Напорное и безнапорное течение

  • Вид работы:
    Реферат
  • Предмет:
    Физика
  • Язык:
    Русский
    ,
    Формат файла:
    MS Word
    380,38 Кб
  • Опубликовано:
    2015-03-03
Вы можете узнать стоимость помощи в написании студенческой работы.
Помощь в написании работы, которую точно примут!

Напорное и безнапорное течение

Министерство образования и науки Российской Федерации

Федеральное государственное бюджетное образовательное учреждение

высшего профессионального образования

"Уфимский государственный авиационный технический университет"









Реферат

Напорное и безнапорное течение


Выполнила: ст. гр. ТТП-203

Крапчина А.А

Проверил: Свистунов А.В.





Уфа 2014

Оглавление

Введение

1. Общие сведения. История развития гидравлики

2. Жидкости и их основные физические свойства

3. Основные параметры, характеризующие движение жидкости

4. Классификация видов движения жидкостей

5. Общие понятия о напорном и безнапорном течении жидкости

6. Расчет напорных потоков

7. Расчет безнапорных потоков

8. Методы измерения расхода воды в напорных и безнапорных потоках. Необходимое измерительное оборудование

9. Течения в руслах (геогидравлика, гидротехника)

10. Течения в канализационных и сливных системах ливнёвки

11. Течения в водопроводах жилых помещений

12. Течение жидкости в трубопроводах высокого давления

Список использованной литературы

Введение


При решении различных проблем часто приходиться сталкиваться с вопросом о движении различных жидкостей, о воздействии жидкости на те или другие поверхности и на обтекаемые ею твердые тела.

Исследования этих вопросов привели к созданию такой обширной науки как гидравлика. Гидравлика произошла от слияния двух греческих слов, из которых первое значит "вода", а второе - "труба", "канал", "струя".

Гидравлика - наука, изучающая законы равновесия и движения жидкостей и рассматривающая способы приложения этих законов к решению конкретных практических задач.

Гидравлика составляет основу многих инженерных расчетов при конструировании специальных сооружений, отстойников, фильтров и т.п, предназначенных для использования водных ресурсов рек, озёр, морей, подземных вод, их охраны от загрязнений, а также для борьбы с разрушительным действием водной стихии.

Объектом изучения в гидравлике является любая жидкость. В понятие "жидкость" включают все тела, для которых свойственна текучесть, то есть способность сильно изменять свою форму под действием сколь угодно малых сил. Таким образом в это понятие включают как жидкости обычные, называемые капельными, так и газы.

Целью данной работы является рассмотрение свойств жидкостей и их характеристики, виды движений жидкости, напорное и безнапорное движение жидкостей, гидравлические характеристики напорного и безнапорного движения.

1. Общие сведения. История развития гидравлики

В начале, в понятие "гидравлика" включалось только учение о движении воды по трубам.

В настоящее время почти во всех отраслях водного хозяйства применяются различные гидравлические устройства, основанные на использовании гидравлических законов. Ввиду сложности строения жидкостей гидравлические исследования часто проводятся для модельных жидкостей, облегчающих применение уравнений гидромеханики.

Например, применяется модель невязкой жидкости, которая в отличие от всех имеющихся в природе и в жидкостей лишена свойства вязкости. В гидравлике принята гипотеза сплошности жидкости, согласно которой гипотезе, жидкость рассматривается как непрерывная сплошная среда и все параметры, характеризующие движение жидкости, считаются непрерывными вместе с их производными во всех точках (кроме особых точек). Благодаря таким предпосылкам стало возможным получение дифференциальных уравнений равновесия и движения жидкости.

Гидравлика обычно подразделяется на две части: теоретические основы гидравлики, где излагаются важнейшие положения учения о равновесии и движении жидкостей, и практическую гидравлику, применяющую эти положения к решению частных вопросов инженерной практики. Изучая равновесие жидкостей, гидравлика исследует общие законы гидростатики, а также частные вопросы: давление жидкости на стенки различных сосудов, труб, на плотины, быки и устои мостов и прочее. Рассматривая движения жидкости гидравлика пользуется основными уравнениями гидродинамики, при этом главнейшими соотношениями являются уравнение Бернулли для реальной жидкости и уравнение неразрывности в гидравлической форме. Гидравлика подробно рассматривает вопрос о гидравлических сопротивлениях, возникающих при различных режимах течения жидкости, а также условия перехода из одного режима в другой. Основные разделы практической гидравлики изучают: течение жидкости по трубам (гидравлика трубопроводов), течение в каналах и реках (гидравлика открытых русл), истечение жидкости из отверстия и через водосливы, движение в пористых средах (фильтрация).

Во всех указанных разделах движение жидкости рассматривается как установившееся, так и неустановившееся (нестационарное).

Гидравлика трубопроводов указывает способы определения размеров труб, необходимых для пропуска заданного расхода жидкости при заданных условиях и для решения ряда вопросов, возникающих при проектировании и строительстве трубопроводов различного назначения (водопроводные сети, напорные трубопроводы гидроэлектростанций и прочее). Теория неустановившегося движения в трубах исследует явление гидравлического удара. Гидравлика открытых русел изучает течение воды в каналах и реках. Здесь даются способы определения глубины воды в каналах при заданном расходе и уклоне дна, широко применяемые при проектировании судоходных, оросительных, осушительных и гидроэнергетических каналов, канализационных труб и др.

В разделах гидравлики, посвященных истечению жидкости из отверстий и через водосливы, приводятся расчётные зависимости для определения необходимых размеров отверстий в различных резервуарах, шлюзах, плотинах, водопропускных трубах и т.д.

Таким образом, круг вопросов, охватываемых гидравликой весьма обширен и ее законы в той или иной мере находят применение практически во всех областях инженерной деятельности, а особенно в природ обустройстве, мелиорации, гидроэнергетике, водоснабжении и канализации, гидромеханизации, водном транспорте и гидротехнике.

Первым научным трудом в области гидравлики считается трактат Архимеда (287-212 гг. до н.э.) "О плавающих телах", хотя сведения о некоторых законах гидравлики были, видимо, известны и ранее, так как задолго до Архимеда строились оросительные каналы и водопроводы. В древнем Египте, Индии, Китае были построены каналы и водохранилища грандиозных по тем временам размеров. Так, глубина некоторых водохранилищ в Индии достигала 15 м, в Китае около 2500 лет назад был построен Великий канал длиной около 1800 км, который соединял приустьевые участки крупных рек страны. В Риме 2300 лет назад был построен первый водопровод. Строительство туннеля на Самосе, начатое 535 до н.э. Эвпалином.

. Жидкости и их основные физические свойства

Все вещества в природе имеют молекулярное строение. По характеру молекулярных движений, а также по численным значениям молекулярных сил жидкости занимают промежуточное положение между газами и твердыми телами. Свойства жидкостей при высоких температурах и низких давлениях ближе к свойствам газов, а при низких температурах и высоких давлениях - к свойствам твердых тел.

В газах расстояния между молекулами больше, а межмолекулярные силы меньше, чем в жидкостях и твердых телах, поэтому газы отличаются от жидкостей и твердых тел большей сжимаемостью. По сравнению с газами жидкости и твердые тела малосжимаемы.

Молекулы жидкости находятся в непрерывном хаотичном тепловом движении, отличающееся от хаотичного теплового движения газов и твердых тел: в жидкостях это движение осуществляется в виде колебании (1013 колебаний в секунду) относительно мгновенных центров и скачкообразных переходов от одного центра к другому. Тепловое движение молекул твердых тел - колебания относительно стабильных центров. Тепловое движение молекул газа - непрерывные скачкообразные перемены мест.

Диффузия молекул жидкостей и газов обуславливает их общее свойство - текучесть. Поэтому термин "жидкость" применяют для обозначения и собственно жидкости (несжимаемая или весьма малосжимаемая, капельная жидкость) и газа (сжимаемая жидкость)

В гидравлике рассматриваются равновесие и движение капельных жидкостей.

Гипотеза сплошностей. Жидкость рассматривается как деформируемая система материальных частиц, непрерывно заполняющих пространство, в котором оно движется.

Жидкая частица представляет собой бесконечно малый объем, в котором находиться достаточно много молекул жидкостей. Например, если рассмотреть кубик воды со сторонами 0,001 см, то в объёме будет находиться 3,3*10 13 молекул. Частица жидкости полагается достаточно малой по сравнению с размерами области, занятой движущейся жидкостью.

При таком предположении жидкость рассматривается как континуум - сплошная среда, непрерывно заполняющее пространство. Сплошная среда представляет собой модель, которая успешно используется при исследовании закономерности покоя и движения жидкости.

Плотность жидкости. Плотность  характеризует распространение массы М жидкости по объёму W.

 (1)

Плотность  во всех точках однородной жидкости одинакова.

Плотность  жидкостей и газов зависит от температуры и давления. Все жидкости, кроме воды, характеризуются уменьшением плотности с ростом температуры. Плотность воды максимальна при t=40С и уменьшается как с уменьшением и с увеличением температуры от этого значения.

В таблице 1 приведены значения плотности воды при нормальном атмосферном давлении и различных температурах

Таблица 1

T, 0С

0

2

4

6

8

, кг/м3

999,87

999,97

1000

999,97

999,88

T, 0С

10

30

40

60

, кг/м3

999,7

998,2

995,7

992,2

983,2


Жидкость - это тело, обладающее свойством текучести, легкой подвижностью, способное изменять свою форму под воздействием внешних сил и температурных изменений.

Для облегчения изучения законов движения жидкости введено понятие "идеальные и реальные жидкости". Идеальные - невязкие жидкости, обладающие абсолютной подвижностью, т.е. отсутствием сил трения и касательных напряжений и абсолютной неизменностью в объеме под воздействием внешних сил. Такие жидкости не существуют в действительности. Реальные - вязкие жидкости, обладающие сжимаемостью, сопротивлением, растягивающим и сдвигающим усилиям и достаточной подвижностью, т.е. наличием сил трения и касательных напряжений. Реальные жидкости могут быть ньютоновские и неньютовскне (бингемовские). В ньютоновских жидкостях при движении одного слоя жидкости относительно другого величина касательных напряжений (внутреннего трения) пропорциональна скорости сдвига. При относительном покое эти напряжения равны нулю. Такая закономерность была установлена Ньютоном в 1686 году, поэтому эти жидкости (вода, масло, бензин, керосин, глицерин и др.) называют ньютоновскими жидкостями. Неньютоновские жидкости не обладают большой подвижностью и отличаются от ньютоновских жидкостей наличием касательных напряжений (внутреннего трения) в состоянии покоя, величина которых зависит от вида жидкости. Эта особенность была подмечена Ф.Н. Шведовым (1889 г.), а затем Бингемом (1916 г.), поэтому такие жидкости (битум, гидросмеси, глинистый раствор, оллоиды, нефтепродукты при температуре близкой к температуре застывания) получили и другое название - бингемовские (или бингамовские).

Силы, действующие в жидкости, принято делить на внешние и внутренние. Внутренние силы представляют собой силы взаимодействия частиц жидкости, они являются парными, и их сумма всегда равна нулю. Вследствие текучести жидкости в ней не могут действовать сосредоточенные силы, а возможно лишь действие внешних сил, непрерывно распределенных по ее объему (массе) или по поверхности. В связи с этим внешние силы разделяют на массовые или объемные и поверхностные. Массовые силы пропорциональны массе жидкого тела, или, для однородных жидкостей - его объему. Массовые это силы тяжести и инерции.

Сила тяжести в земных условиях действует на жидкость постоянно, а сила инерции только при сообщении объему жидкости ускорений (положительных или отрицательных), при относительном покое в ускоренно движущихся сосудах, перемещающихся с тем или иным ускорением или при относительном движении жидкости в руслах. К числу массовых сил относят также силы, вводимые при составлении уравнений движения жидкости по принципу Даламбера.

Поверхностные силы обусловлены воздействием соседних объемов.

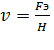
. Основные параметры, характеризующие движение жидкости

Основными параметрами, характеризующими движение жидкости являются: площадь живого сечения S, расход жидкости Q и средняя скорость движения v.

Площадь живого сечения. Живым сечением потока жидкости рисунок 1 называется сечение, которое в каждой своей точке нормально к векторам скоростей частиц жидкости.

Рисунок 1 - Живые сечения потока жидкости:

А - теоретическое сечение; б - практическое сечение; в - эпюра скоростей в живом сечении по глубине потока

В практике чаще всего встречаются потоки жидкостей, живое сечение которых представляет собой поверхность, мало отличающуюся от плоскости.

Расход жидкости. Расходом жидкости называется количество жидкости, проходящее через данное живое сечение единицу времени. Расход может измеряться в объемных или массовых единицах:

( 2)

Средняя скорость движения жидкости. В общем случае скорости частиц в разных точках живого сечения будут различны. Если площадь эпюры частных скоростей Fэ разделить на ширину потока жидкости H, то в соответствующем масштабе получим значение средней скорости движения жидкости, т.е.

(3)

С другой стороны,

(4)

Это соотношение часто используется в практике для определения третьей неизвестной величины при двух известных, в частности, для определения средней скорости движения жидкости по расходу и площади живого сечения.

. Классификация видов движения жидкостей

Рассмотрим классификацию видов движения жидкости по различным признакам. Все эти классификации изобразим в виде схемы.

классификация


классификация


По характеру изменения поля скоростей во времени движения жидкости делятся на установившиеся, неустановившиеся. Установившееся движение - движение, при котором, в любой точке потока жидкости скорость (и давление) с течением времени не изменяется, т.е.


Примерами установившегося движения могут быть: истечение топлива из крана бензобака при неизменном уровне топлива в баке, а также движение воды в канале с постоянными геометрическими параметрами: площадью поперечного сечения. Неустановившееся движение - движение, при котором в любой точке потока жидкости скорость с течением времени изменяется, т.е.


Примерами неустановившегося движения могут быть: истечение топлива из крана бензобака при его опорожнении, а также течение воды в реке при прохождении паводка.

классификация


классификация


5 классификация


Все виды движения, рассматриваемая как сплошная среда является пространственными (происходят в пространстве). Вместе с тем внутри пространственного движения можно различить следующие частные случае его, которое и составляют 6 классификацию (в зависимости от характера, например, векторных полей скорости и ускорения).

классификация


. Общие понятия о напорном и безнапорном течении жидкости

Движение реальной жидкости в потоке характеризуется условиями течения. Течение жидкости в трубопроводах различного сечения может происходить в условиях полного их заполнения рис 2 (а) 4, то есть когда частицы с жидкостью соприкасаются с внутренней поверхностью трубопровода по всему периметру сечения.

Рисунок 2 - Напорное (а) и безнапорное (б) движение

Х - смоченный периметр

Давление жидкости в таком трубопроводе вдоль потока не остается постоянным. Такое движение называется напорным. Примером напорного движения служит обычный трубопровод.

Течение реальной жидкости может происходить в открытых руслах, желобах или трубопроводах при условии неполого затопления труб, то есть когда частицы жидкости соприкасаются с внутренней поверхностью трубопровода не по всему периметру сечения, а только по части периметра х.

В этом случае образующаяся в верхней части потока свободная поверхность жидкости и давления вдоль потока остается постоянным. Это движение называется безнапорным. Примером является: течение воды в желобах, в естественных потоках, а также в трубопроводах канализационных сетей.

К гидравлическим характеристикам напорного и безнапорного движения жидкости относятся: живое сечение потока, гидравлический радиус, гидравлический уклон, расход, средняя скорость.                                                  

Живое сечение потока - называется сечение перпендикулярное потоку. Та часть периметра х живого сечения потока, по которому происходит соприкосновение частиц жидкости с внутренней поверхностью трубопровода, желоба или ложа естественного потока, называется смоченным периметром.

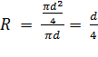
Отношение живого сечения потока F смоченному периметру х называется гидравлическим радиусом

 (5)

В гидравлике гидравлическим радиусом принято характеризовать форму сечения потока. Гидравлический радиус потока для круглой трубы в условиях напорного движения

 (6)

При напорном движении в трубе круглого сечения гидравлический радиус будет равен:

 

, (7)

т.е. четверти диаметра, или половине радиуса трубы.

Для безнапорного потока прямоугольного сечения с размерами a гидравлический радиус можно вычислить по формуле.


 (8)

6. Расчет напорных потоков

Режимы движения всех потоков (напорных и безнапорных) делятся на два типа

) ламинарный, то есть спокойный, параллельноструйный, при малых скоростях;

) турбулентный, то есть бурлящий, вихреобразный, с водоворотами, при больших скоростях.

Для выяснения типа режима нужно рассчитать число Рейнольдса Re и сравнить его с критическим Reкр.

Число Рeйнольдса Re — это безразмерный критерий, вычисляемый по формулам:

— для напорных потоков


где d — внутренний диаметр напорного трубопровода;

— для безнапорных потоков


где R — гидравлический радиус безнапорного потока, м

Критическое число Рейнольдса Reкр - это число Рейнольдса, при котором наступает смена режима движения.

Для напорных потоков Reкр=2320.

Для безнапорных потоков Reкр » 500.

Расчёт напорных потоков сводится к нахождению неизвестных расходов q , скоростей v или потерь напора (разности напоров) H. Для трубопроводов определяются их внутренние диаметры d.

Общие потери напора (или разность напоров) определяются по формуле Вeйсбаха


где z — коэффициент гидравлического сопротивления.

Скорость потока связана с расходом соотношением вида

=q/,

где  — площадь живого сечения потока. Например, для трубы круглого сечения

 =πd2/4.

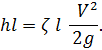
Таким образом, приведённые зависимости связывают величины H, v, q, , d, что позволяет рассчитать любой напорный поток. Значения коэффициента z принимаются в зависимости от вида определяемых потерь напора (линейных или местных).

Общие потери напора H (м)в любом потоке представляют собой сумму линейных hl и местных hм потерь:

H =

Рисунок 3 - Потери напора: а -линейное; б-местные; 1- трубопровод;2 - напорная линия; 3-местное сопротивление

Линейные потери напора hl возникают на прямых участках труб. В литературе иногда встречаются другие варианты названий hl: потери напора по длине; потери напора на трение; путевые потери напора. Величина hl определяется по формуле Вeйсбаха в такой записи:


Здесь коэффициент линейного гидравлического сопротивления находится так:


где  - коэффициент гидравлического трения; l - длина прямолинейного участка трубопровода.

Коэффициент гидравлического трения  зависит от режима движения потока— ламинарного или турбулентного.

При ламинарном режиме


При турбулентном режиме


где  — абсолютная шероховатость стенок трубопроводов. Например, у старых стальных труб  » 1,5 мм.

Гидравлическим уклоном i называется отношение линейных потерь напора hl к длине потока l (см. рис. 13, а):

= hl / l.

Местные потери напора hм возникают в местах резкой деформации потока: на поворотах труб, в местных сужениях или расширениях, тройниках, крестовинах, в кранах, вентилях, задвижках. На напорной линии они изображаются в виде падающего скачкообразного участка hм.

Формула Вeйсбаха для местных потерь напора имеет вид


где  — коэффициент местного гидравлического сопротивления. Он принимается для конкретного участка деформации потока (поворота, крана и т.д.) по справочным данным.

. Расчет безнапорных потоков

Расчёт безнапорных потоков состоит в решении совместной задачи о пропуске расхода q при допустимых скоростях потока v и геометрических уклонах iгеом днища труб, каналов и т.д. Безнапорные (со свободной поверхностью) потоки наблюдаются в канализационных трубах, дорожных лотках, каналах; в природе в реках, ручьях.

При расчёте безнапорных потоков вводится допущение о равномерном движении потока: геометрический уклон дна iгеом считается равным уклону свободной поверхности (пьезометрическому уклону) и гидравлическому уклону i. Другими словами, поверхность дна 1, свободная поверхность потока 2 и напорная линия 3 параллельны друг другу. Это упрощает расчёт, так как определяя гидравлический i, автоматически находят уклон дна iгеом.

Рисунок 4 - Безнапорный поток: 1 - дно; 2 - свободная поверхность; 3 - напорная линия; 4 - трубка Пито; 5- горизонталь

На рис. в точках потока А и В напоры существуют, и их отметки могут быть зарегистрированы трубками Питo соответственно НА и НВ. Разность напоров НА – НВ равна линейной потере напора hl на участке потока длиной l. Величина hl по принятому допущению равна z — разности высотных отметок дна в начале и конце участка, так как i = hl /l , iгеом = z/l, а i = iгеом.

Местные потери напора hм возникают в безнапорных потоках так же, как и в напорных, в местах резкой деформации потока: на поворотах, в тройниках, крестовинах, местных сужениях и т.д. Однако в расчётах безнапорных потоков величины hм обычно не учитывают.

При проведении гидравлического расчёта безнапорных потоков вводятся ограничения по скорости v (м/с), наполнению h/d и уклону iгеом. Например, при расчёте канализационных труб должны быть выполнены три таких ограничения:

,7

0,3

1/dмм  iгеом 0,15,

где dмм — внутренний диаметр трубы в мм.

Для расчёта безнапорных потоков широко применяется формула Шезu:


где R — гидравлический радиус (м); С — коэффициент Шезu.

Коэффициент Шезu можно определить по формуле Маннинга


где n - коэффициент шероховатости стенок трубы или канала;— гидравлический радиус, подставляемый в метрах.

Скорость потока связана с расходом соотношением вида


Таким образом, приведённые формулы позволяют осуществлять гидравлический расчёт любых безнапорных потоков. Обычно для расчётов используются вспомогательные таблицы или номограммы, составленные на основе формулы Шези.

Отметим, что формула Шези справедлива для потоков с турбулентным режимом. Таких потоков на практике подавляющее большинство.

. Методы измерения расхода воды в напорных и безнапорных потоках. Необходимое измерительное оборудование

Необходимо выяснить, какой поток необходимо учитывать, напорный или безнапорный.

Напорный поток - со всех сторон ограничен стенками водовода, давление в любой точке потока отличается от атмосферного, водовод полностью заполнен. Как правило, напорными являются системы водоснабжения и теплоснабжения.

Безнапорный поток - имеет свободную поверхность, на которую воздействует атмосферное давление - водовод либо открыт, либо попросту не заполнен до конца. Движение жидкости в этом случае происходит под действием силы тяжести самого потока. В природе примером безнапорного потока являются ручьи и реки. Безнапорными, зачастую, являются системы водоотведения - ливневые, дренажные и хозяйственно-бытовые сточные воды.

Узел учета - это совокупность приборов и устройств, которые обеспечивают учет количества протекающей жидкости.

Средство измерения (прибор учета, расходомер) - техническое средство, предназначенное для измерений. Имеет нормированные метрологические характеристики, умеет хранить и/или воспроизводить некую измеренную физическую величину в пределах установленной погрешности. В данном случае основным значением измерения является объем протекающей жидкости.

Первичный преобразователь расхода - составная часть средства измерения, обеспечивающая первичное измерение параметров протекающей жидкости и передающая их на вторичный преобразователь.

Вторичный преобразователь расхода - составная часть средства измерения, принимающая информацию о параметрах протекающей жидкости от первичных преобразователей и вычисляющая непосредственно расход. Именно вторичный преобразователь хранит и/или воспроизводит информацию об объеме протекающей жидкости.

Наиболее распространенные методы измерения напорных потоков. Для определения расхода в напорных потоках достаточно измерять один параметр протекающей жидкости - скорость. Площадь сечения всегда известна и ограничена стенками водовода. Расход определяется путем перемножения скорости потока жидкости на площадь проходного сечения.

Тахометрический метод - так называемые, механические расходомеры, среди них можно выделить крыльчатые, турбинные и винтовые. Принцип действия основан на измерении скорости подвижного элемента, который вращается под воздействием протекающей жидкости. Наиболее доступное по стоимости оборудование, но имеет целый ряд ограничений к применению.

Преимущества:

·        первичный преобразователь расхода не нуждается в питании, работает автономно;

·        прост в обслуживании и ремонте;

·        невысокие требования к длинам прямолинейных участков;

·        относительно большой межповерочный интервал - до 6 лет.

Недостатки:

·        движущиеся элементы конструкции требовательны к качеству протекающей жидкости - только чистая вода.

Погрешность:

·        ±0,5% - ±5%.

Метод переменного перепада давления - в зависимости от конструкции и принципа действия первичного преобразователя выделяют несколько видов средств измерений, но в основе каждого из них лежит зависимость перепада давления, которое создается первичным преобразователем от расхода протекающей жидкости. Наибольшее распространение получили средства измерения, получившие название "диафрагмы".

Преимущества:

·        высокая стабильность измерения;

·        высокая надежность работы;

·        невысокие требования к длинам прямолинейных участков.

Недостатки:

·        потери давления в водоводе в силу конструктивных особенностей первичного преобразователя;

·        относительно короткий межповерочный интервал;

·        небольшой диапазон измерения.

Погрешность:

·        ±1% - ±3%.

Ультразвуковой времяимпульсный метод - зачастую называют просто "ультразвуковой", хотя это не совсем верно, поскольку ультразвуковых методов измерения расхода несколько. Как правило, в водовод монтируется минимум два пьезоэлектрических преобразователя друг напротив друга под углом 45°, которые попеременно работают как излучатель и приемник. Принцип действия данного метода основан на измерении скорости прохождения ультразвукового сигнала от излучателя до приемника, при этом скорость прохождения сигнала по потоку жидкости выше, чем против потока. Возможно исполнение как с врезными в стенки водовода датчиками, так и с накладными датчиками.

Преимущества:

·        относительная универсальность - устанавливаются в водоводы диаметром от 15 мм до 5000 мм;

·        возможно измерение агрессивных сред при использовании накладных датчиков;

·        возможна высокая точность при измерении однородной среды без взвесей и пузырьков.

Недостатки:

·        высокие требования к обслуживанию врезных датчиков - периодическая очистка;

·        высокие требования к обслуживанию накладных датчиков - периодическая замена акустического геля, и очистка внутреннего сечения водовода измерительного участка;

·        низкая стабильность измерений при насыщении измеряемой среды взвесями и пузырьками, вплоть до полной недостоверности;

Погрешность:

·        ±0,5% - ±2%.

Электромагнитный (магнитоиндукционный) метод - наиболее универсальный на текущий момент метод измерения напорных потоков. Принцип действия основан на измерении электродвижущей силы (ЭДС), возникающей в потоке жидкости, протекающей через искусственно созданное магнитное поле, при этом ЭДС прямо пропорциональна скорости потока жидкости. Этот метод был предложен Майклом Фарадеем еще в начале XIX века. Первичный преобразователь, как правило, представляет из себя полнопроходное измерительное сечение с электромагнитами (для создания магнитного поля) и парой электродов, расположенных диаметрально противоположно в измерительном сечении для съема ЭДС.

Преимущества:

·        универсальность - измерению подлежат любые токопроводящие жидкости;

·        высокая точность и стабильность измерений (в случае наличия системы самоочистки электродов);

·        низкие требования к качеству измеряемой среды - данный метод используется, в том числе, для измерения объема неочищенных сточных вод;

·        полнопроходное сечение обуславливает отсутствие потерь давления в водоводе.

Недостатки:

·        стоимость зависит от диаметра водовода - исполнение первичного преобразователя всегда полнопроходное;

·        возможна нестабильность измерений при наведении сильных электромагнитных помех.

Погрешность:

·        ±0,25% - ±2%.

Основываясь на опыте организации узлов учета напорных потоков можно утверждать, что наиболее универсальным и востребованным является именно электромагнитный метод измерения. В зависимости от поставленной метрологической задачи возможно применение различных методов измерения, однако необходимо всегда учитывать имеющиеся технические условия на объекте измерения и продумывать мероприятия по дальнейшему обслуживанию и эксплуатации средств измерения.

Методы измерения безнапорных потоков.

Что касается измерения безнапорных потоков, здесь не все так очевидно. До недавнего времени считалось, что измерить большую часть существующих безнапорных потоков не представляется возможным, однако с появлением на метрологическом рынке оборудования, способного измерять скорость и уровень одновременно, ситуация в корне изменилась. Подробно остановиться имеет смысл на двух методах измерения, которые на текущий момент используются более чем в 90% случаев.

Акустический (бесконтактный) метод - наиболее распространенный в силу низкой стоимости, измерительное оборудование подобного плана давно производится в России и широко известно. Определение расхода при использовании данного метода производится путем измерения уровня воды и пересчета полученного значения по функции "уровень-расход" с использованием градуировочных таблиц. Уровень вычисляется путем измерения времени прохождения ультразвукового сигнала от первичного преобразователя, расположенного над потоком, до поверхности потока и отраженного эхо-сигнала до датчика. Необходимо отметить, что скорость при данном методе определения расхода не измеряется в явном виде, что приводит к недостоверным результатам в случае возникновения отложений на дне водовода и/или возникновении подпора. Данный метод имеет ряд преимуществ и недостатков.

Преимущества:

·        бесконтактный метод позволяет учитывать потоки с агрессивной средой;

·        возможно измерение даже очень малых объемов.

Недостатки:

·        высокие требования к длинам прямолинейных участков - 20 максимальных уровней заполнения водовода до первичного преобразователя и 10 после;

·        высокие требования к газовой среде между первичным преобразователем и поверхностью измеряемой среды (парообразования сказываются на качестве прохождения сигнала) и к самой поверхности измеряемой среды (пенообразования вносят большой вклад в погрешность измерения);

·        необходимость соблюдения постоянного уклона всего измерительного участка;

·        в случае возникновения подпора (поток останавливается или идет в обратном направлении) оборудование всегда считает расход "в плюс";

·        как правило, для установки оборудования требуется организация дополнительной измерительной камеры (колодца).

Погрешность:

·        ±3% - вплоть до полной недостоверности показаний.

Двухканальный доплеровский метод - обусловлен одновременным измерением как уровня потока, так и его скорости. В сам поток, как правило на дно водовода, монтируются первичные преобразователи скорости и уровня. Скорость определяется по методу Доплера - в поток излучается ультразвуковой сигнал, который отражается от взвешенных частиц в потоке. Затем датчик скорости принимает отраженный сигнал и определяет скорость движения частиц по смещению частоты колебания относительно излученного сигнала. Уровень определяется либо гидростатическим методом (по давлению столба жидкости на чувствительную мембрану), либо ультразвуковым методом. Зная геометрию водовода и измерив уровень потока, высчитывается площадь проходного сечения. Расход определяется путем перемножения скорости потока на площадь сечения. Имеется также более прогрессивный метод, основанный на методе Доплера, - кросскорреляционный. Суть остается прежней, но измерение скорости производится в нескольких плоскостях и усредняется методом кросскорреляции, что повышает точность измерения относительно традиционного метода Доплера.

Преимущества:

·        измерение потока как в прямом, так и обратном направлении;

·        простота монтажа - для установки не требуется организация дополнительных колодцев и измерительных камер;

·        универсальность - монтаж в водоводах практически любой геометрии сечением от 100мм до 9000мм.

Недостатки:

·        необходимость периодической очистки датчиков при учете особенно загрязненных сточных вод.

·        ±1% - ±5%.

Приоритетным методом измерения безнапорных потоков является двухканальный доплеровский.

. Течения в руслах (геогидравлика, гидротехника)

Течение водного потока. Расход воды в потоке является главной его характеристикой. Значения среднего стока и его сезонных и годовых колебаний очень важны при проектировании гидроэлектростанций, ирригационных и водопроводных каналов; параметры кратковременных потоков малой интенсивности сильно влияют на планирование работ по предотвращению загрязнений окружающей среды; данные о внезапных мощных потоках и массах воды, возникающих во время ураганов, обязательно учитываются при разработке мер борьбы с наводнениями. Минимальные и максимальные речные потоки влияют и на судоходство: первые уменьшают глубину фарватера, вызывая опасность посадки судна на мель; вторые резко увеличивают скорость течения и изменяют его характер, что затрудняет движение судов.

Улучшение условий судоходства обеспечивается дноуглубительными работами на фарватере и в акваториях речных портов, регулированием уровня и стока вод, а также строительством каналов.

Подходные каналы в портах. Подходные каналы в речных портах обычно прокладываются вдоль естественных русел, которые углубляются и расширяются; на входе с моря и в водохранилищах эти каналы защищаются молами и волноломами, обеспечивающими прохождение судов в непогоду. Дноуглубительные работы проводятся в устьях рек, подверженных воздействию приливно-отливных течений, в меандрирующих руслах рек с малым уклоном и на мелководьях, где необходимо судоходство.

Регулирование течения рек. На некоторых реках необходимая для судоходства глубина обеспечивается регулированием течения. Для этого проводятся работы по выправлению русла с возведением струенаправляющих и ограничивающих гидротехнических сооружений в самом русле и по берегам реки. Эти сооружения формируют речной поток так, что в нем создается достаточно равномерное распределение относительно невысоких скоростей, при котором образуется и поддерживается фарватер с заданными минимальными значениями глубины, ширины и кривизны. К таким сооружениям относятся подпорные полузапруды, дамбы, шлюзы, берегоукрепительные сооружения, обводные каналы и затворы боковых проток. Нередко для обеспечения более равномерного стока строятся водохранилища и вспомогательные накопительные водоемы

10. Течения в канализационных и сливных системах ливнёвки

Канализация.

Под системой канализации принято понимать совместное или раздельное отведение сточных вод трех категорий. В практике наиболее широкое распространение получили общесплавная и раздельные системы канализации.

Общесплавными называют системы канализации, при которых все сточные воды - бытовые, производственные и дождевые - сплавляются по одной общей сети труб и каналов за пределы городской территории на очистные сооружения.

Раздельными называют системы канализации, при которых дождевые и условно чистые производственные воды отводят по одной сети труб и каналов, а бытовые и загрязненные производственные сточные воды - по другой, одной или нескольким сетям.

Канализационную сеть, предназначенную для приема и отведения атмосферных вод, называют дождевой (ливневой) или водостоком. Если в дождевую канализацию сбрасывают практически чистые незагрязненные производственные сточные воды, то ее называют производственно-дождевой.

Сеть, предназначенную для приема и отведения бытовых вод, называют бытовой.

Производственной называют канализационную сеть промышленного предприятия, предназначенную для приема и отведения только загрязненных производственных сточных вод (при отдельном их удалении); производственно-бытовой - сеть, предназначенную для приема и отведения совместно производственных и бытовых сточных вод Совместное отведение бытовых и производственных сточных вод допускается только в тех случаях, когда это не нарушает работы сети и очистных сооружений бытовой канализации.

Раздельная система канализации может быть полной или неполной.

Полной раздельной называют систему, включающую две или несколько совершенно самостоятельных канализационных сетей сеть, по которой отводят только дождевые или дождевые и условно производственные воды; сеть для отвода бытовых и части загрязненных производственных вод, допускаемых к спуску в бытовую канализацию, сеть, по которой отводят загрязненные производственные воды, не допускаемые к совместному отведению с бытовыми.

Неполной раздельной называют систему канализационных сетей, предусматриваемую для отвода только наиболее загрязненных производственных и бытовых сточных вод; атмосферные воды при этой системе стекают в водные протоки по кюветам проездов, открытым лоткам, канавам и тальвегам.

Разновидностями общесплавной и раздельной систем являются полураздельная и комбинированная системы канализации.

Полураздельная система канализации состоит из тех же самостоятельных канализационных сетей, что и полная раздельная система, и одного главного (перехватывающего) коллектора, отводящего на очистные сооружения бытовые, производственные, талые воды, воды от мытья улиц и часть наиболее загрязненных дождевых вод.

Комбинированные системы канализации появились в результате расширения городов, имеющих общесплавную систему канализации. Ввиду того что в сухую погоду общесплавные коллекторы загружены не полностью, к ним присоединяли бытовую и производственную канализационные сети от районов новой застройки, а для атмосферных вод, которые уже не могли быть приняты в существующие общесплавные коллекторы, прокладывали самостоятельные дождевые канализации с выпуском атмосферных вод в ближайшие водоемы без очистки. Таким образом, появилась комбинированная система канализации, при которой в одних районах города сохранилась общесплавная система, в других- полная раздельная, в-третьих - неполная раздельная система.

Ливневая канализация.

Осадки, собирающиеся с крыш домов с помощью водосточных труб, оказывают негативное воздействие на состояние почвы около здания. Излишняя влага способна не только убить зеленые насаждения на вашей территории, но и разрушить фундамент зданий, что абсолютно недопустимо. Проблема устранения избыточной влаги решается за счет использования ливневой канализации.

Ливневая канализация (она же ливневка) - это система труб, лотков, дождеприемников и дополнительных элементов, предназначенная для сбора и отвода поверхностных дождевых и талых вод с кровель зданий, дорожных покрытий и различных площадок.

Рисунок 5 - Ливневая канализация

Хороший дождь освежает атмосферу, накаленную летним солнцем, орошает газоны, очищает улицы и дворы от пыли, зачем же нужно устройство ливневой канализации?

Ливневые системы канализации известны с древних времен. Вот уже сотни лет они доказывают свою актуальность и эффективность. Затяжные отсадки, обильные ливни и таяние снега приносят большой вред хозяйственной деятельности человека и доставляют значительные неудобства. Именно ливневый дренаж способен надолго отсрочить или совсем предотвратить множество неприятных последствий. Грамотное устройство ливневки позволяет:

·        защитить от преждевременного разрушения дороги и тротуары, фундаменты и отмостки зданий;

·        предохранить от сырости первые этажи и снизить вероятность затопления подвалов;

·        предотвратить образование луж и наледи;

·        предупредить эрозию склонов и заболачивание почвы;

·        придать территории и сооружениям эстетичный внешний вид и надолго сохранить его.

Как показывает многовековая практика, организация ливневой канализации - неотъемлемый атрибут цивилизованного общества. Причем она не только повышает комфортность существования человека, избавляя его от множества проблем, но и весьма выгодна с экономической точки зрения - ливневка существенно продлевает жизнь сооружений и дорожных покрытий.

Ливневая канализация - технология эффективного водоотвода.

Схема ливневой канализации в том или ином сочетании включает в себя:

·      систему водоотвода с кровли сооружений, состоящую из водосточных желобов, воронок и труб;

·        колодцы и дождеприемники точечного водосбора;

·        подземные трубы, ведущие от дождеприемников к коллекторам, куда в итоге и попадают все стоки ливневой канализации;

·        систему лотков линейного водоотвода.

Такими зонами могут быть тротуары, дорожки, трассы, парковки, игровые площадки и т.д. Вся поверхность зоны организуется с небольшим уклоном к точке (точечный дренаж) или линии (линейный дренаж) водосбора.

Главный принцип ливневой канализации - сточные воды с крыши и зоны осушения должны быть собраны в один поток и направлены в коллектор. Это достигается за счет объединения в общую систему лотков и труб, которые располагают под наклоном в сторону водосброса.

Осадки, стекая с крыш, попадают в установленные по периметру водосточные желоба, а далее в отводные трубы. Из труб потоки воды устремляются в дождеприемник - неотъемлемый элемент точечного дренажа, соединенный с коллектором подземными трубами.

Такими местами, когда, например, устроена ливневая канализация на даче, где отсутствуют магистральные инженерные коммуникации, могут служить близлежащие водоемы, канавы или специально устроенные дренажные колодцы.

Не менее важную роль играет линейный дренаж, состоящий из лотков, уложенных на осушаемой территории вровень с поверхностью в местах возможного скопления дождевой или талой влаги. При помощи таких лотков ливневая канализация (сточные воды не обязательно отводятся под землей) также подключается к коллектору или иному месту водосброса.

11. Течения в водопроводах жилых помещений

Понятие водоснабжения определено в федеральном законе РФ "О водоснабжении и водоотведении" от 07.12.2011 г. №416-ФЗ:

Водоснабжением является водоподготовка, транспортировка и подача питьевой или технической воды абонентам с использованием централизованных или нецентрализованных систем холодного водоснабжения (холодное водоснабжение) или приготовление, транспортировка и подача горячей воды абонентам с использованием централизованных или нецентрализованных систем горячего водоснабжения (горячее водоснабжение).

Требования к услугам холодного и горячего водоснабжения.

Согласно постановлению правительства РФ "О предоставлении коммунальных услуг собственникам и пользователям помещений в многоквартирных домах и жилых домов" от 06.05.201 1г. №354:

Холодное водоснабжение - круглосуточное обеспечение потребителя холодной питьевой водой надлежащего качества, подаваемой в необходимых объемах по присоединенной сети в жилое помещение либо до водоразборной колонки.

Холодное водоснабжение должно соответствовать следующим требованиям (отклонение от которых не допускается):

Бесперебойное круглосуточное холодное водоснабжение в течение года;

Допустимая продолжительность перерыва подачи холодной воды: 8 часов (суммарно) в течение 1 месяца; 4 часа единовременно, при аварии в централизиванных сетях холодного водоснабжения в соответствии с требованиями РФ о техническом регулировании (СНиП 2.04.02-84).

Постоянное соответствие состава и свойств воды санитарным нормам и правилам (СанПин 2.1.4.1074-01);

Давление в системе холодного водоснабжения в точке разбора: в многоквартирных домах и жилых домах от 0,03 МПа (0,3 кгс/кв. см) до 0,6 МПа (6 кгс/кв. см); у водоразборных колонок - не менее 0,1 МПа (1 кгс/кв. см).

Горячее водоснабжение - круглосуточное обеспечение потребителя горячей водой надлежащего качества, подаваемой в необходимых объемах по присоединенной сети в жилое помещение.

Горячее водоснабжение должно соответствовать следующим требованиям (отклонение от которых не допускается):

Бесперебойное круглосуточное горячее водоснабжение в течение года;

Допустимая продолжительность перерыва подачи горячей воды: 8 часов (суммарно) в течение 1 месяца; 4 часа единовременно, а при аварии на тупиковой магистрали - 24 часа, продолжительность перерыва горячего водоснабжения связанная с ремонтными и профилактическими работами осуществляется с требованиями законодательства РФ о техническом регулировании (СанПин 2.1.4.2496-09).

Допустимое отклонение температуры горячей воды в точке водоразбора:

в ночное время (с 0.00 до 5.00 часов) не более чем на 5°С;

в дневное время (с 5.00 до 0.00 часов) не более чем на 3°С

Постоянное соответствие состава и свойств горячей воды санитарным нормам и правилам (СанПин 2.1.4.2496-09);

Давление в системе горячего водоснабжения в точке разбора от 0,03 МПа (0,3 кгс/кв. см) до 0,45 МПа (4,5 кгс/кв. см).

. Течение жидкости в трубопроводах высокого давления

Трение жидкости. Для измерения статического давления жидкости, текущей в трубе, можно применить такое устройство: к маленьким отверстиям, просверленным в трубе, присоединяют вертикальные открытые сверху трубочки (манометрические трубки, рис. 6). Если жидкость в трубе находится под давлением, то в вертикальной трубочке жидкость поднимается на высоту, соответствующую статическому давлению в данном месте трубы).

В самом деле, небольшое отверстие почти не внесет изменений в поток жидкости, текущей в трубе. Устанавливая манометрические, трубки в разных местах трубы, мы сможем измерить статическое давление в соответственных точках.

Рисунок 6 - Манометрические трубки показывают статическое давление в трубе, по которой течет жидкость


Рисунок 7 - Манометрические трубки показывают падение давления вдоль трубы, по которой течет вода

Падение давления жидкости в трубе объясняется трением. На жидкость, текущую по трубе, действуют со стороны стенок трубы силы трения; они направлены противоположно движению жидкости. Выделим мысленно в трубе объем жидкости  (рис. 8). Со стороны стенок трубы на выделенный объем действуют силы трения . Если жидкость течет по трубе равномерно (с постоянной скоростью), то силы давления, действующие на выделенный объем, должны уравновешивать силы трения. Отсюда заключаем, что сила давления  действующая в направлении движения, по модулю должна быть больше силы давления , действующей в противоположном направлении. Поэтому давление на задней поверхности  выделенного объема должно быть больше давления на передней поверхности , т. е. давление должно убывать вдоль трубы по течению.

Рисунок 8 - Сумма сил давления  и  уравновешивает силы трения  со стороны стенок трубы

Если увеличить скорость жидкости, текущей по трубе, то сила трения возрастет. Поэтому при быстром течении жидкости падение давления в данной трубе больше, чем при медленном течении. При данной скорости течения трение сказывается сильнее в узких трубах, чем в широких; поэтому вдоль узких труб давление падает быстрее.

При устройстве водопроводов необходимо учитывать падение давления в водопроводных трубах. Когда все краны водопровода закрыты, и вода по трубам не течет, то давление воды соответствует высоте водонапорной башни. В покоящейся жидкости никаких сил трения не возникает. Если же краны открыты, и вода течет, то трение в трубах вызывает падение давления: "напор" воды уменьшается. Чем большее число кранов открыто и чем быстрее течет вода, тем больше падает напор.

При недостаточной высоте водонапорной башни может оказаться, что падение давления воды в трубах больше, чем давление, соответствующее высоте башни над верхними этажами дома. Тогда вода перестанет течь из кранов верхних этажей. Но в часы, когда потребление воды невелико, потери давления уменьшаются, и вода в верхних этажах появляется снова; и, вообще, давление воды в водонапорной сети больше всего ночью, когда расход воды мал, скорость движения воды по трубам мала, и поэтому трение сравнительно невелико.

Падение давления в водопроводе демонстрируется на следующей модели (рис. 9). Узкая (для увеличения трения) труба  и ее ответвление , снабженные манометрическими трубками, могут закрываться кранами  и . Если налить воду в сосуд  и закрыть краны, то давление в трубах  и  будет соответствовать высоте налитой воды и вода во всех манометрических трубках будет стоять на том же уровне, что и в сосуде . Если немного открыть кран , то в трубе  мы увидим знакомую уже нам картину падения давления вдоль трубы; в трубе  давление упадет, но будет одинаково во всех точках и равно давлению в точке . Если больше открыть кран , то и падение давления вдоль трубы  станет больше. Если приоткрыть еще кран , то появится падение давления воды вдоль трубы  и одновременно уменьшится давление во всех точках трубы .

гидравлика жидкость напорный поток

Рисунок 9 - Прибор для демонстрации падения давления в водопроводе

Список использованной литературы


1.      В.Н. Калицун, В.С. Кедров, Ю.М. Ласков, П.В. Сафонов. Гидравлика, водоснабжение и канализация: учебник для вузов. - 3-е изд., перераб. и доп. - М.: Строиздат, 1980. с. 359, ил.

.        Штеренлихт Д.В. Гидравлика: учебное пособие для вузов. - М.: Энергоатомиздат, 1984. с. 640, ил.

.        Шлипченко З.С. Насосы, компрессоры и вентиляторы. К., "Технiка", 1976, с. 368

.        Чугаев Р.Р. Гидравлика: учебник для вузов. - 4-е издание, доп. и перераб. - Л.: Энергоиздат. Ленинградское отд. 1982. - с. 672, ил.

.        Лепешкин А.В., Михайлин А.А., Шейпак А.А. Гидравлика и гидропневмопривод: Учебник. Ч. 2. Гидравлические машины и гидропневмопривод / Под ред. А.А. Шейпака. - М.: МГИУ, 2003. - с. 352.

Похожие работы на - Напорное и безнапорное течение

 

Не нашли материал для своей работы?
Поможем написать уникальную работу
Без плагиата!
Без нейросетей!