Конструирование экспериментальной лабораторной установки для растяжения образца и измерения растягивающего усилия
Курсовая работа
Конструирование
экспериментальной лабораторной установки для растяжения образца и измерения
растягивающего усилия
Содержание
Задание
на курсовой проект
Введение
.
Назначение основных деталей механизма
.
Физическая модель деталей механизма
.
Математическая модель
.1
Математическая модель рукоятки
.1.1
Работа с математической моделью рукоятки
.1.2
Проверочный расчет по условию прочности на изгиб
.2
Математическая модель винта
.2.1
Работа с математической моделью винта
.2.1.1
Проектировочный расчет
.2.1.2
Проверочный расчет
.3
Математическая модель гайки
.3.1
Работа с математической моделью гайки
.3.1.1
Проектировочный расчет
.3.1.2
Проверочный расчет
.4
Математическая модель пружины
.4.1
Работа с математической моделью пружины
.5
Математическая модель червячной передачи
.5.1
Работа с математической моделью червячной передачи
.5.1.1
Проектировочный расчет
.5.1.2
Проверочный расчет
.5.1.3
Силы в червячном зацеплении
.5.1.4
Геометрический расчет червячной передачи
.5.1.5
Расчет опорных шеек червяка
.6
Расчет подшипников
.7
Расчет рычага
.
Средства отображения информации. Отсчетные устройства
Заключение
Список
используемой литературы
Задание на курсовой проект
Общий вид экспериментальной установки (а) и
кинематическая схема её нагружающего устройства (б)
- образец, 2- тяга, 3- рычаг, 4-винт, 5-гайка,
6- червячное колесо, 7- червяк, 8- рукоятка, 9- опора, 10- пружина, 11-стрелка,
12- отсчётная шкала, 13- подшипники вала червяка.
Задание: Определить основные геометрические
параметры деталей лабораторной установки, предназначенной для создания и
измерения растягивающего усилия на образце 1, выполнить рабочий чертёж одной из
её деталей. Максимальное значение усилия выбирается по одному из вариантов,
приводимых в табл. 1.
Табл. 1
|
Вариант
|
1
|
2
|
3
|
4
|
5
|
6
|
7
|
8
|
9
|
10
|
11
|
12
|
13
|
14
|
15
|
|
Сила
F, кН
|
50
|
90
|
100
|
110
|
120
|
130
|
150
|
180
|
200
|
210
|
220
|
240
|
250
|
270
|
300
|
|
Вариант
|
16
|
17
|
18
|
19
|
20
|
21
|
22
|
23
|
24
|
25
|
26
|
27
|
28
|
29
|
30
|
|
Сила
F, кН
|
140
|
160
|
170
|
190
|
230
|
260
|
280
|
290
|
330
|
310
|
320
|
340
|
350
|
370
|
400
|
Введение
К качеству продукции и экологическим условиям её
производства предъявляются всё более высокие требования. Приборы и
экспериментальные установки используются для получения объективной информации о
критериях оптимизации конструкторских работ и технологических процессах, о
связи конструктивных и технологических параметров с параметрами состояния
изделий.
Экспериментальная установка представляет собой
устройство, предназначенное для получения наиболее полной информации об
исследуемом явлении или процессе на основе адекватного их воспроизведения в
условиях максимально удобного за ними наблюдения и возможности оперативного
управления.
В основе работы приборов и экспериментальных
установок лежит процесс измерения. Этот процесс характеризуется, с одной
стороны, восприятием измеряемой физической величины, а с другой - присвоением
ей определённого числового значения.
Экспериментальные установки можно разделить по
ряду признаков:
· по методам измерения;
· по принципу измерения;
· по назначению;
· по точности передачи информации;
· по характеру применения;
Требования, предъявляемые к отдельным механизмам
приборов, тесно связаны с назначением всего прибора. Основные требования это:
· точность выполнения заданных
функций;
· высокая надёжность механизма;
· технологичность механизма;
1. Назначение основных деталей механизма
) Рукоятка. Рукоятка предназначена для
преобразования усилия рук рабочего в крутящий момент, воздействующий на винт,
преодолевающий моменты сил сопротивления вращению. Представляется рычагом
цилиндрической формы.
) Винт. Винт предназначен для создания
длительного осевого сжимающего усилия посредством преобразования вращательного
движения в поступательное движение и подведенного момента благодаря
взаимодействию с гайкой по винтовой поверхности. Представляется в виде сложной
детали цилиндрической формы с винтовой поверхностью.
) Гайка. Гайка предназначена для выполнения
функции передачи вращения винту. Усилие, сжимающее винт, через гайку передается
на чувствительный элемент, то есть пружину. Представляется втулкой с внутренней
резьбой на сквозном отверстии, наружной цилиндрической поверхностью.
) Пружина. Пружина служит чувствительным
элементом, который воспринимает усилие от сжатия винта.
) Червячный механизм. Червячный механизм служит
для существенного увеличения крутящего момента. Ведущим звеном является червяк.
Червячная передача без смазки и вибрации обладает эффектом самоторможения и
является необратимой.
) Рычаг. Рычаг служит для передачи усилия от
винта на исследуемый образец и увеличения этого усилия.
2. Физическая модель деталей механизма
Рис. 1. Эскиз рукоятки и модель её нагрузок.
Винт. В передаче винт-гайка вит должен
предотвращать:
· износ винта;
· разрушение винта по опасным сечениям
или витков резьбы;
· отсутствие необходимого
самоторможения винта (может возникнуть при большом угле профиля резьбы);
· потеря устойчивости при максимально
выдвинутом положении.
Рис. 2. Схема нагрузки витков резьбы винта
Гайка. В передаче винт-гайка должно
предотвращаться:
· разрушение гайки по опасным сечениям
корпуса гайки, витков резьбы;
· проскальзывание гайки внутри
корпуса, что не является критическим, но ведет к неудобствам в эксплуатации
механизма, а также может снизить сопротивление гайки разрушению.
Рис. 3. Схема нагрузки витков резьбы гайки.
Пружина. Расчет пружин сводится к расчету на
касательные напряжения и сравнения этих напряжений с допустимыми.
Рис. 4. Основные геометрические параметры витой цилиндрической
пружины
Червячный механизм. Расчет червячных передач
сводится к расчету на контактные напряжения и напряжения изгиба зубьев
червячного колеса.
Рис. 5. Силы в зацеплении червячной передачи.
Рычаг. Критерием работоспособности рычага
является способность передавать усилие от винта на испытываемый образец, при
этом не испытывая изгиб.
Рис.6. Схема нагрузки рычага
Рис. 7. Общая схема установки
3. Математическая модель
Исходные данные:
· максимальное усилие, кН = 50;
· максимальная деформация пружины, мм
= 200;
· режим работы - длительный
· тип резьбы - трапецеидальная;
· материал винта - сталь 50
· материал гайки - бронза
.1 Математическая модель рукоятки
Обуславливающая работоспособность рукоятки,
математическая модель состоит из условий:
· условие прочности на изгиб:
;
· условие равновесия:
.1.1 Работа с математической моделью рукоятки
Проектировочный расчет рукоятки заключается в
определении ее расчетной длины.
Расчетная длина рукоятки определяется из
условия:
, Нм
Момент TР определяется, как момент необходимый
для предварительного сжатия пружины перед работой экспериментальной установки.
В зависимости от частоты и длительности работы
установки, сила воздействия на рукоятку FР принимается по следующим
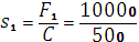
соображениям:Р = 120.. .200 Н - при длительном и частом режиме работы;Р = 250..
.300 Н - при кратковременном режиме работы;= 1 или 2.
Желательно, чтобы LР была не более 1200 мм, в
этом случае принимаем m = 2
Общая длина рукоятки:
, мм
В итоге:
ТР = 144 Н*м
Т = 288 Н*м= 2= 180 Н= 400 мм= 500 ммИ = 350 мм
Критерием работоспособности рукоятки в данном
механизме является статическая прочность при изгибе.
Условие прочности выглядит следующим образом:
где:
-
напряжение при изгибе, МПа;
- допускаемое
напряжение при изгибе, МПа.
где:
-
предел текучести, МПа;
- запас прочности
Выбирается из соотношения
· Материал рукоятки - Сталь Ст3
Напряжение при изгибе определяется по формуле:
Из выше перечисленных формул выразим диаметр
ручки:
Полученное значение диаметра ручки округляется
до стандартного значения, из ряда предпочтительных чисел по ГОСТ 66336-69.
В итоге:
= 230 МПа (для
материала Сталь Ст3);
= 1,6
= 350 мм
= 20 мм
3.1.2 Проверочный расчет по условию прочности на
изгиб
В итоге:
= 76,3 Мпа
- условие
прочности выполняется
.2 Математическая модель винта
Интенсивность изнашивания зависит от: нагрузки
на единицу площади, материала, температуры, наличия смазки, шероховатости
поверхности, скорости скольжения.
Для того чтобы деталь была износостойкой,
необходимо, чтобы интенсивность изнашивания была не очень высокой, что
гарантирует её длительную работу.
Поэтому в упрощенном виде условие
износостойкости можно записать в виде:
.2.1 Работа с математической моделью винта
.2.1.1 Проектировочный расчет
Проектировочный расчет винта включает в себя
определение стандартных параметров заданной резьбы: диаметров и шага; с учетом
критериев работоспособности, а именно износостойкости винтовой пары
где: р - удельное давление на витках резьбы,
МПа;
[р] - допускаемое удельное давление на витках
резьбы, МПа.
Допускаемое удельное давление в витках резьбы
[р] для пары материалов сталь незакалённая - бронза оловянная определяется из
диапазона [p]=8..10 МПа.
Принимаю: [р] = 10 МПа.
Рядом параметров резьбы можно пренебречь,
учитывая, что они лишь повышают работоспособность, например: углом профиля
резьбы (полагая, что α=0, т.е. имеем
прямоугольную резьбу); полагаем, что нагрузка на сопряженные витки резьбы
распределяются равномерно.
Тогда удельное давление можно определить в общем
виде из следующего выражения:
где: Fn - нормальная сила, действующая в витках
резьбы, Н;
Аn - площадь соприкосновения витков резьбы винта
(гайки), мм2;- осевая нагрузка на винтовую пару (усилие, которое
передается от рычага непосредственно винту и пружине), Н;
А - площадь проекции одного витка резьбы на
плоскость, перпендикулярную к оси винта, мм2;- количество витков.
где: d2 - средний диаметр резьбы, мм;- высота
профиля резьбы, мм.
Введём в формулу удельного давления
вспомогательные коэффициенты γ1 и
γ2:
где: γ1 - коэффициент
рабочей высоты профиля резьбы;
γ2 - коэффициент высоты
гайки.
где: Р - шаг резьбы, мм.
Для трапецеидальной резьбы γ1
= 0,5.
где: НГ - высота гайки.
Коэффициент высоты гайки выбирается из диапазона
Принимаю
Расчетное значение среднего диаметра резьбы
определяется
из выражения:
В
соответствии с найденным расчетным значением
, по ГОСТ 9484-81 выбираем
стандартные параметры заданной резьбы:= 40 мм= 47 мм= 36 ммШ = 7 мм
Исходя
из полученных данных, получаем ряд величин по формулам:
3,5 мм
79 мм
Проверка
найденного значения по условию износостойкости:
98 МПа
Износостойкость
винтовой пары обеспечена.
.2.1.2
Проверочный расчет
Проверочный
расчет винта включает в себя оценку работоспособности винта по критерию
статической прочности:
где:-
расчетный (действительный) коэффициент запаса (статической прочности);
[s]
- допускаемый (нормативный) коэффициент запаса.
Допускаемый
коэффициент запаса [s] для стального винта выбирается из диапазона: [s] =
2,5…3,0.
где:
- опасное
напряжение, МПа;
-
действующее напряжение, МПа.
Действующее
напряжение
рассчитывается
с учетом напряжений сжатия и кручения:
В
качестве опасного сечения рассматривается сечение, обладающее наименьшими
размерами. При рассмотрении схемы работы винта можно выделить 2 случая:
)
совместное действие (с учетом Ton = T0).
)
и
Диаметр
опасного сечения определятся по формуле:
-
4=35 мм
Момент,
возникающий от осевой нагрузки, определяется по формуле:
где:
ψ
- коэффициент
трения скольжения;
ρ*
- приведенный
угол трения, град.
3,31
где:
-
коэффициент трения скольжения;
α1
- рабочий
угол профиля резьбы.
Принимаю:=
0,21
где:
α
= 30º
- угол профиля резьбы
В
итоге:
=
35мм
= 15о
= 12,3о
ψ
= 3,31о
= 369Н* м
Момент
трения возникающий в опорной пяте определяется по формуле:
Произведем
расчет коэффициента запаса для двух случаев:
)
113МПа (=
62МПа, =5,5 МПа)
= 380МПа
=
(380
106)/(32
106) =11,8
)
32МПа (=0
МПа, =19 МПа)
= 380 МПа
=
(380
106)/(32
106) = 11,8
В
итоге:= 3,36˃ [S] = 2,5…3 - условие статистической прочности выполняется.=
11,8˃ [S] = 2,5…3 - условие статистической прочности выполняется.
Проверочный
расчет механизма на самоторможение.
Условие
самоторможения:
= 12,3о
= 3,31о
Условие
самоторможения выполняется.
Проверочный
расчет винта на устойчивость.
Условие
устойчивости:
где:
- расчетный
коэффициент запаса устойчивости;
-
нормативный коэффициент запаса устойчивости
Нормативный
коэффициент запаса устойчивости
= 2…3
где:
и - напряжение при действии критической силы и критическая сила соответственно.
Расчетное
значение гибкости λ:
где:
- площадь
поперечного сечения винта по диаметру d3, м2;
- расчетная
длина винта, м;- момент инерции сечения винта, м4;
-
коэффициент приведения длины стержня (учитывает условие заделки)
Принимаю:
= (для
стержня, у которого один конец защемлён, а поворот другого ограничен)
=
=1.3
10-7м4
+ 2 ∙
d2 =0.2+0.5∙0.088+2∙0.044=0.332м
3.3
Математическая модель гайки
Обуславливающая
работоспособность гайки математическая модель состоит из нескольких условий:
· условие
прочности гайки в опасном сечении,
;
· условие
прочности гайки на смятие по опорной кольцевой поверхности;
· условие
прочности витков резьбы на срез
.3.1
Работа с математической моделью гайки
.3.1.1
Проектировочный расчет
Определение
посадочного диаметра гайки DГ.
Критерий
работоспособности - статическая прочность гайки при растяжении.
Условие
расчета:
где:
-
допустимое напряжение, МПа;
-
действительное напряжение, МПа.
где:
- пределы
прочности текучести для бронзы, МПа;
- запас
прочности
Принимаю:
= 2…3 для
бронзы
= МПа
где:
- площадь
опасного сечения гайки (при растяжении), м2;
Определим
расчетное значение посадочного диаметра гайки
, решая исходное неравенство:
Далее,
расчетное значение округляем до стандартного из ряда предпочтительных чисел.
71
.3.1.2
Проверочный расчет
Проверочный
расчет включает в себя соблюдение условия прочности гайки на растяжение.
Условие
расчета:

Проверочный
расчет витков резьбы гайки на срез включает в себя соблюдение условия
статической прочности на срезе:
Рис.
9. Схема нагрузки зуба
где:
b - ширина витка у основания для трапецеидальной резьбы, мм;
=
0,65 · P = 0,65∙8=5,2 мм
=5,9МПа
=19,8МПа
,9МПа˂[
=19.8 МПа
Условие
статической прочности при срезе выполняется.
.4
Математическая модель пружины
.4.1
Работа с математической моделью пружины
На
основании исходных данных: максимальная деформация пружины s3 = 200 мм; и
полученных в результате расчетов: сила пружины при максимальной деформации Fз =
50000 Н; по ГОСТ 13764-86 выбираем пружину 1 класса 4 разряда ГОСТ 13769-86.
Для
максимальной нагрузки равной 50000 Н соответствует пружина № 210 ГОСТ 13769-86.
Ее основные характеристики:
диаметр
проволоки: d - 40 мм;
наружный
диаметр пружины: D = 280 мм;
жесткости
одного витка: с1 - 3104 Н/мм;
наибольший
прогиб одного витка: s3’= 19,33 мм.
Максимальное
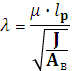
касательное напряжение при кручении по ГОСТ 13764-86:
τ3
- 480 МПа
Действительное
значение касательного напряжения определяется по формуле:
5,5
(1,45/i)=1,26
τ
= 497 МПа
где:
i - индекс пружины;- коэффициент, учитывающий влияние кривизны витков.
Условие
прочности:
Условие
прочности выполняется поскольку при расчетах пружин допускается превышение
действительных нагрузок над стандартными на 10%.
Произведем
расчет дополнительных параметров пружины.
Жесткость
пружины:
500 Н/мм
Количество
рабочих витков:
Полное
число витков:
=
n + n2
где:
n2 = 1,5 витка - число опорных витков=10,5=544 мм
Длина
пружины при максимальной деформации:
=
(n1 + 1 - n3)·d = 344 мм
Примем,
что сила предварительного сжатия равна 20% от F3:= 10000Н
Деформация
при предварительном сжатии определяется по формуле:
=20 мм
Длина
пружины в состоянии предварительного сжатия:
=
l0 - s1 =522 мм
.5
Математическая модель червячной передачи
Обуславливающая
работоспособность черничной передачи математическая модель состоит из
нескольких условий:
условия
прочности по контактной выносливости,
условия
прочности по изгибной выносливости,
;
.5.1
Работа с математической моделью червячной передачи
.5.1.1
Проектировочный расчет
Вращение
червяка происходит при малой скорости, то примем
=15об/мин. Момент Т равен моменту,
который создается в винтовой паре: Т=369 Н*м.
Так
как менее 2 м/с, то червячное колесо необходимо изготавливать из чугуна СЧ18
литьем в землю.
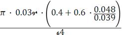
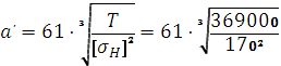
На
основании выбранного материала червячного колеса вычислим допускаемые
напряжения по контактной и изгибной выносливости:
[
] = (200 -
35)
0,85 МПа
[
] = 0,22
ВИ
0,85 МПа
Принимаю:
ВИ = 355 МПа
[
= 0,22
355
0,85 = 66,4
МПа
[
(200 - 35
355)
0,85 =
170МПа
На
основании сделанных вычислений произведем предварительный расчет межосевого
расстояния:
= 143 мм
Полученное
значение округляем до ближайшего значения в соответствии с единым рядом
основных параметров: а = 160 мм.
Выберем
передаточное число червячной передачи: u = 10.
Выберем
число зубьев червяка: z1 = 4.
Определим
число зубьев червячного колеса:
=
u · z1 = 10
4 = 40
Исходя
из полученных данных, произведем вычисление предварительного модуля:
= 5,6 / 7,2
Исходя
из полученных значений определяем модуль зацепления, выбирая его из ряда
модулей: m = 6,3 мм
Определим
коэффициент диаметра червяка:
Полученное
значение округляют до стандартного из ряда коэффициентов диаметров червяка: q =
11,2
Определим
коэффициент смещения:
Определим
угол подъема витка на делительном цилиндре:
Определим
угол подъема витка на начальной окружности:
Определим
ширину венца червячного колеса:
=
(0,355
0,315) · а
= (0,355 ÷
0,315) · 160 = 56,8 ÷ 49,8 мм
Из
полученного диапазона выбираем ширину ряда чисел:
= 50 мм.
Выберем
длину червяка: b1 ≥63.мм
Определим
контактные напряжения возникающие в червячном зацеплении:
, МПа
где:
d2- делительный диаметр колеса, мм;= 2 начальный диаметр червяка, мм.
=
m · z2 = 6,3
40 = 250
мм=m · (q+2 · x) = 6,3
(11,2+2
(-0,2)) =
68,04 мм
= 141 МПа
Определим
окружную силу на колесе:
=
Определим
напряжения, возникающие при изгибе зуба:
·
где:
-
коэффициент формы зуба;
Коэффициент
формы зуба определяется в зависимости от эквивалентного числа зубьев:
Принимаю:
1,46
.5.1.2
Проверочный расчет
Проверим
соблюдаются ли условия по контактным напряжениям и напряжениям изгиба зубьев.
Условие
прочности по контактной выносливости:
Условие
прочности по контактной выносливости выполняется.
Условие
прочности по изгибной выносливости:
Условие
прочности по изгибной выносливости выполняется.
.5.1.3
Силы в червячном зацеплении
Определим
окружную силу на червяке:
где:
η
= 0,9 кпд,
учитывающий потери в зацеплении, подшипниках;
Осевая
сила на колесе равна окружной силе на червяке:
=
Fa2 = 1,94кН
Осевая
сила на червяке равна окружной силе на колесе:
=
Fa1 = 2,93кН
Определим
радиальную силу по формуле:
.5.1.4
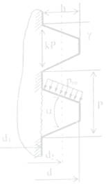
Геометрический расчет червячной передачи
Существует
ряд геометрических параметров червяка и червячного колеса, которые необходимы
для их изготовления.
Рис.
10. Основные размеры червяка
Рис.
11. Основные размеры червячного колеса
Основные
размеры червяка:
делительный
диаметр:
=
т · q = 6,3
11,2 = 70,56
мм
начальный
диаметр:
=
68,04 мм
диаметр
вершин витков:
=
d1 + 2 · m = 79,99 + 2
9,3 = 98,59
мм
диаметр
впадин витков:
=
d1 - 2,4 · m = 73,99 - 2,4
9,3 = 99,44
мм
делительный
угол подъема витков: γ
= 15º
-
начальный угол подъема витков: γ = 20º
Основные
размеры червячного колеса:
делительный
диаметр: d2 = 252мм
диаметр
вершин зубьев:
=
d2 + 2 · m · (1 + x)= 252 + 2 · 6,3· (1 + 0,2)=292,08 мм
наибольший
диаметр колеса:
диаметр
впадин:
радиусы
закруглений колеса:
.5.1.5
Расчет опорных шеек червяка
Первоначально
производится предварительный расчет шеек:
где:
-
допускаемое напряжение при кручении, МПа.
Принимаю:
15 МПа
В
червяках различной конструкции расстояние между опорами равно:
,9
· d2 = 0,9 · 252 = 227 мм
Построим
расчетную схему нагружения червяка.
По
этой схеме произведем расчет сил и моментов в двух плоскостях ХOУ и XOZ, а
также построим эпюры сил и моментов в этих плоскостях и эпюру эквивалентных
моментов.
Из
полученных эпюр определим моменты в опорных шейках при условии из ширины в 20
мм:
М.эквА
=19,5Н
м М.эквB
=19,6Н
м
Определим
диаметр шейки из условия прочности:
≥
Исходя
из полученного значения, выбираем вариант: d= 25мм
На
основании эпюр определим реакции опорах:
;
= 0,1кН;
0,97кН; RBy
= 0,97кН; RBz = 0,97 кН
Рисунок
12. Расчётная схема червяка
.6
Расчет подшипников
Выбираем
для данного редуктора шарикоподшипники: для опоры А выбираем легкой серии, а
для опоры В - средней из-за осевой нагрузки.
Червяк
в точке А= ; D= ; B= ; C= ; C0= ;
0,5
1000
1
1 = 500Н
2300Н <
3680Н
Червяк
в точке В= 25 ; D= 62 ; B= 17; C= 22500; C0= 11400;
.7
Расчет рычага
Для
снижения усилия, воздействующего на винт при нагружении образца, в данной
конструкции используется рычаг.
Изобразим
расчетную схему. С помощью метода сечений определим поперечные силы и момент в
сечении рычага.
На
основании эпюр определим реакцию в точке О и максимальный момент в сечении:
=
180кН; M0 = 27кН
м;
Рис.
13. Расчётная схема рычага.
Условие
прочности: ϭ≤ [ϭ]
Допустимое
напряжение определяется по формуле:
[ϭ] =
== 235 МПа
Действительное
напряжение определяется по формуле (для рычага прямоугольного сечения со сторонами
Ь и h, h = 2b):
σ
=
=
Исходя
из условия прочности, определим ширину b рычага:
=
Исходя
из того, что в точке О действует сила Ro = 180кН, примем= 140 мм при b = 60 мм.
Исходя
из этого, произведем проверочный расчет:
Условие
прочности соблюдается.
4.
Средства отображения информации. Отсчетные устройства
Средства
отображения информации приборов предназначены для преобразования уловленных
чувствительным элементом и усиленных усилителем или передаточным механизмом
изменений состояния контролируемого объекта в воспринимаемую человеком форму. В
их качестве из механизмов чаще всего используют отсчётные устройства -
совокупность деталей, предназначенных для зрительного определения измеряемой
величины посредством наблюдения за положением указателя относительно системы
штрихов и цифр, расположенных на шкале.
Основными
деталями отсчётных устройств являются шкалы и указатели. Шкала - совокупность
отметок (штрихов, цифр, букв), расположенных по прямой линии или по дуге
окружности и изображающих ряд последовательных чисел, соответствующих значениям
измеряемой величины. Указатель - приспособление (стрелка, световое пятно и т.
п.), которое занимает определённое положение относительно шкалы и тем самым
отмечает численное значение измеряемой величины.
Носитель
шкалы - линия, на которой штрихами (отметками шкалы) отмечают определённое
значение измеряемой величины.
Цена
деления (Н) - число единиц измеряемой величины соответствующее одному делению
(участку шкалы между двумя соседними отметками).
Цена
оборота (Аш) шкалы - число единиц измеряемой величины, соответствующее одному
обороту шкалы.
Масштаб
шкалы (Мш) - отношение длины деления шкалы к цене деления.
Пределы
шкалы (нижний Хmin и верхний Хmax) - соответствующие пределам изменения
измеряемой величины пределы шкалы.
Длина
шкалы - произведение длины шкалы на их количество.
Угол
шкалы - угол, соответствующий длине дуга носителя шкалы между первой и
последней его отметками.
Характеристика
шкалы - функция зависимости показателя положения указателя прибора от значения
измеряемой величины. Её первая производная по этой величине называется
чувствительностью прибора.
Отсчётные
устройства классифицируются:
по
подвижности шкалы и указателя;
по
количеству шкал (одношкальные и многошкальные);
по
форме носителя и поверхности, на которой наносятся шкалы (шкалы плоские -
прямые, дуговые, круговые, дисковые, спиральные, а также пространственные -
цилиндрические, конические, винтовые);
по
расположению нулевой отметки на шкале (односторонние, безнулевые,
двухсторонние).
В
данной экспериментальной установке для определения усилия воздействия на
образец необходимо использовать устройство, которое бы преобразовывала бы
линейную деформацию образна в численное значение усилия. Это можно осуществит
путем установки электронного устройства, которое бы считывало бы показания
индикатора и преобразовала бы их в численное значение прилагаемого усилия.
Заключение
Экспериментальные
установки называется как устройства, предназначенное для получения наиболее
полной информации об исследуемом явлении или процессе на основе адекватного их
воспроизведения в условиях максимально удобного за ними наблюдения и
возможности оперативного управления, являются очень важным элементом в
изучении, анализе различных физических, химических и других явлений.
В
данной курсовой работе была сконструирована экспериментальная установка по
нагружению образца. При этом был произведен детальный расчет каждого элемента
установки рукоятки, рычага, пружины, винта, гайки, червячной передачи.
Список
используемой литературы
деталь измерение растягивающий пружина
1.
Артоболевский И.И. Теория механизмов и машин. М.: Наука, 2005. - 638 с.
.
Конструирование приборов. В 2-х кн. / Под ред. В. Краузе: Пер. с нем. В.Н.
Пальянова: Под ред. О.Ф. Тищенко. М.: Машиностроение, 2007. - 760 с.
.
Первицкий Ю.Д. Расчёт и конструирование точных механизмов. Учебное пособие для
вузов. Л.: Машиностроение, 2006. - 456 с.
.
Расчёт точности машин и приборов / В.П.Булатов, И.Г. Фридлендер, А.П.Баталов и
др. Под общ. ред. В.П. Булатова и И.Г. Фридлендера. - Спб,: Политехника, 2004.
- 495 с.
.
Носов В.В. Прикладная механика: Учеб. пособие - Липецк, J11 ТУ, 1997. - 87 с.
.
Иосилевич Г.Б. Детали машин: Учебн. для студ. машиностроит. вузов, - М.: Машиностроение,
2012. - 368 с.
.
Иосилевич Г.Б., Строганов Г.Б., Маслов Г.С. Прикладная механика: I Учебн. для
вузов / Под ред. Г.Б. Иосилевича. - М.: Высш. школа, 2009. - 351с.