Моделирование динамики двухуровневой системы в переменном внешнем поле

  • Вид работы:
    Курсовая работа (т)
  • Предмет:
    Физика
  • Язык:
    Русский
    ,
    Формат файла:
    MS Word
    517,22 Кб
  • Опубликовано:
    2015-07-06
Вы можете узнать стоимость помощи в написании студенческой работы.
Помощь в написании работы, которую точно примут!

Моделирование динамики двухуровневой системы в переменном внешнем поле













Курсовая работа

Моделирование динамики двухуровневой системы в переменном внешнем поле

Задачи курсовой работы

Ознакомление с концепцией управления квантовыми системами на примере простых квантовых систем.

Конкретные цели, поставленные в данном семестре:

.        Изучение литературы по тематике курсовой работы.

.        Изучение методов управления квантовыми системами. Управление двухуровневой квантовой системой. Чистые и смешанные состояния квантовой системы (Волновая функция и матрица плотности). Фазовое пространство двухуровневой системы (Сфера Блоха).

Этапы выполнения курсовой работы:

1.      Ознакомление с понятием "матрицы плотности" по книге Ландау Л.Д. т.3. Формализм уравнения Лиувилля.

.        Изучение глав книги Бурштейн А.И. "Квантовая кинетика" ч.1, гл.1.

.        Изучение глав книги Блум К. "Теория матрицы плотности" гл. 1-2.

.        Моделирование динамики ДУ.

Содержание

1.      Теоретическое введение

.        Численное решение

.        Аналитическое решение

.        Анализ

Заключение

Список литературы

Приложение

.        Теоретическое введение

Начнем рассмотрение с двухуровневой схемой, имеющей гамильтониан:

 (1.1)

Запишем уравнение Шредингера для амплитуд Ψ0 основного состояния, соответствующих энергии Е0 и вектору состояния ׀0>. Амплитуду, энергию и вектор возбужденного состояния обозначим через Ψ1, Е1 и ׀1>, соответственно. Уравнение Шредингера с гамильтонианом имеет вид

 (1.2)

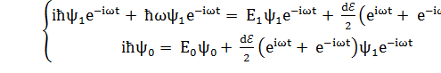
Что произойдет при включении внешнего периодического электромагнитного поля с амплитудой Е и частотой ω, близкой к частоте перехода ω ~ ( - Е0)/ħ, если оператор взаимодействия в гамильтониане есть произведение Еωď напряженности поля Еω = Есоs(ωt) и оператора дипольного момента перехода ď? Как это обычно имеет место в оптике, предположим, что оператор дипольного момента имеет действительные недиагональные матричные элементы d = (0|ď|1), а диагональные матричные элементы отсутствуют. Тогда уравнение Шредингера принимает вид

 (1.3)

Применим к уравнению так называемое приближение вращающейся волны, которым удобно пользоваться в случае, когда отстройка Δ = (Е1 - Е0)/ħ - ω частоты поля от частоты перехода (Е1 - Е0)/ħ относительно мала Δ < ω.

Фазы квантовых состояний отсчитываются при этом от фазы поля ωt. Подставим в уравнение амплитуды основного и возбужденных состояний в виде

Ψ1= е-iωt ψ1, Ψ0 = ψ0 (1.4)

и воспользуемся формулой соs(ωt) =½(еiωt + е-iωt). В итоге получим

 (1.5)

Если положить Е0 = 0 и ввести более короткое обозначение V для произведения dE/2, то после умножения первого уравнения на еiωt система уравнений принимает вид

 (1.6)

 

В дальнейшем, для сокращения записи будем также полагать ħ=1. Заметим, что характерные величины производных по времени от амплитуд ψ1 и ψ0 в уравнениях могут быть либо порядка величины взаимодействия V, либо порядка отстройки Δ = (Е1 - ω) когда ее значение превышает V, и, значит, вблизи резонанса Δ<<ω они много меньше частоты внешнего поля ω. Это позволяет нам не учитывать в быстро осциллирующие слагаемые Vе2iωt, которые при усреднении дают пренебрежимо малые вклады, приводя к следующей системе

 (1.7)

 

Рассмотрим теперь решение верхних уравнений, удовлетворяющее начальным условиям

 (1.8)

Одним из основных инструментов решения таких задач является метод, известный как преобразование Фурье-Лапласа или как преобразование Фурье обобщенных функций. Суть данного метода заключается в следующем. В обычном преобразовании Фурье требуется, чтобы рассматриваемая функция убывала при t → ±∞. В противном случае преобразование Фурье производной ỳ(ω), которое обозначают как F[ỳ(t)], отличается от умноженного на частоту преобразования Фурье исходной функции, то есть ỳ(ω) ≠ iωу(t). Поэтому рассматривают разрывные функции ψ, которые равны нулю при t < 0, а при t > 0 совпадают с решениями системы (1.7), отвечающими начальным условиям (1.8). Таким образом, функция ψ0(ω) разрывна при t = 0, где происходит ее скачок от величины ψ0 = 0 до ψ0= 1. Очевидно, что производная ψ0 равняется бесконечности или, более точно, она пропорциональна σ-функции Дирака. Уравнения (1.7) при t = 0 неприменимы, а правильная система уравнений имеет вид

 (1.9)

 

Здесь необходимо отметить, что σ -функции Дирака, присутствующей во втором уравнении системы (1.9), может быть дана физическая интерпретация. Так как предполагается, что при t < 0 в двухуровневой системе нет ни одной частицы, а при t = 0 частица возникает в основном состоянии |0>, то можно сказать, что плотность потока амплитуды вероятности заброса частицы в основное состояние бесконечно велика в течение бесконечно короткого времени, то есть представляет собой (σ -функцию. Данная модель допускает очевидное обобщение: заброс частицы можно задать произвольной функцией П = П(t), удовлетворяющей только нормировке. Соответствующая схема показана на рис. 1.

Рис. 1. Двухуровневая система во внешнем резонансном поле

Инжекция частицы в нижнее состояние описывается плотностью потока вероятности П(t). Дипольный момент перехода d приводит к взаимодействию V = Ed, между нижним и верхним состояниями.

(а) Представление в базисе собственных состояний.

(б) Представление процесса в приближении вращающейся волны

После преобразования Фурье система (1.9) принимает вид

(1.10)

 

Где использовано обозначение

 (1.11)

И известное свойство:

 

Система двух линейных алгебраических уравнений (1.10) имеет решение:

 (1.12)

 

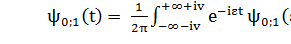
где вертикальные скобки у матричных элементов обозначают детерминанты. С помощью обратного преобразования Фурье

 (1.13)

найдем зависимость от времени амплитуд вероятностей ψ0(t) и ψ1(t) то есть проинтегрируем Фурье-образы ψ0 (е) и ψ1 (е) в комплексной плоскости вдоль контура С, заданного прямой линией от -∞ до +∞, проходящей на расстоянии v над действительной осью, как показано на рис. 2.

Рис.2. Контур, вдоль которого производится интегрирование при обратном преобразовании Фурье, проходит над действительной осью. Он может быть замкнут в нижней части комплексной плоскости е, где интеграл стремится к нулю.

Знаменатели дробей в правых частях системы уравнений (1.12) обращаются в ноль в точках:

 (1.14)

Отметим также, что интегралы (1.13), вычисляемые вдоль контура С2 (круг большего радиуса е = Rехр(-iΘ); R → ∞; 0 < Θ < π), стремятся к нулю при R→∞, т.к. действительные части степеней экспонент под интегралами становятся большими отрицательными числами. Поэтому можно заменить открытый контур интегрирования С1 = (-∞-iv, ∞-iv) на замкнутый С=С1+С2. Затем с помощью теоремы Коши заменить интеграл на сумму вычетов в изолированных особых точках е0,1 (1.14) в нижней части комплексной плоскости е включая действительную ось, получив таким образом

 (1.15)

 

Что дает

 

 

 

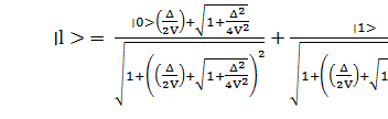
То есть

 

 

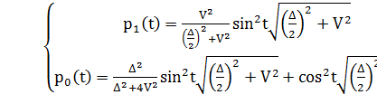
Величина √((Δ/2)2 + V2) называется частотой Раби, а соответствующие периодические осцилляции вероятностей - осцилляциями Раби.

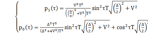
Найдем теперь заселенности верхнего р1 = │ψ12 и нижнего р0 = │ψ02 уровней. Из уравнения (3.17) сразу получаем

 

 +

Перейдем теперь к усредненным по времени заселенностям состояний. Учитывая, что соs2Ωt = sin2 Ωt = 1/2, получаем

,

Видно, что при V<<Δ/2 средняя заселенность р1 верхнего уровня мала, а заселенность р1 порядка 1. Заселенности обоих уровней становятся одного порядка по величине только при V ~ Δ/2. В пределе V >>Δ/2 имеем р1 ~ р0 ~ 1/2. Отсюда можно заключить, что состояния |0> и |1> находятся в резонансе, когда выполнено условие резонанса V ~ Δ/2. Другими словами, резонанс возникает, когда характерная амплитуда взаимодействия становится больше или порядка характерного значения отстройки. Этот количественный критерий будет часто использоваться в дальнейшем, при анализе поведения многоуровневых квантовых систем.

Отметим один важный случай, когда расстройка настолько мала, что ее можно положить равной нулю. Тогда

,

и заселенность осциллирует между нижним и верхним состояниями с частотой V. Очевидно, что средние заселенности обоих состояний равны 1/2.

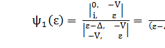
Иногда целесообразно представлять зависящие от времени амплитуды ψ0,1 (t) (3.17) в виде суперпозиции точных собственных состояний |u>, |l> гамильтониана системы, отвечающих соответственно верхнему и нижнему собственным значениям энергии

 

гамильтониана (3.14). Зависимость амплитуды φl,u данных состояний от времени определяется только фазовым множителем еiet. Абсолютные значения амплитуд и фазовые множители при t = 0 можно найти при помощи представления

 

 

Собственных векторов в базисе состояний ׀0> и ׀1>.В частности, когда Δ=0 имеем 2 собственных значения

 

 

соответствующих собственным значениям энергии е0,1 = ±V при относительной разности фаз 2Vt амплитуд φl,u = е±iVt / \/2, имеющих одинаковые начальные значения <l|0> = <и|0> = 1/√2 . Биение осцилляции двух амплитуд приводит к зависимостям (3.20) для заселенностей.

.        Численное решение

Начнем рассмотрение с двухуровневой схемой, имеющей гамильтониан:

 

Запишем уравнение Шредингера для амплитуд Ψ0 основного состояния, соответствующих энергии Е0 и вектору состояния ׀0>. Амплитуду, энергию и вектор возбужденного состояния обозначим через Ψ1, Е1 и ׀1>, соответственно. Уравнение Шредингера с гамильтонианом имеет вид

 

Что произойдет при включении внешнего периодического электромагнитного поля с амплитудой Е и частотой ω, близкой к частоте перехода ω ~ ( - Е0)/ħ, если оператор взаимодействия в гамильтониане есть произведение Еωď напряженности поля Еω = Есоs(ωt) и оператора дипольного момента перехода ď? Как это обычно имеет место в оптике, предположим, что оператор дипольного момента имеет действительные недиагональные матричные элементы d = (0|ď|1), а диагональные матричные элементы отсутствуют. Тогда уравнение Шредингера принимает вид

 

Разделим на ħ - постоянную Планка. Таким образом, коэффициенты при Ψ0 и Ψ1, будут обладать размерностью частоты.

 

Положив энергию основного состояния  за 0, можно немного упростить систему:

 

Теперь необходимо обезразмерить систему.

Введем безразмерное время τ, такое, что t =Tτ.

Здесь Т - собственный период (По аналогии с собственной частотой ω0 = (-Е0)/ħ ). Для него выполняется соотношение Т/2π = 2π/ω0.

 

 

И разделим выражения при  и  на ω0.

 

Фактически, мы перешли в другую систему отсчета и теперь считаем энергетические параметры в единицах собственных частот. Произведение ωТ, также, представляет собой частоту, измеренную в единицах ω0.

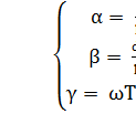
Для удобства введем коэффициенты α, β, γ, такие что:

 

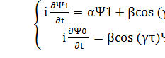
Подставив, получим финальную систему уравнений, которую будем решать методом Рунге-Кутты.

 

Из полученных комплексных чисел  и  получим заселенности верхнего р1 = │ψ12 и нижнего р0 = │ψ02 уровней.

.        Аналитическое решение

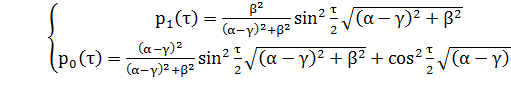
Начнем рассмотрение аналитического решения с системы уравнений заселенности уровней:

 

Здесь:

 

Наша задача: преобразовать систему уравнений таким образом, чтобы в ней фигурировали не коэффициенты V и Δ, а α, β, γ. (См. численное решение)

Разделим V и Δ на ħ - постоянную Планка

Теперь:

 

Введем безразмерное время τ, такое, что t =Tτ.

Здесь (Как и в предыдущем параграфе) Т - собственный период (По аналогии с собственной частотой ω0 = (-Е0)/ħ ). Для него выполняется соотношение Т/2π = 2π/ω0.

Также умножим систему на :

 

Занося Т в параметры V и Δ, получим обезразмеренные величины:

 

Напомним:

 

Связь совершенно очевидна:

 

Система уравнений с новыми коэффициентами:


Или:

 

.        Анализ

Мы будем рассматривать аналитическое и численное решение при различных значениях α, β, γ и постараемся найти как связь, так различия (и, соответственно, преимущества и недостатки) этих двух решений.

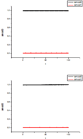
Первое, и самое очевидное: Если условие резонанса не выполняется (т.е. β<<Δ; γ или α велико или, иначе говоря, параметры системы велики по сравнению с параметром внешнего воздействия), населенности  и испытывают незначительные колебания вблизи 1 и 0 соответственно. И теоретический и экспериментальный графики показывают практически одно и то же.


α=1; β=1; γ=10

(Здесь и далее первый график всегда теоретический, второй экспериментальный)

Другой очевидный случай: Случай малой растройки α=γ. (т.е. β>>Δ)

Заселенность осциллирует с частотой β. И вновь теоретический и экспериментальный график практически совпадают.


α =1; β=0.1; γ=1.

Мы рассмотрели два граничных случая: β>>Δ и β<<Δ. Промежуточный случай - β>Δ - также любопытен. Наблюдаются сильные колебания, пересекающиеся посреди оси ординат.



α=0.1; β=1; γ=1

Логично, что на частоту переходов влияет лишь параметр внешнего воздействия β. Чем сильнее воздействие извне, тем выше будет частота осцилляций.




α=1;β=1;γ=0,1.


α=1;β=2;γ=0,1.

Как видно из графиков, при увеличении внешнего воздействия β вдвое частота колебаний выросла во столько же.

Основное различие теории и эксперимента заключается в том, что в аналитическом решении отсутствует изменение частоты и амплитуды осцилляции:


α=2;β=1;γ=0,1.

Это связано с тем, что в процессе преобразования теоретического решения была упущена информация о быстро осциллирующих слагаемых, которые, как оказалось, сильно воздействуют на волновые функции.

Заключение

Двухуровневая система - одна из наиболее важных моделей, необходимых для построения более сложных систем, таких как система из двух кубитов.

В данной работе представлена общая теория физики двухуровневой системы. Сформулированы и реализованы два различных метода моделирования и показаны различия между ними. Был проведен анализ и рассмотрены процесс и особенности перехода из основного в возбужденное состояние.

Список литературы

1.      Ландау Л.Д., Лившиц Е.М. "Квантовая механика (нерелятивистская теория)" 2010.

2.      Бурштейн А.И. "Квантовая кинетика" 2007.

3.      Блум К. "Теория матрицы плотности" 2009.

4.      Мак-Кракен Д., Дорн У. "Численные методы и программирование на Фортране" 2011.

матрица плотность квантовый управление

Приложение

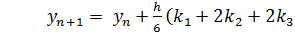
Ме́тоды Ру́нге - Ку́тты (распространено неправильное название Ме́тоды Ру́нге - Ку́тта или даже Ме́тоды Ру́нге - Кутта́) - важное семейство численных алгоритмов решения обыкновенных дифференциальных уравнений и их систем. Данные итеративные методы явного и неявного приближённого вычисления были разработаны около 1900 года немецкими математиками К. Рунге и М. В. Куттой.

Методы Рунге - Кутта обладают следующими отличительными свойствами:

1.  Эти методы являются одноступенчатыми: чтобы найти ут+1, нужна информация только о предыдущей точке хт, yт.

2.  Они согласуются с рядом Тейлора вплоть до членов порядка , где степень р различна для различных методов и называется порядком метода.

3.  Они не требуют вычисления производных от f (х, у), а требуют только вычисления самой функции.

Именно благодаря третьему свойству методы Рунге - Кутта более удобны для практических вычислений, нежели ряд Тейлора. Однако, как и можно ожидать, для вычисления одной последующей точки решения нам придется вычислять функцию f (х, у) несколько раз при различных значениях х и у. Это та цена, которую приходится платить за право не вычислять никаких производных, но цена более чем умеренная.

Приведем формулы, описывающие метод четвертого порядка, один из самых употребительных методов интегрирования дифференциальных уравнений. Этот метод применяется настолько широко, что в литературе по вычислениям на ЭЦВМ этот метод просто называется "методом Рунге - Кутта" без всяких указаний на тип или порядок. Этот классический метод Рунге - Кутта описывается системой следующих пяти соотношений:

 (6.1)

где h - величина шага сетки по x. Вычисление нового значения проходит в четыре стадии:

 (6.2)

 (6.3)

 (6.4)

 (6.5)

Ошибка ограничения для этого метода равна

. (6.6)

Похожие работы на - Моделирование динамики двухуровневой системы в переменном внешнем поле

 

Не нашли материал для своей работы?
Поможем написать уникальную работу
Без плагиата!
Без нейросетей!