Методика вивчення основ перетворення постійного електричного струму на уроках фізики та факультативних заняттях
Міністерство
освіти і науки України
Житомирський
державний університет імені Івана Франка
Кафедра
методики навчання математики інформатики та фізики
Напрям
підготовки - фізика
Спеціальність
фізика-математика
КУРСОВА
РОБОТА
З
методики навчання фізики
на
тему:
Методика
вивчення основ перетворення постійного електричного струму на уроках фізики та
факультативних заняттях
Студентки
Дідківської К.І.
V
курсу 53 групи
Керівник:
старший викладач
Федьович
М.В.
м.
Житомир-2014
Зміст
Вступ
Розділ
1. Перетворення постійного електричного стуму
Розділ
2. Перетворювачі постійної напруги
2.1 Класифікація
перетворювачів постійної напруги
2.2
Безпосередні ППН
2.2.1 Понижуючі
ППН
.2.2 Підсилюючі
ППН
2.2.3
Інвертуючий ППН
2.3
Класифікація перетворювачів постійної напруги
2.3.1
Регулюючі, зовнішні та енергетичні характеристики нереверсивних понижуючих ППН
.3.2
Рекуперуючі неперервні ППН
.4
Реверсивні ППН
.4.1
Схема та способи управління реверсивними ППН
.4.2
Робота реверсивного ППН на активно-індуктивне навантаження при симетричному
управлінні
.4.3
Робота регресивного ППН на активно-індуктивне навантаження при несиметричному
управлінні
.4.4
Робота регресивного ППН та ПЕДС при симетричному управлінні
Розділ
3. Технологія виготовлення і застосування ППН
.1
Технологія виготовлення друкованих плат
Висновок
Список
використаних джерел
Вступ
Предметом даної роботи є
перевірка
основних законів перетворення постійного електричного струму, та виготовлення DC-DC
перетворювача, та методика їх вивчення на уроках
фізики.
Під час виконання даної роботи,
будуть досліджуватись та перевірятись основні закони перетворення струмів, на
прикладі окремої установки яка виготовлена на основі мікросхеми МАХ1621.
Актуальність роботи:
дана робота є актуальною в тому плані, що для виготовлення пристрою не
потребується особливих матеріальних та фізичних затрат, а лише елементарні
знання законів перетворення електричних струмів. Даний матеріал можна
застосувати на уроках та факультативних заняттях з фізики для учнів 9-11
класів.
Мета роботи:
розробити установку, яка б працювала як зарядний пристрій для мобільних
телефонів та пристроїв які не потребують великих струмів для заряду
акумуляторів, перевірка основних законів перетворення постійного електричного
струму.
Завдання роботи:
- опрацювати літературу та
систематизувати знання з вибраних питань курсу;
- знайти розв'язок конкретних
початкових задач;
провести їх перевірку.
Предмет роботи: DC-DC
перетворювач
на базі мікросхеми МАХ 1674.
Об'єкт роботи:
перетворення постійного електричного струму за допомогою DC-DC
перетворювача, який виготовлений на базі мікросхеми МАХ 1674.
Розділ 1. Перетворення постійного
електричного струму
Електричний струм - фізичне явище
спрямованого руху електричних зарядів. Електричний струм виробляється джерелом
електричної енергії (генератором, акумулятором, термопарою).
За своєю природою електричний струм
буває:
струмом провідності (спрямований рух
вільних носіїв електричного заряду в речовині або вакуумі, наприклад рух
електронів у металах);
струмом поляризації (спрямований рух
пов’язаних заряджених часток (диполів) у діелектрику за зміни його
поляризації);
струмом переносу (спрямований рух
заряджених тіл, наприклад рух іонів в електролітах і газах).
Постійний електричний струм -
електричний струм, що не змінюється в часі за напрямком. Напрямком постійного
електричного струму вважається напрямок руху позитивних зарядів (напрямок, що є
зворотним напрямку руху електронів).
Необхідно відзначити деяку
некоректність терміну постійний струм: насправді для постійного струму
незмінним є перш за все значення напруги (вимірюється у вольтах), а не значення
струму (вимірюється в Амперах), хоча значення струму також може бути незмінним.
Тому термін постійний струм слід розуміти як постійну напругу. Далі
використовуватимемо термін саме в цьому значенні.
Використання терміну постійний струм
(так само, як і змінний струм) підкреслює «силовий» характер даного сигналу,
тобто це електричний сигнал, що передає потужність, призначений для живлення
електричних пристроїв. У інших значеннях використовують точніші терміни:
напруга, сигнал тощо.
Нерідко цим терміном називають також
електричний струм, який з часом може і змінюється за величиною, але не
змінюється за напрямом (наприклад, пульсуючий електричний струм). Останнє
обумовлюється можливістю розкладу одержуваного сигналу в ряд Фур'є, у якого
постійна складова буде не нульова.
Постійний струм широко
використовується в техніці: живлення переважної більшості електронних схем
виконується постійним струмом. Змінний струм використовується переважно для
зручнішої передачі від генератора до споживача. Перетворення постійного струму
в змінний забезпечують інвертори.
Простим джерелом постійного струму є
хімічне джерело (гальванічний елемент або акумулятор), оскільки полярність
такого джерела не може мимовільно змінитися. Для отримання постійного струму
використовують також електричні машини - генератори постійного струму. У
електронній апаратурі, що живиться від мережі змінного струму, для отримання
пульсуючого струму використовують випрямляч. Далі для зменшення пульсацій може
бути використаний згладжуючий фільтр і, при необхідності, стабілізатор напруги.
Для появи й існування електричного
струму треба, щоб виконувалися дві умови:
Перша - наявність у даному
середовищі вільних електричних зарядів - носіїв струму. Такими зарядами в
металах є електрони провідності; у рідинах (електролітах) - позитивні та
негативні іони; у газах - позитивні іони й електрони; в напівпровідниках -
електрони і дірки;
Друга - на електричні заряди
необхідно, щоб діяла сила. Отже, в даному середовищі повинно існувати
електричне поле, енергія якого витрачалась би на переміщення електричних
зарядів.
Щоб струм був тривалим, енергія
електричного поля повинна весь час поповнюватись, тобто потрібен такий
пристрій, в якому би певний вид енергії безперервно перетворювався в енергію
електричного поля. Такий пристрій називається джерелом електрорушійної сили,
або джерелом струму.
За напрямок електричного струму
умовно приймають напрямок руху позитивних електричних зарядів.
Кількісною мірою електричного струму
служить сила (величина) струму - скалярна фізична величина, яка чисельно
дорівнює електричному заряду, що проходить через поперечний переріз провідника
за одиницю часу:
Якщо сила струму і його напрямок з
часом не змінюються, то струм називається постійним. Тоді
,
Звідси
Щоб струм був постійний, треба, щоб
в кожній частині провідника заряди не нагромаджувались і не зникали. Тому коло
постійного струму повинно бути замкненим.
Для характеристики розподілу
електричного струму по перерізу провідника вводять вектор густини струму.
Розділ 2. Перетворювачі постійної
напруги
.1 Класифікація перетворювачів
постійної напруги
Перетворювачі постійної напруги
(ППН) призначені для перетворення постійної напруги одного рівня в постійну
напругу другого рівня з високим ККД. Іноді їх називають конверторами. Вони
слугують для живлення навантаження постійною напругою Uн,
відмінною за величиною від напруги джерела живленняUd.
За будовою ППН діляться на:
) на двофазні ППН, які складаються
з автономного інвентора (АІ), перетворюючого постійну напругу в змінну, та
випрямляча. Трансформатор, який стоїть між випрямлячем та АІ, дозволяє отримати
на виході напругу як меншу, так і більшу ніж вхідна.
2) на безпосередні ППН,
вироблені на основі перебивачів [6,
21, 35, 47, 58, 62].
Двофазні ППН найчастіше
застосовуються в джерелах живлення систем управління та автоматики та будуть
розглянуті пізніше.
2.2 Безпосередні ППН
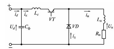
.2.1 Понижуючі ППН
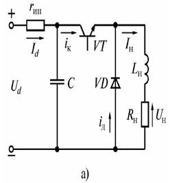
На мал.1.1а показано схему
понижуючого ППН, який понижує напругу, а на мал.1.1б - діаграми напруг при
навантаженні uн та на колекторі
u
к і струмів: споживаного від
джерела живлення id,
колектора iк,
діода ід та навантаження iн.
Побудови виконані при припущенні, що транзистор та діод ідеальні, ємність
конденсатора Cф = ∞а струм
в ланцюзі навантаження неперервний. Діод VD
слугує для пропускання струму, що проходить при виключенні транзистора VT
за рахунок енергії, запасеної в індуктивності навантаження. Конденсатор Сф
зменшує втрати в джерелі струму, роблячи поглинання енергії від нього більш
постійним. Якщо транзистор VT
вмикається в момент t1,
напруга джерела живлення прикладається до навантаження (до навантаження
прикладається імпульс напруги), а коли він виключається в момент t2,
струм навантаження протікає за рахунок енергії, запасеної в індуктивності Lн,
та замикається через діод VD.
В момент t3 процеси
повторюються.
Для регулювання напруги на виході
ППН змінюють тривалість включеного стану транзистора. Регулювання напруги, при
якій частота подачі імпульсів на загрузку постійна, але змінюється їх
тривалість, називається широтно-імпульсною модуляцією (ШІМ). ППН, в яких
застосовується такий спосіб регулювання, називають широтно-імпульсними
перетворювачами (ШІП).
Мал. 1.1а Схема понижуючого ППН
Мал. 1.1б Схема діаграми напруг і
струмів, що описують роботу ППН
Таким чином, при ШІМ частота і
період руху імпульсів постійні. Можливі і інші способи регулювання, при яких
регулювання середнього значення напруги на виході відбувається зміною частоти
руху імпульсів постійної тривалості (частотно-імпульсна модуляція) або
одночасною зміною частоти та тривалості імпульсів (частотно-імпульсна модуляція).
Найбільш частіше застосовується ШІМ. Тому далі ми розглядаємо тільки ШІМ.
Всі співвідношення нижче
розглядаються для неперервного струму в навантаженні, коли за час проходження
струму через діод він не спадає до нуля (див. мал. 1.1б). Ширина баласті змінних
струмів зазвичай дуже мала, і навіть струм холостого ходу двигуна зазвичай не
попадають в цю область, тому при проектуванні
електроприводу вона, як правило, не враховується. [43]
Чим більше транзистор знаходиться
ввімкнутому стані, тим більше середнє значення напруги на навантаженні Uн
Uн
=
Ud,
(1.1)
де відносна тривалість ввімкнутого
стану транзистора.
Так як не може бути більшою ніж 1,
то цей ППН називається понижуючим.
В понижуючому ППН відповідає
відносній тривалості імпульсів напруги, що прикладаються до навантаження,тобто
(1.2)
де tі
- тривалість імпульсів напруги, що прикладаються до навантаження або тривалість
включеного стану транзистора;
Т - період руху імпульсів.
Регулююча характеристика ППН - це
залежність напруги на навантаженні від відносної тривалості ввімкненого стану
транзисторів або в понижуючому ППН від відносної тривалості імпульсів напруги,
що прикладаються до навантаження. Відповідно, рівняння (1.1) є рівнянням
регулюючої характеристики понижуючого ППН. Тоді рівняння регулюючої
характеристики понижуючого ППН в відносних одиницях (при умові що базова
напруга Ud)
(1.3)
Якщо вентилі ідеальні то ККД ППН
рівний одиниці. При цьому потужність поглинена від джерела живлення, рівна
потужності, виділеній в навантаженні
(1.4)
де
-
струм, що поглинається від джерела живлення,
- струм
навантаження.
З рівнянь (1.3) та (1.4) можна
виразити струм навантаження
(1.5)
У відповідності з формулою (1.3)
діапазон регулювання вихідної напруги понижуючого ППН теоретично починається з
нуля (при tі=0,
=0)
і досягає
(при tі=Т,
=1),
тобто ця схема понижує напругу і, у відповідності з формулою (1.5), збільшує
струм. Схема працює як «трансформатор постійного струму». Введемо поняття
коефіцієнту перетворення напруги Кі
(1.6)
Тоді рівняння регулюючої характеристики
Кі=
(1.7)
На мал. 1.2 показані регулюючі
характеристики різних ППН в залежності від відносної тривалості включеного
стану транзисторів.
Мал. 1.2 регулюючі характеристики
понижуючого, підсилюючого та інвертуючого ППН
Зовнішня характеристика ППН - це
залежність середнього значення напруги при навантаженні від струму навантаження
при постійній відносній тривалості включеного стану транзисторів. Зовнішня
характеристика понижуючих ППН доволі жорстка. Вони мають достатньо великий ККД.
Детальніше ці питання будуть розглянуті нижче.
2.2.2 Підсилюючий ППН
На мал. 1.3а показано схему
безпосереднього ППН, який підвищує напругу, а на мал. 1.3б - діаграми напруг
при навантаженні uн
і на колекторі uк
та струмів: поглинаючого від джерела id,
колектора iк, діода iд
і навантаження iн.
Розглянемо роботу схеми. В момент
часу t1
вмикається транзистор VT,
струм наростає через дросель L.
В момент t2
вимикається транзистор і за рахунок енергії, збереженої в індуктивності, під
дією суми напруги джерела живлення Ud
та ЕДС самоіндукції через вентиль VD
заряджається конденсатор Cн,
а струм, використовуваний від джерела живлення, спадає.
В момент t3
процеси повторюються. В цій схемі, на відміну від попередньої, можна підняти
тільки напругу.
Таким чином, на протязі часу tі
струм іd
проходить через транзистор, і запасається енергія в індуктивності. Потім, на
протязі інтервалу часу T - tі
струм іd
проходить через діод на зарядку конденсатора та
на навантаження. Постійна складова струму іd
не проходить через конденсатор, тому середнє
значення струму, що проходить через навантаження,
(1.8)
Або Ін=Іd(1-
)
(1.9)
Тут
-
відносний час ввімкнутого стану транзистора
Мал. 1.3 Схема підcилюючого
ППН (а) та діаграми напруг і струмів,що ілюструють його роботу (б)
З урахуванням вірності рівняння
потужностей на вході та виході (див. 1.4)
(1.10)
Тоді рівняння
регулюючої характеристики у відносних одиницях
(1.11)
З формули (1.11) випливає можливість
безкінечного збільшення напруги при навантаженні. Однак, через ріст втрат в
дроселі (він не може бути виконаний без втрат) при збільшенні
отримати
дуже велику напругу неможливо. Цілеспрямоване збільшення напруги максимум в 3…4
рази. Регулююча характеристика показана на мал. 1.2.
Зовнішня характеристика цього ППН
дуже м’ягка.
Необхідно відмітити, що в цій схемі
гірший ККД. Він різко спадає з ростом коефіцієнта перетворення напруги
.
2.2.3 Інвертуюючий ППН
На мал. 1.4а показано схему
безпосереднього ППН, інвертую чого напругу (тобто змінюю чого не тільки
величину, а й знак напруги на виході), на мал. 1.4б - діаграми напруг на
навантаженні uн
та на колекторі uк
та струмів: поглинаючого від джерела живлення id,
колектора iк, діода iд
та навантаження iн.
Розглянемо роботу схеми. В момент
часу t1
вмикається транзистор VT,
струм через індуктивність L
зростає. В момент t2
вимикається транзистор, і за рахунок енергії збереженої в індуктивності, струм
проходить по колу L, C, VD.
Як наслідок, на ділянці t2-t3
відбувається заряд ємності С, і струм спадає. В момент t3
процеси
повторюються. На ділянці t3-t4
одночасно з запасом енергії в дроселі відбувається заряд конденсатора на опорі
навантаження. Рівняння регулюючої характеристики в відносних одиницях
(1.12)
Тут
відносний
час ввімкненого стану транзистора.
З формули (1.12) випливає можливість
нескінченного збільшення напруги на навантаженні. Однак, через ріст втрат в
реакторі (він не є ідеальною індуктивністю) при збільшенні
отримати
більшу напругу неможливо. Цілеспрямоване збільшення напруги максимум в 2 - 3
рази. Регулююча характеристика показана на мал. 1.2
Ця схема має м’яку зовнішню
характеристику. Необхідно відмітити, в цій схемі низький ККД. Він різко падає з
ростом коефіцієнту перетворення напруги
інвертуючого
ППН.
Мал. 1.4б Діаграми напруг та
струмів, що описують роботу ППН
2.3. Неперервні понижуючі ППН
Розглянемо спочатку неперервний
режим, при якому струм навантаження не спадає до нуля. Такий режим
забезпечується у всьому діапазоні струмів, якщо Lн=∞.
Регулююча характеристика понижуючого
ППН, побудована на мал. 1.5 а. Так для побудови транзистора необхідно деякий
час, то при поступовій зміні неможливо отримати крайні значення та Тому
діапазон поступової зміни зазвичай не перевищує 0,05…0,95. Непрацюючі ділянки
характеристики по краям діапазону регулювання (див. мал. 1.5 а) показано
пунктиром.
Мал. 1.5 Регулюючі характеристики
понижуючого ППН (а), його системи управління (в) та перетворення разом з
системою управління (г), а також діаграми напруг, що описують роботу модулятора
(б)
Система управляння ППН повинна
забезпечувати ввімкнення транзисторів з заданим значенням в залежності від
напруги управління Uупр.
Для цього в системі управління має бути
модулятор. На мал. 1.5б показано, як реалізується процес модуляції. Від
генератора опорної пилкоподібної напруги подається пилоподібно напруга з
частотою, що називається несучою. Опорна напруга uоп
урівнюється на вході компаратора з напругою
управління Uупр. На
виході компаратора з’являється імпульс необхідної тривалості який після
підсилення подається на входи силових транзисторів. Напруга управління
називається моделюючою, і вона може змінюватися за довільним законом. При цьому
пропорційно йому буде змінюватись.
Для модуляції можуть бути
використані і інші форми пилкоподібних напруг, але дана форма опорної напруги
найбільш часто використовується в ППН. При цьому транзистори вимикаються
переднім фронтом пилкоподібної напруги, тому така модуляція називається
модуляцією переднім фронтом.
Якщо при модуляції напруга при
навантаженні одно полярна (див. мал. 1.5б), то така модуляція називається одно
полярною. Існує і двополярна модуляція, але вона буде розглядатись пізніше.
Регулююча характеристика системи
управління (РХСУ) з урахуванням мал. 1.5 б виражається рівнянням
(1.13)
Регулююча характеристика системи
управління наведена на мал. 1.5 в.
Регулююча характеристика
перетворювача разом з системою управління (РХПРСУ) з урахуванням рівнянь (1.3)
та (1.13) виражається рівнянням (1.14) і наведено приклад на мал. 1.5 г:
(1.14)
Вона також лінійна при невеликим
струмі навантаження.
На мал. 1.6 наведено принципіальну
схему силових ланцюгів понижуючого ППН. Конденсатор Сф
на вході є обов’язковим елементом перетворювачів, в яких застосовуються ключі з
повним управлінням (по ланцюгу управління примусово вимикаються ключі). Він має
двояке призначення.
Мал. 1.6 Принципова схема силових
ланцюгів понижуючого ППН з урахуванням індуктивності з’єднувальних провідників
По-перше, він забезпечує постійне
споживання енергії від джерела живлення навіть при замкненому стані ключа. Якби
не було Сф, то струм вживаний від джерела живлення, відповідав би струму
колектора iк (див
мал. 1.1). Якби Сф =∞
то струм іd, вживаний від джерела живлення,
стає постійним (див мал. 1.1б). Це зменшує втрати в джерелі живлення, так як
вони задаються діючим, а не середнім значенням струму. При усуненні пульсацій
діюче значення постійного струму рівне середньому.
По-друге, між джерелом живлення,
транзистором та діодом існують з’єднувальні проводи, що мають власну
індуктивність Lc. Вона показана на
мал. 1.6 при виключення транзистора від перенапруження на індуктивності
навантаження Lн
захищає діод, а від перенавантажень на індуктивності з’єднувальних проводів
ніщо не захищає. Ці перенавантаження можуть бути доволі великі. Наприклад, якщо
довжина з’єднувального проводу рівна 1м, то його індуктивність приблизно 1мкГн.
Якщо при цьому за 1 мкс вимикається струм, рівний 100 А, то перенавантаження
становитиме 100 В (
), навіть якщо
напруга живлення рівна 10 В. таким чином, конденсатор Сф
захищає напівпровідникові елементи і має бути ввімкнений якомога ближче до них,
щоб зменшити величину
.
На мал. 1.7 а наведено часові
діаграми напруг та струмів з урахуванням не ідеальності вентилів при припущенні
Cф
= ∞, Lн = ∞. На ділянці
провідності транзистора напруга на навантаженні менша ніж ідеальна на величину
падіння напруги на транзисторі
Uк,
а на ділянці провідності діода вона негативна і рівна падінню напруги на діоді
Uа.
Для спрощення приймемо, що
. (1.15)
Тоді з урахуванням того, що
(1.16)
І на ділянці провідності транзистора
,
рівняння зовнішньої характеристики
(1.17)
Тут
-
напруга навантаження на холостому ході, визначається за формулою (1.1).
На мал. 1.7 б наведено приклад
еквівалентної схеми ППН, що відповідає рівнянню (1.17).
Не мал. 1.7 в наведено показано
зовнішні характеристики понижуючого ППН, побудовані у відносних одиницях. За
базові величини прийнято напруга Ud
та струм короткого замикання
.
При роботі на активно-індуктиве
навантаження з ПЕДС всі отримані раніше співвідношення та характеристики
залишаються справедливими, якщо зберігається неперервний режим. В перериваному
режимі співвідношення і характеристики змінюються. Ділянки зовнішніх та
регулюючих характеристик, що відповідають перериваному режиму при роботі на
ПЕДС, на мал. 1.5 а і на мал. 1.7 в показано штрихованими лініями. Граничний
струм може бути визначений за наближеною формулою
(1.18)
Мал. 1.7 Тимчасові діаграми в
понижуючому ППН при неідеальних ключах (а), еквівалентна схема ППН (б) та його
зовнішні характеристики (в)
Основним енергетичним показником ППН
є ККД η. З урахуванням
рівнянь (1.17) та (1.5)
(1.19)
Залежності ККД ППН від
та
струму
показано
на мал. 1.8 схема має достатньо великий ККД при великих значеннях
.
При малих значеннях
ККД істотно падає.
При розрахунку ККД не враховано
комутативні втрати. При їх врахуванні загальні втрати в правильно спроектованих
перетворювачах збільшуються не більше ніж на 15…30%.
Мал. 1.8 Залежності ККД ППН від а)
та струму
(б)
З точки зору зменшення пульсацій
напруги та струму на виході ППН, а, отже, і втрат в двигуні, доцільно підвищення
несучої частоти. Однак при цьому ростуть комутативні втрати в транзисторах.
Тому несуча частота вибирається з компромісних міркувань.

Мал. 1.9 Схема заміщення (а)та
еквівалентна схема ППН (б), а також його зовнішні характеристики (в)з
урахуванням внутрішнього опору джерела живлення
На характеристики ППН впливає
внутрішній опір джерела живлення. На мал. 1.9 а - б наведено схема заміщення та
еквівалентна схема ППН з урахуванням внутрішнього опору джерела живлення
аналізуватимемо при припущенні Cф=
∞, Lн=∞.
Врахуємо рівняння втрат у
внутрішньому опорі джерела живлення для схеми заміщення та еквівалентної схеми
ППН
, (1.20)
де
-
внутрішній опір джерела живлення, приведений до сторони навантаження. Звідси з
урахуванням (1.5)
2 d
іп=rіп2
(1.21)
рівняння зовнішньої характеристики
ППН з урахуванням внутрішнього опору джерела живлення
(1.22)
Еквівалентна схема (див мал. 1.9 б)
відповідає цьому рівнянню.
Зовнішні характеристики понижуючого
ППН навіть при урахуванні внутрішнього опору джерела живлення залишаються
жорсткими (див мал. 1.9 в). Їх нахил визначається внутрішнім опором джерела
живлення, опором ввімкнутого транзисторного ключа та відносною тривалістю
ввімкненого стану транзистора.
ППН може виконуватись на за миючих
на звичайних не замикаючих транзисторах. Схема ППН на звичайних транзисторах та
відповідні їй тимчасові діаграми наведені на мал. 1.10. В схемі застосовано
пристрій для штучної комутативності транзисторів, виконаний на основі
резонансного інвентора.
Мал. 1.10 Схема ППН на тиристорах
(а) та діаграми напруг та струмів,що ілюструють його роботу (б)
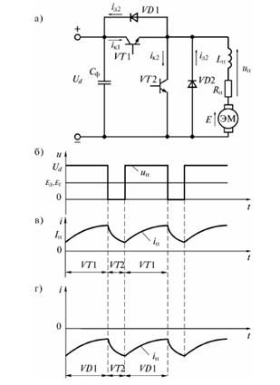
2.3.2 Рекуперуючі неперервні ППН
Понижуючі одно ключові ППН знайшли
соє застосування в електроприводі постійного струму, але вони не забезпечують
при гальмуванні рекуперацію (повернення енергії в джерело живлення). Ця
проблема вирішується в двоключовому ППН (мал. 1.11), що являє собою комбінацію
понижуючого та підсилюючого ППН.
В руховому режимі схема працює, як
звичайний понижуючий ППН, тобто, по черзі проводять транзистор VT1
та діод VD2.
Процеси ілюструють діаграми мал. 1.11 б - в. В гальмуючому режимі електромашина
переходить в режим генератора, але її ЕРС
не може миттєво змінитись. ЕРС генератора нижче ніж напруга джерела живлення,
тому діод VD1 закритий і струм
від генератора не може проходити в джерело живлення. При ввімкненні транзистора
VT2
генератор замикається на індуктивність Lн
і струм в ланцюгу збільшується. При вимкненні VT2
ЕРСсамоіндукції діє згідно з ЕРС генератора, діод VD1
відкривається, енергія передається в джерело живлення. Ці процеси ілюструють
діаграми мал. 1.11 б, г.
При гальмуванні рекуперуючий
перетворювач працює як підсилюючий ППН.
Мал. 1.11 Двоключовий реперуючий ППН
(а), а також діаграми напруг та струмів, що ілюструють його роботу на якір
двигуна в руховому та гальмівному режимах (б)
2.4 Реверсивні ППН
.4.1Схема та способи управління
реверсивними ППН
В електроприладах використовують
реверсивні ППН, що дозволяють змінювати не тільки величину, а й знак напруги на
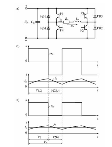
навантаженні. На мал. 1.12 а показано схему реверсивного ППН, що отримала
найбільше розповсюдження. Пари транзисторів V1, V2 та
V3, V4 утворюють діагоналі мосту, а пари транзисторів V1,
V4 та V2, V3
утворюють стійки мосту. При попарному включенні транзисторів V1,
V2 або V3, V4
знаки напруги на навантаженні протилежні.
Існують симетричні та несиметричні
способи управління ключами
Якщо транзистори діагоналі моста
вмикаються та вимикаються одночасно, то такий спосіб управління називається
симетричним. При цьому напруга на навантаженні завжди двополярна, а проводять
або два транзистори, або два діоди. Таким чином, при симетричному управлінні
відбувається двополярна модуляція.
Мал. 1.12 Реверсивний ППН (а),
діаграми напруг та струмів, що ілюструють його роботу при активно-індуктивному
навантаженні при симетричному (б) та несиметричному (в) управлінні
Якщо вимкнення транзисторів
відбувається неодночасно, то таке управління називається несиметричним. При
цьому напруга на навантаженні завжди одно полярна. Таким чином, при
несиметричному управлінні відбувається одно полярна модуляція.
Несиметричне управління буває
звичайним та почерговим.
Існує почергове управління з
характеристиками, аналогічними до звичайного несиметричного управління. При
почерговому управління комутація транзисторів в парному та не парному періоді
відбувається в різних стойках.
перетворювач постійний
реверсивний зарядний
2.4.2 Робота реверсивного ППН на
активно-індуктивне навантаження при симетричному управлінні
Аналіз проведемо при наступних
припущеннях: всі вентилі та джерело живлення ідеальні, індуктивність в ланцюгу
навантаження дуже велика, і, тому, струм навантаження неперервний.
При включенні транзисторів V1,
V2 (див мал. 1.12 а) струм проходить по ланцюгу +
джерела живлення, V1, Lн, Rн, V2,
- джерела живлення. Після вимкнення транзисторів струм проходить по ланцюгу Lн,
VD3, джерело живлення, VD4,
Rн. Енергія збережена в індуктивності навантаження,
повертається в джерело живлення. Потім знову вмикаються транзистори V1,
V2.
Тим часові діаграми струму
навантаження та напруги наведено на мал. 1.12 б. Видно, що в напрузі на
навантаженні є негативні ділянки.
Рівняння регулюючих характеристик
перетворювача у відносних одиницях для неперервного режиму, отримані на
тимчасовій діаграмі (див мал. 1.11 б) для першого та четвертого квадратів
(направлений вперед «В» та назад «Н»):
(1.23)
де
-
відносний час ввімкнення транзисторів, а індекси вказують на номери ввімкнутих
транзисторів.
При
неправильний
режим при активно-індуктивному навантаженні неможливий. Регулюючі
характеристики перетворювача побудовані за рівнянням (1.23), наведено на мал.
1.13 а.
Рівняння регулюючих характеристик
системи управління при пилеподібній опорній напрузі мають наступний вигляд:
Якщо
Якщо
(1.24)
Регулюючі
характеристики системи управління, перетворювача
побудовані за рівнянням (1.24), наведені на мал. 1.13 б.
Мал. 1.13 Регулюючі характеристики
реверсивного перетворювача (а), системи управління (б) і перетворювача з
системою управління (в) при симетричному управлінні і активно-індуктивному
навантаженні
Рівняння регулюючої характеристики
перетворювача разом з системою управління має наступний вигляд
(1.25)
Регулювальна характеристика
перетворювача разом з системою управління, побудована на основі рівняння
(1.25), показана на мал. 1.13 в. Ділянка характеристики, що відповідає напрямку
вперед «В», знаходиться в першому квадраті, а відповідна напрямку назад «Н» -
в третьому.
2.4.3 Робота регресивного ППН на
активно-індуктивне навантаження при несиметричному управлінні
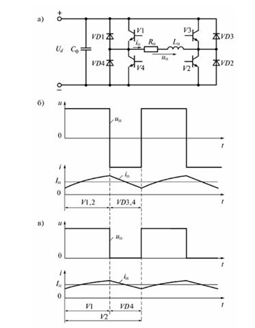
При роботі на активно-індуктивне
навантаження та несиметричному управлінні весь час проводять один або два
транзистори. Якщо в даний момент проводили транзистори V1,
V2 (див мал. 1.12), то після вимкнення транзистора
V1
струм проходить по ланцюгу Lн, V2, VD4, Rн,
і енергія, збережена в індуктивності використовується в навантаженні. Тимчасові
діаграми струму напруги на навантаженні наведено на мал. 1.12 в. На діаграмах
видно, що нема негативних ділянок напруги.
Переваги несиметричного управління
полягає в зменшенні пульсацій і втрат на навантаженні.
Рівняння регулюючих характеристик
перетворювача у відносних одиницях, отримані на тимчасовій діаграмі (див. мал.
1.12 в), відповідно для додатного і негативної напруги на навантаженні:
(1.26)
Регулюючі характеристики
перетворювача, побудовані за рівнянням (1.26), показано на мал. 1.14а.
Рівняння регулюючих характеристик
системи управління при пилеподібній опорній напрузі, відповідно для додатної і
від’ємної напруги мають наступний вигляд:
(1.27)
Регулюючі характеристики системи
управління перетворювача, побудовані за рівняннями (1.27), показані на мал.
1.14б.
Рівняння регулюючої характеристики
перетворювача разом з системою управління має наступний вигляд:
(1.28)
Регулююча характеристика
перетворювача разом з системою управління, побудовано за рівнянням (1.28),
показано на мал. 1.14в.
Порівнявши мал. 1.13в та 1.14в,
можна побачити, що регулююча характеристика перетворювача разом з системою
управління не залежить від способу управління.
Мал. 1.14. Регулюючі характеристики
реверсивного перетворювача (а), системи управління (б) і перетворювача з
системою управління (в) при несиметричному управлінні та активно-індуктивному
навантаженні.
2.4.4 Робота реверсивного ППН та
ПЕДС при симетричному управлінні
На мал. 1.15 приведено схему
реверсивного ППН, що працює на якір двигуна. Тим часові діаграми, що ілюструють
його роботу при симетричному управлінні, показані на мал. 1.16.
Мал. 1.15 Схема реверсивного ППН, що
працює на якір двигуна
На мал. 1.16 а показано напругу на
навантаженні, а на мал. 1.16 б - струм навантаження в рухаю чому режимі в
напрямку «Вперед». В момент t1
при ввімкненні транзисторів V1,
V2
струм зростає під дією напруги Ud
в ланцюгу «+» джерела живлення, V1,
ЕМ, Lн,
Rн,
V2,
«-» джерела живлення. Полярність ПЕДС двигуна ЕД показано на мал. 1.15. В
момент t2
при вимкненні транзисторів V1,
V2
струм починає протікати за рахунок енергії, збереженої в індуктивності
навантаження, по контуру Lн,
Rн,,
VD3,
«+» джерела живлення, «-» джерела живлення, VD4,
ЕМ.
При переході на гальмуванні ЕРС
генератора EГ = ЕД,так як
швидкість не може миттєво змінитися, а струм має змінити напрямок на
протилежний. При подачі сигналу на гальмування знімаються керуючі імпульси з V1
та
V2
і подаються на V3
та
V4. Але транзистори не вмикаються, так як за
рахунок енергії, збереженої в індуктивності, струм продовжує проходити через VD4,
VD3. Індуктивність якоря мала, тому струм швидко
прямує до нуля. Генератор не може віддавати енергію в джерело живлення, так як
його ЕРС EГ нижча ніж ЕРС
джерела живлення. Тому для рекуперації енергії необхідна додаткова ЕРС. Мал.
1.16 в ілюструє встановлений режим при гальмуванні. В момент t3
вмикаються транзистори V3
та V4
і струм швидко наростає, так як виникає контур короткого замикання в ланцюгу
«+» джерела живлення, V3, Rн, Lн, ЕМ,
V4,
«-» джерела живлення. При цьому ЕРС джерела
живлення та ЕРС електричної машини діють злагоджено. Струм в ланцюгу
навантаження зростає в протилежному напрямку і прямує до значення струму
встановленого короткого замикання. В момент t4
вимикаються транзистори V3, V4,
але струм проходить в тому ж напрямку за рахунок погодженого ввімкнення ЕРС
генератора та ЕРС самоіндукції по ланцюгу Lн, Lн, ЕМ,
VD1, «+» джерела живлення, «-»
джерела живлення, VD2, Rн.
Енергія повертається в джерело живлення.
Мал. 1.16 Діаграми напруг та
струмів, що ілюструють роботу ППН двигун при симетричному управлінні: напруга
на навантаженні (а), струм в навантаженні в рухомому режимі (б), струм на
навантаженні при гальмуванні (в), напруга на навантаженні та струм після
реверса (г).
При симетричному управлінні під час
рекуперації необхідно то вживати енергію від джерела, то повертати її назад,
але в більшій кількості.
За рахунок рекуперації двигун
гальмується, EГ зменшується до
нуля, а
зростає.
При
починається
розгін двигуна в протилежному напрямку. Тим часові діаграми мал. 1.16г
ілюструють напругу на навантаженні і струм в навантаженні після реверсу та
розгону двигуна до тієї ж швидкості.
Рівняння регулюючих характеристик
такі ж само, як і при роботі на активно-індуктивне навантаження, але знімається
обмеження на величину
. При
полярність
напруги змінюється і починається рекуперація.
Регулюючі характеристики
перетворювача, побудовані за рівняннями (1.23), наведені на мал. 1.17 а.
Регулюючі характеристики системи
управління перетворювача, побудовані за рівняннями (1.24), приведено на мал.
1.17. б.
Регулююча характеристика
перетворювача разом з системою управління, побудована за рівнянням (1.25),
показано на мал. 1.17 в
Рис. 17
Розділ 3. Технологія виготовлення і
застосування ППН
Перетворювач частоти - це пристрій,
призначений для перетворення змінного струму (напруги) однієї частоти в змінний
струм (напругу) іншої частоти.
Вихідна частота в сучасних
перетворювачах може змінюватися в широкому діапазоні й бути як вище, так і
нижче частоти живильної мережі.
Схема будь-якого перетворювача
частоти складається з силової та керуючої частин. Силова частина перетворювачів
зазвичай виконана на тиристорах або транзисторах, які працюють в режимі
електронних ключів. Керуюча частина виконується на цифрових мікропроцесорах і забезпечує
управління силовими електронними ключами, а також рішення великої кількості
допоміжних завдань (контроль, діагностика, захист).
Перетворювачі частоти, застосовувані
в регульованому електроприводі, залежно від структури й принципу роботи силової
частини розділяються на два класи:
. Перетворювачі частоти з явно
вираженим проміжною ланкою постійного струму.
. Перетворювачі частоти з
безпосереднім зв'язком (без проміжної ланки постійного струму).
Кожен з існуючих класів
перетворювачів має свої достоїнства й недоліки, які визначають область
раціонального застосування кожного з них.
Рис. 18
Історично першими з'явилися
перетворювачі з безпосереднім зв'язком (рис. 18.), В яких силова частина являє
собою керований випрямляч і виконана на не замикаються тиристорах. Система
управління черзі відмикає групи тиристорів і підключає статорні обмотки двигуна
до живильної мережі.
Простий перетворювач частоти.
Синусоїда перетворювача частоти
Таким чином, вихідна напруга
перетворювача формується з вирізаних ділянок синусоїд вхідної напруги. На
рис.5. показаний приклад формування вихідної напруги для однієї з фаз
навантаження. На вході перетворювача діє трифазна синусоїдальна напруга uа, UВ,
uс. Вихідна напруга Uвих має несинусоїдальну «пилкоподібну» форму, яку умовно
можна апроксимувати синусоїдою (стовщена лінія). З малюнка видно, що частота
вихідної напруги не може дорівнювати або бути вище частоти живильної мережі.
Вона знаходиться в діапазоні від 0 до 30 Гц. Як наслідок малий діапазон
управління частоти обертання двигуна (не більше 1: 10). Це обмеження не
дозволяє застосовувати такі перетворювачі в сучасних частотно регульованих
приводах із широким діапазоном регулювання технологічних параметрів.
Використання тиристорів, що не замикаються,
вимагає відносно складних систем керування, які збільшують вартість
перетворювача.
«Різана» синусоїда на виході
перетворювача є джерелом вищих гармонік, які викликають додаткові втрати в
електричному двигуні, перегрів електричної машини, зниження моменту, дуже
сильні перешкоди в живильній мережі. Застосування компенсаторів, приводить до
підвищення вартості, маси, габаритів, зниженню к.к.д. системи в цілому.
Поряд з перерахованими недоліками
перетворювачів з безпосереднім зв'язком, вони мають певні достоїнства. До них
відносяться:
Практично найвищий ККД щодо інших
перетворювачів (98,5% і вище),
Здатність працювати з великими
напругами і струмами, що робить можливим їх використання в потужних
високовольтних приводах,
Відносна дешевизна, незважаючи на
збільшення абсолютної вартості за рахунок схем керування і додаткового
обладнання.
Подібні схеми перетворювачів
використовуються в старих приводах і нові конструкції їх практично не
розробляються.
Рис. 19
У перетворювачах цього класу
використовується подвійне перетворення електричної енергії: вхідна
синусоїдальна напруга з постійною амплітудою і частотою випрямляється у
випрямлячі (В), фільтрується фільтром (Ф), згладжується, а потім знову
перетвориться інвертором (І) у змінну напругу змінюваної частоти й амплітуди.
Подвійне перетворення енергії приводить до зниження ККД і до деякого погіршення
масогабаритних показників по відношенню до перетворювачів з безпосереднім
зв'язком.
Для формування синусоїдальної
змінної напруги використовуються автономні інвертори напруги і автономні
інвертори струму.
В якості електронних ключів в
інверторах застосовуються тиристори, що замикаються, GTO і їх вдосконалені
модифікації GCT, IGCT, SGCT, і біполярні транзистори з ізольованим затвором
IGBT.
Головним достоїнством тиристорних
перетворювачів частоти, як і в схемі з безпосереднім зв'язком, є здатність
працювати з великими струмами й напругами, витримуючи при цьому тривале
навантаження й імпульсні впливи.
Вони мають більш високий ККД (до
98%) по відношенню до перетворювачів на IGBT транзисторах (95-98%).
Перетворювачі частоти на тиристорах
в даний час займають домінуюче положення у високовольтному приводі в діапазоні
потужностей від сотень кіловатів і до десятків мегават з вихідною напругою 3-10
кВ і вище. Однак їх ціна на один кВт вихідної потужності найбільша в класі
високовольтних перетворювачів.
До недавнього минулого перетворювачі
частоти на GTO становили основну частку й у низьковольтному частотно
регульованому приводі. Але з появою IGBT транзисторів відбувся "природний
добір" і сьогодні перетворювачі на їх базі загальновизнані лідери в області
низьковольтного частотно регульованого приводу.
Тиристор є напівкерованим приладом:
для його включення досить подати короткий імпульс на керуючий вивід, але для
вимикання необхідно або прикласти до нього зворотну напругу, або знизити
комутований струм до нуля. Для цього в тиристорних перетворювачів частоти
потрібна складна і громіздка система управління.
Біполярні транзистори з ізольованим
затвором IGBT відрізняють від тиристорів повна керованість, проста неенергоємна
система управління, найвища робоча частота.
Внаслідок цього перетворювачі
частоти на IGBT дозволяють розширити діапазон управління швидкості обертання
двигуна, підвищити швидкодію приводу в цілому.
Для асинхронного електроприводу з
векторним керуванням перетворювачі на IGBT дозволяють працювати на низьких
швидкостях без датчика зворотного зв'язку.
Застосування IGBT з більш високою
частотою перемикання в сукупності з мікропроцесорною системою управління в
перетворювачах частоти знижує рівень вищих гармонік, характерних для
тиристорних перетворювачів. Як наслідок менші додаткові втрати в обмотках і
магнітопроводі електродвигуна, зменшення нагрівання електричної машини,
зниження пульсацій моменту й виключення так званого «Крокування» ротора в
області малих частот. Знижуються втрати в трансформаторах, конденсаторних
батареях, збільшується їх термін служби й ізоляції проводів, зменшуються
кількість помилкових спрацьовувань пристроїв захисту й погрішності індукційних
вимірювальних приладів.
Перетворювачі на транзисторах IGBT в
порівнянні з тиристорними перетворювачами при однаковій вихідній потужності
відрізняються меншими габаритами, масою, підвищеною надійністю в силу
модульного виконання електронних ключів, кращого тепловідводу з поверхні модуля
і меншої кількості конструктивних елементів.
Вони дозволяють реалізувати більш
повний захист від кидків струму і від перенапруги, що істотно знижує
ймовірність відмов і пошкоджень електроприводу.
На даний момент низьковольтні
перетворювачі на IGBT мають більш високу ціну на одиницю вихідної потужності,
внаслідок відносної складності виготовлення транзисторних модулів. Однак за
співвідношенням ціна / якість, виходячи з перерахованих достоїнств, вони явно
виграють у тиристорних перетворювачів, крім того, протягом останніх років
спостерігається неухильне зниження цін на IGBT модулі.
Головною перешкодою на шляху їх
використання у високовольтному приводі із прямим перетворенням частоти й при
потужностях вище 1 - 2 МВт на даний момент є технологічні обмеження. Збільшення
комутованої напруги і робочого струму приводить до збільшення розмірів
транзисторного модуля, а також вимагає більш ефективного відводу тепла від
кремнієвого кристала.
Нові технології виробництва
біполярних транзисторів спрямовані на подолання цих обмежень, і перспективність
застосування IGBT дуже висока також й у високовольтному приводі. В даний час
IGBT транзистори застосовуються у високовольтних перетворювачах у вигляді
послідовно з'єднаних декількох одиничних модулів.
Структура та принцип роботи
низьковольтного перетворювача частоти на IGBT транзисторах
Типова схема низьковольтного
перетворювача частоти представлена на рис. 20. У нижній частині рисунка
зображені графіки напруг і струмів на виході кожного елемента перетворювача.
Змінна напруга живильної мережі
(uвх.) з постійною амплітудою і частотою (U вх = const, f вх = const) надходить
на керований або некерований випрямляч (1).
Для згладжування пульсацій
випрямленої напруги (uвипр.) використовується фільтр (2). Випрямляч і ємнісний
фільтр (2) утворять ланку постійного струму.
З виходу фільтра постійна напруга ud
надходить на вхід автономного імпульсного інвертора (3).
Автономний інвертор сучасних
низьковольтних перетворювачів, як було відзначено, виконується на основі
силових біполярних транзисторів з ізольованим затвором IGBT. На даному малюнку
зображена схема перетворювача частоти з автономним інвертором напруги як
отримала найбільше розповсюдження.
Частотний перетворювач
Івано-Франківськ
Рис. 20
У інверторі здійснюється
перетворення постійної напруги ud в трифазну (або однофазну) імпульсна напруга
u і змінюваної амплітуди і частоти. За сигналами системи управління кожна
обмотка електричного двигуна приєднується через відповідні силові транзистори
інвертора до позитивного і негативного полюсів ланки постійного струму.
Тривалість підключення кожної обмотки в межах періоду проходження імпульсів
модулюється за синусоїдальним законом. Найбільша ширина імпульсів
забезпечується в середині напівперіоду, а до початку і кінця напівперіоду
зменшується. Таким чином, система управління забезпечує широтно-імпульсну
модуляцію (ШІМ) напруги, що прикладається до обмоток двигуна. Амплітуда і
частота напруги визначаються параметрами модулюючої синусоїдальної функції.
При високій несучій частоті ШІМ
(2... 15 кГц) обмотки двигуна внаслідок їхньої високої індуктивності працюють
як фільтр. Тому в них протікають практично синусоїдальні струми.
У схемах перетворювачів з керованим
випрямлячем (1) зміна амплітуди напруги uі може досягатися регулюванням
величини постійної напруги ud, а зміна частоти - режимом роботи інвертора.
При необхідності на виході
автономного інвертора встановлюється фільтр (4) для згладжування пульсацій
струму. (У схемах перетворювачів на IGBT в силу низького рівня вищих гармонік у
вихідній напрузі потреба у фільтрі практично відсутній.)
Таким чином, на виході перетворювача
частоти формується трифазна (або однофазна) змінна напруга
.1 Технологія виготовлення
друкованих плат
Лазерно-утюжкова технологія
виготовлення друкованих плат
Порівняння різних технологій виготовлення
друкованих плат в домашніх умовах і опис лазерно-прасувальну технології
нанесення малюнка доріжок для подальшого травлення друкованої плати
Тут показано лазерно-прасувальна
технологія (ЛУТ) виготовлення друкованих плат. Але спочатку наведемо табличку-порівняння
різних технологій виготовлення плат.
|
Технологія
|
Переваги
|
Недоліки
|
|
Малювання доріжок лаком або маркером
|
Простота і доступність - потрібно тільки лак
(маркер)
|
Якість малюнка залежить від майстерності
майстра і твердості його руки, невисока швидкість роботи
|
|
Лазерно-утюжна технологія
|
Стабільність результату, час виготовлення не
залежить від складності, не потрібні дефіцитні матеріали та обладнання
|
Невисока, за сучасними мірками, дозвіл, певні
складнощі при створенні двосторонніх плат
|
|
Механічне вирізання доріжок
|
Виключено хімічна обробка, при використанні
автоматичних верстатів можна дуже швидко отримувати плати високого дозволу
|
Дуже дороге для домашнього використання
обладнання, а підручними засобами можна робити тільки досить нескладні плати
|
|
Фотографічне нанесення маски
|
Висока якість в домашніх умовах, можливість
тиражування, швидкість не залежить від розміру і складності плати
|
Складний тех. процес, що вимагає численних
хімікатів та спеціального обладнання
|
Як видно з таблиці, ЛУТ є оптимальним
з перерахованих варіантів по співвідношенню "складність / якість".
Розглянемо цю технологію в деталях.
Етап 1. Малюємо плату. Можна
користуватися спеціальними програмами, які автоматично розводять плату за
принциповою схемою, наприклад Sprint Layout 6.
Ставимо сітку 2,54 мм (0,1 дюйма) -
це крок між «ногами» мікросхем і цілком вистачає на більшість деталей (якщо
розміщувати резистори і діоди «стоячи», між їх ногами буде якраз такий крок).
Малювати зручніше з боку деталей, при цьому схема виходить більш наочною, а при
друку зображення доріжок не треба перевертати. Зручно зробити окремі шари для
друкованих провідників і для зображення деталей (можна ввімкнути / вимкнути при
перегляді і друку). Доріжки малюються лінією 2pt, майданчики під висновки
кільцями 0,7 / 1,5-2,0 мм, під дроти 1,25 / 2,5-3,0 мм (внутрішній / зовнішній
діаметр). Після остаточної компонування деталей і розводки плати зручно обвести
її по контуру з припуском 0,5-1 мм лінією 1pt на шарі провідників, для обрізки
(особливо актуально для плат зі складним контуром). Також позначаємо на шарі
провідників отвори для кріплення і інші технологічні мітки.
Увага: перед тим, як щось робити
далі, обов'язково двічі перевірте розводку провідників (особливо, якщо робили
не в спеціалізованій програмі, а в графічному редакторі) і чи потрібно
відобразити зображення перед друком. Загальне правило таке: якщо на малюнку
друковані провідники (неважливо якого шару) видно зі свого боку плати, перед
друком зображення ПОТРІБНО відобразити (неважливо, від горизонталі або
вертикалі, головне один раз). Якщо ж провідники видно «крізь плату» (наприклад,
малюємо провідники із зворотного боку плати, а дивимося з боку деталей), то
відображати малюнок НЕ ПОТРІБНО. Якщо сумніваєтеся, роздрукуйте зображення
кожного шару (це, до речі, рекомендується робити і для перевірки розводки) і
прикиньте необхідність відображення "вживу". Тільки пам'ятайте, що
один раз зображення відобразиться при перенесенні з паперу на текстоліт.
Етап 2. З склотекстоліти вирізається
заготівля плати з припуском не менш 5 мм. Потім бік, на якій будуть провідники,
ретельно зашкурюємо "нульовкою", поки вся поверхня не покриється
дрібними подряпинами, придбавши золотавий колір не окисленої міді. Після цього
знежирюємо всю поверхню спиртом і даємо останньому повністю випаруватися. Самі
ж у цей час переходимо до наступного кроку.
Етап 3. Береться лазерний принтер і
друкується малюнок доріжок на дуже тонкій крейдованому папері. При друку не
забудьте залишити краю приблизно в половину відповідного розміру плати (ліворуч
і праворуч - половину ширини, зверху і знизу - висоти). Я використовую HP
LaserJet 1010 з максимальною "чорнотою" (відключити економний режим,
максимальна насиченість) і папір з журналів "Нерухомість та ціни". У
неї крім дуже маленької товщини є особливість застрявати в принтері перед
грубкою, тому після витягування аркуша ми отримуємо незакріплене зображення.
Але якщо ваша папір грубку пройшла, має вийти не гірше. Хоча якщо робити плати
доводиться часто, може має сенс зробити можливість відключення грубки у вашого
принтера:). Інший варіант паперу, теж працює не гірше - глянсовий папір
(завалялася пачка з 80-х років), тільки не знаю, чи продається вона зараз.
Етап 4. Отриману роздруківку кладемо
на стіл зображенням вгору. Готуємо смужки скотчу шириною сантиметр-два і
довжиною залежно від розмірів плати. Накладаємо заготівлю плати на папір
підготовленої стороною до зображення і загортаємо краї паперу, фіксуючи папір
приготованими смужками скотчу. Папір повинні бути злегка натягнутій, щоб плата
не могла зміститися всередині обгортки. Після цього загортаємо весь
"бутерброд" ще одним листом звичайного паперу (в один шар). Тепер
береться звичайний праска, включений на максимальну температуру (можна було
прогріти його заздалегідь:) і ставиться на загорнуту в папір плату з боку
малюнка. Плата прогрівається 20-30 сек. під власною вагою праски, після чого
праска кілька разів з натиском проводиться по поверхні плати. Для маленьких
плат і незакріпленого зображення (див. вище про мою папір) досить 4-6 разів з
не дуже сильним натиском (не всім вагою). При сильному натиску тонер може
поповзти і сусідні доріжки злипнуться, при слабкому - не приклеїтися.
Етап 5. Після охолодження знімаємо
зовнішню папір і зрізаємо папір із зворотного боку плати. Потім кидаємо плату з
прилип папером у гарячу (градусів 40-50, тобто терпимо гаряча на дотик) воду і
чекаємо, поки папір не розмокне. Коли це відбудеться, папір можна буде
відокремити від плати, а тонер залишиться, надійно припечена до плати (пальцем
не відшкребеш). Пальцем під водою скачуємо залишки паперу. Плата сушиться (без
додаткового підігріву, щоб тонер не почала відходити), після чого озброюємось
лупою і переглядаємо дефекти. Можна акуратно промокнути плату туалетним
папером, щоб прискорити процес сушіння. При правильно пророблених попередніх
кроках найбільш часто зустрічається дефект - не до кінця дистанційна папір, що
при травленні може призвести до замикання провідників. Папір видаляємо гострим предметом:
шилом, голкою, кінчиком ножа. При зворотній проблемі - відсутності провідників
там, де вони повинні бути, можна підправити малюнок лаком або незмивною
маркером (потрібно заздалегідь випробувати маркер щоб переконатися в його
стійкості).
Етап 6. Травимо плату в хлорному
залозі. Розчин краще підігріти до тих же 40-50 градусів, правда він все одно
остигає швидше, ніж труїться плата. Може бути розчин вже підсівший. Основна
проблема при травленні - плата повинна лежати малюнком вниз (щоб продукти реакції
опускалися на дно, а не лежали на платі), але при цьому потрібно забезпечити
доступ розчину. Я вирішую цю проблему приклеюванням до країв (той самий
припуск) сірники, а якщо плата більша можна просвердлити отвори і вкласти в них
пластикові (не металевими!) Стійки для материнських плат. Або ті ж сірники.
Після того, як малюнок повністю протравами, плату виймають, заклеюють бік з
малюнком скотчем, щоб уникнути подальшого протравлювання доріжок, після чого
перевертають і стравлюють фольгу з боку деталей. Можна труїти плати і у
вертикальному положенні, наприклад у вузькому стакані, тоді описаних складнощів
можна уникнути, але важче забезпечити рівномірність травлення.
Етап 7. Змиваємо тонер, наприклад,
уайт-спиртом, потім свердлимо отвори, вирізаємо плату за необхідним контуру,
покриваємо каніфольним лаком, обслужуємо контактні площадки. Далі монтаж
деталей і все інше, як звичайно.
Зауваження про двосторонні плати.
Для виготовлення такої плати вам буде потрібно: зашкурена і знежирена
двостороння заготівля, дві роздрукованих картинки із зображеннями провідників,
кілька тонких голок. Основне завдання - поєднати зображення обох сторін. Для
цього на обох сторонах розмічають кілька технологічних (наприклад, кріпильних)
отворів в різних кінцях плати. Потім додаємо одне із зображень до плати
малюнком назовні, фіксуємо його будь-яким чином щодо плати (тільки не клейте до
зворотної сторони - на неї ще малюнок переносити!) І керна вищезгадані
техотвори. Знімаємо малюнок, свердлимо отвори в платі і проколюємо їх же на обох
малюнках. Тепер вставляємо в отвори на платі голки і одягаємо листи з
зображеннями сторін на ці голки, кожен зі свого боку малюнком до плати і
фіксуємо весь отриманий "бутерброд". Потім голки виймаємо, гріємо, як
звичайно, праскою, тільки гріти вже потрібно з обох сторін (з другої прогрівати
менше, тому плата вже прогрілася, але прасувати так само), відмочується, трави
і т.д. Головне, на що звернути увагу - точно намічати отвори і не бруднити
плату (тому обидві сторони робочі, то треба акуратно братися за неї руками, не
клеїти на сторони скотч і т.п.).
Висновок:
В даній роботі розробляли DC-DC
перетворювач
на базі мікросхеми МАХ 1674, який працює як зарядний пристрій для мобільних
телефонів та пристроїв які не потребують великих струмів для заряду акумуляторів.
Список використаних джерел
1. Іванов-Циганов
А.І. Електротехнічні пристрої радіосистем: Підручник. - Вид. 3-є, перероб. і
доп.-Мн: Вища школа, 200
2. Алексєєв
О.В., Китаєв В.Є., Шіхін А.Я. Електричні пристрої / Під ред. А.Я. Шіхіна:
Підручник. - М.: Енергоіздат, 200 - 336 с.
. Шустов
М.А. Практична схемотехніка. Джерела живлення і стабілізатори. Кн. 2. - М.:
Альтекс а, 2002. -191 С.