Проектування підсистеми обмежувальних вогнів з заданим рівнем надійності
Технічне завдання
Тема: "Проектування підсистеми
обмежувальних вогнів з заданим рівнем надійності".
Мета:
"Спроектувати підсистему обмежувальних вогнів із заданим рівнем надійності
та розробити основні заходи щодо контролю та забезпечення в процесі їх технічної
експлуатації.
Ціль - спроектувати підсистему ССА з
заданим рівнем надійності.
Обєкт дослідження - надійність
технічної системи
Визначення показників надійності
підсистеми обмежувальних вогнів злітно-посадкової смуги ІІ категорії.
1.1 Проаналізувати вимоги
нормативно технічної документації (СВЦАУ та ІКАО)до підсистеми обмежувальних
вогнів
.2 Проаналізувати параметри ВПП і
розташування вогнів
.3 Обрахувати початкові дані щодо
середнього наробітку до відмови
Інженерний аналіз (предмету
дослідження) підсистеми обмежувальних вогнів злітно-посадкової смуги ІІ
категорії.
.1 Проаналізувати структурну схему
підсистеми обмежувальних вогнів
.2Проаналізувати підсистему
електропостачання аеродромних вогнів з точки зору надійності
.3 Проаналізувати підсистему аеродромних
вогнів з точки зору надійності
Аналіз надійності підсистеми
обмежувальних вогнів злітно-посадкової смуги ІІ категорії.
.4 Визначити критерії відмови
підсистеми аеродромних вогнів
.1 Визначити ймовірності
безвідмовної роботи підсистеми ССА за 12 годин
.1Визначити основні показники
надійності
Висновок
1.
Аналіз
підсистеми обмежувальних вогнів
Відповідно до вимог СВЦАУ:
Обмежувальні вогні повинні бути
передбачені на ЗПС, оснащеній бічними вогнями.
Обмежувальні вогні повинні бути
розміщені на лінії, що перпендикулярна осі ЗПС, на відстані не більш 3 м із
зовнішнього боку кінця ЗПС.
Обмежувальні вогні в кількості не
менш шести встановлюються:
а) з однаковими інтервалами між
рядами бічних вогнів ЗПС,
або
б) двома групами симетрично осі ЗПС
з однаковими інтервалами в кожній групі й інтервалом між цими групами не більш
половини відстані між бічними вогнями.
На ЗПС точного заходу на посадку III
категорії інтервали між обмежувальними вогнями, за винятком інтервалів між
двома найближчими до осі ЗПС вогнями, не повинні перевищувати 6 м.
В якості обмежувальних вогнів
повинні бути використані вогні, що випромінюють червоне світло в бік ЗПС.
.2
Аналіз
параметрів ВПП і розташування вогнів
Враховуючи, що ширина ВПП складає 60
м, при відстані між вогнями 3 метри і відстані між двома симетричними групами
22 метрів, отримуємо, кількість обмежувальних вогнів рівну 20-ти вогням.
1.4 Обраховуємо початкові дані щодо
середнього наробітку до відмови
Маємо наступні величини:
Середній час наробітку до відмови Т0ДС
джерел світла аеродромних вогнів
Середній час наробітку до відмови Т0ОС
оптичної системи аеродромних вогнів
Середній час наробітку до відмови Т0
ІТ ізолювальних трансформаторів (ІТ):
Середній час наробітку на відмову Т0
РЯ регулятора яскравості:
Середній час наробітку до відмови Т0
к кабелю
Середній час відновлення
працездатного стану ТВ КЛ підсистеми електропостачання аеродромних
вогнів:
2. Інженерний аналіз (предмету
дослідження) підсистеми обмежувальних вогнів злітно-посадкової смуги ІІ
категорії
.1 Проаналізувати структурну схему
підсистеми обмежувальних вогнів
Представимо надійнісно-функціональну
схему
Відмова підсистеми ССА може
виникнути з двох причин:
) Відмова ПАВ, що спричинена
відмовою аеродромних вогнів з певних внутрішніх причин (відмова джерела світла
(ДС), оптичної системи (ОС) чи арматури вогню та ін.).
) Відмова ПЕАВ, через відмови її
складових елементів.
2.2 Проаналізуємо підсистему
електропостачання аеродромних вогнів з точки зору надійності
Згідно з наведеним визначенням, до
складу КЛ входять такі елементи:
) Регулятор яскравості (РЯ);
) Кабель;
Отже загальний показник надійності
буде залежати від показників надійності кожного з елементів
2.3 Проаналізуємо підсистему
аеродромних вогнів з точки зору надійності
Аеродромний вогонь, в свою чергу,
сам складається з таких елементів
1)Джерело світла
)Оптична система
)Ізолюючий трансформатор
Отже загальний показник надійності
буде залежати від показників надійності кожного з елементів
.4 Визначити критерії відмови
підсистеми аеродромних вогнів
Для підсистеми обмежувальних вогнів
типу ВВІ-1 критерій відмови рівний 15%
Тоді, кількість вогнів при якій
система буде в стані відмови рівна:
.
3. Аналіз надійності
підсистеми обмежувальних вогнів злітно-посадкової смуги ІІ категорії
.1 Визначити ймовірності
безвідмовної роботи підсистеми ССА за 12 годин
Аеродромний вогонь знаходиться у працездатному
стані в тому випадку, коли всі його елементи знаходяться у працездатному стані.
Ймовірність
безвідмовної роботи аеродромного вогню РАВ (t
вик.)
за час використання визначається за формулою:
Імовірність
відмови
Імовірність безвідмовної роботи ПАВ
за час функціонування РПАВ(t)
Враховуємо топологічну ознаку
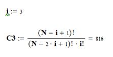
Ймовірність безвідмовної роботи буде
тоді, коли відмовлять максимум три вогні
І-кількість вогнів, що відмовили

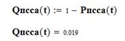
Імовірність відмови за 12 годин
Графік залежності ймовірностей
безвідмовної роботи підсистеми аеродромних вогнів за 12 год. від значення К з
урахуванням топологічного критерію
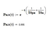
Для електропостачання підсистеми
обмежувальних вогнів використовуємо 2 кабельні лінії.


3.2
Визначаємо основні показники надійності
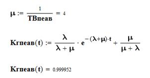
Розраховується нестаціонарний
коефіцієнт готовності ПЕАВ
Інтенсивність відмови
Інтенсивність відновлення
Нестаціонарний коефіцієнт готовності
підсистеми ССА KГ
ПССА
Коефіцієнт неготовності ПССА
визначається як
Коефіцієнт вимушеного простою ПССА
Коефіцієнт аварійного використання
ПССА
Таблиця основних критеріїв
надійності
|
Нестаціонарний коефіцієнт готовності
підсистеми ССА KГ
ПССА
|
0.99611
|
|
Коефіцієнт неготовності ПССА
|
3.889*10^-3
|
|
Коефіцієнт вимушеного простою ПССА
|
4.807*10^-5
|
|
Коефіцієнт аварійного використання ПССА
|
3.841*10^-3
|
|
Ймовірність безвідмовної роботи ПАВ
|
0.996
|
|
Ймовірності безвідмовної роботи підсистеми ССА
за 12 годин
|
0.986
|
Висновок
Оскільки порівняльний аналіз
отриманих результатів з нормованими значеннями показників безвідмовності
виходячи з критеріїв забезпечення підсистемою ССА нормованих рівнів безпеки
польотів на етапі візуального пілотування у складних метеорологічних умовах
(СМУ).
• для підсистем ССА типу
ВВІ-ІІ нормоване значення нестаціонарного коефіцієнта готовності за 12 год.
дорівнює 0,995.
Тим самим результат виявився навіть
кращим за нормований, що позбавляє нас необхідності розробки організаційно -
технічних заходів щодо підвищення показників надійності підсистеми ССА.
Список використаної літератури
обмежувальний вогонь
посадковий надійність
1. Методика визначення надійності
світлосигнальних систем аеродромів: Методична розробка /Уклад. С.С. Девяткіна.
- К.: НАУ, 2006. - 20с.
. Приложение 14 к Конвенции о
международной гражданской авиации. Аэродромы: [в 2т.]: Том І. Проектирование и
эксплуатация аэродромов. - Монреаль, 2009. - 350 с. - (ИКАО. Международные
стандарты и рекомендуемая
практика).://www.aviadocs.net/icaodocs/Annexes/an14_v1_5ed_cons_ru.pdf
. Руководство по проектированию
аэродромов. Часть 4. Визуальные средства. Издание четвертое - 2004. Doc.9157,
AN/901. - (ИКАО. Международные стандарты и рекомендуемая практика).
. ДСТУ 2860 - 94 Надійність техніки.
Терміни та визначення; Чин. від 01.01.96. - К.: Держстандарт України, 1996. -
92 с.
. Системи світлосигнальні
аеродромні: Термінол. словник. / Уклад. В.М. Азарсков, С.Г. Ванецян, С.С.
Дев’яткіна. - К.: НАУ, 2002. - 44 с.