Конструкция, динамика и прочность газотурбинного двигателя
Курсовая
работа
Конструкция,
динамика и прочность газотурбинного двигателя
Введение
Газотурбинный двигатель однокаскадный с двухопорным ротором, простого
термодинамического цикла, с отбором мощности со стороны компрессора.
Двигатель состоит из компрессора, камеры сгорания, турбины и
коммуникаций.
Компрессор осевой, тринадцатиступенчатый. В компрессоре предусмотрено
управление углом установки лопаток входного направляющего аппарата с помощью
электропривода. Также конструкцией предусмотрены клапаны перепуска для
обеспечения устойчивого запуска ГТД.
Камера сгорания - противоточная, трубчато-кольцевого типа, имеет двадцать
жаровых труб, которые обеспечивают работу на газообразном и жидком топливе.
Турбина ГТД четырёхступенчатая. Сопловой аппарат и рабочие лопатки первой
ступени турбины охлаждаемые.
Направление вращения ротора - против часовой стрелки, если смотреть со
стороны компрессора.
При запуске ГТД первоначальная раскрутка ротора производится генератором.
Через входное устройство воздух поступает в компрессор, где происходит
его сжатие. Из компрессора воздух попадает в камеру сгорания, в которой
сжигается топливовоздушная смесь.
Продукты сгорания образуют газ, энергия которого используется в турбине.
Часть сжатого воздуха идет на охлаждение элементов турбины.
Турбина развивает мощность, необходимую для привода компрессора, а
избыточная (полезная) мощность, развиваемая турбиной, используется для
генератора.
Исходные
данные
Температура
газа перед турбиной, К -
(1300)
Степень
повышения полного давления -
(10)
Политропический
КПД компрессора -
(0,89)
Изоэнтропический
КПД турбины компрессора (с учетом охлаждения турбины, если оно есть) -
(0,93)
Механический
КПД -
(0,995)
КПД
электрогенератора -
(0,98)
Коэффициент
потерь полного давления в камере сгорания -
(0,95)
Коэффициент
потерь полного давления во входном устройстве -
(0,99)
Степень
понижения полного давления в выходном устройстве-
(1,013)
Коэффициент
утечек воздуха из ГВТ
(0,01)
Температура
воздуха на входе в ГТД, К -
(288)
Давление
воздуха на входе в ГТД, Па -
(101325)
Показатель
адиабаты воздуха -
(1,4)
Газовая
постоянная воздуха, -
(287,05287 )
Максимальная
электрическая мощность газотурбоэлектро агрегата, МВт -
(60)
Низшая
теплотворная способность топливного газа, кДж/кг -
45952
Полнота
сгорания топлива -
0,993
Теоретически
необходимое количество килограммов воздуха для полного сгорания одного
килограмма топлива -
17,048
ТГД расчет
ГТД
ТГД - расчет ведется в САУ, с постоянным показателем адиабаты для воздуха
и переменной теплоемкостью газа.
До
пункта 26 расчет ведется на
=1 кг
воздуха.
1. Полная температура на входе в двигатель:
=
=288 К
2. Полное давление на входе в двигатель:
=
=
3. Изоэнтропический КПД компрессора:
=0.851
4. Полное давление за компрессором:
=
Па
5. Удельная работа компрессора:
=
6.
Температура воздуха за компрессором:
=603.142
К
7. Относительный расход топлива:
=
8. Коэффициент избытка воздуха в камере сгорания:
=3.191
9. Полное давление газа на входе в камеру сгорания:
=
Па
10. Величина относительных отборов охлаждающего воздуха:
=0.025

11. Относительный отбор охлаждающего воздуха на охлаждение турбины
компрессора является суммой отборов на охлаждение и равен:

+
=0.025+0.017=0.042
12.
Расход воздуха через сечение Г:
=0.948
13. Расход топлива секундный на 1 кг воздуха:

=0.017
14. Расход газа через сечение Г:
=0.965
15. Газовая постоянная газа вычисляется по выражению:
=287.499
16. Определение относительной температуры газа на входе в турбину для
использования в расчетном полиноме:
=1.3
17. Изобарная теплоемкость сухого воздуха:
=1.189
18. Комплекс Nn:
=3.51
19. Изобарная теплоемкость газа:
=

20. Показатель адиабаты газа на входе в турбину компрессора:
=1.305
21. Степень понижения полного давления турбины:
=9.284
22. Удельная работа турбины:
=
23. Температура «чистого» газа за турбиной:
=804.965К
24.
Расход газа за турбиной:
=1.007
25. Температура газа за турбиной:
=771.4К
где
- температура охлаждающего воздуха, принято
=
;
26. Эффективная удельная работа цикла на 1 кг воздуха:
=
Дж/кг
27. Потребная эффективная мощность ГТД на валу:
=
Вт
28. Расход воздуха через двигатель:
=228.86
29. Фактический расход газа:
=230.55
кг/с
30.
Фактический секундный расход топлива:
=3.982кг/с
31. Часовой расход топлива:
= 
кг/ч
32. Располагаемая удельная энергия внесенного в двигатель топлива,
приходящаяся на 1 кг воздуха:
=
Дж
33. Эффективный КПД ГТД равен:
=0.378
34. В итоге, имеем КПД ГТУ на клеммах электрогенератора:
=0.37
35. Удельная работа ГТУ (аналог - удельная тяга) кВт/(кг/с):
=
Пункты
проверки расчета
36. Утечки из ГВТ:
=2.288
37. Отборы на охлаждение турбины:
=8.486
38. Расход воздуха через сечение Г
=216.97
кг/с
=216.97 кг/с
39. Расход газа через сечение Г:
=
220.95кг/с
=220.95 кг/с
=220.95 кг/с
40. Расход газа через выходное устройство:
=203.765
кг/с
41. Мощность компрессора:


Вт
42. Мощность турбины, идущая на привод компрессора:
=
Вт
43. Мощность турбины через G г и L т:
=
Вт
44. Мощность , идущая на привод компрессора::
=
Вт
45. Мощность эффективная
=
Вт
46. Располагаемая энергия внесенного топлива:
=
Дж
47. Эффективный КПД ГТД:
=0.3346
48.
Коэффициент полезной работы
=0.436
Расчет
компрессора
Назначаем
приведенную окружную скорость
и
средний коэффициент напора
[20]:
,
.
Окружная скорость на концах рабочих лопаток компрессора:
=329.917 
Назначаем
величину приведённой скорости на входе в компрессор
и определяем аксиальную площадь проточной части на
входе в компрессор:
=0.762
=0.04
=1.111 
Назначаем относительный диаметр втулки по входу:
Диаметр
периферии на входе в компрессор:
Диаметр
втулки на входе в компрессор:
=1.142 м
Высота
лопатки рабочего колеса первой ступени компрессора:
= 0.281
м
Средний
диаметр на входе в компрессор:
= 1.424
м
Задаем
проточную часть с постоянным средним диаметром
.
Назначаем
величину приведённой скорости на выходе из компрессора
и определяем аксиальную площадь проточной части на
выходе из компрессора:
= 0.384
= 0.319 
Диаметр
втулки на выходе из компрессора:
=1.343 м
Диаметр
периферии на выходе из компрессора:
=1.505 м
Высота
лопаток спрямляющего аппарата на выходе из компрессора
= 0.0809
м
Относительный
диаметр втулки на выходе из компрессора:
= 0.892
Мощность
компрессора:
=
Работа
компрессора:
=
Определяем число ступеней компрессора:
=13.079
Принимаем
Zк=13
Частота
вращения ротора компрессора:
=
Ширина компрессора:
Для определения ширины компрессора находится средняя ширина лопаточного
венца:

,

- ширина
лопаточного венца 1-ой и последней ступеней, определяемых:
где
для ТРД: 
Определяется
ширина лопаточного венца входного направляющего аппарата:

,
где

И
относительный осевой зазор:
Тогда
ширина компрессора:
Расчет турбины компрессора
Аксиальная площадь горла соплового аппарата первой ступени ТК:
=0.039
= 
Средний диаметр ТК:
= 1.709 м
Задаем
проточную часть с постоянным средним диаметром
Высота
лопатки соплового аппарата первой ступени ТК:
Задаем
- выходной угол сопловой решетки
= 0.1759
м
Диаметр периферии соплового аппарата первой ступени ТК:
= 1.884 м
Диаметр втулки соплового аппарата первой ступени ТК:
= 1.533 м
Окружная
скорость вращения РК на среднем радиусе:

Назначаем
планируемое отношение
:
= 0.56
Число ступеней ТК:
=
=1.752
=0.108
= 3.679
Принимаем
Пересчитываем
отношение
:
= 0.56
Мощность ТК:
= 
Назначаем
величину приведённой скорости на выходе из ТК
и
определяем аксиальную площадь проточной части:
= 0.713
= 
Высота
рабочих лопаток на выходе из ТК:
Диаметр
периферии на выходе из ТК:
Диаметр
втулки на выходе из ТК:
Для определения ширины ТК находится ширина спрямляющего аппарата:
где

Ширина
ТК:
где

-
относительный осевой зазор между сопловым аппаратом и рабочим колесом
Ширина
камеры сгорания:
Проверка напряженного состояния
рабочей лопатки последней ступени ТК
Необходимо определить температуру неохлаждаемой лопатки последней ступени
ТК:
По

выбирается
материал:
ЭИ
388 
Напряжение
растяжения от центробежных сил в корневом сечении лопатки:

,
где
кф=0.6 - коэффициент формы пера лопатки
Коэффициент
запаса прочности:
Распределение
параметров по ступеням компрессора
Абсолютная
величина работы сжатия в ступени зависит от температуры на входе в ступень, то
сравнивать нагрузку ступеней по работе практически не возможно. Поэтому
целесообразно распределять по ступеням коэффициент теоретического напора
.
,
.
где
Действительная
работа i - ой ступени компрессора определяется следующим
образом:
, где
- окружная скорость
|
22520,52 23631,3 24404,49 24720,3 24938,1 25036,11 25036,11 24938,1 24850,98 24687,63 24437,16 24012,45 22999,68 Дж
|
Суммарная действительная работа компрессора определяется как сумма работ
каждой ступени:
,
Распределение
коэффициента полезного действия
КПД первой ступени снижается по сравнению со средним значением - это
объясняется повышенным уровнем неравномерности на входе в компрессор. А
относительное снижение КПД последней ступени объясняется усилившимся влиянием
радиальных зазоров на коротких лопатках.
,
,
.
|
0,858312 0,879 0,889 0,895 0,898 0,899 0,898 0,896 0,893 0,888 0,882 0,8755 0,869044
|
Распределение
полной температуры
|
310,4155024 333,9366049 358,227292 382,8323163 407,654125 432,5734867 457,4928484 482,3146571
507,0497521 531,6222588 555,9454634 579,8459386 602,7383666
|
По полученным значениям проверим температуру за последней ступенью. Она
должна с приемлемой точностью совпадать с температурой за компрессором Тк.
Тк = 604.147K
Распределение
степени повышения давления
|
1,253995457
|
|
1,253175363
|
|
1,245223116
|
|
1,23220252
|
|
1,219049826
|
|
1,205919521
|
|
1,193072373
|
|
1,180739505
|
|
1,169675775
|
|
1,158896494
|
|
1,148507789
|
|
1,138049206
|
|
1,125323935
|
Выполним проверку. Суммарная степень повышения давления в компрессоре,
равная произведению степеней повышения давления всех ступеней должна с
приемлемой точностью совпадать с заданным значением.
∑πст = 10,000
πк = 10,000
Распределение
полного давления по ступеням
,где
.
|
125789,5383 157636,3503 196292,4273 241872,0235
294854,0483 355570,2527 424221,0454 500894,5472 585884,2179
678979,1659 779812,8606 887465,4071 998686,0639
|
Расчет
параметров компрессора на среднем диаметре
Распределение осевых составляющих приведенной скорости по проточной
части:
,
Принимаем:
|
λ1аi
|
0,55
|
0,526
|
0,503
|
0,48
|
0,45
|
0,43
|
0,41
|
0,386
|
0,36
|
0,34
|
0,316
|
0,293
|
0,27
|
|
λ2ai
|
0,53
|
0,506
|
0,483
|
0,46
|
0,436
|
0,41
|
0,39
|
0,36
|
0,34
|
0,32
|
0,296
|
0,27
|
0,25
|
где
.
Найдём
осевые скорости. Для проверки можно воспользоваться следующими равенствами: для
первых ступеней С1а = 140...230 м/с, а для последних ступеней С1а
= 80...140 м/с.
Тогда
осевые составляющие абсолютных скоростей на входе в рабочее колесо для каждой
ступени:
,
|
177,33
|
|
176,12
|
|
174,33
|
|
171,86
|
|
168,73
|
|
164,93
|
|
160,48
|
|
155,40
|
|
149,72
|
|
143,46
|
|
136,63
|
|
129,26
|
|
121,30
|
осевые составляющие абсолютных скоростей на выходе из направляющего
аппарата для каждой ступени:
|
170,88
|
169,43
|
167,40
|
164,70
|
161,34
|
157,32
|
152,65
|
147,36
|
135,024
|
128,
|
120,44
|
112,32
|
Распределение
степени реактивности:
|
0,50,50,50,510,520,530,540,550,560,570,580,590,6
|
|
|
|
|
|
|
|
|
|
|
|
|
|
Назначаем
коэффициент расхода, учитывающий радиальную неравномерность поля осевых
скоростей
:
Аксиальные площади сечений входа в рабочие колеса ступеней по проточной
части:
,
|
1,304
|
1,115
|
0,955
|
0,825
|
0,721
|
0,637
|
0,57
|
0,517
|
0,4753
|
0,44
|
0,416
|
0,398
|
0,386
|
|
Диаметры проточной части:
- периферии
,
|
1,716
|
1,674
|
1,638
|
1,609
|
1,585
|
1,567
|
1,552
|
1,540
|
1,530
|
1,523
|
1,517
|
1,513
|
1,511
|
|
- втулки
|
1,133
|
1,217
|
1,288
|
1,347
|
1,393
|
1,431
|
1,461
|
1,484
|
1,503
|
1,518
|
1,529
|
1,538
|
1,543
|
|
высоты лопаток рабочих колес:
h1i = 0,5 ( D1п - D1втi )
|
0,155
|
0,121
|
0,098
|
0,079
|
0,065
|
0,054
|
0,046
|
0,040
|
0,035
|
0,031
|
0,029
|
0,026
|
0,023
|
0,021
|
|
Окружная скорость на среднем диаметре:
,
=275,39
Коэффициент напора по окружной скорости на среднем диаметре:
,
|
0,297
|
0,312
|
0,322
|
0,326
|
0,329
|
0,330
|
0,330
|
0,329
|
0,328
|
0,326
|
0,322
|
0,317
|
0,303
|
|
газотурбинный
двигатель лопатка компрессор
Входная
закрутка потока на входе в рабочее колесо
,
|
96,81
|
94,80
|
93,39
|
90,07
|
86,92
|
83,98
|
81,23
|
78,65
|
76,06
|
73,60
|
71,30
|
69,32
|
68,40
|
|
Угол входа потока в рабочее колесо в абсолютном движении:
,
|
61,40
|
61,74
|
61,85
|
62,38
|
62,78
|
63,05
|
63,19
|
63,19
|
63,10
|
62,87
|
62,48
|
61,83
|
60,61
|
|
Критическая скорость потока на входе в ступень в абсолютном движении:
|
310,6
|
322,4
|
334,4
|
346,4
|
358,1
|
369,5
|
380,6
|
391,4
|
401,9
|
412,1
|
421,9
|
431,5
|
440,7
|
|
,
Приведенная абсолютная скорость на входе в ступень:
,
|
0,65
|
0,62
|
0,59
|
0,56
|
0,53
|
0,50
|
0,47
|
0,44
|
0,42
|
0,39
|
0,37
|
0,34
|
0,32
|
|
Окружная составляющая относительной скорости:
,
|
178,6180,6182,0185,3188,5191,4194,2196,7199,3201,8204,1206,1207,0
|
|
|
|
|
|
|
|
|
|
|
|
|
|
Угол набегания потока на рабочее колесо в относительном движении
,
|
44,82
|
44,30
|
43,79
|
42,86
|
41,86
|
40,77
|
39,59
|
38,32
|
36,93
|
35,43
|
33,82
|
32,11
|
30,39
|
|
Температура торможения на входе в рабочее колесо в относительном движении
,
|
299,2
|
322,2
|
346,1
|
371,3
|
396,8
|
422,4
|
448,1
|
473,7
|
499,2
|
524,6
|
549,8
|
574,7
|
598,8
|
|
Критическая скорость потока в относительном движении
,
|
316,5
|
328,5
|
340,4
|
352,6
|
364,5
|
376,1
|
387,4
|
398,3
|
408,9
|
419,2
|
429,1
|
438,7
|
447,8
|
|
Приведенная относительная скорость на входе в рабочее колесо
,
|
0,800,770,740,720,690,670,650,630,610,590,570,550,54
|
|
|
|
|
|
|
|
|
|
|
|
|
|
Аксиальные площади сечений выхода из направляющих аппаратов ступеней по
проточной части:
,
|
1,261
|
1,073
|
0,916
|
0,788
|
0,686
|
0,605
|
0,541
|
0,490
|
0,449
|
0,417
|
0,393
|
0,376
|
0,364
|
|
Диаметры проточной части на выходе из направляющих аппаратов:
- периферии
|
1,7061,6641,6291,6001,5781,5601,5451,5341,5251,5181,5121,5081,506
|
|
|
|
|
|
|
|
|
|
|
|
|
|
- втулки
|
1,142
|
1,184
|
1,219
|
1,248
|
1,271
|
1,289
|
1,303
|
1,315
|
1,324
|
1,331
|
1,336
|
1,340
|
1,343
|
|
высоты лопаток направляющих аппаратов в выходных сечениях:
h2i = 0,5 ( D2п - D2втi )
|
0,282
|
0,240
|
0,205
|
0,176
|
0,153
|
0,135
|
0,121
|
0,109
|
0,100
|
0,093
|
0,088
|
0,084
|
0,081
|
|
Окружная скорость на среднем диаметре:
=275,39
Входная закрутка потока на выходе из направляющего аппарата
,
|
178,6
|
180,6
|
182,0
|
179,8
|
177,5
|
174,9
|
172,1
|
169,2
|
166,3
|
163,2
|
160,0
|
156,5
|
151,9
|
|
Угол выхода потока на направляющего аппарата в абсолютном движении
,
|
43,76
|
43,19
|
42,63
|
42,51
|
42,30
|
41,99
|
41,59
|
41,07
|
40,41
|
39,62
|
38,68
|
37,60
|
36,50
|
|
Критическая скорость потока в абсолютном движении на выходе из
направляющего аппарата


,
|
322,4
|
334,4
|
346,4
|
358,1
|
369,5
|
380,6
|
391,4
|
401,9
|
412,1
|
421,9
|
431,5
|
440,7
|
449,3
|
|
Приведенная абсолютная скорость на выходе из направляющего аппарата
,
|
0,7670,7410,7140,6810,6490,6180,5880,5580,5300,5020,4750,4480,421
|
|
|
|
|
|
|
|
|
|
|
|
|
|
Окружная составляющая относительной скорости
,
|
96,894,893,495,697,9100,5103,3106,2109,1112,2115,4118,9123,5
|
|
|
|
|
|
|
|
|
|
|
|
|
|
Угол выхода потока из направляющего аппарата в относительном движении
,
|
60,50
|
60,80
|
60,88
|
59,91
|
58,77
|
57,46
|
55,95
|
54,25
|
52,39
|
50,31
|
48,00
|
45,40
|
42,31
|
|
Углы поворота потока в межлопаточном канале направляющего аппарата и
рабочего колеса:
,
|
17,64
|
18,55
|
19,22
|
19,87
|
20,48
|
21,05
|
21,60
|
22,11
|
22,69
|
23,26
|
23,80
|
24,23
|
24,12
|
|
,
|
15,68
|
16,50
|
17,09
|
17,04
|
16,92
|
16,69
|
16,36
|
15,93
|
15,46
|
14,88
|
14,18
|
13,28
|
|
Относительные скорости на входе и выходе из ступени:
,
|
251,7
|
252,3
|
252,0
|
252,8
|
253,0
|
252,7
|
251,9
|
250,7
|
249,3
|
247,6
|
245,6
|
243,3
|
239,9
|
|
,
|
196,4194,2191,7190,4188,7186,7184,3181,6178,7175,5172,3169,2166,9
|
|
|
|
|
|
|
|
|
|
|
|
|
|
Абсолютные скорости на входе и выходе из ступени:
,
|
202,0200,0197,8194,0189,8185,1179,9174,2167,9161,2154,1146,7139,3
|
|
|
|
|
|
|
|
|
|
|
|
|
|
,
|
247,2247,6247,3243,9239,8235,2230,1224,4218,3211,8204,9197,5188,9
|
|
|
|
|
|
|
|
|
|
|
|
|
|
Назначаем распределение удлинений лопаток:
|
№ ступени
|

|
|
|
1
|
3,021
|
0,5526
|
|
2
|
2,933
|
0,5838
|
|
3
|
3,013
|
0,6091
|
|
4
|
2,965
|
0,6258
|
|
5
|
2,915
|
0,6431
|
|
6
|
2,722
|
0,6605
|
|
7
|
2,550
|
0,6788
|
|
8
|
2,483
|
0,6982
|
|
9
|
2,264
|
0,7222
|
|
10
|
2,033
|
0,7487
|
|
11
|
1,898
|
0,7782
|
|
12
|
1,627
|
0,8083
|
|
13
|
1,366
|
0,8249
|
Осевая ширина рабочего колеса:
,
|
92,68
|
81,63
|
68,10
|
59,76
|
53,10
|
50,27
|
48,04
|
44,74
|
45,07
|
46,69
|
47,13
|
52,54
|
60,67
|
|
Осевая ширина направляющего аппарата:
,
|
78,78
|
69,39
|
57,89
|
50,80
|
45,13
|
42,73
|
40,84
|
38,03
|
38,31
|
39,69
|
40,06
|
44,66
|
51,57
|
|
Осевой зазор
,
|
13,9012,2410,228,967,967,547,216,716,767,007,077,88
|
|
|
|
|
|
|
|
|
|
|
|
|
Нагруженность ступени H/Cад;
|
0,3869
|
|
0,3987
|
|
0,4071
|
|
0,4109
|
|
0,4161
|
|
0,4223
|
|
0,4299
|
|
0,4388
|
|
0,4511
|
|
0,4654
|
|
0,4819
|
|
0,4992
|
|
0,5309
|
По результатам расчёта строятся треугольники скоростей для первой и
последней ступеней компрессора.
Треугольник скоростей последней ступени осевого компрессора
Треугольник скоростей первой ступени осевого компрессора
Треугольник скоростей седьмой ступени осевого компрессора
Расчет
турбины в программе TURBIN.EXE
Расчет, Ступень 1 на среднем радиусе
Исходные данные
G0 = 228,8600* = 953000,0000* = 1300,0000=
3695,0000* = 1,7400SR = 1,7090SR = 1,7090= 0,1819= 0,2153= 0,0248= 0,0172* =
604,1000= 0,9700 = 0,9800
RO = 0,2500
Закон профилирования пера лопатки Г=const
Результаты расчета
= 0,9702* = 652,6427= 0,5066
U/CAD= 0,5222* = 1281,2588= 0,5103T = 0,8402=
0,8150= 0,9059T = 0,6541= 14,5573= 36,3335= 0,3365= 0,3599= 0,9817* =
1182,4176* = 671611,6897T = 0,7972T= 0,6214= 0,6090= 0,9475= 1120,3047= 0,5797=
653,9354= 18,0421= 330,6398U = 29,7881= 75,7631= 0,1852= 0,1994= 0,9944* =
547700,7152* = 1126,6464* = 190299,7368= 178839,7915*= 0,9398= 0,08961 = 0,9444
FAX2 = 1,2204
Расчет Ступень 2 на среднем радиусе
Исходные данные
G0 = 238,4721
P0* = 547700,7152
T0* = 1126,6464
N = 3695,0000* = 1,7400SR = 1,7090SR = 1,7090=
0,2528= 0,2759= 0,0000= 0,0000* = 0,0000= 0,9700= 0,9800 = 0,2800
Закон профилирования пера лопатки Г=const
Результаты расчета
= 0,9841* = 607,5718= 0,5442
U/CAD= 0,5530* = 1126,6464= 0,5442T = 0,8350=
0,8100= 0,9071T = 0,6577= 16,9010= 45,5774= 0,3207= 0,3433= 0,9833* =
1039,3116* = 385492,7842T = 0,7840T= 0,6432= 0,6303= 0,9437= 980,8320= 0,6011=
611,8769= 24,3397= 330,6398U = 4,4811= 88,3068= 0,2479= 0,2662= 0,9900* =
314770,6953* = 990,7743* = 167335,4562= 157162,8574*= 0,9392= 0,04601 = 1,3573
FAX2 = 1,4652
Расчет Ступень 3 на среднем радиусе
Исходные данные
G0 = 238,4721
P0* = 314770,6953
T0* = 990,7743
N = 3695,0000* = 1,7500SR = 1,7090SR = 1,7090=
0,3130= 0,3377= 0,0000= 0,0000* = 0,0000= 0,9700= 0,9800 = 0,3100
Закон профилирования пера лопатки Г=const
Результаты расчета
= 1,0167* = 569,7590= 0,5803
U/CAD= 0,5708* = 990,7743= 0,5803T = 0,8445=
0,8192= 0,9050T = 0,6510= 22,9859= 61,4789= 0,3546= 0,3788= 0,9797* = 915,2045*
= 222606,6359T = 0,7471T= 0,7019= 0,6879= 0,9330= 853,8671= 0,6598= 570,9025=
31,4815= 330,6398U = -9,3927= -87,2664= 0,3450= 0,3687= 0,9807* = 179869,2110*
= 870,6330* = 148574,0978= 138967,1074*= 0,9353= 0,04381 = 1,6429
FAX2 = 1,7863
Расчет Ступень 4 на среднем радиусе
Исходные данные
G0 = 238,4721
P0* = 179869,2110
T0* = 870,6330
N = 3695,0000* = 1,7500SR = 1,7090SR = 1,7090=
0,3795= 0,4090= 0,0000= 0,0000* = 0,0000= 0,9700= 0,9800 = 0,3400
Закон профилирования пера лопатки Г=const
Результаты расчета
= 1,0758* = 534,0985= 0,6191
U/CAD= 0,5754* = 870,6330= 0,6191T = 0,8740=
0,8478= 0,8982T = 0,6303= 32,6919= 78,3479= 0,4571= 0,4850= 0,9667* = 808,9600*
= 129972,8719T = 0,6726T= 0,8135= 0,7973= 0,9100= 736,1351= 0,7743= 530,0850=
39,9867= 330,6398U = -16,1523= -86,4957= 0,4985= 0,5274= 0,9606* = 102782,62162* = 766,3207
LAD* = 130557,8388
LST = 120657,7534
KPDST*= 0,9242
Cхема проточной части
Расчет на
прочность пера рабочей лопатки турбины
МАТЕРИАЛ: ЭИ 696М
ИСХОДНЫЕ ДАННЫЕ:
GT=2.000000 CL=2.729000E-01 RK=5.816000E-01 RP=1.127400=
0.000000E+00 UPP= 0.000000E+00 APP= 0.000000E+00= 3695.000000 AA= 0.000000E+00
AU= 0.000000E+00 PU=7394.000000= 10560.000000 PAP= 18857.000000 RO=
8000.000000= 4.100000E-02 4.100000E-02 4.100000E-02= 8.000000E-02 6.000000E-02
4.000000E-02= 5.450000E-03 4.860000E-03 4.300000E-03= 1.120000 1.030000 9.600000E-01
SPT= 600.000000 600.000000 600.000000 600.000000
.000000 600.000000 600.000000 600.000000
.000000 600.000000 600.000000
Результаты расчета на прочноcть пера лопатки
X F Jmin Spakt SизгA SизгB SизгCm^2 m^4 МПа МПа МПа МПа
1 .00000 .227E-02 .865E-06 172.317 37.912 -44.776 -23.871
.02729 .216E-02 .674E-06 161.421 32.504 -37.494 -22.757
.05458 .205E-02 .576E-06 149.478 27.308 -30.984 -20.517
.08187 .193E-02 .497E-06 136.410 22.327 -24.918 -17.878
.10916 .182E-02 .428E-06 122.115 17.600 -19.294 -14.989
.13645 .170E-02 .365E-06 106.469 13.184 -14.162 -11.949
.16374 .159E-02 .308E-06 89.308 9.161 -9.604 -8.856
.19103 .148E-02 .254E-06 70.420 5.641 -5.735 -5.840
.21832 .136E-02 .203E-06 49.522 2.774 -2.707 -3.094
.24561 .125E-02 .155E-06 26.229 .779 -.717 -.944
.27290 .114E-02 .109E-06 .000 .000 .000 .000SсумA SсумB SсумC Ka Kb Kc
[МПa] [МПa] [МПa]
210.229 127.540********* 2.854 4.704 4.042
193.925 123.926 138.664 3.094 4.842 4.327
176.786 118.494 128.962 3.394 5.064 4.653
158.737 111.492 118.532 3.780 5.382 5.062
139.715 102.821 107.126 4.294 5.835 5.601
119.653 92.307 94.520 5.014 6.500 6.348
98.469 79.703 80.452 6.093 7.528 7.458
76.061 64.685 64.580 7.888 9.276 9.291
52.296 46.815 46.428 11.473 12.816 12.923
27.008 25.513 25.285 22.216 23.518 23.729
.000 .000 .000************************
В результате
расчета лопатки на прочность получено распределение напряжений и коэффициентов запаса по
длине пера лопатки.
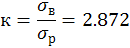
Напряжения во всех сечениях пера лопатки меньше предела длительной прочности ,минимальный коэффициент запаса к=2,854. Согласно нормам прочности, минимальный запас
прочности для лопаток газовых турбин -не менее 1,25-1,3,следовательно,лопатки
ступени турбины имеют малую вероятность разрушения по причине статических нагрузок.
Заключение
Турбина предназначена для выработки мощности, необходимой для привода
компрессора и генератора.
Турбина четырехступенчатая, состоит из аппарата соплового первой, второй,
третей и четвёртой ступеней, ротора турбины, венца опорного.
Аппарат силовой первой ступени состоит из корпуса силового, секторов
корпуса наружного, кольца, сотовых вставок, кожуха, лопаток сопловых, корпуса
внутреннего, кольца прижимного, корпуса нижнего, экрана распределительного,
накладок.
Сотовые вставки установлены в кольце. Кольцо с сотовыми вставками
совместно с кожухом соплового аппарата образуют регулируемый радиальный зазор
над рабочими лопатками первой ступени.
Сопловые лопатки верхним зацепом входят во вставки и фиксируются в
окружном направлении выступами, входящими в пазы секторов корпуса наружного.
Нижним буртом сопловые лопатки опираются на корпус внутренний. В сопловом
аппарате лопатки закреплены кольцом и корпусом нижним. Снизу сопловые лопатки
фиксируются в окружном направлении за выступы в корпусе нижнем.
Накладки служат для фиксации жаровых труб.
Корпус внутренний имеет вертикальный разъем для обеспечения сборки
турбины.
Аппарат сопловой второй ступени состоит из корпуса, блоков лопаток,
секторов диафрагмы.
Блок лопаток задним зацепом фиксируется в корпусе, а передним зацепом -
сегментами. Сектора диафрагмы закреплены к блокам лопаток штифтами.
Сопловой аппарат имеет вертикальный разъем для обеспечения сборки
турбины.
Сопловой аппарат третьей ступени состоит из корпуса, блоков лопаток,
секторов диафрагмы, сегментов соплового аппарата с сотовыми вставками. Блок
лопаток задним фланцем крепится к сегментам ступени винтами. Сегменты второй
ступени крепятся винтами к корпусу СА третьей ступени и фиксируют передний
зацеп блоков лопаток третьей ступени.
Сопловой аппарат четвёртой ступени состоит из корпуса, блоков лопаток,
секторов диафрагмы, сегментов соплового аппарата с сотовыми вставками. Блок
лопаток задним фланцем крепится к сегментам ступени винтами. Сегменты третьей
ступени крепятся винтами к корпусу СА четвёртой ступени и фиксируют передний
зацеп блоков лопаток четвёртой ступени.
Сегменты диафрагмы крепятся к блоками лопаток СА штифтами.
Опорный венец турбины состоит из копуса опорного венца, девяти стоек и
трех обтекателей, кожуха внутреннего, корпуса подшипника, в котором расположены
пять колодок опорного подшипника скольжения являющиеся задней опорой ротора.
Масло для смазки и охлаждения подшипника подается через трубу подвода
масла.
Слив масла из опорного венца осуществляется через трубу слива масла.
Подвод воздуха на охлаждение турбины осуществляется через две трубы, с
дроссельными шайбами. Для замера давления в разгрузочной полости предназначена
трубка.
Подвод воздуха в разгрузочную полость турбины осуществляется через трубу,
присоединенную к фланцу корпуса. Стравливание воздуха и прорвавшихся через
лабиринтные уплотнения паров масла производится через трубу стравливания.
Список
литературы
1. Ахмедзянов
А.М., Алаторцев В.П., Аксельброд С.Е., Дружинин Л.Н., Сахабетдинов М.А.
Термогазодинамические расчеты авиационных ГТД. Учебное пособие - Уфа: изд. УАИ,
2010. 256 с.
2. Богомолов
Е.Н., Добродеев В.П. Проектирование проточной части турбокомпрессора
авиационного газотурбинного двигателя. Учебное пособие. ЯПИ - Ярославль, 2011.
68 с.
. Богомолов
Е.Н. Основы теории и выбор параметров авиационных газовых турбин. Учебное
пособие. ЯПИ - Ярославль, 1986. 88 с.
. Ремизов
А.Е., Пономарев В.А. Формирование облика проточной части базового ТРДД семейства
на ранней стадии проектирования. Учебное пособие. - Рыбинск: РГАТА, 2008. - 172
с.
. Скубачевский
Г.С. Авиационные газотурбинные двигатели. Конструкция и расчет деталей. - 5-е
изд., 2011. - 550 с.
. Никитин
Ю.М. Конструирование элементов деталей и узлов авиадвигателей. - Москва, 2008.
- 322 с.
. Старцев
Н.И., Фалалеев С.В. Конструкция узлов авиационных двигателей: Компрессор. -
Самара: изд. СГАУ, 2009. - 112 с.
. Стенькин
Е.Д., Юрин А.В. Выбор основных параметров и газодинамический расчет осевого многоступенчатого
компрессора авиационных газотурбинных двигателей. - Куйбышев: КуАИ, 1984. -
88с.
. Васильев
Б.П., Коваль В.А. Основы проектирования газотурбинных двигателей и установок. -
Харьков, 2005. - 375 с.
.
Иноземцев А.А., Сандрацкий В.Л. Газотурбинные двигатели. - Пермь, 2010. -
1204с.