Ромбическая антенна

  • Вид работы:
    Контрольная работа
  • Предмет:
    Информатика, ВТ, телекоммуникации
  • Язык:
    Русский
    ,
    Формат файла:
    MS Word
    169,99 Кб
  • Опубликовано:
    2014-12-01
Вы можете узнать стоимость помощи в написании студенческой работы.
Помощь в написании работы, которую точно примут!

Ромбическая антенна

Введение

Антенны являются обязательным элементом любой системы радиосвязи, радиовещания, телевидения, а также других радиотехнических систем, использующих для передачи информации свободное распространение электромагнитных волн. Существенное влияние на работу этих систем оказывает также среда, в которой происходит свободное распространение волн: атмосфера, Земля, космическое пространство.

Функции антенн в указанных системах сводятся к излучению или приему электромагнитных волн. Соответственно различают передающие и приемные антенны, подключаемые либо к передатчику, либо к приемнику с помощью фидеров (линий передачи энергии).

Передающая антенна преобразует энергию волн, поступающих по фидеру от передатчика к антенне, в энергию свободных колебаний, распространяющихся в окружающем пространстве. Передающая антенна должна не просто излучать электромагнитные волны, а обеспечивать наиболее рациональное распределение энергии в пространстве.

В связи с этим одной из основных характеристик передающих антенн является диаграмма направленности (ДН) - зависимость излучаемого поля от положения точки наблюдения (точка наблюдения должна находиться в дальней зоне - на неизменно большом расстоянии от антенны). Требования к направленности колеблются в очень широких пределах от близких к направленным (системы радиовещания и эфирного телевидения) до резко выраженной направленности в определенном направлении (дальняя космическая радиосвязь, радиолокация, радиоастрономия и т.д.). Направленность позволяет без увеличения мощности передатчика увеличить мощность поля, излучаемого в данном направлении, а также позволяет уменьшать помехи соседним радиотехническим системам, то есть способствует решению проблемы электромагнитной совместимости. Направленность можно получить только когда размеры антенны существенно превышают длину волны колебаний.

Приёмная антенна улавливает энергию свободных колебаний и превращает ее в энергию волн, которая поступает по фидеру на вход приемника. Для приемных антенн диаграмма направленности (ДН) - это зависимость тока в нагрузке антенны, то есть в конечном счете в приемнике, или ЭДС наводимой на входе приемника, от направления прихода электромагнитной волны, облучающей антенну. Наличие направленных свойств у приемных антенн позволяет не только увеличивать мощность выделяемую током в нагрузке, но и существенно ослаблять приём различного рода помех, то есть повышает качество приёма.

Важную роль в работе антенных устройств играет линия питания (фидер), которая передаёт энергию от генератора к антенне (в передающем режиме) или от антенны к приёмнику (в режиме приёма).

Основные требования к фидеру сводятся к его электрогерметичности (отсутствию излучения энергии из фидера) и малым тепловым потерям. В передающем режиме волновое сопротивление фидера должно быть согласовано с входным сопротивлением антенны (что обеспечивает в фидере режим бегущей волны) и с выходом передатчика (для максимальной отдачи мощности). В приёмном режиме согласование входа приёмника с волновым сопротивлением фидера обеспечивает в последнем режиме бегущей волны, согласование же волнового сопротивления фидера с сопротивлением нагрузки - условие максимальной отдачи мощности в нагрузку приёмника.

Антенны можно классифицировать по различным признакам. На первый взгляд может показаться удобным разделить все антенны по характеру их использования на две группы: передающие и приемные. Однако между свойствами передающих и приемных антенн существует определенная связь. Так как одна и та же антенна может использоваться как передающая, так и принимающая, то основное внимание уделяется изучению теории передающих антенн. Часто принято классифицировать антенны по диапазонам волн. Для коротких и более длинных волн характерным является применение антенн из проводов сравнительно небольшого поперечного сечения (линейных проводников). Для дециметровых и более коротких волн применяются антенны, у которых токи протекают по проводящим поверхностям, имеющим большие размеры по сравнению с длиной волны.

Можно также классифицировать антенны по характеру излучающих элементов и делить их на антенны с линейными токами и антенны апертурные, излучающие через свой раскрыв - апертуру.

Ромбическая антенна относится к числу остронаправленных диапазонных антенн, используемых на коротких волнах.


1. Описание ромбических антенн

Создание высоконаправленных систем в коротковолновом и даже сверхвысокочастотном диапазоне возможно за счет использования ромбических антенных систем. Такие антенны относятся к числу остронаправленных и применяются для магистральной связи на коротких волнах. Схема ромбической антенны приведена на рисунке 1.

Рисунок 1

Ромбическая антенна представляет собой систему из четырех горизонтальных проводов длины l, изогнутых в форме ромба на опорах на высоте H. С одной стороны провода ромбической антенны соединяются двухпроводным фидером, идущим к передатчику или приемнику, с другой - антенна замыкается на сопротивление, равное волновому. По этой причине в антенне устанавливается режим бегущей волны, и ее входное сопротивление близко к волновому в широком диапазоне волн. Провод с бегущей волной тока создает излучение, максимум которого направлен под углом к оси провода (рисунок 2). Этот угол тем меньше, чем длиннее провод.


Рисунок 2 - Излучение провода с бегущей волной тока

При надлежащем выборе длины стороны ромба l по сравнению с рабочей длиной волны λ0 и углов φ и Ф (рисунок 3) поля излучения всех сторон ромба складываются вдоль большой диагонали ромбической антенны в направлении бегущей волны. Таким образом, направление главного излучения антенны в горизонтальной плоскости совпадает с большой диагональю ромба. Это даст значительный прирост коэффициента усиления.

Рисунок 3 - Схема формирования диаграммы направленности ромбической антенны

Направление максимума излучения антенны в вертикальной плоскости ∆max зависит как от размеров ромба, так и от высоты подвеса над землей H. С уменьшением рабочей длины волны главный лепесток диаграммы направленности в вертикальной плоскости «прижимается» к земле (рисунок 4).

Рисунок 4 - Диаграмма направленности антенны в вертикальной плоскости

Под диаграммой направленности ромбической антенны в горизонтальной плоскости понимается, как правило, диаграмма направленности антенны в плоскости максимального излучения ∆ = ∆max (рисунок 5).

Рисунок 5 - Диаграмма направленности антенны в вертикальной плоскости

При подключении к вершине ромба, противоположной точкам питания, нагрузочного сопротивления величиной Rн и мощностью, равной половине мощности передатчика, достигается подавление заднего лепестка диаграммы направленности.

Расстояние между проводами вдоль ромбической антенны меняется. Из-за этого волновое сопротивление увеличивается от ~ 600 Ом у острых углов до ~ 1000 Ом у тупых, что вызывает дополнительные отражения и нарушает режим бегущей волны. Чтобы сделать изменение волнового сопротивления менее существенным, каждую сторону ромба выполняют из двух проводов, расходящихся по мере приближения к тупому углу РА (рисунок 1).

Ромбическая антенна сохраняет направленные свойства в широком диапазоне волн. Границами используемого диапазона волн λmin и λmax являются те волны, на которых коэффициент усиления антенны падает до 0,5 от максимального значения Gmax, соответствующего центральной длине волны λ0.

Ромбические антенны просты по конструкции, работают в широком диапазоне частот, не требуют никаких настроек и регулировок. Погрешность в выборе размеров или высоты подвеса в 5-10% не приведет к заметному изменению основных параметров. Эти антенны могут работать на небольшой высоте от земли. Для их установки необходимы 4 точки крепления, причем необязательно равновысокие и необязательно расположенные в углах правильного ромба. Еще одно важное обстоятельство: ромбическая антенна питается двухпроводной линией произвольной длины. Из существенных недостатков можно выделить следующие: высокий уровень боковых лепестков, низкий КПД и большая площадь, занимаемая антенной.

Обозначаются условно ромбические антенны следующим образом:


где РГ означает «ромб горизонтальный»;

Ф - половина тупого угла ромба;

l/λ0 - относительная длина стороны ромба;

H/λ0 - относительная высота подвеса антенны

2. Определение рабочего диапазона волн

Диапазон волн, используемый в ночное время, определяется кривыми 3 и 2, а в дневное время - кривыми 1 и 2 (рисунок 6).

Рисунок 6 - График для определения рабочего диапазона волн

С помощью графика для заданного значения протяженности магистральной линии связи r = 2100 км определим диапазон длин волн: λ = 40…75 м.

Найдем оптимальную длину волны для обеспечения связи в заданное время суток, по формуле:


Подставив требуемые значения длин волн, получим:




3. Нахождение оптимального угла излучения

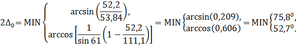
Найдем оптимальный угол излучения антенны ∆0, используя длину магистральной линии связи r = 2100 км и высоту отражающего слоя  с помощью рисунка 7.

Рисунок 7 - График для определения угла излучения ∆0

На графике изображены 3 линии показывающие разную высоту отражающего слоя : линия 1 соответствует hотр = 250 км, линия 2 - hотр = 300 км, а линия 3 - hотр = 400 км.

По условию задачи при высоте отражающего слоя hотр = 300 км и длине магистральной линии связи r = 2100 км, оптимальный угол излучения антенны ∆0 = 6о.

4. Определение конструктивных размеров

Рассчитаем размеры ромбической антенны, которые показаны на рисунке 8, исходя из найденных значений λ0 и ∆0.

Рисунок 8 - Эскиз ромбической антенны

Здесь приняты следующие обозначения: 1 - питающий фидер, 2 - сторона ромбической антенны, 3 - поглощающая линия.

Наиболее осторожно нужно выбирать угол раскрыва ромбической антенны Ф, так как эта величина наиболее ощутимо задает диаграмму направленности и эффективный диапазон частот. Вычислим оптимальное значение половины тупого угла ромба.


Половина острого угла ромба равна:


Определим оптимальное значение длины стороны ромба.


Длина стороны ромба из конструктивных соображений не должна быть больше 150 м. Поскольку расчетная волна оказалась больше, то ее нужно уменьшить до 150 м. Для этого изменим тупой угол Ф антенны, который вычисляется по формуле:


Тогда половина острого угла ромба будет равна:



Пересчитаем оптимальное значение длины стороны ромба.


Рассчитаем высоту подвеса ромбической антенны над землей.


5. Расчет значений

Нахождение значений для длины волны lmin

Определим значения КПД hА, коэффициента направленного действия D и коэффициента усиления G для значений длины волны lmin по следующим формулам:

 


где  волновое сопротивление ромбической антенны;

RS - сопротивление излучения;

 - действующая высота ромбической антенны;

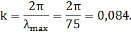
k - волновое число.

Определим волновое сопротивление ромбической антенны  по формуле:


где d - диаметр проводов (0,003…0,004 м);

S = (0,02…0,03) L - расстояние между расходящимися проводами ромба у тупого угла.


Для того чтобы определить сопротивление излучения , найдем волновое число.


Определим значение действующей высоты антенны h.


Подставив значения, получим:


Из полученных результатов рассчитаем значения КПД hА.



Рассчитаем коэффициент направленного действия D.

Рассчитаем коэффициент усиления G.

Нахождение значений для длины волны lmax

Для того чтобы определить сопротивление излучения , найдем волновое число.


Определим значение действующей высоты антенны h.


Из полученных результатов рассчитаем значения КПД hА.


Рассчитаем коэффициент направленного действия D.

Рассчитаем коэффициент усиления G.

Нахождение значений для длины волны l0

Для того чтобы определить сопротивление излучения , найдем волновое число.


Определим значение действующей высоты антенны h.


Из полученных результатов рассчитаем значения КПД hА.


Рассчитаем коэффициент направленного действия D.

Рассчитаем коэффициент усиления G.

Определим величину мощности на входе поглощающей линии.


Обычно поглощающую линию выполняют в виде двухпроводной линии из фехралевых проводов диаметром dл = (1…1,5) мм.

Погонное сопротивление двухпроводной линии можно определить по формуле:


где ρ - удельное сопротивление (для фехраля ρ = 1,210-6 Омм);

μ - относительная магнитная проницаемость (для частот КВ диапазона у фехраля μ = 80).

Длина поглощающей линии определяется из условия:


Волновое сопротивление поглощающей линии должно быть равно волновому сопротивлению ромба

Следовательно, длина поглощающей линии равна:

Расстояние между проводами двухпроводного поглощающего фидера определяется по формуле:


Поглощающая линия подвешивается на стойках с изоляторами под антенным полотном ромбической антенны.

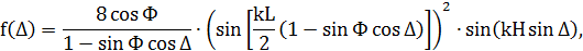
6. Расчет диаграммы направленности

Характеристика направленности антенны в горизонтальной плоскости f(φ) рассчитывается по формуле:


где φ - текущий угол, отсчитываемый от большой диагонали ромба в горизонтальной плоскости.

Выполним построение нормированной диаграммы направленности в декартовой системе координат (рисунок 9).

Рисунок 9 Диаграмма направленности в горизонтальной плоскости

На рисунке 9 видно, что на горизонтальной диаграмме направленности главный лепесток расположен непосредственно на оси ординат, то есть под углом в ноль градусов. Это связано с тем, что в этом направлении происходит основное излучение антенны и соответственно главный лепесток на рисунке 9 является проекцией излучаемого поля на горизонтальную плоскость.

Для наглядности изобразим диаграмму направленности в полярной системе координат (рисунок 10).

Рисунок 10  Диаграмма направленности f(φ) в полярной системе координат

Выражение для определения диаграммы направленности в вертикальной плоскости имеет следующий вид:


где ∆ - текущий угол, отсчитываемый от большой диагонали ромба в вертикальной плоскости.

Покажем на рисунке 11 зависимость f(D):

Рисунок 11  Диаграмма направленности в вертикальной плоскости

На рисунке 11 видно, что в вертикальной плоскости находятся два главных лепестка.

Для большей точности характеристики направленности были рассчитаны в программе Mathcad 15 с шагом 10 в диапазоне углов -1800…1800 в горизонтальной плоскости и -900…900 в вертикальной плоскости.

Для наглядности изобразим диаграмму направленности в полярной системе координат (рисунок 12).

По рисунку 12 можно определить, что два главных лепестка находятся под углом 24,50 и 155,50.


Рисунок 12  Диаграмма направленности f(∆) в полярной системе координат

антенна излучение ромбический

7. Расчет ширины диаграммы направленности

Ширину диаграмм направленности по нулевому излучению в вертикальной 2D0 плоскости можно рассчитать по формуле:


Подставив значения, получим следующее:



Следовательно, ширина диаграммы направленности по нулевому излучению в вертикальной плоскости равна:

Ширину диаграмм направленности по нулевому излучению в горизонтальной 2j0 плоскости можно рассчитать по формуле:




Заключение

Ромбическая антенна наиболее выгодная из всех широкополосных проволочных антенн с точки зрения высоких энергетических показателей. Вместе с тем, сама антенна не требует скрупулезности и точности при ее постройке. Погрешность в выборе размеров или высоты подвеса в 5-10% не приведет к заметному изменению основных параметров. Важно что эти антенны могут работать и на небольшой высоте от земли. Для их установки необходимы 4 точки крепления, причем необязательно равновысокие и необязательно расположенные в углах правильного ромба. Еще одно важное обстоятельство: ромбическая антенна питается двухпроводной линией произвольной длины. Наиболее главное достоинство - широкополосность.

Приведенные диаграммы направленности, а также другие расчеты и измерения показывают, что характерным для ромбической антенны является наличие в ее диаграмме значительных боковых лепестков. В этом отношении она уступает остронаправленным настроенным антеннам, например многовибраторным синфазным.

Ромбические антенны находят широкое применение в коротковолновых стационарных радиоцентрах как для передачи, так и для приема.


Список использованных источников

1.   Айзенберг Г.З. Коротковолновые антенны / Айзенберг Г.З., Белоусов С.П., Журбенко Э.М., Клигер Г.А., Курашов А.Г. /Под ред. Г.З. Айзенберга. - М.: Радио и связь, 1985. - 530 с.

2.      Драбкин А.Л., Зузенко В.Л., Кислов А.Г. Антенно-фидерные устройства: Учебник - М.: Советское Радио, 1974. - 536 с.

.        Кочержевский Г.Н. Антенно-фидерные устройства: Учебник. - М.: Радио и связь, 1981. - 471 с.


Не нашли материал для своей работы?
Поможем написать уникальную работу
Без плагиата!
Без нейросетей!