|
Компонент
|
Природній
|
Промисловий
|
|
Озон
|
2*109
|
Незначні
|
|
Двоокис вуглецю
|
7*1010
|
1,5*1010
|
|
Оксид вуглецю
|
-
|
2*108
|
|
Сірчистий газ
|
1,42*108
|
7,3*107
|
|
Сполуки азоту
|
1,4*109
|
1,5*107
|
|
Зважені в-ва
|
(770…2200)*106
|
(960…2615)*106
|
Природні процеси забруднення мають в природі
антиподи, здатні нейтралізувати дію природного забруднювача, а багато
речовин,створені людиною, є сторонніми по відношенню до природи.
Природні джерела забруднення зазвичай віддалені
від місця існування людини, а антропогенні розташовані в районах концентрації
населення.
Основні шляхи вирішення
Збільшення масштабів забруднення атмосфери
вимагають швидких іефективних способів захисту її від забруднення, а також
способівпопередження шкідливого впливу забруднювачів повітря. Атмосфера
можемістити певну кількість забруднювача без прояви шкідливоївпливу, тому що
відбувається природний процес її очищення.
Першим кроком у встановленні шкідливого впливу,
пов'язаного із забрудненнямповітря, є розробка критерію якості повітря, а також
стандартівякості.
Стандарти якості визначають рівні якості повітря
і граничнодопустимі викиди (ГДВ), які необхідно витримувати для
забезпеченнябезпеки життя.
Контролюючі органи зобов'язані здійснювати
кількісний та якіснийконтроль.
Іншим підходом до поліпшення стану атмосфери є
вимогазастосування передових технологічних процесів, заміна шкідливих
матеріалівнешкідливими, застосування мокрих способів обробки сировини замість
сухих.
Як правило, на промислових підприємствах
використовуються процеси абопристрої для газоочистки і пиловловлення, щоб
зменшити абозапобігти величину викиду. Процеси газоочистки можуть також
зруйнуватиабо змінювати його хімічні та фізичні властивості так, що він
стаєменш небезпечним
У деяких випадках використовують метод
розсіювання в атмосфері. Димовітруби повинні бути досить високими (300-350
метрів), для забезпеченнягарного розведення домішок шляхом обтікання повітря
навколо будинків у зоніаеродинамічних тіней. Крім того, необхідно враховувати
температурувикидів і місце розташування труб. Підприємства будують з
подветреннойсторони по відношенню до житлових районів. На ряді підприємств
факельні газивикористовують для опалення будинків, а їх надлишок направляється
натеплоцентраль.
Якщо впроваджувати енергозберігаючі технологоіїї
або альтернативну енергетику то можна зменшити кількість вуглекислого газу, що
викидається у атмосферу.
За масштабами забруднення навколишнього
середовища можна розділити на локальний,регіональне та глобальне. Ці три види
забруднення тісно пов'язані міжсобою. Як правило, первинним є локальне
забруднення, яке, якщошвидкість процесу забруднення більше швидкості природного
очищення,переходить до регіонального і потім при накопиченні кількісних змін в
глобальну зміну якості навколишнього середовища. Для глобальногозабруднення
найбільш важливим є тимчасовий чинник.
Існування таких процесів свідчить про обмеженість
ресурсіватмосфери і про межах її природного самовідновлення.
Наприклад,використання повітря у виробничих процесах здавна передбачалоприродні
здібності атмосфери до відновлення первинних якостей.
Зокрема, димові викиди в атмосферу, що містять
мікрочастинки ітоксичні речовини, являють собою не що інше, як метод
розведення.
І навіть у наші дні при будівництві висотних і
сверхвисотних трубпродовжують користуватися цим стародавнім методом. Однак
різке зростанняобсягів викидів призвело до того, що масштаби забруднення
впритулнаблизилися і навіть часто переступають межі самовідновленняатмосфери.
При сучасних рівнях забруднення шкідливі речовини
від джерелазабруднення поширюється на десятки й сотні кілометрів. І навіть
самепоняття джерело забруднення кілька змінює зміст. Якщо в
якому-небудьпромисловому районі можна виділити точкові джерела забруднення, то
вмасштабі регіону цілий промисловий район, наприклад велике місто,
можерозглядатися як єдине джерело з системою точкових, лінійних
(автомагістралі) і групових джерел. Більше того, навіть весь регіон інавіть
ціла країна може виступати в ролі єдиного джерела забруднення.
Сучасне індустріальне виробництво робить
значнийвплив на природу в глобальних масштабах. Хоча більша частиназабруднюючих
речовин і теплової енергії виробляється на обмеженійплощі, головним чином у
промислових районах Північної Америки, Європи та
Азії, внаслідок особливостей циркуляції атмосфери
і переміщень у водномуоболонці Землі значна частина деяких, відносно довго
живутьзабруднюючих речовин розсіюється на величезних просторах і навіть по всій
Землі, приводячи до регіонального та глобального
забруднення.
До теперішнього часу визначилися деякі важливі
проблеми в областіантропогенного глобального забруднення навколишнього
природного середовища, до числаяких відносяться:
. Можливі зміни клімату у зв'язку з надходженням
в атмосферу техногенного тепла, вуглекислого газу і аерозольних домішок.
. Можливе порушення озонового шару Землі,
пов'язане з надходженням в атмосферу фреонів, окислів азоту та деяких інших
домішок.
. Екологічні наслідки глобального забруднення
природного середовища та біосфери радіоактивними речовинами, важкими металами і
пестицидами.
. Загальна проблема морського середовища
атмосферними опадами, річковим стоком, наземним і морським транспортом.
. Далекий атмосферне перенесення забруднюючих речовин
і проблема кислотних опадів.
Таким чином, масштаби антропогенного впливу на
навколишнє середовище ірівень випливає з цього небезпеки змушують шукати нові
підходи дорозвитку технологічних процесів, які, будучи не менш ефективнимив
економічному сенсі, у багато разів перевершували б існуючі поступеня
екологічної чистоти. Фактично суперечність між економікою іекологією означає
протиріччя між необхідністю гармонійного розвиткусистеми
природа-людина-виробництво і недостатньою об'єктивноїможливістю, а часом і
просто суб'єктивним небажанням такої гармонії насучасному етапі розвитку
виробничих сил і виробничихвідносин.
2. Перетворення сонячного світла
.1 Природа і спектральний склад сонячного світла
спектральний
напівпровідниковий електричний кремній
Більшість поновлюваних видів енергії -
гідроенергія, механічна і теплова енергія світового океану, вітрова та
геотермальна енергія - характеризуються або обмеженим потенціалом, або значними
труднощами широкого використання. Сумарний потенціал більшості нині використовуваних
поновлюваних джерел енергії дозволить збільшити споживання енергії з нинішнього
рівня всього лише на порядок. Але існує ще одне джерело енергії - Сонце. Сонце,
зірка спектрального класу 2, жовтий карлик, дуже середня зірка за всіма своїми
основними параметрами: масі, радіусу, температурі і абсолютною величиною. Але,
ця зірка має одну унікальну особливість - це "наша зірка", і людство
зобов'язане всім своїм існуванням цієї "середньої" за астрономічними
поняттями зірці. Наше світило поставляє Землі потужність близько 2·1017
Вт - така "сила сонячного зайчика" діаметром 12.7 тис. км, який
постійно висвітлює звернену до Сонця бік нашої планети. Інтенсивність сонячного
світла на рівні моря в південних широтах, коли Сонце в зеніті, становить
порядку 1 кВт/м2. При розробці високоефективних методів перетворення
сонячної енергії Сонце може забезпечити бурхливо зростаючі потреби в енергії
протягом багатьох років [2,3].
Зовні Сонце являє собою газоподібний кулю радіуса 6955000 км
з масою 1.98•1030 кг. Таким чином, щільність солнечного речовини
становить 1.4 г/см3, що ненабагато більше щільності води. Найбільш поширені
елементи на Сонці: водень (близько 70 маси Сонця) і гелій (більше 28), усього ж
спектральний аналіз сонячного випромінювання встановив наявність на Сонці
більше 70 різних хімічних елементів. Джерелом енергії сонячного випромінювання
служить термоядерна реакція [3,4]
(2.1)
яка можлива завдяки величезному тиску, під яким знаходиться
водень усередині Сонця. Кожну секунду приблизно 6•1011 кг H
перетворюється в He. Дефект масси 4·1.008 г (Н) = 4.003 г (Не) + 0.029 г при
цьому скалдає 4·109 кг, що призводить відповідно до співвідношення
Ейнштейна Е=mc2 до виділення енергії, що становить близько 3.8·1026
Дж:
, (2.2)
де c = 3*108 м
с - швидкість світла.
Основна частина цієї енергії випускається у вигляді
електромагніт-ного випромінювання в діапазоні від ультрафіолетового до
інфрачервоного. 99% енергії випромінювання Сонця припадає на інтервал довжин
хвиль 100 - 4000 нм (малюнок 1.10). Повна маса Сонця в даний час складає
приблизно 2 • 1030 кг, що має забезпечити його достатньо стабільне
існування приблизно з постійним виділенням енергії протягом понад 10 млрд.
років.
Загальна потужність Q, яку випромінює Сонце в усіх діапазонах
довжин хвиль в навколишній простір, становить 3.8 1026 Вт Однак у
навколишньому просторі промениста енергія Сонця розсіюється обернено
пропорційно квадрату відстані до об'єкта:
, (2.3)
Для Землі приблизну відстань до Сонця складає 149 500 000 км
(1.5 • 1011м), і середня щільність променевої енергії на земній
орбіті дорівнює 1370 Вт/м2, ця величина називається сонячної постійної (Ф0).
Сонячний спектр ділять на три області: ультрафіолетову (л
<390 нм), на яку приходиться 9% від усієї випромінюваної енергії; видиму
(390 < л < 760 нм), - 4 7% всієї енергії в інфрачервону (л > 760 нм) -
44%. При проходженні через атмосферу сонячне світло послаблюється в основному
завдяки поглинанню інфрачервоного випромінювання парами води, поглинанню
ультрафіолетового випромінювання озоном і розсіювання випромінювання
знаходяться в повітрі частинками пилу і аерозолями. Показник атмосферного
впливу на інтенсивність сонячного випромінювання, що доходить до земної поверх-ності,
визначається "атмосферної масою" (АМ) [6]. "Атмосферна
маса" для будь-якого рівня земної поверхні в будь-який момент дня
визначається за формулою:
, (2.4)
де у - атмосферний тиск;
у0 - нормальний атмосферний тиск;
Ϭ - кут висоти Сонця на
горизонтом земної кулі (рис.2.1).
Щільність світлового потоку біля поверхні Землі задається
наступною формулою
, (2.5)
де фл - коеффіціент поглинання в атмосфері, що
залежить віж довжини хвилі;- шлях, який проходят соячні лучі в атомфері;-
висота атмосфери;
- коеффіціент прозорості, характеризуючий
атмосферне поглинання.
У середніх широтах потік сонячної енергії на поверхні Землі
варіюється протягом дня від сходу (заходу) до полудня від 32.88 Вт/м2
до 1233 Вт/м2 в ясний день і від 19.2 мкВт/м2 до 822 Вт/м2
в похмурий день.
Рисунок 2.1 - Відстань, що проходить в атмосфері
сонячними променями при різних положеннях Сонця над горизонтом
Вельми важливе вироблення єдиного стандарту для вимірювання
параметрів СЕ. Справа в тому, що спектр сонячного випромінювання зазнає істотні
зміни при проходженні атмосфери (рис.1.10). Спектральний склад і щільність
потоку сонячного випромінювання біля поверхні Землі змінюються залежно від
довжини оптичного шляху світлових променів в атмосфері. Довжина цього шляху
характеризується величиною, званої оптичної атмосферної масою m, яка пов'язана
з кутом Ϭ залежністю
. Якщо Сонце знаходиться в зеніті, то m=1 (умова АМ1), при його видаленні
від зеніту оптична атмосферна маса зростає. Крім загального ослаблення
інтенсивності сонячного випромінювання спостерігаються додаткові смуги поглинання,
які найсильнішим чином залежать від довжини шляху світлових променів в
атмосфері і від стану атмосфери (рисунок 1.10). В якості єдиного стандарту для
вимірювання параметрів СЕ по рекомендації Комісії Європейського співтовариства
та Міжнародної електротехнічної комісії при ООН було прийнято умова
використання значення атмосферної маси АМ 1.5 с Ϭ= 41.81º (нормальний атмосферний тиск). Для неї щільність потоку сонячного
випромінювання береться рівній 835 Вт/м2, що приблизно збігається з
середньою інтенсивністю випромінювання на Землі. Згодом було прийнято додаткове
рішення, що дозволяє проводити вимірювання параметрів СЕ при спектрі
випромінювання, відповідного АМ 1.5 і інтегральної щільності потоку
випромінювання 1000 Вт/м2 [8,9]. Спектр АМ 0 визначає роботу
сонячних батарей на космічних апаратах. Спектр АМ 1 відповідає сонячному
випромінюванню на поверхні Землі, коли Сонце стоїть в зеніті; при цьому повна
потужність випромінювання становить близько 925 Вт/м2. Спектр АМ2
реалізується при куті Ϭ = 30 º. У цьому випадку повна потужність випромінювання дорівнює 691
Вт/м2.
2.2
Непряме енергетичне перетворення сонячного світла
Сонячна енергія, потрапляючи на Землю, зазнає різні
перетворення. Частина енергії витрачається на розігрів земної поверхні, інша частина
поглинається рослинами, третя - світовим океаном, і так далі. Деяка частина
сонячної енергії бере участь у реакціях фотосинтезу, забезпечуючи приплив в
атмосферу вільного кисню і утворення органічних сполук з неорганічних
мінералів. Утворилися в результаті фотосинтезу органічні сполуки зазнають,
згодом, подальші хімічні перетворення, перетворюючись, в кінцевому підсумку, у
викопні джерела палива нафту (суміш вуглеводнів), вугілля (органічний вуглець),
природний газ (метан CH4).
Рисунок 2.2 - Світове споживання основних енергоресурсів
Можна сміливо стверджувати, що практично вся земна енергетика
орієнтована на використання сонячної енергії в її різних проявах. Виняток
становлять тільки атомні та геотермальні електростанції. Так, вітрова енергетика
зорієнтована на використання рухомих повітряних потоків, що виникають за рахунок нерівномірного прогріву
атмосфери Сонцем. Гідроелектростанції використовують для своєї роботи
круговорот води в природі, неможливий без випаровування, здійснюваного Сонцем.
І навіть енергія припливів може використовуватися тільки за умови рідкого стану
гідросфери, що можливо тільки при певному світловому режимі нашого світила.
Розподіл по світовому споживанню основних енергоресурсів представлено на
малюнку 2.2, звідки можна бачити, що саме видобувін паливні ресурси
становлять основу всієї сучасної світової енергетики [1, 4].
Подальші перетворення з метою отримання електроенергії
зводяться в разі викопного палива - до спалювання енергоресурсів, що призводить до
звільнення акумульованої в них енергії, при використанні вітрової, гідро-і
приливної енергій - до перетворення механічної енергії потоків речовини, що
виникають завдяки випромінюванню Сонця. Очевидно, що при непрямих перетвореннях
втрати енергії, що акумулюється від Сонця, набагато вище. Самі ж запаси цієї
енергії (у разі паливних ресурсів) значною мірою обмежені, тому найбільш
рентабельним має опинитися саме пряме перетворення сонячної енергії сонячними
елементами.
2.3
Пряме енергетичне перетворення сонячного світла
Механізми поглинання свтіла в напівпровіднику
Оптичне випромінювання при взаємодії з кристалом
напівпровідника частково поглинається, частково відбивається від його
по-поверхні, частково проходить через кристал без поглинання. Частки енергії, що проходить, відбивається і поглинається оцінюють для напівпроводнікових матеріалів
відповідними коефіцієнтами. Розрізняють коефіцієнт пропускання
, (2.6)
коэффіціент відбиття
, (2.7)
коеффіціент поглинання
, (2.8)
де Pnp - потужність випромінювання, що пройшло
через кристал;
Ротр - потужність випромінювання, відображеного
від кристалу;
Рпогл - потужність поглинена кристаллом;
Рпад - потужність випромінювання падаючого на
кристал.
Показник поглинання л чисельно дорівнює значенню оберненої
відстані від поверхності напівпровідниа, на якому початкова потужність
падаючого випромінювання ослабляється в е разів. На глибині x.
, (2.9)
, (2.10)
де Р(х) - потужність випромінювання на глибині х від поверхні
кристала.
Залежність коефіцієнта поглинання від довжини хвилі падаючого
випромінювання л б називають спектром поглинання. Типовий спектр поглинання
показаний на малюнку 2.3 [4]. Ділянка 1 відповідає власному поглинанню.
Поглинається на ділянці 1 енергія витрачається на розрив валентної зв'язку і
перехід електрона з валентної зони напівпровідника в зону провідності. Цей
процес обратен міжзонної рекомбінації. Для перекладу електрона в зону
провідності необхідно, щоб енергія поглиненого фотона перевищувала ширину
забороненої зони:
, (2.11)
где Eph - енергія падаючого фотона;g -
ширина забороненої зони напівпровідника;=6.63*10-34 Дж*с - стала
Планка;- частота єлектромагнітних коливань падаючого світла.
Тому спектр власного поглинання має чітко виражену межу,
називаєму червоною границею фотоеффекту:
, (2.12)
Рисунок 2.3 - Типовий спектр поглинання (суцільна
крива) і залежність фотопровідності (пунктирна крива) від спектрального складу
падаючого світла для напівпровідника: 1 - власне поглинання в напівпровіднику;
2 - непрямі переходи за участю фононів і екситонів; 3, 4 - домішкові
поглинання; 5 - граткова поглинання
Із зменшенням довжини хвилі випромінювання в області лГР
можуть на спостерігатися непрямі переходи, при яких в поглинанні беруть участь
фонони і екситони, яким для іонізації потрібна менша енер гія фотона (ділянка 2
на малюнку 2.3). На величину лгр можуть впливати також температура,
зовнішні поля і ступінь легування полупро водника домішками. З підвищенням
концентрації домішок лгр зменшується, що обумовлено заповненням енергетичних рівнів
поблизу стелі валентної зони або дна зони провідності. З збіль чением
температури лгр збільшується, що обумовлено зменшенням ширини забороненої зони
для більшості напівпровідників з ростом температури. В електричному полі лгр
зміщується в довго хвильову область (ефект Келдиша-Франца); в магнітному полі -
в короткохвильову область (розщеплення Ландау).
Ділянки 3 і 4 на малюнку 2.3 відповідають домішкового
поглинання-щенію, коли енергія фотона витрачається на іонізацію атомів домішки.
Так як енергія іонізації атомів домішки дЕпр « Eg, то спектр примесного
поглинання зміщений в інфрачервону область. Електрони атомів домішки можуть
перебувати в основному і возбуж дених станах, тому в спектрі поглинання маємо
кілька ділянок примесного поглинання (наприклад, 3 і 4).
Екситони поглинання відповідає такому поглинанню енер гії
фотона, при якому електрон в валентної зоні не відривається від атома, а
переходить в збуджений стан, утворюючи з діркою елек тричні диполь - екситон.
Спектр екситонного поглинання складається з вузьких ліній в області лгр
(на малюнку 2.3 він не показаний). Ділянка 4 на малюнку 2.3 відповідає
гратковий поглинанню, при кото ром кванти світла призводять до генерації
фононів і збільшенню тепло вої енергії напівпровідника. Можливо також поглинання
випромінювання вільними носіями заряду, пов'язане з їх переходами на інші
енергетичні рівні усередині зони. Спектр поглинання при цьому практично
безперервний через малого зазору між рівнями зони.
Генерація нових носіїв заряду при опроміненні напівпровідника
призводить до зміни його електропровідності - фоторезистом ний ефект. Загальна
провідність напівпровідника в цьому випадку може бути задана формулою:
, (2.13)
де
= e(n0мn + p0мp)
- власна темнова провідність напівпровідника;
Ϭph - фотопровідність
напівпровідника;
мр і мn - рухливість дірок і
електронів;0 і p0 - равновесные концентрации электронов и
дырок;
е = 1.6-10 19 Кл - елементарний електричний заряд.
Ефективність поглинання світла оцінюється квантовим вихо дом
напівпровідника nph, задається співвідношенням:
, (2.14)
де
- кількість надлишкових носіїв, що виникають у
напівпровіднику при поглинанні світла;nozn - число поглинених
фотонів [6].
В ідеальному випадку
1, тобто один поглинений
фотон генерує одну електронно-дірковий пару.
Фотовольтаїчний ефект в p-n-переході
Сонячний елемент (СЕ) або фотоелектронний
перетворювач (ФЕП) дозволяє перетворювати енергію оптичного випромінювання
безпосередньо в електроенергію, минаючи стадії теплової та механічної форм
енергії. Робота
СЕ заснована на внутрішньому фотоефекті в напівпровідниковій структурі з
р-п-переходом (гетеропереходом, барєром Шоттки). СЕ найбільш простий
конструкції являє собою кристал, що складається з двох шарів різних типів
провідності (електронною - n і дірковою-р) (рис.2.4) [2].
Напівпровідник n-типу містить деяку кількість домішкових
атомів донорного типу, які при кімнатній температурі практично всі ионизована.
Таким чином, в такому напівпровіднику мається п0 вільних рівноважних електронів
і така ж кількість нерухомих позитивно заряджених іонів. У дірковому
напівпровіднику (напівпровіднику р-типу) реалізується схожа ситуація. У ньому є
р0 вільних дірок і стільки ж негативно заряджених іонів.
Рисунок 2.4 - Схема кремнієвого монокристалічного сонячного
елемента
Принцип утворення р-п-переходу наочно продемонстрований на
малюнку 2.5.
Рисунок 2.5 - Утворення р-п-переходу
При контакті р-і n-областей в них, внаслідок
градієнта концентрацій електронів і дірок, виникає дифузійний потік електронів
з напівпровідника n-типу в напівпровідник р-типу і, навпаки, потік дірок з р-в
n-напівпровідник. Електрони, що перейшли з n-області в р-область, рекомбинируют
з дірками поблизу кордону розділу. Аналогічно рекомбинируют дірки, перейшовши з
р-області в п-область.У результаті поблизу р-п-переходу практично не залишається вільних
носіїв заряду (електронів і дірок). Тим самим по обидві сторони від
р-п-переходу утворюється сформований нерухомими іонами подвійний заряджений шар
(інші назви - шар збіднення або область просторового заряду (ОПЗ)). Електричне
поле області просторового заряду протидіє процесу Діффазії основних носіїв
заряду з областей віддалених від р-п-переходу в збіднену область. Такий стан є
равновесвим і при відсутності зовнішніх збурень може існувати як завгодно
довго.
Оптичне випромінювання, що поглинається в напівпровідниковій
структурі з р-п-переходом, створює пари "електрон-дірка" за умови, що
енергія кванта перевищує ширину забороненої зони. Процесу поділу піддаються
носії, що генеруються в збідненої області переходу та прилеглих до неї областях,
розміри яких приблизно рівні дифузійній довжині для неосновних носіїв. Тільки з
відстані, меншого, ніж дифузійна довжина, неосновної носій встигає в процесі
руху досягти ОПЗ до своєї рекомбінації. Неосновні носії, що генеруються в р-і
n-областях на більшій відстані від кордону переходу, не потрапляють в збіднену
область внаслідок своєї рекомбінації. Поділ зарядів, в даному випадку
вбудованим електричним полем р-п-переходу, є, за визначенням, електрорушійна
сила (ЕРС). Таким чином, поглинання світла напівпровідникової структурою з
р-п-переходом призводить до виникнення фото-ЕРС, а при існуванні зовнішнього
ланцюга =струму в цьому ланцюгу.
Виникаючий фотострум пропорційний кількості
електронно-доручених пар, синтезованих в результаті поглинання випромінювання,
яке в свою чергу пропорційно кількості квантів випромінювання, поглинених в
речовині. Розглянемо гомогенний р-п-перехід, у якого товщини р і п областей
становлять Ln (дифузійна довжина електронів в р-області) та Lp (дифузійна
довжина дірок в п-області), відповідно, відсутні відбиток від тильного контакту
і поверхнева рекомбінація. У цьому випадку більшість неосновних носіїв,
генерованих світлом, розділяється полем пе рехода. Тоді кількість поглинених
фотонів одиничної поверхнею сонячного елемента в одиницю часу можна виразити
як:
, (2.15)
де Рпогл =Рпад = Рпад 1-R
(1-
) - потужність, що
поглинається випромінювання.
У разі тонкоплівкових сонячних елементів з поглинаючим шаром
товщини l за умови l □ Ln, Lp виникає необхідність врахування відбиття
від тильного контакту. Для таких СЕ потужність поглинається випромінювання
задається формулою:
, (2.16)
де RmK - коефіцієнт відбиття від тильного контакту
ФЕПу.
Для зручності розгляду будемо вважати, що Сонце є абсолютно
чорним тілом, спектральна щільність випромінювання которо го підпорядковується
формулою Планка:
, (2.17)
де к = 1.38∙10-23 Дж/К - стала Больцмана;-
термодинамічна (абсолютна) температура.
Тоді:
, (2.18)
де RƟ - відстань від Землі до
Сонця;c - радіус Сонця;zp=Egjh - червона межа
спектру поглинання;
А - коэффіціент поглинання в ФЕП.
2.3 Єквівалентна схема і вольт-амперна
характеристика сонячного елемента
Через перехід протікає дрейфовий фотострум нерівноважних неосновних носіїв заряду.
Нерівноважні основні носії не можуть подолати потенційний бар'єр переходу і
залишаються в області генерації. У результаті поділу оптично генеруються носіїв
концентрації дірок в р-області і електронів в n-області підвищуються, що
призводить до компенсації об'ємного заряду нерухомих домішкових іонів на межі
переходу. Потенційний барь ер переходу зменшується на величину фото-ЕРС, звану
напругою холостого ходу при розімкнутому зовнішньому колі. Зниження
потенційного бар'єру збільшує струм дифузії основних носіїв через перехід, який
спрямований назустріч фотострумів. У стаціонарному стані при при сталості
світлового потоку щільність струму дифузії Jdif дорівнює щільності
дрейфового струму, що складається з щільності фотоструму Jph і щільності теплового
струму переходу J0, тобто виконується умова динамічної рівноваги:
. (2.19)
Рисунок 2.6 - Поділ електронів і дірок в р-п-переході
(пунктиром вказані краю енергетичних зон в темряві)
Різниця Jdif - J0 являє собою щільність струму
діода і позначається як Jd. В ідеальному р-п-переході щільність
струму дифузії і щільність теплового струму пов'язані співвідношенням:
, (2.20)
і тоді:
, (2.21)
де Uос - напруга холостого ходу;T =
- тепловий потенціал.
Напруга холостого ходу може бути виражене через величи ну
фотоструму:
, (2.22)
Однак напруга холостого ходу (при будь-якому значенні Jph)
не може перевищувати контактної різниці потенціалів р-n-переходу. В іншому
випадку, через повної компенсації електричного поля, поділ носіїв, оптично
генеруються полем переходу, припиняється.
Якщо електроди СЕ замкнуті на зовнішнє навантаження, то
напруга між ними U буде менше Uoc, і струм діода yt компенсуватиме фотострум. У наближенні ідеального
діода для густини струму через зовнішнє навантаження маємо:
, (2.23)
Рівняння (2.23) описує вольт-амперну характеристику (ВАХ)
ідеального СЕ (рісунок. 2.7). При висвітленні все точки кривої 1 малюнка 2.7
зсуваються на одну і ту ж величину струму короткого замикання Jsr. Для
ідеального СЕ струм короткого замикання Jsc = Jph
Рисунок 2.7 - Вольт-амперна характеристика ідеального солнеч
¬ ного елементу (перший квадрант): 1 - в темряві; 2 - при освітленні
З урахуванням сказаного вище, еквівалентна схема ідеального
СЕ являє собою паралельно з'єднані генератор струму і ідеальний діод (риc. 2.8).
Рисунок 2.8 - Еквівалентна схема ідеального сонячного
елемента: R - опір навантаження
При виведенні формули (2.23) було використано рівняння для
ідеального діода, що не справджується експериментальними результатами. Тому
рівняння діода перетворять введенням в знаменник експоненти коефіцієнта A, що
враховує неідеальність ВАХ і визначається експериментально [1,2]. Тоді рівняння
(2.23) перепишеться таким чином:
(2.24)
Однак і цей вираз ще не достатньо добре узгоджується з
експериментом, оскільки СЕ - прилад силовий, тобто передбачений для роботи з
досить високими густинами струму, що має наслідком високі падіння різниці потенціалів навіть
на малих опорах. Отже, виникає необхідність врахування паралельного опору СЕ Rp (опору витоку, яке в
ідеальному СЕ передбачається нескінченно великим) і послідовного опору СЕ Rs [1,2,4]. З урахуванням
зроблених зауважень побудована наступна еквівалентна схема СЕ (рис.2.9).
Генератор струму моделює виникає при освітленні фотоструму, паралельний йому діод
враховує інжекційний струм (струм дифузії і теплової струм). Для реального
сонячного елемента послідовний опір R ^ складається з послідовно включених
опорів контактних шарів, опорів кожної з р-і-n-областей елемента,
перехідних опорів метал-напівпровідник, паралельне опір RP відображає можливі
канали витоку струму, паралельні р-п-переходу.
Рисунок 2.9 - Еквівалентна схема сонячного елемента
Перетворимо вираз (2.24) згідно щойно зроблених зауважень.
Скористаємося першим законом Кірхгофа:
, (2.25)
Відповідно до закону Ома
PRP = Uр. (2.26)
Відповідно другому закону Кіргофа
. (2.27)
(2.28)
. (2.29)
Так як різниця потенціалів на діодному переході становить UP,
то
. (2.30)
Отримуємо наступне рівняння, досить добре описує
ВАХ СЕ [3,4]:
. (2.31)
На рис.2.10 представлений
загальноприйнятий спосіб зображення ВАХ СЕ [36,45]. звернемо увагу - рис. 2.10 являють собою
перший квадрант рисунка 2.7.
Рисунок 2.10 - Вольт-амперна характеристика сонячного елемента
Еффективність перетвореняя (ККД) фотоелектронного
перетворювачата
Найважливіша
характеристика СЕ - ККД - визначає ефективність перетворення енергії сонячного
випромінювання в електричну енергію [3,7]:
, (2.32)
де Р - потужність
падаючого на СЕ сонячного випромінювання, що припадає на одиницю поверхні СЕ;
Рм -
максимальна вихідна потужність СЕ, віднесена до площі його поверхні;
ff - коефіцієнт (фактор)
наповнення і коефіцієнт форми ВАХ.
, (2.33)
де J і U - щільність струму і напруга, відповідні
точці найбільшої потужності Р (рисунок 2.10).
Крім того, у вираз
(2.31), яке описує ВАХ ФЕПу, входить ряд параметрів. Ці параметри визначають
вид вольт-амперної характеристики ФЕП і, отже, ККД перетворення енергії.
Виходячи з практичної важливості параметрів ФЕП, що впливають на його ВАХ,
виникає необхідність оптимізації цих параметрів для ефективної роботи ФЕП.
Особливо слід відзначити
важливість параметрів, що характеризують ефективність збору носіїв заряду,
згенерованих випромінюванням в обсязі ФЕП. Так, на ефективність роботи ФЕП істотний вплив
роблять дифузійні і рекомбінаційні характеристики конкретного приладу.
Вплив на ККД температури
і рівня освітленості
ВАХ СЕ і що віддається
ними потужність сильно залежать від робочої температури. Відповідну зміну ККД
становить великий інтерес, оскільки робоча температура може змінюватися в
широкому інтервалі значень, особливо при експлуатації СЕ в космосі. Наприклад,
до помітного зменшення спектральної чутливості кремнієвих СЕ в довгохвильовій
області спектра (і деякому зростанню в короткохвильового) приводить пониження
їх температури (див. рис.2.11).
Важливе теоретичне і практичне значення
мають також за-лежно від рівня освітленості. Широке використання концен-Тратор
випромінювання та необхідність пошуку для них найбільш еконовів вигідною
конструкції ініціюють наукові дослідження в цьому напрямку. Якщо звернутися до
рівняння (2.31), опісивающему ВАХ СЕ, то можна в першому наближенні представити
залежно ¬ сті струму короткого замикання і напруги холостого ходу від рівня
освітленості (див. рисунок 2.12).
Незважаючи на те, що в
ряді випадків зроблені припущення можуть порушуватися, отримані залежності
досить коректні і в повною мірою відображають загальну динаміку розглянутих
характеристик зі зміною рівня освітленості.
Вплив на ККД послідовного та паралельного опорів
Послідовне і паралельне опору роблять безпосередній
вплив на ефективність перетворення СЕ.
Дійсно, параметри Rs (послідовний опір) і
Rp (паралельне опір), поряд з параметрами J0, T, A, J ї, входять у вираз (2.31)
для ВАХ СЕ. ККД ж безпосередньо свя ¬ зан з формою ВАХ (див. вирази (2.32) і
(2.33)). На малюнку 2.14 представлено кілька ВАХ з різними значеннями
параметрів Rs і Rp.
Спектральна чутливість сонячного елемента
СЕ призначений для перетворення енергії оптичного
випромінювання з конкретним спектральним складом - спектральним складом
сонячного випромінювання - в електроенергію. У зв'язку з цим важливою
характеристикою СЕ є його спектральна чутливість. Під спектральної чутливістю
СЕ розуміється залежність струму короткого замикання (фотоструму, напруги
холостого ходу) від довжини хвилі падаючого монохроматичного випромінювання,
нормована на одиницю енергії падаючого випромінювання даної довжини хвилі.
Для розуміння причин спектральної селективності
СЕ розглянемо генерацію фотоструму в СЕ. Оптичні випромінювання різних довжин
хвиль проникають на різну глибину (малюнок 2.15) і створюють свій розподіл
народжених світлом пар електрон-дірка. Тому вели-чину фотоструму визначаться
спектральним складом падаючого ізлу-чення і просторовим розташуванням області
збідніння - як було зазначено вище, електричне поле р-п-переходу поділяє
електрони і дірки, згенеровані як в шарі збіднення, так і на-ходячи не далі
дифузійної довжини від області просторового заряду. Дійсно, неосновні носії
заряду, що генеруються в межах дифузійної довжини від області просторового заряду
(ОПЗ), можуть дифундувати в цю область і розділяться електричним полем.
В СЕ можна виділити три області, відповідальні за
генерацію фотоструму. Тоді щільність фотоструму:
, (2.34)
що виник внаслідок генерації носіїв у СЕ,
складається з трьох доданків:
1. Щільність струму дірок, народжених в області 1
і досягли ОПЗ Jp;
2. Щільність струму електронів, народжен. в
області 3 і досягли ОПЗ Jn;
.Щільність струму носіїв, породжених усередині
збідненого шару, тобто в області 2 JscR.
Вважаючи, що СЕ має різкий р-п-перехід, знайдемо
вирази для Jp, Jn и JscR. р-п- перехід
вважається різким, якщо він має профіль легування, представлений на рисунку
2.17.
, (2.35)
де F = F л - щільність
потоку падаючих фотонів в одиничному спектральному інтервалі;
r = r л - частка фотонів, що
відбиваються від поверхні в одиничному спектральному інтервалі;
б = б л - показник поглинання.
Знайдемо вираз для J. При низькому рівні
збудження (дана умова дозволяє вважати швидкість рекомбінації нерівноважних
носіїв ос nр-nрО в p-типі) одномірне
стаціонарне рівняння безперервності для электронов (в р-типе), має вигляд:
, (2.36)
де n - концентрація
вільних електронів;0 - рівноважна концентрація вільних електронів;
Dn -
коефіцієнт дифузії електронів;
gn - швидкість
генерації електронів на одиницю опромінюваної поверхні.
Рисунок 2.17 - Профіль
легування різкого р-п-переходу [3]: штрихуванням позначена область збіднення
Щільність струму електронів визначається
виразом
, (2.37)
де цп -
рухливість електронів;
Е - напруженість
електростатичного поля.
Підставами останній вираз в рівняння
безперервності і покладемо Е = 0. Це дійсно для різкого p-n-перехода. Отримаємо
наступне:
. (2.38)
. (2.39)
Згідно з літературними джерелами [3,4],
при граничних умовах:
, (2.40)
, (2.41)
де S - швидкість
поверхневої рекомбінації електронів, маємо:
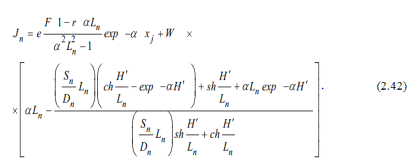
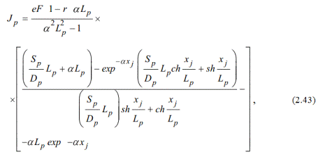
Вираз для густини струму
дірок з p-шару в моделі різкого р-n-переходу може бути отримано аналогічно
вираженню (2.42) [3]:
де D - коэффіціент
диффузії;p - швидкість поверхневої рекомбінації дірок.
Матеріали для формування
фотоперетворювачів
Перш ніж почати перерахування матеріалів,
використовуваних для виробництва СЕ, хочеться відзначити суперечливість
основного критерію вибору светопоглощающего матеріалу для СЕ. Цим критерієм є
ширина забороненої зони матеріалу £ [2,3,4]. Дійсно, з
одного боку зменшення £ дозволяє корисно
ісползовать більшу частину спектру випромінювання, тобто підвищується величина
фотоструму, отже, і струму короткого замикання, що призводить до збільшення ККД
(див. вираз (2.32)). З іншого боку, зменшення £ прямо веде до зниження
напруги холостого ходу, від величини якого також залежить ККД перетворення
(див. Вира-ються (2.32)). Залежність теоретично досяжного ККД гомогенного СЕ
від ширини забороненої зони поглинаючого матеріалу представлена на малюнку
2.19.
Класичним матеріалом
фотовольтаїки є монокристалічний кремній [4], однак виробництво структур
на його основі - процес технологічно складний і дорогий. Тому останнім часом
все більше уваги приділяється таким матеріалами, як аморфний кремній (a-Si: H),
арсенід галію і полікристалічні напівпровідники [4,7,8,5].
Аморфний кремній виступає
як більш дешевої аль-тернатіви монокристалічних. Перші СЕ на його основі були
створені в 1975 році. Поглинання оптичного випромінювання в аморфному кремнії в
два десятки разів ефективніше, ніж у кристалічному.
Рисунок 2.18 - Залежність
максимального коефіцієнта корисної дії сонячного елемента від ширини
забороненої зони матеріалу (T = 25 °С) [8]: CIS - CuInSe2, CIGS -
Cu(In,Ga)Se2, CIGSS - Cu(In,Ga)(S,Se)2
Тому для істотного поглинання видимого
світла достатньо плівки а-Sifl товщиною 0.5 - 1.0 мкм замість дорогих кремнієв 300-мкм підкладок.
Крім того, завдяки існуючим технологіям отримання тонких плівок аморфного
кремнію великої площі не потрібно операцій різання, шліфування й полірування,
необ ¬ хідних для СЕ на основі монокристалічного кремнію. Порівня ¬ рівняно з
полікристалічними кремнієвими елементами, вироби на основі a-Sifl роблять при
більш низьких температурах (300 ° С) - можна використовувати дешеві скляні
підкладки, що скорочує витрату кремнію в 20 разів. Поки що максимальний ККД
експери ¬ них елементів на основі а-Sifl - 12% - несколько нижче ККД кристалічних
кремнієвих СЭ (~15%). Однак не виключено, що з розвитком технології ККД
елементів на основі а-Sifl досягне теоретичної межі стелі - 16%. Арсенід галію
- один з найбільш перспективних матеріалів для створення високоефективних
сонячних батарей. Це пояснює ¬ ся наступними його особливостями:почти деальна
для багатоперехідних сонячних елементів ширина забороненої зони 1.43 эВ;
• підвищена здатність
до поглинання сонячного випромінювання - потрібно шар товщиною всього в
декілька мікрон;
• висока радіаційна
стійкість, що, спільно з високою ефективністю, робить цей матеріал надзвичайно
привабливим для використання в космічних аппаратахвишенная здатність до
поглинання сонячного випромінювання - потрібно шар товщиною всього в декілька
мікрон;
• відносна
нечутливість СЕ на основі GaAs до нагрівання;
• характеристики
сплавів GaAs з алюмінієм, миш'яком, фосфором або індієм доповнюють
характеристики GaAs, що розширює можливості при проектуванні сонячних
елементів.
Головне достоїнство
арсеніду галію і сплавів на його основі - широкий діапазон можливостей для
дизайну СЕ. Фотоелемент на основі GaAs може складатися з декількох шарів
різного складу. Це дозволяє розробнику з великою точністю управляти генера ¬
цією носіїв заряду, що в кремнієвих сонячних елементах обмежено допустимим
рівнем легування. Типовий сонячний елемент на основі GaAs включає дуже тонкий
шар AlGaAs як вікна. Основний недолік арсеніду галію - висока вартість. Для
здешевлення виробництва пропонується формувати СЕ на більш дешевих підкладках,
вирощувати шари GaAs на видаляються підкладках або підкладках багаторазового
використання.
Полікристалічні тонкі
плівки також вельми перспективна для сонячної енергетики. Надзвичайно висока
здатність до поглинання сонячного випромінювання у діселеніда міді та індію
(CuInSe2) - 99% світла поглинається в першому мікрон цього матеріалу (ширина
забороненої зони - 1.0 еВ). Найбільш поширеним матеріалом для виготовлення
вікна сонячної батареї на основі CuInSe2 є CdS. Іноді для поліпшення прозорості
вікна в сульфід кадмію додають цинк. В останні роки дослідникам і виробникам СЕ
вдалося розширити властивості CuInSe2 шляхом стводання пятерного з'єднання Cu
(In, Ga) (S, Se) 2, в якому атоми індію частково заміщені атомами галію, а
атоми селену - атомами сірки. Якщо звернутися до малюнка 2.18, то можна бачити,
що, варіюючи відповідносіння In / Ga і S / Se можна отримувати матеріали в
широкому диапазоні значень ширини забороненої зони. Тим самим є можливість
отримання матеріалу з ідеальною шириною забороненої зони (рисунок 2.18). Крім
того, шляхом варіювання співвідношень In / Ga і S / Se по глибині поглинає шару
можливе створення так званих «тягнуть полів», що підвищують ефективність СЕ.
Теллурид кадмію (CdTe) - ще один
перспективний матеріал для фотовольтаїки. У нього майже ідеальна ширина
забороненої зони і дуже висока здатність до поглинання випромінювання. Плівки
CdTe досить дешеві у виготовленні. Крім того, технологічно нескладно отримувати
різноманітні сплави CdTe c Zn, Hg і іншими елементами для створення шарів із
заданими властивостями. Подібно CuInSe2, найкращі елементи на основі CdTe
включають гетероперехід з CdS в якості віконного шару. Оксид олова використовується
як прозорий контакт і покриття, що просвітлює. Серйозна проблема на шляху
застосування CdTe - високий опір шару р-CdTe, що призводить до великим
внутрішнім втрат. Але вона вирішена в pin-структурі з гетеропереходом CdTe /
ZnTe. Плівки CdTe володіють високою рухливістю носіїв заряду, а сонячні
елементи на їх основі - високими значеннями ККД (від 10 до 16%).
Серед сонячних елементів
особливе місце займають батареї, що використовують органічні матеріали.
Коефіцієнт корисної дей ¬ ствия сонячних елементів на основі діоксиду титану,
покритого органічним барвником, дуже високий - ~ 11%. Основа сонячних елементів
даного типу - ширококутного напівпровідник, зазвичай TiO2, покритий монослоем
органічного барвника. Принцип роботи елемента заснований на фотовозбужденіі
барвника та швидкої ІНЖЕК-ції електрона в зону провідності TiO2. При цьому
молекула барвника окислюється, через елемент йде електричний струм і на
платиновому електроді відбувається відновлення трііодіда до йодиду. Потім йодид
проходить через електроліт до фотоелектроду, де відновлює окислений барвник.
Деякі аспекти метрології сонячних елементів
Базуючись на аналізі світловий ВАХ і
спектральної характеристики напруги холостого ходу СЕ, даний розділ присвячений
теоретичного розгляду проблеми визначення деяких параметрів СЕ, що мають
великий вплив на ефективність перетворення енергії сонячного випромінювання.
Розрахунок параметрів
сонячних елементів з світловий вольт-амперної характеристики при фіксованих
інтенсивності опромінення і температурі.
Відзначимо, що параметри СЕ досить сильно
залежать як від рівня облученности, так і від робочої температури [3,4]. При
цьому відмінною рисою деяких поширених методик визна ¬ лення параметрів СЕ є
те, що, вони засновані на використанні ¬ нії декількох ВАХ, отриманих при
різних інтенсивностях опромінення [1-6]. Крім того, іноді при
експериментальному визна ¬ діленні параметрів СЕ використовуються великі
позитивні і негативні електричні зміщення, що знаходиться поза робочою області
СЕ, або розрахунок проводиться в наближенні нескінченного шунтирующего опору; і
те і інше є недоліком зважаючи струмового залежності параметрів СЕ [6]. У
зв'язку з чим більш краща методика визначення параметрів фотопреобразователей з
єдиною ВАХ.
Існують методики
[2,1,4,6] визначення параметрів СЕ з єдиною ВАХ, засновані на інтерполяції
експериментальних точок кривої, що описується формулою (2.31) або схожою з нею.
Однак одні з них не можуть вважатися задовільними в силу того, що при
розрахунку параметрів СЕ з їх допомогою результати можуть виходити
неоднозначними. Пов'язано це з алгоритмом, в якому використовується більше
одного підгінним параметра. Інші не дозволяють розраховувати всіх параметрів
екстраполяціонной кривої. Треті не є конвергентними при довільних значеннях
початкових параметрів, використовуваних при розрахунках
Розглянемо можливість
досить простого визначення параметрів сонячного елемента з результатів
вимірювання світловий ВАХ при фіксованих інтенсивності опромінення і
температурі (єдиної світловий ВАХ) [6].
Отже: рівняння, що описує
ВАХ СЕ, з урахуванням послідовного та паралельного опорів і варьируемого
діодного коефіцієнта має вигляд (2.31):
Тут щільність струму
короткого замикання прийнята рівною щільності фотоструму, тобто Jsc ~ J h. Дійсно,
моделювання в «MathCAD» дало похибка такого наближення для найбільш типового СЕ
порядку 4% за умови опромінення АМ 1 і 6.5% при величині фотоструму,
десятикратно перевищує значення фотоструму даного СЕ в умовах стандарту АМ 1.
Наочно це твердження представлено на малюнку 2.19.
Запишемо рівняння ВАХ СЕ
в точках ((7 = 0, J = Jsc) и (U = Uoc./ = 0). Також
запишемо про диференційоване по напрузі рівняння ВАХ СЕ в цих точках. Задамо
варійованих параметрів A деяке значення. Отримаємо наступну систему рівнянь:
Вирішивши цю систему
рівнянь (додаток), отримуємо наступні вирази для знаходження параметрів СЕ:
де введені такі
позначення:
При цьому передбачається,
що:
Таке наближення з хорошою точністю
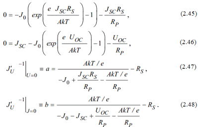
виконано для промислових СЕ.и b - котангенсів кутів нахилу ВАХ до осі напруги
в точках (U = 0, J = Jsc) и (U = Uос, J = 0). відповідно (рис.
2.20). Величини Uoc, Jsc, T визначають експериментально.
Рисунок 2.20 - Визначення параметрів
сонячного елемента з вольт-амперної характеристики
Значення параметру А
визначаєтсья з умови екстремума функції J∙U:
Користуючись (2.55),
уточнюємо задане значення параметра A, потім знову за формулами (2.49 - 2.51)
розраховуємо всі параметри СЕ. Даний алгоритм виконується циклічно аж до
визначення параметра A з заданою точністю. Використовуючи вирази (2.33) і
(2.32), визначаються фактор заповнення навантажувальної характеристики і ККД
фотоперетворювача.
Відзначимо можливість
виникнення експериментальних труднощів при дослідженні ВАХ високоефективних СЕ
з визначенням значення параметра. У високоефективних СЕ крива ВАХ поблизу точки
струму короткого замикання близька до прямої, паралельної осі напруг. Тому
часто експериментально практично неможливо визначити кут нахилу ВАХ до осі
напруг поблизу точки струму короткого замикання. Це об-стоятельство створює
певні труднощі з використанням виразу (2.49) і, як наслідок, виразів (2.50) і
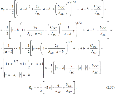
(2.51). Спростимо вираз (2.49) згідно з умовою б →-
:
Відповідно (2.52) и
(2.53):
В звичайних умовах
вимірів ВАХ величина UOC в кілька разів перевищує
величину
. Тому останній вираз перетвориться до виду:
(2.58)
Тоді, при а
вирази (2.49 - 2.51)
набувають наступного вигляду:
Таким чином, проведений
теоретичний аналіз світловий ВАХ СЕ показує можливість визначення параметрів
(послідовного і паралельного опорів СЕ, щільності струму діода і діодного
коефіцієнта), фактора заповнення і ККД СЕ. Обмеженням даного методу є його
непридатність при дослідженні СЕ, що мають низькі значення опору витоку, а
також у разі високої інтенсивності опромінення.
Про можливість заміни
вимірювань фотоструму (струму короткого замикання) і щільності потоку фотонів
вимірами фото-ЕРС (напруги холостого ходу) і інтенсивності випромінювання.
Найчастіше безпосереднє
експериментальне визначення таких фізичних величин, як фотострум і щільність
потоку фотонів може бути ускладнене. Це пов'язано з відсутністю високочутливих
селективних мікроамперметрів, що мають низький прохідний опір, і відсутністю
доступних приладів, що дозволяють реєструвати потік фотонів. У той же час є
можливість проводити безпосередні вимірювання фотоЕДС та інтенсивності
випромінювання. Даний пункт роботи покликаний дозволити уникнути можливого
ускладнення такого роду.
Згідно (2.23), в
припущенні ідеальності СЕ справедливий вираз:
,(2.59)
При T = 300 К VT
26 мВ. При низькому
рівні збудження (Uос < 26 мВ - така умова легко здійсненно при проведенні
спектральних вимірювань) має сенс розкладання експоненти виразу (2.59) в ряд
утримається в розкладанні перші два члена. Тоді вираз (2.59) прийме вигляд:
, (2.60)
Згідно (2.60), реєстрація
фотоструму (струму короткого замикання) еквівалентна реєстрації напруги
холостого ходу.
За визначенням
інтенсивність випромінювання в одиничному спек центральному інтервалі
, (2.61)
де F = Fл - щільність
потоку падаючих фотонів в одиничному спектральному інтервалі.
Згідно (2.61), реєстрація
щільності потоку фотонів еквівалентна реєстрації інтенсивності випромінювання.
З (2.60) і (2.61)
відношення щільності фотоструму до спектральної щільності потоку фотонів і
модулю заряду електрона
, (2.62)
де
- константа.
Тим самим показано
можливість заміни вимірювань фотоструму (струму короткого замикання) і
щільності потоку фотонів вимірами фото-ЕРС (напруги холостого ходу) і
інтенсивності випромінювання при проведенні спектральних досліджень.
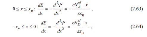
Величина області
просторового заряду р-п-переходу сонячного елемента
Виберемо координату
р-п-переходу за початок координат і скористаємося рівнянням Пуассона:
де E - напруженість
електростатичного поля;
Ш - електростатичний потенціал;
xn и xp - межі області просторового
заряду (ОПЗ) у n-і р-областях відповідно;
Nе x и Nef x - розподілу
некомпенсованих донорів і акцепторів відповідно;
е0 - електрична стала;
е - діелектрична
проникність матеріалу.
Інтегруючи з урахуванням
закону збереження електричного заряду:
отримані наступні вирази для величини ОПЗ
в n-і р-областях відповідно (при цьому вважаючи x = const і x = const):
де V0 =Шn xn-Шp xp - контактна
різниця потенціалів. Разом, вираз для ширини збідненого шару має вигляд:
де z - константа,
обумовлена рівнями легування р- і n- областей.
Глибина залягання
р-п-переходу
Проблема діагностики глибини залягання
р-п-переходу СЕ виникла одночасно із створенням СЕ. Визначення цього параметра
дозволяє контролювати якість технології виготовлення приладів, прогнозувати
результати і вказувати шляхи збільшення ефективності роботи СЕ. Контроль
відповідності реальної величини глибини залягання р-п-переходу з розрахунковою
ведеться кількома методами, проте одні з них є які руйнують, інші мало
застосовні до СЕ в силу їх конструкційних особливостей.
У процесі розгляду проблеми визначення
глибини залягання р-п-переходу було проаналізовано кілька відомих методик, що
стосуються даного питання [2-6]. Задоволення яким вимогам бажано для таких
методик? По-перше, повинні бути враховані конструкційні особливості серійно
випускаються СЕ (мала глибина залягання р-п-переходу, наявність суцільної
тильної металізації, високий рівень легування фронтального шару п-типу
провідності і т.д.). По-друге, контроль параметрів досліджуваних елементів
повинен носити неруйнівний характер. По-третє, досліджувальний елемент повинен
передбачатися якимось "чорним ящиком", тобто апріорі ми не знаємо
ніяких параметрів, що характеризують його особливості.
Зупинимо коротко на
методах визначення глибино залягання pn-переходу. отримай найбільше Поширення:
• методи косого і
сферичного шлифа [6]. Носять руйнуючий характер, важко застосовні при малих
глибинах залягання p-n-псрсхода:
• розрахунок глибини
залягання плавного p-n-псрсхода за
відомим розподілом легуючих домішок [6]. Дозволяє саме розраховувати глибину
залягання плавного р-п-переходу з розподілу легуючих домішок, але не
експериментально визначати шукане за наявності "невідомого зразка";
• визначення глибини
залягання p-n-псрсхода в GaAs-елементах
по максимуму спектральної чутливості. У даній методиці використано припущення
рівності дифузійних довжин неосновних носіїв заряду по обидві сторони від
р-п-переходу [6]. Однак переважна більшість СЕ проводиться c сильно легованим
фронтальним шаром. Тому висловлене припущення не може бути застосовано до
стандартних серійним СЕ;
• для знаходження глибини
залягання p-n-псрсхода можливе
використання методики визначення рекомбінаційних параметрів з дослідження
спектральної залежності струмів короткого замикання СЕ при освітленні з
фронтальної і тильної сторін [7]. Однак у даній методиці використовуються
елементи з однотипною з геометрії сіткою металізації на фронтальній і тильній
сторонах, що не відповідає стандартній конструкції СЕ (малюнок 2.4);
• методика
обчислення глибини залягання /;-я-псрехода по спектральним характеристикам
[1,2]. Не потрібно знання яких параметрів досліджуваних елементів апріорі.
Відображено основні особливості стандартних СЕ. Але висувається вимога
можливості варіації швидкості поверхневої рекомбінації, що необхідно для
розрахунку глибини залягання р-п-переходу. У зв'язку з останнім об-стоятельство
такого роду методика не задовольняє вимогу неруйнівного контролю параметрів СЕ.
До того ж промислово випускаються сонячні елементи мають захисне покриття.
Як випливає з короткого
аналізу, жодна з широко відомих методик не задовольняє повністю висловленим
побажанням. У зв'язку з цим даний пункт присвячений розгляду проблеми
неруйнівного контролю глибини залягання р-п-переходу серійно випускаються
стандартних СЕ.
Припустимо, що рівень
легування в п-області багато більше, ніж в р-області. Тоді відповідно до
попереднього пункту маємо:
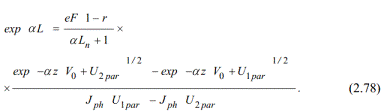
Накладемо наступні
обмеження:
Умови (2.72, 2.73)
говорять про те, що дана методика застосовна для "товстих" елементів.
"Толстим" елемент можна вважати в тому випадку, якщо при освітленні
світлом з довжиною хвилі, що відповідає червоній межі фундаментального
поглинання, падаючі фотони поглинаються в матеріалі, не досягаючи тильного
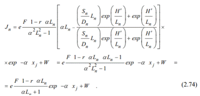
контакту. Тоді вираз для густини струму електронів, народжених в р-області і
досягли ОПЗ, має вигляд:
Враховуючи (2.34, 2.35,
2.70) і (2.74), запишемо вираження для лотності фотоструму при двох різних
значеннях ширини ОПЗ:
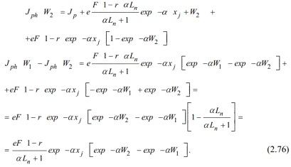
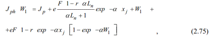
Звідси:

Скористаючись виразом
(2.76) при умові L=xj:
Останній вираз дозволяє
визначити глибину залягання р-п-переходу: Величина z, що задається (2.66 -
2.67), може бути чисельно розрахована з виразу:
Метод визначення Ln
наведено нижче.
Дифузійна довжина
неосновних носіїв електричного заряду в базовій області
Дифузійну довжину неосновних носіїв у базі
можна визна-ділити з спектральної залежності струму короткого замикання в
довгохвильовій області спектра [7]. У цьому випадку основний внесок у фотострум
вносить дифузія неосновних носіїв заряду з квазінейт-ральної області бази,
внесок ж від інших областей (1 і 2 на рисунку 2.16) вибором спектральної
області, в якій проводиться експеримент, можна зробити пренебрежимо малим.
Дійсно, вибираючи спектральний діапазон, в якому
отримаємо:
Отже, вираз для
фотоструму прийме вигляд:
За допомогою виразу
(2.62) переходимо від величин F, J ^ A до ве-личина I, Uoc:
Отриманий вираз дозволяє
визначити дифузійну довжину електронів в базовій області з спектральної
залежності напруги холостого ходу в довгохвильовій області спектра.
3.
Огляд основних типів сонячних елементів на основі напівпровідникових матеріалів
3.1
Классифікація
Сонячні елементи - це електронні прилади,
здійснюющие пряме перетворення сонячного світла в електричну енергію. Кілька
фотоперетворювачів, з'єднаних в певній послідовності на одній підкладці,
утворюють так званий сонячний модуль (СМ).
СЕ можна класифікувати за інтенсивністю збирання
світла, за хімічним складом, товщині і кристалічній структурі шарів, кількістю
суміщених на одній підкладці елементів і т. д.
За інтенсивністю збирання світла сонячні елементи
разделяють на одиничні і концентраторні. Одиничні СЕ не мають спеціальних
пристроїв для збирання світла і поглинають тільки ту кількість світлового
потоку, яке падає на займану ними площу поверхні. Концентраторних сонячні
елементи мають спеціальні концентрирующие світлові пристрої (лінзи або
дзеркала), які дозволяють збільшувати щільність світлового потоку на поверхні
елементів у кілька разів. Як правило, концентраторних елементи виготовляються з
дорогих светопоглощающих матеріалів з найкращими показниками фотовольтаїчні
перетворення світла. У позначенні таких сонячних елементів обов'язково
вказується коефіцієнт збирання світла, вимірюваний в сонцях (suns). Коефіцієнт
збирання показує, у скільки разів збільшиться щільність потоку падаючого на СЕ
випромінювання після його оптичного збирання концентрує системами.
По кристалічному складу поглинаючого матеріалу СЕ
під поділяються на монокристалічні, мультікрісталлічекіе, полі-кристалічні,
мікрокристалічні, нанокристалічні. Монокрісталліческіе сонячні елементи являють
собою сонячні елементи з поглиначем у вигляді цілісного кристала
напівпровідникового речовини. Мульти-, полі-, мікро-і нанокристалічні СЕ мають
в якості поглинаючої речовини суміш напівпровідникових кристалітів з різною
орієнтацією, структурою і формою, розмір яких і визначає тип сонячного
елемента: при розмірах кристалітів від 1 до 100 мм речовину називають
мультікрісталліче-ським, від 1 до 1000 мкм - полікристалічним, менше 1 мкм -
мікрокристалічним, менше 1 нм - нанокристалічним [1,6,3].
В залежно від товщини світлопоглинаючого
матеріалу сонячні елементи підрозділяються на тонкоплівкові і товстоплівкові.
Тонкоплівкові сонячні елементи мають товщину в декілька мкм, товстоплівкові - в
десятки або сотні мкм.
Залежно від складу поглинаючого матеріалу сонячні
елементи підрозділяються на кремнієві, на основі AIHBV полупро-водників, на
основі AIIBVI (в основному CdTe), на основі AIBIIICVI2 по-напівпровідників і
змішані. Як правило, для зручності конструкції і підвищення ККД СЕ прагнуть
домогтися поглинання світла в одному з його шарів. Цей шар називають поглинає
(поглиначем). Другий напівпровідник служить лише для створення потенційного
бар'єру і збирання генерованих світлом носіїв заряду. Классификація сонячних
елементів за матеріалом поглинає шару є найбільш поширеною і найбільш повно
охоплює фізико-хімічні аспекти їх отримання, тому доцільно вибрати її в якості
базової для подальшого огляду сонячних елементів.
3.2 Основні параметри
та характеристики сонячних елементів
Для описи сонячних елементів застосовується набір специ ¬ альних
параметрів і характеристик, що дозволяє проводити порівняльну оцінку сонячних
елементів різного типу. До специ ¬ альних характеристикам сонячного елемента
відносяться вольтамперная (ВАХ) і спектральна. До спеціальних параметрах сонячного
елемента відносяться ККД (ефективність), ff (фактор заповнення), Uoc (напруга холостого ходу), Isc (струм короткого замикання) або Jsc (щільність струму
короткого замикання).
Вольтамперна характеристика сонячного елементу показує
залежність вихідного струму сонячного елемента від напруги на його висновках (рис.2.11). При зміні величини
світлового потоку, що падає на сонячний елемент, його ВАХ змінюється. Тому для
отримання достовірних значень прагнуть у всіх вимірах підтримувати ȹ0 = 103 Вт/м2 при
заданому спектральному складі падаючого світла [3], тобто прагнуть домогтися
стандартних умов вимірювання, при яких кожен з тестованих зразків знаходився б
в однаковому стані.
Спектральна характеристика (спектральний відгук)
представля ¬ ет собою залежність величини квантової ефективності (значення
ефективності сонячного елемента при опроміненні його монохрому-тичні світлом на
певній довжині хвилі) від довжини хвилі па-дає випромінювання. При вимірі
спектрального відгуку також не-необхідно дотримуватися певних стандартних умов
вимірювання (докладніше див [3,4,7]).
Ефективність (ККД) СЕ показує, яку частину (у
процентному відношенні) сонячної енергії падаючого на нього світла він може
перетворити в електрику. Розрізняють ККД по активній площа ¬ ді поверхні (rjaKin) и КПД по загальній площі
поверхні ():
де Рэл - електрична потужність, що виробляється
сонячним елементом при опроміненні;
ФQ - щільність потоку падаючого на сонячний елемент
світла;
SaKm и Бо6щ - площі активної (доступної
свеітлу) і загальної (що включає як поверхня, доступну світлі, так і ділянки
поверхні, затінені електродної сіткою або скрайбіро-ванні від поглинає шару)
поверхні сонячного елементу.
Якщо не вказано тип ККД сонячного елемента, то,
як правило, мова йде про ККД по загальної поверхні.
Напруга холостого ходу (Uoc) - це максимальне
напруження, що виникає на розімкнутих висновках сонячного елемента при його
опроміненні сонячним світлом. Вимірюється в В [вольт] або мВ [мілівольт]. Може
бути знайдено як при прямому вимірюванні, так і визначено з вольтамперної
характеристики
(рисунок 2.10).
Струм короткого замикання (ISc) - це максимальний струм, що
протікає через висновки сонячного елемента при їх короткому замиканні.
Вимірюється в мА [міліампер]. Щільність струму короткого замикання визначається
як відношення струму короткого замикання до площі поверхні сонячного елементу:
однак через важкість визначення SaKm частіше використовують So6 (загальну щільність
поверхні сонячного елементу).
Фактор заповнення (ff) показує, яка частина потужності, що виробляється
сонячним елементом, використовується в навантаженні. Значення фактора
заповнення визначається вибором режиму роботи солнечного елемента, тобто
значеннями Iw и Uw. Значення ff може бути знайдено як відношення
потужності на навантаженні, підключеної до висновків сонячного елемента, до
повної електричної потужності, що виробляється сонячним елементом:
где Iw - струм, що протікає через навантаження в робочому
режимі;
Uw - Робоча напруга сонячного
елемента;
I(U) - вольтамперная характеристика сонячного елементу.
Фактор заповнення вимірюється в% і варіюється від 50 до 85% для різних віидів
сонячних єлементів.
Як правило, в оглядах вказується також площа
поверхні сонячного елементу. Загальна площа іноді задається у вигляді S=axb, де а - довжина; b - ширина сонячного
елемента в см2. Для концентраторних елементів в обов'язковому порядку задається
коефіцієнт збирання світла (від кількох до 100 і більше сонць).
Модулі характеризуються тим же набором параметрів
і характе-них характеристик, що і сонячні елементи. Однак у них, як правило, U и Isc на порядок
більше, ніж для сонячних елементів, і задаються з-відповідально в В [вольтах] і
А [амперах]. Площа сонячних модулів становить від 50 до 10000 см2. Для сонячних
модулів часто вказується номінальна вихідна потужність в Вт [ватах] і число
елементів у модулі.
3.3
Фотоелектронні перетворювачі на основі кремнію
Кристалічний кремній
Монокристаллические кремнієві сонячні елементи
(c-Si СЕ) виготовляються з кремнієвих пластин 0.3 мм (300 мкм) товщини шляхом
їх легування відповідно донорними і акцепторними домішками, створення омічних
контактів (суцільного тильного і граткового лицьового) і текстурирования (спрямованого
хімічного травлення поверхні) для додання антіотражающіе властивостей. Існують
декілька типів конструкції монокристалічних і тонкоплівкових СЕ, що
відрізняються способом формування, структурою та розташуванням контактів
(малюнки 3.1, 3.2) [5,7].
Станом на 2006 рік випуском сонячних елементів на
основі монокристалічного кремнію займався ряд фірм, серед яких: Siemens Solar,
Astropower, Solec, BP Solarex, Sharp - c загальною потужністю виробництва 60
МВт при середній ефективності елементів до 22% (рекордна ефективність становить
24.7%) і модулів в 10 - 15% [7-8].
Основний недолік монокристалічних кремнієвих
сонячних елементів - велика витрата порівняно дорогого високочистого кремнію,
більша частина якого грає роль пасивної підкладки. Слід зазначити, що
технологія виробництва сонячних елементів на кристалічному кремнії знаходиться
в майже ідеальному стані і досить складно знайти шляхи поліпшення вже існуючих
технологічних процесів, відпрацьованих в перебігу багатьох років в рамках
виробництва мікроелектронних пристроїв. Крім того, досить добре розроблена
теорія фотогальванічних перетворень в монокристалі і на її основі створено
комп'ютерні програми оптимізації параметрів монокристалічних сонячних елементів
на основі кремнію [5].
Єдиний шлях оптимізації з-Si СЕ - це здешевлення
вихідної сировини. Для зменшення собі вартості кремнієвих сонячних елементів
досліджується можливість використання як поглинача полі-і
мультікрісталліческого кремнію. Мультикристалічних кремній відрізається від
злитків кремнію
Серед основних підходів для виробництва поглинає
шару таких кремнієвих елементів можна виділити: спрямоване затвердіння, метод
гарячого обміну (HEM), плівковий зростання при крайовому харчуванні (EFG),
витягування за підтримки з країв (ESP), стрічка на стрічці (RTR), стрічка
навпроти краплі (RAD), нізкоугольний кремнієвий лист (LASS) та інші [1,5]
Стрічковий кремній майже монокристалічного якості
вирощується з кремнієвого розплаву через графітовий пуансон, або у вигляді
мембрани між двома паралельно зростаючими обме ¬ кають кристалічними
дендритами, або вирізається лазерним променем з октагонального труби, що
витягається з розплаву кремнію. Для зменшення впливу активних дефектів в
полікристалічних матеріалах використовуються добавки H, Li, Al, As, P.
Виробництво СЕ на основі мультикристалічних і
Полікров-сталліческого кремнію здійснюється низкою відомих фірм: Kyocera, BP
Solarex, Photowatt, Ase Americas, Evergreen Solar - з сумарною потужність
виробництва в 70 МВт на рік і середньої ефективністю сонячних елементів до 18%
і модулів в 9 - 12% [7].
З метою кращого використання матеріалу широко
розробляються ються сонячні елементи з поглиначем на основі тонкопленочного
кремнію (tf-Si СЕ), що наноситься CVD (осаждененіе з хімічних парів) методом на
підкладки різних типів (кремній, сталь, SiO2 та інші). Однак у силу малого
коефіцієнта поглинання Si, вирощувати плівки повинні мати значну товщину (до 47
мкм, що тільки на порядок нижче, ніж у монокристалічних елементів). При цьому
зменшення товщини поглинає плівки відбивається на ККД сонячного елемента
[57,59]. Існує кілька типів конструкції для сонячних елементів на основі
тонкопленочного кремня, основні з них представлені на малюнку 3.2.
Станом на 2004 рік потужність виробництва
тонкоплівкових кремнієвих сонячних елементів склала більше 1.8 МВт при середній
ефективності елементів до 17% і сонячних модулів до 8%. Порівняльна
характеристика деяких кремнієвих солнячнихних елементів представлена в таблиці 3.1 [7].
Тонкоплівкові сонячні елементи на основі аморфного кремнію
Аморфні сонячні елементи використовують як
поглинає шару аморфні речовини, що володіють тільки ближній впорядкованістю
структури. Ідеальним аморфним матеріалом для використання в якості поглинача є
a-Si (аморфний Крень). Значення його забороненої зона може бути змінено шляхом
введення домішки водню (гідрогенізації). Аморфний кремній, легований воднем
(a-Si: H), є основою аморфних сонячних елементів. Іноді крім водню в поглинає
аморфному шарі використовуються також добавки германію (a-SiGe: H).
Як робочий переходу для a-Si СЕ можуть
використовуватися бар'єр Шоттки, МОП-структура, pin-структура. На малюнку 3.3
показані різні варіанти конструкції таких сонячних елементів.
Аморфні кремнієві сонячні елемнти з
pin-структурою зараз застосовуються в самих різних областях завдяки можли-ності
їх виготовлення на металевій фользі, наприклад з нержавіючої сталі, і
полімерних пл ѐ нках, снабж ѐ нних металевим покриттям. Використання таких підкладок
сумісно з технологією масового виробництва гнучких сонячних елементів. Тому
елементи даного типу відносяться до найбільш перспективним перетворювачів
сонячної енергії найближчого майбутнього. Основною проблемою, пов'язаною з a-Si
сонячними елементами, є їх сильна деградація при опроміненні сонячним світлом,
що обумовлено ефектом Стейблер-Вронського. Даний ефект полягає у виникненні
метастабільних дефектів в аморфному кремнії при впливі на нього сонячним
світлом, що обумовлено трансформацією електронних станів поблизу валентної зони
і формуванням відповідних "коливальних зв'язків (danling bonds)", на
що акумулюється деяка частина енергії поглиненого-го світла. Тому при розгляді
a-Si сонячних елементів звичайні-но оперують початковими, а стабілізованими
характеристи-ками, вимірюваними після витримки сонячного елементу під воздей-наслідком
сонячного випромінювання протягом не менше ніж 10-3 годин.
Виробництво a-Si сонячних елементів знаходиться
вже на досить високому технологічному рівні. В якості основного технологічного
процесу використовується тонкопл ѐ нічна технологія
плазменно-підтримуваного осадження хімічних парів із кремній і германій містять
сумішей (SiH4, Si2H6, GeH4). Станом на 2005 рік річне виробництво a-Si сонячних
елементів і модулів склало більше 19 МВт, основна частина яких-го припадає на
фірми USSC, BP Solarex, Cannon, Sanyo, Energy PV. При середній ефективності
сонячних елементів до 13% і модулів до 10% 77-80. Основні характеристики деяких
сонячних елементів на основі кремнію (монокристалічного з-Si,
мікрокрі-сталліческого mс-Si, тонкопл ѐ нічного tf-Si і
аморфного a-Si) представ-лені в таблиці 3.1.В цілому a-Si є досить
перспективним матеріалом для сонячних елементів з відносно високим ККД, низькою
собівартістю і малою витратою матеріалу за рах ѐ т значно меншої товщини поглинаючого шару, ніж у решти
сонячних елементів на основі кремнія.Едінственная і, мабуть, головна проблема:
деградація a-Si впроцессе експлуатації, що значною мірі знижує ККД СЕ і не
дозволяє застосовувати їх при наявності сильних іонізуючих випромінювань
(наприклад, в космосі). Крім того, отработанность техно-логічних процесів
нанесення a-Si залишає значній мірі знижує ККД СЕ і не дозволяє застосовувати
їх при наявності сильних іонізуючих випромінювань (наприклад, в космосі). Крім
того, отработанность техно-логічних процесів нанесення a-Si залишає відкритим
для раціо-налізації виключно конструктивні особливості аморфних сонячних
елементів (введення нових сло ѐ в і переходів,
легування ня і т. п.). При цьому підвищення ККД позначається на собівартості
елемента за рах ѐ т введення додаткових
технологічних операцій для нанесення нових сло ѐ в. значній мірі знижує ККД СЕ і не дозволяє застосовувати їх
при наявності сильних іонізуючих випромінювань (наприклад, в космосі). Крім
того, отработанность техно-логічних процесів нанесення a-Si залишає відкритим
для раціо-налізації виключно конструктивні особливості аморфних сонячних
елементів (введення нових сло ѐ в і переходів,
легування ня і т. п.). При цьому підвищення ККД позначається на собівартості
елемента за рах ѐ т введення додаткових
технологічних операцій для нанесення нових шарів.
4. Моделювання електричних характеристик
сонячного елемента на основі кремнію
У зв’язку з загостренням проблеми, пов'язаної з
дефіцитом викопного пального, неурегульованості цін на нього, порушень балансу
екосистеми активно виконуються розробки з пошуку високоефективних та екологічно
чистих альтернативних джерел енергії. Серед відновлюваних джерел енергії ті,
які базуються на фотоелектричному перетворенні сонячної енергії можна
розглядати як найбільш перспективні [1]. Для перетворення сонячної енергії в
електричну активно використовуються фотоелектричні системи (ФЕС), які
виробляють постійний електричний струм під час їх освітлення сонячними
променями та перетворюють його у змінний за допомогою інвертора. Таким чином,
електрична енергія може бути використана для живлення локального навантаження
або перерозподілена з загальною мережею. Однією з складових ФЕС є
фотоелектричні модулі (ФЕМ), які збираються з окремих фотоелектричних приладів
(ФЕП) [2]. ФЕП, що перетворює енергій фотонів сонячного світла у електричну
надалі будемо називати сонячним елементом (СЕ). Під дією світла у p-n переході
СЕ генерується напруга 0.5÷0.7 В [3]. СЕ, що
виготовлені на основі монокристалічного кремній, мають краще поєднання
ціна-ефективністи-час експлуатації серед інших подібних елементів серійного
виробництва.
В розділі розповідається розрахункову модель та
розрахунки електричних характеристик СЕ, які були виконані за допомогою
однодіодної моделі.
4.1 Математична модель сонячного елемента
Перетворення енергії у СЕ базується на
фотоелектричному ефекті, який виникає у неоднорідних напівпровідникових
структурах під час дії на них світлового випромінюванню Задана неоднорідність
структури СЕ (p-n перехід) можу бути отримана, наприклад за допомогою легування
напівпровідника різними типами домішок (донорними або акцепторними). Кванти
сонячного світла з енергією, що перевищує ширину забороненої зони
напівпровідника, утворюють пари носіїв заряду [1]. Носії які були утворені на
відстані меншій за дифузійну довжину, роз'єднуються внутрішнім полем, причому
електрони прямують до n, а дірки - до p області перепаду. Таким чином, на
металевих електродах виникає різниця потенціалів, яка викликає електричний сурм
крізь p-n перехід. Потенціальний бар'єр в структурі зменшується, що приводить
до руху електричного струму від n до p області.
Розрахунки електричних характеристик СЕ
здійснюються за допомогою двох основних моделей електричної схеми, а саме,
однодіодної абр дводіодної моделі [4]. В цьому розділі викладено моделювання та
розрахунок ФЕМ за допомогою рівняння Шоклі для діоду. Для моделювання нами було
обрано однодіодну модель (рис 4.2). Вихідний струм (IPH) з джерела (G)
пропорційний кількості світла, що на нього падає. У відсутності освітлення СЕ
працює як звичайний діод, тобто крізь нього не протікає струм. Але при
поєднанні з зовнішнім джерелом він генерує струм діоду (ІD) або
темновий струм. Головні параметри, шо описують модель СЕ є струм насичення I0=f(T),
фотострум IPH =f(T), напруга холостого ходу послідовний опір RS,
шунтуючий опір RSH, коефіцієнт ідеальності ВАХ - n. Для ідеального
СЕ RS= RSH=0 [5].
Для розрахунку електричних характеристик СЕ
використаємо два головних параметри: струм короткого замикання (ISC)
та напругу холостого ходу (UOC) [6].
Загальний струм СЕ на навантаженні визначається
за допомогою наступного рівняння I= IPH - ІD - ІSH.
Вольт-амперна характеристика СЕ за однодіодною моделлю з врахуванням шунтуючого
та послідовного опорів, набуває вигляду [7]:
, (4.1)
де V- напруга;
І - струм, що протікає крізь навантаження;
Т - температура;- фактор ідеальності випрямного
p-n переходу;
І0 - струм насичення.
Типова ВАХ СЕ зображена на рис 6.3. на ній можна
виділити три головних параметри - це струм короткого замикання ISC,
напруга холостого ходуVOC, максимальна потужність Pmax [8].
В точці V=VOC вольт-амперної
характеристики I= IPH=0. Після підстановки цих параметрів у вираз (4.1) отримаємо:
(4.2)
або
(4.3)
В точці I=ISC вольт-амперної
характеристики (рис 4.3) вираз (4.1) набуде наступного вигляду:
, (4.4)
де n0≥1, якщо фотострум майже
весь протікає крізь p-n перехід (дифузійний струм);0≥2, якщо
незначний струм протікає крізь p-n перехід (низький рівень інжекції).
В точці I=Imax, V=Vmax на
вольт-амперній характеристиці (рис 4.3) потужність Pmax=Imax∙Vmax,
що віддається до навантаження, набуває максимальної величини, а вираз (4.1)
набуває виду:
(4.5)
або
, (4.6)
де nmax - фактор ідеальності у точці
максимуму.
Нахил ВАХ СЕ у точці V=Voc може бути
описаний за допомогою наступного рівняння:
, (4.7)
де n0 та nS фактор
ідеальності жіоду в точці холостого ходу і короткого замикання відповідно,
V=Voc [1], а нахил ВАХ
у точці I-Isc відповідно:
, (4.8)
де
I=Isc [9].
На практиці exp (qVOC/n0kT) >> exp(qISCRs/nSkT).
За допомогою перетворень рівнянь (6.2)-(6.8)
отримаємо:
(4.9)
де струм насичення I0=(ISC-VOC/RSH)∙exp(-qVOC/NmaxkT), шутнуючий опір
RSH=RSH0-RS, послідовний
опір RS=RS0-exp(-qVOC/nmaxkT)∙nSkT/qI0, фактор якост
.
Фотони, що падають на поверхню СЕ, генерують фотострум:
, (4.10)
де струм ISC, прямо пропорційний інтенсивності
освітлення G (Вт/м2) [10]: ISC|G=(G/G0)∙ISC|G0, G0=1000
Вт/м2 - потужність сонячного випромінювання при атмосферній масі АМ
1.5 і температурі 298 К,
- температурний коеффіціент струму короткого
замикання. Залежність фотоструму від температури має лінійний характер.
Треба зазначити, що зворотній струм насичення
залежить від температури СЕ за формулою (4.11):
, (4.11)
де EG-ширина забороненої зони
напівпровідника (еВ).
Максимальну потужність, що виробляється СЕ можна
оцінити за допомогою наступного виразу:
, (4.12)
де FF - коефіціент заповнення ВАХ СЕ.
Розрахунки характеристик СЕ було здійснено за
допомогою математичного забезпечення пакету MATLAB. Для моделювання були
використанні монокремнієві фотоперетворювачі K5M165H-N класу H262 з параметрами,
наведеними в таблиці 6.1. Вихідні параметри сонячного елемента були виміряні за
сттандартними умовами: G0=1000 Вт/м2, АМ 1,5, Т=298 К.
Таблиця 4.1 - Вихідні параметри сонячного елемента
|
Параметр
|
Позначення
|
Величина
|
|
Максимальна потужність
|
Pmax
|
2.63±0.03Вт
|
|
Струм короткого замикання
|
ISC
|
4,77 А
|
|
Напруга холостого ходу
|
VOC
|
0,62 В
|
|
Максимальний струм
|
Imax
|
4,71 В
|
|
Максимальна напруга
|
Vmax
|
0,53 В
|
4.2 Залежність параметрів сонячного елементу від RS, RSH
Згідно з рис. 4.2 основні втрати електричної
потужності відбуваються на опорах RS, i RSH Так, збшьшення
послідовного опору RS веде до різкого погіршення форми ВАХ та
зниженню вихідної потужносп ФЕП (рис. 4.4-4.5). Це можна помітити на збільшенні
нахилу кривих біля точки VОС. В той же час зменшення шунтуючого
опору RSH від 1 КОм до 10КОм порівняно мало впливае на форму ВАХ (рис.
4.6-4.7). За розрахунками коефіціент ідеальності ВАХ становить nmax=1,22. Таким
чином, для підвищення вихідної потужності ФЕПу треба забезпечувати шдвищення RSH та зменшення RS.
Вплив інтенсивності освітлення поверхн1 ФЕП (G).
3 виразу (4.10) випливае прямо пропорщйна залежшсть фотоструму IPH від рівня
інсоляції при постійній температурі. Результати впливу G на характеристики ФЕП
наведені на рис. 4.8-4.9. Можна бачити, що з зростанням рівня інсоляції струм
короткого замикання зростае i збільшується вихідна потужність. Це можна пояснити
логарифмічною
залежшстю напруги холостого ходу від сонячної інтенсивності, а також струму короткого замикання від променевої енергї. Розрахунки показують,
що з зростанням сонячної інтенсивносп ISC та VOC збілыпуються, але змінювання напруги холостого
ходу не таке значне, як струму короткого замикання, що змешується майже прямо пропорщйно.
4.3 Залежність параметрів фотоелекронно
перетворювача від температури
Зростання температури СЕ виявляється:
· у незначному збільшенні
струму короткого замикання відповідно з рівняння (4.10);
· у підвищенні струму
насичення відповідно з рівнянням (4.11);
· у лінійному спаді напруги
холостого ходу у відповідності з залежністю
За розахунками:
· температурний коеффіціент
струму короткого замикання становить KI=0.00273456 А/ºС;
· температурний коеффіціент
напруги холостого ходу становить KV=0.074123 В/ºС
Висновки
Постановка проблеми. Використання поновлюваних
джерел енергії (ПДЕ) для отримання електричної енергії стає невід'ємною
частиною сучасної енергетики. Серед інших ПДЕ сонячна енергія займає ключові
позиції. Оскільки Сонце існує вже мільярди ЛКТ і прийнято вважати, що дане
джерело енергії невичерпний, доступний по всій поверхні Землі і що ще більш
важливо є безкоштовним. Фотоелектричні системи (ФЕС) здатні безпосередньо
перетворити енергію сонячної радіації в електричну, не мають рухомих частин, з
нульовими викидами шкідливих речовин в атмосферу і, як наслідок, є дуже
надійними і простими в експлуатації. Недоліком на даний момент є: висока
вартість виробництва фотоелектричних елементів.
На основі розробленоі моделі були виконані за допомогою пакету Matlab (Додаток Б) достатньо точні розахунки параметрів СЕ. Розраховані ВАХ та
вольтватнахарактеристки показали коректні піддтвердження залежності параметрів ФЕП від послідовного i шунтуючого
onopiв, а також від впливу сонячної випромінювання та температури. Модель
може бути використана для розрахунку i аналізу ФЕП, сонячних елементів, модулів i систем. Отримані
значення ми порівняли з специфікацією ФЕПу, данні співали. Лістинг прграмми
наведенов Додаток 2.
Перелік посилань
1. Гременок В.Ф. Солнечные элементы на
основе полупроводниковых материалов / В.Ф. Гременок, М.С. Тиванов, В.Б.
Залеcский. - Минск: Изд.Центр БГУ, 2007. - 222 с
2. Пихтін А.Н. Сонячны елементи на
основы контакту метал-напывпровылник/ А.Н. Пихтін- М.: Высш. шк, 1983. - 304 с.
. Лавриненко В.Ю. Солнечные
элементы: Теория и эксперимент./ В.Ю. Лавриненко В.Ю Л.: Леніздат. 1987.- 459с.
. Коган Л.М. Техніко-економінчні
питання використання світло діодів в якості індикації та підсвічування в
системі відображення/ Л.М.. Коган. М.: Светотехника, 1990 - 289с.
. Медведєв Ю. Солнечные элементы /
Медведев Ю, Борисов К. // «Іллюмінатор», 1(3)-2003. - С. 54 - 58.
6. Фотоэлектронные преобразователи - режим
доступу до ресурсу: http://goo.gl/hVB5Z
7. Бордина, Н.М. Определение
параметров вольтамперной характеристики фотопреобразователя / Н.М. Бордина,
А.К. Зайцева, В.Н. Стрельцова: Гелиотехника. - 1977. - №1. - 523.
8. Фаренбрух, А. Солнечные элементы:
теория и эксперимент / A. Фаренбрух, Р. Бьюб;. - М.: Энерго-атомиздат, 1987. -
280 с.
. Землюк Г.Я. Проблеми
енергозбереження в Україні/, Г.Я Землюк., А.В. Круць. Б.- Буковинська державна
фінансова академія, Україна режим доступу:
http://www.rusnauka.com/16_ADEN_2010/Economics/68195.doc.htm