|
|
|
|
|
|
|
|
k
|
|
1
|
1,5
|
1
|
0,5
|
0,25
|
500
|
333
|
2
|
Математическая
модель цепи (ММЦ) по методу токов ветвей (МТВ) для мгновенных значений
источников напряжений и токов
Для составления математической модели
цепи (ММЦ) по методу токов ветвей(МТВ) для мгновенных значений источников
напряжений и тока необходимо сделать некоторые преобразования схемы цепи.
Преобразованная схема представлена на рисунке
Рисунок 2. Схема для ММЦ при
действии источников сигнала произвольной формы
Количество уравнений, составленных
по первому закону Кирхгофа, находится по формуле 1, по второму - 2:
(1)
(2)
Посчитаем количество уравнений, по
первому закону Кирхгофа:
N1зк=4-1=3
Посчитаем количество уравнений, по
второму закону Кирхгофа:
N2зк =7+1-4-1=3
Сумма уравнений по первому и второму
законам должна равняться количеству неизвестных токов.
N1зк +N2зк =3+3=6
Всё сходится. Переходим к
составлению системы уравнений по первому закону Кирхгофа:
1 i1-i2-i6-j0=0
i6-j0-i4+i5=0
4 i2-i5-i3=0.
Составим систему уравнений по
второму закону Кирхгофа:
I
Перейдем к мгновенным значениям:
I
II
III
2. ММЦ
по методу токов ветвей (МТВ) для комплексных значений источников напряжений и
токов
Для составления математической
модели цепи (ММЦ) по методу токов ветвей (МТВ) для комплексных значений
источников напряжений и тока необходимо сделать некоторые преобразования схемы
цепи. Преобразованная схема представлена на рисунке 3.
Рисунок 3. - Схема замещения для МКА
Количество уравнений, составленных
по первому закону Кирхгофа, равняется трем, по второму - также три
(определялось по формулам 1 и 2 соответственно).
Ниже представлена ММЦ, составленная
по методу токов ветвей для комплексных значений источников напряжения и тока.
Составим систему уравнений по
первому закону Кирхгофа:
İ1-İ2-İ6-J0=0
İ2 - İ5 - İ3=0
Составим систему уравнений по
второму закону Кирхгофа:
I
3. ММЦ
по МТВ для постоянных значений источников напряжений и токов
Для расчета ММЦ по МТВ на постоянном
токе необходимо перейти к схеме замещения, в которой индуктивность заменяем
закрытым ключом, а ёмкость открытым ключом. При действии источников постоянных
сигналов e(t)=E=const j0(t)=J0=const ММЦ примет вид:
Рисунок 4. - Схема для ММЦ при
действии источников постоянных сигналов
Рисунок 5. - Упрощенная схема для
ММЦ при действии источников постоянных сигналов
Посчитаем количество уравнений, по
первому закону Кирхгофа:
N1зк=Nу-1=2-1=1
Посчитаем количество уравнений, по
второму закону Кирхгофа:
N2зк=Nв+1 - Nу - Nит =3+1-2-1=1
Сумма уравнений по первому и второму
законам должна равняться количеству неизвестных токов.
N1зк +N2зк =1+1=2
Сумма уравнений равна сумме
неизвестных токов, переходим к составлению уравнений.
Составим уравнения по первому закону
Кирхгофа:
1 I1-I2-J0=0
По второму закону Кирхгофа:
I I6*R1+I1*R2+I1*R3=E1 - E3
Составим уравнения для падения
напряжения на ёмкости:
Uc1=-E1-I6*R1c2=-E2+I1*R2-I6*R1
Составим уравнение баланса мощности:
I6*J0*R1-I1*E3+I1*E1=I12*(R2+R3)+I62*R1
4.
Расчёт токов и напряжений на пассивных элементах при воздействии постоянных
источников токов и напряжений. Проверка правильности расчета уравнением баланса
мощности
Исходя из полученных уравнений в
пункте 2.3, составим систему уравнений для нахождения токов.
Решим данную систему уравнений и
получим значения токов I1 и I6:
I1=-2,286 А
I6=-3,286 А
Полученные значения получились
отрицательными, это означает, что выбранное условное направление токов не совпадает
с действительным.
Найдём падение напряжений на
ёмкостях Uc1 и Uc2, так же исходя из полученных формул в пункте 2.3. Для этого был
применен второй закон Кирхгофа к первому и второму контуру:
Uc1=5,714 В
Uc2=-8,857+18j В
Проверим правильность расчёта уравнением
баланса мощности:
- I6*J0*R1-I1*E3+I1*E1=23,85712*(R2+R3)+I62*R1=23,857
23,857=23,857 верно, баланс
мощностей выполняется.
4.
Вычисление значения входного сопротивления цепи относительно зажимов источника
сигнала E1
Вычисление значения
входного сопротивления цепи относительно зажимов источника сигнала E1 при
Определять входное сопротивление
будем относительно полюсов подключения источника напряжения,
заданного значением n (n=1). Значения всех остальных
источников будем полагать равными нулю.
При действии источника
сигнала с частотой
схема
для нахождения входного сопротивления относительно зажимов источника сигнала E1
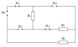
имеет вид, приведённый на рисунке:
Схема цепи для
нахождения входного сопротивления при
Так как цепь на ZL1 претерпевает разрыв, то сопротивление цепи бесконечно большое:
вх= ∞
Вычисление значения
входного сопротивления цепи относительно зажимов источника сигнала E1 на постоянном токе
При действии источников постоянных
сигналов схема для нахождения входного сопротивления относительно зажимов
источника сигнала E1 имеет вид, приведённый на рисунке:
Схема для нахождения входного
сопротивления относительно зажимов источника сигнала E1
Из рисунка видно, что сопротивления R1, R2, R3 стоят последовательно. Из
вышесказанного следует, что:
вх=R1+R2+R3=1+1,5+1=3,5 Ом
5.
Расчёт комплексного значения токов всех ветвей в установившемся режиме
Метод контурных
токов (МКТ)
Пересчитаем источники тока в
источники напряжения: Ė0=İ0*R1=1 В.
Выберем в контурах направления
контурных токов (рисунок 4.1):
Для расчета цепи этим методом
необходимо перейти к комплексным значениям источников токов и напряжений:
Схема цепи для решения по методу
контурных токов
Перейдём к комплексным значениям
сопротивлений и комплексным источникам напряжений, используя формулы для
ёмкости
, для индуктивности ZL=j
C и для сопротивления ZR=R.
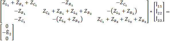
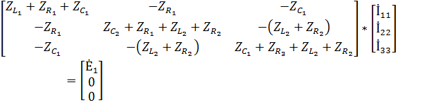
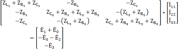
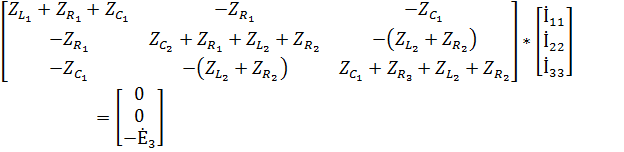
Составим систему уравнений в
матричной форме:
Решив данную систему, получим
значения контурных токов:
=-3,389+37,147j A
=-21,098+22,504j A
=-5,643+13,71j
A
Исходя из рисунка 4.1, составим
уравнения для нахождения токов ветвей и найдём эти токи:
İ1=
=
-3,389+37,147j A
İ2=
= -21,098+22,504j A
İ3=
=-5,643+13,71j
A
İ5=
-
=-15,455+5,794j A
İ6=İ4-İ5-j0=16,71+14,643j A
Перейдём к токам в гармонической
форме записи:
Для проверки правильности расчёта
токов, проведём проверку баланса мощности, предварительно составив уравнение
баланса мощности:
Ė1*Ỉ1-Ė2*Ỉ2-Ė3*Ỉ3-Ĵ0*İ6*R1 = |İ1|2*ZL1+|İ2|2*ZC2+|İ3|2*ZR3+|İ4|2*ZL1+|İ5|2*(ZL2+ZR2)+|İ6|2*ZR1
Ė1*Ỉ1-Ė2*Ỉ2-Ė3*Ỉ3-Ĵ0*İ6*R1=1213-323,944j
|İ1|2*ZL1+|İ2|2*ZC2+|İ3|2*ZR3+|İ4|2*ZL1+|İ5|2*(ZL2+ZR2)+|İ6|2*ZR1=1213-323,944j
1213-323,944j =1213-323,944j верно, баланс мощностей
выполняется, следовательно, токи подсчитаны правильно.
Метод узловых
потенциалов (МУП)
Пересчитаем источники напряжения в
источники тока и сопротивления в проводимости:
Ĵ1=Ė1/ZL1= 9 A
Ĵ 2= Ė2/ZC2=
11,988+5,994j A
Ĵ 3= Ė3/R3= -18j
A=1/ZL1= - j См=1/ZL2= -2j См=1/ZC1= j См=1/ZC2= 0,666j См=1/R1= 1 См2=1/R2= 0,667 См
GR3=1/R3= 1 См
Проведем дальнейшие преобразования
цепи. Необходимо заменить последовательное соединение источников напряжения и
сопротивлений на параллельное соединение источников токов и этих сопротивлений.
Произведённый пересчёт отображён на схеме замещения изображённой на рисунке.
Схема замещения для МУП
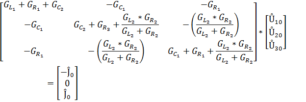
Составим систему уравнений в матричной
форме:
Решив данную систему, получим
узловые напряжения:
Ů10= 37,147j В
Ů20= -5,643-1,29j В
Ů30= 20,437-2,254j В
Исходя из рисунка 4.2, составим
уравнения для нахождения токов ветвей и найдём эти токи:
İ0= - Ů10*GL1= -12,389+37,147j
İ1=J1+ İ0 =-3,389+37,147j A
İ2= İ1 - İ6-J0=-21,098+22,504j A
İ3= İ1 - İ4 =-5,643+16,71j А
İ4= Ů30*GС1=2,254+20,437j А
İ5= (Ů20-Ů30)*
= -15,455+5,794j А
İ6=(Ů10-Ů30)*GR1=16,71+14,643j А
Все токи совладают с токами,
полученными с помощью МКТ.
Метод наложения
(МН)
Найдём İ2 методом наложения,
рассчитав схему, изображённую на рисунке.
Схема для решения МН.
Первый ток будет равен сумме четырёх
частичных токов:
İ6= İ`(Ė1)+ İ``(Ė2)+ İ```(Ė3)+ İ````(Ĵ0)
Найдём İ`(Ė1) преобразуя схему, изображённую на рисунке 4.3, заменив все
источники напряжения, кроме Ė1, на закрытый ключ, а источники тока на открытый ключ. После
преобразований схема примет вид (рисунок).
Схема для нахождения первого
частичного тока
Из схемы, изображённой на рисунке
4.4, видно, что первый частичный ток равен первому контурному току, но с
противоположным знаком:
İ`(Ė1)=İ22
Составим систему уравнений в
матричной форме:
Решив данную систему, получим
значение первого контурного тока:
İ22= -1,644+8,173j
Первый частичный ток будет равен:
İ`(Ė1)= -1,644+8,173j
Найдём İ``(Ė2) преобразуя схему, изображённую на рисунке 4.3, заменив все источники
напряжения, кроме Ė2, на закрытый ключ, а источники тока на открытый ключ. После
преобразований схема примет вид (рисунок).
Схема для нахождения второго
частичного тока
Из схемы, изображённой на рисунке,
видно, что второй частичный ток равен первому контурному току, но с
противоположным знаком:
İ``(Ė2)=İ22
Составим систему уравнений в
матричной форме:

Решив данную систему, получим
значение первого контурного тока:
İ22= -16,359+8,157j
Второй частичный ток будет равен:
İ``(Ė2)=İ22= -16,359+8,157j
Найдём İ```(Ė3) преобразуя схему,
изображённую на рисунке 4.3, заменив все источники напряжения, кроме Ė3, на закрытый ключ, а источники тока на открытый ключ. После
преобразований схема примет вид (рисунок).
Схема для нахождения третьего
частичного тока
Из схемы, изображённой на рисунке
4.6, видно, что третий частичный ток равен первому контурному току, но с
противоположным знаком:
Составим систему уравнений в
матричной форме:
Решив данную систему, получим
значение первого контурного тока:
İ22= -3,277+6,537j
Третий частичный ток будет равен:
İ``(Ė3)= -3,277+6,537j
Найдём İ````(Ĵ0) преобразуя
схему, изображённую на рисунке 4.3, заменив все источники напряжения на
закрытый ключ, а сопротивления в проводимости. После преобразований схема
примет вид (рисунок 4.7).
Рисунок 4.6 - Схема для нахождения
четвёртого частичного тока
Из схемы, изображённой на рисунке
4.6, видно, что четвёртый частичный ток равен произведению разности первого и
второго узлового напряжения на проводимость GC2:
İ````(Ĵ0)= (Ů10 - Ů20)*GС2
Составим систему уравнений в
матричной форме:
Решив данную систему, получим
необходимое для дальнейших расчётов узловое напряжение:
Ů10=-0,454-0,728j В
Ů20=0,091-0,454j В
Найдём значение четвертого
частичного тока:
İ````(Ĵ0)= (Ů10 - Ů20)*GС2=0,182-0,363j
Для нахождения полного тока в первой
ветви необходимо сложить все частичные токи:
İ2=İ`(Ė1)+İ``(Ė2)+İ```(Ė3)+İ````(Ĵ0)=
-21,098+22,504
Найденный ток совпадает с током,
найденным МУП и МКТ.
Заключение
В ходе работы была составлены
математические модели цепи по методу токов ветвей для мгновенных, комплексных,
постоянных значений источников токов и напряжений.
При действии постоянных источников напряжения
и тока были вычислены все токи и напряжения на пассивных элементах:
I1=-2,286 А
I6=-3,286 А
Uc1=5,714 В
Uc2=-8,857+18j В
Было вычислено входное сопротивление
на постоянном токе
и на
бесконечно высоких частотах
относительно
полюсов подключения источника напряжения, заданное значением n. При этом полагалось, что значения
всех остальных источников равны нулю.
Методом контурных токов и методом
узловых потенциалов были рассчитаны комплексные значения токов всех ветвей:
İ1 =-3,389+37,147j A
İ2
=-21,098+22,504j A
İ3=-5,643+16,71j А
İ4= 2,254+20,437j А
İ5= -15,455+5,794j А
İ6= 16,71+14,643j А
Гармоническая запись токов:
Правильность расчета была проверена
уравнением баланса мощностей.
Методом наложения было определено
комплексное значение тока в заданной ветви:
İ2= -21,098+22,504j A
Список
используемой литературы
1. Атабеков Г.И. Основы
теорий цепей. - СПб., Лань 2009 - 432 с. [Электронный ресурс]. - Режим доступа:
http://www.twirpx.com/file/592077/ (дата обращения: 25.09.14)
2. Попов В.П.
Основы теории цепей. - М.:Высшая. школа, 2000
. Теория
электрических цепей: Учебное пособие к практическим занятиям / Мельникова И.В.,
Дубовик К.Ю., 156 стр., [Электронный ресурс] - Режим доступа:
http://edu.tusur.ru/training/publications/1432-2012 (дата обращения 25.09.14)
. Зернов Н.В.,
Карпов В.Г. Теория радиотехнических цепей. - М.:Энергия 1965 - 862 стр.
[Электронный ресурс] - Режим доступа: http://www.twirpx.com/file/726891/ (дата
обращения 1.10.14)