Расчет системы автоматизации температуры распределенного теплового объекта
Задание
автоматизация тепловой датчик
контроллер
|
Автоматизация
(тема) ВАРИАНТ 5
|
САР
температуры распределенного теплового объекта
|
|
Объект
управления
|
Канал
регулирования ОУ "расход теплоносителя - температура теплоносителя в
системе отопления задания"
|
|
Уравнение
движения
|
ТОУ =22.5
с, kОУ=1.2 %/%, τ
=
12.5 kОУ= (ΔХ/Хр)*100
/ (ΔУ/Ур)*100,
Х(t) - температура теплоносителя; Y(t) - расход теплоносителя
|
|
Определить
временные и частотные характеристики ОУ
|
|
|
Построить
и описать функциональную схему автоматизации ОУ. Выбрать и описать контроллер
и датчик температуры. Подбор остальных средств автоматизации
|
С
учетом задания. См. www.owen.ru . Например. Контроллер типа PC из класса
специализированных. (Краткое описание. Функциональная схема прибора. Основные
технические характеристики.)
|
|
Построить
переходный процесс для датчика температуры с учетом ОУ
|
. Td=32 c,
kd=1.2%/%
|
|
Расчет
параметров настройки регулирующего устройства
|
Типовой
процесс регулирования - 20 % перерегулирование. Диаметр проходного сечения 40
мм.
|
|
Алгоритм
управления САР
|
Разработать
для заданного канала регулирования
|
Введение
Отпуск теплоты является одним из основных
технологических процессов теплоснабжения. Однако в отличие от других процессов
теплоснабжения (производство теплоты, подготовка воды, транспортирование
теплоносителя, защита тепловых сетей и др.) объем и уровень автоматизации
управления отпуском теплоты существенно отстают от современных требований
обеспечения высокого качества, экономичности и надежности теплоснабжения,
отопления и горячего водоснабжения. В связи с этим имеют место дискомфортные
условия в отапливаемых помещениях и перерасход теплоты и топлива. В настоящее
время отпуск теплоты регулируется практически только на источниках (центральное
регулирование). В незначительном количестве объектов применяют регулирование
температуры воды в системах горячего водоснабжения. На источнике применяют, как
правило, качественный метод регулирования по изменению температуры наружного
воздуха. Однако этот вид регулирования осуществляют не на всем диапазоне
наружных температур.
В относительно теплое время года в системах
теплоснабжения, имеющих двухтрубные тепловые сети, из-за горячего водоснабжения
температура теплоносителя на источнике поддерживается постоянной: не ниже 70°С
для закрытых систем, и не ниже 60°С для открытых. При отсутствии устройств
регулирования у потребителя в систему отопления поступает вода с повышенной
температурой, что вызывает перегрев отапливаемого здания. Дискомфорт в
отапливаемых помещениях (перегрев в одних и недогрев в других) происходит также
вследствие невозможности учета при центральном регулировании действия ветра и
солнечной радиации, а также избыточных бытовых тепловыделений. Ниже рассмотрены
причины перерасхода теплоты при отсутствии автоматизации:
. Перерасход в теплый период года
(осенне-весенний период) составляет примерно 2-3%
. Невозможность учета бытовых
тепловыделений при центральном графике регулирования может увеличить перерасход
теплоты до 15-17%. При групповом методе регулирования бытовые тепловыделения
учитываются в размере 5-6%, а при домовом и пофасадном - до 12-17%.
. Существующий график отпуска теплоты
ориентирован на отопление квартир наветренной ориентации при постоянной
инфильтрации, определяемой в расчетных условиях. Таким образом, в нерасчетных
условиях за счет силы ветра и его направленности количество теплоты на
отопление может быть сокращено. Сокращение этого перерасхода теплоты возможно
путем:
а) учета снижения инфильтрации при повышении
температуры наружного воздуха;
б) дополнительного учета изменения скорости
ветра;
в) учета направления ветра.
Мероприятия по п. (3б) и (3в) могут быть
практически реализованы только при пофасадном регулировании.
. При действующем центральном графике
регулирования не учитывается поступление теплоты от солнечной радиации. Учет ее
может производиться сокращением теплоты, подаваемой на солнечный фасад. При
необходимости часть этой теплоты может быть передана фасаду с несолнечной
ориентацией. Экономия при учете солнечной радиации может достигнуть 4-9%.
Солнечная радиация может быть учтена при применении пофасадного или
индивидуального регулирования.
. Значительная экономия теплоты при любом
способе регулирования может быть достигнута за счет снижения температуры
воздуха в отапливаемых помещениях производственных и
административно-общественных зданий в нерабочие дни и в ночное время, а в жилых
домах - в ночное время. Снижение температуры воздуха в жилых зданиях в ночное
время на 2-3°С не ухудшает санитарно-гигиенические условия и в то же время дает
экономию в размере 4-5%. В производственных и административно-общественных
зданиях экономия теплоты за счет снижения температуры в нерабочее время
достигается в еще большей степени. Температура в нерабочее время может
поддерживаться на уровне 10-12°С.
Общая экономия теплоты при автоматическом
регулировании ее отпуска системам отопления может составить до 35% годового
расхода.
1. Общая характеристика объекта управления (ОУ)
Схема автоматизированного ИТП
для закрытой системы централизованного теплоснабжения с применением в системе
ГВС электронного регулятора (контроллера) показана на рис. 1. Особенность этой
системы заключается в применении для ГВС и отопления одного электронного
регулятора из класса специализированных контроллеров со встроенными функциями,
например, в виде двух канального и двух контурного по каналу отопления
контроллера типа ECL Comfort 300 (модернизированного с учетом функции
ограничения расхода для контуров отопления и ГВС при использовании
дополнительного модуля) или трех канального контроллера типа
РС-301Д/302Д/351Д/352Д.
Рис. 1. Блок-схема
автоматизированного ИТП для закрытой системы теплоснабжения с применением в
системе ГВС контроллера
САР отопления здания содержит
следующие приборы и оборудование:
·
регулирующий
клапан К1 с исполнительным механизмом МЗ;
·
регулятор
перепада давления прямого действия РС1 с клапаном КЗ и узлом регулирования;
·
теплообменник
ТО 1;
·
моноблок
циркуляционных насосов HI и Н2 с учетом электроприводов Ml и М2;
·
датчик
давления РЕ 1;
·
специализированный
контроллер ТК1 (для регулирования температуры в системе отопления);
·
контроллер
ТК2 (для управления насосами);
·
погружные
датчики температуры теплоносителя в подающем трубопроводе ТЕ1 системы отопления
здания (СО здания) и обратном трубопроводе ТЕ2, связанном с внешними тепловыми
сетями, а также датчик температуры наружного воздуха ТЕЗ;
·
подпиточный
контур (трубопровод ТЗ, соединяющий обратный трубопровод Т2 и СО здания)
содержит: клапан К2 с электромагнитным приводом УА1, связанный с датчиком-реле
давления РЕ2, входящие в состав регулятора прямого действия, а также клапан
обратный К01, расширительный бак Б1 с предохранительным клапаном КП1;
·
датчик
температуры внутреннего воздуха ТЕ4 здания;
·
специализированный
контроллер ТК1 со встроенными функциями, предназначенный для регулирования
температуры как в системе отопления, так и системе ГВС здания.
Подающий Т1 и обратный Т2
трубопроводы ИТП связаны с тепловыми сетями.
К контроллеру ТК1 подключены:
·
исполнительный
механизм МЗ к выходу ТК1 (Y1.1);
·
датчики
температуры ТЕ 1-ТЕЗ к соответствующим аналоговым входам (XI. 1 - XI .3).
К контроллеру ТК2 подключены:
·
электроприводы
Ml и М2 моноблока насосов к выходам ТК2 (Y2.1 и Y2.2);
·
датчик
давления РЕ1 к аналоговому входу (Х2.1).
САР горячего водоснабжения (см.
рис. 1) содержит приборы и оборудование:
·
погружной
датчик температуры теплоносителя ТЕ5;
·
регулирующий
клапан К4 с исполнительным механизмом М5.
К контроллеру ТК1 подключены:
·
датчики
температуры ТЕ1-ТЕ4 соответственно к аналоговым входам (XI-Х4) и датчик температуры
ТЕ5 системы ГВС к входу (Х5);
·
электроприводы
Ml и М2 моноблока насосов и исполнительный механизм МЗ системы отопления
соответственно к выходам ТК1 (Y1-Y3), а также электропривод М4 и исполнительный
механизм М5 системы ГВС соответственно к выходам (Y4 и Y5).
2. Анализ динамических свойств ОУ
.1 Уравнение движения
Процесс регулирования разности давлений, как
объект управления, характеризуется определенной инерционностью и запаздыванием.
Работа ОУ (объекта управления) по каналу регулирования "расход
теплоносителя - температура теплоносителя " характеризуется обыкновенным
неоднородным дифференциальным уравнением первого порядка:
(1)
где, х(t) - температура теплоносителя;(t) -
расход теплоносителя;
КОУ, ТОУ - коэффициент передачи и постоянная
времени объекта управления;
t - время запаздывания.
КОУ = 2% / %; ТОУ = 56 с; t
= 0.
.2 Передаточная функция
Анализ динамических свойств ОУ производят по
временным и частотным характеристикам. Временные и частотные характеристики ОУ
определяем в следующей последовательности.
Преобразуем исходное уравнение (1) по Лапласу:
, так как
,
то
получаем алгебраическое уравнение изображений:
(2),
где,
и
-
выходная и входная величины ОУ, преобразованные по Лапласу;- оператор Лапласа;
Находим решение алгебраического уравнения
изображений:
(3)
Определяем аналитическое выражение передаточной
функции объекта управления
, которое с учетом
(3) имеет вид:
(4)
.3 Переходная характеристика
Находим изображение переходной характеристики
,
которое с учетом (4) равно:
(5),
где
-
изображение единичной ступенчатой функции.
Приравняем знаменатель выражения (5) к нулю:
и
найдем корни из полученного уравнения
,
.
Так как один корень уравнения
нулевой, а второй
-
простой, то для нахождения переходной характеристики
можем
применить эмпирическую формулу разложения Хевисайда.
По формуле Хевисайда определяем переходную
характеристику ОУ
(6),
где
,
и
,
-
значения полиномов числителя
и знаменателя
функции
при
условии, что
и
соответственно;
- корни характеристического уравнения
;
- количество
корней характеристического уравнения;
- значение
производной
при
.
С учетом того, что для передаточной функции (4)
;
;
;
;
;
;
;
,
получаем:
(7)
Переходная характеристика представлена на рис.
2.
Рис. 2. Переходная характеристика
.4 Импульсная характеристика
Взяв производную по времени от (7), получаем
аналитическое выражение импульсной характеристики:
(8)
Импульсная характеристика представлена на рис.
3.
Рис. 3. Импульсная характеристика.
2.5 Частотные характеристики (КЧХ, АЧХ, ФЧХ)
Находим аналитическое выражение комплексной
частотной характеристики (КЧХ). Для этого заменяем в выражении (4) для
передаточной функции комплексную величину
на
переменную
и получаем:
,
где
-
мнимая единица
Домножим числитель на комплексно - сопряженную
величину
и
получим:
,
после преобразований, получаем:
,
Или
,
где
(10)
- вещественная частотная характеристика (ВЧХ),
а
(11)
- мнимая частотная характеристика (МЧХ),
Определяем АЧХ (амплитудно - частотную
характеристику) ОУ
, подставляя в
уравнение (10) и (11), получаем
(12)
Находим аналитическое выражение ФЧХ (фазо -
частотной характеристики):

(13)
По выражениям (10), (11), (12) и (13), используя
исходные данные и изменяя частоту от 0 до бесконечности, получим частотные
динамические характеристики ОУ, приведенные на рис.4.
Таким образом, для оценки динамических свойств
объекта регулирования располагаем временными и частотными характеристиками.
Из временных характеристик следует, что
рассматриваемому ОУ характерна инерционность (постоянная времени
).
Частотные характеристики свидетельствуют о том,
что объект регулирования является сравнительно низкочастотным, то есть может
реагировать только на относительно медленные изменения регулирующей величины
.
а) комплексная частотная характеристика (КЧХ)
б) амплитудно-частотная характеристика (АЧХ)
в) фазо-частотная характеристика (ФЧХ)
Рис. 4. Частотные характеристики объекта
управления:
3. Построение и описание функциональных схем
автоматизации ОУ
. Рассмотрим особенности функциональной САР с
учетом двух канального контроллера на базе ECL-300.
Функциональная схема САР для регулирования СОЗ
имеет вид:
Состав элементов:
ДТ1 - датчик температуры наружного воздуха как
правило находится на северном фасаде здания.
ДТ3 - датчик температуры воздуха внутритипового
помещения здания
ЛР1 - локальный регулятор первого канала
ECL-300, который является двухконтурным
ИМ1 - исполнительный механизм предназначенный
для перемещения штока клапана
РО1 - регулирующий орган (клапан)
Б1 - дополнительный контроллер для управления
циркуляционными насосами по временной программе
ЭП1,ЭП2 - электроприводы насосов
ЦН1,ЦН2 - циркуляционные насосы в СОЗ
ОУ является распределённым и содержит:
ОУ1 - часть СОЗ в ИТП с учетом теплообменника
ТО2
ОУ2 - остальная часть СОЗ с учетом типового
помещения здания
Выходные величины ОУ1,ОУ2 следующие(t) -
температура теплоносителя в подающем трубопроводе СОЗ(t) - температура воздуха
в типовом помещении здания
Представленная САР является комбинированной т.к.
имеется контур регулирования по возмущению и по отклонению (2 контура) САР
отопления обеспечивает регулирование T2(t) Tk(t) путем изменения расхода G1(t)
от внешних теплоносителей
При этом G1(t)- расход теплоносителя через
теплообменник СОЗ, который изменяется с помощью РО1, регулирующий клапан
который находится на входе ТО. Внутренний контур САР использует обратную связь
с учетом датчика ДТ3. внутренний контур САР является малоинерционным и при этом
используется ПИ-регулятор.
Внешний контур обладает существенной инертностью
(до часа) использует П-регулятор.
Контроллер может формировать П-закон
регулирования и при этом выходной сигнал У1 определяется в виде
В этом уравнении выходная величина
пропорциональна отклонению регулирования величины от заданной.
При формировании ПИ-закона
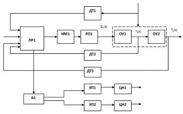
2. Функциональная схема САР температуры СО
здания на базе контроллера ТРМ-32:
Построение и описание функциональных схем
автоматизации ОУ
ОУ1 - объект управления СОЗ
Входные величины:
G(t) - расход теплоносителя на входе ТО2
ТНВ(t) - температура наружного воздуха
Выходные величины:
ТСО(t) - температура теплоносителя СОЗ
ТT2(t) - температура теплоносителя в обратном
трубопроводе Т2
РО1 - регулирующий орган
ИМ1 - исполнительный механизм
ЛР1 - локальный регулятор
ДТ1 - датчик температуры
ДТ2 - погружной датчик температуры
ДТ3 - погружной датчик температуры
Представленная САР является комбинированной.
Контур регулирования по возмущению САР включает датчик ДТ1. Два контура
регулирования по отклонению с учетом датчиков ДТ2 и ДТ3.
Первый контур регулирования по отклонению
предназначен для управления температурой теплоносителя системы отопления путем
изменение теплоносителя через ТО2. этот контур регулирования функционирует на
базе одного из блоков ТРМ-32.
Второй контур регулирования по отклонению
предназначен для защиты от превышения отопления ТСО(t).Таким образом при
появлении в системе разности температур происходит изменение штока клапана РО1
до тех пор пока Δt=>0. Отметим
это управление РО1 осуществляется широтно-импульсным образом, контроллер после
каждого опрос датчика ДТ1 вычисляет новое текущее значение для программного
задания контроллера т.е. для установления Δt цикличного
опроса датчиков температуры.
Для второго контура формирование САР характерно
следующее: если в САР произойдет увеличение температуры теплоносителя в
обратном трубопроводе больше чем максимально допустимое значение, тогда ТК1
переведет систему в режим защиты от этого превышения в этом случае ТК1
прерывает регулирование температуры с учетом программного задания и переходит
на режим снижения температуры до требуемого значения после снижения в обратном
трубопроводе до заданной.контроллер ТК1 автоматически переключается в режим
регулирования. САР на базе контроллера ТРМ-32 может функционировать в
экономичном режиме и для этого в системе предусмотрена возможность переключения
режима работы САР при положительной температуре Тро(t) переход от
"дневного режима работы" САР на "ночной режим работы".
Переключение контроллера ТРМ-32 с одного режима работы на другой осуществляется
через вход Д с помощью таймера или другого устройства при этом согласно заданию
пользователя отопительной системы в блоке БОД осуществляется пропорциональное
смещение температуры теплоносителя путем введения коррекции на изменение
расхода по первому контуру.
Первый контур регулирования САР работает
следующим образом:
Согласно выбранной конфигурации по входу первого
контроллера подключен датчик наружного воздуха и в зависимости от данных ДТ1 в
блоке обработки данных (БОД) определяется температура установки т.е.
формируется задание ПЗ1 для контроллера с целью поддержания требуемой
температуры подающем трубопроводе СОЗ.
В случае увеличения температуры в СОЗ контроллер
ТК1 формирует управляющую команду при которой ИМ1 перемещает шток РО1 таким
образом чтобы уменьшился расход теплоносителя через теплообменник ТО2 и
соответственно уменьшилась температура.
В случае уменьшения температуры в СОЗ по команде
контроллера ТК1 исполнительный механизм с помощью РО1 наоборот увеличивает
расход теплоносителя через ТО2 при этом увеличивается температура в системе
отопления.
В качестве ТК2 возьмём прибор САУ-МП-Х.11 для
управления циркуляционными насосами.
Для управления циркуляционными насосами на базе
САУ-МП-Х.11 применяют функциональную схему:
Построение и описание функциональных схем
автоматизации ОУ
ЛРр - локальный регулятор
ЭП - электропривод
ЦН - циркуляционный насос
ОУ2 - объект управления (вода)
ДД1 - датчик давления
В качестве регулятора ТК3 возьмём тоже
САУ-МП-Х.11. Реле 1 и 2 осуществляют управление насосом и исполнительным
механизмом регулирующего клапана в ГВС. Функциональная схема будет такая же как
и выше.
Из анализа функциональных схем контроллеров ТРМ
- 32 и ECL 300, выбираем контроллер ТРМ - 32. Т.к. нет необходимости использовать
функциональные возможности импортного регулятора.
4. Подбор приборов и средств автоматизации
Описание котроллера ТРМ-32
Микропроцессорный измеритель регулятор
температуры ТРМ32-Щ4.01 совместно с входными термопреобразователями (датчиками)
и исполнительными механизмами (ИМ) предназначен для контроля и регулирования
температуры в системе отопления и горячего водоснабжения (ГВС). Регулировка
температуры осуществляется по ПИД закону. Кроме функций регулирования, прибор
защищает систему от завышения температуры обратной воды, возвращаемой в
теплоцентраль.
Технические характеристики:
|
Диапазон
контроля температуры
|
-50...199,9°С
|
|
Разрешающая
способность
|
0,1°С
|
|
Количество
каналов контроля температуры
|
4
|
|
Время
цикла опроса датчиков, не более
|
6
с
|
|
Напряжение
питания
|
220
В
|
|
Способ
управления ИМ
|
э/м
реле, 1А / 220В
|
RS-232
|
|
Масса
прибора
|
1,2
кг
|
|
Размеры
|
96х96х150
мм
|
Входы
Ко входам в зависимости от их типа подключаются
датчики ТСМ 50М, ТСП 50П или ТСМ 100М, ТСП 100П, которые контролируют следующие
параметры:
Тнаруж. - температура наружного воздуха;
Тобр. - температура обратной воды, возвращаемой
в теплоцентраль;
Тотоп. - температура воды в контуре отопления;
ТГВС - температура воды в контуре горячего
водоснабжения.
Вместо датчика Тнаруж. может быть подключен
датчик температуры прямой воды Тпрям., подаваемой из ТЭЦ.
Блок обработки данных
Блок обработки данных преобразует сигналы
датчиков, выводит их на индикацию и формирует сигналы управления
ПИД-регуляторами:
· первый ПИД-регулятор управляет
запорно-регулирующим клапаном КЗРотоп. для поддержания температуры в контуре
отопления и защиты от превышения температуры обратной воды;
· второй ПИД-регулятор управляет
КЗРГВС для поддержания температуры в контуре горячего водоснабжения.
САУ-МП-Х.11
САУ-МП-Х.11 предназначен для управления двумя
циркуляционными насосами, поочередно работающими на одну магистраль, с
возможностью аварийной сигнализации.
На магистрали установлен датчик давления
("сухой контакт"), подключаемый к входу 4. Реле 1 и 2 осуществляют
управление насосами. Если отказывают оба двигателя, на реле 3 выдается сигнал
аварии, например, для подключения напрямую, без всякого контроля давления,
аварийного двигателя. Вход 1 используется для перехода в автоматический режим
работы и для сброса аварийного сигнала.
Рис. 6. Схема работы прибора управления насосами
Термосопротивления ДТС типа ТСП, ТСМ
Назначение термопреобразователей
Термопреобразователи (датчики температуры)
предназначены для непрерывного измерения температуры различных рабочих сред
(например, пар, газ, вода, сыпучие материалы, химические реагенты и т.п.), не
агрессивных к материалу корпуса датчика.
Модели датчиков с резьбовым креплением выпускаются
в стандартном исполнении с метрической резьбой. Возможно также их изготовление
с трубной резьбой по спец. заказу.
Основные критерии правильного выбора
термопреобразователя
· Соответствие измеряемых температур
рабочим диапазонам измерений термопреобразователей
· Соответствие прочности корпуса
датчика температуры условиям эксплуатации
· Правильный выбор длины погружаемой
части датчика и длины соединительного кабеля
· Необходимость взрывозащищенного
исполнения для работы на взрывопожароопасных участках
· Принцип действия термосопротивления
основан на свойстве проводника изменять электрическое сопротивление с
изменением температуры окружающей среды.
· Термосопротивления отличаются
материалом чувствительного элемента: ТСМ - медь, ТСП - платина.
Класс допуска и диапазон измерений
термопреобразователей ДТС
Рис. 7. Датчик температуры погружной
Регулирующий седельный клапан двухходовой
Danfoss VB2, фланцевый
Клапан VB2 является проходным и разгруженным по
давлению. Он применяется с редукторными электроприводами серий AMV и AME,
преимущественно в системах отопления, горячего водоснабжения, теплоснабжения
вентиляционных установок и кондиционеров. Максимальный перепад давления на
клапане 16 бар. Условное давление 25 бар. Протечка не более 0,05% от Кvs.
Применение: Клапаны моторные регулирующие типа
VВ2 Ду=40мм, kvs=25 м3/ч, которые будут регулировать расход горячей
воды в системе ГВС и СОЗ.
Технические характеристики
Исполнительные механизмы МЭО
Электрические однооборотные исполнительные
механизмы МЭО предназначены для перемещения регулирующих органов в системах
автоматического регулирования технологическими процессами в соответствии с
командными сигналами автоматических регулирующих и управляющих устройств.
Исполнительные механизмы МЭО перемещают рабочие органы неполноповоротного
принципа действия (шаровые и пробковые краны, поворотные дисковые затворы,
заслонки).
Принцип работы исполнительных механизмов
заключается в преобразовании электрического сигнала поступающего от
регулирующего или управляющего устройства во вращательное перемещение выходного
вала.
Исполнительные механизмы МЭО устанавливаются
вблизи регулирующих устройств и связываются с ними посредством тяг и рычагов.
Исполнительные механизмы МЭО изготовляются с
датчиком обратной связи (блоком сигнализации положения выходного вала) для
работы в системах автоматического регулирования или без датчиков обратной связи
- с блоком концевых выключателей для режима ручного управления.
Исполнительные механизмы МЭО выполнены в
исполнении V категории размещения и предназначены для работы в следующих
условиях:
температура окружающего воздуха от -30 до +50°С;
относительная влажность окружающего воздуха до
85% при температуре +35°С и более низких температурах без конденсации влаги;
вибрация в диапазоне частот от 10 до 150 Нz с
амплитудой 0,075 mm для частот до 57-62 Нz и ускорением 9,8mm/S2 для частот
свыше 62 Нz;
наличие пыли и брызг воды;
отсутствие прямого воздействия солнечной
радиации и атмосферных осадков.
Исполнительные механизмы МЭО тропического
исполнения выполнены в исполнении Т категории размещения 2 и предназначены для
работы при температуре от -10 до +50°С и относительной влажности до 100% при
температуре 35°С с конденсацией влаги.
Исполнительные механизмы МЭО не предназначены
для работы в средах, содержащих агрессивные пары, газы и вещества, вызывающие
разрушение покрытий, изоляции и материалов, и во взрывоопасных средах.
По защищенности от проникновения твердых тел
(пыли) и воды исполнительные механизмы МЭО имеют степень зашиты IР54.
МЭО - ммм / вв - ххх д гг
ммм - номинальный крутящий момент на выходном
валу в Н*м
вв - номинальное значение полного хода выходного
органа в оборотах
ххх - номинальное значение времени полного хода
в секундах
д - тип датчика сигнализации положения выходного
вала: И - индуктивный (БСПИ), Р - резистивный (БСПР), У - токовый (БСПТ)
гг - год разработки
Механизмы МЭО-250-99
Подбор приборов и средств автоматизации
Технические условия: 311-49.007-91 ТУ
Сертификаты соответствия: РОСС RU. АЯ15.Н00137
Состав механизма:
· электродвигатель синхронный
· тормоз механический
· редуктор червячный
· блок сигнализации положения
реостатный БСПР, индуктивный БСПИ, токовый БСПТ или блок концевых выключателей
БКВ
· рычаг
· блок конденсаторов
Управление механизмом: контактное или
бесконтактное. Тип управляющего устройства при бесконтактном управлении:
пускатели ПБР-2М, ПБР-2М1
Основные параметры:
|
Условное
обозначение механизмов
|
Номинальный
крутящий момент на выходном валу, N.m
|
Номинальное
время полного хода выходного вала, s
|
Номинальное
значение полного хода выходного вала, r
|
Потребляемая
мощность, W
|
Масса,
kg
|
Климатические
исполнения
|
|
МЭО-40/10-0,25-99
|
40
|
10
|
0,25
|
240
|
27,0
|
У2
(от - 30 до + 50 °С); Т2 (от - 10 до + 50 °С)
|
|
МЭО-40/25-0,63-99
|
40
|
25
|
0,63
|
|
|
|
|
МЭО-100/25-0,25-99
|
100
|
63
|
0,25
|
|
|
|
|
МЭО-100/63-0,63-99
|
100
|
63
|
0,63
|
|
|
|
|
МЭО-250/63-0,25-99
|
250
|
63
|
0,25
|
|
|
|
|
МЭО-250/160-0,63-99
|
250
|
160
|
0,63
|
|
|
|
Напряжение питания и частота питания- 220 V, 50
Hz Степень защиты - IP54 по ГОСТ 14254. Режим работы механизма - S4, частота
включений до 630 в час при ПВ до 25%. Максимальная частота включений до 1200 в
час при ПВ до 25%.
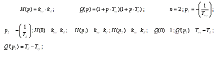
5. Расчет переходного процесса ОУ с учетом
датчика
Передаточная функция ОУ имеет вид:
Передаточная функция датчика имеет вид:
Структурная схема соединения ОУ и датчика имеет
вид:
Определяем переходную характеристику датчика и
объекта
Находим изображение переходной характеристики
,
которое с учетом (4) равно:
(1),
где
-
изображение единичной ступенчатой функции.
Приравняем знаменатель выражения (1) к нулю:
и
найдем корни из полученного уравнения
,
.
Так как один корень уравнения
нулевой, а второй
и третий
и
- простые, то для нахождения переходной характеристики
применим эмпирическую формулу
разложения Хевисайда.
По формуле Хевисайда определяем переходную
характеристику ОУ+датчика:
,
где
,
и
,
-
значения полиномов числителя
и знаменателя
функции
при
условии, что
и
соответственно;
- корни
характеристического уравнения
;
- количество
корней характеристического уравнения;
- значение
производной
при
.
С учетом того, что для передаточной функции W(p)
Получаем:
(2)
Характеристики ОУ + датчик с учетом Tоу, kоу и
Td, kd:
) передаточная функция:
) переходная характеристика:

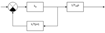
6. Расчет параметров настройки ПИ-регуляторов
Рассмотрим существующие структурные схемы для
реализации ПИ - закона регулирования.
Рассмотрим структурную схему №1 на рисунке 8.
Рис. 8. Структурная схема №1.
Передаточная функция реального ПИ - регулятора
со структурной схемой № 1 записывается в следующем виде:
Данный ПИ - регулятор реализует закон ПИ - регулирования
с погрешностью, определяемой балластным апериодическим звеном. Из этого
следует, что чем kос больше, тем меньше погрешность реализации закона ПИ -
регулирования. Однако при этом следует иметь ввиду, что при увеличении kос
уменьшается коэффициент передачи ПИ - регулятора. Для сохранения требуемого
значения коэффициента передачи регулятора одновременно с увеличением kос
следует пропорционально увеличивать kр.
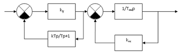
Рассмотрим структурную схему №2 на рисунке 9.
Рис. 9. Структурная схема №2.
В структурной схеме №2 закон ПИ - регулирования
реализуется за счет динамических свойств канала обратной связи, охватывающего
усилительную часть регулятора. Передаточная функция канала обратной связи:
, где k =
1/(kpkо.с.) Т = Тиз.
Для того чтобы структурная схема №2 реализовала
ПИ - закон регулирования необходимо канал обратной связи, охватывающий
усилительную часть регулятора, выполнить в виде реального дифференцирующего
звена.
Рассмотрим структурную схему №3 на рисунке 10.
Рис. 10. Структурная схема №3.
В структурной схеме №3 закон ПИ - регулирования
реализуется за счет динамических свойств канала обратной связи, охватывающего
как усилительную, так и исполнительную часть регулятора. Передаточная функция
обратной связи:
, где k=1/kp
Рассмотрим структурную схему №4 на рисунке 11.
Рис. 11. Структурная схема №4.
Структурная схема №4 имеет принципиальное
отличие от предыдущих схем, заключается в том, что в ней динамические свойства
интегрирующего исполнительного механизма использованы для формирования закона
ПИ - регулирования.
Передаточная функция регулятора:
, где
k=Tиз/(kрTим).
Для обеспечения закона ПИ - регулирования в
качестве обратной связи в структурной схеме №4 применяют апериодическое звено.
Рассмотрим структурную схему №5
(модифицированный ПИ - регулятор) на рисунке 12.
Рис. 12. Структурная схема №5.
Для этого типа ПИ - регулятора уравнение
движения имеет следующий вид:
и - постоянная времени интегрирования*и -
постоянная время изодрома
Из перечисленных выше схем ПИ - регуляторов
выберем наиболее подходящую схему для расчет ПИ - регулятора с учетом
особенностей данной САР. Учитывая, что в качестве ЛР выбирается контроллер
поэтому представим с учетом конечно разностной аппроксимации в общем виде ПИД -
закон регулирования. ПИД регулятор - наиболее эффективный и распространенный
вид регулятора, обеспечивающий достаточно высокую точность при управлении
различными процессами.
ПИД - регулятор вырабатывает выходной сигнал,
который рассчитывается по формуле:
где Xp - полоса пропорциональности-
рассогласование
τд- постоянная
времени дифференцирования
ΔEi - разность между
двумя соседними измерениями
Δτизм - время между
двумя соседними измерениями
τи - постоянная
времени интегрирования
- накопленная в
момент времени сумма рассогласований.
Если датчик положения отсутствует, то регулятор
вычисляет среднюю скорость задвижки по формуле:
Типовой процесс регулирования - 20%
перерегулирование.
,
Из графика переходной характеристики ОУ +
датчика находим τз и Т*оу
после чего вычисляем
и
:
τз= 8,3 с,
Т*оу=130.6 с,
с τи
= 47,48 с.
Окончательный вид передаточной функции ПИ -
регулятора:
7. Разработка алгоритма управления САР
Для построения алгоритма управления САР будем
использовать графический метод в виде блок-схем.
Графический способ описания в виде блок-схем
выполняется по ГОСТ 19.701-90 ЕСПД.
Этот стандарт распространяется на условное обозначение
в схемах алгоритмов, программных данных и систем и устанавливает определенное
правило их выполнения для задач обработки данных и средств их решения.
В качестве описания блок схемы используется
набор символов, блоков, связанных между собой линиями или линиями со стрелкой
для указания последовательности, направления перехода. При движении от блока к
блоку слева направо или сверху вниз можно не указывать направление перехода
стрелками, эти направления считаются стандартными. В противном случае необходимо
ставить стрелки.
Для описания алгоритмов функционирования
автоматической или автоматизированной системы по аналогии принимаем известный
графический способ в виде блок схем существующий для задач обработки данных и
средств их решения.
В отличие от стандарта ЕСПД алгоритм
функционирования автоматических и автоматизированных систем не является
формализованным, поэтому для этих систем допускаем, что символы, блоки также
могут быть отображать процесс протекающий в функциональных элементах этих
систем.
Рассмотрим алгоритм функционирования ГВС на базе
контроллера ТРМ-32.
Рассмотрим особенности функционирования САР с
учетом алгоритма представленного ниже.
Блок "ВВОД" - изображает, что для
функционирования в контроллер необходимо ввести данные для задатчика fз(t),
постоянная для регулятора kp, Tu и т.д.
Блок "ВО1" - отображает что на входе
"ПИД - регулятора" контура ГВС в структуре контроллера ТРМ-32
определяется величина ΔtЗ=fЗ(t) -
fД(t) где ΔtЗ отклонение, fЗ(t)
программное задание температуры для стабилизации в ГВС, fД(t) данные от
погружного датчика температуры ДТ1.
Блок "Δtз"
- блок переключения определяет одно из трех значений отклонения регулируемой
величины от заданной. В зависимости от величины Δtз
выполняется следующее направление переходов:
. Если Δtз>0
то выполняется переход к блоку "ФКУ1" который отображает что в ПИД -
регуляторе формируется команда управления с учетом Δtз>0
и закона регулирования=> Tгвс(t)<Tзад и поэтому контроллер формирует
команду на увеличение расхода теплоносителя G1(t) в системе ГВС.
. если Δtз<0
то выполняется переход к блоку "ФКУ2" который отображает, что в ПИД -
регуляторе формируется команда управления с учетом
Δtз<0
и закона регулирования => Tгвс(t)>Tзад и поэтому контроллер формирует команду
на уменьшения расхода теплоносителя G1(t).
. Если Δtз=0
сигнал на выходе ПИД - регулятора =0 и необходимо перейти к блоку
"ВЫХОД".
Блоки "УПУ1" и "УПУ2"
отображают процессы в усилительно преобразовательных устройствах и релейных
элементов "реле КЗР1 больше" или "реле КЗР2 меньше"
протекающие в них в зависимости от величины Δtз
. При этом с помощью контроллера ТРМ-32 управление исполнительным механизмом
ИМ1 осуществляется на основе широтно-импульсного способа, при котором амплитуда
и период следования импульсов постоянный, а ширина изменяется в зависимости от
входной величины.
Блок "ИМ1" отображает процесс
преобразования в исполнительном механизме электрической энергии в механическую,
т.е. при этом ИМ1 перемещает шток регулирующего клапана РО1 с учетом команды
управления.
Блок "ОУ1" отображает процесс
изменения температуры горячей воды в системе ГВС.
В блоке переключения "ВЫХОД"
определяется одно из двух условий, а именно, закончить функционирование САР или
нет:
· если "+", то САР
останавливается;
· если "-", то цикл
функционирования САР продолжается с последующим переходом к блоку
"ТР".
Блок "ТР" - таймер контроллера ТРМ-32.
В блоке переключения "Δt
≥
t0" контроллера ТРМ-32 определяется, больше или равно Δt
(интервал
времени цикла опроса датчика температуры) заданному значению t0 или меньше t0
(в ТРМ32 этот интервал не более 6 с для последних модификаций контроллера):
· если Δt ≥
t0, то выполняется переход к блоку "ДТ1";
· если Δt < t0,
то
выполняется циклический переход к блоку "ТР" контроллера ТРМ-32.
Блок "ДТ1" отображает процессы в
погружном датчике температуры ДТ1, связанные с измерением величины TГВС(t) на
выходе ОУ1, преобразованием ее в электрический сигнал и с последующей передачей
в блок "ПЭ1" контроллера ТРМ-32.
Блок "ПЭ1" отображает, что в элементе
блока обработки данных ("Блок ОД") контроллера ТРМ-32 происходит
преобразование аналогового сигнала датчика ДТ1 в цифровой с помощью АЦП
(аналого-цифрового преобразователя). При этом следует отметить, что все сигналы
от датчиков температуры в контроллере ТРМ-32 проходят дополнительную цифровую
фильтрацию и последующую коррекцию.
Заключение
В данной курсовой работе мы разработали и
рассчитали:
Ø анализ динамических свойств объекта
управления, который, характеризуется обыкновенным неоднородным дифференциальным
уравнением первого порядка
Ø функциональную и структурную схемы
контроля и автоматизации регулировки температуры распределенного теплового
объекта
Ø расчет переходного процесса ОУ с
учетом датчика
Ø типовой расчет для ПИ-регулятора,
который наиболее лучше подходит для данной САР (см. рис. 1) из всех
существующих ПИ-регуляторов
Ø алгоритм управления САР на базе
контроллера ТРМ-32
По исходным параметрам подобрали следующие
средства автоматизации:
· Контроллер для управления датчиками
ТРМ-32
· Контроллер для управления
циркуляционными насосами САУ-МП-Х.11
· Датчик температуры ДТС типа ТСП, ТСМ
· Седельный и регулирующий клапан VB2
(РО)
· Редукторный электропривод МЭО-250-99
(ИМ)
Список литературы
1. Подлесный
Н.И., Рубанов В.Г. "Элементы систем автоматического управления и
контроля". Учебник - 3 изд., перераб. и допол. - Киев: Вища школа, 1991 -
461 с.
2. Ерофеев
А.А. "Теория автоматического управления". Учебник для ВУЗов 2-е
идание, перераб. и допол. - СПб.: Политехника, 2003 - 302 с.
. Мануйлов
П.И. "Теплотехнические измерения и автоматизация тепловых процессов",
1973 - 210 с.
. Андреев
А.А. "Автоматические электронные показывающие, регистрирующие и
регулирующие приборы", - Л.: Машиностроение, 1981 - 283 с.
. Контрольно
- измерительные приборы и средства автоматизации "каталог продукции"
2005 г - 185 с.(www.owen.ru)