Расчет необходимой частоты дискретизации амплитудно-модулированных КВ сигналов
Министерство
образования Российской федерации
ЕЛЕЦКИЙ
ГОСУДАРСТВЕННЫЙ УНИВЕРСИТЕТ им. И.А БУНИНА
Институт
математики, естествознания и техники
Кафедра
радиоэлектроники и компьютерной техники
Курсовая
работа на тему:
«Расчет
необходимой частоты дискретизации амплитудно-модулированных КВ сигналов»
Выполнил студент 4
курса,
Группы ФР-41
Клюндт К.Р
Руководитель :
Старший
преподаватель
Пешков И.В.
Елец
2014
Содержание
1.
Полосовые радиосигналы. Виды модуляции
2.
Комплексная огибающая. Векторное представление сигнала
3.
Структурная схема универсального квадратурного модулятора
4.
Процесс преобразования аналогового сигнала в цифровой
.
Дискретизация низкочастотных сигналов
.1
Теорема о дискретном представлении
.2
Наложение и спектры дискретных сигналов
.3
Фильтр защиты от наложения спектров
.
Дискретизация полосовых частот
.1
Введение и основные понятия
.2
Методы дискретизации с недостаточной выборкой для целочисленных полос
.
Расчет частоты дискретизации, спектр и уровень сигнала
Используемая
литература
дискретизация сигнал модулятор
спектр
1. Полосовые радиосигналы. Виды модуляции
При передаче информации в радиотехнике
используются полосовые радиосигналы. Введем несколько понятий, для строгости
рассуждений. Модулирующим сигналом
будем
называть низкочастотный информационный сигнал (речь, цифровая информация и
т.д.), который требуется передать на частоте
,
где
-
верхняя частота спектра модулирующего сигнала. Полосовыми сигналами назовем
сигналы, чьи спектры сосредоточены в некоторой полосе
около
несущей частоты
. На рисунке 1
наглядно приведены спектры вещественного модулирующего (красный) и полосового
(синий) сигналов.

Рисунок 1: Спектр модулирующего и полосового сигналов
Поскольку сигналы вещественные, то их спектры
симметричны относительно нулевой частоты. Перенос модулирующего сигнала
на
несущую частоту
называется
модуляцией.
Рассмотрим способы модуляции, для этого
рассмотрим несущее колебание
:
|
|
(1)
|
где
-
амплитуда несущего колебания,
- начальная фаза.
Также можно ввести понятие полной фазы несущего колебания:
|
(2)
|
|
а также мгновенной частоты сигнала, как
производную от полной фазы:
|
(3)
|
|
Мгновенная частота несущего сигнала - постоянная
величина равная
. Таким образом при
модуляции мы можем управлять всего двумя параметрами несущего колебания:
амплитудой и полной фазой. При управлении только амплитудой получим амплитудную
модуляцию и все ее производные, при управлении полной фазой получим угловую
модуляцию (фазовая и частотная). При управлении и амплитудой и полной фазой
можно получить все известные виды модуляции. Теперь можно рассмотреть общую
запись полосового сигнала:
|
(4)
|
|
где
-
закон изменения амплитуды несущего колебания, а
-
изменение фазы несущего колебания в соответствии в с модулирующим сигналом.
2. Комплексная огибающая. Векторное
представление сигнала
Введем понятие комплексной огибающей и
векторного представления сигнала. Для этого рассмотрим комплексный сигнал
|
(5)
|
|
Из выражения (5) можно заметить, что
,
то есть реальная часть комплексного сигнала совпадает с полосовым
радиосигналом. По формуле Эйлера можно представить:
|
(6)
|
|
Таким образом:
|
(7)
|
|
Выделенный сигнал
носит
название комплексной огибающей сигнала
.
Рассмотрим свойства этого сигнала. Сигнал
является
комплексным, с изменяющимися во времени амплитудой и фазой, причем изменение
амплитуды сигнала
полностью
совпадает с изменением амплитуды радиосигнала
,
а изменение фазы полностью совпадает с изменением фазы радиосигнала
.
Однако отсутствие множителя
говорит о том что
сигнал
представляет
собой «перенесенный на нулевую частоту комплексный сигнал
».
Комплексная огибающая сигнала существенно упрощает анализ сигнала.
Любое комплексное число можно представить в виде
точки на комплексной плоскости или вектора выходящего из 0 до этой точки, а
комплексный сигнал можно трактовать как комплексную функцию времени, т.е.
вектор который описывает на комплексной плоскости некоторую траекторию в
течении времени, как это показано на рисунке 2.

Рисунок 2: Векторное представление комплексного сигнала
Тогда комплексную экспоненту
на
комплексной плоскости можно представить вектором единичной амплитуды
поворачивающегося за одну секунду на угол
,
совершая при этом
оборотов в секунду.
Таким образом при наблюдении за
мы увидим
окружность единичного радиуса которую вычерчивает вектор с частотой
.
При этом единичная окружность будет искажаться сигналом
,
а именно в течении времени вектор
,
будет менять амплитуду в соответствии с
и
скорость вращения в соответствии с
.
Так вот комплексная амплитуда позволяет нам остановить вращение вектора с
частотой
и
посмотреть как меняется его амплитуда и фаза во время вращения. Это равносильно
тому что ученый пытается рассмотреть муху когда она летает по комнате выписывая
круги. Делать это не очень удобно, в то время как ее можно очень детально
рассмотреть если поймать. Так же и комплексная огибающая это как бы пойманная
неподвижная муха, мы можем детально изучить траекторию вектора комплексной
огибающей.
Теперь вернемся к рассмотрению комплексной
огибающей.
можно представить
в виде реальной и мнимой частей:
|
(8)
|
|
где
-
синфазная составляющая комплексной огибающей (или координата по оси абсцисс), а
- квадратурная составляющая (или координата по оси ординат, как это показано на
рисунке 3)

Рисунок 3: Векторное представление комплексной огибающей
3. Структурная схема универсального
квадратурного модулятора.
Теперь вернемся к выражению комплексного сигнала
(7), подставив в него выражение для комплексной огибающей (8):
|
(9)
|
|
Тогда из выражения (9) полосовой сигнал:
|
(10)
|
|
Таким образом, если имеется модулирующий сигнал,
из которого сформированы синфазная и квадратурная компоненты комплексной
огибающей сигнала, то можно перенести ее на любую частоту при помощи схемы
универсального квадратурного преобразователя, представленной на рисунке 4.
Рисунок 4: Универсальный квадратурный модулятор
Если заметить, что
то
схему универсального квадратурного модулятора можно представить как показано на
рисунке 5.
Рисунок 5: Универсальный квадратурный модулятор
с фазовращателем
Поскольку исходный модулирующий сигнал является
низкочастотным, то формирование комплексной огибающей можно производить в
цифровом виде. Способ формирования комплексной огибающей в зависимости от
модулирующего сигнала определяет вид модуляции. Схема представленная на рисунке
подходит для всех цифровых и аналоговых видов модуляций.
. Процесс преобразования аналогового сигнала в
цифровой
• Вначале сигнал (с ограниченной полосой)
дискретизуется, т.е. аналоговый сигнал преобразуется в дискретный по времени
сигнал с непрерывной амплитудой.
• Амплитуда каждого дискретного элемента сигнала
кантуется в один из 2в уровней, где В - число битов, которым дискретная выборка
представлена в АЦП.
• Дискретные уровни амплитуды представляются или
кодируются в виде различных бинарных слов, каждое из которых имеет длину В бит.
Описанный процесс изображен на рис. 6. На этом
рисунке можно выделить три различных типа сигнала.
• Аналоговый входной сигнал непрерывен как по
времени, так и по амплитуде.
• Дискретный сигнал непрерывен по амплитуде, но
определяется только в дискретных точках во времени.
• Цифровой сигнал х(п)(п = 0,1,…) существует
только в дискретных точках во времени и в каждой временной точке может иметь
одно из 2в значений (дискретный во времени сигнал с дискретной амплитудой).
Рис 6. Графическое представление процесса
преобразования аналогового сигнала в цифровой .
. Дискретизация низкочастотных сигналов
Дискретизация-это определение значений
непрерывного сигнала в дискретные моменты времени. Это основное понятие
обработки сигнала в реальном времени. Пример аналогового сигнала, подвергшегося
дискретизации, показан на рис 7.
Рис 7.
Отметим, что в данном идеальном случае после
дискретизации аналоговый сигнал представлен только в дискретные моменты
времени, причем значения сигнала в эти моменты равны соответствующим значениям
исходного аналогового сигнала.
5.1 Теорема о дискретном представлении
Если fmax - самый высокочастотный компонент
сигнала, то, чтобы элементы выборки полностью описывали сигнал, дискретизация
сигнала должна осуществляться с частотой не ниже 2fmax :
Fs ≥2fmax,
где Fs - частота дискретизации. Следовательно,
если максимальная частота аналогoвого сигнала составляег4 кГц, т для того,
чтобы собрать или сохранить всю информацию, содержащуюся в сигнале, его
дискретизация должна осуществляться с частотой 8 кГц или больше. Дискретизация
с частотой, меньшей той, которую дает теорема о дискретном представлении,
приведет к появлению перегибов иди наложению зеркальных частот в интересующей
нас частотной области. Следовательно, если захочется преобразовать дискретную
информацию обратно в аналоговую, исходный сигнал будет уже невозможно
восстановить. Важно помнить о том, что часто значительная доля энергии сигнала
может попадать за пределы интересующей нас частотной области, и/или сигнал
может содержать шум, ширина полосы которого всегда будет большой. Например, в
телефонной связи самая высокая из представляющих интерес частот составляет
приблизительно 3,4 кГц, но частоты речевого сигнала могут превышать 10 кГц.
Поэтому, если не удалить лишний сигнал или шум за пределы полосы интересующих
нас частот, теорема о дискретном представлении выполняться не будет. На
практике это достигается путем предварительного пропускания сигнала через
аналоговый фильтр защиты от наложения спектров.
5.2 Наложение и спектры дискретных сигналов
Предположим, мы выполняли дискретизацию сигнала
в определенной временной области с интервалом Т (в секундах) (тс. частота
дискретизации равна 1/Т (в герцах)). Видно (рис. 8), что в исходном сигнале
есть еще одна частотная составляющая с таким же набором дискретных значений.
Следовательно, этот частотный компонент можно ошибочно принять за компонент с
более низкой частотой. Это и сеть наложение. С точки зрения анализа следствий
или поиска решения задачи наложения исследовать наложение лучше в частотных
координатах.
Рис .8. Пример наложения во временных
координатах. Оба сигнала имеют одинаковые значения в одних и тех же точках,
хотя их частоты разные.
На рас. 9 показан процесс дискретизации, который
можно рассматривать как умножение аналогового сигнала х(t) на выборочную
функцию р(t). Функция р(t) состоит из импульсов единичной амплитуды с шириной
dt (бесконечно малой вtличиной) и периодом Т. Спектр сигнала т(t), функция р(t)
и их произведение показаны на рис. 9. Заметим, что X’(f) - это свертка X(f) и
P(f), следовательно, умножение во временных координатах эквивалентно в
частотных координатах.
Для дискретного сигнала следует отметить такие
моменты
• Спектр идентичен исходному аналоговому
спектру, только повторяется в точках, кратных частоте дискретизации Fs.
Компоненты более высокого порядка с центрами в точках, кратных Fs называются
зеркальными частотами.
• Если частота дискретизации Fs недостаточно
высока, то зеркальные частоты с центром в Fs, будут, например, накладываться на
частоты основной полосы (рис. 10). В этом случае полезную информацию,
содержащуюся в сигнале, невозможно отличить от его образа в области наложения.
• Перекрывание (или наложение) происходит в
районе точки Fs равной полови не частоты дискретизации. Эту точку часто
называют максимальной частотой сигнала, частотой Найквиста, частотой
Котельникова и т.п.
На практике наложение существует всегда, из-за
шума и наличия энергии сигнала за пределами полосы частот, которая представляет
интерес. Поэтому задача разработчика - определить уровень допустимого
наложения, создать подходящий фильтр защиты от наложения спектров и выбрать
подходящую для этого частоту дискретизации.
Рис. 9. Описание процесса дискретизации во
временной и частотной областях.
Рис. 10. Спектр сигнала, прошедшего процесс
дискретизации, на котором показано наложение.
5.3 Фильтр защиты от наложения спектров
Для уменьшения эффектов наложения обычно
используют фильтры зашиты от наложения спектров с резким срезом, которые
ограничивают полосу частот сигнала и\или увеличивают частоту дискретизации,
чтобы отодвинуть спектр сигнала и зеркальный спектр дальше друг от друга. В
идеале фильтр защиты от наложения спектров должен устранять все частотные
компоненты с частотой, превышающей частоту наложения, т.е. его частотная
характеристика должна быть похожей на ту, которая изображена на рис. 11, а.
Более реальная характеристика показана на рис. 11, б, где fc и fs- это
соответственно частота срезан частота полосы подавления. Из рис. 11, б и в
видно, что практическая характеристика искажает амплитуду сигнала, поскольку ее
полоса пропускания не плоская. Кроме того, компоненты сигнала, превышающие fs,
будут подавляться на Аmin , а амплитуды компонентов, которые лежат между fc и
fs (ширина полосы перехода), будут спадать монотонно.
Рис. 11. Идеальная и реальная частотные
характеристики фильтров защиты от наложения спектров, показывающие ошибки,
которые дают реальные фильтры; а) идеальная характеристика; б) реальная
амплитудная характеристика; в)реальная полосовая амплитудная характеристика; г)
реальная фазовая характеристика.
Фильтр защиты от наложения спектров должен
обеспечивать достаточное подавление характеристики на частотах, превышающих
частоту Найквиста. Из-за не идеальности характеристик тех фильтров, которые
используются на практике, в качестве эффективной частоты Найквиста берется fs
(частота среза). При спецификации фильтра защиты от наложения спектров полезно
также учитывать требования к разрешению АЦП. Итак, фильтр защиты от наложения
спектров следует разрабатывать так, чтобы частоты, превышающие частоту
Найквиста, подавлялись до уровня, неразличимого для АЦП, например, до уровня,
меньшем, чем шум квантования. Так, для системы, в которой используется В-битовый
линейный АЦП, минимальное затухание в полосе подавления фильтра, как правило,
будет равно = 20lg( √1,5 х 2B),
где В - это количество битов АЦП. Применение для
предварительной обработки данных системы ЦОС аналогового фильтра накладывает
еще одно ограничение, так называемое условие фазового искажения. На рис. 11,г
изображена фазовая характеристика фильтра защиты от наложения спектров,
амплитудная характеристика котором дана на рис. 11, в. Здесь показано, что
фазовая характеристика зависит от частоты нелинейно, так что компоненты
искомого сигнала будут иметь смещенную фазу или задерживаться на величину, не
пропорциональную их частотам.
При обработке сигналов в реальном времени
наблюдается тенденция к использованию высокой частоты дискретизации, т.е. выборке
с запасом по частоте, даже если это осуществляется за счет применения
скоростных и дорогих ФЦП. Этому есть несколько причин. Во-первых, так можно
использовать простые фильтры защиты от наложения спектров, минимизирующие
фазовые искажения, и, что важно для многоканальных систем, снижающих стоимость.
Во-вторых, выборка с запасом по частоте в сочетании с дополнительной цифровой
обработкой сигнала приводит к улучшению отношения сигнал-шум.
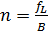
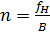
6. Дискретизация полосовых сигналов
6.1 Введение и основные понятия
В некоторых приложениях, например, в системах
связи, полезный сигнал занимает только узкую часть доступной полосы частот.
Рис. 12.
Рис. 12. Полосовой сигнал.
В таких случаях ширина полосы сигнала В зачастую
очень мала по сравнению с верхней и нижней граничными частотами полосы (fL и
fH), поэтому использовать теорему о низкочастотной дискретизации неэкономно.
Чтобы побороть эту трудность, можно использовать теорему о полосовой
дискретизации.
Где
(n
- целое, округленное до ближайшего большого целого числа).
Теорема о полосовой дискретизации позволяет
выполнять дискретизацию узкополосных высокочастотных сигналов со значительно
сниженной частотой и при этом избегать наложения [4,6]. Существует метод
полосовой дискретизации без наложения с недостаточной выборкой - дискретизация
целочисленной полосы.
.2 Методы дискретизации с недостаточной выборкой
для целочисленных полос
Если для данного полосового сигнала граничные
частоты полосы (fL и fH) - целые числа, кратные ширине полосы сигнала, сигнал
можно оцифровать без наложения с теоритической минимальной частотой
2В:(min)=2B.
Уравнение справедливо, если отношение
низкочастотного края полосы к ширине полосы сигнала и\или высокочастотного края
к ширине полосы сигнала - целые числа:
или
.
Если условия соблюдены, то полосу сигнала
называют целочисленно расположенной. Если полоса сигнала не целочисленная,
граничные частоты полосы можно сместить таким образом, чтобы эффективная полоса
стала целочисленной
7. Расчет частоты дискретизации, спектр и
уровень сигнала
На рис. 13 изображено устройство предварительной
обработки данных системы ЦОС реального времени.
Рис. 13
Изобразим спектр сигнала до дискретизации (точка
А) и после нее (точка В) в пределах области от -Fs\2 до +Fs\2.
Определим минимальную частоту дискретизации(
Fs(min)), которая дает отношение сигнала к уровню искажения от наложения 10:1
при частоте 13кГц.
Решение
Спектр сигнала до и после дискретизации
изображен на рис 14. Заметим, что форма каждого спектрального компонента имеет
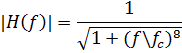
ту же форму, что и характеристика фильтра Баттерворта, т.е.
Рис. 14. Спектр дискретного сигнала, на котором
показано искажение, вызванное наложение и шумом квантования АЦП. а) сигнала до
дискретизации. б) сигнала после дискретизации.
Спектр сигнала на выходе фильтра равен
произведению спектра сигнала и характеристики фильтра, т.е. X(f) |H(f)|. Для
входного широкополосного сигнала спектр X(f), по сути, плоский. Если
предположить, что максимальное значение X(f) и H(f) равно единице (т.е. они нормированы),
уровень сигнала до дискретизации (на выходе фильтра) и после нее (после схемы
выборки-хранения) определяется характеристикой аналогового сигнала.
Итак, при частоте 13кГц уровень нормированного
сигнала (из приведенного выше уравнения) равен 0,625. Уровень искажения от
наложения (согласно рис. 8,б) задается как
При 13кГц уровень сигнала составляет 0,707.
Отношение уровня сигнала к уровню наложения 10:1 предполагает уровень наложения
в 0,0707. Зеркальный компонент, который вызывает наложение, определяется
уравнение Баттерворта. Следовательно, из указанного уравнения находим:
;

24,7 кГц.
Это соответствует частоте наложения при 13кГц,
т.е. fa на приведенном выше рис.8,б. Следовательно частота Дискретизации
Fs = fa + 48 = 37,7 кГц.
Используемая литература
Авторы:
Айфичер Э., Джервис Б. «Цифровая обработка сигналов» (изд.2), 2002 год.
Статья
«Полосовые радиосигналы. Комплексная огибающая и универсальный квадратурный
модулятор»