Разработка транспортных логистических цепей при мультимодальных перевозках на примере ОАО 'РЖД'

  • Вид работы:
    Дипломная (ВКР)
  • Предмет:
    Транспорт, грузоперевозки
  • Язык:
    Русский
    ,
    Формат файла:
    MS Word
    552,91 Кб
  • Опубликовано:
    2015-01-26
Вы можете узнать стоимость помощи в написании студенческой работы.
Помощь в написании работы, которую точно примут!

Разработка транспортных логистических цепей при мультимодальных перевозках на примере ОАО 'РЖД'















Дипломная работа

Разработка транспортных логистических цепей при мультимодальных перевозках на примере ОАО «РЖД»

СОДЕРЖАНИЕ

ВВЕДЕНИЕ

ГЛАВА 1. ЛОГИСТИКА МУЛЬТИМОДАЛЬНЫХ ГРУЗОПЕРЕВОЗОК В ГЛОБАЛЬНЫХ ЦЕПЯХ ПОСТАВОК

.1 Мультимодальные и интермодальные грузоперевозки в системе управления материальными потоками

.2 Транспортно-логистическое взаимодействие при мультимодальных грузоперевозках в цепях поставок

.3 Развитие института транспортно-логистических посредников в системе смешенных грузоперевозок

ГЛАВА 2. ОРГАНИЗАЦИЯ ПРОЦЕССА ГРУЗОПЕРЕВОЗОК В ОАО «РЖД» НА ОСНОВЕ ЛОГИСТИЧЕСКИХ ТЕХНОЛОГИЙ

.1 Анализ существующей системы управления грузоперевозками в ОАО «РЖД»: проблемы функционирования

.2 Особенности организации взаимодействия железнодорожного и морского транспорта в системе смешенных перевозок

.3 Организация мультимодальных грузоперевозок на основе системы транспортно-логистических центров ОАО «РЖД»

ГЛАВА 3. ЛОГИСТИЧЕСКИЕ ЦЕНТРЫ ОАО «РЖД» КАК ОСНОВА НАЦИОНАЛЬНОЙ СИСТЕМЫ СМЕШАННЫХ ГРУЗОПЕРЕВОЗОК

.1 Организационная структура системы транспортно-логистических центров ОАО «РЖД»

.2 Технологические особенности управления грузопотоками в районном транспортно-логистическом центре

.3 Формирование транспортных логистических цепей поставок на основе календарного планирования

ЗАКЛЮЧЕНИЕ

СПИСОК ЛИТЕРАТУРЫ

ПРИЛОЖЕНИЕ

ВВЕДЕНИЕ

Актуальность темы исследования не вызывает сомнений. Динамичное развитие российской экономики, а также вступление России в ВТО и растущие потребности внутреннего рынка ставят новые задачи перед транспортной системой страны. Мировой опыт показывает, что динамичный рост экономики приводит к значительному росту объемов товародвижения и, соответственно, грузовых потоков, как внутренних, так и международных, в том числе транзитных. В условиях недостаточной развитости транспортной и логистической инфраструктуры производительность и эффективность транспортного комплекса страны снижается, что непременно сказывается на общем развитии экономики страны.

Железнодорожный транспорт является основным слагаемым единого транспортного комплекса страны. На его долю приходится 80% общих объемов грузовых перевозок. Инфраструктура железнодорожного транспорта является наиболее протяженной транспортной сетью. Она охватывает все стратегические и экономически важные регионы страны и гармонично вписывается в систему международных транспортных коридоров. Поскольку железнодорожный транспорт как никакой другой в настоящее время имеет мощнейшие информационные ресурсы, вполне логично и закономерно, что ОАО «Российские железные дороги» надлежит стать инициатором внедрения новых логистических технологий. Это позволит отрасли занять доминирующее положение в управлении грузопотоками в масштабах всего транспортного комплекса страны.

В условиях постоянно растущей конкуренции на рынке транспортно-логистических услуг в России повышается уровень требований клиентов и любая компания, ориентированная на их качественное обслуживание, должна динамично развиваться. Клиент все чаще обращает внимание на такие показатели качества обслуживания, как сроки доставки, информационное сопровождение процесса перевозки, сохранность груза. На рынке транспортных услуг наиболее востребованным становиться тот вид транспорта и тот перевозчик, который в наибольшей степени предлагает комплекс услуг, основанных на принципах доставки груза «от двери до двери» и «точно в срок».

В условиях плановой экономики единая транспортная система достаточно успешно решала вышеназванные задачи, что создавалось благодаря единому управлению всей транспортной системой страны. Централизованное управление имело ряд преимуществ, среди которых можно выделить: возможность комплексного развития транспорта, как в масштабах страны, так и на региональном уровне; обеспечение логистических подходов к управлению грузопотоками, в частности, организацию прямого смешанного железнодорожно-водного сообщения, прообраза современных интермодальных перевозок.

Реформирование железнодорожного транспорта выявило много вопросов, связанных с его дальнейшим функционированием, как в области внутриотраслевой конкуренции, так и взаимоотношений с другими видами транспорта. Особенно это коснулось его взаимодействия с морским и автомобильным транспортом, основные формы которого были сформулированы и реализованы в 80-е годы прошлого столетия. Актуальной проблемой сегодня становиться и то, что железнодорожный транспорт, являясь основой российских участков международных транспортных коридоров, испытывает значительное конкурентное давление со стороны железнодорожного транспорта зарубежных стран, предлагающих альтернативные маршруты перевозок.

Объектом исследования дипломной работы является логистический подход к управлению смешанными грузоперевозками на железнодорожном транспорте, система взаимодействия различных видов транспорта с железнодорожным транспортом России.

Предмет исследования - методология транспортно-логистического взаимодействия железнодорожного транспорта России с другими видами транспорта при перевозках в смешанном сообщении (мультимодальных и интермодальных перевозках).

Целью исследования является разработка методологических подходов, теоретических положений и методических рекомендаций по проектированию систем взаимодействия различных видов транспорта на основе формирования транспортных логистических цепей при мультимодальных перевозках.

Для достижения поставленной цели требуется решение следующих задач:

изучить сущность мультимодальных и интермодальных грузоперевозок в системе управления материальными потоками;

проанализировать существующую систему управления грузоперевозками в ОАО «РЖД»;

исследовать особенности организации взаимодействия железнодорожного и морского транспорта в системе смешенных перевозок;

рассмотреть организацию мультимодальных грузоперевозок на основе системы транспортно-логистических центров ОАО «РЖД»

Дипломная работа состоит из трех глав. В первой главе рассматривается сущность мультимодальных и интермодальных грузоперевозок в системе управления материальными потоками предприятий России. Анализируется транспортно-логистическое взаимодействие при мультимодальных грузоперевозках в цепях поставок, развитие института транспортно-логистических посредников в системе смешенных грузоперевозок.

Вторая глава посвящена анализу существующей системы управления грузоперевозками в ОАО «РЖД», рассматриваются особенности организации взаимодействия железнодорожного и морского транспорта в системе смешенных перевозок, представлена организация мультимодальных грузоперевозок на основе системы транспортно-логистических центров ОАО «РЖД».

В третьей главе работы рассматривается организационная структура системы транспортно-логистических центров ОАО «РЖД», анализируются технологические особенности управления грузопотоками в районном транспортно-логистическом центре, раскрывается порядок формирования транспортных логистических цепей поставок на основе календарного планирования.

В заключение работы сформулированы выводы и рекомендации по совершенствованию логистического подхода к управлению смешанными грузоперевозками на железнодорожном транспорте России.

грузоперевозка материальный поток железнодорожный транспорт

ГЛАВА 1. ЛОГИСТИКА МУЛЬТИМОДАЛЬНЫХ ГРУЗОПЕРЕВОЗОК В ГЛОБАЛЬНЫХ ЦЕПЯХ ПОСТАВОК

1.1 Мультимодальные и интермодальные грузоперевозки в системе управления материальными потоками

Железнодорожный транспорт России сегодня занимает лидирующие позиции в мире по объемам перевозок и протяженности железнодорожных линий, являясь частью интегрированной железнодорожной сети. По территории России проходят оптимальные маршруты, многие из которых являются частью международных транспортных коридоров (МТК) <#"805203.files/image001.jpg">

Рис. 2. Классификация транспортных потоков

Эффективность управления материальным потоком зависит от того, насколько цели управления соответствующим транспортным потоком совпадают с целями управления материальным потоком. На рисунке 3 изображены две окружности, одна из которых представляет собой множество целей управления транспортным потоком ={}, , где n - количество целей управления транспортным потоком; другая - множество целей управления материальным потоком ={}, , где h - количество целей управления материальным потоком. Область совпадения (не противоречия) целей управления транспортным и материальным потоками представляет собой множество ={}, т.е.

 

= (1)

Чем больше значений попадает в область , тем более эффективной является деятельность координатора, обеспечивающего реализацию критериев предпочтения грузовладельца при обеспечении процесса товародвижения. При , величина = max, так как полностью удовлетворяются требования клиента, предъявляемые им к качеству перевозочного процесса.

К особенностям управления материальным потоком относится возможность увеличения области совпадения целей, которая определяется тем, что часть параметров транспортировки может формулироваться грузовладельцем не однозначно, а с элементами неконкретности, выражаемыми словами «желательно», «в пределах…», « не более чем…», т.е.

 

{|,}, (2)

где:  - множество значений j-ого критерия предпочтения клиента (цели управления материальным потоком); b - количество возможных значений критерия.

В этом случае цели управления материальным потоком, не вошедшие в совместную область, должны анализироваться на предмет их возможного соответствия не наиболее желательному (оптимальному) значению параметра , а возможному из того диапазона значений, который допускает грузовладелец Δ, здесь Δ - допускаемый предел изменения величины параметра . Если выполняется условие (Δ)≤, здесь  - i-ая цель управления транспортным потоком, на соответствие которой проверяется j-ая цель управления материальным потоком, то критерий  включается в область совпадения (не противоречия) целей управления транспортным и материальным потоками.

Централизация управления является обязательным элементом оптимизации продвижения как транспортного, так и материального потока. Различие заключается в том, что управление транспортным потоком представляет собой корпоративную деятельность, а управление материальным потоком - процесс, осуществляемый транспортными операторами, в том числе, независимыми логистическими центрами с участием корпоративных систем управления перевозчиков, а также систем управления пунктов перевалки груза. Различия между диспетчерскими и логистическими центрами представлено в таблице 3.

Таблица 3. Различия между диспетчерскими и логистическими центрами

Признаки

Диспетчерские центры

Логистические центры

Объект управления

транспортный поток

материальный поток

Статус центра

корпоративный

независимая организация

Цель управления

управление движением транспортных средств

организация и контроль продвижения груза по всему маршруту следования

Показатели функционирования

количественные и качественные для данного вида транспорта

критерии, предъявляемые грузовладельцем


Оператор перевозки, интегрируя перевозочную составляющую в логистическую цепь, напрямую не воздействует на процесс управления транспортным потоком, сосредотачивая свои усилия на координации действий различных звеньев (элементов) системы для обеспечения ее качественного функционирования.

 

1.3 Развитие института транспортно-логистических посредников в системе смешенных грузоперевозок

Развитие международных транспортных потоков, осуществление смешанных перевозок требует решения ряда объективных проблем, как технического, так и правового характера. Во-первых, необходимо определить статус и взаимоотношения перевозчиков, осуществляющих смешанную перевозку. Во-вторых, установить правовой режим смешанной перевозки, в частности ответственность перевозчиков перед грузовладельцем. Это связано с тем, что возможна организация смешанной перевозки экспедитором. Такие перевозки именуются непрямым смешанным сообщением. Они выполняются на основе нескольких договоров, и их правовой режим на отдельных этапах следования перевозимого груза различен, что создает определенные трудности для грузовладельца.

Функционирование любого субъекта рынка обеспечивается его юридически-правовым статусом, определяющим взаимоотношения, права и ответственность перед заказчиками-принципалами. На рисунке 4 представлена классификация транспортно-логистических субъектов системы товародвижения, обеспечивающих в настоящее время основные варианты продвижения грузопотоков.

В соответствии с Гражданским Кодексом РФ законодательно определены следующие субъекты транспортного рынка: перевозчики, агенты и экспедиторы, оформляющие с заказчиками-принципалами соответственно следующие юридически-правовые документы: договоры перевозки, договоры агентирования и договоры транспортной экспедиции (см. рис. 4).

Рис. 4. Классификация транспортно-логистических посредников

Зарождающийся в России институт логистических посредников в виде операторов смешанной перевозки законодательно не определен, хотя в странах с развитым транспортным рынком их статус зафиксирован соответствующими законодательными и международными актами.

Сегодня в международной практике в зависимости от уровня интеграции и координации логистической деятельности выделяют три основных класса/уровня логистических посредников: во-первых, это узкофункциональные логистические посредники (транспортные компании, экспедиторы, складские операторы (склады общего пользования, грузовые терминалы), таможенные брокеры, агенты, стивидорные компании, страховые компании, фирмы по оказанию информационно-консалтинговых услуг в области логистики и т.п.). Во-вторых, 3PL-провайдеры - фирмы, оказывающие комплексный логистический сервис для клиента (промышленной, торговой или сервисной компании). В-третьих, 4PL-провайдеры - системные логистические интеграторы. Американская модель деятельности основных участников рынка логистического аутсорсинга, представленная на рис. 2 (см. Приложение), включает еще один вид логистических провайдеров - Lead Logistics - ведущий логистический провайдер, обеспечивающий управление цепями поставок и логистическими проектами.

Необходимо заметить, что в настоящее время имеется тенденция перехода компаний логистических посредников от единичных к комплексным услугам. В России сейчас активно формируется рынок комплексных логистических операторов (3РL-провайдеров), основные тенденции которого подобны европейскому рынку. Поэтому следует ожидать развития более тесного сотрудничества российских логистических компаний с клиентами в области оптимизации уровня запасов, интеграции информационных систем и управления логистическими затратами и логистическими рисками.

Для успешного функционирования конкретного вида транспорта (перевозчика) в рыночной среде необходимо учитывать следующие концептуальные положения: а) принятие в качестве основной и единственной концепции деятельности - управление сквозным материальным потоком, то есть от зарождения его у грузоотправителя до погашения у грузополучателя; б) понимание того, что перевозчик является элементом (звеном) логистической системы более высокого уровня, несмотря на достаточную сложность организации перевозочного процесса внутри своего вида транспорта; в) иметь не только набор возможных вариантов транспортных цепочек продвижения грузопотока, но и уметь их формировать (генерировать) в кратчайшие сроки, исходя из требований, предъявляемых к конкретной перевозке; г) на основе изучения критериев предпочтения конкретных грузовладельцев предлагать им логистические технологии продвижения грузопотока, тем самым, инициируя формирование транспортной логистической цепи со своим участием. В литературных источниках подчеркивается, что главной особенностью прямой смешанной перевозки (multimodal carriage of goods) является наличие лица (так называемого оператора смешанной перевозки грузов), которое принимает на себя ответственность за сохранность груза на всем протяжении его транспортировки и тем самым берет на себя функции единого перевозчика. Если лицо не берет на себя ответственность за сохранность груза на протяжении всей перевозки, это значит, что данное лицо - не оператор смешанной перевозки, а экспедитор. В этой ситуации ответственность за причиненный грузовладельцу ущерб ложится на каждого конкретного исполнителя договора перевозки, за исключением случаев, когда вина экспедитора несомненна.

Основным международным договором в области правового регулирования международных комбинированных перевозок выступает Женевская конвенция ООН 1980г. о международных смешанных перевозках грузов разработанная в рамках ЮНКТАД - международной организации системы ООН. Конвенция дает следующие определения:

«оператор смешанной перевозки» - это лицо, которое от своего имени или через другое действующее от его имени лицо заключает договор смешанной перевозки, выступает как сторона договора и принимает на себя ответственность за исполнение договора.

«договор смешанной перевозки» означает договор, на основании которого оператор смешанной перевозки за уплату провозных платежей обязуется осуществить или обеспечить осуществление международной смешанной перевозки.

Нормы Конвенции носят императивный (жесткий, неизменный) характер и применяются ко всем договорам смешанной перевозки из одного места в другое, которые расположены в двух государствах, если: указанное в договоре смешанной перевозки место, в котором груз принимается оператором смешанной перевозки в свое ведение, находится в одном из государств-участников или указанное в договоре смешанной перевозки место доставки оператором смешанной перевозки находится в одном из государств-участников.

Конвенция не затрагивает право каждого государства регулировать и контролировать на национальном уровне операции по смешанным перевозкам и операторов смешанной перевозки, в том числе право принимать меры, касающиеся проведения консультаций, особенно перед внедрением новых видов технологий и услуг, между операторами смешанной перевозки, грузоотправителями, организациями грузоотправителей и соответствующими национальными органами об условиях обслуживания; выдачи операторам смешанных перевозок лицензий на участие в перевозках, а также принимать все другие меры в национальных экономических и коммерческих интересах.

Ответственность оператора смешанной перевозки за груз на основании Конвенции охватывает период с момента принятия им груза в свое ведение до момента его выдачи. Оператор смешанной перевозки несет ответственность за ущерб, являющийся результатом утраты или повреждения груза, а также задержки в доставке, если обстоятельства, вызвавшие утрату, повреждение или задержку в доставке, имели место в то время, когда груз находился в его ведении, если только не докажет, что он, его служащие или агенты приняли все меры, которые могли разумно требоваться, чтобы избежать таких обстоятельств и их последствий.

В тех случаях, когда оператор смешанной перевозки несет ответственность за ущерб, являющийся результатом утраты или повреждения груза, его ответственность ограничивается суммой, не превышающей 920 расчетных единиц за место или другую единицу отгрузки, либо 2,75 расчетной единицы за один килограмм веса брутто утраченного или поврежденного груза в зависимости от того, какая сумма выше.

Для исчисления, какая из сумм больше, применяются следующие правила:

а) когда для объединения грузов используется контейнер, поддон или подобное приспособление для транспортировки, места или другие единицы отгрузки, перечисленные в документе смешанной перевозки как упакованные в таком приспособлении для транспортировки, рассматриваются как места или единицы отгрузки. За указанным выше исключением, грузы в таком приспособлении для транспортировки рассматриваются как одна единица отгрузки;

б) в тех случаях, когда утрачено или повреждено само приспособление для транспортировки, это приспособление для транспортировки, если оно не является собственностью оператора смешанной перевозки или не предоставлено им, рассматривается как отдельная единица отгрузки.

Если международная смешанная перевозка не включает в соответствии с договором перевозку груза морем или по внутренним водным путям, ответственность оператора смешанной перевозки ограничивается суммой, не превышающей 8,33 расчетной единицы за килограмм веса брутто утраченного или поврежденного груза. Совокупная ответственность оператора смешанной перевозки не должна превышать пределов ответственности за полную утрату груза.

Расчетной единицей является единица «специального права заимствования», как она определена Международным валютным фондом. Суммы, указанные выше, переводятся в национальную валюту государства в соответствии с курсом этой валюты на дату судебного или арбитражного решения или на дату, согласованную сторонами. Стоимость в единицах «специального права заимствования» национальной валюты Договаривающегося государства, которое является членом Международного валютного фонда, исчисляется в соответствии с методом определения стоимости, применяемым Международным валютным фондом, на соответствующую дату для его собственных операций и расчетов. Стоимость в единицах «специального права заимствования» национальной валюты Договаривающегося государства, которое не является членом Международного валютного фонда, исчисляется способом, установленным этим государством.

В случаях, когда утрата или повреждение груза произошли на определенном этапе смешанной перевозки, в отношении которого подлежащая применению международная конвенция или императивная норма национального законодательства предусматривает более высокий предел ответственности по сравнению с пределом, указанным в Женевской конвенции ООН 1980 г., предел ответственности оператора смешанной перевозки за такую утрату или повреждение определяется в соответствии с положениями такой конвенции или императивной нормы национального законодательства. Оператор смешанной перевозки не имеет права на ограничение ответственности, предусмотренное в Конвенции, если доказано, что утрата, повреждение или задержка в доставке явились результатом его действий или упущений, совершенных либо с намерением вызвать такую утрату, повреждение или задержку в доставке, либо безответственностью с пониманием вероятности возникновения такой утраты, повреждения или задержки в доставке.

Конвенция предусматривает претензионный порядок урегулирования разногласий. Уведомление об утрате или повреждении груза должно быть сделано в письменной форме грузополучателем оператору смешанной перевозки не позднее рабочего дня, следующего за днем выдачи груза грузополучателю. Когда утрата или повреждение неочевидны, уведомление должно быть сделано в письменной форме в течение шести календарных дней после дня выдачи груза грузополучателю. Никакая компенсация не выплачивается за ущерб, вызванный задержкой в доставке, если уведомление в письменной форме не было сделано оператору смешанной перевозки в течение 60 календарных дней после дня выдачи груза грузополучателю. Если уведомление об утрате или повреждении груза не сделано в письменной форме оператором смешанной перевозки грузоотправителю не позднее 90 календарных дней после возникновения такой утраты или повреждения либо после выдачи груза в зависимости от того, что имеет место позже, отсутствие такого уведомления является доказательством того, что оператор смешанной перевозки не понес никакого ущерба или убытков по вине грузоотправителя, его служащих или агентов.

Любой иск, связанный с международной перевозкой на основании Конвенции, погашается давностью, если судебное или арбитражное разбирательство не начато в течение двух лет. Однако если уведомление в письменной форме с изложением характера и основных обстоятельств требования не было сделано в течение шести месяцев после дня выдачи груза или если груз не был выдан после дня, когда он должен быть выдан, исковая давность погашается по истечении этого срока.

Срок исковой давности начинается в день, следующий за тем днем, когда оператор смешанной перевозки выдал груз или часть груза, а в случае если груз вообще не был выдан - в день, следующий за последним днем, когда груз должен был быть выдан. Лицо, которому предъявлено требование, может в любое время в течение срока исковой давности продлить этот срок путем заявления, сделанного в письменной форме заявителю требования. Этот срок может быть в дальнейшем продлен путем другого заявления или заявлений.

ГЛАВА 2. ОРГАНИЗАЦИЯ ПРОЦЕССА ГРУЗОПЕРЕВОЗОК В ОАО «РЖД» НА ОСНОВЕ ЛОГИСТИЧЕСКИХ ТЕХНОЛОГИЙ

2.1 Анализ существующей системы управления грузоперевозками в ОАО «РЖД»: проблемы функционирования

Действующий в настоящее время в ОАО «РЖД» механизм управления процессом перевозок складывается из функционирования двух вертикалей управления, являющихся смежными и взаимосвязанными элементами единой системы: вертикаль управления по линии ЦД (перевозочный процесс); вертикаль управления по линии СФТО (сбыт, экономика и финансы).

В процессе организации конкретной перевозки на станции отправления осуществляется постоянное взаимодействие составляющих: «Сбыт» - «Производство» (перевозка) - «Финансы», для обеспечения Единого технологического процесса приёма и оформления грузов. В частности, работники вертикали «Сбыт» осуществляют оформление документов на станции отправления с учётом данных АСУП о конвенционных запрещениях, подачи/уборке подвижного состава, исполнении приёмосдаточных операций. Также учитывают данные блока «Финансы» о наличии денег на счёте клиента для недопущения перевозок без оплаты.

Вертикаль управления производством по службе перевозок осуществляет Центральная дирекция управления движением - филиал ОАО «РЖД». Диспетчерский аппарат Центра Управления Перевозками (ЦУП ОАО «РЖД») во взаимодействии с Дорожными Центрами Управления перевозками (ДЦУ) и Дирекциями управления движением (ДЦС) во взаимодействии со смежными железнодорожными службами и другими участниками транспортного процесса.

Вертикаль управления сбытом по службе СФТО осуществляет аппарат Центра Фирменного Транспортного Обслуживания (ЦФТО ОАО «РЖД») во взаимодействии с Дорожными Центрами (ДЦФТО) и Районными Агенствами (РАФТО) на базе железнодорожных станций (ДС), во взаимодействии со смежными участниками транспортного процесса (грузоотправителями, экспедиторами, операторами и т.д.), а также другими видами транспорта.

Управление сбытом по линии СФТО осуществляется путем планирования объемов перевозок во взаимодействии с экспедиторскими и другими организациями, выполняющими вспомогательные операции к основной производственной деятельности железнодорожного транспорта.

На рисунке 5 взаимодействие вертикалей управления ОАО «РЖД» представлено последовательностью связей (см. рис. 5):

Связь 1. На основании плана (заявок) на перевозку осуществляется техническое нормирование. В рамках этой связи согласовывается заявка на перевозку.

Связь 2. На основании согласованных заявок составляется сменно-суточный план перевозок.

Связь 3, 4. На основании информации о конвенционных запрещениях и платежеспособности клиента принимается решение о подаче/уборке подвижного состава и исполнении погрузо-выгрузочных операций.

Связь 5. Осуществляется контроль за продвижением грузов, в частности за нарушением срока доставки. В случаях отклонения от срока доставки «Коммерческий диспетчер» ОАО «РЖД» принимает решение, о приоритетности пропуска грузопотока исходя из значимости планируемой перевозки, доходности, а также платежеспособности клиента на основании его текущих счетов.

Связь 6. На основании информации, поступающей через «Коммерческого диспетчера» ОАО «РЖД», принимаются решения о подаче под выгрузку на основании своевременной оплаты за перевозки. Снимаются конфликтные ситуации между грузополучателем и ОАО «РЖД».

Связь 7. Поступление информации для производства финансовых расчетов по окончании гружёного рейса о фактическом маршруте следования груза. Необходимо для оценки эксплуатационной работы, для оптимизации процесса подготовки и организации перевозки, а также в случае предъявления претензий по перевозке.

Существующие правила планирования и организации процесса перевозок на железнодорожном транспорте, применяемые обеими вертикалями управления, основаны, по сути, на логистических принципах. В тоже время, оперативное управление процессом перевозок ведется путем применения традиционной для железнодорожного транспорта технологии сменно-суточного планирования, основанной на выполнении количественных показателей технического нормирования эксплуатационной работы.

Это приводит к тому, что сложившаяся система управления не отвечает современным требованиям, предъявляемым пользователями услуг железнодорожного транспорта, поскольку не нацелена на выполнения конечной задачи - организации доставки груза в полном соответствии с договором на перевозку, а взаимодействие между смежными ветвями вертикали управления оставляет желать лучшего. Слабым звеном существующего процесса организации перевозок на железнодорожном транспорте является недостаточное влияние конечных этапов перевозки на начальные этапы, когда возникает потребность оперативной корректировки планов перевозки из-за возникновения, по различным причинам, сбоев транспортного конвейера.

Одним из узких мест транспортного конвейера при организации смешенных перевозок является стык между железнодорожным и другими видами транспорта. Особенно это проявляется при перевозке экспортных грузов через морские порты и сухопутные пограничные переходы РЖД. В настоящее время на подходах к припортовым и пограничным станциям в среднем ежесуточно простаивают в ожидании приема более 100 «брошенных» поездов, а на самих перегрузочных станциях - около 1000 вагонов в ожидании перегрузки. В результате этого железнодорожный транспорт ежесуточно несет потери в размере порядка 2,2 миллиона рублей в сутки.

Основной причиной такого положения является неритмичный и несогласованный подвод грузов к портам и пунктам перевалки, а также недостаточное развитие и использование имеющихся перерабатывающих мощностей по перегрузке грузов на другие виды транспорта. Неритмичный и несогласованный подвод грузов к пунктам перевалки возникает из-за отсутствия единого транспортного конвейера, разобщенности видов собственности и систем управления транспорта и других субъектов, участвующих в технологическом процессе перевозки.

Транспортный рынок в настоящее время представляет совокупность самостоятельных организаций - перевозчиков и посредников - с выраженным преобладанием мелкого капитала. Сложившиеся условия влекут изменения установившихся взаимоотношений между грузовладельцами, транспортными посредниками (агентами, операторами, экспедиторами) и владельцами инфраструктуры магистральных видов транспорта. Каждый участник процесса смешанных перевозок с участием нескольких видов транспорта преследует только свою выгоду, не согласовывая свои действия со смежниками.

Грузоотправители заинтересованы в своевременной (быстрейшей) отправке товаров со своих предприятий и транспортировке их по назначению независимо от проблем железной дороги и перегрузочных пунктов (портов). Порты заинтересованы в получении максимальной прибыли независимо от роста объемов перевалки грузов и проблем железнодорожников. Экспедиторы заинтересованы в увеличении объема перевозок не зависимо от провозных возможностей транспортной инфраструктуры. Но никто пока не может организовать перевозку в интересах грузовладельца с наименьшими затратами и с оптимальной выгодой для всех участников процесса.

В настоящее время в нашей стране не существует органа, осуществляющего оперативное регулирование перевозок грузов в Единой транспортной системе. Оперативное управление перевозочным процессом разорвано на части по видам транспорта, участвующего в цепи перевозок: железнодорожную - от станции до станции, водную - от порта до порта, автомобильную - от отправителя до станции или порта и от станции или порта до получателя (включая прямые перевозки от отправителя до получателя).

Перед грузовладельцами постоянно встает ряд проблем, - на каких базисных условиях заключить договор на перевозку или продажу товара, какой выбрать маршрут транспортировки, каким образом заплатить за перевозку минимальную цену, как оформить таможенные процедуры и так далее. Известно, что коммерческий успех товара или транспортной услуги зависит не только от соотношения цены и качества, но и от того, насколько удачно выбраны схемы поставки, оплаты, транспортировки и складирования.

В современных условиях на выбор схемы поставки в смешанном сообщении влияют не только традиционные параметры (объем перевозок, расстояние, цена транспортировки, пропускные способности магистральных путей и портовых мощностей), но и такие, как формы оплаты провозных платежей, размеры таможенных и других сборов в морских и речных портах, порядок и продолжительность проведения таможенных и сертификационных процедур, толкование налоговыми органами на местах положений и инструкций, конвенционные запреты и сроки навигации, глубины фарватеров на подходах к портам. Подобная информация существенна для грузовладельца, для которого транспортная перевозка является неразрывной составляющей (частью) логистической цепи поставки товара (груза) как с производственно-технологической, так и с коммерческой точек зрения. Поэтому для решения данной задачи необходим подход, позволяющий учесть все типы элементов, потоков и правовых связей цепи в едином комплексе.

Повышение качества транспортного сервиса должно предусматривать предоставление клиенту возможности выбора маршрута следования (как по территории своей страны, так и за ее пределами), наличие полной информации о ходе доставки грузов по каждому виду транспорта, повышение гибкости перевозочного процесса (варьирование режимами доставки в зависимости от требований клиентуры, динамики конъюнктуры на товарных, сырьевых и транспортных рынках).

Важную роль в повышении качества транспортного сервиса могут сыграть следующие меры:

создание высокоэффективной информационной среды для определения маршрута следования и управления доставкой внешнеторговых грузов в смешанном сообщении;

организация контроля за транспортными и грузовыми единицами на всем пути следования и информирование об этом клиентуры;

предоставление комплексных логистических услуг, оказываемых в сотрудничестве с экспедиторскими и другими транспортными организациями, в т.ч. зарубежными;

обеспечение сохранности и качества перевозимых грузов;

проведение гибкой тарифной политики при тесном взаимодействии с другими видами транспорта, банками, таможнями, налоговыми инспекциями и другими контролирующими органами.

Внедрение современных информационных технологий предполагает высокий уровень транспортных услуг. Товар должен быть доставлен к месту потребления в условленный срок, в необходимом количестве и качестве, а сопутствующие услуги должны оказываться в нужное время, в нужном объеме, в нужном месте и в нужном качестве. Оформление перевозки должно быть доступным и простым, маршрут перемещения груза необходимо выбирать рациональным и экономичным как с точки зрения перевозчиков, так и с точки зрения пользователей транспортных услуг: грузовладельцев, экспедиторов, операторов и других участников процесса перевозок.

В связи с этим, поскольку железнодорожный транспорт как никакой другой в настоящее время имеет мощнейшие информационные ресурсы, отображающие в реальном масштабе времени динамику абсолютно всех технологических процессов по перемещению транспортных объектов и грузов, располагает высокоразвитыми каналами связи и программно-вычислительными комплексами, вполне логично и закономерно заключение о том, что ОАО «Российские железные дороги» надлежит стать инициатором и учредителем главного и региональных логистических центров. Это позволит отрасли занять главенствующую и доминирующую роль в управлении грузопотоками в масштабах всего транспортного комплекса страны. Возможности ОАО «РЖД», как крупнейшего участника транспортного рынка, позволяют возглавить процесс объединения усилий, направленных на ликвидацию проблем стыковых пунктов, с возможным поглощением мелких участников транспортного конвейера и созданием единой транспортной корпорации. Предлагаемый подход к системе логистического управления транспортными грузопотоками во взаимодействии железнодорожного транспорта со смежными видами транспорта, морскими и речными портами, крупными промышленными комплексами, транспортными системами других стран и другими участниками транспортного процесса на основе эффективного использования информационно-управляющих и аналитических технологий должен позволить решить основные проблемы, связанные с беспрепятственным прохождением грузов через стыковые пункты транспортных узлов России, путем создания логистической системы управления грузопотоками

Основными целями создания логистической системы управления грузопотоками являются:

обеспечение беспрепятственного прохождения грузов через стыковые пункты транспортных узлов;

- оптимизация перевозочного процесса с участием нескольких видов транспорта;

- ускорение движения грузов внешней торговли в смешанном сообщении;

максимальное использование существующих возможностей всех видов транспорта, в т.ч. создание условий наиболее полного использования возможностей портов России для увеличения объемов торговли и усиления конкурентоспособности торговых путей (транспортных коммуникаций и коридоров), проходящих по территории и через порты России;

привлечение дополнительных грузопотоков на транспортные коридоры, проходящие по территории России; уменьшение потерь в процессе транспортировки.

В конечном итоге достижение этих целей должно уменьшить затраты грузовладельцев при перевозках грузов и повысить доходность и устойчивость функционирования транспортного комплекса России.

 

2.2 Особенности организации взаимодействия железнодорожного и морского транспорта в системе смешенных перевозок

Слабым звеном в организации смешенных перевозок в транспортной системе страны, как было показано выше, является стык между железнодорожным и другими видами транспорта. Особенно это проявляется при перевозке экспортных грузов через морские порты и сухопутные пограничные переходы. Сегодня основными подходами к организации перевозок в смешанном железнодорожно-водном сообщении являются следующие: организация перевозок с участием агента фрахта; организация перевозок при наличии оператора смешанной перевозки (транспортного оператора). Графическая интерпретация взаимодействия участников перевозочного процесса представлено на рисунке 7.

Рис. 7. Варианты организации перевозок в смешанном железнодорожно-водном сообщении

Первый подход (см. рис. 7-а) характеризуется созданием информационной логистической цепочки «грузоотправитель-порт-оператор фрахта-судно», в которой агент фрахта сведения о подходе вагонов по железной дороге получает от порта. Управляющие воздействия по согласованию подвода вагонов и судна исключены, так как агент по договору с заказчиком обеспечивает только фрахт судна в конкретный порт на определенную дату.

При втором подходе (см. рис. 7-б) логистическая цепочка включает и железнодорожного перевозчика, однако, только на уровне слежения за подводом вагонов. Оператор смешанной перевозки имеет возможность корректировать подвод судна исходя из фактического подхода вагонов в порт. В транспортных узлах европейских стран вопросы перевалки грузов с железнодорожного транспорта на морской и обратно решаются именно с помощью операторов смешанной перевозки, в виде уполномоченных грузовладельцами экспедиторов.

Наряду с необходимостью идентификации общих подходов и международных нормативно-правовых основ к организации смешанных перевозок для нашей страны «копирование» зарубежных технологий смешанных перевозок, представляется неоправданным, так как на российском транспортном рынке ситуация значительно отличается: доля грузов, завозимых железнодорожным транспортом в морские порты, превышает 70%, а по отдельным портам достигает 95%; выгрузочные возможности российских портов составляют 75% от провозной способности железных дорог; отсутствует нормативно-правовая база для деятельности операторов смешанной перевозки, осуществляющих основную деятельность по организации перевозок за рубежом. Все это приводит к необходимости поиска новых форм организации перевозок, обеспечивающих координацию перевозочного процесса в смешанном сообщении на всем пути следования от продавца до покупателя.

Экономико-математическая модель оптимизации взаимодействия железнодорожного и морского транспорта может быть описана функцией

{; } → 0, (3)

где:  - суммарные эксплуатационные затраты, связанные с непроизводительным простоем вагонов с грузом на припортовой станции и на подходах к ней в ожидании судна, рублей; - суммарные эксплуатационные затраты, связанные с непроизводительным простоем судов в порту в ожидании груза, рублей.

Реализация этой функции может быть обеспечена только при условии удовлетворения вектору критериев оптимальности , имеющему следующий вид:

={, , } (4)

Критерий  определяет необходимость подвода вагонов к транспортному узлу в соответствии с погрузочно-выгрузочными возможностями порта по всей номенклатуре грузов. В соответствии с критерием  наличные возможности складских площадей в порту должны обеспечивать накопление грузов в размере судовых партий. Критерий  устанавливает необходимость согласованного подвода вагонов к моменту прибытия судна для данного груза в порт.

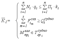
Таким образом, оптимизация взаимодействия железнодорожного и морского транспорта будет обеспечиваться только в том случае, когда удовлетворяется система ограничений, представляющая собой вектор технико-технологических критериев оптимальности .

 

 (5)

 

где:  - среднесуточное количество вагонов, прибывающих в порт с i-ым грузом, вагонов;  - техническая норма загрузки вагона i-ым грузом, тонн/вагон; n - общее количество номенклатур грузов, прибывающих в порт;  - производительность погрузочно-разгрузочной машины при работе с i-ым грузом, тонн/сутки;  - количество погрузочно-разгрузочных машин для i-ого груза;  - вместимость m-ого склада для хранения i-ого груза до величины судовой партии, тонн; m=, здесь s - общее количество складов для хранения i-ого груза;  - грузоподъемность судна, загружаемого i-ым грузом, тонн;  - множество дат прибытия вагонов с i-ым грузом в порт до величины судовой партии;  - календарный период погрузки судна i-ым грузом.

С целью разработки мероприятий, позволяющих улучшить качество взаимодействия железнодорожного и морского транспорта, необходимо проанализировать все обстоятельства, способствующие задержкам поездов на подходах к морским портам. Ряд исследований проведённых отечественными специалистами позволяют выделить главные причины (факторы) влияющие на качество взаимодействия железнодорожного и морского транспорта (табл. 4).

Таблица 4. Основные причины и факторы, влияющие на качество взаимодействия железнодорожного и морского транспорта

Причины бросания поездов

Факторы, способствующие бросанию поездов


1 уровень

2 уровень

1. Несогласованный подвод вагонов и судов

1.1. Отсутствие информации о подходе судов

- фрахт судов иностранными покупателями; - непредставление данных при погрузке отправителем


1.2. Отсутствие контроля за согласованным подводом вагонов и судов

- нет календарных графиков согласованного подвода вагонов к прибытию судна.


1.3. Невыполнение принципа «доставка точно в срок»

- отсутствие логистических принципов управления продвижением грузопотоков

2. Неосвоение заявленного объема перегрузки портом

2.1. Недостаточная перерабатывающая способность погрузочно-разгрузочных механизмов (ПРМ)

- поломки оборудования; - недостаточное количество ПРМ


2.2. Отсутствие свободных складских площадей

- отсутствие судов; -недостаточная вместимость складов

3. Неравномерное прибытие грузов в вагонах на припортовую станцию

3.1. Погрузка сверх заявки без учета перегрузочных возможностей порта



3.2. Неравномерная отгрузка

- нарушение графиков отгрузки

4. Форс-мажорные обстоятельства

4.1. шторм



4.2. сильный ветер



4.3. ледовая обстановка


5. Несовершенство существующей нормативно-правовой базы

5.1. нет федерального закона о смешанных перевозках



5.2. отсутствует понятие и статус оператора смешанной перевозки



С целью выявления значимости каждого из вышеперечисленных факторов Балалаев А.С. и Леонтьев Р.Г. в своих исследованиях использовали метод экспертных оценок. Результаты обследования сведены в таблицу 5.

Таблица 5. Удельный вес причин, связанных с задержками поездов

Основные причины задержек поездов

Удельный вес, %

1. Несогласованный подвод вагонов и судов

50

2. Неравномерное прибытие груза на станцию

25

3. Невыполнение плановых норм перегрузки портом

20

4. Форс-мажорные обстоятельства (непогода)

5


Как видно из материалов исследований (см. табл. 4-5) значительный удельный вес причин, связанных с несогласованным подводом вагонов и судов, а также неравномерным (сгущенным) подводом груза к портам, обуславливается следующими факторами.

Первый фактор. Эффективность смешанных перевозок в первую очередь зависит от успешного взаимодействия на уровне «железная дорога - морской транспорт». Необходимо отходить от стереотипа, что взаимодействие железнодорожного и морского транспорта начинается и заканчивается в порту. Морской порт представляет собой стационарный инфраструктурный элемент транспортной логистической цепи с четко определенной стратегической целью - перегрузка груза с железнодорожного транспорта на морской и обратно - и взаимодействием железнодорожного и морского транспорта заниматься не должен и не может по определению. В настоящее время уровень «станция-порт» может эффективно функционировать только при создании новой технологии взаимодействия железнодорожного и морского транспорта.

Второй фактор. Грузоотправитель не заинтересован в скорейшей перевалке груза. Сложившаяся в настоящее время практика заключения международных контрактов купли-продажи между российскими продавцами и зарубежными покупателями на условиях ФОБ - FОВ (Fгее оn board) - «свободно на борту» не способствует организации четкой и слаженной организации перевалки грузов с железнодорожного транспорта на морской. В соответствии с этим условием фрахт судна осуществляет зарубежный покупатель, который планирует подвод судна с таким расчетом, чтобы груз уже был на месте (на причале или в вагонах).

Более прогрессивным является условие поставки СИФ - СIF (Соаst, Insurance, Freight) - «стоимость, страхование, фрахт». В этом случае российский продавец в соответствии с контрактом купли-продажи отвечает за его доставку по принципу «точно в срок» до порта назначения. Однако это условие поставки практически не применяется в связи с крайне ограниченным количеством флота, обращающегося под российским флагом, а также отсутствием законодательно оформленных операторов смешанной перевозки, которые за рубежом осуществляют основной объем мультимодальных перевозок.

Третий фактор. Уровень информированности ОАО «РЖД» о подходе судов не соответствует реалиям сегодняшнего дня и должен быть усовершенствован с точки зрения его достоверности и своевременности получения, а также возможности использования для согласования подвода вагонов и судов. На рисунке 8 представлена схема движения предварительной информации о подходе судов в российский морской порт.

Рис. 8. Существующая схема движения информации о подходе судов

Дату прибытия судна в российский морской порт определяет зарубежный фрахтователь на основании информации от продавца об отгрузке груза и дате прибытия его пункт перевалки. Эта информация через представителя грузоотправителя передается в порт, являющийся получателем груза на российской территории. Припортовая станция получает предварительную и точную информацию уже от порта. Использование получаемой в настоящее время информации не может быть эффективным по следующим причинам. Во-первых, отсутствие материальной ответственности за качество информации не стимулируют ее достоверность. Во-вторых, получение информации в последнюю очередь лишает железнодорожного перевозчика (ОАО «РЖД») возможности управления подводом вагонов на равных правах с портом исходя из своих и совместных интересов. В-третьих, наличие даже достоверной информации при отсутствии структуры в рамках ОАО «РЖД», которая может на ее основе организовать подвод именно того груза, под который подходит судно, делают информацию бесполезной. Таким образом, существующая система информационных потоков требует серьезной корректировки в пользу ОАО «РЖД».

Четвертый фактор. Морской порт ориентирован на обработку транспортных средств морского флота. Морской порт обрабатывает транспортные средства железнодорожного и морского транспорта. В связи с тем, что штрафные санкции в отношении простоя морских судов больше чем вагонов, он заинтересован в минимизации простоя морских судов. На рисунке 9 представлена диаграмма распределения простоя судов, обрабатываемых на угольном терминале порта Восточный, в соответствии с которой на ответственность порта относится только 2,7% (23,3 часа) от общего времени.

Рис. 9. Диаграмма распределения простоя судов в порту

Вместе с тем на отсутствие груза как причину простоя судов отнесено 43,6% (375,4 часа) от общей суммы часов и это притом, что в адрес данного терминала ежегодно простаивает в виде брошенных поездов от 1500 до 2000 поездов (в среднем 4 - 5,5 составов в сутки). Из этого можно сделать следующие выводы.

Во-первых, простои судов по вине порта минимальны, что свидетельствует о высокой степени ответственности по отношению к транспортным средствам морского флота, подкрепляемой материальной ответственностью.

Во-вторых, в связи с тем, что отсутствие достаточного количества груза для загрузки судна не относится на ответственность порта, у него нет стимула для совместной работы с железнодорожниками по согласованию подвода вагонов к прибывающим судам. С другой стороны порт заинтересован в скорейшей погрузке судна, так как занятие причальной стенки судном в ожидании груза чревато невозможностью погрузки другого судна, для которого груз имеется в наличии в полном объеме. Наиболее простым способом выхода из этой ситуации при дефиците складских площадей является накопление груза в вагонах на подходах к порту.

Таким образом, одной из основных причин брошенных поездов является отсутствие согласования по подводу вагонов именно с тем грузом, который планирует забирать судно, прибывающее в порт. Вагоны обрабатываются портом не в порядке поступления, а под конкретное судно, поэтому необходимо организовывать подвод грузов, необходимых для загружаемого судна, при этом инициатива и управляющие воздействия должны исходить от железнодорожного перевозчика, который в единственном числе заинтересован в сокращении простоя своих транспортных средств. В этой связи, необходимость нового подхода к организации мультимодальных перевозок определяется следующими положениями, вытекающими из анализа существующей ситуации:

. При организации мультимодальных перевозок необходимо переходить на уровень «железная дорога - морской транспорт» с одновременным совершенствованием форм взаимодействия на уровне «станция - порт».

. При заключении международных контрактов купли-продажи на условиях поставки ФОБ нецелесообразно полагаться на заинтересованность грузоотправителя в скорейшей перевалке груза, так как он не влияет на этот процесс.

. Необходимо менять систему информирования железнодорожного перевозчика о подходе морских судов с одновременным созданием структуры, способной воспользоваться этой информацией.

. Ориентация при организации мультимодальных перевозок на морской порт как на представителя морского транспорта бесперспективна, так как он не является перевозчиком и, кроме того, его интересы намного ближе к интересам судовладельцев, чем железнодорожников.

Таким образов, наиболее эффективным резервом повышения качества взаимодействия железнодорожного и морского транспорта является применение логистического подхода к управлению смешенными перевозками. Можно выделить следующие организационно-технологические мероприятия:

Первое. Необходимо организовать планирование подвода вагонов под конкретные суда. Для этого требуется изменить систему информационного взаимодействия между российским продавцом, портом и железной дорогой на уровне ОАО «РЖД». Схема предлагаемого информационного взаимодействия представлена на рисунке 10.

Рис. 10. Предлагаемая схема движения информации о подходе судов

Такая организация информационного взаимодействия позволяет железнодорожному перевозчику управлять подводом вагонопотока и исключать накопление вагонов в виде брошенных поездов, зависящих от несогласованного прибытия подвижного состава смежного вида транспорта.

Второе. Как отмечалось выше, целесообразно создание логистической системы, способной управлять сложными процессами взаимодействия на стыках транспортного коридора и на основе информационного обеспечения принимать решения в области перевозочного процесса. Задача создания рациональной, экономически целесообразной и взаимовыгодной для всех участников перевозки структуры управления грузопотоками с использованием двух и более видов транспорта, должна решаться в направлении формирования системы управления перевозками, обеспечивающей усиление взаимодействия на уровне «железная дорога - морской транспорт» и включающей в качестве подсистем корпоративные логистические центры, создаваемые на базе припортовых железных дорог - филиалов ОАО «РЖД». Основой системы должен являться региональный транспортно-логистический центр, цель создания которого заключается в увеличении объема перевозок транзитных грузов через российские участки международных транспортных коридоров за счет совершенствования уровня организации экспортно-импортных и внутренних перевозок в смешанном железнодорожно-водном сообщении.

 

2.3 Организация мультимодальных грузоперевозок на основе системы транспортно-логистических центров ОАО «РЖД»

Принимая во внимание тот факт, что железнодорожный транспорт является основным магистральным видом в едином транспортном комплексе страны. Имеет мощнейшие информационные ресурсы, каналы связи и программно-вычислительные комплексы - логично использование этого потенциала для создания на его основе транспортной логистической системы, организующей взаимодействие между всеми видами транспорта, направленное на единую цель - организацию перевозок грузов с наименьшими потерями и оптимальной прибылью для всех участников транспортного процесса.

Логистическая система управления грузопотоками (далее - Логистическая система) должна исключить дискриминацию участников транспортного процесса, обеспечить свободный доступ к информации о ее работе, соблюсти баланс интересов субъектов, участвующих в Логистической системе на условиях партнерства, обоюдовыгодного сотрудничества, добросовестной конкуренции, свободы выбора для грузовладельцев, перевозчиков и других субъектов рынка перевозок. Инфраструктурной основой Логистической системы должна стать сеть Логистических центров (главного, региональных и районных логистических центров).

В настоящее время существует достаточно много подходов, как к понятию логистического центра, так и к функциям, которые он должен осуществлять. Разнообразие условий, связанных с организацией перевозочного процесса в рамках продвижения сквозного материального потока, предполагают детально рассмотреть сущность логистических центров и их место в системе мультимодальных перевозок. На рисунке 11 приведена возможная классификация логистических центров.

Рис. 11. Классификация логистических центров

Основные особенности функционирования универсальных логистических центров приведены в таблице 6.

Таблица 6. Основные особенности функционирования универсальных логистических центров

Признаки

Универсальные логистические центры


региональные

узловые

терминальные

Целевая функция

формирование логистических цепей и контроль за их функционированием

обеспечение взаимодействия различных видов транспорта и органов государственного контроля (при международных перевозках)

объединение процесса грузонакопления и грузопереработки с организацией входящего и выходящего транспортных потоков в единую технологию

Сфера деятельности

информационно-технологические

информационные, технологические

информационно-технологические

Зона деятельности

в рамках формируемой логистической цепи

в рамках транспортного узла

в рамках терминала

Воздействие на материальный поток

управляющие, распределительные

управляющие

распределительные

Вид материального потока

в виде грузового, транспортного потока

в виде транспортного потока

в виде грузового потока

Количество участвующих видов транспорта

один и более

два и более

два и более

Наличие собственной инфраструктуры

на уровне взаимодействия с логистическими центрами терминального уровня

на уровне взаимодействия с логистическими центрами терминального уровня

присутствует в виде терминальных комплексов (собственность, аренда)


Анализ отечественных исследований и опыта работы логистических центров на железнодорожном транспорте позволяет констатировать следующее:

во-первых, логистические центры создаются в первую очередь на припортовых железных дорогах, что свидетельствует о важности организации взаимодействия железнодорожного и морского транспорта;

во-вторых, функционирование корпоративных логистических центров ориентировано в первую очередь на взаимодействие с портами, а не смежными видами транспорта;

в-третьих, корпоративные логистические центры не в состоянии организовать согласованный подвод вагонов и судов исходя из критерия минимизации затрат всех участников перевозочного процесса, так как являются представителями одного вида транспорта и обеспечивают сокращение его издержек.

В этой связи организация взаимодействия различных видов транспорта должна осуществляться независимыми структурами, как отмечалось выше -логистическими системами, объективно обеспечивающими равенство интересов всех перевозчиков и работающими в контакте с ними, но в пользу клиента (грузовладельца).

Миссией региональных транспортно-логистических центров является создание благоприятных условий для организации мультимодальных перевозок и повышения загрузки международных транспортных коридоров, проходящих по территории России за счет обеспечения качественного транспортного сервиса на основе мирового опыта с учетом специфики российского транспортного рынка.

Целью создания регионального транспортно-логистического центра является увеличение объема перевозок грузов через российские участки международных транспортных коридоров за счет совершенствования уровня организации транзитных, экспортно-импортных и внутренних перевозок в смешанном железнодорожно-водном сообщении.

Достижение этой цели возможно через реализацию комплекса стратегий, основными из которых, являются: а) обеспечение полного логистического обслуживания грузовладельцев на всем пути следования груза; б) исключение простоя брошенных поездов на подходах к транспортным узлам; в) минимизация времени нахождения грузов в транспортных узлах за счет согласованного подвода вагонов и судов; г) рациональная и равномерная загрузка портов региона; д) перспективное развитие портов и транспортной инфраструктуры в регионе. Схема оперативного управления смешанными перевозками и место регионального транспортно-логистического центра как координатора этого процесса приведена на рисунке 12.

Рис. 12. Схема оперативного управления смешанными перевозками и место регионального транспортно-логистического центра как координатора этого процесса

Инновационный подход к организации мультимодальных перевозок на основе региональных центров, заключается в комплексном использовании следующих преимуществ. Во-первых, он является получателем груза на российской территории. Это обстоятельство обеспечивает решение всех вопросов, связанных с перевалкой груза на другой вид транспорта и взаимодействием с органами государственного контроля. Во-вторых, деятельность в качестве фрахтователя судна позволяет исключить посредническое звено в виде агента фрахта, действующего только в интересах грузовладельца, что реализует принцип управления сквозным материальным потоком на самом сложном этапе его проследования. В-третьих, обеспечивая взаимодействие со всеми портами региона и являясь фрахтователем, логистический центр имеет возможность заблаговременно переадресовывать вагоны (по согласованию с грузовладельцем) в другой порт региона в размере судовой партии при возникновении или прогнозировании затруднений с перегрузкой груза в порту первоначального назначения для исключения простоя невыгруженных вагонов. В-четвертых, являясь оператором смешанной перевозки, он территориально располагается в регионе зарождения грузопотока, поступающего на железную дорогу (для импорта и транзитных грузов) и завершения следования груза железнодорожным транспортом (для экспорта и транзитных грузов). Это позволяет ему хорошо понимать региональную специфику портов и взаимодействия с железнодорожным транспортом для того, чтобы оперативно выявлять неблагоприятные для продвижения товаропотока обстоятельства и своевременно на них реагировать.

 

Рис. 13. Основные направления деятельности логистических центров

В качестве основных направлений в организации деятельности логистических центров необходимо выделить следующие (см. рис. 13): оперативное управление процессами перевозки и перевалки грузов; информационное взаимодействие на базе современных инструментальных средств; коммерческое взаимодействие и экономическая ответственность субъектов транспортного региона за бесперебойность функционирования транспортного узла; нормативно-правовое регламентирование и регулирование порядка технологического, информационного и коммерческого взаимодействия, а также обеспечение безопасности движения поездов, мореплавания, охраны окружающей среды; решение проблемы инвестирования развития инфраструктуры транспортных узлов на базе морских и речных портов и стыковых пунктов с другими видами транспорта; централизация экспедиторских, стивидорских и других вспомогательных транспортных операций на основе создания высокопрофессиональных транспортных, операторских компаний.

Рис. 14. Основные предпосылки создания Логистической системы по управлению грузопотоками на базе ОАО «РЖД»

В настоящее время на железнодорожном транспорте созданы необходимые предпосылки (см. рис. 14) внедрения логистических технологий в масштабе всей транспортной системы России, а именно: создана самая мощная транспортная компания страны - ОАО «РЖД», имеющая наибольшие финансовые возможности и выполняющая основной объем перевозок грузов; создана развитая инфраструктура путей сообщения, охватывающая все экономически развитые регионы страны и имеющая резервы увеличения провозной способности; создана единая централизованная вертикаль оперативного управления перевозками; создана мощная информационная база, объединяющая все информационные потоки железнодорожных перевозок; созданы автоматизированные системы управления перевозками, позволяющие спланировать, организовать и отследить все этапы перевозки от пунктов зарождения грузопотока до пунктов его погашения; имеется научная и образовательная база, обеспечивающая подготовку квалифицированных специалистов и разработку новых прогрессивных автоматизированных систем управления; созданы правовая и юридическая базы, позволяющие перейти на договорные взаимоотношения со всеми участниками и пользователями услуг транспортного комплекса России; накоплен опыт организации взаимодействия различных видов транспорта; ведется разработка Единых технологических процессов (ЕТП) на базе автоматизированных систем по оперативному управлению работой портовых узлов и пограничных переходов.

Функционирование современной системы управления процессом перевозок на любом виде транспорта возможно только благодаря ускоренному, широкомасштабному и повсеместному внедрению комплекса автоматизированных систем и технологий (АСиТ) на всех уровнях процесса управления. На железнодорожном транспорте созданы мощнейшие информационные ресурсы, сконцентрированные в Главном вычислительном центре ОАО «РЖД» и Информационно-вычислительных центрах дорог (ИВЦ дорог), имеются мощные каналы связи, позволяющие вести оперативный обмен данных практически с любой точкой страны. Созданные информационные ресурсы и каналы связи остро востребованы всеми структурами и подразделениями железнодорожного транспорта, а также смежными видами транспорта и другими сторонними и внешними организациями, причастными к транспортному процессу.

Проведенные в последние годы на железных дорогах Российской Федерации работы по развитию информационной и сервисной инфраструктур подготовили необходимые предпосылки и базу для создания Логистической системы. Одновременно с этим, в организационном плане для создания вертикали управления сбытом перевозок была создана Система Фирменного Транспортного Обслуживания (СФТО) с Центром Фирменного Транспортного Обслуживания (ЦФТО) в г. Москве и сетью дорожных отделений (ДЦФТО) и агентств (РАФТО) на крупных узлах.

По линии производства создана вертикаль диспетчерских центров управления перевозками, объединившая разрозненный ранее по отделениям дорог диспетчерский аппарат. Введен в эксплуатацию Центр Управления Перевозками (ЦУП) ОАО «РЖД» в г. Москве, создана взаимосвязанная система дорожных центров диспетчерского управления перевозками (ДЦУ) и сеть Дирекций управления движением (ДЦС) на региональном уровне.

Для создания юридической базы функционирования железнодорожного транспорта в условиях его реформирования внесены изменения в новый транспортный устав, позволяющие перейти на договорные взаимоотношения с пользователями услуг транспортного комплекса России. Подготовлены предложения о внесении в Правила перевозок грузов порядка заключения типового договора между клиентом и железными дорогами о введении обмена электронными документами, создается технология работы с пользователями услуг транспортного комплекса России на договорной основе. Основной задачей Логистической системы должно явиться обеспечение взаимодействия всех участников транспортного процесса от каждого товаропроизводителя до каждого потребителя. Деятельность Логистической системы должна строиться на следующем принципе: изучение рынков производства и сбыта, как в России, так и за рубежом; привлечение грузов для перевозки на российскую транспортную систему; выстраивание логистической цепочки от производителя до потребителя, с участием всех видов транспорта и вспомогательных организаций; реализация логистической цепочки; управление процессом транспортировки; ответственность за реализацию логистической цепочки на всем пути следования груза любыми видами транспорта.

Необходимость создания «Логистической системы» подтверждается результатами анализа развития экономической политики ОАО «РЖД». Анализ деятельности ведущих мировых железнодорожных компаний показывает, что в настоящее время только ОАО «РЖД» получает основной объем доходов непосредственно от перевозок (95%), в то время как германская «Deutshe Bann AG» только 50%, а ведущая частная японская компания «Tokyu» - только 2% доходов. Остальной объем доходов эти компании получают от других видов деятельности, в т.ч. от предоставления логистических услуг, для «Deutshe Bann AG» - 27%.

Таким образом, можно констатировать, что именно на базе ОАО «РЖД» необходимо, возможно и целесообразно создать систему логистического управления грузопотоками с участием всех смежных видов транспорта. Наибольший эффект логистические центры на базе железных дорог могут обеспечить при размещении их в районах концентрации предприятий машиностроения, химической и нефтехимической, целлюлозно-бумажной, лесоперерабатывающей, легкой и пищевой промышленности, торговли, на стыке железных дорог и коммуникаций автомобильного, морского, внутреннего водного, воздушного транспорта.

Для реализации преимуществ международных транспортных коридоров, проходящих по территории Российской Федерации, будет создана логистико-провайдерская сеть, обеспечивающая «сквозной сервис» по транспортировке грузов на рынке евроазиатских перевозок. Согласно «Стратегии развития железнодорожного транспорта до 2030 года», будут построены терминально-логистические центры (ТЛЦ) в наиболее крупных транспортных узлах страны.

На первом этапе реализации «Стратегии» до 2015 года планируется создание опорной сети из 35-40 ТЛЦ в ключевых регионах России, что позволит предложить клиентам новый уровень качества логистических терминально-складских услуг.

В первую очередь предполагается создание многофункционального терминально-логистического центра «Белый Раст» в Дмитровском районе Московской области. Этот проект является пилотным в программе ОАО «РЖД» по формированию системы современных терминально-логистических комплексов на сети российских железных дорог. Терминально-логистический центр будет построен на севере от Москвы в непосредственной близости от железнодорожной станции «Белый Раст» и федеральной автотрассы А-107 (Малое московское кольцо).

На территории центра «Белый раст» планируется размещение контейнерного терминала (контейнеры 20/40/45TEU), терминала тяжеловесных и крупногабаритных грузов промышленного назначения, универсального складского комплекса для обработки тарно-штучных и паллетированных грузов, в том числе скоропортящихся, терминала для обработки колесной и гусеничной техники, включая обработку регулярных контрейлерных поездов, терминала для обработки насыпных грузов строительного назначения, центра таможенного оформления международных грузов, контейнерного сервисного центра.

Логистические центры будут созданы также в Ленинградской области («Шушары»), в Москве («Кунцево», «Курская»), Екатеринбурге, Нижнем Новгороде, Новосибирске, Иркутске и других городах; в пунктах стыка линий с разной шириной колеи и в морских портах Дальнего Востока - для обеспечения торговли России с Японией, Республикой Корея и другими странами ATP, a также евроазиатских связей.

ГЛАВА 3. ЛОГИСТИЧЕСКИЕ ЦЕНТРЫ ОАО «РЖД» КАК ОСНОВА НАЦИОНАЛЬНОЙ СИСТЕМЫ СМЕШАННЫХ ГРУЗОПЕРЕВОЗОК

3.1 Организационная структура системы транспортно-логистических центров ОАО «РЖД»

Организационная структура логистического управления, обеспечивающая механизм оптимального взаимодействия грузовладельцев, экспедиторов и различных видов транспорта, должна строиться на основе согласования целей и задач управления с экономическими интересами участников транспортного процесса. Управление грузопотоками с участием смежных видов транспорта транспортного комплекса России может быть реализовано на базе логистических центров, охватывающих всю «транспортную» территорию страны.

Такая система должна быть создана по вертикальному централизованному принципу: Главный логистический центр (ГЛЦ) - Региональные логистические центры (РгЛЦ) - Районные логистические центры (РнЛЦ) (рис.15).

Рис. 15. Система логистических центров

Главный логистический центр должен решать задачи стратегического управления грузопотоками на направлениях и транспортных коридорах, оперативно координируя деятельность Региональных логистических центров (РгЛЦ) во взаимодействии с международной логистической системой (МЛС). Региональные логистические центры должны осуществлять оперативное управление в рамках своего региона во взаимодействии со смежными РгЛЦ и Районными логистическими центрами своего региона. Районные логистические центры, являясь концентраторами информационных ресурсов, аккумулируют в себе и реализуют на консолидирующей основе все без исключения технологические функции по единому транспортному комплексу решающих узлов, расположенных в их сфере влияния.

Главный логистический центр (ГЛЦ) по управлению грузопотоками должен выполнять следующие функции:

осуществлять автоматизированный анализ, контроль за существующей структурой и конфигурацией грузопотоков по принципу их зарождения, следования и погашения, постоянный мониторинг грузов и определение перспектив зарождения, следования и погашения грузопотоков, руководство разработкой на основе перспективного анализа конфигурации, структуры и объема грузопотоков, технико-экономического обоснования и единой генеральной схемы развития всей инфраструктуры транспортного комплекса;

вести контроль за сбалансированностью пропускных, провозных и перерабатывающих мощностей смежных видов транспорта и транспортной инфраструктуры в целом и управление этим процессом, определение «узких мест» в единой транспортной инфраструктуре для последующего усиления пропускных, провозных и перерабатывающих мощностей железнодорожного, морского, портового, речного, автомобильного, авиационного, трубопроводного транспорта, складского терминального хозяйства и др.;

рационализировать систему организации грузопотоков (плана формирования грузопотоков), предусматривающую ускоренное продвижение груза с наименьшим количеством остановок и переработок в пути следования, для оптимизации схемы географического размещения терминалов и других транспортных объектов, перерабатывающих, пропускных и провозных мощностей единой транспортной системы России;

осуществлять контроль за разработкой проектно-сметной документации и проведением строительных работ по усилению транспортной инфраструктуры, управление проведением научно-исследовательских и опытно-конструкторских работ по разработке автоматизированных, информационно-управляющих и аналитических технологий, являющихся едиными, универсальными и типовыми для всего транспортного комплекса;

разрабатывать нормативные документы, регламентирующие технологическое взаимодействие всех участников единого транспортного процесса и определяющие элементы ответственности за его обеспечение,

осуществлять технологическую увязку с международной логистической системой управления грузопотоками;

осуществлять оперативное управление грузопотоками в транспортных коридорах на направлениях на основе реализации технологических функций прогноза, планирования, выполнения плана, контроля и анализа во взаимодействии с Международным логистическим центром, логистическими службами по управлению транспортными потоками стран ближнего и дальнего зарубежья и региональными логистическими центрами;

проводить обучение участвующих в транспортировке грузов экспедиторских, стивидорских, трейдерских компаний и других субъектов на основе применения высокоинтенсивной оптимизационной технологии слаженного взаимодействия всех участников транспортного процесса и особенно в транспортных узлах, вести контроль и анализ их деятельности.

Главный логистический центр должен решать задачи стратегического и оперативного управления грузопотоками на направлениях (международных коридорах).

Региональные логистические центры обеспечивают оперативное управление в рамках своего региона во взаимодействии со смежными логистическими центрами, Главным логистическим центром, а также Районными логистическими центрами, находящимися в их подчинении.

Региональные логистические центры должны выполнять следующие функции:

вести балансирование процесса пропуска грузопотока внутри региона, организовывать пропуск грузов на стыках со смежными видами транспорта (в портах и пограничных переходах), организовывать бесперебойную выгрузку на базе своевременного подвода грузов к крупным промышленным предприятиям;

осуществлять диспетчерскую поддержку перевозки в рамках региона;

регулировать подвод груза к межтранспортным стыковым пунктам в установленное время на базе взаимодействия с районными центрами (5-6-ти дневный прогноз, согласованность родов груза, даты прибытия);

осуществлять организацию перевозок внутри региона с учетом нескольких видов транспорта на базе логистических принципов;

вести планирование перевозок на базе заявок, поступающих в региональный логистический центр.

Региональные логистические центры предлагается создать по территориальному признаку. Западным регионом должен управлять Западный Региональный логистический центр с местом расположения в городе Санкт-Петербург на базе диспетчерского центра Октябрьской железной дороги. Южным регионом должен управлять Южный Региональный логистический центр с местом расположения в городе Ростов-на-Дону на базе диспетчерского центра Северо-Кавказской железной дороги. Уральским регионом должен управлять Уральский Региональный логистический центр с местом расположения в городе Екатеринбург на базе диспетчерского центра Свердловской железной дороги. Восточным регионом должен управлять Восточный Региональный логистический центр с местом расположения в городе Хабаровск на базе диспетчерского центра Дальневосточной железной дороги.

Основной задачей Районных логистических центров (РнЛЦ) является обеспечение слаженного технологического взаимодействия всех участников транспортировки грузов в транспортном узле. Другими задачами РнЛЦ на полигоне его действия являются: полное и своевременное обеспечение заявок на перевозку; диспетчерская поддержка перевозки; ведение постоянного мониторинга грузопотоков и определение перспектив зарождения и погашения грузопотоков; оперативное взаимодействие со смежными видами транспорта и грузообразующими предприятиями; установление прогрессивных норм и нормативов взаимодействия участников транспортного процесса; оптимизация распределения ограниченных ресурсов между обеспечивающими подразделениями РнЛЦ (терминалами, станциями и т.п.) и введение элементов конкуренции между ними.

Функции создаваемой системы логистических центров можно разделить на три основных категории: стратегические; оперативно-тактические; вспомогательные.

К стратегическим функциям системы логистических центров относятся:

анализ, изучение и контроль за существующей структурой и конфигурацией грузопотоков по принципу их зарождения, следования и погашения.

ведение постоянного мониторинга грузопотоков, определение перспектив их зарождения, следования и погашения.

выработка рекомендаций и технико-экономического обоснования (ТЭО) развития единой генеральной схемы инфраструктуры транспортного комплекса страны.

контроль за сбалансированностью пропускных, провозных и перерабатывающих мощностей смежных видов транспорта и транспортной инфраструктуры в целом, определение лимитирующих участков для последующего их развития.

разработка и внедрение единых технологических процессов (ЕТП) работы транспортных узлов, станций, портов и т.д., в которых должны быть обозначены и взаимоувязаны технологические функции всех участников транспортного процесса с определением экономической ответственности за нарушение нормативов своих технологических функций в вопросе слаженного и четкого взаимодействия всего транспортного комплекса узла;

привлечение инвестиций для развития транспортной инфраструктуры;

составление предложений по совершенствованию тарифной политики для создания оптимальных условий привлечения грузов на производственные мощности портов и транспортные коммуникации России, повышения их конкурентоспособности;

технологическая увязка с Международной логистической системой управления грузопотоками в рамках транспортных коридоров.

К оперативно-тактическим функциям системы логистических центров относятся: полное и своевременное обеспечение любых заявок на перевозку; выбор рациональной и оптимальной системы организации грузопотоков, предусматривающей ускоренный его пропуск; диспетчерская поддержка перевозки на всем ее протяжении; изучение коньюктуры транспортного рынка (маркетинг); оперативное взаимодействие с международными логистическими центрами; анализ деятельности экспедиторов, стивидоров, трейдеров и других субъектов, причастных к транспортировке грузов, на предмет определения качества и своевременности выполнения ими своих функций, для составления «рейтинг-листа» наиболее привлекательных компаний; разработка типовых нормативно-технологических документов организации взаимодействия участников транспортного процесса и порядка экономической ответственности за несоблюдение установленной технологии; установление прогрессивных норм и нормативов взаимодействия участников транспортного процесса; оптимизация распределения ограниченных ресурсов между обеспечивающими подсистемами (терминалами, станциями и т.п.) и введение элементов конкуренции между ними для снижения собственных издержек. К вспомогательным функциям системы логистических центров относятся: организация взаимодействия логистических посредников; организация обучения экспедиторов, стивидоров, трейдеров и других субъектов, причастных к транспортировке грузов, оптимизационной технологии организации перевозки грузов на основе слаженного взаимодействия всех участников транспортного процесса; организация конференций участников единого транспортного комплекса по вопросам высокоэффективной и слаженной работы транспортного конвейера как на территории России, так и за рубежом; выпуск обзорной литературы, дающей анализ и оценку эффективности единого транспортного комплекса в целом и отдельных его звеньев в частности с приведением мер, направленных на оптимизацию транспортного процесса; повышение привлекательности и высокого уровня сервиса, создание благоприятных условий для грузовладельцев, экспедиторов и других участников внешнеторговой деятельности.

Функционирование системы логистических центров должно базироваться на следующих основных компонентах:

. Единое информационное пространство, включающее совокупность информации обо всех объектах транспортного рынка (данные о грузопотоках в реальном масштабе времени, о состоянии фронтов погрузки/выгрузки, данные о заявках на погрузку).

. Единое транспортное пространство России должно корреспондировать с базами данных СНГ и стран Балтии, а также с базами стран дальнего зарубежья.

. Единое международное транспортное пространство должно обеспечивать взаимный обмен данными о транспортных единицах, находящихся на чужих территориях.

. Единое нормативно-правовое поле, регламентирующее технологическое взаимодействие всех участников транспортного процесса (единые правила перевозок, единые перевозочные документы, единые правила взаимодействия в транспортный узлах).

. Единая нормативно-справочная информация, включающая создание баз данных по грузам, грузоотправителям, грузополучателям, грузовладельцам, железным дорогам, маршрутам следования, морским путям сообщения, морским портам, транспортным узлам на базах морских портов, экспедиторам, операторам и другим субъектам транспортного рынка.

. Единые направления и подходы к определению задач по разработке автоматизированных, информационно-управляющих и аналитических технологий и других программ, являющихся едиными, универсальными и типовыми для всего транспортного комплекса.

3.2 Технологические особенности управления грузопотоками в районном транспортно-логистическом центре

Технология работы Районного логистического центра должна основываться на Едином технологическом процессе работы узла, предусматривающем согласованный со всеми участниками процесса подвод грузопотоков и подвижного состава в узле, обеспечивающего его дальнейшую перевозку (вагонов, судов, автомобилей и т.п.).

Создание и внедрение на основе единого технологического процесса работы транспортного узла (ЕТП) автоматизированной системы управления транспортным комплексом узла должно быть информационно и технологически увязано с Международным логистическим центром по управлению грузопотоками, логистическими службами стран Ближнего и Дальнего Зарубежья, Главным логистическим центром России по управлению грузопотоками, логистическими службами смежных видов транспорта, всеми участниками транспортного процесса, крупными производителями продукции (материальных ценностей), Центром управления перевозками (ЦУП) ОАО «РЖД», дорожными центрами управления перевозками (ДЦУ), дирекциями управления движением (ДЦС), станциями и всеми другими причастными предприятиями и организациями.

Обеспечение сбалансированности процессов планирования погрузки, самой погрузки, пропуска груза до станции назначения, выгрузки в транспортных узлах на стыках взаимодействия со смежными видами транспорта можно достигнуть путем заблаговременной передачи из системы СФТО через ДЦС района планирования погрузки в ДЦС района выгрузки информации о согласовании параметров перевозки (род груза, его количество, дата прибытия по назначению) на смежные виды транспорта (портом и другими участниками транспортного процесса). После подтверждения ими возможности организации перевозки, согласованная заявка должна быть возвращена в район планируемой погрузки для ее реализации.

Такое управление процессом заблаговременного планирования погрузки и согласованного подвода вагонов с грузами в порты обеспечит эффективное формирование судовых партий и именно уже на этапе заблаговременного планирования погрузки на станции отправления, а не на подходе к станции назначения или на самой станции, как это делается сейчас, когда вагоны непроизводительно простаивают в ожидании выгрузки или подхода судов.

По фактам непроизводительного простоя вагонов с грузами в ожидании их выгрузки по вине участников транспортного процесса, согласовавших планируемую перевозку, последние должны возмещать эти потери железнодорожному транспорту. Любая подборка вагонов, выходящая за рамки установленной системы организации вагонопотоков на железнодорожном транспорте (план формирования поездов) по просьбе смежных участников транспортного процесса последними должна оплачиваться, так как этот вид работы является дополнительной услугой, которая ложится на железнодорожный транспорт дополнительными эксплуатационными затратами. Единый технологический процесс работы транспортного узла (ЕТП) должен предусматривать не только взаимодействие различных видов транспорта, участвующих в организации перегрузки грузов, но и организацию взаимодействия органов государственного контроля (таможенной, пограничной, ветеринарной, санитарной-эпидимиологической и иных служб), сопровождающих перевозку.

Технология логистического управления грузопотоками и вагонопотоками должна основываться на принципе диспетчеризации с использованием комплекса взаимосвязанных информационно-управляющих автоматизированных систем и технологий, к которым на железнодорожном транспорте относятся следующие системы: Сетевая интегрированная информационно-управляющая система («СИРИУС»); Автоматизированная система централизованной подготовки и оформления перевозочных документов - Электронная транспортная накладная («ЭТРАН»); Автоматизированная система обеспечения своевременной и адресной доставки грузов («Грузовой экспресс») и д.р.

Одной из главных задач автоматизированных систем, обеспечивающих логистическое управление грузопотоками в крупных узлах, должно быть обеспечение согласованного подвода грузов и подвижного состава к стыковым пунктам различных видов транспорта: портам, перегрузочным станциям, основным терминалам, крупным промышленным комплексам.

Груженый подвижной состав, например вагон с грузом, следующий в адрес порта, с момента появления информации о нем в автоматизированной системе учета наличия и продвижения подвижного состава и грузов (для железнодорожного транспорта это система «ДИСПАРК») через взаимосвязь с другими системами (на примере железнодорожного транспорта это системы «СИРИУС», «ЭТРАН», «Грузовой экспресс») ускоренно продвигается к месту (станции) назначения. Время его продвижения на всех этапах контролируется. Постоянно прогнозируется время прибытия на грузовой фронт под выгрузку и, одновременно с этим, планируется и постоянно прогнозируется подход судна, на которое должен быть перегружен груз из этого вагона. Планируется занятость грузовых фронтов и перегрузочных механизмов, во взаимосвязи с текущим положением дел на перегрузочном пункте по работе с перегрузкой других влияющих грузов.

Определение точного времени прогноза подхода вагона с грузом под выгрузку в транспортный узел (на каждый подъездной путь, грузовой фронт) архи-важно, так как благодаря этому можно заблаговременно спланировать и обеспечить готовность грузового фронта, средств погрузки-выгрузки, людских ресурсов и автотранспорта. Особую важность прогноз времени прибытия груза имеет при подвозе сырья для крупных промышленных комплексов, технология работы которых выстроена на обеспечении непрерывного производственного цикла, сложных взаимосвязанных внутрипроизводственных и внутрицеховых процессов, и которые в настоящее время вынуждены держать неприкосновенный запас сырья на складах, омертвляющий значительную часть оборотных средств.

Важнейшими технологическими элементами комплексной автоматизированной системы по обеспечению четкого и слаженного взаимодействия участников транспортного процесса в транспортном узле являются следующие:

отображение информации у всех пользователей системы по каждому вагону, следующему в узел, с указанием необходимой информации (род и вес груза, реквизиты грузоотправителя, грузополучателя и т.п.) и прогноза времени прибытия по назначению;

по мере продвижения вагона с грузом на всем пути его следования к станции назначения система должна постоянно поддерживать прогнозный режим прибытия вагона по назначению и в случае необходимости корректировать его с указанием причин изменения прогноза;

система должна с учетом готовности грузовых фронтов, транспортных средств смежных видов транспорта и других факторов заблаговременно регулировать согласованный подвод вагонов с грузами на станцию назначения и грузовой фронт, давая при этом соответствующие рекомендации диспетчерам;

решение проблемы автоматической унификации расписаний движения поездов, судов и других транспортных средств по мере поступления заявок на грузовые перевозки;

автоматизация планирования работ обслуживающего персонала, диспетчерского аппарата и сменных работников в соответствии с реальными загрузками элементов транспортного комплекса;

Примерным перечнем услуг, оказываемых Районным логистическим центром являются следующие: организация перевозки грузов по принципу «от двери до двери» и «точно в срок»; продажа информации о продвижении грузов; продажа фрахта судов; сдача в аренду подвижного состава; услуги сайта «интернет-магазина»; предпродажная подготовка грузов (пакетирование, фасовка и т.п.); реклама товаров, продаваемых сопутствующими фирмами; сдача в аренду складских помещений и перегрузочных механизмов; сдача в долгосрочную аренду земельных участков под строительство дополнительных перерабатывающих мощностей для крупных фирм и организаций; прочие виды подсобно-вспомогательной деятельности.

Для выполнения функций, возложенных на Районный логистический центр, его инфраструктура должна состоять из информационно-аналитического центра и основных и вспомогательных подразделений. Информационно-аналитический центр является ядром Районного логистического центра, в котором сконцентрированы все информационно-управляющие ресурсы. К числу основных составляющих подразделений РнЛЦ относятся: железнодорожная станция (или группа станций в узле), обеспечивающая подачу вагонов к выгрузочным местам, контейнерным площадкам и т.п.; морской или речной порт с необходимым числом причалов, включая специализированные причалы для генеральных грузов; складские помещения и терминалы для перевалки и хранения грузов: крытые склады для грузов, требующих закрытого хранения (тарно-штучные и пакетированные грузы, насыпные грузы, требующие закрытого хранения и т.п.); открытые площадки для навалочных, насыпных, тяжеловесных и длинномерных грузов; емкости для слива наливных грузов; контейнерные площадки; рефрижераторные склады; выгрузочные рампы для автомобилей и охраняемые площадки; перегрузочные механизмы и приспособления: парк кранов для перегрузки тяжеловесных, длинномерных и пакетированных грузов; парк кранов и погрузчиков для контейнеров; парк авто- и электропогрузчиков для тарно-штучных и пакетированных грузов; механизмы для слива наливных грузов; пневмомеханизмы для перегрузки сыпучих грузов; административное здание РнЛЦ.

К числу вспомогательных подразделений РнЛЦ можно отнести: службу связи, использующая современные технологические средства, обеспечивающая надежную круглосуточную связь с любой точкой земного шара; филиал таможенной службы; филиал пограничной службы; филиалы ветеринарной, санитарной, пожарной и иных служб государственного контроля экспортно-импортных грузов; службы охраны и безопасности; производственные здания и помещения, предназначенные для сдачи в аренду различным фирмам, ведущим вспомогательную деятельность; земельные участки для сдачи в долгосрочную аренду под строительство дополнительных перерабатывающих мощностей для крупных фирм и организаций; здание гостиницы, охраняемые автостоянки, площадки общественного транспорта и иные обеспечивающие устройства.

При РнЛЦ на арендованных у него площадях могут размещаться и действовать многочисленные самостоятельные предприятия и организации, ведущие вспомогательную деятельность по обеспечению потребностей основных составляющих РнЛЦ. К их числу можно отнести следующие организации: фирмы оптовой торговли или их филиалы, пользующиеся услугами логистического центра; «интернет-магазины», взаимодействующие с логистическим центром и пользующиеся его услугами; производственные фирмы предпродажной подготовки товаров (пакетирование, фасовка и т.п.); филиалы транспортных, экспедиторских и контейнерных компаний, обеспечивающих перевозку грузов в соответствии с заключенными договорами, в т.ч. филиалы международных компаний; филиалы страховых компаний, страхующих перевозимые грузы; филиалы банков, оформляющие денежные переводы, необходимые при взаиморасчетах за перевозку грузов и оказание других услуг; филиалы юридических компаний, ведущие дела клиентов логистического центра; рекламные фирмы, выполняющие заказы на изготовление рекламной продукции; филиалы других обеспечивающих производственных фирм (по ремонту и обслуживанию оргтехники, автомобилей, связи и т.п.) и филиалы товарных бирж (при наличии достаточного числа потенциальных клиентов).

Указанный перечень организаций вспомогательной деятельности не является исчерпывающим и зависит от конкретных географических и экономических условий создания и развития РнЛЦ.

 

3.3 Формирование транспортных логистических цепей поставок на основе календарного планирования

Формирование транспортных логистических цепей на основе календарного планирования погрузки и подвода вагонов в транспортный узел, например под морские суда является одной из основных задач регионального или районного транспортно-логистических центров. Необходимость разработки методики определяется несовершенством существующих подходов к взаимодействию железнодорожного транспорта с морским, которые основываются на стереотипе, что для исключения простоя вагонов с грузом на подходах к порту достаточно обеспечить их равномерный подвод по железной дороге в количестве, не превышающем перегрузочных возможностей порта. Вместе с тем выгрузка прибывшего груза по железной дороге осуществляется портом не в порядке его поступления, а при наличии (подходе) судна под данный груз или необходимости завершения формирования судовой партии. Базовой методикой календарного планирования погрузки является принцип согласованного подвода груза по железной дороге в размере судовой партии, формируемой на стадии планирования погрузки на станциях отправления под определенное судно, прибывающее в порт в предварительно назначенный срок.

Постановка задачи. Необходимо обеспечить подвод вагонов с конкретным грузом для погрузки конкретного судна, прибывающего в конкретное время при обеспечении выполнения условия, определенного функцией (3), т.е. {; } → 0. С этой целью требуется разработать календарный план погрузки данного груза от станций погрузки в адрес порта с учетом его подвода во временной интервал погрузки судна, начиная с момента завершения загрузки груза из вагонов, находящихся на подходах к станции, и груза на складах порта. Календарный план погрузки представляет собой конечное множество суточных расписаний погрузки вагонов с данным грузом с различных погрузочных станций с указанием количества отгружаемых вагонов, даты их отправления и прибытия на припортовую станцию.

 

 = {(.…+|d = , , , …, } (6)

где:  - календарный план погрузки;  - расписания погрузки по дням календарного плана; n - число дней погрузки (период календарного плана); ,… - суточные расписания погрузки d-ой станции по дням календарного плана; s - общее число станций, участвующих в погрузке вагонов для конкретного судна.

Суточное расписание погрузки d-ой станции назначением на 1-ый день календарного плана  может быть представлено в следующем виде

 

 = f(,) (7)

где:  - суточная погрузка d-ой станции с прибытием на припортовую станцию в 1-ый день календарного плана, вагонов;  - дата отправления вагонов с d-ой станции погрузки с прибытием в 1-ый день календарного плана; Построение календарного плана осуществляется при условии удовлетворения вектору критериев оптимальности , имеющему следующий вид:

 

={, } (8)

Критерий  определяет, что суточное количество груза, прибывающего в порт железнодорожным транспортом за каждый день периода, не должно превышать максимальную перерабатывающую способность погрузочно-разгрузочных машин порта, предназначенных для перегрузки данного груза;

 (9)

где:  - количество груза, перегруженного на судно в i-ый день периода, вагонов, при этом i = , где n - число дней периода календарного плана; q - статическая нагрузка на вагон, тонн; - производительность j-ой погрузочно-разгрузочной машины, тонн/сутки, при этом j = , где m - общее количество погрузочно-разгрузочных машин, осуществляющих перегрузку груза в данное судно;  - количество j-ых погрузочно-разгрузочных машин.

В соответствии с критерием  суммарное количество груза, подводимого за весь период железнодорожным транспортом, должно обеспечивать полную загрузку судна и находиться в пределах, определяемых условием:

 ≤  ≤ , (10)

где:  - суммарное количество груза, подводимого за весь период железнодорожным транспортом, вагонов;  - необходимое количество груза, подводимого за весь период железнодорожным транспортом, для обеспечения загрузки судовой партии, вагонов;  - грузоподъемность судна, тонн.

Алгоритм составления календарного плана погрузки и продвижения грузопотока в размере судовой партии под определенное судно (КП) включает в себя определение совокупности нормообразующих параметров:

, , , , , т.е.

КП = {,,,,} (11)

где:  - период календарного плана;  - суточная погрузка d-ой станции в i-ый день календарного плана, вагонов, при этом d=, где s - число станций погрузки; i = , где n - число дней периода календарного плана;  - время хода от d-ой станции погрузки до порта назначения, суток;  - множество моментов отправления вагонов со стаций погрузки;  - множество моментов прибытия вагонов в порт назначения в период календарного плана, при этом , d = , i = .

Оптимальным будет являться календарный план погрузки, удовлетворяющий вектору необходимых условий

 

 (12)

 

где:  - суммарная погрузка со всех станций отправления за весь период календарного плана, вагонов;  - суммарные вагоно-часы простоя на подходах к порту в ожидании выгрузки; - суммарные судно-часы непроизводительного простоя в порту в ожидании груза.

Формирование календарного плана погрузки совместного подвода вагонов и судна осуществляется поэтапно: 1 этап - определяется период календарного плана; 2 этап - устанавливается суточная погрузка по каждой станции отправления по дням периода календарного плана; 3 этап - определяются множество моментов отправления вагонов с грузом со станций погрузки и их прибытия в порт назначения; 4 этап - формируется календарный план погрузки. Определение множества моментов отправления вагонов с грузом со станций погрузки и их прибытия в порт назначения на третьем этапе расчета представляет собой в общем случае целочисленную NP-полную задачу, в которой ее комбинаторная сложность возрастает экспоненциально. В данной постановке она относится к задачам комбинаторной глобальной оптимизации, для решения которой предлагается использовать метод простого (прямого) перебора. С целью сокращения количества расчетов задаются ограничения минимального количества вагонов, отгружаемых со станций отправления, т.е. , где  - множество возможных отгружаемых вагонов для каждого дня на каждой станции погрузки. Математическая формулировка задачи состоит в том, чтобы найти целочисленные значения  ( зависят от ) удовлетворяющие:

 (13)

здесь Z - множество целых чисел.

В общем виде процесс построения календарного плана в виде суточных расписаний погрузки в пределах  может быть осуществлен путем конструирования графа , где Х - множество станций погрузки (вершин), осуществляющих отправление груженых вагонов в адрес порта назначения,  - множество дуг. Построение каждого расписания предполагает замену в неориентированном графе ребер дугами таким образом, чтобы не образовывалось контуров. В итоге каждому расписанию будет соответствовать некоторый ориентированный бесконтурный граф. Графическая интерпретация согласованного подвода вагонов в процессе погрузки судна приведена на рисунке 16.

Рис. 16. Технология согласованного подвода вагонов в процессе погрузки судна

где: - дата прибытия судна под погрузку; - дата отправления судна; - продолжительность погрузки судна; - продолжительность погрузки груза, находящегося на причалах порта; - продолжительность погрузки груза, находящегося в вагонах в ожидании выгрузки; - продолжительность периода подвода вагонов с грузами.

Разработанный календарный план погрузки может быть представлен в виде объемной матрицы, где приведены объемы погрузки со станций отправления и даты их отправления, а также дни календарного плана, в которые осуществляется перегрузка прибывших вагонов на судно. Пересечение соответствующих  и  определяют искомый день календарного плана, в который груз с данной станции будет перегружаться на судно. Матрица календарного плана погрузки и подвода вагонов по дням календарного плана приведена на рисунке 17.

Рис. 17. Матрица календарного плана погрузки и подвода вагонов по дням календарного плана

Контроль за реализацией календарного плана осуществляется из диспетчерского центра регионального транспортно-логистического центра, функционирующего при тесном взаимодействии с корпоративными центрами ОАО «РЖД» (ДЦУП), грузовладельцами, портом и судовладельцем.

ЗАКЛЮЧЕНИЕ

В заключение исследования можно сделать следующие выводы. С учетом геоэкономического положения России обслуживание трансконтинентальных транспортных потоков приобретает все большую значимость. Россия, являясь естественным транзитным мостом между Европой и Азией, играет большую роль в увеличении международных железнодорожных перевозок между этими континентами. Основой транзитных потоков в ближайшем будущем должна стать перевозка контейнерных грузов по ключевым международным транспортным коридорам. Укрепление евроазиатских связей во многом зависит от тесного взаимодействия различных видов транспорта, выстраивания смешенных, мультимодальных, интермодальных транспортных логистических цепей.

Прямая смешанная перевозка (мультимодальная перевозка) - это перевозка грузов, пассажиров и багажа разными видами транспорта по единому транспортному документу. В свою очередь, интермодальная перевозка - это перемещение груза в одной и той же транспортной единице (интермодальной транспортной единице (ИТЕ), например: контейнер, контрейлер, съемный кузов) или автомобильном транспортном средстве, при котором последовательно используются два или более видов транспорта без перевалки груза при смене видов транспорта. При сравнении термина «интермодальная перевозка» с термином «смешанная перевозка» (или «мультимодальная перевозка»), можно сделать вывод о том, что интермодальная перевозка - более узкий термин. Во-первых, он применим исключительно к грузоперевозкам, во-вторых, к грузоперевозкам с использование единой интермодальной грузовой единицы (например, контейнера) без перегрузки самого груза при смене вида транспорта.

Одним из узких мест в транспортной системе страны при организации смешенных перевозок является стык между железнодорожным и другими видами транспорта. Особенно это проявляется при перевозке экспортных грузов через морские порты и сухопутные пограничные переходы РЖД. В настоящее время на подходах к припортовым и пограничным станциям в среднем ежесуточно простаивают в ожидании приема более 100 «брошенных» поездов, а на самих перегрузочных станциях - около 1000 вагонов в ожидании перегрузки. В результате этого железнодорожный транспорт ежесуточно несет потери в размере порядка 2,2 миллиона рублей в сутки.

Основной причиной такого положения является неритмичный и несогласованный подвод грузов к портам и пунктам перевалки, а также недостаточное развитие и использование имеющихся перерабатывающих мощностей по перегрузке грузов на другие виды транспорта. Неритмичный и несогласованный подвод грузов к пунктам перевалки возникает из-за отсутствия единого транспортного конвейера, разобщенности видов собственности и систем управления транспорта и других субъектов, участвующих в технологическом процессе перевозки.

Принимая во внимание тот факт, что железнодорожный транспорт является основным магистральным видом в едином транспортном комплексе страны. Имеет мощнейшие информационные ресурсы, каналы связи и программно-вычислительные комплексы - логично использование этого потенциала для создания на его основе транспортной логистической системы страны, организующей взаимодействие между всеми видами транспорта, направленное на единую цель - организацию перевозок грузов с наименьшими потерями и оптимальной прибылью для всех участников транспортного процесса.

Логистическая система управления грузопотоками должна исключить дискриминацию участников транспортного процесса, обеспечить свободный доступ к информации о ее работе, соблюсти баланс интересов субъектов, участвующих в Логистической системе на условиях партнерства, обоюдовыгодного сотрудничества, добросовестной конкуренции, свободы выбора для грузовладельцев, перевозчиков и других субъектов рынка перевозок. Инфраструктурной основой Логистической системы должна стать сеть Логистических центров (главного, региональных и районных логистических центров).

Возможности ОАО «РЖД», как крупнейшего участника транспортного рынка, позволяют возглавить процесс объединения усилий, направленных на ликвидацию проблем стыковых пунктов в смешенных перевозках грузов, с возможным поглощением мелких участников транспортного конвейера и созданием единой транспортной корпорации.

Миссией региональных транспортно-логистических центров является создание благоприятных условий для организации мультимодальных перевозок и повышения загрузки международных транспортных коридоров, проходящих по территории России за счет обеспечения качественного транспортного сервиса на основе мирового опыта с учетом специфики российского транспортного рынка.

Целью создания регионального транспортно-логистического центра является увеличение объема перевозок грузов через российские участки международных транспортных коридоров за счет совершенствования уровня организации транзитных, экспортно-импортных и внутренних перевозок в смешанном железнодорожно-водном сообщении.

Предлагаемый подход к системе логистического управления транспортными грузопотоками во взаимодействии железнодорожного транспорта со смежными видами транспорта, морскими и речными портами, крупными промышленными комплексами, транспортными системами других стран и другими участниками транспортного процесса на основе эффективного использования информационно-управляющих и аналитических технологий должен позволить решить основные проблемы, связанные с беспрепятственным прохождением грузов через стыковые пункты транспортных узлов России, путем создания логистической системы управления грузопотоками.

СПИСОК ЛИТЕРАТУРЫ

.Конвенция Организации Объединенных Наций о международных смешанных перевозках грузов. Женева, 24 мая 1980 // www.consultant.ru

.Европейское соглашение о важнейших линиях международных комбинированных перевозок и соответствующих объектах (СЛКП/AGTC)). Женева, 1 февраля 1991 // www.bestpravo.ru

.Конституция Российской Федерации // www.constitution.ru

.Гражданский кодекс Российской Федерации: Часть I, II, III, IV (ред. от 28.12.2013) // www.consultant.ru

.Федеральный закон РФ от 26.07.2006 № 135-ФЗ (ред. от 28.12.2013) «О защите конкуренции» // www.consultant.ru

.Федеральный закон от 26.12.1995 № 208-ФЗ (ред. от 29.12.2012) «Об акционерных обществах» // www.consultant.ru

.Федеральный закон от 30.06.2003 № 87-ФЗ «О транспортно-экспедиционной деятельности» // www.consultant.ru

.Федеральный закон от 28.12.2009 № 381-ФЗ (ред. от 30.12.2012) «Об основах государственного регулирования торговой деятельности в Российской Федерации» // www.consultant.ru

.Федеральный закон от 21.07.2005 № 115-ФЗ (ред. от 25.04.2012) «О концессионных соглашениях» // www.consultant.ru

. Постановление Правительства РФ от 08.09.2006 № 554 «Об утверждении Правил транспортно-экспедиционной деятельности» // www.consultant.ru

. Транспортная стратегия Российской Федерации на период до 2030 года / Официальный сайт Министерства транспорта РФ // www.mintrans.ru

. Стратегия развития железнодорожного транспорта в Российской Федерации до 2030 г. (утвержд. Правительством РФ от 17.06.2008. № 877-р)

. Стратегия инновационного развития Российской Федерации на период до 2020 года / Распоряжение Правительства Российской Федерации от 8 декабря 2011 г. № 2227-р // www.consultant.ru

. Прогноз долгосрочного социально-экономического развития Российской Федерации на период до 2030 года годов / Минэкономразвития России // www.economy.gov.ru

. Прогноз социально-экономического развития Российской Федерации на 2014 год и плановый период 2015-2016 годов / Минэкономразвития России // www.economy.gov.ru

. Концепция комплексного управления надежностью, рисками, стоимостью жизненного цикла на железнодорожном транспорте (редакция 1.1). - М.: ОАО «РЖД», 2010.

. Ансофф И. Стратегический менеджмент. Классическое издание. - СПб.: Питер, 2011.

. Анучин А.А., Беленов О. Н. Конкурентоспособность стран и регионов. - М.: КНОРУС, 2011.

. Балалаев А.С. Методология формирования транспортных логистических цепей. Научная монография / А.С. Балалаев, Р.Г. Леонтьев. - Хабаровск: изд-во ДВГУПС, 2009.

. Барков С.А., Зубков В.И. Социология организаций. - М. Издательство Юрайт, 2013.

. Белая книга ОЭСР по вопросам корпоративного управления в России / Официальный сайт ОЭСР // www.oecdmoscow.org

. Бродецкий Г. Л. Резервы снижения издержек при обслуживании заказов в цепях поставок // Логистика сегодня. - 2009. - № 6.

. Бродецкий Г. Л. Управление рисками в логистике. - М.: Академия, 2010.

. Бродецкий Г. Л., Руденко Я. Организация эффективных процедур многокритериальной оптимизации маршрутов в цепях поставок // Логистика. - 2011. - № 3.

. Бродецкий Г. Л., Аксенова Н. Резерв повышения эффективности цепей поставок при управлении запасами // Логистика. - 2011. - № 1.

. Брыкин А., Шумаев В. Логистическая концепция государственного регулирования // Экономист. - 2009. - № 2.

. Верников Г. Основные методологии обследования организаций. Стандарт IDEF0 // www.cfin.ru

. Волков В.Д. Оценка рисков в сложных транспортно-логистических системах // Транспорт: наука, техника, управление. - М.: ВИНИТИ РАН. - 2010. - вып. 10.

. Гаррисон А. Логистика. Стратегия управления и конкурирования через цепочки поставок. - М.: Дело и Сервис, 2010.

. Герами В.Д., Колик А.В. О создании опорной сети логистических центров в России / Логистические инновации и социально-экономические эффекты. Под ред. Т.М. Степанян. - М. МАКС Пресс, 2013.

. Доклад о конкурентоспособности России 2011 / Департамент развития конкуренции Минэкономразвития России // www.competition.gov.ru

. Дыбская В.В., Сергеев В.И. и др. Логистика. Полный курс МВА. - М.: Эксмо, 2013.

. Дыбская В.В. Управление складированием в цепях поставок. - М.: Альфа-Пресс, 2009.

. Дыбская В.В., Сергеев В.И. Модели операционной деятельности логистических центров // Логистика и управление цепями поставок. -2012.-№ 1.

. Елисеев С. Транспортно-логистический пул у морских ворот // Логинфо. - 2010. - № 4.

. Збаращенко В. Интеллектуальные транспортные системы: стратегическое значение // Логинфо. - 2010. - № 5.

. Иванов Д.А. Управление цепями поставок. - СПб.: Изд-во Политехн. ун-та, 2009.

. Иванченко В., и др. Инновационно-структурированное воспроизводство и государство // Экономист. - 2010. - № 1.

. Ивлев М. А. Логистический подход к формированию организационной структуры социально-экономической системы // Экономика и управление. -2009. - № 5 (42).

. Каплан Роберт С., Нортон Дейвид П. Стратегические карты. Трансформация нематериальных активов в материальные результаты / Пер. с англ. - М.: Олимп-Бизнес, 2010.

. Каплан Роберт С., Нортон Дейвид П. Сбалансированная система показателей. От стратегии к действию. - 2-е изд. / Пер. с англ. - М.: Олимп-Бизнес, 2010.

. Каплан Роберт С., Нортон Дейвид П. Организация ориентированная на стратегию / Пер. с англ. - М.: Олимп-Бизнес, 2009.

. Карпова Н.П. Стратегическая логистика снабжения: монография. - М.: Креативная экономика, 2011.

. Кириллова А. Контейнеризация грузов должна приобретать массовый характер // Логинфо. - 2010. - № 6.

. Носов А. Подходы к исследованию каналов товародвижения в региональной логистике // Логистика сегодня. - 2009. - № 1.

. Основные показатели транспортной деятельности в России 2011. Стат. сб. - М.: Росстат, 2012.

. Охотников И.В., Сибирко И.В. Стратегический контроллинг. - М.: МАКС Пресс, 2010.

. Охотников И.В., Сибирко И.В. Риск-менеджмент на железнодорожном транспорте в условиях реформ. - М.: МАКС Пресс, 2013.

. Охотников И.В. Анализ природы рынка контрактной логистики: транзакционный подход / Логистические инновации и социально-экономические эффекты. Под ред. Т.М. Степанян. - М. МАКС Пресс, 2013.

. Охотников И.В., Сибирко И.В. Менеджмент логистических систем. - М.: МАКС Пресс, 2014.

. Охотников И.В., Сибирко И.В. Системный подход как методологическая основа управления логистическими бизнес-процессами в цепях поставок // Логистика. - 2014. - № 1.

. Панасенко Е.В. Логистика: персонал, технологии, практика. - М.: Инфра-Инженерия, 2011.

. Панасенко Е.В. Оптимизация цепочки поставок при импорте с использованием консолидации // Логинфо. - 2011. - № 1-2.

. Прокофьева Т.А., Сергеев В.И. Формат государственно-частного партнерства как метод реализации инвестиционных проектов создания транспортно-логистических центров // Логистика и управление цепями поставок.-2010.-№1.

. Прокофьева Т.А., Адамов Н.А. Стратегия развития логистической инфраструктуры в транспортном комплексе России: Монография. - М.: Издательский дом «Экономическая газета», 2011.

. Российский рынок транспортно-логистических услуг 2010-2011 гг. и прогноз до 2013 г. Аналитический обзор. - М.: РосБизнесКонсалтинг, 2012.

. Российский рынок складской недвижимости и складских услуг в 2010 г. и прогноз до 2013 г. Аналитический обзор. - М.: РосБизнесКонсалтинг, 2011.

. Рынок логистических услуг России: тенденции и перспективы, итоги рейтинга «Логистический оператор России 2011» // www.prorating.ru

. Сергеев В.И., Дорофеева Е.А. Терминологические аспекты понятия «устойчивости» цепей поставок в фокусе логистической интеграции // Логистика и управление цепями поставок. - 2010. - № 3.

. Сергеев В.И., Соломатин П.А. Российско-немецкое исследование логистического контроллинга // Логистика и управление цепями поставок. - 2011. - №6.

. Сибирко И.В., Охотников И.В. Риск-менеджмент: модель управления предпринимательскими рисками // Предпринимательство. - 2014. - № 1.

. Сибирко И. В., Охотников И.В. Государство и рынок: модели эффективного взаимодействия // Предпринимательство. - 2013. - № 8.

. Сибирко И.В., Охотников И.В. Природа рынка логистического аутсорсинга: транс¬формация транзакционных действий в транзакционные услуги // Логистика. - 2014. - № 2.

. Сингх Р. Планирование производства с помощью стратегического инструмента SCM // Логинфо. - 2011. - № 9.

. Слак Н., Чеймберс С., Джонстон Р. Организация, планирование и проектирование производства. Операционный менеджмент / Пер. с 5-го англ. изд. - М.: ИНФРА-М, 2009.

. Степанов В.И. Логистика: материально-техническое снабжение. - М.: Академия, 2010.

. Титюхин Н. Ф. и др. До управления эффективной цепочкой поставок ещё далеко // Логинфо. - 2010. - № 7-8.

. Управление цепями поставок / Под ред. Дж. Гатторны; Перевод с 5-го англ. изд. Под науч. ред. проф. В.И. Сергеева. - М.: ИНФРА-М, 2010.

. Федотов Ю. В., Кротов К. В. Управление цепями поставок: проблема определения термина и области исследования // Российский журнал менеджмента. - 2011. - Том 9. - № 2.

70. Terminology on Combined Transport. Prepared by the UN/ECE, the European Conference of Ministers of Transport (ECMT) and the European Commission (EC). New York and Geneva, 2001.

ПРИЛОЖЕНИЕ

Таблица 1. Параметры различных видов потоков

Параметры потока

Вид потока


грузовой, транспортный, материальный,



Единица измерения

т/год (сутки, месяц)

транспортных средств/год (сутки, месяц)

т/год (сутки, месяц)

Объект перевозки

материально-технические ценности

транспортные средства в груженом и порожнем состоянии

материально-технические ценности

Состояние подвижного состава

груженый

груженый, порожний

груженый

Начальный и конечный пункты перевозки

пункты, предназначенные для перегрузки данного вида транспорта

пункты, предназначенные для перегрузки данного вида транспорта

от склада продавца до склада покупателя

Количество видов транспорта, участвующих в перемещении потока

один, два

один

один и более (определяется взаимным расположением продавца и покупателя)

Управляющее воздействие на поток

в пункте отправления и назначения

в пути следования

от склада продавца до склада покупателя

Управление движением потока

перевозчик и грузовладелец (экспедитор)

перевозчик

грузовладелец (экспедитор)

Технологическая перегрузка в пути следования

присутствует

как правило, отсутствует

присутствует

Отношение к владельцу груза

как правило, учитывается

как правило, обезличено

собственность

Контроль за продвижением

перевозчик и грузовладелец (экспедитор)

перевозчик и грузовладелец (экспедитор)

грузовладелец (экспедитор)

Направление движения

односторонний, двусторонний

двусторонний

односторонний


Рис. 1. Трансформация материального потока при перевозке груза в железнодорожном сообщении (завоз и вывоз - автотранспорт)

Рис. 2. Основные участники рынка логистического аутсорсинга

Таблица 2. Принципы формирования региональных транспортно-логистических центров


Сущность принципа

1

Региональный транспортно-логистический центр должен быть координатором перевозочного процесса (продвижения материального потока), обеспечивающим согласованное взаимодействие перевозчиков на всем протяжении логистической цепи, в первую очередь, железнодорожных и морских. В условиях децентрализации морской отрасли уровень «станция-порт» может эффективно функционировать только при создании новой технологии взаимодействия железнодорожного и морского транспорта.

2

Взаимодействие смежных видов транспорта в пунктах перевалки должно рассматриваться не как стык, а как звено логистической цепи, функционирование которого направлено на реализацию конечной цели ее формирования - минимизации логистических издержек. При этом взаимодействие транспортных организаций должно быть эффективным и незаметным для грузовладельца.

3

Информационная составляющая деятельности центра представляют собой интегрированную информацию перевозчиков и других участников процесса транспортировки, обеспечивающую формирование логистических цепей с целью продвижения материального потока исходя из критериев предпочтения грузовладельцев.

4

Необходимо главенство правил логистики в деятельности регионального транспортно-логистического центра: доставка нужного товара в нужное время в нужное место требуемого качества в необходимом количестве с минимальными затратами.

5

Основой планирования для транспортного узла является календарное планирование погрузки исходя из размеров судовых партий при обязательном выполнении условия равномерности прибытию вагонов в порт по дням месяца или другого временного периода.

6

Основой при выборе участников и формировании транспортной логистической цепи является выгодное с коммерческой точки зрения взаимодействие и экономическая ответственность субъектов транспортного рынка за бесперебойность ее функционирования.

7

Инициатором формирования транспортной логистической цепи является грузовладелец, поэтому деятельность регионального транспортно-логистического центра должна строиться исходя из его целевых установок.

8

Форма организации мультимодальных перевозок с помощью транспортно-логистических центров не является единственной, поэтому их деятельность должна осуществляться на условиях добросовестной конкуренции в отношении других операторов смешанной перевозки на рынке транспортно-экспедиционных услуг за удовлетворение потребительского спроса клиентуры при высоком качестве сервисного обслуживания.

9

Необходимо строить свои отношения с грузовладельцем по принципу единой ответственности, когда ответственность перед клиентом несет один исполнитель. В результате исключается ситуация, когда перевозчиков выбирает оператор смешанной перевозки, а все риски, связанные с ненадлежащим выполнением условий договора несет заказчик.

10

Для успешного функционирования транспортно-логистический центр должен постоянно учитывать и развивать экономические интересы его учредителей, обеспечивать упрочение позиций на рынке транспортно-экспедиторских и логистических услуг. Это обеспечивается за счет способности быстро переориентировать на себя перспективную грузовую базу и существенно ее расширить.

11

Управление материальным потоком должно строиться на диспетчеризации процесса перевозки из собственного центра управления с использованием корпоративных центров управления перевозчиков, участвующих в транспортном процессе.

12

Региональный транспортно-логистический центр должен представлять собой независимую структуру в виде транспортной компании с участием в качестве учредителей основных перевозчиков, других участников транспортного рынка и, возможно, крупных грузовладельцев.


Похожие работы на - Разработка транспортных логистических цепей при мультимодальных перевозках на примере ОАО 'РЖД'

 

Не нашли материал для своей работы?
Поможем написать уникальную работу
Без плагиата!
Без нейросетей!