2.0
|
1.9
|
1.7
|
|
0.270
|
-7.9
|
-9.4
|
12.2
|
|
2.3
|
2.1
|
1.9
|
1.7
|
1.6
|
|
0.290
|
-8.2
|
-7.9
|
11.4
|
|
2.1
|
1.9
|
1.8
|
1.6
|
1.5
|
|
0.310
|
-8.4
|
-6.5
|
10.6
|
|
2.0
|
1.8
|
1.6
|
1.5
|
1.4
|
|
0.330
|
-8.3
|
-5.2
|
9.8
|
|
1.9
|
1.7
|
1.5
|
1.4
|
1.3
|
|
0.350
|
-8.2
|
-4.0
|
9.2
|
|
1.7
|
1.6
|
1.4
|
1.3
|
1.2
|
|
0.370
|
-8.0
|
-3.0
|
8.5
|
|
1.6
|
1.5
|
1.3
|
1.2
|
1.1
|
|
0.390
|
-7.7
|
-2.1
|
8.0
|
|
1.5
|
1.4
|
1.2
|
1.1
|
1.0
|
|
0.410
|
-7.4
|
-1.3
|
7.5
|
|
1.4
|
1.3
|
1.2
|
1.1
|
1.0
|
Рассчитанные значения отрезка
приведены в таблице 6 и в таблице 7.
непрерывный дискретный аналоговый регулятор
Таблица 6
Значения рассчитанных параметров
|
|
|
|
|
|
|

|
|
|
|
0.19
|
-0.676
|
-3.288
|
2.974
|
|
3.926
|
3.533
|
3.212
|
2.944
|
2.718
|
|
0.21
|
-1.020
|
-2.923
|
2.859
|
|
3.276
|
2.948
|
2.680
|
2.457
|
2.268
|
|
0.220
|
-1.157
|
-2.740
|
2.643
|
|
3.004
|
2.704
|
2.458
|
2.253
|
2.080
|
|
0.230
|
-1.273
|
-2.559
|
2.448
|
|
2.762
|
2.486
|
2.260
|
2.071
|
1.912
|
|
0.250
|
-1.452
|
-2.209
|
2.271
|
|
2.350
|
2.115
|
1.922
|
1.762
|
1.627
|
|
0.270
|
-1.571
|
-1.878
|
2.110
|
|
2.015
|
1.814
|
1.649
|
1.511
|
1.395
|
|
0.290
|
-1.640
|
-1.571
|
1.964
|
|
1.740
|
1.566
|
1.424
|
1.305
|
1.205
|
|
0.310
|
-1.670
|
-1.290
|
1.831
|
|
1.513
|
1.362
|
1.238
|
1.135
|
1.047
|
|
0.330
|
-1.669
|
-1.036
|
1.709
|
|
1.323
|
1.190
|
1.082
|
0.992
|
0.916
|
|
0.350
|
-1.644
|
-0.807
|
1.598
|
|
1.163
|
1.046
|
0.951
|
0.872
|
0.805
|
|
0.370
|
-1.600
|
-0.602
|
1.496
|
|
1.027
|
0.924
|
0.840
|
0.770
|
0.711
|
|
0.390
|
-1.542
|
-0.421
|
1.627
|
|
0.911
|
0.820
|
0.745
|
0.683
|
0.630
|
|
0.410
|
-1.473
|
-0.261
|
1.527
|
|
0.811
|
0.730
|
0.664
|
0.608
|
0.561
|
Таблица 7
Значения рассчитанных параметров
в см
|
|
|
|
|
|
|
|
|
|
|
|
0.19
|
-3.4
|
-16.4
|
16.8
|
|
19.6
|
17.7
|
16.1
|
14.7
|
13.6
|
|
0.21
|
-5.1
|
-14.6
|
15.5
|
|
16.4
|
14.7
|
13.4
|
12.3
|
11.3
|
|
0.220
|
-5.8
|
-13.7
|
14.9
|
|
15.0
|
13.5
|
12.3
|
11.3
|
10.4
|
|
0.230
|
-6.4
|
-12.8
|
14.3
|
|
13.8
|
12.4
|
11.3
|
10.4
|
9.6
|
|
0.250
|
-7.3
|
-11.0
|
13.2
|
|
11.7
|
10.6
|
9.6
|
8.8
|
8.1
|
|
0.270
|
-7.9
|
-9.4
|
12.2
|
|
10.1
|
9.1
|
8.2
|
7.6
|
7.0
|
|
0.290
|
-8.2
|
-7.9
|
11.4
|
|
8.7
|
7.8
|
7.1
|
6.5
|
6.0
|
|
0.310
|
-8.4
|
-6.5
|
10.6
|
|
7.6
|
6.8
|
6.2
|
5.7
|
5.2
|
|
0.330
|
-8.3
|
-5.2
|
9.8
|
|
6.6
|
6.0
|
5.4
|
5.0
|
4.6
|
|
0.350
|
-8.2
|
-4.0
|
9.2
|
|
5.8
|
5.2
|
4.8
|
4.4
|
4.0
|
|
0.370
|
-8.0
|
-3.0
|
8.5
|
|
5.1
|
4.6
|
4.2
|
3.8
|
3.6
|
|
0.390
|
-7.7
|
-2.1
|
8.0
|
|
4.6
|
4.1
|
3.7
|
3.4
|
3.2
|
|
0.410
|
-7.4
|
-1.3
|
7.5
|
|
4.1
|
3.6
|
3.3
|
3.0
|
2.8
|
Измеряя радиусы полученных окружностей (см. приложение Рис.15) определили
значения
. Результаты предоставлены в таблице
8.
Таблица 8
Определение параметра
регулятора дискретного объекта
|
|
|
|
|
|
|
|
0.79775
|
22.95
|
4.590
|
0.1738
|
4.50
|
0.03862
|
|
0.79775
|
20.34
|
4.068
|
0.1961
|
5.00
|
0.03922
|
|
0.79775
|
18.36
|
3.672
|
0.2173
|
5.50
|
0.03950
|
|
0.79775
|
16.9
|
3.380
|
0.2360
|
6.00
|
0.03934
|
|
0.79775
|
15.8
|
3.160
|
0.2525
|
6.50
|
0.03884
|
|
Настройки ПИ-регулятора,
полученные в Linreg:
|
0.23114
|
5.83
|
0.03967
|
Для определения оптимальных настроек ПИ-регулятора построим графики
зависимостей
и
см. Рис. 7 и Рис. 8.
Рис. 7. Зависимости Кп от Ти (для непрерывного объекта)
Рис. 8. Зависимости Кп/Ти от Ти (для непрерывного объекта)
По рис. 4, рис. 5 и рис. 7, рис. 8 находим оптимальные настройки
непрерывного и цифрового ПИ - регуляторов. Сведем данные в таблицу 8.
Таблица 8
Определение параметра
регулятора дискретного объекта
|
Регулятор
|
Параметр
|
Расчетные данные
|
Linreg
|
|
Непрерывный
|
|
0.29711
|
0.29857
|
|
|
5.50
|
5.55
|
|
|
0.05402
|
0.0538
|
|
Цифровой
|
|
0.2173
|
0.23114
|
|
|
5.50
|
5.83
|
|
|
0.03950
|
0.03967
|
Расчетные данные совпадают с настройками ПИ-регулятора в программе Linreg.
Для дальнейших расчетов будем использовать настройки, полученные в
программе Linreg, т.к. они более точные.
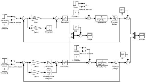
6. Модель
системы управления в среде MATLAB
Синтезированная САР с непрерывным и цифровым регуляторами была
смоделирована в среде MATLAB (пакет Simulink). Модель системы управления для
непрерывного объекта управления (
;
) и дискретного объекта управления (
;
) представлена на рис. 9:
Рис. 9. Система САР с непрерывным и цифровым регулятором в среде Matlab (Simulink)
Описание модели Simulink:
Transfer Function - передаточная функция объекта регулирования без
запаздывания:
Delay - звено транспортного запаздывания
)- усилительные звенья в
пропорциональной и интегрирующей частях непрерывного и дискретного регуляторов
(значения коэффициентов усиления равны соответственно Kп и Kп/Tи).-
интегратор непрерывный.
Discrete-Time Integrator - интегратор дискретного времени (
).
Zero Order Hold (ZOH) - фиксатор нулевого порядка (
).- константа, значение которой равно
,
[τ]=сек и константа
(Zadanie) - ступенчатая функция,
определяющая величину задающего воздействия (
).(Vozm) - ступенчатая функция,
определяющая величину сигнала внутреннего возмущения(
).
Saturate - нелинейный элемент-ограничитель (upper limit=-57, lower limit=43).
Sum - сумматор.- мультиплексор.- осциллоскоп, который предназначен для
отображения зависимости регулируемой величины и сигнала с регулятора от
времени.
Графики работы системы при отработке задания и внутреннего возмущения
представлены в приложении:
· Выход с ПИ - регулятора при отработке задания - Рис.10
· Выход системы при отработке задания - Рис.11
· Выход с ПИ - регулятора при отработке внутреннего возмущения
- Рис. 12
· Выход системы при отработке внутреннего возмущения - Рис. 13
Параметры, характеризующие качество работы моделированной САР с
непрерывным и цифровым регулятором при отработке задания и внутреннего
возмущения, приведены в Таблице 9.
Таблица 9
Параметры качества работы системы
|
Параметр
|
При отработке задания
|
При отработке внутреннего
возмущения
|
|
Непрерывный регулятор
|
Цифровой регулятор
|
Непрерывный регулятор
|
|
Максимальный выброс
регулируемой величины
|
12.05
|
12.41
|
11.88
|
14.64
|
|
Степень затухания
|
88.00
|
87.77
|
91.25
|
89.34
|
|
Время регулирования
|
38.7
|
51.3
|
39.2
|
51
|
Степень затухания:
,
где
А1 и А2 - первая и вторая амплитуды на графике.
Максимальный
выброс регулируемой величины:
Вывод
Целью данной курсовой работы было определение оптимальных настроек
ПИ-регулятора. Были посчитаны настройки непрерывного ПИ-регулятора и
дискретного ПИ-регулятора методом теории дискретных систем.
Далее система была смоделирована и исследована в пакете прикладных
программ моделирования Simulink, в результате чего были определены прямые показатели качества системы,
такие как максимальный выброс регулируемой величины, степень затухания и время
регулирования.
Максимальный выброс регулируемой величины непрерывного регулятора при
отработке задания составил 12.05, степень затухания - 88.00, а время
регулирования равно 38.7. При отработке внутреннего возмущения максимальный
выброс регулируемой величины равен 11.88, степень затухания 91.25, время
регулирования 39.2.
Максимальный выброс регулируемой величины цифрового регулятора при
отработке задания составил 12.41, степень затухания - 87.77, а время
регулирования равно 51.3. При отработке внутреннего возмущения максимальный
выброс регулируемой величины равен 14.64, степень затухания 89.34, время
регулирования 51.
Список
литературы
1. Ротач В.Я.
Теория автоматического управления теплоэнергетическими процессами: Учебник для
вузов. - М.: Энергоиздат, 1985.
2. Дьяконов
В.П. MATLAB 6/6.1/6.5 + Simulink 4/5 в математике и моделировании: Полное
руководство пользователя. - М.: СОЛОН-Пресс. 2003. - 576 с. ил.
Приложение
Таблица 10
Значения временных характеристик непрерывного и дискретного объектов
|
t, с
|
Непрерывный объект h (t-τз)
|
|
t, с
|
Дискретный объект h [kT]
|
|
0.00
|
0.0000
|
|
0
|
0.00000
|
|
0.85
|
0.0000
|
|
1.7
|
0.00000
|
|
1.70
|
0.0000
|
|
3.4
|
0.43698
|
|
2.55
|
0.1296
|
|
5.1
|
1.27029
|
|
3.40
|
0.4370
|
|
6.8
|
2.13360
|
|
4.25
|
0.8352
|
|
8.5
|
2.90038
|
|
5.10
|
1.2703
|
|
10.2
|
3.54013
|
|
5.95
|
1.7094
|
|
11.9
|
4.05830
|
|
6.80
|
2.1336
|
|
13.6
|
4.47175
|
|
7.65
|
2.5322
|
|
15.3
|
4.79904
|
|
8.50
|
2.9003
|
|
17
|
5.05704
|
|
9.35
|
3.2362
|
|
18.7
|
5.25995
|
|
10.20
|
3.5401
|
|
20.4
|
5.41935
|
|
11.05
|
3.8134
|
|
22.1
|
5.54447
|
|
11.90
|
4.0583
|
|
23.8
|
5.64266
|
|
12.75
|
4.2769
|
|
25.5
|
5.71970
|
|
13.60
|
4.4717
|
|
27.2
|
5.78013
|
|
14.45
|
4.6450
|
|
28.9
|
5.82754
|
|
15.30
|
4.7990
|
|
30.6
|
5.86472
|
|
16.15
|
4.9357
|
|
32.3
|
5.89389
|
|
17.00
|
5.0570
|
|
34
|
5.91677
|
|
17.85
|
5.1646
|
|
35.7
|
5.93472
|
|
18.70
|
5.2599
|
|
37.4
|
5.94879
|
|
19.55
|
5.3444
|
|
39.1
|
5.95983
|
|
20.40
|
5.4193
|
|
40.8
|
5.96849
|
|
21.25
|
5.4857
|
|
42.5
|
5.97529
|
|
22.10
|
5.5445
|
|
|
|
|
22.95
|
5.5965
|
|
|
|
|
23.80
|
5.6426
|
|
|
|
|
24.65
|
5.6835
|
|
|
|
|
25.50
|
5.7197
|
|
|
|
|
26.35
|
5.7517
|
|
|
|
|
27.20
|
5.7801
|
|
|
|
|
28.05
|
5.8053
|
|
|
|
|
28.90
|
5.8275
|
|
|
|
|
29.75
|
5.8472
|
|
|
|
|
30.60
|
5.8647
|
|
|
|
|
31.45
|
5.8802
|
|
|
|
|
32.30
|
5.8939
|
|
|
|
|
33.15
|
5.9060
|
|
|
|
|
34.00
|
5.9168
|
|
|
|
|
34.85
|
5.9263
|
|
|
|
|
35.70
|
5.9347
|
|
|
|
|
36.55
|
5.9422
|
|
|
|
|
37.40
|
5.9488
|
|
|
|
|
38.25
|
5.9546
|
|
|
|
|
39.10
|
5.9598
|
|
|
|
|
39.95
|
5.9644
|
|
|
|
|
40.80
|
5.9685
|
|
|
|
Таблица 11
Значения КЧХ непрерывного и дискретного объекта
|
Непрерывный объект
|
|
Дискретный объект
|
|
ω
|
Re(ω)
|
Im(ω)
|
|
Re(ω)
|
Im(ω)
|
|
0.00
|
6.0000
|
0.0000
|
|
6.0000
|
0.0000
|
|
0.01
|
5.9500
|
-0.6384
|
|
5.9443
|
-0.6890
|
|
0.02
|
5.8030
|
-1.2555
|
|
5.7806
|
-1.3540
|
|
0.03
|
5.5677
|
-1.8322
|
|
5.5185
|
-1.9735
|
|
0.04
|
5.2569
|
-2.3529
|
|
5.1729
|
-2.5298
|
|
0.05
|
4.8864
|
-2.8065
|
|
4.7614
|
-3.0108
|
|
0.06
|
4.4732
|
-3.1871
|
|
4.3031
|
-3.4097
|
|
0.07
|
4.0336
|
-3.4931
|
|
3.8165
|
-3.7248
|
|
0.08
|
3.5824
|
-3.7267
|
|
3.3183
|
-3.9587
|
|
0.09
|
3.1320
|
-3.8927
|
|
2.8226
|
-4.1170
|
|
0.10
|
2.6923
|
-3.9979
|
|
2.3404
|
-4.2073
|
|
0.11
|
2.2709
|
-4.0497
|
|
1.8802
|
-4.2382
|
|
0.12
|
1.8728
|
-4.0558
|
|
1.4477
|
-4.2186
|
|
0.13
|
1.5014
|
-4.0239
|
|
1.0464
|
-4.1569
|
|
0.14
|
1.1582
|
-3.9607
|
|
0.6783
|
-4.0611
|
|
0.15
|
0.8439
|
-3.8725
|
|
0.3438
|
-3.9383
|
|
0.16
|
0.5580
|
-3.7648
|
|
0.0425
|
-3.7946
|
|
0.17
|
0.2998
|
-3.6423
|
|
-0.2269
|
-3.6355
|
|
0.18
|
0.0677
|
-3.5088
|
|
-0.4658
|
-3.4653
|
|
0.19
|
-0.1397
|
-3.3677
|
|
-0.6762
|
-3.2879
|
|
0.20
|
-0.3241
|
-3.2217
|
|
-0.8601
|
-3.1063
|
|
0.21
|
-0.4873
|
-3.0731
|
|
-1.0196
|
-2.9231
|
|
0.22
|
-0.6311
|
-2.9236
|
|
-1.1566
|
-2.7402
|
|
0.23
|
-0.7570
|
-2.7747
|
|
-1.2732
|
-2.5594
|
|
0.24
|
-0.8667
|
-2.6274
|
|
-1.3712
|
-2.3819
|
|
0.25
|
-0.9616
|
-2.4829
|
|
-1.4524
|
-2.2087
|
|
0.26
|
-1.0432
|
-2.3416
|
|
-1.5184
|
-2.0405
|
|
0.27
|
-1.1126
|
-2.2041
|
|
-1.5708
|
-1.8780
|
|
0.28
|
-1.1712
|
-2.0709
|
|
-1.6109
|
-1.7215
|
|
0.29
|
-1.2200
|
-1.9422
|
|
-1.6400
|
-1.5713
|
|
0.30
|
-1.2599
|
-1.8181
|
|
-1.6594
|
-1.4276
|
|
0.31
|
-1.2919
|
-1.6988
|
-1.2904
|
|
0.32
|
-1.3168
|
-1.5843
|
|
-1.6730
|
-1.1597
|
|
0.33
|
-1.3353
|
-1.4747
|
|
-1.6690
|
-1.0356
|
|
0.34
|
-1.3481
|
-1.3698
|
|
-1.6591
|
-0.9180
|
|
0.35
|
-1.3558
|
-1.2697
|
|
-1.6438
|
-0.8066
|
|
0.36
|
-1.3590
|
-1.1741
|
|
-1.6238
|
-0.7014
|
|
0.37
|
-1.3582
|
-1.0831
|
|
-1.5998
|
-0.6022
|
|
0.38
|
-1.3538
|
-0.9965
|
|
-1.5723
|
-0.5088
|
|
0.39
|
-1.3462
|
-0.9141
|
|
-1.5417
|
-0.4210
|
|
0.40
|
-1.3359
|
-0.8358
|
|
-1.5086
|
-0.3386
|
|
0.41
|
-1.3231
|
-0.7615
|
|
-1.4733
|
-0.2614
|
|
0.42
|
-1.3081
|
-0.6910
|
|
-1.4362
|
-0.1893
|
|
0.43
|
-1.2913
|
-0.6242
|
|
-1.3976
|
-0.1219
|
|
0.44
|
-1.2728
|
-0.5609
|
|
-1.3578
|
-0.0590
|
|
0.45
|
-1.2530
|
-0.5010
|
|
-1.3170
|
-0.0006
|
|
0.46
|
-1.2319
|
-0.4443
|
|
-1.2755
|
0.0537
|
|
0.47
|
-1.2098
|
-0.3907
|
|
-1.2335
|
0.1041
|
|
0.48
|
-1.1869
|
-0.3401
|
|
-1.1912
|
0.1506
|
|
0.49
|
-1.1633
|
-0.2923
|
|
-1.1487
|
0.1936
|
|
0.50
|
-1.1390
|
-0.2472
|
|
-1.1063
|
0.2331
|
|
0.51
|
-1.1143
|
-0.2046
|
|
-1.0639
|
0.2694
|
|
0.52
|
-1.0893
|
-0.1645
|
|
-1.0219
|
0.3027
|
|
0.53
|
-1.0640
|
-0.1268
|
|
-0.9801
|
0.3330
|
|
0.54
|
-1.0386
|
-0.0912
|
|
-0.9388
|
0.3606
|
|
0.55
|
-1.0130
|
-0.0577
|
|
-0.8981
|
0.3856
|
|
0.56
|
-0.9874
|
-0.0263
|
|
-0.8579
|
0.4082
|
|
0.57
|
-0.9619
|
0.0032
|
|
-0.8184
|
0.4284
|
|
0.58
|
-0.9364
|
0.0310
|
|
-0.7796
|
0.4465
|
|
0.59
|
-0.9111
|
0.0569
|
|
-0.7415
|
0.4624
|
|
0.60
|
-0.8860
|
0.0813
|
|
-0.7042
|
0.4765
|
|
0.61
|
-0.8610
|
0.1041
|
|
-0.6677
|
0.4887
|
|
0.62
|
-0.8363
|
0.1254
|
|
-0.6321
|
0.4992
|
|
0.63
|
-0.8119
|
0.1454
|
|
-0.5974
|
0.5081
|
|
0.64
|
-0.7878
|
0.1640
|
|
-0.5635
|
0.5155
|
|
0.65
|
-0.7641
|
0.1813
|
|
-0.5305
|
0.5214
|
|
0.66
|
-0.7406
|
0.1974
|
|
-0.4984
|
0.5260
|
|
0.67
|
-0.7175
|
0.2124
|
|
-0.4673
|
0.5294
|
|
0.68
|
-0.6948
|
0.2263
|
|
-0.4370
|
0.5316
|
|
0.69
|
-0.6725
|
0.2392
|
|
-0.4077
|
0.5327
|
|
0.70
|
-0.6505
|
0.2512
|
|
-0.3793
|
0.5328
|
|
0.71
|
-0.6290
|
0.2622
|
|
-0.3517
|
0.5320
|
|
0.72
|
-0.6079
|
0.2723
|
|
-0.3251
|
0.5303
|
|
0.73
|
-0.5871
|
0.2816
|
|
-0.2994
|
0.5277
|
|
0.74
|
-0.5668
|
0.2901
|
|
-0.2746
|
0.5244
|
Mathcad-документ
Диапазон частот:
Уравнение для построения КЧХ
Таблица полученных значений: