Моделювання та дослідження процесів і систем в пакеті Simulink

  • Вид работы:
    Практическое задание
  • Предмет:
    Физика
  • Язык:
    Украинский
    ,
    Формат файла:
    MS Word
    334,73 Кб
  • Опубликовано:
    2015-01-27
Вы можете узнать стоимость помощи в написании студенческой работы.
Помощь в написании работы, которую точно примут!

Моделювання та дослідження процесів і систем в пакеті Simulink














Лабораторна робота

Тема: Моделювання та дослідження процесів і систем в пакеті Simulink

Мета: Навчитися складати моделі технічних об’єктів в пакеті Simulink та виконати дослідження їх динаміки

Завдання

моделювання simulink електричний двигун


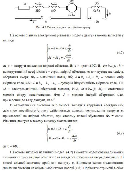
На основі рівнянь електричної рівноваги модель двигуна можна записати у вигляді


де u-напруги живлення якісної обмотки,В; е- проти ЕРС,В,

К-конструктивний коефіцієнт; і- струм якісної обмотки,А;W- кутова швидкість обертання якоря; Ф2- магнітний потік,Вб; - повний опір якісного кола,Ом; - сумарна індуктивність якісного кола,Гн; М- електромагнітний обертовий момент,Н*м; J- момент інерції обертальних мас, приведений до валу двигуна,кг*м.

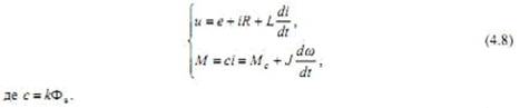
В автоматичних системах в більшості випадків керування електричним двигуном постійного струму здійснюється шляхом регулювання напруги u, прикладеної до якісної обмотки,при сталому потоці збудження Ф2= const. Рівняння двигуна в такому випадку мають вигляд


На основі вихідної нелінійної моделі (4.7) виконати моделювання динаміки змінення струму якісної обмотки і та швидкості обертання якоря двигуна. В якості вхідної величину прийняти напругу u. Виконати також моделювання динаміки системи на основі наближеної моделі (4.8).

Таблиця 4.1 Параметри задачі


Текст програми

dy= prava_chastlr4(t,y)

%Правая часть функцииU R L J Mc k Fv=zeros(2,1);(1)=U/L-k*Fv*y(2)/L-y(1)*R/L;(2)=k*Fv*y(1)/J-Mc/J;

Виконання

[t,x]=ode45('prava_chastlr4',[0:1:tk],[0 0]);(1); plot(t, x(:,1));(2); plot(t, x(:,2));

Графік функції

Динаміка змінення струму якірної обмотки i



Динаміка змінення швидкості обертання якоря двигуна ω


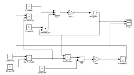
Структурна схема даної системи ДР


Модель технічного об’єкту в пакеті Simulink



Динаміка змінення струму якірної обмотки i


Динаміка змінення швидкості обертання якоря двигуна ω


В ході виконання лабораторної роботи я навчився складати моделі технічних об’єктів в пакеті Simulink та виконувати дослідження їх динаміки.

Похожие работы на - Моделювання та дослідження процесів і систем в пакеті Simulink

 

Не нашли материал для своей работы?
Поможем написать уникальную работу
Без плагиата!
Без нейросетей!