Расчет требований к погрешностям компонентов канала измерения деформации на основе неуравновешенного моста с тензорезистором
Курсовая работа
по дисциплине «Радионавигационные
системы»
Расчет требований к погрешностям
компонентов канала измерения деформации на основе неуравновешенного моста с
тензорезистором
Содержание
Введение
Обзор современных методов и средств измерения деформации
.1 Методы измерения деформации
.2 Измерения деформации с помощью неуравновешенного моста на
основе тензорезистора
.3 Основные параметры и технические требования
тензоризисторов
.4 Основные технические и метрологические характеристики тензорезисторов
Расчетная часть
Заключение
Список использованных источников
Введение
деформация тензорезистор
погрешность канал
Пояснительная записка содержит 23 страницы машинописного текста, включает
6 рисунков, 15 формул, список использованных источников из 6 наименований.
Ключевые слова: метрологические характеристики, деформация,
тензорезисторы, тензочувствительность, ползучесть, температурная
нестабильность, коэффициент линейного расширения, сопротивление
тензочувствительного элемента, тепловая нагрузка, коэффициент теплоотдачи,
допустимое значение измерительного тока, преобразователи разового действия,
тензодатчик, мост Уитстоуна.
Объект исследования: канал измерения деформации на основе
неуравновешенного моста с тензорезистором
Предмет исследования: метрологические характеристики компонентов канала
измерения деформации
Цель работы: произвести расчет требований к погрешностям компонентов
канала измерения деформации на основе неуравновешенного моста с
тензорезистором.
Для достижения поставленной цели необходимо решить следующие задачи:
) ознакомиться с методами измерения деформации;
) произвести аналитический обзор данных методов;
) изучить описание метода измерения деформации с помощью
неуравновешенного моста на основе тензорезистора;
) разработать структурную схему канала измерения относительной деформации
на основе тензорезистора, полагаясь на свои данные;
) определить номинальную чувствительность измерительного канала;
) произвести анализ погрешностей компонентов измерительного канала и
сделать выводы по изученной проблеме.
Актуальность: решение сформулированных задач способствует
совершенствованию метрологического обеспечения производства изделий
приборостроения, в состав которых входят тензорезисторы, датчики деформации.
В первой главе мы проводим обзор современных методов и средств измерения
деформации.
Во второй главе проводится разработка структурной схемы, расчет и анализ
полученных данных.
1 Обзор современных методов и средств измерения деформации
.1 Методы измерения деформации
Под деформацией (ε) подразумевают изменение размеров тела под воздействием
силы. В частности, деформацию используют для оценки относительного изменения
длины (рисунок 1).
Рисунок 1 - Деформация
Деформация может быть положительной (растяжение) и отрицательной
(сжатие). Несмотря на то, что деформация является величиной безразмерной, ее
иногда выражают в мм/мм. На практике значения измеряемой деформации очень
малые. Поэтому деформацию часто выражают в микро-деформациях (με).
Когда сила (Force) растягивает
стержень вдоль одной оси (рисунок 1), возникает деформация в перпендикулярном
направлении (D), известная, как деформация сжатия
Пуассона. Коэффициент Пуассона для некоторого материала показывает значение
поперечной деформации сжатия. Этот коэффициент является отношением поперечной
деформации (перпендикулярной силе) к продольной деформации (параллельной силе)
и имеет отрицательный знак. Например, для стали отношение Пуассона находится в
диапазоне от 0,25 до 0,30.
Для измерения деформации обычно используют тензодатчики с устройством
кондиционирования сигнала. Тензодатчик представляет собой тонкий
проводник, приклеиваемый к деформируемому материалу. На выходе схемы
кондиционирования с тензодатчиком формируется электрическое напряжение, изменяющееся
в зависимости от усилия или вибрации в материале. В отдельных частях
тензодатчика изменяется сопротивление, что свидетельствует о деформации
материала. Тензодатчик необходимо активировать стимулирующим воздействием
(обычно напряжением питания схемы кондиционирования) и линеаризовать
зависимость измеряемого напряжения от деформации.
Среди требований к тензодатчикам и к схеме кондиционирования сигнала
необходимо учитывать и требования конфигурации резисторов схемы. Как показано,
на рисунке 2 , сопротивления тензодатчиков совместно с элементами схемы
кондиционирования сигналов образуют ромбовидную конфигурацию резисторов,
известную как мост Уитстоуна. Если к мосту приложить напряжение питания, то при
изменении сопротивления резисторов изменяется дифференциальное напряжение (Vm). Обычно в плечи моста включаются
тензодатчики, сопротивление которых изменяется под воздействием деформации.
Рисунок 2 - Датчик деформации на основе полумоста Уитстоуна
Тензодатчики поставляются в конфигурациях полномостовой, полумостовой или
четвертьмостовой схемы. В полномостовой схеме все 4 резистора моста Уитстоуна
являются элементами, чувствительными к деформации. В полумостовой схеме 2
резистора являются тензодатчиками и включаются в 2 плеча моста Уитстоуна, а 2
резистора поставляются со схемой кондиционирования (рисунок 2). В
четвертьмостовой схеме собственно тензодатчиком является только один из 4-х
резисторов моста.
Модуль кондиционирования National Instruments SCXI-1520 представляет собой специальный
модуль для измерения деформации, который содержит источник питания моста, ключи
коммутации шунтирующих сопротивлений, фильтр и усилитель на каждый из 8
каналов, а, кроме того, обеспечивает возможность программной конфигурации
мостовой схемы.
С тензодатчиками часто используются также модули кондиционирования National Instruments SCXI-1121 и National Instruments SCXI-1122, в состав которых входят
источник тока или напряжения питания и полностью сконфигурированная внутренняя
схема моста Уитстоуна. Как альтернативу модулям SCXI, можно использовать простой модуль кондиционирования SC-2043 SG, который разработан специально для измерения деформации.
Модуль SCXI можно настроить на усиление сигналов
с тензодатчиков и фильтрацию помех [1].
.2 Измерение деформации с помощью неуравновешенного моста на основе
тензорезистора
Наибольшее распространение получили приборы, в которых тензорезисторы
включаются в неуравновешенный мост, питаемый переменным током. Ввиду малости
относительных изменений сопротивлений проволочных тензорезисторов нелинейность
функции преобразования неуравновешенного моста можно практически не учитывать.
Для измерения деформаций широко применяются многоканальные приборы
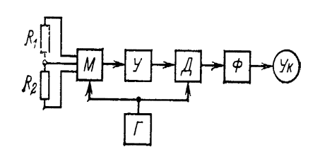
(тензостанции). Структурная схема одного канала тензостанции приведена на
рисунке 3 [2].
Рисунок 3 - Структурная схема измерительного канала тензостанции
Тензорезисторы R1 и R2 включены в мостовую измерительную цепь М, питаемую
переменным напряжением от генератора Г. Выходной сигнал моста усиливается
усилителем У, а затем демодулируется с помощью синхронного детектора Д и
фильтра нижних частот Ф. Сигнал с выхода фильтра поступает на указатель Ук.
Вследствие того, что мостовая измерительная цепь питается переменным током,
необходимо учитывать наличие относительно больших паразитных емкостей. Так,
если тензорезисторы наклеиваются на металлическую деталь, то емкость между
проводящими элементами тензорезистора и деталью может составлять 10-100 пФ. В
связи с этим в мосте предусмотрены элементы предварительного уравновешивания
его не только по активной, но и по реактивной составляющей. Использование
частотно-избирательного усилителя и синхронного детектора позволяет повысить
помехоустойчивость измерительного устройства [3].
.3 Основные параметры и технические требования тензорезисторов
) Тензорезисторы изготовляют в соответствии с требованиями настоящего
стандарта и технических условий (ТУ) на тензорезисторы конкретного типа.
) Основные параметры тензорезисторов должны соответствовать нормам,
установленным в настоящем стандарте и ТУ на тензорезисторы конкретного типа,
утвержденным в установленном порядке.
) В ТУ должны быть указаны следующие характеристики и параметры:
номинальная база, мм;
номинальное электрическое сопротивление (далее - сопротивление), Ом;
основные габаритные размеры (длина без выводов, ширина и толщина - с
предельными отклонениями), мм;
максимальный рабочий ток питания, мА;
диапазон измеряемых деформаций, млн-1;
рабочая область значений температуры, °С;
интервал термокомпенсации для частично термокомпенсированных
тензорезисторов, °С;
масса, г.
) Номинальную базу тензорезисторов выбирают из ряда:
,3; 0,5; 1,0; 2,0; 3,0; 5,0; 10,0; 15,0; 20,0; 50,0; 100,0; 200,0 мм.
Значения номинальных баз менее 0,3 мм и более 200 мм устанавливают в ТУ.
Отклонения от номинальной базы в пределах, %:
±20 - для баз до 5 мм включительно;
±10 - для баз более 5 мм.
Номинальное сопротивление тензорезисторов выбирают из ряда:
; 120; 350; 700; 1000 Ом.
Значения номинальных сопротивлений менее 50 (60) Ом и более 800 (1000) Ом
устанавливают в ТУ.
В интервале термокомпенсации среднее значение температурной
характеристики сопротивления (далее - ТХС), мкОм/Ом, не должно выходить за
пределы ±100 , где - среднее значение чувствительности тензорезистора.
Термокомпенсированные тензорезисторы должны быть рассчитаны на установку
на материал, номинальный температурный коэффициент линейного расширения
которого выбирают из ряда: 12·10, 17·10, 23·10, 65·10 °C.
Допускается по согласованию с заказчиком изготовление тензорезисторов,
рассчитанных на установку на материалы с иными значениями коэффициента.
В ТУ должен быть составлен комплекс нормируемых метрологических
характеристик, выбираемый исходя из назначения и специфики тензорезисторов, а
также исходя из экономической целесообразности, и позволяющий оценить качество
изготовления, а также погрешность измерений, проводимых в условиях эксплуатации
[4].
1.4 Основные технические и метрологические характеристики
тензорезисторов
К основным технико-метрологическим характеристикам тензорезисторов
относятся тензочувствительность, ползучесть, механический гистерезис,
температурная нестабильность, динамические характеристики.
Тензочувствительность определяется главным образом тензорезистивными свойствами
материала чувствительного элемента, однако в значительной степени зависит от
конструкции преобразователя, материала основы, вида и условий полимеризации
клея и других факторов. Тензочувствительность тензорезистора, как и самого
тензорезистивного материала, определяется коэффициентом относительной
тензочувствительности:
,
где
- относительное изменение сопротивления
тензорезистора, а
- относительная деформация.
Ползучесть
проявляется в виде изменения выходного сигнала при заданном и неизмененном
значении деформации и определяется обычно как
где
- приведенное ко входу изменение выходного сигнала
при заданной относительной деформации
[5].
Причиной
ползучести является упругое несовершенство основы и клея. В пределах упругого
диапазона деформаций ползучесть большинства тензорезисторов не превышает
1...1,5% за 6 ч.
Механический
гистерезис, как и ползучесть, обусловлен упругим несовершенством основы и клея
и численно определяется как приведенная ко входу разность значений выходного
сопротивления для одного и того же значения деформации при условии, что данное
значение деформации достигается при плавном ее возрастании и плавном
уменьшении. Для различных типов тензорезисторов механический гистерезис лежит в
пределах 0,5...5%.
Температурная
нестабильность, или влияние температуры окружающей среды на основные параметры
тензорезисторов, заключается, с одной стороны, в изменении сопротивления
тензорезистора за счет его ТКС, а с другой - в появлении дополнительных
механических напряжений вследствие различия в температурных коэффициентах
линейного расширения материала тензорезистора и исследуемой детали.
Eсли
и
-
температурные коэффициенты линейного расширения исследуемой детали и подложки
тензорезистора, то относительная деформация тензорезистора, обусловленная
изменением окружающей температуры на
,
а
изменение его сопротивления при этом
где
R - сопротивление тензочувствительного элемента.
Так
как изменение сопротивления тензорезистора, обусловленное наличием ТКС
материала чувствительного элемента, равно
, где α - чувствительность элемента, то общее изменение
сопротивления тензорезистора, вызванное изменением температуры окружающей среды
на
,
.
Основной
динамической характеристикой тензорезисторов является их собственная частота,
значение которой для наклеенных тензорезисторов лежит в пределах 100...300 кГц.
Собственная частота тензорезистора определяет предельную частоту исследуемого
процесса, при которой частотными погрешностями можно пренебречь. Для
исследований переменных деформаций обычно выбирают тензорезистивный
преобразователь, собственная частота которого хотя бы в 5...10 раз превышала
частоту деформаций.
Важным
параметром тензорезисторов является допустимая мощность, которая может
рассеиваться в тензорезисторе при условии, что его перегрев не превысит
допустимого значения. Допустимая мощность тензорезистора находится в
определенной зависимости от его геометрических размеров, что может
использоваться как при определении для известных тензорезисторов, так и при
определении геометрических размеров проектируемых преобразователей, исходя из
заданной допустимой мощности или допустимого значения измерительного тока:
где
- тепловое сопротивление;
- площадь
поверхности теплоотдачи материала резистора;
-
коэффициент теплоотдачи;
- удельная тепловая нагрузка, Р - заданная мощность
тензорезистора.
Отвод
теплоты от тензорезистора до исследуемой детали через слой клея и подложку
значительно превышает теплоотдачу в окружающий воздух. Поэтому можно считать,
что практически все тепло отводится в исследуемую деталь, а за площадь
принимают для пленочных и фольговых тензорезисторов
поверхность резистора, обращенную к исследуемой детали, а для проволочных -
половину цилиндрической поверхности проволоки чувствительного элемента.
Удельная
мощность используемых в настоящее время проволочных, фольговых и
полупроводниковых тензорезисторов независимо от рассеиваемой в них мощности и
полной поверхности, занимаемой чувствительным элементом, обычно колеблется в
незначительных пределах: Руд = 26…28 кВт/м.
Допустимое
значение измерительного тока через тензорезистор может быть определено из
соотношения
Для
проволочных тензорезисторов с базой l , количеством проводов в решетке
чувствительного элемента n и диаметром провода d, изготовленных
из материала с удельным сопротивлением ρ:
Отсюда
допустимое значение измерительного тока:
.
Особенностью
приклеиваемых тензорезистивных преобразователей является то обстоятельство, что
они представляют собой преобразователи разового действия, т.е. не могут быть
переклеены из объекта на объект. Поэтому функция преобразования рабочего
тензорезистора не может быть определена, а для ее оценки определяют функцию
преобразования аналогично, так называемого градуировочного, преобразователя из
той же партии. Естественно, что такой способ оценки характеристик рабочих
тензопреобразователей применим лишь в том случае, когда свойства
преобразователей всей партии совершенно идентичны, а остаточные деформации,
вызываемые затвердеванием клея при приклейке рабочих и градуировочных
преобразователей, так же одинаковы. Опыт показывает, что погрешность от
неидентичности при тщательной приклейке тензорезисторов и хорошем качестве клея
обычно не превышает 1,5%.
Следует
отметить, что для приклеивания тензорезисторов к исследуемой детали применяются
специальные клеи, для работы в нормальных температурных условиях -
ацетатно-целлулоидные и бакелито-фенольные (БФ) клеи, для работы при высоких
температурах (до 600...800°С) - кремнийорганические цементы (например, Б-56,
ВН-12) и специальные цементы на основе жидкого стекла или полисилоксанов.
Тензочувствительность
готовых тензопреобразователей практически не поддается точному расчету, так как
она может существенно отличаться от тензочувствительности исходного материала.
Кроме влияния технологических факторов на воспроизводимость тензорезистивных свойств
материала существенное влияние на значение коэффициента тензочувствительности
преобразователя оказывают изогнутости в местах закругления проволоки, особенно
в петлевых преобразователях. В этих местах образуются участки, не
воспринимающие деформацию в направлении оси базы. Уменьшение чувствительности,
вызванное этим фактором, тем больше, чем меньше измерительная база (в
двухслойных преобразователях с уменьшенной базой чувствительность может
уменьшиться на 20...30%). Существенное влияние на результирующую
чувствительность оказывает поперечный тензо-эффект, обусловленный наличием
участков проволоки, перпендикулярных оси базы преобразователя и воспринимающих
поперечную деформацию. Этого недостатка практически полностью лишены фольговые
и пленочные преобразователи, у которых сечение проводящего слоя в месте изгиба
может быть значительно увеличено [6].
2
Расчетная часть
Предложена
структурная схема канала измерения относительной деформации (рисунок 4), на
которой
Е
- источник постоянного напряжения;
R1; R2; R3; R4 -
сопротивления тензорезистора;
R1; R2; R3; R4 -
сопротивления усилителя;
Uвых -
напряжение на выходе тензорезистора;
Знаки
«+» и «-» в схеме - это верхний и нижний вход усилителя (инвертирующий и
неинвертирующий).
Рисунок 4 - Структурная схема канала измерения относительной деформации
Функция преобразования тензорезистора имеет вид:
,
где
- сопротивление тензорезистора в результате его
деформации,
- сопротивление тензорезистора в отсутствии
деформации,
- тензочувствительность тензорезистора.
)
Раскроем скобки
(1)
)
Найдем функцию преобразования
:
(2)
Пусть
При
, получим:
(3)
(4)
)
При условии, что
, упрощаем функцию преобразования. При условии, что
, (где
),
функцию преобразования можно упростить.
Примем
во внимание, что
Введем
обозначение для чувствительности моста
Тогда
функция преобразования примет следующий вид:
(5)
)
Найдем значение методической погрешности
(6)
)
Если цепочка преобразования имеет вид:
то структурная функциональная модель будет следующий (рисунок 5).
Рисунок 5 - Структурная функциональная модель
Так
как
, то номинальная функция преобразования выходного напряжения
будет:
(7)
где
)
Составим структурную метрологическую модель (рисунок 6).
Рисунок
6 - Структурная метрологическая модель
На
рисунке 6
и
-
относительные мультипликативные погрешности моста и усилителя, при этом
.
)
Составим метрологическую математическую модель.
(8)
Тогда
и, следовательно
-
формула для относительной погрешности измерения выходной величины, в которой
присутствуют относительные погрешности всех компонентов.
)
С учетом того, что
, а
получим:
(9)
9) Упростим функцию (с учетом пренебрежения) до следующего вида:

(10)
)
Формула для относительной погрешности измерения выходной величины, в которой
присутствует отношение погрешности всех компонентов (по методу равных влияний):
(11)
Назначим
требования к относительным погрешностям всех компонентов, исходя из метода
равных влияний.
(12)
)
Технические требования к тензорезисторам:
-
диапазон измеряемых деформаций.
Исходя
из формулы
по методу равных влияний можно судить о том, что
(13)
То
есть будет:
;
-
максимальное значение напряжения (для простейшей схемы)
)
Требования к допускам на номинал резисторов:
По
данным из схемы, где
Рассчитаем
значения сопротивлений.
Так
как
, то
.
Произвольно
берем значение сопротивления (см. ряды номиналов резисторов).
Пусть
,
Тогда
.
Следовательно,
можно сделать вывод:
.
)
выведем формулу для относительной погрешности
.
Если
а значит и
,
следовательно
(14)
Так
как
то по методу равных влияний:
Полагаясь
на таблицу метрологических характеристик тензорезисторов типа 2ФКП-5 можно
судить о том, что предельное относительное отклонение сопротивления
в партии от номинального значения может принадлежать
группе, как высокой точности (группа А), так и к группе Б (средней точности),
со значениями 0,35% и 0,8%.
Пусть
в нашем случае, будет выбрана группа А (группа высокой точности).
Тогда
номинальное значение сопротивления тензорезистора в отсутствии деформации будет
равным:
(где
);
-
инструментальная погрешность измерительного канала.
)
При значении напряжения (подаваемого на вход микросхемы операционного усилителя
К140УД6)
выразим
по
формуле (5):
, (15)
.
При
подстановке значений получим:
)
Напряжение источника питания тензорезистора находится по формуле:
а
)
Погрешность согласования моста Уитстона с усилителем такова:
Заключение
Обеспечение высокого и стабильного качества промышленной продукции является
в настоящее время одной из основных проблем, на решение которой направлены
усилия коллективов ученых, конструкторов и технологов.
В рамках этой проблемы важное место занимают прочностные испытания
образцов техники. Для измерения напряжений или величин деформаций в деталях
машин и элементах конструкций используют резистивные, струнные и индуктивные
первичные преобразователи в сочетании с измерительными схемами включения и
преобразования информации.
Из названных выше первичных преобразователей в практике наиболее часто
находят применение тензорезисторы.
Простота конструкции, малые масса и габариты позволяют использовать
тензорезисторы для измерения сил, давлений, вращающих моментов, ускорений и
других величин, преобразуемых в упругую деформацию в труднодоступных местах
различных машин и механизмов без изменения конструкций.
Список использованных источников
1) ГЛОНАСС. Принципы построения и функционирования/ Под ред.
А.И Перова, В.Н. Харисова. Изд. 3-е, перераб. - М.: Радиотехника, 2010, 688с.,
ил.
) Сетевые спутниковые радионавигационные системы/ Под. Ред.
В.С. Шебшаевича. - М.: Радио и связь, 2009.
) Радионавигационные системы. Учебник для вузов/ Под ред.
П.А. Бакулева, А.А. Сосновского. - М.: Радиотехника, 2008 - 224 с., ил.
) Глобальная спутниковая навигационная система ГЛОНАСС//
Интерфейсный контрольный документ. Редакция 5.0. - Москва, 2011.