Расчет посадок сопряжений редуктора заднего моста автомобиля ВАЗ 2101
1. Расчет посадок
для гладких цилиндрических соединений
1.1 Расчет и выбор
посадок с натягом
подшипник шлицевый
зубчатый автомобиль
Определяем требуемое минимальное
давление Рmin, Н/м2:
где Мкр - крутящий
момент, Нм;- коэффициент трения при установившемся процессе распрессовки или
проворачивания. Принимаем f = 0,35;- длина контакта сопрягаемых
деталей, м;н - номинальный диаметр сопряжения, м.
Определение наименьшего расчетного
натяга Nнм, мкм:
ЕВ,
ЕА - модули упругости материалов, соответственно вала и отверстия,
Па;
СВ, СА -
коэффициенты Ляме.
Значение модулей упругости
материалов взяты из таблицы 2.2:
ЕВ = ЕА = 2,06
1011 Па.
Коэффициенты Ляме определяются по
следующим зависимостям:
где
коэффициенты Пуассона охватываемой детали; принимаем
из таблицы 2.2.
Подставляя значения, имеем
Определяем значение наименьшего
функционального натяга
, мкм
,
где
поправка, учитывающая степень смятия неровностей контактных
поверхностей деталей при запрессовке, мкм;
поправка,
учитывающая различие коэффициентов линейного расширения материалов соединяемых
деталей и разность между рабочей температурой детали и температурой сборки,
мкм;
поправка,
учитывающая ослабление натяга под действием центробежных сил, для сплошного
вала и одинаковых материалов сопрягаемых деталей, мкм.
Значениями
и
пренебрегают
ввиду их малых значений.
Поправка, учитывающая степень
неровностей контактных поверхностей деталей при запрессовке, определяется по
формуле:
где
высота неровностей профиля по десяти точкам, соответственно
отверстия и вала, мкм.
мкм
мкм
Таким образом
На основании теории касательных
напряжений определяем предельно
допустимое контактное напряжение на
поверхности втулки Рдоп.в., Па, по формуле:
где
предел текучести материала втулки, Па;
Аналогично находим контактное
напряжение Рдоп.а., Па, на поверхности вала:
предел
текучести материала вала, Па;
В качестве наибольшего допускаемого
удельного давления берём
наименьшее из двух значений.
, то
Определяем величину максимального
расчетного натяга
, мкм:
Определяем величину максимального
функционального натяга
, мкм:
По стандарту ГОСТ - 25346-80 и в
соответствии со значениями
и
выбираем оптимальную посадку, чтобы удовлетворилось условие:
Данное условие подходит
для посадки
Определяем предельные отклонения в
системе отверстия и в системе вала:
Находим коэффициент запаса
Условие
выполнено: 4,5
3,3
Запас на сборку всегда должен быть
меньше запаса на эксплуатацию, т.к. он нужен только для случая возможного
понижения прочности материала деталей и повышения силы запрессовки из-за
перекосов деталей, колебания коэффициента трения и температуры.
Суммарная величина запасов на
эксплуатацию Σ, мкм,
и на сборку зависит от разности значений функциональных натягов и величины
табличных полей вала и отверстия.

Величина гарантированного допуска на
эксплуатацию NЗЭ, мкм, как минимум, должна быть равна половине суммы
запасов на эксплуатацию и сборку, т.е.
,
где С - коэффициент нижнего ограничения,
С = 0,5…0,7.
В случае необходимости можно
обеспечить гарантированный запас на сборку
, мкм. Он принимается как часть от Σ:
,
где Н - коэффициент верхнего
ограничения.
Коэффициент верхнего ограничения
принимается равным 0…0,2.
При этом необходимо, чтобы
выполнялось следующее условие:
Условие
выполняется:
1.2
Расчет и выбор переходных посадок
Выбираем переходную
посадку Ø
.
Посадка Ø
имеет номинальный размер 18 мм, поле допуска отверстия H7 и поле допуска вала
k6. Данная посадка представлена в системе отверстия.
Для выбранной переходной
посадки строим схему расположения полей допусков.
Определяем наименьший dmin
и Dmin, максимальный dmax и Dmax диаметры
соответственно для вала и отверстия, мм:
где dн = 18 мм и Dн =
18 мм - номинальные размеры соответственно отверстия и вала, мм;и ei - нижнее
отклонение соответственно поля допуска отверстия и вала, мм;и es - верхнее
отклонение соответственно отверстия и вала, мм.
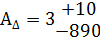
Определяем предельные отклонения по
таблице 1.29, стр. 91:
ES = 0,021 мм= 0 мм= 0,015 мм= 0,002
мм
Определяем поле допуска для
отверстия TD, мм, и вала Td, мм
Определяем средний dср и
Dср диаметры соответственно для вала и отверстия, мм
Определяем максимальный натяг Nmax,
мкм, и зазор Smax, мкм:
Вероятность распределения зазора и
натяга в переходных посадках определяют, используя закон нормального
распределения случайных величин. Ветви теоретической кривой нормального
распределения уходят в бесконечность, асимптотически приближаясь к оси абсцисс.
Площадь, ограниченная кривой нормального распределения и осью абсцисс, равна
вероятности того, что случайная величина лежит в интервале от -3σ до +3σ. Эта вероятность, как
вероятность достоверного события равна 1 или 100% и определяется интегралом:
где х - аргумент функци;
σ - среднеквадратичное
отклонение случайных величин, мкм.
Если выразить величину Х
в долях ее σ, то формула примет вид
Этот интеграл является функцией и
называется функцией Лапласа.
Причем:
,
,
В табл. 1.1, стр. 12, для функции
приведены данные, пользуясь которыми можно определить вероятность того, что
случайная величина Х, выраженная в долях σ, находится в пределах интервала ±zσ.
Так как по заданию требуется
рассчитать вероятность распределения натягов и зазоров с доверительной
вероятностью 0,9973, то z = ±3σ.
В предложении, что погрешности
изготовления сопрягаемых деталей подчиняются закону нормального распределения,
а центр их группирования совпадает с полем допуска, TD и Td, мкм, определяют
среднеквадратичное отклонение размеров сопрягаемых деталей по формуле:
где TD, Td - допуск соответственно
отверстия и вала, мкм;
σD, σd - среднеквадратичное
отклонение размеров соответственно отверстия и вала, мкм.
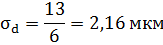
Находим σD, σd, мкм:
Находим суммарное квадратичное
отклонение σ∑, мкм:
Определяем величину среднего зазора
Sср, мкм:

Величина Sср определяет
положение центра группирования соединений относительно начала их отсчета Х = Sср.
На оси Х - Х эта точка обозначается
Х′ = 0. Эта точка определяет
зазор от натяга.
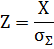
На оси Z - Z′ эта точка
определяется
где Х = Sср - величина
среднего зазора, мкм;
σ∑ - суммарное
квадратичное отклонение, мкм.
Из табл. 1.1, стр. 12, находим
значение функции Лапласа, которое соответствует площади, заключенной между
кривой нормального распределения, оси симметрии и функцией Z, и дает вероятность
того, что величина погрешности находится в пределах от 0 до Z.
Определяем относительное количество
соединений с зазором S%:
Определяем фактическое значение
наибольших зазоров Smax, мкм, и натяговmax, мкм:
Значения
и
откладываются
по оси Х - Х.
Используя все полученные ранее
значения, строим кривую распределения зазоров и натягов.
Формула плотности вероятности имеет
вид
где У - плотность
вероятности;
х - аргумент функции и
плотности вероятности;
σ - среднеквадратичное
отклонение случайных величин, мкм.
Подставляя вместо Х значения 0, σ, 2σ, и 3σ, строим кривую по
полученным точкам.
2. Расчет и выбор
посадок для подшипников качения
Согласно заданию определяем тип,
класс точности и номер подшипника.
По условию:
Первый подшипник Р2-27307 -
роликовый конический упорный
подшипник второго класса точности с параметрами:= 80 мм - наружный
диаметр;= 35 мм - внутренний диаметр;
В = 21 мм - ширина внутреннего кольца;= 2,5 мм; r = 0,8 мм -
радиус закругления;
Второй подшипник Р2-27306 - роликовый конический подшипник второго
класса точности с параметрами:= 72 мм;= 30 мм;
В = 19 мм;= 2 мм; r = 0,8 мм;
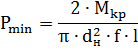
Определяем силы, действующие в зацеплении.
Находим радиальное усилие Fr, Н:
,
где Ft - окружное усилие, Н;
знак
делительного конуса, град;
передаточное
число передачи;
- угол наклона линии зубьев.
Находим передаточное число U:
Находим угол делительного конуса
, град:
Находим окружное усилие Ft, Н:
Мкр
- крутящий момент навалу, Нм;n - нормальный модуль зубчатого колеса,
м;- число зубьев колеса.
Угол наклона зубьев принимают равным 10
.
Находим осевое усилие Fa, Н:
Находим равнодействующую силу, действующую в зацеплении F, Н:
H
Составляем сумму моментов
относительно точек C, D и определяем реакции опор RC и RD,
Н:
ΣМС
= 0
Находим RC и RD:
Определяем вид нагружения колец
подшипников.
По ГОСТ 3325-85 принимаем: вид
нагружения внутреннего кольца - циркуляционный; вид нагружения наружного кольца
- местный.
Поле допуска под наружнее местно
нагруженное кольцо определяем согласно табл. 4.89, стр. 285.
Принимаем поле допуска - JS7.
где R - радиальная реакция опоры на
подшипник;
Кп - динамический
коэффициент посадки, зависящий от характера нагрузки (при перегрузки до 150%
умеренных толчках и вибрации Кп = 1; при перегрузки до 300%, сильных
ударов и вибрации Кп = 1,8). Принимаем Кп = 1;-
коэффициент, учитывающий степень ослабления посадочного натяга при сплошном
вале F = 1;- рабочая ширина посадочного места, мм.
где В-ширина кольца подшипника, мм;-
радиус закругления или ширина фаски кольца подшипника, мм.
Поле допуска для внутреннего
циркуляционного кольца подшипников 27307 и 27306 принимаем iS6.
По интенсивности нагрузки выбираем
посадки для внутреннего и
наружного кольца.
Для внутреннего кольца: посадка
Для наружного кольца: посадка
По ГОСТ-3325-85 находим предельные
отклонения размеров колец:
предельные
отклонения размеров внутреннего кольца;
предельные
отклонения размеров наружного кольца.
ГОСТ
25346-89 находим отклонения вала и корпуса при выбранных посадках:
отклонения
для диаметра вала;
отклонения
для диаметра корпуса.
Определяем наибольший зазор Smax,
мкм, и натяг Nmax, выбранной посадки при установке колец подшипников
на вал:
зазор Smax,
мкм, и натяг Nmax, мкм, при установки наружного кольца в корпусе:
поверхностей
вала и корпуса под кольца подшипников качения.
работы
подшипникого узла зависит от точности самого подшипника и точности
присоединительных размеров. Поэтому стандарт предусматривает для различных
классов точности шероховатость присоединительных размеров Ra, мкм, и
отклонения от цилиндричности присоединительных размеров.
роховатость
присоединительных размеров для 2 класса точности для посадочных поверхностей
валов, отверстий корпусов и торцов заплечиков валов Ra=0,32 мкм.
Отклонение от цилиндричности
присоединительных размеров для 2 класса точности не допускается.
3. Выбор посадок
для резьбовых соединений
При равных наружных диаметрах (d, D)
метрические резьбы с мелким шагом отличаются от резьбы с крупным шагом меньшей
высотой профиля. В виду того, что Рмелк
Ркруп и ѱмелк
ѱкруп то и КПД резьбовой пары ηмелк
ηкруп.
Понижение КПД резьбы с мелким шагом
является следствием увеличения работы сил трения, поэтому по сравнению с
резьбой, имеющей крупный шаг, резьбы с мелким шагом более надежны против
самоотвинчивания. Это дает возможность рекомендовать резьбы с крупным шагом
главным образом для соединения деталей, не подвергающихся переменной нагрузке,
толчкам, сотрясениям и вибрациям, а резьбы с мелким шагом к соединениям,
подвергающимся нагружению такого характера.
Принимая во внимание выше изложенные
рекомендации выбираем резьбу М16 x 1,5.
Болт М16 x 1,5; Гайка М16 x 1,5
Диаметр - 16 мм; шаг - 1,5 мм.
Определяем значения среднего d2
(D2) диаметра и внутреннего d1 (D1) диаметра
[с. 144, табл. 4.24]:
Средний диаметр
мм
Внутренний диаметр
мм
Выбираем посадку для резьбового
соединения в соответствии с [с. 151, табл. 4,2]:
Определяем отклонения [с. 153, табл.
4,9] и вычисляем предельные диаметры резьбового соединения.
Расчет предельных размеров для
болта, мм:
Средний d2 es = -32; ei =
-172
Наружний d es = -32; ei = -268
Внутренний d1 es = -32;
ei = 0
мм;
мм;
мм;
мм;
мм.
предельных
размеров для гайки, мм:
ES =
190; EI = 0
ES =
300; EI = 0
мм;
мм;
мм;
мм;
мм.
В соответствии с полученными
значениями строим схему расположения полей допусков для внутренней и наружной
резьбы.
4. Выбор посадок
для шлицевого соединения
Шлицевые соединения используются при
передачи больших крутящих моментов и более высоких требованиях к соостности
соединяемых деталей. Среди шлицевых (зубчатых) соединений, к которым относятся
соединения с прямобочным, эвольветным и треугольным профилем зубьев прямобочные
соединения наиболее распространены. Они применяются для подвижных и неподвижных
соединений.
В зависимости передаваемого
крутящего момента устанавливается три типа соединений: легкой, средней и
тяжелой серии.
Шлицевое соединение применяем для
передачи крутящего момента от карданного вала к первичному валу редуктора
заднего моста автомобиля ВАЗ 2101.
Согласно заданию выбираем шпоночное
соединение 10х18х23.
Из табл. 4.71, стр. 250, выбираем размеры и число зубьев шлицевого
соединения с прямобочным профилем шлицев:= 3;= 15,6;= 23;= 10;= 0,3;= +0,2;=
0,2.
где b - ширина боковой поверхности зубьев, мм;- внутренний диаметр
шлицевого соединения, мм;- наружний диаметр шлицевого соединения, мм;- число
зубьев шлицевого соединения;
Данное шлицевое соединение относится к тяжелой серии. Так как
присутствует наличие термообработки (закалка), то выбираем способ центрирования
по внутреннему диаметру d.
Определяем посадку для центрирующего диаметра d по табл. 4.73,
стр. 253:
- 15,6Н7/g6
Определяем посадку для нецентрирующего диаметра D по табл. 4,72,
стр. 252:
- 23Н12/а11
Определяем посадку для ширина боковой поверхности зубьев b по
табл. 4,74, стр. 253:
- 3D9/h9
Записываем обозначение шлицевого соединения с учётом найденных
посадок:
для отверстия этого же соединения:
и вала:
Согласно полученным значениям строим
эскиз шлицевого соединения
5. Расчет размерных
цепей
и
отклонение замыкающего звена по допускам составляющих звеньев.
, что
все звенья, составляющие размерную цепь, изготовлены по какому-либо одному
квалитету, кроме подшипников качения.
составляющих
звеньев размерной цепи берем из табл. 1.8, стр. 44; допуски на подшипники берем
из табл. 4.82, стр. 213.i = 2,522i = 1,563i =
1,314i = 1,865i = 1,31
Определяем номинальный размер
замыкающего звена
, мм:
размеры увеличивающих звеньев, мм;
число
увеличивающих звеньев;
размеры
уменьшающих звеньев, мм;
число
уменьшающих звеньев.
Определяем число единиц допуска на
замыкающее звено:
Выбираем 11 квалитет.
По Т11 сумма допусков:
Значение приемлемо, т.к.
Определяем допуск замыкающего звена
Т
, мкм:
допуски
звена, мм;
коэффициент,
зависящий от закона распределения.
если ошибки определяются законом нормального распределения.
Для удобства расчета верхнее
отклонение допуска замыкающего звена ЕS
, мм, и нижнее отклонение
, мм выражают через середину поля допуска
, мм:
Сначала находим середину поля
допуска, а затем верхнее и нижнее отклонения допуска замыкающего звена.
Таким образом, имеем
Производим проверку ТА, мм:
Имеем замыкающее звено:
6. Выбор параметров
для контроля зубчатых колес
Показатели кинематической точности
конических и циклоидных зубчатых колес и передач по ГОСТ 1758-81 и ГОСТ 9368-81
определяем в зависимости от степени точности (7-с) зубчатых колес и передач по
таблице 5.32, стр. 366:
наибольшая
кинематическая погрешность зубчатого колеса;
накопленная
погрешность шага по зубчатому колесу.
таблице
5.35, стр. 368, выбираем
мкм
таблице
5.36, стр. 370, выбираем
мкм
плавности
работы конических и циклоидных передач и колес в зависимости от степени
точности (7-с) зубчатых колес и передач выбираем по таблице 5.33, стр. 367:
циклическая
погрешность зубчатого колеса;
отклонение
шага;
погрешность
обката зубцовой частоты;
таблице
5.37, стр. 371, выбираем
13 мкм
По таблице 5.38, стр. 374, выбираем
мкм
9 мкм
контактов
зубьев для конических и циклоидных передач и колес в зависимости от степени
точности (7-с) выбираем по таблице 5.34, стр. 368:
отклонение
относительных размеров суммарного пятна контакта по высоте зуба;
отклонение
суммарной зоны касания соответственно по длине и высоте зуба.
параметров
выбираем по таблице 5.39, стр. 376:
предельное
отклонение межосевого расстояния;
мкм
таблице
5.40, стр. 377, определяем
при
относительном размере суммарного пятна контакта не менее 60%.
при
относительном размере суммарного пятна контакта не менее 65%.
Показатели гарантированного бокового
зазора для конических и циклоидных передач и колес выбираем в зависимости от
вида сопряжения независимо от степеней точности и их комбинирования по таблице
5.43, стр. 381.
Значения параметров находим по
таблице 5.44, стр. 382.
Гарантированный боковой зазор:
мкм.
межосевого
угла:
мкм.
отклонение
средней постоянной хорды зуба:
Допуск на среднюю постоянную хорду
зуба Tsc при Fr = 40
мкм
Список используемых
источников
1. Марков В.Н. «Нормирование точности в машиностроении» - М.:
Академия, 2004 г.
2. Мягков В.Д. «Допуски и посадки», в 2-х томах - М.:
Машиностроение, 1982 г.
3. Белкин И.М. «Допуски и посадки» − М.: Машиностроение,
1992.
4. Якушев А.Н. «Взаимозаменяемость, стандартизация и технические
измерения.» Учебник - 6-е изд. М.: Машиностроение, 1986.
5. Чернавский С.А. «Курсовое проектирование деталей машин» - М.:
Машиностроение, 1988. - 416 с.
6. Радкевич Я.М., Схиртладзе А.Г., Лактионов Б.И. «Метрология,
стандартизация и сертификация» - М.: Высш. шк., 2004. - 767 с.