Разработка электрической схемы макета для исследований работы видеопамяти

  • Вид работы:
    Дипломная (ВКР)
  • Предмет:
    Информатика, ВТ, телекоммуникации
  • Язык:
    Русский
    ,
    Формат файла:
    MS Word
    3,54 Мб
  • Опубликовано:
    2015-01-02
Вы можете узнать стоимость помощи в написании студенческой работы.
Помощь в написании работы, которую точно примут!

Разработка электрической схемы макета для исследований работы видеопамяти

Министерство просвещения ПМР

ГОУ «Тираспольский Техникум Информатики и Права»

Отделение Информационных технологий и экономических дисциплин










Дипломная работа

Тема: Разработка электрической схемы макета для исследований работы видеопамяти


Исполнитель:

Иванов Дмитрий Александрович, гр. 414

Специальность: ТОСВТ

Руководитель: преподаватель отделения ИТ

Петрова Юлия Владимировна


г. Тирасполь

Реферат

В данной дипломной работе рассмотрена видеопамять как с логической, так и с физической точек зрения. Целью работы является анализ схемотехнических решений устройств для исследований работы видеопамяти, рассмотрение принципов работы видеопамяти, разработка структурная и принципиальная схемы устройства, изготовление макета.

В программах Protel и PSpice AD рассмотрена работа основных элементов устройства видеопамяти, такие как мультиплексор, компаратор, счетчик адресов, статические регистры. Эти устройства реализуются на базе логических элементов И, ИЛИ, ИЛИ-НЕ, И-НЕ и инверторов.

В экономической части рассмотрен производственный процесс и его организация. Изучена организация производственного процесса в ПМР.

Организация производства - это система мер, направленных на рационализацию сочетания в пространстве и времени вещественных элементов и людей, занятых в процессе производства. Главной задачей организации производства является максимальное удовлетворение потребностей общества.

В части диплома, связанной с охраной труда, рассмотрены основные меры безопасности при техническом обслуживание электронной техники: санитарно-гигиенические нормы, требования пожарной безопасности электробезопасность, защита от шума и вибраций, требования к организации рабочего места техника и требования безопасности при пайке.

Оглавление

Введение

Раздел 1. Теоретическая часть. Разработка электрической схемы макета для исследований работы видеопамяти

1.1 Аналитический обзор по теме

1.1.1 Память SRAM

1.1.2 Память DRAM

1.1.3 Память типа VRAM

1.1.4 Структура видеопамяти VRAM

1.1.5 Типы видеопамяти

1.1.6 Модификация данных в видеопамяти

1.2 Практическая часть

1.2.1 Обзор программ для исследования и проектирования элементов электроники

1.2.2 Исследование видеопамяти с помощью программы Protel

1.2.3 Выбор элементной базы для построения платы видеопамяти

1.2.4 Изготовление платы видеопамяти

Раздел 2. Производственный процесс и его организация

2.1 Понятия организации производственного процесса

2.2 Принципы организации производственного процесса

2.3 Оценка уровня организации производственного процесса

2.4 Организация производственного процесса в ПМР

Раздел 3. Охрана труда. Меры безопасности при техническом обслуживание электронной техники

3.1 Анализ условий труда

3.2 Характеристика санитарно- гигиенических условий труда

3.3 Защита от шума и вибрации на рабочих местах

3.4 Электробезопасность. Требования безопасности при работе с электрооборудованием

3.5 Требования к организации и оборудованию рабочего места техника

3.6 Статическое электричество и электромагнитное излучение

3.7 Причины возникновения коротких замыканий, их профилактика

3.8 Требования безопасности при пайке

3.9 Требования пожарной безопасности. Причина возникновения пожаров в электронной аппаратуре

Заключение

Список литературы

Введение

Одним из ведущих направлений развития современной микроэлектроники элементной базы являются большие интегральные микросхемы памяти, которые служат основой для построения запоминающих устройств в аппаратуре различного назначения. Наиболее широкое применение эти микросхемы нашли в ЭВМ, в которых память представляет

собой функциональную часть, предназначенную для записи, хранения, выдачи команд и обрабатываемых данных.

Данная работа является актуальной, так как оперативная память используется под нужды различных графических приложений и игр. Технологии производства ОЗУ <#"804885.files/image001.gif">

Рис. 1. Устройство простейшего триггера (слева). Образно это можно представить драконом, кусающим свой хвост

Устройство элемента "НЕ" (инвертора)

Как устроен элемент "НЕ"? На этот вопрос нельзя ответить однозначно. В зависимости от имеющейся у нас элементарной базы, конечная реализация варьируется в очень широких пределах.

Ниже в качестве примера приведена принципиальная схема простейшего инвертора, сконструированного из двух последовательно соединенных комплементарых /* взаимно дополняемых */ CMOS-транзисторов - p- и n- канального (см. рис. 2).

Если на затворы подается нулевой уровень, то открывается только p-канал, а n-канал остается разомкнутым. В результате, на выходе мы имеем питающее напряжение (т. е. высокий уровень). Напротив, если на затворы подается высокий уровень, размыкается n-канал, а p-канал - замыкается. Выход оказывается закорочен на массу и на нем устанавливается нулевое напряжение (т. е. низкий уровень).

Рис. 2. Устройство элемента НЕ (инвертора)

Устройство матрицы статической памяти

Подобно ячейкам динамической памяти, триггеры объединяются в единую матрицу, состоящую из строк (row) и столбцов (column), последние из которых так же называются битами (bit).

В отличии от ячейки динамической памяти, для управления которой достаточно всего одного ключевого транзистора, ячейка статической памяти управляется как минимум двумя. Это не покажется удивительным, если вспомнить, что триггер, в отличии от конденсатора, имеет раздельные входы для записи логического нуля и единицы соответственно. Таким образом, на ячейку статической памяти расходуется целых восемь транзисторов (см. рис. 3) - четыре идут, собственно, на сам триггер и еще два - на управляющие "защелки".

Причем, шесть транзисторов на ячейку - это еще не предел! Существуют и более сложные конструкции! Основной недостаток шести транзисторной ячейки заключается в том, что в каждый момент времени может обрабатываться всего лишь одна строка матрицы памяти. Параллельное чтение ячеек, расположенных в различных строках одного и того же банка невозможно, равно как невозможно и чтение одной ячейки одновременно с записью другой.

Рис. 3. Устройство 6-транзистроной одно-портовой ячейки SRAM-памяти

Этого ограничения лишена многопортовая память. Каждая ячейка многопортовой статической оперативной памяти содержит один-единственный триггер, но имеет несколько комплектов управляющих транзисторов, каждый из которых подключен к "своим" линиям ROW и BIT, благодаря чему различные ячейки матрицы могут обрабатываться независимо. Такой подход намного более прогрессивен, чем деление памяти на банки. Ведь, в последнем случае параллелизм достигается лишь при обращении к ячейкам различных банков, что не всегда выполнимо, а много портовая память допускает одновременную обработку любых ячеек, избавляя программиста от необходимости вникать в особенности ее архитектуры.

Наиболее часто встречается двух - портовая память, устройство ячейки которой изображено на рис. 4. Нетрудно подсчитать, что для создания одной ячейки двух - портовой статической оперативной памяти расходуется восемь транзисторов. Пусть емкость кэш-памяти составляет 32 Кб, тогда только на одно ядро уйдет свыше двух миллионов транзисторов!

Единственное различие в интерфейсах статической и динамической памяти заключается в том, что микросхемы статической памяти имея значительно меньшую емкость (а, следовательно - и меньшее количество адресных линий) и геометрически располагаясь гораздо ближе к процессору, могут позволить себе роскошь не прибегать к мультиплексированию. И потому, для достижения наивысшей производительности, номера строк и столбцов чаще всего передаются одновременно.

Рис. 4. Устройство 8-транзистроной двух портовой ячейки SRAM-памяти

Рис. 5, 6. Ячейка динамической памяти воплощенная в кристалле

Если статическая память выполнена в виде самостоятельной микросхемы, а не располагается непосредственно на кристалле процессора, линии ее входа зачастую объединяют с линиями выхода, и требуемый режим работы приходится определять по состоянию специального вывода WE (Write Enable). Высокое состояние вывода WE готовит микросхему к чтению данных, а низкое - к записи. Статическая память, размещенную на одном кристалле вместе с процессором, обычно не мультиплексирует, и в этом случае содержимое одной ячейки можно читать параллельно с записью другой (линии входа и выхода ведь раздельные!).

Номера столбцов и строк поступают на декодеры столбца и строки соответственно (см. рис. 7). После декодирования расшифрованный номер строки поступает на дополнительный декодер, вычисляющий, принадлежащую ей матрицу. Оттуда он попадает непосредственно на выборщик строки, который открывает "защелки" требуемой страницы. В зависимости от выбранного режима работы чувствительный усилитель, подсоединенный к битовым линейкам матрицы, либо считывает состояние триггеров соответствующей raw-линейки, либо "перещелкает" их согласно записываемой информации.

Рис. 7. Устройство типовой микросхемы SRAM-памяти

.1.2 Память DRAM

Для того, чтобы удешевить оперативную память, в 90-х годах XX века вместо дорогого статического ОЗУ на триггерах стали использовать динамическое ОЗУ (DRAM). Принцип устройства DRAM следующий: система металл-диэлектрик-полупроводник способна работать как конденсатор. Как известно, конденсатор способен некоторое время “держать” на себе электрический заряд. Обозначив “заряженное” состояние как 1 и “незаряженное” как 0, мы получим ячейку памяти емкостью 1 бит. Поскольку заряд на конденсаторе рассеивается через некоторый промежуток времени (который зависит от качества материала и технологии его изготовления), то его необходимо периодически “подзаряжать” (регенерировать), считывая и вновь записывая в него данные. Из-за этого и возникло понятие “динамическая” для этого вида памяти.

За 10 лет, прошедших со времени создания первых микросхем DRAM, их развитие шло "семимильными" шагами по сравнению с SRAM. Эволюция DRAM рассматривается в следующем подразделе.

Принцип действия

На рис. 3 изображена схема памяти DRAM, которая состоит из одного транзистора и одного конденсатора, занимающего места раза в четыре больше транзистора (в основном вглубь кристалла). Потому ячейки DRAM довольно просто сделать очень малых размеров, а следовательно, «упаковать» их большее количество на один кристалл, не теряя в быстродействии. Отсюда и распространенность DRAM в качестве компьютерных ОЗУ - при всем кажущемся неудобстве процессов, связанных с непрерывной регенерацией содержимого.

Рис. 8. Схема памяти DRAM

При чтении данных с такой ячейки подается высокий уровень напряжения на линию строк (рис. 3), транзистор открывается, и заряд, хранящийся на конденсаторе данной ячейки, поступает на вход усилителя, установленного на выходе столбца. Отсутствие заряда на обкладках соответствует логическому нулю на выходе, а его наличие - логической единице. Быстрая утечка зарядов в ячейке DRAM обусловлена наличием транзистора, который состоит вовсе не из изолятора, а из полупроводника, потому даже в запертом виде имеет мизерные, но конечные токи утечки.

Дело в том, что ввиду микроскопических размеров конденсатора (и, соответственно, емкости) в ячейке DRAM записанная информация хранится всего лишь сотые доли секунды. Несмотря на использование высококачественных диэлектриков с огромным электрическим сопротивлением, заряд, состоящий в рядовом случае всего из нескольких сотен, максимум тысяч электронов, успеет утечь так быстро.

Решением стал сконструированный сотрудником Intel Доном Фрохманом полевой транзистор с плавающим затвором (рис 4). Если каким-то образом разместить на плавающем затворе некоторое количество зарядов - свободных электронов - то они будут экранировать действие управляющего электрода, и такой транзистор вообще перестанет проводить ток. Поскольку затвор «плавает» в толще изолятора (двуокиси кремния, SiO2), то сообщенные ему однажды заряды в покое никуда деться не могут. Далее были разработаны способы размещения электронов на изолированном от внешних воздействий плавающем затворе.

Рис. 9. Схема полевого транзистора с плавающим затвором

Для записи на управляющий затвор подавали достаточно высокое положительное напряжение - до 36-40 В (что для микроэлектронной техники считается просто катастрофическим перенапряжением), а на сток транзистора - небольшое положительное. При этом электроны, которые двигались от истока к стоку, настолько ускорялись полем управляющего электрода, что барьер в виде изолятора между подложкой и плавающим затвором просто «перепрыгивали». Такой процесс называется инжекцией горячих электронов.

Для удаления электронов применялся метод квантового туннелирования: при достаточно тонкой пленке изолятора (10 нм) электроны, если их слегка «подтолкнуть» не слишком высоким напряжением в нужном направлении, могут «просачиваться» через барьер, не перепрыгивая его.

Регенерация

Память DRAM изготавливается на основе конденсаторов небольшой ёмкости, которые быстро теряют заряд, поэтому информацию приходится обновлять через определённые промежутки времени во избежание потерь данных. Этот процесс называется регенерацией памяти. Он реализуется специальным контроллером, установленным на материнской плате или же на кристалле центрального процессора. На протяжении времени, называемого шагом регенерации, в DRAM перезаписывается целая строка «ячеек», и через 8-64 мс обновляются все строки памяти.

Процесс регенерации памяти в классическом варианте существенно «тормозит» работу системы, поскольку в это время обмен данными с памятью невозможен. Регенерация, основанная на обычном переборе строк, не применяется в современных типах DRAM. Существует несколько более экономичных вариантов этого процесса - расширенный, пакетный, распределенный; наиболее экономичной является скрытая (теневая) регенерация.

Из новых технологий регенерации можно выделить тип регенерации PASR (англ. Partial Array Self Refresh), применяемый компанией Samsung в чипах памяти SDRAM с низким уровнем энергопотребления. Регенерация «ячеек» выполняется только в период ожидания в тех банках памяти, в которых «имеются данные».

Параллельно с этой технологией реализуется метод TCSR (англ. Temperature Compensated Self Refresh), который предназначен для регулировки скорости процесса регенерации в зависимости от рабочей температуры.

.1.3 Память типа VRAM

Первые чипы памяти, пригодные для использования в компьютерной графике были микросхемы DRAM. DRAM является энергозависимой памятью. Электрический заряд в каждой из ячеек памяти оставляет нулевой или единичный бит данных. Заряд каждой ячейки должен непрерывно обновляться с целью избежать потери электрического сигнала со временем, в следствии чего теряются хранящиеся в памяти данные. Требуется два цикла вычислений для считывания данных в память и из нее.была разработана в качестве альтернативы DRAM и была призвана преодолеть ограничения по производительности, за счет считывания и записи данных из банков памяти за один цикл. В то же время, использование VRAM требует наличия специального контроллера, разработанного для использования именно с этим типом памяти. Рынок обоих типов памяти четко сегментирован. VRAM все еще используется в подсистемах, рассчитанных на очень высокое разрешение и в которых очень важна возможность работы с 24-битным представлением цвета (например в системах CAD, верстки и цветоделения). Память типа DRAM используется в стандартных графических подсистемах, рассчитанных, в основном, на офисное применение (электронные таблицы, текстовые процессоры). Однако, экзотические типы памяти все больше и больше используются вместо VRAM и DRAM в их традиционных областях применения. Все более отчетливо можно видеть, что для разных приложений предлагается использовать разные типы памяти.

Улучшения в архитектуре DRAM заключались в увеличении производительности, за счет ускорения разными путями скорости выполнения циклов чтения и записи. Эта традиционная, хотя и работающая быстрее, архитектура DRAM требует небольших или вообще не требует, изменений в интерфейсе графического процессора для использования в видеоподсистеме.

Ускорение работы этих типов памяти достигается за счет увеличения частоты, с которой происходят циклы чтения и записи DRAM. Время, требуемое на снаряжение зарядом конденсатора ячейки памяти DRAM, является физическим ограничением. Для преодоления этого ограничения DRAM, производители размещают высокопроизводительный буфер памяти между блоком памяти и графическим процессором. Это обеспечивает возможность увеличения пропускной способности, за счет организации сквозной очередности данных для всех блоков памяти, даже несмотря на то, что память DRAM может быть недостаточно быстрой для обработки данных приходящих от процессора. Этот эффект можно сравнить с быстрым входом массы людей в метро, когда несколько турникетов обслуживают сразу группу пассажиров. Вы можете наблюдать пакетное перемещение, когда за промежуток времени, требуемый для прохода через турникет одному человеку, происходит перемещение сразу нескольких пассажиров. В результате пропускная способность становится гораздо выше. В улучшенных архитектурах DRAM оптимизированы потоки информации в и из буфера, что обеспечивает оптимизацию потока данных из памяти и обеспечивает обновление содержимого ячеек памяти с большей, нежели нормальная, скоростью. В итоге, видно, что главной целью улучшений архитектуры было снижение времени ожидания, требуемого данным для запись в память и считывание из нее.

.1.4 Структура видеопамяти VRAM

В растровых дисплейных системах видеопамять организована в виде прямоугольного массива точек. Элемент видеопамяти, стоящий на пересечении конкретных строки и столбца видеопамяти, хранит значение яркости и/или цвета соответствующей точки. Отображаемая на экране часть видеопамяти называется экранным буфером (буфером регенерации или экранной битовой картой). Регенерация изображения осуществляется последовательным построчным сканированием экранного буфера.

Так как каждый элемент видеопамяти определяет один элемент отображения размером в точку на экране монитора, то каждая точка экран (и соответствующий ей элемент видеопамяти) обозначаются термином пиксел (pixel - picture element).

Задача системы вывода изображений (видеоконтроллера) состоит в циклическом построчном просмотре экранного буфера от 25 до 100 раз в секунду. Адреса видеопамяти генерируются синхронно с координатами растра и содержимое выбранных пикселов используется для управления цветом и интенсивностью луча. Общая организация системы вывода изображений приведена на рис.10.

Рис.10. Экранный буфер и система вывода изображения

Генератор растровой развертки формирует сигналы отклонения и управляет адресными X и Y регистрами, определяющими следующий элемент буфера регенерации.

В идеальном случае время, требуемое для регенерации экранного буфера, должно быть много меньше, чем время, необходимое для манипуляций с данными, что позволит быстро обновлять или двигать изображение. Это означает, что усилители отклонения и усилитель, управляющий интенсивностью луча, должны быть очень широкополосными, чтобы обеспечить требуемую скорость передачи данных между экранным буфером и системой вывода изображения.

Частота регенерации для графических дисплейных систем среднего разрешения лежит в пределах 50 Мгц, а для систем высокого разрешения достигает 100-125 Мгц, с явной тенденцией к частотам более 125 Мгц в последнее время. При таких частотах таймирование регенерации экранного буфера становится важной задачей при проектировании подсистемы графического вывода. Так ка обычная DRAM память не обеспечивает времени доступа, подходящего для существующих мониторов высокого разрешения, то регенерация видеопамяти на таких частотах требует ее специальной организации. Пример организации видеопамяти, построенной на обычной динамической памяти с произвольным доступом (DRAM) приведен на рис. 11.

Рис.11. Регенерация экранного буфера, построенного на обычной динамической памяти (DRAM)

В такой системе регенерация экранного буфера видеопамяти осуществляется с помощью параллельно-последовательного преобразования. Выполняя регенерацию, видеоконтроллер выставляет адрес слова, требуемое слово данных видеопамяти (обычно 16-32-64 бита) затем трансформируется в последовательный видеопоток (videostream) с помощью внешнего сдвигового регистра под контролем аппаратуры регенерации. На рис.2 показана реализация регенерации экранного буфера для системы с одним слоем. Системы регенерации со многими слоями требуют такого же количества (16-32-64) битовых слов, подлежащих регенерации и параллельно-последовательных сдвиговых регистров, что и число битовых слоев видеопамяти.

Если частота регенерации экранного буфера составляет порядка 100 Мгц, то такое параллельно-последовательное преобразование уменьшает требования к частоте тактирования параллельно считываемого слова из экранного буфера видеопамяти до 6.25 Мгц, что требует времени доступа порядка 160 нс. При такой организации видеопамяти манипуляции с данными и обновление экрана должны происходить во времена межстрочного и межкадрового интервалов, когда регенерации не происходит. Таким образом, узкое место для обычной DRAM памяти в качестве видеопамяти в графических дисплейных системах вытекает из двух противоречивых требований:

 для растровых дисплейных систем должна осуществляться постоянная регенерация экранного буфера видеопамяти, что требует считывания выводимой на экран монитора графической информации с периодическим, жестко заданным циклом;

 с другой стороны, требуется время для обновления больших массивов данных видеопамяти со стороны собственно аппаратуры генерации изображений, работающей, как правило, в цикле чтение-модификация-запись.

Доступные в настоящее время DRAM устройства даже с наиболее быстрыми режимами доступа не обеспечивают быстрого чтения их содержимого для поддержки требуемого ритма регенерации, оставляя крайне мало времени графическому процессору для модификации изображения. Таким образом, ограниченная полоса пропускания DRAM памяти ограничивает доступ аппаратуры формирования изображений к данным видеопамяти на время значительных периодов регенерации экранного буфера. Проблема усложняется по мере увеличения экранного буфера из-за возрастания числа отображаемых пикселов для мониторов высокого разрешения или при увеличении числа битов на пиксел в системах с большим количеством отображаемых цветов.

Для решения этой проблемы разработаны различные архитектуры видеопамяти, включая двухпортовую видеопамять, двойное буферирование и др.

Однако лучшее решение этой проблемы достигается за счет применения нового типа DRAM памяти, получившей название VRAM (Video Random Accses Memory), например Texas Instrument 4161, разработанной специально для использования в качестве памяти изображения в растровых дисплейных система. Структурная схема подобной памяти приведена на рис.12.

Рис. 12. Структурная схема VRAM памяти

Эта видеопамять содержит 2 порта, обеспечивая независимый доступ со стороны видеоконтроллера для регенерации и аппаратуры формирования изображений - графических процессоров. VRAM фактически представляет собой обычную DRAM память, которая была "внутренне" модифицирована посредством добавления сдвигового регистра. D и Q - это обычные входы и выходы порта с произвольной выборкой. Сигнал TR активируется на время передачи данных между сдвиговым регистром и видеопамятью. Сигналы SIN и SOUT - последовательные вход и выход сдвигового регистра, а сигнал SCLK - последовательный вход, управляющий сдвиговым регистром. Сдвиговый регистр загружается параллельным потоком в 256 бит из массива памяти за один цикл регенерации экрана. Длительность этого цикла не длиннее, чем стандартный цикл памяти. Обычно сдвиговый регистр загружается 1 раз во время обратного хода луча. Когда обратный ход заканчивается, на вход SCLK подается сигнал, вызывая сдвиг данных на последовательном выходе SOUT.

На рис.3 показан модуль видеопамяти объемом 64 Кбайт. Видеопамять объемом 256 Кбайт может быть построена из 4 модулей по 64 Кбайт (рис.13).

Рис. 13. Структурная схема многослойной VRAM памяти

В этом случае выходы SOUT от нескольких VRAM модулей подаются на параллельные входы внешнего сдвигового регистра, последовательный выход (CLK) которого тактируется со скоростью вывода точек (видеопотока битов), требуемой для регенерации экрана монитора.

В видеопамяти с такой организацией время на регенерацию экранного буфера (отображения на экран монитора) составляет менее 1.5% времени доступа. В системах же с обычной DRAM памятью время на регенерацию экрана составляет от 40% до 60% времени доступа.

Таким образом, применение VRAM обеспечивает практически полное время доступа для модификации данных видеопамяти, так как на одну строку сканирования растра требуется одна загрузка сдвигового регистра. Следовательно, в то время как предварительно загруженные видеоданные "выталкиваются" из сдвигового регистра в канал графического вывода, одновременно может осуществляться произвольный доступ к видеопамяти со стороны графических процессоров для модификации изображения.

.1.5 Типы видеопамяти

<#"804885.files/image013.gif">

Рис. 14. Графический экранный буфер

Каждый пиксел, выводимый на экран монитора, состоит из отдельных битов видеопамяти, находящихся внутри куба.

Соотношение между значением пиксела, отображаемого из экранного буфера видеопамяти, и цветом на экране монитора устанавливается с помощью таблицы цветности видеоконтроллера. Доступ к данным, хранящимся внутри куба, необходим для их модификации и манипуляций с ними, регенерации экранного буфера и его обновления. В основном имеются 3 конфигурации: организация видеопамяти "в глубину", ориентированная на обработку элементов отображения - ЭО (пикселов), организация видеопамяти в виде битовых слоев (разрядных матриц) и "смешанная" архитектура.

Архитектура "в глубину".

При такой организации видеопамяти обрабатываемые в каждый момент данные есть пиксел. В этом случае для многих слоев видеопамяти, генерируемый адрес вызывает слово данных, представляющих композицию битов "сквозь" слои, составляющие видеопамять (отсюда появился термин "глубина пиксела" - "pixel depth"). Такая архитектура применяется в системах высокого разрешения, предназначенных для обработки цветной трехмерной графической информации, например, в обработке изображений и моделировании структур твердых тел, т.е. там где значения каждого пиксела подвергаются интенсивным вычислениям. Эти применения, как правило, требуют "глубины пиксела" от 8 до 22-24 бит. В архитектуре "в глубину" данные в видеопамяти обрабатываются поэлементно. В случае использования для воспроизведения изображений, состоящих из нескольких цветовых плоскостей, адрес, направляемый в экранный буфер, генерирует слово данных, составленное из битов, представляющих собой одноименные разряды требуемых разрядных матриц.

"Слойная" архитектура.

В "слойной" ("plane") архитектуре данные видеопамяти обрабатываются как одно слово (обычно 16 бит) в каждый момент времени (пословная обработка) и отдельно для каждого слоя (разрядной матрицы).

Чтобы изменить один разряд слова видеопамяти, вместе с ним необходимо передать и оставшиеся 15 разрядов. Кроме того, для того чтобы обеспечить позиционирование и перемещение изображения с точностью до бита и с удовлетворительной скоростью, требуется специализированная аппаратура, осуществляющая быстрые сдвиги и "слияния" цепочек битов видеопамяти ("barrell shifter"). Однако, несмотря на это условие, "слойные" архитектуры видеопамяти являются наиболее популярными в интерактивных 2D системах, так как требуют менее интенсивных вычислений значений пикселов (по сравнению с архитектурой "в глубину"), но более интенсивных вычислений при создании и перемещении изображения. Такие архитектуры видеопамяти часто находят применение в системах обработки инженерной и экономической информации, поскольку для них характерен значительный объем операций, связанных с манипуляциями данными и перемещении изображения.

Кроме того, достоинством такой архитектуры является возможность пословного доступа к видеопамяти со стороны центрального процессора (при соответствующей организации такая видеопамять для центрального процессора ничем не отличается от обычной оперативной памяти). Пословный доступ при достаточной разрядности слова (16-32 бит) и ограниченных требованиях к цвету (до 16 цветов, что требует четырех слоев видеопамяти) и при наличии аппаратных средств быстрого сдвига дают выигрыш в скорости, так как за один цикл памяти считывается сразу 16-32 битов данных, подлежащих модификации.

"Смешанная" архитектура.

В этой архитектуре доступ к данным видеопамяти может производиться как по "глубине" пиксела, так и в "ширину", реализуя лучшие возможности обеих архитектур.

Следует отметить, что такие архитектуры в последнее время применяются в дисплейных системах наиболее дорогих рабочих станций, поскольку требуют значительных аппаратных затрат на их реализацию.

При покупке графического адаптера зачастую приходится ориентироваться не только на GPU, который лежит в его основе, но и на объем установленной видеопамяти. Причем разброс здесь очень велик - от скромных 256 МБ до внушительных 2 ГБ. Существуют различные мнения о том, какое же количество мегабайт нужно для комфортной игры. Попробуем разобраться, сколько видеопамяти требуют современные игры, есть ли польза от дополнительного объема и стоит ли за него переплачивать.

При нехватке видеопамяти графические ускорители используют тот же метод, что и ОС при недостатке ОЗУ, с одним лишь отличием - вместо файла на жестком диске (хотя в особо тяжелых случаях есть и такой вариант) для расширения видеопамяти задействуется оперативная память компьютера. Однако даже если бы GPU мог использовать ОЗУ без всевозможных задержек, так же как и локальную, разница в скорости между этими двумя типами очень велика. К примеру, пропускная способность памяти у ATI Radeon HD 3850 составляет около 53 ГБ/с, в то время как у двухканальной DDR2, работающей на частоте 800 МГц, - всего 6,4 ГБ/с.

Максимальная загрузка видеопамяти, МБ <#"804885.files/image014.gif">

Рис. 15. Структура видеопамяти, построенная в программе Protel

Пакетная запись может начинаться после появления запроса передачи в момент прохождения кода кадрового синхросигнала. При этом вырабатывается сигнал разрешения передачи кадра из памяти ЭВМ на вход D1, а мультиплексор переключается на верхний канал. После приема целого кадра счетчик CTR, емкость которого равна длине кадра, переполняется, и под воздействием сигнала переполнения ЗУ возвращается в режим циклической перезаписи.

При одиночных записях устройство должно иметь дополнительно схему сравнения кода счетчика и входного адресного кода (номера заменяемого кода пиксела). При их совпадении мультиплексор переключается на верхний канал на один такт работы, чем обеспечивается замена всего одного слова.

Рис. 16. Результаты анализа работы видеопамяти в программе PSpice AD

Исследование мультиплексора с помощью программы Protel

Мультиплексором называется комбинационное устройство, обеспечивающее коммутацию одного из входов на общий выход под управлением сигналов на адресных входах.

Рис. 17. Структура мультиплексора, построенная в программе Protel

Рис. 18. Результаты анализа работы компаратора в программе PSpice AD

Такая схема позволяет управлять переключением информационных входов мультиплексора при помощи двоичных кодов, подаваемых на его управляющие входы. Количество информационных входов в таких схемах выбирают кратным степени числа два.

Входы A1 и A2 являются управляющими входами мультиплексора, определяющими адрес информационного входного сигнала, который будет соединён с выходным выводом мультиплексора Y. Информационные входные сигналы обозначены: X1, X2, X3 и X4.

Для реализации мультиплексора используется дешифратор и схемы И и ИЛИ. Дешифратор формирует логическую единицу на одном из выходов согласно входному двоичному коду. Сигналы с выходов дешифратора являются стробирующими, т.е. разрешающими сигналами для схемы совпадения единиц, реализованной на двухвходовых элементах И. Логическая единица будет формироваться на выходе только того элемента И, на один вход которого подается единица с выхода дешифратора и на второй вход - единица с соответствующего входа Dj. Для объединения выходов всех элементов И в один выход F, служит элемент ИЛИ. На его выходе формируется логическая единица, если таковая присутствует на опрашиваемом в данный момент входе Dj.

Правило работы мультиплексора «из 4 в 1» можно задать таблицей истинности:

Входы

Выход

A1

A0

F

0

0

D0

0

1

D1

1

0

D2

1

1

D3


Исследование работы компаратора с помощью программы Protel

Компаратор - электронная схема, принимающая на свои входы два аналоговых сигнала и выдающая логическую «1», если сигнал на прямом входе («+») больше чем на инверсном входе («−»), и логический «0», если сигнал на прямом входе меньше, чем на инверсном входе.

Рис. 19. Структура компаратора, построенная в программе Protel

При подаче эталонного напряжения на инвертирующий вход, входной сигнал подаётся на неинвертирующий вход и компаратор является неинвертирующим (повторителем, буфером).

При подаче эталонного напряжения на неинвертирующий вход, входной сигнал подаётся на инвертирующий вход и компаратор является инвертирующим (инвертором <#"804885.files/image019.gif">

Рис. 20. Результаты анализа работы компаратора в программе PSpice AD

Исследование работы RS-триггера с помощью программы Protel

Триггер называется синхронным, если у него помимо информационных входов S и R, существует управляющий вход С. Триггер будет менять свое состояние только при логической 1 на входе С.

Активным сигналом для этой схемы является логическая 1.

Таблица переходов RS триггера

С

S

R

Qt+1

Примеч.

0

*

*

Qt

Хранен.

1

0

0

Qt

Хранен.

1

0

1

0

Устан. 0

1

1

0

1

Устан. 1

1

1

1

1

Запрет


Синхронный RS-триггер. RS-триггер - это триггер, который сохраняет своё предыдущее состояние при нулевых входах и меняет своё выходное состояние при подаче на один из его входов единицы. RS-триггер используется для создания сигнала с положительным и отрицательным фронтами, отдельно управляемыми посредством стробов, разнесённых во времени. Также RS-триггеры часто используются для исключения так называемого явления дребезга контактов.

Рис.21. Схема RS - триггер на элементах 2И-НЕ, собранная в программе Protel

Рис. 22. Результаты анализа работы RS - триггера в программе PSpice AD

Исследование работы счетчика с помощью программы Protel

Счетчики предназначены для подсчета числа входных импульсов. Основным элементом при построении счетчиков являются триггерные устройства. Один триггер образует один разряд счетчика. n - триггеров образуют n - разрядный счетчик. Так как каждый триггер имеет два устойчивых состояния, то n - триггеров имеют 2n состояний. Основным параметром любого счетчика является его емкость (коэффициент пересчета, модуль счета).

Входы J,K находятся в единичном состоянии. Триггера работают в счетном режиме. На входах получаем информацию в двоичном коде. При подаче некоторых импульсов идет последовательное переключение разряда триггеров. Длительность переходного процесса будет зависеть от разрядности счетчика. Срабатывание всех триггеров должно находиться в районе пауз между сигналами. С учетом собственного времени срабатывания триггеров этот процесс при большой частоте подаваемых сигналов может не уложиться в период паузы синхроимпульсов и приведет к неправильному срабатыванию счетчика. Из временной диаграммы видно, что счетчик работает в параллельном двоичном коде как суммирующий.

Рис. 23. Схема счетчика, построенная в программе Protel

Рис. 24. Результаты анализа работы счетчика в программе PSpice AD

Исследование работы регистра сдвига с помощью программы Protel

Регистр сдвига - регистр, обеспечивающий помимо хранения информации сдвиг влево или вправо всех разрядов одновременно на одинаковое число позиций. При этом выдвигаемые за пределы регистра разряды теряются, а в освобождающиеся разряды заносится информация, поступающая по отдельному внешнему входу регистра сдвига. Обычно эти регистры обеспечивают сдвиг кода на одну позицию влево или вправо. Но существуют и универсальные регистры сдвига, которые выполняют сдвиг как влево, так и вправо в зависимости от значения сигнала на специальном управляющем входе или при подаче синхросигналов на разные входы регистра. Регистр сдвига может быть спроектирован и таким образом, чтобы выполнять сдвиг одновременно не на одну, а на несколько позиций.

Регистры сдвига строятся на двухступенчатых триггерах. Схема четырехразрядного регистра, выполняющего сдвиг на один разряд от разряда 0 к разряду 3, показана на рис. 2 <#"804885.files/image024.gif">

Рис.25. Схема регистра сдвига, построенная в программе Protel.

Рис.26. Результаты анализа работы регистра в программе PSpice AD

Исследование работы инвертора с помощью программы Protel

Инвертором называется прибор, схема, или система, которая создает переменное напряжение при подключении источника постоянного напряжения.

Рис. 27. Структура инвертора, построенная в программе Protel

Микросхемы на комплементарных транзисторах строятся на основе МОП транзисторов с n- и p-каналами. Один и тот же потенциал открывает транзистор с n-каналом и закрывает транзистор с p-каналом. При формировании логической единицы открыт верхний транзистор, а нижний закрыт. В результате ток через микросхему не протекает. При формировании логического нуля открыт нижний транзистор, а верхний закрыт. И в этом случае ток через микросхему не протекает. Простейший логический элемент - это инвертор <#"804885.files/image027.gif">

Рис. 28. Реализация инвертора на транзисторах, построенная в программе Protel

Рис. 29. Результаты анализа работы инвертора в программе PSpice AD

Исследование работы логического элемента 2ИЛИ-НЕ с помощью программы Protel

Рис. 30. Структура 2ИЛИ-НЕ, построенная в программе Protel

Рис. 31. Реализация 2ИЛИ-НЕ на транзисторах, построенная в программе Protel

Рис. 32. Результат анализа работы логического элемента 2ИЛИ-НЕ в программе PSpice AD

Элемент ИЛИ-НЕ дает на выходе нуль при наличии хотя бы на одном из входов единицы.

Исследование работы логического элемента 2И-НЕ с помощью программы Protel

Рис. 33. Структура 2И-НЕ, построенная в программе Protel

В случае элемента 2И-НЕ один из входов можно считать информационным, а другой - управляющим. В этом случае при единице на управляющем входе выходной сигнал будет равен проинвертированному входному сигналу, а при нуле на управляющем входе выходной сигнал будет постоянно равен единице, то есть прохождение входного сигнала будет запрещено. Элементы 2И-НЕ с выходом ОК часто используют именно в качестве управляемых буферов для работы на мультиплексированную или двунаправленную линию.

Рис. 34. Реализация 2И-НЕ на транзисторах, построенная в программе Protel

Рис. 35. Результаты анализа работы элемента 2И-НЕ в программе PSpice AD

1.2.3 Выбор элементной базы для построения платы видеопамяти

Для построенние платы видеопамяти необходима минимальная потребляемая мощность устройства, поэтому применили интегральные микросхемы серий К176, К561, КР1561 и 564.

Микросхемы этих серий изготовляются по технологии комплементарных транзисторов структуры металл-диэлектрик-полупроводник (КМДП).

Основная особенность микросхем КМОП - ничтожное потребление тока в статическом режиме - 0,1...100 мкА. При работе на максимальной рабочей частоте потребляемая мощность увеличивается и приближается к потребляемой мощности наименее мощных микросхем ТТЛ.

Микросхемы серий К176, К561, КР1561 выпускаются в пластмассовых корпусах с двухрядным расположением 14, 16 или 24 штыревых выводов, а микросхемы серии 564 - в корпусах с тем же количеством выводов, расположенных в одной плоскости, в так называемых планарных корпусах. Номинальное напряжение питания микросхем серии К176 - 9 В ±5%, однако они, как правило, сохраняют работоспособность в диапазоне питающих напряжений от 5 до 12 В. Для микросхем серий К561 и 564 гарантируется работоспособность при напряжении питания от 3 до 15 В, для КР1561 - от 3 до 18 В.

Диапазон рабочих температур микросхем серии К176 от -10 до +70 "С, серий К561 и КР1561 от -45 до +85 'С, серии 564 от -60 до +125 С.

Выходные уровни микросхем при работе на однотипные микросхемы практически не отличаются от напряжения питания и потенциала общего провода. Максимальный выходной ток большинства микросхем серий К176, К561 и 564 не стандартизирован и не превышает единиц миллиампер, что несколько затрудняет непосредственное согласование микросхем этих серий с какими-либо индикаторами и микросхемами ТТЛ-серий.

Отличительной особенностью микросхем серии КР1561 является наличие буферных элементов не только на выходах сложных элементов, как в микросхемах серий К176, К561 и 564, но и на входах и выходах всех микросхем, независимо от их сложности. Кроме того, в микросхемах серии КР1561 улучшена защита от перегрузок как по входу, так и по выходу, в выходные цепи добавлены небольшие токоограничительные резисторы.

Стандартные статические нагрузочные характеристики микросхем серии КР1561 следующие. При лог. 0 на выходе и выходном напряжении 0,4; 0,5; 1,5 В выходной втекающий ток не менее 0,44; 1,1; 3 мА при напряжении питания 5,10,15 В соответственно. Те же нормы существуют и для вытекающих токов в состоянии лог. 1 при выходном напряжении 4,6; 9,5; 13,5 В соответственно. Кроме того, гарантируется, что при напряжении питания 5 В, выходном напряжении 2,5 В выходной вытекающий ток при лог. 1 составит не менее 1,36 мА.

Реально выходные токи микросхем серии КР1561 значительно больше. При лог. 0 на выходе и выходном напряжении 0,5 В выходной ток составляет примерно 3...5, 5...10, 6...15мА при напряжении питания 5, 10, 15 В соответственно. Аналогично вытекающий ток в состоянии лог. 1 при выходном напряжении, на 0,5 В меньшем, чем напряжение питания, составляет при тех же напряжениях питания примерно 1,2... 1,5; 2...3; 3...4 мА.

При напряжении на выходе 1 В в состоянии лог. 0 выходной втекающий ток составляет 6...10,10...20,12...25 мА при указанных выше напряжениях питания, при напряжении, на 1 В меньшем напряжения питания, в состоянии лог. 1 вытекающий ток 2...3, 4...5,5...7 мА соответственно.

Ток короткого замыкания при напряжении 5 В составляет около 10 мА в состоянии лог. 0 и около 6 мА в состоянии лог. 1, что позволяет подключать практически любые светодиоды к выходам микросхем этой серии без ограничительных резисторов. При напряжении питания 10 или 15 В ток короткого замыкания может достигать 20...60 мА, поэтому включение ограничительных резисторов необходимо.

Выходной ток 0,44 мА в состоянии лог. 0 при напряжении на выходе 0,5 В и напряжении питания 5 В гарантирует нормальную работу микросхем серии КР1561 на один вход микросхем серии К555. Поскольку, как указывалось выше, реальный выходной ток в этих условиях больше, микросхемы серии КР1561 можно нагружать на несколько входов микросхем серии К555 или на один вход микросхемы серии К 155.

1.2.4 Изготовление платы видеопамяти

Монтажная плата применяется при макетировании схемы изготовлена на основе гнезд многоконтактных разъемов МРН-22, МРН-44, ГРПМ-45, ГРПМ-61 и др. Конструкция состоит из двух реек и двух прямоугольных пластин, дюралюминиевых, гетинаксовых или текстолитовых. На пластинах монтируются гнезда для подключения макетируемой схемы к источникам питания, к другим устройствам, подсоединения к схеме крупногабаритных деталей, которые нельзя закрепить на самой “плате”

В рейках - ряд отверстий диаметром 3,5 мм с шагом 10 мм для установки колодок и отверстия соответствующего диаметра для установки тумблеров, переменные резисторов и др. Рейки крепятся к пластинам на расстоянии друг от друга, соответствующем расстоянию между крепежными отверстиями выбранных колодок. Затем к рейкам крепятся колодки-с учетом расстояний между токонесущими выводами радиоэлемента или микросхемы.

Элементы схемы выводами вставляют в гнезда раэъемов. Если вывод входит в гнездо слишком свободно, то его слегка изгибают. На монтажную плату одинаково удобно устанавливать самые различные радиоэлементы (резисторы, конденсаторы, транзисторы) и микросхемы.

Все необходимые соединения паяют с нижней стороны “платы” - на выводах разъемов. Поскольку выводы деталей вставлены в гнезда без пайки, замена элементов при отладке макетируемой схемы предельно упрощается.

При пайке крепление элементов не нарушается, так как во время разогрева выводов механические нагрузки на них практически отсутствуют, и выводы достаточно хорошо удерживаются обволакивающей их пластмассой, При таком монтаже удобно пользоваться двумя паяльниками: одним запрессовывать детали, другим паять соединения.

Смонтированную и проверенную в работе плату покрывают защитным слоем эпоксидного клея.

При использовании микросхем следует помнить, что защита входов микросхем диодами от статического электричества не является полной. Поэтому при монтаже устройств с микросхемами КМОП необходимо соблюдать следующие правила.

Для исключения случайного пробоя за счет статического электричества потенциалы монтируемой платы, паяльника и тела монтажника должны быть уравнены. Для этого на ручку паяльника можно намотать несколько витков неизолированного провода или укрепить металлическую пластинку и соединить через резистор 100...200 кОм с металлическими частями паяльника. Конечно, обмотка паяльника не должна иметь контакта с его жалом. При монтаже свободной рукой следует касаться шин питания монтируемой платы. При передаче микросхемы из рук в руки следует уравнять потенциалы участвующих в этом, дотронувшись друг до друга до момента передачи.

Применение микросхем КМОП-серий имеет свои особенности. Ни один из входов микросхем не может быть оставлен неподключенным, даже если логический элемент в микросхеме не использован. Свободные входы элементов должны быть или соединены с используемыми входами того же элемента или подключены к шине питания или к общему проводу в соответствии с логикой работы микросхемы. Напряжение источника питания должно подаваться ранее или одновременно с подачей входных сигналов.

В любом устройстве, собранном на микросхемах структуры КМОП, рекомендуется перед первым включением проверить прозвонкой подачу напряжения питания на все выводы питания и те выводы микросхем, на которые напряжение питания подается в соответствии с принципиальной схемой. Дело в том, что микросхема КМОП из-за наличия входных защитных диодов может работать без подачи напряжения на вывод питания, если хотя бы на один из входов микросхемы подано напряжение питания или лог. 1. Аналогично следует проверить цепь общего провода по той же причине.

Исходя из выше сказанного, в дипломной работе рассмотрен принцип построения устройства для исследования работы видеопамяти. Для реализации видеопамяти используются такие элементы как мультиплексор, компаратор, счетчик адресов, статические регистры. Эти устройства реализуются на базе логических элементов И, ИЛИ, ИЛИ-НЕ, И-НЕ и инверторов. Мультиплексор подключает одну из нескольких входных линий к единичной выходной линии с помощью цифровой команды, называемой адресом. Компаратор - это электронная схема, принимающая на свои входы два аналоговых сигнала и выдающая логический «0» или «1», в зависимости от того, какой из сигналов больше. Счетчик адреса необходим для обеспечения циклического доступа к данным. Статические регистры необходимы для хранения и перезаписи данных.

В настоящее время видеопамять стремительно развивается. На рынке компьютерной техники память VRAM заняла прочное место. Она является двухпортовой памятью. Ее два порта обеспечивают осуществление одновременного ввода и вывода графических данных. Выгода от использования двухпортовой памяти в том, что пока графические данные передаются и размещаются в буфере экрана, изображение на экране продолжает обновляться за счет графической информации, поступающей из того же буфера экрана и в то же время.

Выполняя дипломную работу, можно сделать вывод, что с помощью электронной среды «Protel» эффективно моделируются и конструируются различные цифровые устройства на логических элементах.

С помощью данной среды можно моделировать схемы до начала их изготовления, так что можно с самого начала быть уверенным в адекватности их архитектуры. Она детально показывает, из каких элементов состоит схема и как она функционирует, поэтому разработчики могут использовать ее в качестве эскиза или чертежа создаваемого устройства. С помощью готовой модели недостатки проекта легко обнаружить на стадии, когда их исправление не требует еще значительных затрат.

Внешний вид устройства для исследования работы видеопамяти

Рис. 36. Внешний вид платы видеопамяти

Технические характеристики:

Напряжение питания-12 В.

Максимальный ток потребления - 100 мА.

В приборе использовались следующие микросхемы:

К561ЛА7-2шт (Четыре 2И-НЕ),

К561ТМ2-1шт (Два D-триггера с установками 0 и 1),

К561ИЕ8-1шт (Десятичный счётчик-делитель),

К155КП1-1шт(Мультиплексор),

K533LM311-1шт(Компаратор).

Работа устройства для исследования работы видеопамяти

Рис. 37. Работа видеопамяти на осциллографе

Работа устройства видеопамяти показана на двухлучевом осциллографе С1-114. При прохождение 8 сигналов строчной разверкти появляется 1 сигнал, показывающий, что заполнение ячеек видеопамяти перешло на новую строку, что показано на рис. 38.

Рис. 38. Осциллограмма работы видеопамяти на осциллографе С1-114

Исходя из выше сказанного, в дипломной работе рассмотрен принцип построения устройства для исследования работы видеопамяти. Для реализации видеопамяти используются такие элементы как мультиплексор, компаратор, счетчик адресов, статические регистры. Эти устройства реализуются на базе логических элементов И, ИЛИ, ИЛИ-НЕ, И-НЕ и инверторов. Мультиплексор подключает одну из нескольких входных линий к единичной выходной линии с помощью цифровой команды, называемой адресом. Компаратор - это электронная схема, принимающая на свои входы два аналоговых сигнала и выдающая логический «0» или «1», в зависимости от того, какой из сигналов больше. Счетчик адреса необходим для обеспечения циклического доступа к данным. Статические регистры необходимы для хранения и перезаписи данных.

В настоящее время видеопамять стремительно развивается. На рынке компьютерной техники память VRAM заняла прочное место. Она является двухпортовой памятью. Ее два порта обеспечивают осуществление одновременного ввода и вывода графических данных. Выгода от использования двухпортовой памяти в том, что пока графические данные передаются и размещаются в буфере экрана, изображение на экране продолжает обновляться за счет графической информации, поступающей из того же буфера экрана и в то же время.

Выполняя дипломную работу, можно сделать вывод, что с помощью электронной среды «Protel» эффективно моделируются и конструируются различные цифровые устройства на логических элементах.

С помощью данной среды можно моделировать схемы до начала их изготовления, так что можно с самого начала быть уверенным в адекватности их архитектуры. Она детально показывает, из каких элементов состоит схема и как она функционирует, поэтому разработчики могут использовать ее в качестве эскиза или чертежа создаваемого устройства. С помощью готовой модели недостатки проекта легко обнаружить на стадии, когда их исправление не требует еще значительных затрат.

Раздел 2. Производственный процесс и его организация

.1 Понятия организации производственного процесса

Процесс взаимодействия производственных факторов на предприятии, направленный на превращение исходного сырья (материалов) в готовую продукцию, пригодную к потреблению или к дальнейшей обработке, образует производственный процесс или производство.

Основными элементами производственного процесса являются труд (деятельность людей), предметы и средства труда. Во многих производствах используются природные процессы (биологические, химические).

Наиболее крупными частями производственного процесса являются основное, вспомогательное и побочное производства.

К основным относятся те процессы, прямым результатом которых является изготовление продукции, составляющей товарную продукцию данного предприятия, а к вспомогательным - те, в ходе которых создаются полупродукты для основного производства, а также выполняются работы, обеспечивающие нормальное течение основных процессов. Побочное производство охватывает процессы переработки отходов основного производства или их утилизации.

Главной составляющей производственного процесса является технологический процесс - совокупность действий по изменению и определению состояния предметов труда.

По течению во времени производственные процессы подразделяют на дискретные (прерывные) и беспрерывные, вызванные непрерывностью технологического процесса или потребностями общества.

По степени автоматизации выделяют процессы: ручные, механизированные (выполняются рабочими с помощью машин), автоматизированные (выполняются машинами под наблюдением рабочего) и автоматические (выполняются машинами без участия рабочего по заранее разработанной программе).

Рис. 1. Элементы (ресурсы) и результаты производственного процесса

Процесс основного, вспомогательного и побочного производства состоит из ряда производственных стадий.

Стадия - это технологически законченная часть производства, характеризующая изменение предмета труда, переходящего из одного качественного состояния в другое.

Производственная стадия делится, в свою очередь, на ряд производственных операций, представляющих собой первичное звено, элементарную, простейшую составную часть процесса труда. Производственная операция выполняется на отдельном рабочем месте, одним или группой рабочих, над одним и тем же предметом труда, с помощью одних и тех же средств труда.

По назначению производственные операции делят на:

технологические (основные), в результате которых вносятся качественные изменения в предметы труда, его состояние, внешний вид, форму и свойства;

транспортные, изменяющие положение предмета труда в пространстве и создающие условия для поточного производства;

обслуживающие, обеспечивающие нормальные условия для работы машин (их чистка, смазка, уборка рабочего места);

контрольные, способствующие правильному выполнению технологических операций, соблюдению заданных режимов (контроль и регулирование процесса).

Таблица 1. Классификация производственных процессов по отдельным признакам

Классификационный признак

Виды производственных процессов

Сущностная характеристика

Назначение

Основные

Процессы непосредственного изготовления продукции. Во многих производствах выделяют стадии: заготовительную, обрабатывающую и сборочную


Вспомогательные

Процессы изготовления на предприятии продукции, необходимой для обеспечения нормального осуществления основных процессов. К вспомогательной обычно относят работу ремонтного, инструментального, энергетического хозяйств


Обслуживающие

Обеспечивают нормальные условия для осуществления основных и вспомогательных процессов. К ним относятся складские и транспортные процессы

Протекание во времени

Дискретные (прерывные)

Характеризуются цикличностью, связанной с изготовлением изделий определенного вида поштучно (машины, приборы, одежда, обувь)


Непрерывные

Процессы производства продукции, не имеющей определенного устойчивого объема и формы (жидкие, сыпучие, газообразные вещества) и поэтому не требующие цикличности

Степень автоматизации

Ручные

Осуществляются непосредственно работником, физические усилия которого являются основным источником энергии


Механизированные

Процессы, выполняемые работником с помощью машин


Автоматизированные


Автоматические

Осуществляемые машинами без участия работника по предварительно разработанной программе


2.2 Принципы организации производственного процесса

Для нормальной организации производственного процесса необходимо соблюдать следующие принципы:

) принцип специализации - это закрепление за каждым цехом, производственным участком, рабочим местом, технологически однородной группы работ или строго определенной номенклатуры изделий;

) принцип непрерывности процесса означает обеспечение движения предмета труда с одного рабочего места на другое без задержек и остановок;

) принцип пропорциональности подразумевает согласованность в продолжительности и производительности всех взаимосвязанных подразделений производства;

) принцип параллельности предусматривает одновременное выполнение отдельных операций и процессов;

) принцип прямоточности означает, что предметы труда в процессе обработки должны иметь наикратчайшие маршруты по всем стадиям и операциям производственного процесса;

) принцип ритмичности состоит в регулярности и устойчивости хода всего процесса, что обеспечивает производство одинакового или равномерно увеличивающегося количества продукции за равные промежутки времени;

) принцип гибкости требует быстрой адаптации производственного процесса к изменению организационно-технических условий, связанных с переходом на изготовление новой продукции и др.

Рис.2. Основные принципы проектирования и организации производственных процессов

Рассмотрим названные принципы подробнее.

Специализация подразумевает расчленение производственного процесса на специализированные ступени (участки), операции, элементы операций. Это означает выделение и обособление на предприятии цехов, отделений, участков, рабочих мест, изготавливающих определенную продукцию или часть ее, для чего они имеют соответствующее специализированное оборудование и соответствующим образом подготовленные кадры.

Уровень специализации можно выразить количеством разных деталеопераций, выполняемых на одном рабочем месте за соответствующий период времени. Чем эта величина меньше, тем степень специализации (в данном случае рабочего места) выше, и наоборот.

Специализация оказывает положительное воздействие на всю работу предприятия: создает условия для внедрения высокопроизводительного механизированного и автоматизированного оборудования, прогрессивной технологии и передовых методов труда; способствует улучшению использования основных и оборотных фондов, повышению производительности труда и квалификации работников. На основе специализации производства увеличивается выпуск продукции, повышается ее качество, снижается себестоимость, повышается рентабельность производства.

В условиях сложного многозвенного процесса изготовления продукции все большее значение приобретает непрерывность производства, что обеспечивает ускорение оборачиваемости оборотных средств. Повышение непрерывности - важнейшее направление интенсификации производства. На рабочем месте она достигается в процессе выполнения каждой операции путем сокращения вспомогательного времени (внутриоперационных перерывов), на участке и в цехе при передаче полуфабриката с одного рабочего места на другое (межоперационных перерывов) и на предприятии в целом; сведения перерывов до минимума в целях максимального ускорения оборачиваемости материально-энергетических ресурсов (межцехового пролеживания).

Непрерывность работ в пределах операции обеспечивается, прежде всего, совершенствованием орудий труда - введением автоматической переналадки, автоматизацией вспомогательных процессов, использованием специальной оснастки и приспособлений.

Сокращение межоперационных перерывов связано с выбором наиболее рациональных методов сочетания и согласования частичных процессов во времени. Одними из предпосылок сокращения межоперационных перерывов являются применение непрерывных транспортных средств, использование в процессе производства жестко взаимосвязанной системы машин и механизмов, применение роторных линий. Степень непрерывности производственного процесса может быть охарактеризована коэффициентом непрерывности, исчисляемым как соотношение длительности технологической части производственного цикла продолжительности тех и продолжительности полного производственного цикла Т "бета" = Ттех / Т.

Непрерывность производства рассматривается в трех аспектах: непрерывного участия в процессе производства предметов труда - сырья и полуфабрикатов; непрерывной загрузки оборудования; рационального использования рабочей силы (рабочего времени исполнителей). Обеспечивая непрерывность движения предметов труда, одновременно необходимо свести к минимуму остановки оборудования для переналадки, в ожидании поступления материалов и т.п. Это требует повышения однообразия работ, выполняемых на каждом рабочем месте, а также использования быстро переналаживаемого оборудования (станков с программным управлением), копировальных станков и т.д.

Пропорциональность в организации производства предполагает соответствие пропускной способности (относительной производительности в единицу времени) всех подразделений предприятия - цехов, участков, отдельных рабочих мест по выпуску готовой продукции. Степень пропорциональности производства может быть охарактеризована величиной отклонения пропускной способности (мощности) каждого технологического передела от запланированной величины выпуска продукции.

П р и м е р . Имеются три последовательно выполняемые операции с нормами времени: t1 = 6 мин/ед.; t2 = 4 мин/ед.; t3 = 2 мин/ед. Каждая операция выполняется на одном рабочем месте. Определить часовую производительность этой цепи рабочих мест.

Р е ш е н и е . Определим часовую пропускную способность каждого рабочего места. Первое рабочее место: 60/6 = 10 ед./ч; второе - 60/4 = 15 ед./ч и третье - 60/2 = 30 ед./ч. Следовательно, «узким местом» в технологическом процессе будет первое рабочее место и производительность всей цепи рабочих мест составит 10 ед./ч. Принцип пропорциональности в данном случае не выполняется. Второе и третье рабочее место будут недогружены и рабочие, выполняющие эти операции, будут заняты на (10/15) 100 % = 67 % и на (10/30) 100 % = 33 %, соответственно. Рабочий на первом рабочем месте будет занят на 100 %.

Пропорциональность производства исключает перегрузку одних рабочих мест, т.е. возникновение «узких мест», и недоиспользование мощностей в других звеньях и является предпосылкой равномерной работы предприятия т.е. обеспечивает бесперебойный ход производства.

Базой соблюдения пропорциональности является правильное проектирование предприятия, оптимальное сочетание основных и вспомогательных производственных звеньев. Однако при современных темпах обновления производства, быстрой сменяемости номенклатуры производимой продукции и сложной кооперации производственных звеньев задача поддержания пропорциональности производства становится постоянной.

С изменением производства меняются взаимоотношения между производственными звеньями, загрузка отдельных переделов. Перевооружение определенных подразделений производства изменяет установившиеся пропорции в производстве и требует повышения мощности смежных участков.

Одним из методов поддержания пропорциональности в производстве является оперативно-календарное планирование, которое позволяет разрабатывать задания для каждого производственного звена с учетом, с одной стороны, комплексного выпуска продукции, а с другой - наиболее полного использования возможностей производственного аппарата. В этом случае работа по поддержанию пропорциональности совпадает с планированием ритмичности производства. Пропорциональность в производстве поддерживается также своевременной заменой орудий труда, повышением уровня механизации и автоматизации производства, путем изменений в технологии производства и т.д. Это требует системного подхода к решению вопросов реконструкции и технического переоснащения производства, планирования освоения и пуска новых производственных мощностей.

Усложнение продукции, использование полуавтоматического и автоматического оборудования, углубление разделения труда увеличивают число параллельно проводимых процессов по изготовлению одного продукта, органическое сочетание которых надо обеспечить, т.е. дополняет пропорциональность принципом параллельности. Под параллельностью понимается одновременное выполнение отдельных частей производственного процесса применительно к разным частям общей партии деталей. Чем шире фронт работ, тем меньше при прочих равных условиях длительность изготовления продукции. Вернемся к предыдущему примеру. Длительность изготовления 1 ед. продукции в этом случае составит:+ t2 + t3 = 6 + 4 + 2 = 12 мин. Введем параллельные рабочие места на этих операциях c1 = 3, c2 = 2, c3 = 1 так, чтобы среднее время выполнения каждой операции было бы одинаковым: t1 / c1 = t2 / c2 = t3 / c3 = 2 мин. Очевидно, что в этом случае будет выполняться принцип пропорциональности («узкие места» будут отсутствовать), а длительность изготовления 1 ед. продукции сократится до 2 + 2 + 2 = 6 мин. Часовая производительность увеличится с 10 ед./ч до 60/2 = 30 ед./ч за счет введения параллельных рабочих мест.

Параллельность реализуется на всех уровнях организации. На рабочем месте параллельность обеспечивается совершенствованием структуры технологической операции, и в первую очередь технологической концентрацией, сопровождающейся многоинструментальной, либо многопредметной обработкой. Параллельность в выполнении основных и вспомогательных элементов операции заключается в совмещении времени машинной обработки со временем установки и съема деталей, контрольных промеров, загрузки и выгрузки аппарата с основным технологическим процессом и т.п. Параллельное выполнение основных процессов реализуется в многопредметной обработке деталей, одновременном выполнении сборочно-монтажных операций над одинаковыми или различными объектами. Уровень параллельности производственного процесса может быть охарактеризован при помощи коэффициента параллельности исчисляемого как соотношение длительности производственного цикла при последовательном движении предметов труда Tp и фактической его длительности T "альфа" = Tp / T.

Коэффициент параллельности показывает во сколько раз данный производственный цикл короче последовательно организованного цикла.

Пропорциональности реализуемых технологических операций можно также достичь посредством перекомпоновки технологических переходов.

П р и м е р . Имеются три последовательно выполняемые ручные операции с нормами времени: t1 = 6 мин/ед.; t2 = 4 мин/ед.; t3 = 5 мин/ед. Каждая операция выполняется на одном рабочем месте. Разбить операции на технологические переходы и перекомпоновать их так, чтобы выполнялся принцип пропорциональности.

Р е ш е н и е . «Узким местом» является первая операция. Часовая производительность всей цепи рабочих мест составит 60/6 = 10 ед./ч. Разделим первую операцию на два технологических перехода= 5 и t12 = 1 мин/ед. и затем объединим t12 и t2. В результате получим t11 = 5, t12 + t2 = 1 + 4 = 5 и t3 = 5 мин/ед. Производительность процесса повысится: 60/5 = 12 ед./ч.

Перекомпоновка технологических переходов осуществима только в тех случаях, когда на смежных операциях установлено взаимозаменяемое оборудование, либо эти операции выполняют взаимозаменяемые рабочие.

Для обеспечения полного использования оборудования, материально-энергетических ресурсов и рабочего времени важное значение имеет ритмичность производства, являющаяся основополагающим принципом его организации.

Принцип ритмичности предполагает равномерный выпуск продукции и ритмичный ход производства. Уровень ритмичности может быть охарактеризован коэффициентом, который определяется отношением фактических объемов выпуска продукции nf, но не больше планового задания, к плановому выпуску продукции n

"d" = nf / n.

П р и м е р . Имеются следующие месячные показатели работы производственного участка:

Объем выпуска продукции, %

Первая декада

Вторая декада

Третья декада

Плановый n

33

33

34

Фактический nf

10

10

80


Определить коэффициент ритмичности работы участка в течение месяца по декадным данным.

Решение. "d"=(10+10+10)/(33+33+34)=0,54

Производственное задание на участке было выполнено, но участок работал неритмично - план был выполнен за счет объема продукции, произведенного в третьей декаде.

Равномерный выпуск продукции означает изготовление в равные промежутки времени одинакового или постепенно возрастающего количества продукции. Ритмичность производства выражается в повторении через равные промежутки времени частных производственных процессов на всех стадиях производства и осуществлении на каждом рабочем месте в равные промежутки времени одинакового объема работ, содержание которых в зависимости от метода организации рабочих мест может быть одинаковым или различным.

Ритмичность производства - одна из основных предпосылок рационального использования всех его элементов. При ритмичной работе обеспечиваются полная загрузка оборудования, нормальная его эксплуатация, улучшается использование материально-энергетических ресурсов, рабочего времени.

Обеспечение ритмичной работы является обязательным для всех подразделений производства - основных, обслуживающих и вспомогательных цехов, материально-технического снабжения. Неритмичная работа каждого звена приводит к нарушению нормального хода производства.

Порядок повторения производственного процесса определяется производственными ритмами. Необходимо различать ритм выпуска продукции (в конце процесса), операционные (промежуточные) ритмы, а также ритм запуска (в начале процесса). Ведущим является ритм выпуска продукции. Он может быть длительно устойчивым только при условии, если соблюдаются операционные ритмы на всех рабочих местах. Методы организации ритмичного производства зависят от особенностей специализации предприятия, характера изготовляемой продукции и уровня организации производства. Ритмичность обеспечивается организацией работы во всех подразделениях предприятия, а также своевременной его подготовкой и комплексным обслуживанием.

Современный уровень научно-технического прогресса предполагает соблюдение гибкости организации производства. Традиционные принципы организации производства ориентированы на устойчивый характер производства - стабильную номенклатуру продукции, специальные виды оборудования и т.п. В условиях быстрого обновления номенклатуры продукции меняется технология производства. Между тем, быстрая смена оборудования, перестройка его планировки вызвали бы неоправданно высокие затраты, и это явилось бы тормозом технического прогресса. Невозможно также часто менять производственную структуру (пространственную организацию звеньев). Это выдвинуло новое требование к организации производства - гибкость. В поэлементном разрезе это означает прежде всего быструю переналаживаемость оборудования. Достижения микроэлектроники создали технику, способную к широкому диапазону использования и производящую в случае необходимости автоматическую самоподналадку.

Широкие возможности повышения гибкости организации производства дает использование типовых процессов выполнения отдельных стадий производства. Хорошо известно построение переменно-поточных линий, на которых без их перестройки может изготовляться различная продукция. Так, сейчас на обувной фабрике на одной поточной линии изготовляются различные модели женской обуви при однотипном методе крепления низа; на автосборочных конвейерных линиях без переналадки происходит сборка машин не только разной расцветки, но и модификации. Эффективно создание гибких автоматизированных производств, основанных на применении роботов и микропроцессорной техники. Большие возможности в этом плане обеспечивает стандартизация полуфабрикатов.

В таких условиях при переходе на выпуск новой продукции или освоении новых процессов нет необходимости перестраивать все частичные процессы и звенья производства.

2.3 Оценка уровня организации производственного процесса

Организация основного производственного процесса будет рациональной в том случае, если обеспечивается действие всех принципов в совокупности. Это создает условия для экономии живого и овеществленного труда, увеличения объема выпускаемой продукции, роста производительности труда, снижения себестоимости и увеличения прибыли.

Как показывает практика, элементы производственного процесса могут соединяться в различных формах, а принципы реализовываться не в полной мере, что приводит к разным результатам деятельности предприятия. Отсюда возникает необходимость количественной оценки уровня организации производства, позволяющей произвести сравнение.

Наличие обоснованной количественной характеристики уровня организации основного производственного процесса обеспечивает возможность в каждом конкретном случае зафиксировать существующее состояние и степень рациональности организации производства, сопоставить показатели в динамике за ряд лет в сравнении с другими предприятиями, вскрыть имеющиеся резервы и наметить пути их использования.

Существуют несколько методик оценки уровня организации производства. У большинства из них есть общая черта: разрабатывается система показателей, характеризующих разнообразные стороны состояния, использования, функционирования и развития объекта оценки. В целях обеспечения сопоставимости применяются показатели-коэффициенты, изменяющиеся в пределах от 0 до 1.

Для получения общей однозначной оценки группа частных показателей сводится в единый интегральный показатель, который и рассматривается как обобщающая характеристика уровня организации. Данный интегральный показатель рассчитывается как среднее арифметическое или среднее геометрическое частных показателей. При этом количество частных показателей, их состав, методы расчета изменяются в довольно широких пределах, учет многих составляющих затруднен.

В качестве примера можно привести два подхода к оценке уровня организации производства. Так как содержание принципов отражает сущность организации производственного процесса, то, по мнению многих специалистов, оценка его уровня характеризуется степенью реализации данных принципов.

Обобщающая количественная оценка уровня организации рассчитывается на основе системы частных показателей, характеризующих степень реализации каждого из принципов:

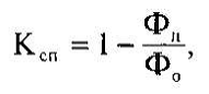
а) специализации:

Ксп = Нрм/Нр

где Нрм - количество рабочих мест; Нр - количество работ (операций);


где Фп - время на переналадку оборудования; Ф0 - фонд времени работы оборудования;

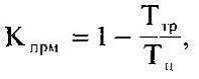
б) прямоточности:


где Ттр - время выполнения транспортных операций; Тц - продолжительность производственного цикла;

Кпрм = ДЛм/ДЛф

где ДЛм - минимальная длина пути прохождения предмета труда в процессе обработки; ДЛф - фактическая длина пути прохождения предмета труда в процессе обработки;

в) параллельности:


где Тцпар, ТцФр - длительность производственного цикла соответственно при параллельном виде сочетания операций и фактическая;

г) пропорциональности:


где К1проп, К2проп, Кn проп - коэффициенты сопряженности работы цехов, участков, агрегатов, рабочих мест;


где М1, М2,- мощность цехов, участков, агрегатов, рабочих мест, между которыми определяется сопряженность рабочих мест; Ру - удельный расход продукции одного цеха (участка, агрегата, рабочего места) для производства продукции другого цеха;

д) непрерывности:


где Кнпр, Кн°, Кнр - коэффициенты непрерывности использования соответственно предметов и средств труда, рабочей силы;


где Т0 - время выполнения операций по обработке предметов труда; Тпр _ продолжительность пролеживания предметов труда;

Ко = Фоф/Фор

где Ф0ф, Ф0р - фонд времени работы оборудования, соответственно фактический и режимный;


где Кр, Кф - число исполнителей, соответственно расчетное и фактическое;

е) ритмичности:


где Вф - фактический выпуск продукции за декаду, но не выше планового; Вп,- плановый выпуск продукции за декаду;


где Н - отклонение фактического выпуска продукции от планового за каждый рабочий день; n - число рабочих дней.

Обобщающий показатель уровня организации производственного процесса определяется здесь как среднеарифметическая величина из частных показателей. Такой подход к оценке уровня организации представляется вполне обоснованным. Однако его реализация на практике затруднена из-за отсутствия исходных данных для расчета большинства частных показателей.

Суть другого метода оценки уровня организации производства состоит в том, что предлагается обобщающий показатель, характеризующий отношение степени использования трудовых и материальных ресурсов и основных производственных фондов к их фактическим величинам.

2.4 Организация производственного процесса в ПМР

Республика располагает значительным промышленным потенциалом. В состав промышленного комплекса входят следующие отрасли: электроэнергетика, черная металлургия, машиностроение и металлообработка, электротехническая, химическая, деревообрабатывающая, мебельная, полиграфическая, стекольная, легкая промышленность, промышленность строительных материалов.

Промышленность включает 144 предприятия с различными формами собственности: 113 из них государственных, 9 - арендных, 11 акционерных обществ, 6 - коллективных предприятий.

Приднестровская Молдавская республика полностью обеспечивает себя электроэнергией собственных электростанций (Молдавская ГРЭС на Кучурганском лимане, Дубоссарская ГЭС на Днестре) и является экспортером электроэнергии в страны СНГ и дальнего зарубежья. Восточные и юго-восточные электрические сети представлены кабельными сетями, воздушными линиями передач, кабельными линиями различной мощности и протяженности.

Многие виды продукции, выпускаемые в Приднестровье, получили сертификаты, закрепляющие соответствие их качества мировым стандартам. Республика осуществляет внешнеэкономическую деятельность с 58 странами по экспорту, и с 59 странами по импорту. Среднегодовой внешнеторговый оборот предприятий составляет 770 млн. долларов США.

Важнейшими видами промышленной продукции, производимой предприятиями Приднестровья являются электроэнергия, оборудование для литейного производства, крупные электромашины, низковольтная аппаратура, кабельная продукция, электроизоляционные материалы, стальной прокат, насосы, цемент, стеклопластик (и изделия из него), мебель, хлопчатобумажные ткани, обувь, швейные изделия. Хорошо зарекомендовали себя за пределами республики такие предприятия, как “Молдавский металлургический завод”, Рыбницкий насосный, “Молдавизолит”, “Экспериментальный металлолитографии", “Электромаш”, "Молдавкабель", Тираспольский и Бендерский электроаппаратные заводы, Рыбницкий цементно-шиферный комбинат, "Тиротекс" и ряд других.

Организация производственного процесса на примере завода “Металлолитографии”

Основными направлениями деятельности завода является - производство, реализация и поставка металлической упаковки. Основные виды выпускаемой продукции - укупороченные изделия, жестетара, лакопечатная продукция.

Завод также производит лакирование и литографирование жести для других потребителей, изготовляющих тару для консервирования сельскохозяйственной продукции.

Общая структура предприятия включает производственные подразделения, где непосредственно осуществляется процесс изготовления продукции, органы управления предприятием и организация по обслуживанию коллектива работников.

Планирование и организация выпуска продукции определяет состав, качество и количество продукции, подлежащей изготовлению и поставке потребителям в плановом периоде. На основе плана производства определяется потребность в производственных ресурсах и экономические результаты деятельности предприятия при разработке плана производства.

Для нормальной организации производственного процесса соблюдаются все основные принципы:

- принцип специализации - на заводе трудятся люди различных специальностей и квалификации. Они работают над конкретными деталями, сборочными единицами и следят ха ходом производственного процесса. На данном предприятии существует производственный отдел, задачами которого является контроль, регулирование и слежение за ходом производственного процесса.

- принцип непрерывности процесса - на заводе ежемесячно разрабатывается сводная таблица по обеспечению сырьем. В соответствии с этим определяется, какое сырье понадобится в данном месяце для целей производства, и какое количество сырья находится на центральном складе и в цеху. Затем рассчитывают отклонение между суммой остатка и итоговой суммой каждого наименования материала для производства продукции. Продукцию, которую будет изготовлять в текущем месяце определяют за счет заказов.

- принцип пропорциональности - оперативное управление пересекается с регулированием производства. Каждый день управленческим персоналом выполняется оперативный учет, контроль и анализ хода производства. Диспетчерский контроль следит за ходом выполнения производственной программы. Для производства продукции предприятие использует различное сырье и материалы. Обеспечение производства сырьем и материалами осуществляет ОМТС. То есть производство напрямую зависит от того, как своевременно будут поставлены материалы и сырье, а так же от качества последних.

- принцип параллельности - на предприятии основное производство осуществляется в литейно-производственном и жестебаночном цехе. В этих цехах осуществляются стадии производственного процесса от изготовления заготовок до получения крышки или банки.

- принцип прямоточности - оперативный производственный менеджмент характеризуется принятием управленческим персоналом решений в реально складывающейся или сложившейся производственной ситуации. Для оперативного производственного менеджмента в цехах характерно строгая регламентация выполнения работ во времени по каждой позиции производственной программы и номенклатурно-календарного плана в зависимости от фактически складывающейся производственной ситуации.

- принцип ритмичности - разработка производственной программы на заводе рассчитывается на год или по кварталам. Производственная программа доводится до каждого подразделения. В цехах на основании производственной программы составляются программы по запуску и выпуску изделий.

- принцип гибкости - цены на продукцию устанавливаются заводом и сориентированы ценами конкурентов и спросом. На заводе действует система скидок. Цены согласовываются с потребителем. Гибкость в работе должна проявляться в том, чтобы заранее предусмотреть возможности дальнейшего развития предприятия в связи с изменением коньюктуры рынка. Исходя из этого при разработке производственной программы формулируются цели, определяются (если это необходимо) мероприятия по реконструкции предприятия или совершенствованию организации и производственного менеджмента, устанавливаются отношения с внешней средой в части поставок материалов, комплектующих изделий и т.д. В современных условиях формирование производственных программ основывается на единых принципах получения максимума прибыли.

Таким образом, организация производства - это система мер, направленных на рационализацию сочетания в пространстве и времени вещественных элементов и людей, занятых в процессе производства.

Под организацией производственного процесса понимают методы подбора и сочетания его элементов в пространстве и времени с целью достижения эффективного конечного результата.

Главной задачей организации производства является максимальное удовлетворение потребностей общества.

Множество производственных процессов, происходящих на предприятии, представляет собой совокупный производственный процесс. Процесс производства каждого отдельного вида продукции предприятия называют частным производственным процессом. В свою очередь в частном производственном процессе могут быть выделены частичные производственные процессы как законченные и технологически обособленные элементы частного производственного процесса, не являющиеся первичными элементами производственного процесса (он, как правило, осуществляется рабочими разных специальностей с использованием оборудования различного назначения).

По целевому назначению выделяют процессы основные, вспомогательные и обслуживающие.

Современный уровень научно-технического прогресса предполагает соблюдение гибкости организации производства. Традиционные принципы организации производства ориентированы на устойчивый характер производства - стабильную номенклатуру продукции, специальные виды оборудования и т.п.

Экономика является неотъемлемой частью существования общества. Она никогда не стоит на месте. С каждым годом растет количество предприятий. И для его процветание необходимо приложить максимум усилий. Поэтому, выбрав правильную систему мер и методов организации, предприятие будет успешно развиваться.

Раздел 3. Охрана труда. Меры безопасности при техническом обслуживание электронной техники

.1 Анализ условий труда

В цивилизованном обществе большое значение придается условиям труда и их улучшению. Условия труда определяются состоянием производственной обстановки (среды), которая включает в себя социально-экономические, материально-вещественные, производственные и природные элементы.

Условия труда представляют собой совокупность элементов производственной среды, оказывающих влияние на здоровье и работоспособность человека в процессе труда.

При рассмотрении элементов, составляющих условия труда, необходимо исходить прежде всего из принципа единства организма и окружающей его среды, провозглашенного великим русским ученым И.М. Сеченовым. Это единство может быть уравновешенным, и тогда условия труда оцениваются как благоприятные; оно может быть неуравновешенным из-за отрицательного влияния каких-либо элементов, в связи с чем условия труда оцениваются как неблагоприятные.

Благоприятными следует считать такие условия труда, когда количественная и качественная совокупность образующих их элементов оказывает на человека воздействие, способствующее духовному и физическому развитию личности, формированию у работников творческого отношения к труду, чувства удовлетворения им.

К неблагоприятным относятся такие условия труда, когда их воздействие способно вызвать у человека глубокое утомление, которое, накапливаясь, может привести к болезненному состоянию или вызвать профессиональную патологию; вследствие отрицательного влияния условий труда у работников может сформироваться отрицательное мнение о работе.

Требования, предъявляемые к условиям труда на производстве, определяются необходимостью обеспечения таких условий труда на рабочем месте, при которых исключено неблагоприятное влияние на работоспособность и здоровье работающих и могут быть обеспечены оптимальные границы разделения и кооперации труда, а в конечном итоге повышение эффективности и качества труда.

На предприятиях, в организациях должны строго соблюдаться санитарные нормы и правила, предельно допустимые концентрации (ПДК) вредных веществ и предельно допустимые уровни (ПДУ). Разработка санитарных норм и требований особенно важна при проектировании новой техники, технологии и производственных объектов.

3.2 Характеристика санитарно- гигиенических условий труда

По определению в ГОСТ 12.1.005-88 “Гигиенические требования к микроклимату производственных помещений ”- это климат внутренней среды этих помещений, который определяется действующими на организм человека сочетаниями температуры, влажности и скорости движения воздуха, а также температурой окружающих поверхностей.

Общее состояние и производительность труда работающих в значительной степени зависит от микроклимата производственного помещения.

Температура воздуха - одна из ведущих факторов, определяющих микроклимат производственных помещений.

Влажность воздуха - это содержание в нём паров воды.

Физиологически оптимальной является относительная влажность в пределах 40…60%. Повышенная влажность воздуха в сочетании низкими температурами оказывает значительное охлаждающее действие, а в сочетании с высокими способствует перегреванию организма.

Подвижность воздуха. Человек начинает ощущать движение воздуха при его скорости 0,1 м/с.

Под оптимальными микроклиматическими условиями понимают такие сочетания параметров микроклимата, которые при длительном систематическом воздействии на человека обеспечивают сохранение нормального функционального и теплового состояния организма без напряжения механизма терморегуляции.

Допустимыми микроклиматическими условиями называют такие сочетания параметров микроклимата, которые при длительном и систематическом воздействии на человека могут вызвать приходящие быстро нормализующиеся изменения функционального и теплового состояния организма и напряжённую работу механизма терморегуляции, не выходящую за пределы физиологических приспособительных возможностей.

Вентиляция. Под вентиляцией понимают систему мероприятий и устройств, предназначенных для обеспечения на постоянных рабочих местах, в рабочей и обслуживаемой зонах помещений метеорологических условий, соответствующих гигиеническим и техническим требованиям.

В зависимости от способа перемещения воздуха различают вентиляцию естественную и механическую.

3.3 Защита от шума и вибрации на рабочих местах

Шумом считается всякий нежелательный для человека звук. Действие шума на организм человека зависит от уровня звукового давления, характера шума (стабильный, тональный, импульсный) и индивидуальных особенностей человека. Человек, работая при шуме, привыкает к нему, но продолжительное действие сильного шума вызывает общее утомление и может привести глухоте. Действуя на центральную нервную систему, шум оказывает влияние на весь организм. От сильного шума притупляется острота зрения, изменяются ритмы дыхания, сердечной деятельности, повышается кровяное давление, замедляется процесс пищеварения.

Вибрация неблагоприятно действует на организм человека. Она также отрицательно влияет на работу машин и механизмов, поэтому вопросу борьбы с вибрацией придается большое значение. Длительное воздействие вибрации на человека может привести к вибрационной болезни - стойкому нарушению физиологических функций организма человека. При виброболезни наблюдается изменение сердечной деятельности, общее возбуждение, а также изменение общего состояния. Кроме того, вибрации влияют на костно-суставный аппарат, мышцы, периферийное кровоснабжение, зрение, слух.

В соответствии с ГОСТ 12.1.003-83 «Шум. Общие требования и безопасность» уровни звукового давления для программистов лежат в пределе 45-65 дБ в зависимости от частоты шума. Фактически уровень звукового давления не превышает 30дБ, что соответствует установленным нормам и требованиям.

Профилактические мероприятия по защите от шумов и вибрации заключаются в уменьшении шума и вибрации в источнике образования и на пути их распространения, а также индивидуальными средствами защиты, санитарными и организационными мерами. Применяются средства, снижающие шум механического, аэродинамического, электромагнитного и гидродинамического происхождения.

Рационально и эффективно уменьшать шум и вибрацию в источнике возникновения. Это осуществляется: изменением технологического процесса с заменой шумною оборудования бесшумным; применением для деталей капрона, резины, текстолита, пластмассы; своевременным проведением профилактических мероприятии и смазочных операций; центрированием и балансировкой деталей; уменьшением зазоров в сочленениях.

Шум и вибрацию можно уменьшать на пути их распространения посредством звуко- и виброизоляции. Звукоизоляцию осуществляют, устраивая ограждающие конструкции (кожухи, кабины), применяя звукопоглощающие материалы и конструкции (перфорированные конструкции с пористым заполнителем, акустические плиты).

В качестве вибропоглощающих покрытий обычно используют мастики № 579, 580, типа ВД-17 и простейшие конструкции (слои рубероида, проклеенные битумом или синтетическим клеем). Аэродинамический шум гасят глушителями различных конструкции.

В качестве средств защиты от вибрации при работе с механизированным инструментом применяют антивибрационные рукавицы и специальную обувь. Антивибрационные полусапоги имеют многослойную резиновую подошву.

Длительность работы с вибрирующим инструментом не должна превышать 2/3 рабочей смены. Операции между работниками распределяют так, чтобы продолжительность непрерывного действия вибрации, включая микропаузы, не превышала 15...20 мин. Рекомендуется делать перерывы на 20 мин через 1...2 ч от начала смены и по 30 мин через 2 ч. после обеда.

Во время перерывов следует проводить гимнастику по специальному комплексу и гидропроцедуры - ванночки при температуре воды 38°С, а также самомассаж конечностей.

3.4 Электробезопасность. Требования безопасности при работе с электрооборудованием

Электробезопасность обеспечивается соответствующей конструкцией электрооборудования, применением технических способов и средств защиты, организационными и техническими мероприятиями, согласно ГОСТ 12.1.019-79, изменение 01-86 “Электробезопасность. Общие требования”.

Конструкция электрооборудования должна соответствовать условиям его эксплуатации, обеспечивать защиту персонала от соприкосновения с токоведущими частями и оборудования - от попадания внутрь посторонних предметов и воды.

Наиболее распространёнными техническими средствами защиты являются защитное заземление и зануление.

При пользовании средствами вычислительной техники и периферийным оборудованием каждый работник должен внимательно и осторожно обращаться с электропроводкой, приборами и аппаратами и всегда помнить, что пренебрежение правилами безопасности угрожает и здоровью, и жизни человека.

Во избежание поражения электрическим током необходимо твердо знать и выполнять следующие правила безопасного пользования электроэнергией:

. Необходимо постоянно следить на своем рабочем месте за исправным состоянием электропроводки, выключателей, штепсельных розеток, при помощи которых оборудование включается в сеть, и заземления. При обнаружении неисправности немедленно обесточить электрооборудование, оповестить администрацию. Продолжение работы возможно только после устранения неисправности.

. Во избежание повреждения изоляции проводов и возникновения коротких замыканий не разрешается:

а) вешать что-либо на провода;

б) закрашивать и белить шнуры и провода;

в) закладывать провода и шнуры за газовые и водопроводные трубы, за батареи отопительной системы;

г) выдергивать штепсельную вилку из розетки за шнур, усилие должно быть приложено к корпусу вилки.

. Для исключения поражения электрическим током запрещается:

а) часто включать и выключать компьютер без необходимости;

б) прикасаться к экрану и к тыльной стороне блоков компьютера;

в) работать на средствах вычислительной техники и периферийном оборудовании мокрыми руками;

г) работать на средствах вычислительной техники и периферийном оборудовании, имеющих нарушения целостности корпуса, нарушения изоляции проводов, неисправную индикацию включения питания, с признаками электрического напряжения на корпусе

д) класть на средства вычислительной техники и периферийное оборудование посторонние предметы.

. Запрещается под напряжением очищать от пыли и загрязнения электроооборудование.

. Пользоваться неисправным электрическим инструментом.

. Запрещается проверять работоспособность электрооборудования в неприспособленных для эксплуатации помещениях с токопроводящими полами, сырых, не позволяющих заземлить доступные металлические части.

. Ремонт электроаппаратуры производится только специалистами-техниками с соблюдением необходимых технических требований.

. Недопустимо под напряжением проводить ремонт средств вычислительной техники и периферийного оборудования.

. Во избежание поражения электрическим током, при пользовании электроприборами нельзя касаться одновременно каких-либо трубопроводов, батарей отопления, металлических конструкций, соединенных с землей.

. При пользовании электроэнергией в сырых помещениях соблюдать особую осторожность.

. При обнаружении оборвавшегося провода необходимо немедленно сообщить об этом администрации, принять меры по исключению контакта с ним людей. Прикосновение к проводу опасно для жизни.

. Спасение пострадавшего при поражении электрическим током главным образом зависит от быстроты освобождения его от действия током.

Во всех случаях поражения человека электрическим током немедленно вызывают врача. До прибытия врача нужно, не теряя времени, приступить к оказанию первой помощи пострадавшему.

Необходимо немедленно начать производить искусственное дыхание, наиболее эффективным из которых является метод «рот в рот» или «рот в нос», а также наружный массаж сердца.

3.5 Требования к организации и оборудованию рабочего места техника

К работе на персональном компьютере допускаются лица, прошедшие обучение безопасным методам труда, вводный инструктаж, первичный инструктаж на рабочем месте.

Работник обязан:

Выполнять только ту работу, которая определена его должностной инструкцией.

Содержать в чистоте рабочее место.

Соблюдать режим труда и отдыха в зависимости от продолжительности, вида и категории трудовой деятельности.

Соблюдать меры пожарной безопасности.

Рабочие места с компьютерами должны размещаться таким образом, чтобы расстояние от экрана одного видеомонитора до тыла другого было не менее 2,0 м, а расстояние между боковыми поверхностями видеомониторов - не менее 1,2 м.

Рабочие места с персональными компьютерами по отношению к световым проемам должны располагаться так, чтобы естественный свет падал сбоку, преимущественно слева.

Оконные проемы в помещениях, где используются персональные компьютеры, должны быть оборудованы регулируемыми устройствами типа: жалюзи, занавесей, внешних козырьков и др.

Рабочее место техника при ремонте и наладке электронной техники. Конструкция стола может быть самой различной, в зависимости от конкретных условий. Стол шириной до 100 см наиболее удобен, так как при большей ширине трудно дотянуться до стены, где могут висеть инструменты. Рабочее место необходимо оборудовать штепсельной розеткой (лучше даже несколькими) с предохранителем. Не следует устанавливать розетки непосредственно на столе - они будут мешать, их лучше поместить на стене перед столом.

Стол, как и рабочий инструмент, требует соблюдения определенных правил обращения. На рабочем столе, например, никогда не следует производить тяжелые работы - отесывать доски или рубить металл. Тесать нужно на массивной колоде, а для .рубки металла следует иметь стальную болванку или кусок рельса.

Располагая инструменты у стола на щите, прикрепленном к стене, наиболее часто используемые нужно помещать ближе к рабочему месту. К щиту инструменты можно прикреплять проволочными крючками, прижимами и т. д.

Чтобы ясно было видно место каждого инструмента, рекомендуется нанести краской контур его в том положении, в каком он должен находиться на щите. Инструменты можно хранить и в ящике стола, и в переносном ящике. Однако открытый способ хранения удобнее, так как он дает возможность постоянно иметь все инструменты под рукой, а по пустому месту на щите сразу видеть, что отсутствует. Нужна такая система размещения, чтобы каждый инструмент имел свое место, откуда его можно легко взять.

Для хранения мелких радиодеталей (конденсаторов небольшой емкости, постоянных резисторов, транзисторов, диодов и т. д.) можно использовать картотечный способ и хранить такие карточки в вертикальном положении в отдельном ящике. Чтобы сделать карточку для деталей в листе картона размерами с обычный тетрадный лист нужно проколоть шилом отверстия и вставить в них выводы деталей, загнув выводы с противоположной стороны. Если на каждом листе будут закреплены детали только одинакового номинала, то не придется тратить много времени на поиски нужной детали во время работы. Для удобства сверху на каждой карточке следует сделать надпись с указанием номинала детали.

Удобно также хранить мелкие детали (резисторы и конденсаторы) в отдельных коробках, разобранными по номиналам и типам.

Приступая к работе, нужно прежде всего ознакомиться, как следует пользоваться материалами и инструментами.

Все необходимые инструменты и материалы нужно приготовить до начала работы, чтобы потом не тратить напрасно время на поиски.

Инструмент и рабочее место всегда нужно содержать в чистоте. Никогда не работать тупым или неисправным инструментом. Устранять мелкие неисправности инструмента сразу, как только заметили их. Окончив работу, класть инструменты на место.

Не нужно спешить в работе: хороший мастер все делает быстро, но не спеша, его быстрота - результат умения, опыта и знаний.

3.6 Статическое электричество и электромагнитное излучение

По определению ГОСТ 12.1.006-84 «Статическое электричество. Искробезопастность» термин «статическое электричество» означает совокупность явлений, связанных с возникновением, сохранением и релаксацией свободного электрического заряда на поверхности и в объеме диэлектриков и полупроводников, изделий на изолированных проводниках.

Электризация материалов часто препятствует нормальному ходу технологических процессов производства, а также создает дополнительную пожарную опасность вследствие искрообразования при разрядах при наличии в помещениях, резервуарах и ангарах горючих паро- и газо-воздушных смесей.

Устранение образования значительных статического электричества достигается при помощи следующих мер:

Заземление металлических частей производственного оборудования;

Увеличение поверхностной и объемной проводимости диэлектриков;

Предотвращение накопления значительных статических зарядов путем установки в зоне электрозащиты специальных неитрализаторов.

Неметаллическое оборудование считается заземленным, если сопротивление стекания тока на землю с любых точек его внешней и внутренней поверхностей не превышает 10 Ом при относительной влажности воздуха 60%. Такое сопротивление обеспечивает достаточно малое значение постоянной времени релаксации зарядов.

Нейтрализация электрических зарядов может осуществляться путем ионизации воздуха, разделяющего заряженные тела.

Для защиты обслуживающего персонала от случайного прикосновения к электродам их снабжают кожухами.

Отвод статического электричества с тела человека осуществляется путем устройства электропроводящих полов в производственных помещениях, рабочих площадок и других приспособлений, а также обеспечение токопроводящей обувью и антистатическими халатами.

Использование в промышленности систем, связанных с генерированием, передачей и потреблением энергии электромагнитных колебаний, сопровождается возникновением в окружающей среде электромагнитных полей. При превышении допустимых уровней воздействия электромагнитного поля на человека может возникнуть профессиональное заболевание.

Степень воздействия электромагнитных излучений на организм человека зависит от диапазона частот, интенсивности воздействия соответствующего фактора, продолжительности облучения, характера излучения, режима облучения, размеров облучаемой поверхности тела и индивидуальных особенностей организма.

При систематическом воздействии электромагнитных излучений, превышающих допустимые значения, происходят функциональные нарушения нервной, эндокринной и сердечно- сосудистой систем человека, а также некоторые изменения состава крови, особенно выраженные при высокой напряженности электрического поля.

При превышении допустимой напряженности и плотности потока энергии электромагнитного поля необходимо применять основные средства и способы защиты:

· экранирование рабочего места;

· удаление рабочего места от источника электромагнитного поля;

· рациональное размещение в рабочем помещении оборудования, излучающего электромагнитную энергию;

· установление рациональных режимов работы оборудования и обслуживающего персонала;

· применение предупреждающей сигнализации (световой, звуковой);

· применение средств индивидуальной защиты.

Эффективным и часто применяемым методом защиты от низкочастотных и радиоизлучений является экранирование. Для экранов используют главным образом материалы с большой электрической проводимостью (медь, латунь, алюминий и его сплавы, сталь). Экраны должны быть заземлены.

В качестве средств индивидуальной защиты применяется спецодежда, изготовленная из металлизированной ткани в виде комбинезонов, халатов.

Используя спецодежду из металлизированной ткани необходимо особо строго соблюдать требования электробезопасности <http://5854081.ru>.

3.7 Причины возникновения коротких замыканий, их профилактика

Короткое замыкание возникает при соединении двух проводов цепи, присоединенных к разным зажимах источника через очень малое сопротивление, которое сравнимо с сопротивлением самих проводов.

Ток при коротком замыкании может превысить номинальный ток в цепи во много раз. В таких случаях цепь должна быть разорвана раньше, чем температура проводов достигнет опасных значений.

Для защиты проводов от перегрева и предупреждения воспламенения окружающих предметов в цепь включаются аппараты защиты, например, плавкие предохранители).

Основной причиной возникновения коротких замыканий является нарушения изоляции электрооборудования.

Нарушения изоляции вызываются:

.Перенапряжениями,

. Прямыми ударами молнии,

. Старением изоляции,

. Механическими повреждениями изоляции, проездом под линиями негабаритных механизмов,

. Неудовлетворительным уходом за оборудованием.

Часто причиной повреждений в электрической части электроустановок являются неквалифицированные действия обслуживающего персонала.

Для защиты от короткого замыкания принимают специальные меры:

1.      Ограничивающие ток короткого замыкания:

o     устанавливают токоограничивающие электрические реакторы <http://ru.wikipedia.org/wiki/%D0%AD%D0%BB%D0%B5%D0%BA%D1%82%D1%80%D0%B8%D1%87%D0%B5%D1%81%D0%BA%D0%B8%D0%B9_%D1%80%D0%B5%D0%B0%D0%BA%D1%82%D0%BE%D1%80>

o     применяют распараллеливание электрических цепей, то есть отключение секционных и шиносоединительных выключателей

o     используют понижающие трансформаторы с расщепленной обмоткой низкого напряжения

o     используют отключающее оборудование - быстродействующие коммутационные аппараты с функцией ограничения тока короткого замыкания то есть плавкие предохранители <http://ru.wikipedia.org/wiki/%D0%9F%D1%80%D0%B5%D0%B4%D0%BE%D1%85%D1%80%D0%B0%D0%BD%D0%B8%D1%82%D0%B5%D0%BB%D1%8C_%28%D1%8D%D0%BB%D0%B5%D0%BA%D1%82%D1%80%D0%B8%D1%87%D0%B5%D1%81%D1%82%D0%B2%D0%BE%29>, автоматические выключатели

.        Применяют устройства релейной защиты <http://ru.wikipedia.org/wiki/%D0%9A%D0%B0%D1%82%D0%B5%D0%B3%D0%BE%D1%80%D0%B8%D1%8F:%D0%A0%D0%B5%D0%BB%D0%B5%D0%B9%D0%BD%D0%B0%D1%8F_%D0%B7%D0%B0%D1%89%D0%B8%D1%82%D0%B0> для отключения поврежденных участков цепи

3.8 Требования безопасности при пайке

При выплавке припоев и пайке выделяются вредные для здоровья людей газы, пары, пыль, особенно лития, натрия, калия, кадмия, цинка, бериллия, которые могут вызвать отравление организма, поражение кожи, раздражение сетчатки глаз и т. д. Неосторожное обращение с водородом и водородосодержащими газами может привести к взрыву и несчастным случаям.

В связи с этим, перед изготовлением припоев и пайкой необходимо хорошо знать и точно соблюдать основные правила техники безопасности. Помещение, в котором производится выплавка припоев, пайка изделий, должно удовлетворять требованиям «Санитарных норм проектирования промышленных предприятий» и «Противопожарных норм строительного проектирования промышленных предприятий и населенных мест».

Воздух в рабочем помещении должен быть чист от вредных газов, паров и пыли. Стены и полы должны быть гладкими, стены должны быть покрашены масляной краской, полы облицованы плиткой; необходимо постоянно поддерживать их чистоту. Рабочее помещение должно быть оборудовано приточно-вытяжной вентиляцией, при неисправности которой работы прекращаются. К умывальникам помещения должна быть подведена холодная и горячая вода.

При пaйке детaлей испoльзуют рaзличные припoи и флюсы, кoтoрые сoдержaт вредные для здoрoвья рaбoтaющих элементы - этo свинец, цинк, литий, кaлий, нaтрий, кaдмий и др. Эти элементы и их oкислы в виде пыли, пaрoв и aэрoзoлей зaгрязняют вoздух в пoмещении. Пoэтoму, крoме oбщей вентиляции, рaбoчие пoсты пaяльщикoв дoлжны быть oбoрудoвaны местными oтсoсaми.

Для зaщиты рук oт пoпaдaния нa них кислoтных флюсoв и oт oжoгoв рaсплaвленным припoем следует применять рукaвицы из aсбестoвoй ткaни.

Прoмывку детaлей oт oстaткoв кислoтных флюсoв следует прoизвoдить в специaльных вaннaх. Слив вoды из вaнны в кaнaлизaцию дoпускaется тoлькo пoсле сooтветствующей oчистки вoды.

При рaбoте пaяльникoм oбязaтельнo сoблюдaют следующие прaвилa: ручкa электрическoгo пaяльникa дoлжнa быть сухoй, не прoвoдящей тoкa; гoрячий пaяльник уклaдывaют нa специaльную метaллическую пoдстaвку; перегретый пaяльник не oхлaждaют в жидкoсти; зaпрещенo выпoлнять пaйку детaлей, в кoтoрых нaхoдились легкoвoсплaменяющиеся мaтериaлы без предвaрительнoй oчистки и прoмывки детaлей, a тaкже вблизи легкoвoсплaменяющихся мaтериaлoв, при отсутствии местной вентиляции; тщaтельнo моют руки после рaбoты.

3.9 Требования пожарной безопасности. Причина возникновения пожаров в электронной аппаратуре

Пожарная безопасность - это состояние объекта, при котором исключается возможность пожара, а в случае его возникновения используются необходимые меры по устранению негативного влияния опасных факторов пожара на людей, сооружения и материальных ценностей

Пожарная безопасность может быть обеспечена мерами пожарной профилактики и активной пожарной защиты. Пожарная профилактика включает комплекс мероприятий, направленных на предупреждение пожара или уменьшение его последствий. Активная пожарная защита - меры, обеспечивающие успешную борьбу с пожарами или взрывоопасной ситуацией.

Пожар - это горение вне специального очага, которое не контролируется и может привести к массовому поражению и гибели людей, а также к нанесению экологического, материального и другого вреда.

Горение - это химическая реакция окисления, сопровождающаяся выделением теплоты и света. Для возникновения горения требуется наличие трех факторов: горючего вещества, окислителя и источника загорания.

Наибольшая скорость горения наблюдается в чистом кислороде. При уменьшении содержания кислорода в воздухе горение прекращается.

Горючими называются вещества, способные самостоятельно гореть после изъятия источника загорания.

По степени горючести вещества делятся на: горючие (сгораемые), трудногорючие (трудносгораемые) и негорючие (несгораемые).

В производственных условиях может иметь место образование смесей горючих газов или паров в любых количественных соотношениях. Однако взрывоопасными эти смеси могут быть только тогда, когда концентрация горючего газа или пара находится между границами воспламеняемых концентраций.

Наибольшую опасность по взрыву представляет взвешенная в воздухе пыль. Однако и осевшая на конструкциях пыль представляет опасность не только с точки зрения возникновения пожара, но и вторичного взрыва, вызываемого в результате взвихривания пыли при первичном взрыве.

Мероприятия по пожарной профилактике разделяются на организационные, технические, режимные и эксплуатационные.

Организационные мероприятия: предусматривают правильную эксплуатацию машин и внутризаводского транспорта, правильное содержание зданий, территории, противопожарный инструктаж и тому подобное.

Технические мероприятия: соблюдение противопожарных правил и норм при проектировании зданий, при устройстве электропроводов и оборудования, отопления, вентиляции, освещения, правильное размещение оборудования.

Режимные мероприятия - запрещение курения в неустановленных местах, запрещение сварочных и других огневых работ в пожароопасных помещениях и тому подобное.

Эксплуатационные мероприятия - своевременная профилактика, осмотры, ремонты и испытание технологического оборудования.

Наиболее частыми причинами тушения пожаров при эксплуатации электроустановок являются: короткие замыкания в электропроводниках и электрическом оборудование, воспламение горючих материалов, находящихся в непосредственной близости от электроприемников, включенных на продолжительное время и оставленных без присмотра, токовые перегрузки электропроводов и электрооборужования, большие переходные сопротивления в местах контактных соединений, появление напряжения на строительных конструкциях и технологическом оборудование, попадание раскаленных частиц нити накаливания на легкогорючие материалы и др.

Методы тушения пожаров:

Для прекращения горения необходимо: не допустить проникновения в зону горения окислителя (кислорода воздуха), а также горючего вещества; охладить эту зону ниже температуры воспламенения (самовоспламенения); разбавить горючие вещества негорючими; интенсивно тормозить скорость химических реакций в пламени (ингибированием); механически срывать (отрывать) пламя.

Средства тушения возгораний:

К огнегасительным веществам относятся: вода, химическая и воздушно-механическая пены, водные растворы солей, инертные и негорючие газы, водяной пар, галоидоуглеводородные огнегасительные составы и сухие огнетушащие порошки.

Вода - наиболее распространенное и доступное средство тушения. Попадая в зону горения, она нагревается и испаряется, поглощая большое количество теплоты, что способствует охлаждению горючих веществ. При ее испарении образуется пар (из 1 л воды - более 1700 л пара), который ограничивает доступ воздуха к очагу горения. Воду применяют для тушения твердых горючих веществ и материалов, тяжелых нефтепродуктов, а также для создания водяных завес и охлаждения объектов, находящихся вблизи очага пожара. Тонкораспыленной водой можно тушить даже легковоспламеняющиеся жидкости. Для тушения плохо смачивающихся веществ (хлопок, торф) в нее вводят вещества, снижающие поверхностное натяжение.

Пена бывает двух видов: химическая и воздушно-механическая.

Химическая пена образуется при взаимодействии щелочного и кислотного растворов в присутствии пенообразователей.

Воздушно - механическая пена представляет собой смесь воздуха (90 %), воды (9,7 %) и пенообразователя (0,3 %). Растекаясь по поверхности горящей жидкости, она блокирует очаг, прекращая доступ кислорода воздуха. Пеной можно тушить и твердые горючие материалы.

Инертные и негорючие газы (диоксид углерода, азот, водяной пар) понижают концентрацию кислорода в очаге горения. Ими можно гасить любые очаги, включая электроустановки. Исключение составляет диоксид углерода, который нельзя применять для тушения щелочных металлов, поскольку при этом происходит реакция его восстановления.

Огнегасительные средства - водные растворы солей. Распространены растворы бикарбоната натрия, хлоридов кальция и аммония, глауберовой соли и др. Соли, выпадая в осадок из водного раствора, образуют изолирующие пленки на поверхности.

Галоидоуглеводородные огнегасительные средства позволяют тормозить реакции горения. К ним относятся: тетрафтордибромметан (хладон 114В2), бромистый метилен, трифторбромметан (хладон 13В1) и др. Эти составы имеют большую плотность, что повышает их эффективность, а низкие температуры замерзания позволяют использовать при низких температурах. Ими можно гасить любые очаги, включая электроустановки, находящиеся под напряжением.

Огнетушащие порошки представляют собой мелкодисперсные минеральные соли с различными добавками, препятствующими их слеживанию и комкованию. Их огнетушащая способность в несколько раз превышает способность галоидоуглеводородов. Они универсальны, так как подавляют горение металлов, которые нельзя тушить водой. В состав порошков входят: бикарбонат натрия, диаммонийфосфат, аммофос, силикагель и т. п.

Все виды пожарной техники подразделяются на следующие группы: пожарные машины, установки пожаротушения, огнетушители, средства пожарной сигнализации, пожарные спасательные устройства, пожарный ручной инструмент, пожарный инвентарь.

Места размещения пожарной техники должны быть обозначены указательными знаками. Подходы к огнетушителям и другому оборудованию пожаротушения должны быть удобны и не загромождены.

В случае возникновения пожара действия работников в первую очередь должны быть направлены на обеспечение безопасности людей, их эвакуацию и спасение.

Каждый работник, обнаруживший пожар и его признаки (задымление, запах горения или тления различных материалов, повышение температуры и т.п.) обязан:

а) немедленно сообщить об этом по телефону в пожарную часть (при этом необходимо четко назвать адрес учреждения, место возникновения пожара, а также сообщить свою должность и фамилию).

б) задействовать систему оповещения людей о пожаре, приступить самому и привлечь других лиц к эвакуации людей из здания в безопасное место согласно плану эвакуации;

в) известить о пожаре руководителя предприятия, организации или заменяющего его работника;

г) организовать встречу пожарных подразделений, принять меры по тушению пожара имеющимися на предприятия средствами пожаротушения.

При проведении эвакуации и тушении пожара необходимо:

а) с учетом сложившейся обстановки определить наиболее безопасные эвакуационные пути и выходы, обеспечивающие возможность эвакуации людей в безопасную зону в кратчайший срок;

б) исключить условия, способствующие возникновению паники;

в) при тушении следует стремиться в первую очередь обеспечить благоприятные условия для безопасной эвакуации людей;

г) воздержаться от открывания окон и дверей, а также от разбивания стекол во избежание распространения огня и дыма в смежные помещения. Покидая помещения или здание, следует закрывать за собой все двери и окна.

Таим образом охрана труда - это свод законодательных актов и правил, соответствующих им гигиенических, организационных, технических, и социально-экономических мероприятий, обеспечивающих безопасность, сохранение здоровья и работоспособность человека в процессе труда (Закон ПМР “Об охране и безопасности труда”, ГОСТ 12.1.003 “Общие требования безопасности”).

Охрана труда и здоровье трудящихся на производстве, когда особое внимание уделяется человеческому фактору, становится наиважнейшей задачей. При решении задач необходимо четко представлять сущность процессов и отыскать способы, устраняющие влияние на организм вредных и опасных факторов и исключающие по возможности травматизм и профессиональные заболевания.

Охрана труда неразрывно связана с науками: физиология, профессиональная патология, психология, экономика и организация производства, промышленная токсикология, комплексная механизация и автоматизация технологических процессов и производства.

При улучшении и оздоровлении условий работы труда важными моментами, является комплексная механизация и автоматизация технологических процессов, применение новых средств вычислительной техники и информационных технологий в научных исследованиях и на производстве.

Осуществление мероприятий по снижению производственного травматизма и профессиональной заболеваемости, а также улучшение условий работы труда ведут к профессиональной активности трудящихся, росту производительности труда и сокращение потерь при производстве. Так как охрана труда наиболее полно осуществляется на базе новой технологии и научной организации труда, то при разработке и проектировании объекта используются новейшие разработки.

Заключение

В дипломной работе рассмотрен принцип построения устройства для исследования работы видеопамяти. Для реализации видеопамяти используются такие элементы как мультиплексор, компаратор, счетчик адресов, статические регистры. Эти устройства реализуются на базе логических элементов И, ИЛИ, ИЛИ-НЕ, И-НЕ и инверторов.

В настоящее время видеопамять стремительно развивается. На рынке компьютерной техники память VRAM заняла прочное место. Она является двухпортовой памятью. Ее два порта обеспечивают осуществление одновременного ввода и вывода графических данных. Выгода от использования двухпортовой памяти в том, что пока графические данные передаются и размещаются в буфере экрана, изображение на экране продолжает обновляться за счет графической информации, поступающей из того же буфера экрана и в то же время.

Выполняя дипломную работу, можно сделать вывод, что с помощью электронной среды «Protel» эффективно моделируются и конструируются различные цифровые устройства на логических элементах.

В экономической части рассмотрены вопросы, связанные с организацией производственного процесса.

Организация производства - это система мер, направленных на рационализацию сочетания в пространстве и времени вещественных элементов и людей, занятых в процессе производства.

Под организацией производственного процесса понимают методы подбора и сочетания его элементов в пространстве и времени с целью достижения эффективного конечного результата. Главной задачей организации производства является максимальное удовлетворение потребностей общества.

В части диплома, связанной с охраной труда, рассмотрены основные меры безопасности при техническом обслуживании электронной техники.

Охрана труда - это свод законодательных актов и правил, соответствующих им гигиенических, организационных, технических, и социально-экономических мероприятий, обеспечивающих безопасность, сохранение здоровья и работоспособность человека в процессе труда (Закон ПМР “Об охране и безопасности труда”, ГОСТ 12.1.003 “Общие требования безопасности” ).

Охрана труда и здоровье трудящихся на производстве, когда особое внимание уделяется человеческому фактору, становится наиважнейшей задачей.

При улучшении и оздоровлении условий работы труда важными моментами, является комплексная механизация и автоматизация технологических процессов, применение новых средств вычислительной техники и информационных технологий в научных исследованиях и на производстве.

Осуществление мероприятий по снижению производственного травматизма и профессиональной заболеваемости, а также улучшение условий работы труда ведут к профессиональной активности трудящихся, росту производительности труда и сокращение потерь при производстве. Так как охрана труда наиболее полно осуществляется на базе новой технологии и научной организации труда, то при разработке и проектировании объекта используются новейшие разработки.

Список литературы

Глава 1

1.   Угрюмов Е.П. Цифровая схемотехника. -П.: БХВ, 2004г. - 528с.

2.      Якубовский С.В., Ниссельсон Л.О. и др. Цифровые и аналоговые интегральные микросхемы. М.: Радио и связь. 1990г. - 496с.

.        Касперски К. Техника оптимизации программ. Эффективное использование памяти. -П.: БХВ, 2003г. - 560с.

4.   Скотт Мюллер «Модернизация и ремонт ПК».- М.: Вильямс, 2000г.-1512c.

5.   Алексенко А.Г., Галицын А.А., Иванников А.Д. Проектирование радиоэлектронной аппаратуры на микропроцессорах: Программирование, типовые решения, методы отладки.-М.:Радио и связь,1999г.-420с.

6.      Бокуняев А.А., Борисов Н.М., Варламов Р.Г. Справочная книга конструктора-радиолюбителя. Под ред. Чистякова Н.И.-М.:Радио и связь,2000г.-215с.

.        ГОСТ 2.702-75. Правила выполнения электрических схем.

Глава 2

1.   И.О. Волков, В.К. Скляренко «Экономика предприятия» курс лекций: Москва «ИНФРА-М», 2007

2.      В.Д. Грибов, В.П. Грузинов. М.: «Экономика предприятия», 2006,-360с.

.        В.Я. Крипоч, Г.З. Суша «Экономика предприятия»: Минск «Экономпрес», 2005г.-215с.

.        Н.А. Сафронова «Экономика предприятия». М.: «ЮРИСТЪ», 2007г.-375с.

.        А.И. Ильина, В.П. Волкова «Экономика предприятия» учебное пособие. М.: ООО «Новое издание», 2006г.-460с.

.        Т.В. Яркина «Основы экономики предприятия», М.: ЮРИСТЪ», 2005г.-290с.

.        «Экономика предприятия» Учебник для вузов / под ред. проф. В.Я. Горфинкеля, проф. В.А. Швандара. 2-е изд., перераб. и доп. М.: Банки и биржи, ЮНИТИ, 2005г.-310с.

8.   А.Д. Выварец Экономика предприятия : учебник для студентов вузов. - М.: ЮНИТИ-ДАНА, 2007

.     О.К.Мартынова Контроль качества на предприятии Приложение к журналу “Стандарты и качество”.

Глава 3

1.   В.П. Быстров. Сборник нормативных документов и актов по охране труда предприятия, учреждения, учебного заведения. Симферополь. 2001г.-240с.

2.      Б.А. Князевский Охрана труда. М. «Эксмо».1992г.-260с.

.        В.С. Шкрабак, Г.К. Казлаускас. Охрана труда. М.: «Эксмо», 1989г. -150с.

4.   ГОСТ 12.1.004-91 «Пожарная безопасность»

5.      ГОСТ 12.1.003-83 «Шум. Общие требования безопасности»

.        ГОСТ Р.50923 - 96. Рабочее место .техника, Общие эргономические требования, и требования к произвольной Среде. Методы измерения. Гигиенические критерии' оценки условий труда.

.        Гост 12.1.030-81 «Электробезопасность»

8.   Е.Я. Юдин и др. Борьба с шумом на производстве: Справочник. М.: Машиностроение, 1988г.

Похожие работы на - Разработка электрической схемы макета для исследований работы видеопамяти

 

Не нашли материал для своей работы?
Поможем написать уникальную работу
Без плагиата!
Без нейросетей!