Разработка системы оптоэлектронных генераторов
Дипломная работа
Лазерные методы генерации несущих для
широкополосных каналов связи
Реферат
Работа: страниц, рисунков, таблицы, источника.
Объектами исследования являются полупроводниковые волноводы с
модулированным профилем диэлектрической проницаемости, процесс нелинейной
генерации излучения разностной частоты, сверхвысокочастотные оптоэлектронные
генераторы, процесс генерации гармонических сверхвысокочастотных сигналов.
Цель работы - исследование лазерных методов генерации несущих для широкополосных
каналов связи: исследование эффективности нелинейной генерации в
полупроводниковых волноводах с модулированным профилем диэлектрической
проницаемости, условий фазового квазисинхронизма в таких структурах,
эффективности методов подавления побочных мод в спектрах оптоэлектронных
генераторов.
В работе проанализирован способ осуществления квазисинхронизма для
нелинейной генерации разностной частоты в планарных волноводах с помощью
модуляции профиля диэлектрической проницаемости, а также способы подавления
побочных мод в спектре оптоэлектронного генератора с помощью оптоэлектронных
сигнальных процессоров.
Показано, что при мощности волн накачки 10 Вт мощность нелинейного
преобразования в диапазоне длин волн 11 - 24 мкм может составлять 0.6 мкВт при
торцевом выводе и 0.12 мВт/мм2 при выводе излучения через
поверхность структуры, показана возможность снижения уровня побочных мод до
-130 дБн/Гц при частоте генерации в 60 ГГц и добротности сверхвысокочастотного
полосового фильтра порядка 100.
Разработанные в данной дипломной работе конструкции для генерации несущих
для широкополосных систем связи могут найти широкое применение в области связи,
радиолокации, измерительных системах.
По
результатам дипломной работы выполнены пять публикаций [20] - [24], среди
которых статья в рецензируемом журнале [20], доклад на международном семинаре
[21]. Также результаты дипломной работы полностью или частично были
представлены на 67-й, 68-й, 69-й научных конференциях студентов и аспирантов
БГУ, 8-м Белорусско-Российском семинаре «Полупроводниковые лазеры и системы на
их основе» (Минск, 2011), 12-м Белорусско-Литовском семинаре «Микроволновые и
оптоэлектронные системы» (Вильнюс, 2011). Также в 2012 г. подана заявка на
патент «Оптоэлектронный генератор». Исследования в рамках дипломной работы
подержаны грантами Министерства образования Республики Беларусь, Белорусского
государственного университета.
Введение
На
сегодняшний день широкополосные каналы связи начинают активно применяться в
военных и гражданских системах связи, радиолокации, телекоммуникации,
измерительной технике. Каждое новое достижение в технологиях построения
генераторов несущих для широкополосных каналов связи обеспечивает повышение
скорости передачи информации в системах связи, улучшение качества радиолокационных
систем, совершенствование измерительных приборов и систем испытания
оборудования [1]. Несущие для широкополосных каналов связи сегодня требуют
возможность модуляции со сверхвысокими частотами до 60 ГГц.
Как
известно, электромагнитное СВЧ-излучение с частотами выше 10 ГГц испытывает
сильное затухание в атмосфере и коаксиальных металлических кабелях [2]. Для
атмосферных оптических линий связи возможно использование так называемых окон
прозрачности в среднем и дальнем инфракрасном диапазоне [3], [4]. То есть для
таких каналов связи необходима генерация несущей с длиной волны от 10 до 50 нм.
Для стационарных каналов связи на основе кабелей возможно применение концепции
распределения радиочастотного излучения в качестве поднесущей по оптическому
волокну («radio over fiber», [5]). Однако в этом случае также существует
проблема генерации излучения СВЧ-диапазона и последующей модуляции этим
излучением лазерного излучения в оптическом волокне.
Нелинейное
преобразование частоты позволяет создавать источники среднего и дальнего
инфракрасного (ИК) диапазона [6]. В особенности представляет интерес реализация
такого преобразования в спектральном диапазоне [7], где генерация в
квантово-каскадных лазерах при комнатной температуре не реализована (l>16 мкм, [8], [9], [10]). Эффективному нелинейному взаимодействию
мод ближнего ИК-диапазона в планарных волноводах полупроводниковых
гетероструктур препятствует нормальная дисперсия показателя преломления. Ранее
предложены методы осуществления фазового синхронизма, основанные на увеличении
скорости нелинейной поляризации при применении для накачки поперечных
коротковолновых мод разного порядка [11], замедлении разностной моды с помощью
внедренной в волновод металлической решетки [12] или плазменного волновода на
основе легированного полупроводника [13], использовании материала волновода со
сниженной дисперсией показателя преломления [14], а также метод осуществления
фазового квазисинхронизма, основанный на сфазированном выводе излучения
разностной частоты с поверхности волновода через металлическую дифракционную
решетку[14].
Большой
прогресс по рассматриваемой тематике достигнут в области СВЧ оптоэлектроники,
которая является классическим примером одного из современных направлений
развития науки и техники, возникшим на стыке оптики, физики твёрдого тела и
СВЧ-техники [15], [16]. Методы СВЧ-оптоэлектроники используются для передачи,
генерации, детектирования и обработки аналоговых и цифровых СВЧ-сигналов [1].
Традиционные
методы генерации СВЧ сигналов с частотами до 100 ГГц обладают рядом
существенных и, можно сказать, фундаментальных недостатков. При умножении
частоты высокодобротного резонатора приходится сталкиваться с проблемой
квадратичного возрастания фазового шума от кратности умножения. К этому еще
добавляется проблема согласования множества малошумящих и высокодобротных
СВЧ-компонентов. Другой традиционный методикой построения СВЧ генераторов
является использование высокодобротных СВЧ резонаторов, однако с увеличением
частоты генерации добротность резонатора падает обратно пропорционально частоте
генератора [17]. Важно отметить высокие требования к стабильности материала
резонатора по отношению к внешним воздействиям. Для сапфировых резонаторов,
кроме чрезвычайно высокой стоимости, следует отметить их высокую чувствительность
к электромагнитным помехам, а также требования поддержания постоянства
температуры и отсутствия ускорений.
Самый
простой способ повышения добротности генератора - увеличение длительности
задержки в линии положительной обратной связи. Большая величина потерь на
единицу длины традиционных коаксиальных СВЧ кабелей не позволяется создавать
линии обратной связи с большими временами задержки, к тому же СВЧ кабели
чувствительны к радиопомехам. Для волоконно-оптических линий задержки,
реализуемых на основе электрооптического преобразователя, отрезка оптического
волокна и оптоэлектронного преобразователя, напротив, характерны очень низкие
потери на единицу длины, что приводит к возможности получении времен задержки
сигнала до 100 мкс при увеличении длины оптического волокна до 20 км.
Преимуществами таких линий задержки также являются невосприимчивость к
радиопомехам и малые фазовые искажения сигнала [18].
Альтернативой
традиционным СВЧ генераторам, которую предлагает СВЧ-оптоэлектроника, является
оптоэлектронный генератор [18]. Оптоэлектронные генераторы существенно
отличаются от традиционных генераторов тем, что положительная обратная связь в
них образована оптоэлектронной петлей задержки на основе электрооптического
преобразователя, отрезка оптического волокна оптоэлектронного преобразователя.
Среди всех существующих типов СВЧ генераторов с частотами от 10 до 100 ГГц
фазовый шум коммерческих оптоэлектронных генераторов уступает лишь эталонным
генераторам. Главной проблемой при создании оптоэлектронных генераторов является
высокий уровень побочных мод в спектре генерации.
Цель
работы - исследование лазерных методов генерации несущих для широкополосных
каналов связи: исследование эффективности нелинейной генерации в
полупроводниковых волноводах с модулированным профилем диэлектрической
проницаемости, условий фазового квазисинхронизма в таких структурах,
эффективности методов подавления побочных мод в спектрах оптоэлектронных
генераторов.
В
дипломе будет проанализирована эффективность нелинейного преобразования при
использовании гофрированного диэлектрического волновода. Рассмотрены два
способа вывода излучения разностной частоты из волновода: через торец и
поверхность [20] - [23]. Будут построены временная и частотная модели
оптоэлектронного генератора, на основе которых проанализированы оптоэлектронные
генераторы с одной петлей обратной связи и СВЧ-оптоэлектронными сигнальными
процессорами. Изучены условия стационарной генерации для указанных генераторов
[24]. В качестве метода подавления нежелательных мод в спектре рассмотрены
обобщенные оптоэлектронные генераторы с СВЧ-оптоэлектронным процессорами.
1. Физические принципы генерации несущих для широкополосных каналов
связи
1.1 Физические
принципы нелинейного преобразования
При
распространении оптического излучения большой интенсивности (порядка 104
- 105 В/см) показатель преломления начинает существенно зависеть от
интенсивности распространяющейся волны. Зависимость компонент поляризованности
среды Pi от компонент напряженности внешнего поля Ei,
Ej, Ek, Em, в нелинейной
среде описывается нелинейным материальным уравнением [6]:
,(1.1)
где
- линейная восприимчивость (тензор 2-го ранга);
-
квадратичная нелинейная восприимчивость (тензор 3-го ранга);
-
кубическая нелинейная восприимчивость (тензор 4-го ранга).
i,
j, k, m - индексы суммирования
Первое
слагаемое в (1.1) описывает компоненты вектора линейной поляризованности, а
последующие слагаемые - компоненты вектора нелинейной поляризованности (второе
слагаемое - квадратичной, третье - кубической). Следует отметить, что в
соединениях AIIIBV компоненты тензора
отличны от нуля, только если i=j=k; при этом
все отличные от нуля компоненты
равны
между собой.
Исходя
из [6], световая волна второй гармоники получает энергию от излучения на
основной частоте через компоненту волны поляризации среды с разностной
частотой. Очевидно, что обмен энергией между основной волной и второй
гармоникой будет максимальным, если разность фаз
между
ними сохраняется постоянной на достаточно больших расстояниях. В
действительности сдвиг фаз из-за дисперсии показателя преломления среды непрерывно
изменяется. Величина фазового сдвига между этими двумя волнами на длине
равна:
, (1.2)
где
- волновой вектор, соответствующий разностной моде,
-
разность волновых векторов ВЧ мод.
Величина
лишь в случае, когда выполняется условие:
, (1.3)
это условие называется условием фазового синхронизма.
GaAs,
являющийся основным материалом при создании инжекционных полупроводниковых
лазеров, обладает высоким коэффициентом оптической нелинейности второго порядка
[13]. Это означает, что при распространении в GaAs излучения с двумя различными
частотами щ1 и щ2 падающие волны поляризуют среду и
формируют излучение на суммарных и разностных частотах: щ1 + щ2,
щ1 - щ2, 2щ1, 2щ2. Причем, если
энергии квантов падающих волн близки к ширине запрещенной зоны полупроводника,
то волны на суммарных и удвоенных частотах будут поглощаться, и в
полупроводнике будет распространяться только излучение на разностной частоте
[6].
Условие
фазового синхронизма не выполняется в волноводах с нелинейным преобразованием
из-за нормальной дисперсии показателя преломления, как следует из рисунка 1.1.
Это приводит к необходимости реализации квазисинхронизма.
В
случае, когда структура выращена на плоскости (001), а высокочастотные моды
имеют поперечную электрическую поляризацию (TE-поляризацию), нелинейная
поляризация в GaAs перпендикулярна плоскости слоев и возбуждает на разностной
частоте поперечную магнитную моду (TM-моду) [6]. Считая, что волноводное
распространение осуществляется в направлении оси x, ось z
нормальна к плоскости слоев, напряженность магнитного поля направлена вдоль оси
y и находится из уравнения:
.(1.4)
где
- волновое число для вакуума,
-
диэлектрическая проницаемость,
-
нелинейная диэлектрическая проницаемость,
-
разность постоянных распространения высокочастотных мод накачки
и
с
амплитудами полей
и
соответственно.
Детали расчета пространственного распределения мод накачки приведены в работе
[6].
Рисунок 1.1 - Нормальная дисперсия показателя преломления в GaAs(верхняя
кривая) и InGaP (нижняя кривая)
1.2
Физические принципы генерации гармонических СВЧ сигналов с помощью
оптоэлектронных генераторов
1.2.1 Концепция
фазового шума как средство описания зашумленных гармонических сигналов
Гармонический сигнал с зашумленной амплитудой и фазой можно описать
следующим выражением:
(1.5)
где
- амплитудный шум,
-
постоянная составляющая амплитуды,
-
постоянная частота сигнала,
-
шумовые изменения фазы.
Полный
шум любого источника зашумленного сигнала представляется в виде свертки
амплитудного и фазового шума. Фазовый шум и методика его измерения описаны в
[2]. Фазовый шум, по определению, вводится как половина средней спектральной
плотности мощности фазовых флуктуаций сигнала.
(1.6)
Изначально, для радиочастотного диапазона, фазовый шум определяется как
отношение односторонней спектральной плотности мощности в расчете на один герц
к полной мощности сигнала (мощность на несущей и две боковых полосы):
(1.7)
В
случае, если сигнал не испытывает амплитудных флуктуаций (например, когда
происходит ограничение амплитуды колебаний при насыщении нелинейного
ограничивающего элемента)
, а фаза флуктуирует с частотой
по закону
. При
этом можно применить разложение [30]
.
Если
флуктуации фазы небольшие
, то сигнал приобретает вид:
(1.8)
По
определению (1.7), фазовый шум имеет вид:
(1.9)
Односторонняя
спектральная плотность мощности флуктуаций фазы выражается как
- значит спектральная плотность мощности малых
флуктуаций фазы связана с фазовым шумом следующим образом [25], [26]:
(1.9)
Данное приближение справедливо в случае, когда изменения фазы небольшие:
(1.11)
1.2.2 Базовая
конструкция оптоэлектронного генератора
Оптоэлектронный
СВЧ-генератор с цепью положительной обратной связи с выхода на вход на основе
волоконно-оптической линии задержки [1], содержит электрооптический
преобразователь 1 (для данного генератора нумерация блоков приведена согласно
рисунку 1.2), выход которого оптически соединен с входом оптоэлектронного
преобразователя 3 с помощью отрезка оптического волокна 2, СВЧ-усилитель 4,
вход которого электрически соединен с выходом оптоэлектронного преобразователя
3, полосовой СВЧ-фильтр 5, вход которого электрически соединен с выходом
СВЧ-усилителя 4, СВЧ-делитель 6, вход которого электрически соединен с выходом
полосного СВЧ-фильтра, а один из выходов электрически соединен с входом электрооптического
преобразователя, другой же выход СВЧ-делителя является источником полезного
гармонического СВЧ-сигнала. Следует отметить также, что перед входом
оптоэлектронного преобразователя возможно установить волоконно-оптический
разветвитель, один из выходов которого соединить со входом оптоэлектронного
преобразователя, а другой выход будет источником модулированного оптического
излучения.
При
использовании достаточно длинного отрезка оптического волокна в данном
оптоэлектронном СВЧ-генераторе достигается низкое значение фазового шума, при
этом величина фазового шума не увеличивается с ростом частоты генерируемого
СВЧ-сигнала, так как добротность волоконно-оптической линии задержки остается
постоянной [32]. Однако в спектре СВЧ-сигнала, генерируемого данным
оптоэлектронным СВЧ-генератором присутствуют побочные моды с достаточно большой
амплитудой.
Оптоэлектронный
генератор, в общем, представляет собой СВЧ-усилитель с волоконно-оптической
петлей обратной связи, в которой реализуется длительная задержка сигнала. После
прохождения сигналом петли обратной связи на входе СВЧ-усилителя происходит
интерференция гармонического сигнала и шума, причем интерференция -
конструктивная для сигнала и деструктивная - для шума.
Рисунок 1.2 - Базовая конструкция оптоэлектронного генератора
Примером конкретного выполнения оптоэлектронного СВЧ-генератора является
генератор, включающий оптоэлектронный преобразователь, который представляет
собой лазерный модуль с внешней модуляцией на основе LiNbO3
электрооптического модулятора Маха-Цендера с полуволновым напряжением 3 В на
частоте модуляции 60 ГГц, оптическими потерями 4 дБ и коэффициентом
контрастности 30 дБ. В качестве источника излучения используется инжекционный
InGaAsP/InP лазерный диод с распределенной обратной связью и оптоволоконным
выводом, сохраняющим поляризацию, который генерирует оптическое излучение на
длине волны 1550 нм мощностью 30 мВт и относительной интенсивностью шума -160
дБ/Гц, при этом ширина линии генерации на полувысоте составляет 4 МГц. В
качестве отрезка оптического волокна используются стандартные одномодовые
кварцевые волоконно-оптические кабели с оптическими разъемами. Оптоэлектронный
преобразователь представляет собой высокоскоростной InGaAs/InP p-i-n фотодиодный
модуль с оптоволоконным вводом, который обладает токовой чувствительностью 0,8
А/Вт, предельной частотой 64 ГГц и сопротивлением нагрузки 50 Ом. В качестве
СВЧ-усилителя используется GaAs транзисторный усилительный модуль, обладающий
коэффициентом усиления по напряжению 10 и коэффициентом шума 2 на частоте 60
ГГц. В качестве полосового СВЧ-фильтра используется фильтр на основе
копланарных линий передачи. СВЧ-делитель имеет коэффициент деления по мощности
50% / 50%.
3. Нелинейная генерация среднего инфракрасного диапазона в
волноводах смодулированным профилем диэлектрической проницаемости и торцевым
выводом излучения
3.1 Модель
структуры волновода для торцевого вывода излучения
Моделируемая полупроводниковая структура для преобразования излучения ближнего
инфракрасного диапазона в средний и дальний представлена на рисунке 2.1 и
рисунке 2.2.

Волновод для коротковолнового излучения (рисунок 2.2) формируется путем
заключения узкозонного GaAs 4 в широкозонные эмиттерные слои InGaP 3 и 5 с
меньшим показателем преломления. Металлический слой 1 и слой GaAs 6 являются обкладочными,
и формируют волновод для низкочастотных мод. Слой с модулированным показателем
преломления 2|3 формируется с помощью слоев GaAs 2 и InGaP 3, и подробно
представлен на Рисунке 2.2. Видно, что гофр показателя преломления формируется
заходящими друг в друга слоями InGaP/GaAs.
Рисунок 1.4 Исследуемая структура для вывода излучения с торца (1 -
металл;2, 4, 6 - GaAs, 3, 5 - InGaP; стрелкой указано направление вывода
излучения)
Уравнения
для связанных волн, граничные условия
Согласно
[6], в случае, когда структура полупроводникового лазера выращена на плоскости
(001), а высокочастотные моды имеют TE-поляризацию, нелинейная поляризация в
GaAs перпендикулярна плоскости слоев и возбуждает на разностной частоте TM-моду.
В этом случае из уравнений Максвелла для плоских волн получается выражение:
, (2.1)
где e - показатель
преломления на разностной частоте w;
x, z - пространственные координаты;
с
- скорость света в вакууме;
Hy - проекция амплитуды магнитного поля;
e(2) -
нелинейная часть диэлектрической проницаемости;
kx - величина волнового вектора высокочастотных мод;
в - частота гофрировки профиля диэлектрической проницаемости;
A1, A2
- амплитуды векторов электрического поля высокочастотных мод.
В
ходе выполнения данной работы зависимость показателя преломления слоя с гофром
от координаты z задавалась в виде суммы постоянной составляющей и первой
фурье-гармоники разложения изменения показателя преломления вдоль оси x
[23]:
, (2.2)
где
- амплитуда первой фурье-гармоники гофра
диэлектрической проницаемости;
e1, e2 - диэлектрические проницаемости GaAs и InGaP
соответственно.
Величину, обратную диэлектрической проницаемости, можно разложить в ряд,
ограничившись первыми слагаемыми:
. (2.3)
Тогда
решение уравнения (2.1) при условиях (2.2) и (2.3) ищется в виде:
, (2.4)
где
,
,
- амплитуды центральной, правой и левой гармоник
магнитного поля соответственно;
kx - величина волнового вектора высокочастотных мод.
Пренебрегая
членами второго порядка малости по амплитуде гофра профиля диэлектрической
проницаемости, уравнения для центральной гармоники и для двух боковых гармоник
имеют вид:
(2.5)
В
данной системе связанных уравнений первое выражение (2.5) определяет амплитуду
поля центральной гармоники, второе выражение (2.5) - амплитуду поля боковых
гармоник. Решение этих уравнений требует выполнения граничных условий, а
именно: условия непрерывности амплитуд гармоник и следующих комбинаций
производных:
(2.6)
Дисперсия
показателей преломления
Дисперсия
показателя преломления коротковолновых мод для GaAs и InGaP может быть описана
следующими выражениями [11]:
(1.1)
, (2.7)
где nGaAs, nInGaAs, - показатели
преломления GaAs и InGaP;
hн
- энергия фотонов.
Расчет высокочастотных основных мод
Рассмотрим процесс распространения излучения в системе плоскопараллельных
слоев. Наличие усиления в активных слоях учитывается введением комплексного
показателя преломления. Ось z выбирается в направлении нормали к
плоскости слоев. Для TE-моды задается напряженность электрического поля в виде:
, (2.8)
где
- напряженность электрического поля высокочастотных
мод;
Полученные из уравнений Максвелла скалярные уравнения 2-го порядка для
ТЕ- и ТМ-мод имеют вид:
, (2.9)
где k0 - волновой вектор для свободного пространства;
kx - волновой вектор в волноводе;
При
вычислениях применение оператора
к
вектору напряженности электрического поля E(z) описывается
кусочно-разностной схемой:
(2.10)
где m - пространственная точка на числовой сетке;
h
- шаг сетки дискретизации.
Таким образом, для нахождения собственных значений волнового вектора
строится итерационный процесс. Результаты расчета ВЧ мод представлены на
рисунке 2.3.
Рисунок 1.5 - Амплитудные зависимости электрических полей на длинах волн
1 мкм (а) и 0,97 мкм (б), нормированные к мощности в 10 Вт (по
оси абсцисс направление z, по оси ординат - величина электрического поля)
Нормировка
по мощности в ходе расчетов проводилась при условии ее вычисления [11]:
, (2.11)
где Ly - длина волновода.
Вычислительная модель для низкочастотных мод
С
учетом кусочно-разностных аппроксимаций аналогичных (2.10) совокупность систем
(2.5) для всей сетки точек на структуре стала основой для матрицы связанных
коэффициентов, как показано на рисунке 2.4. В каждой группе из 3 строк решается
система исходных уравнений в трех точках. Вектор неизвестных сформирован
чередованием значений основной гармоники и 2 боковых в соответствующих точках.
Построенная
таким образом матрица представляет собой матрицу системы линейных уравнений.
Вектор столбец свободных членов был сформирован из нулей и значения
нелинейности правой части системы уравнений (2.5).
Важно
отметить, что нелинейность воздействовала на уравнения, соответствующие
центральной гармонике и только в нелинейном слое арсенида галлия.
Рисунок 1.6 - Структура системы линейных уравнений,соответствующих решаемой задаче
Учет дисперсии показателя преломления на разностной частоте
Для
корректного определения показателя преломления на разностной частоте следует
учесть вклады в диэлектрическую проницаемость свободных носителей и оптических
фононов. Простейший учет вклада плазмы свободных носителей и оптических фононов
в диэлектрическую проницаемость дает модель Друде, которая успешно применима к
полупроводникам как n-, так и p-типа проводимости [13]:
, (2.12)
где е0 и е∞ - низкочастотная и
высокочастотная диэлектрические проницаемости нелегированного полупроводникового
материала,
щTO - частота
поперечного оптического фонона,
Г- коэффициент затухания волны на фононах,
г=q/m*µ
- коэффициент затухания волны при поглощении свободными носителями,
щ2=4рnq2/m2е∞ - квадрат плазменной частоты,
n и m* - концентрация и эффективная масса носителей
заряда соответственно,
µ - подвижность носителей заряда,
q
- заряд электрона.
Величины
Г, щTO брались из [13], величина г определялась из данных по
зависимости подвижности от концентрации легирующей примеси, представленных в
[13]. Спектральная зависимость коэффициента поглощения хорошо описывает
экспериментально наблюдаемые зависимости [11], за исключением многофононных
эффектов, роль которых в поглощении невелика. Для решения с первой поправкой
также необходимо требовать выполнения условий непрерывности (2.7). Очевидно,
что отсутствие разрывов говорит о правильной сшивке полей в слоях лазерного
волновода.
Амплитудные
зависимости полей в моделируемой структуре
В рассмотренной задаче исследовалась мощность излучения, распространяющегося
вдоль оси z. Было получено такое распределение
поля, где положение центрального максимума моды совпадает с положением
активного слоя (GaAs), где
возбуждается нелинейная поляризация (рисунок 2.5).

Зависимости мощности от длины волны
После расчета зависимости мощности от длины разностной волны была
получена зависимость, имеющая несколько резонансных всплесков. Где наблюдалось
изменение мощности на порядок в среднем ИК диапазоне. Относительно мощности в
искусственной ситуации, когда при всех неизменных параметрах амплитуду гофра
установили в ноль. Было определено, что существует зависимость положения резонанса на кривой от параметров гофра
(рисунок 2.6).
Рисунок 1.8 Зависимость мощности нелинейной генерации от длины волны в
структурах с различными периодами гофра L
Нелинейная
генерация среднего инфракрасного диапазона в волноводах с модулированным
профилем диэлектрической проницаемости и поверхностным выводом излучения.
Модель
волновода для поверхностного вывода излучения
Вид анализируемой гетероструктуры представлен на рисунке 2.7.
Гетероструктура включает планарный волновод InGaP/GaAs/InGaP для волн накачки и
область с модуляцией диэлектрической проницаемости, образованной чередованием
воздух - GaAs. Для увеличения локализации разностной моды в нелинейном слое
(GaAs) использовалась односторонняя металлизация поверхностей структуры.
Параметры
полупроводниковых материалов и металла брались из работ [11], [12]. В таблице
2.1 приведены типичные значения параметров, использованных при расчетах.
Рисунок 1.9 Исследуемая структура для вывода излучения с поверхности (11-
металл; 7 - GaAs (гофр с воздухом), 9 - GaAs, 8, 10- InGaP; стрелкой указано
направление вывода излучения)
Таблица 1.1 Параметры полупроводниковых материалов и металла(нумерация
согласно рисунку 2.7)
|
№ слоя
|
Материал
|
Толщина слоя, мкм
|
Тип легирования
|
Концентрация легирующей примеси
|
|
-
|
воздух
|
-
|
-
|
-
|
|
7
|
GaAs (гофр с воздухом)
|
d
|
n
|
4*1016
|
|
8
|
InGaP
|
0.6
|
p
|
1*1017
|
|
9
|
GaAs
|
0.6
|
n
|
4*1016
|
|
10
|
InGaP
|
0.6
|
n
|
4*1016
|
|
11
|
металл
|
1
|
-
|
-
|
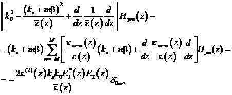
Уравнения
для связанных волн, граничные условия
Решение уравнения для ТМ моды, возбуждаемой в исследуемой структуре
(рисунок 2.7), будем искать в виде разложения по 2M + 1 пространственным гармоникам:
(2.13)
здесь
- амплитуды гармоник магнитного поля,
,
- период гофра.
Для
слоя с гофром показателя преломления, параметры которого приведены в [20],
обратную диэлектрическую проницаемость разлагаем в ряд Фурье:
, (2.14)
где
- коэффициенты разложения.
После
подстановки разложений поля и обратной диэлектрической проницаемости,
определяемых формулами (2.13) и (2.14), в уравнение (2.1) получаем уравнение:
(2.15)
Откуда,
собирая слагаемые при экспонентах с одинаковыми показателями, получаем систему
из
дифференциального уравнения, где m-е уравнение
выглядит следующим образом:
(2.16)
здесь
- символ Кронекера учитывает, что существует только
одна пространственная компонента нелинейной поляризации.
Вычислительная
модель для низкочастотных мод
При
решении системы уравнений (2.15) диэлектрическая проницаемость
считалась постоянной в пределах каждого слоя. Общее
решение
в отдельных слоях имело координатную зависимость в
виде суммы встречных волн
. Для однородного j-го слоя z-проекция
волнового вектора находилась из соотношения
. В слое
с модулированной диэлектрической проницаемостью поиск общего решения
представлял собой обобщенную задачу на собственные значения и векторы. На
границах слоев считались непрерывными амплитуды гармоник
и комбинации производных:
(2.17)
Система
уравнений (2.15) с заданными граничными условиями сводилась к линейной системе
уравнений для амплитуд встречных волн с
неизвестными
коэффициентами в каждом слое. В первом и последнем слое
коэффициентов, описывающих входящие или
неограниченные на бесконечности волны, приравнивались к нулю.
Результаты
численных расчетов, полученные описанным выше методом связанных волн,
сравнивались с расчетами методом собственных мод решетки [12]. В отличие от
металлической решетки выбор собственных мод в модулированном диэлектрическом
слое не является однозначным. Это потребовало разработать дополнительный
алгоритм отбора собственных мод, который, однако, не всегда обеспечивал сшивку
полей на границах модулированного слоя. При успешной сшивке оба метода
приводили к аналогичным результатам. Кроме того, в приближении трех связанных
волн система уравнений (2.15) также решалась численно методом конечных
разностей с нулевыми граничными условиями [21], и было получено удовлетворительное
соответствие с результатами расчетов вышеописанными методами.
Зависимость
мощности от длины волны в моделируемой структуре
Мощность
мод накачки полагалась равной 10 Вт [19]. Выходная мощность для поверхностного
вывода излучения рассчитывалась интегрированием компоненты вектора
Умова-Пойтинга, нормальной к соответствующей поверхности, как в работе [20]:
(2.18)
где
- длина волновода.
В
исследуемой структуре волновод для высокочастотных мод образован слоями
InGaP/GaAs/InGaP толщиной по 0.6 мкм. Толщина гофрированного слоя и период
модуляции показателя преломления оптимизировались для получения максимальной
мощности на определенной длине волны. Параметры структуры были оптимизированы
для получения максимальной мощности на l=13, 16, 19, 20 мкм,
зависимости мощности от длины волны приведены на рисунках 2.8 - 2.11
соответственно.
Рисунок 1.10 - Зависимость мощности нелинейной генерации P от длины волны l для структуры с поверхностным
выводом излучения. Структура оптимизирована для вывода излучения с длиной волны
13 мкм
Рисунок 1.11 - Зависимость мощности нелинейной генерации P от длины волны l для структуры с поверхностным
выводом излучения. Структура оптимизирована для вывода излучения с длиной волны
16 мкм

Рисунок 1.13 - Зависимость мощности нелинейной генерации P от длины волны l для структуры с поверхностным
выводом излучения. Структура оптимизирована для вывода излучения с длиной волны
20 мкм
Для структуры с поверхностным выводом излучения при тех же параметрах накачки
и размерах, что и для аналогичных структур без пространственного гофра
показателя преломления, излучаемая мощность возрастает на порядок и достигает 6
мкВт при длине структуры 500 мкм, что соответствует 0.12 мВт/мм2. В
зависимости мощности от длины волны обнаруживаются широкие области резонансного
возрастания мощности (рисунок 2.9).
Рисунок 1.14 - Зависимость мощности нелинейной генерации P от длины волны l для структуры, параметры которой
оптимизированы для l=36
мкм
Это
позволяет снизить требования к точности изготовления гофра заданного периода.
При использовании перестраиваемых источников это позволяет изменять длину
разностной волны в широких пределах без перестройки волноводной структуры.
Провалы в резонансных пиках (рисунок 2.11) обусловлены отсутствием
излучательных мод в направлениях, отличных от нормали к поверхности. При этом
действительные части проекций волновых векторов в пространстве над поверхностью
структуры
оказываются нулевыми у всех мод, кроме моды,
излучаемой перпендикулярно к поверхности, а излучение в направлении нормали
невозможно ввиду того, что нелинейная поляризация перпендикулярно к плоскости
слоев структуры. Отметим, что в диапазоне длин волн около 36 мкм в структуре с
диэлектрическим гофром и поверхностным выводом излучения при той же длине
мощность может достигать порядка 300 мкВт (рисунок 2.12), что аналогично
использованию металлической решетки на поверхности волновода [14]. В обоих
случаях рост мощности в основном обеспечивается резонансным увеличением
нелинейной диэлектрической проницаемости.
Амплитудные
зависимости полей в моделируемой структуре
Как видно из рисунка 2.13, большая часть энергии моды локализуется вблизи
металлической поверхности, поэтому для увеличения эффективности нелинейного
преобразования волновод для мод накачки расположен непосредственно у
поверхности металла. Электромагнитное поле слабо проникает в пространство между
выступами полупроводникового материала, образующего гофр. Зависимость выходной
мощности от толщины гофрированного слоя имеет серию максимумов, положение
которых связано с образованием стоячих волн в выступающих частях гофра.
Приведенный случай соответствует образованию двух стоячих полуволн, а изменение
структуры для получения одной или трех стоячих волн приводит к снижению
выходной мощности на 20-30 %.
Рисунок 1.15 - Пространственное распределение модуля напряженности
магнитного поля. Перпендикулярными к оси z линиями сетки показаны слои
структуры, их нумерация проведена согласно рисунку 2.7.
4.
Генерация электромагнитных колебаний СВЧ-диапазона с помощью оптоэлектронных
генераторов
4.1 Частотный
подход к описанию оптоэлектронных генераторов
Фазовые и
частотные соотношения
Электрические
колебания в оптоэлектронном генераторе появляются из шума, который может быть
представлен как суперпозиция синусоидальных колебаний шумового напряжения со
случайными фазами и амплитудами [2], определяемыми с помощью преобразования
Фурье, при этом средние по реализации амплитуды являются постоянными в пределах
некой конкретной реализации шума
(3.1)
где
- комплексная амплитуда напряжения шума,
-
случайная шумовая амплитуда,
-
случайная шумовая фаза.
Предположим,
что интерференция этих колебаний в оптоэлектронном генераторе приводит к
установлению стационарных колебаний с амплитудой
. Для
простоты анализа будем считать, что передаточная характеристика
волоконно-оптической петли обратной связи
остается
постоянной после установления стационарной генерации. Пусть уже после
установления стационарного режима генерации из шума стационарно рождается
некоторый сигнал.
Рисунок 1.16 Оптоэлектронный генератор
Комплексная амплитуда напряжения данного сигнала, пройдя одну петлю
обратной связи (n-й раз с момента
рождения данного сигнала) изменяется следующим образом:
, (3.2)
где
- частотная характеристика разомкнутой петли
оптоэлектронного генератора.
Будем
считать, что селективными частотными свойствами обладает
СВЧ-фильтр и волоконно-оптическая линия задержки, частотные
характеристики которых не зависят от амплитуды генерируемого сигнала, а
частотной зависимостью СВЧ-усилителя, электрооптического и оптоэлектронного
преобразователя можно пренебречь (это легко достигается в случае, если значения
коэффициента усиления, эффективности оптической модуляции и детектирования
брать на частоте генерации) тогда для передаточной характеристики разомкнутой
петли оптоэлектронного генератора справедливо:
, (3.3)
где g(Vosc) - ограничивающий нелинейный
коэффициент для передаточной характеристики разомкнутой петли положительной
обратной связи при сигнале на ее входе, равном амплитуде генерации Vosc;
j(f)
- сдвиг фазы передаточной характеристики разомкнутой петли разомкнутой петли
оптоэлектронного генератора, вносимый всеми ее элементами, за исключением
волоконно-оптической линии задержки;
G(f) - нормированная
амплитудно-частотная характеристика волоконно-оптической линии задержки и
СВЧ-фильтра;
F(f)
- фазово-частотная характеристика волоконно-оптической линии задержки и
СВЧ-фильтра.
Спустя
некоторое, достаточное большое по сравнению с периодом рассматриваемого
сигнала, время в точке 1 (рисунок 3.1) появляются колебания прошедшие
петель обратной связи:
. (3.4)
Таким
образом, в точке 1 (рисунок 3.1) появляется сумма колебаний вида (3.4):
(3.5)
Для сходимости ряда, составленного из комплексных амплитуд напряжения
необходимо, чтобы выполнялось условие:
(3.6)
которое с физической точки зрения является условием ограниченности
напряжения при наступлении стационарной генерации. При выполнении данного
условия результирующий сигнал дается формулой:
(3.7)
Мощность
генерируемого сигнала (точка 2, рисунок 3.1), на нагрузке с сопротивлением
задается формулой:
(3.8)
В данном случае амплитудное и фазовое условия генерации имеет вид:
, (3.9)
Если
полное усиление по петле оптоэлектронного генератора единично, то это
соответствует случаю стационарных колебаний, значит, решая трансцендентное
уравнение вида
относительно Vosc,
можно найти амплитуду установившихся колебаний.
Для
расчета спектра заменим мощность шума (порождающего колебания) в
оптоэлектронном генераторе на эквивалентную среднюю по реализации мощность
шума, приведенную ко входу усилителя
в полосе
пропускаемых фильтром частот
:
(3.10)
где
- спектральная плотность мощности шума.
По
определению [32] спектральная плотность мощности
,
при этом в знаменателе
- вся распространяющаяся в петле мощность в случае
измерения на управляющем СВЧ-входе модулятора (деление на величину
- нормировка спектра):
(3.11)
где
h - отношение сигнал/шум (размерность [Гц]). В данном
случае общая плотность мощности шума, приведенная ко входу усилителя состоит
[32] из термического шума, дробового шума и шума относительных флуктуаций
интенсивности лазерного излучения,
foffset - частота отстройки от частоты генерации fosc.
Условие ограниченности энергии во всей зависимости спектральной плотности
мощности от частоты представляется в виде:
(3.12)
Считаем,
что СВЧ-фильтр разрешает единственную собственную частоту генерации и подавляет
побочные моды, тогда (3.12) переходит в соотношение следующего вида:
(3.13)
Тогда, окончательно, спектр линии генерации (с размерностью [Вт/Гц])
выражается с помощью следующей формулы:
(3.14)
Уровень побочных мод можно также выразить в [Вт/Гц]:
, (3.15)
Для оптоэлектронного СВЧ-генератора на основе узкополосного СВЧ-фильтра с
полосой пропускания на полувысоте Dffilter и центральной частотой f0 и волоконно-оптической линии с общей задержкой t можно записать следующие выражения
для нормированной амплитудно-частотной характеристики разомкнутой петли
оптоэлектронного генератора:
(3.16)
Фазовое условие генерации в данном случае имеет вид:
(3.17)
где fosc - частота генерации.
В случае, если выполняется условие f0t = k (где k - целое
число) и j = 0, то
справедливо fosc
= f0. Если f0t ≠ k и/или
j ≠ 0, но при этом выполняется
1/t << Dffilter, то можно считать, что отстройка
частоты моды от центральной частоты СВЧ-фильтра мала Df =|fosc - f0|<<Dffilter, что выражается следующим
соотношением:
(3.18)
В
этом случае частота генерации лежит вблизи центральной частоты фильтра f0, но примерно равна
собственным частотам линии задержки k/t. Если условие 1/t << Dffilter не выполняется, то нужно использовать фазовращатель, вносящий фазовый
сдвиг jshift, обеспечивающий выполнение условия:
Частоты генерации побочных мод fk = fosc+Dfk: определяются соотношением:
(3.19)
Из более подробного анализа рассматриваемого оптоэлектронного генератора
следует, что амплитуда побочных мод возрастает при увеличении сдвига фазы j разомкнутой петли положительной
обратной связи на частоте генерации fosc от нуля до 180° (при 180° вообще существуют две равные моды),
что подтверждает необходимость применения фазовращателя. Увеличение отстройки
центральной частоты СВЧ-фильтра f0
от частоты собственных мод волоконно-оптической линии задержки k/t приводит к аналогичному эффекту.
Амплитудные соотношения
Модуляция мощности оптического излучения для модулятора Маха-Цендера
описывается выражением:
(3.20)
a - вносимые
модулятором потери,
-
оптическая мощность от лазера,
- сигнал
на управляющем входе модулятора,
-
полуволновое напряжение модулятора,
-
постоянное напряжение смещения на модуляторе.
После
фотодетектора с токовой чувствительностью
комплексная
амплитуда напряжения:
(3.21)
По определению малосигнальное усиление для разомкнутой петли обратной
связи вводится как отношение приращения выходного напряжения к входному при
разомкнутой петле обратной связи:
(3.22)
Наибольшее
по модулю малосигнальное усиление при разомкнутой петле обратной связи сигнал
принимает в случае
(отрицательная квадратура оптического модулятора
),
(положительная
квадратура оптического модулятора
). Перед
началом стационарной генерации малосигнальное усиление разомкнутой петли
оптоэлектронного генератора
по
модулю меньше единицы, что свидетельствуют об отсутствии баланса энергии в
генераторе. Пороговые оптическая мощность лазерного диода и произведение ее с
усилением СВЧ усилителя можно найти с помощью следующих выражений:
(3.23)
Частоты собственных мод рассматриваемого оптоэлектронного генератора
представляют собой набор эквидистантных частот (с частотным интервалом в
десятки - сотни килогерц). Можно предположить, что частотная характеристика
фильтра достаточно узкая, для разрешения гармоник центральной частоты фильтра
(в диапазоне десятков - сотен гигагерц). Таким образом, спектр оптоэлектронного
генератора рассматривается в диапазоне отстроек в несколько межмодовых
расстояний от моды частотой, совпадающих с центральной частотой СВЧ фильтра
(несущая - десятки или сотни гигагерц, по частоте совпадает с центральной
частотой СВЧ фильтра, отстройки от нее до частот в несколько мегагерц).
Полагаем, что на управляющем входе модулятора в режиме установившейся генерации
присутствует синусоидальное напряжение, разлагая отклик модулятора в ряд Фурье и
сохраняя одну гармонику (с частотой стационарной генерации), можно значительно
упростить выражение для отклика модулятора.
Для
удобства дальнейшего анализа проведем линеаризацию зависимости (3.22) в виде
. При этом вводится коэффициент полного усиления на
амплитуде (рисунок 3.2) установившихся в петле колебаний:
(3.24)
Амплитуда осцилляций в зависимости от малосигнального усиления
определяется из условия, что коэффициент усиления на амплитуде установившихся в
петле колебаний становится равным единице (рисунок 3.3) как решение
трансцендентного уравнения вида:
(3.24)
Рисунок 1.17 Зависимость полного усиления в генератореот циркулирующего
напряжения
Рисунок 1.18 Зависимость нормированной амплитуды колебанийот
малосигнального усиления
При всей его простоте частотный подход к описанию оптоэлектронных
генераторов обладает существенным ограничением, которое состоит в том, что при
анализе предполагается, что существует стационарная и стабильная генерации. Т.
е. результат моделирования с использованием частотного подхода совпадет с
истинным только в случае, если стационарная генерация возможна.
Следует отметить, что в случае, если какими-либо другими способами
определено, что стабильная работа оптоэлектронного генератора возможна, то
моделирование с использованием частотного подхода обладает неоспоримым
преимуществом, которое состоит в быстроте работы.
1.3 Временной
подход к описанию оптоэлектронных генераторов
Временная
модель для динамического описания работы оптоэлектронного генератора
основывается на существовании трех различных временных (частотных) масштабов
[28], характерных для оптоэлектронного генератора: выходной СВЧ сигнал имеет
частоту в десятки гигагерц, межмодовое расстояние для СВЧ мод имеет порядок
около сотен килогерц, фазовый шум рассматривается на частотах до нескольких
тысяч килогерц.
Рисунок 1.19 - Оптоэлектронный генератор (для иллюстрации временной
модели)
Оптоэлектронный генератор, в общем, представляет собой усилитель с
положительной обратной связью, образованной блоками электрооптического и
оптоэлектронного преобразования, отрезка оптоволокна. Элементом селекции СВЧ
мод является полосовой СВЧ фильтр. Компенсация потерь осуществляется усилителем
(как правило, СВЧ, однако, возможны варианты построения с оптическим усилителем
и без усилителя вовсе).
Источником колебаний является шумы: тепловой, дробовый фотодиода,
относительный шум интенсивности лазерного излучения (данные шумы моделировались
аддитивным белым гауссовым шумом), при этом при рассмотрении фазового шума на
малых отстройках от несущей необходимо принимать во внимание воздействие
фликкер-шума. Однако, в большинстве случаев на исследуемых отстройках от
частоты основной СВЧ-моды ~100 Гц - 100 кГц вклад фликкер-шума в фазовый шум
незначителен.
СВЧ сигнал с наибольшей амплитудой в оптоэлектронном генераторе возможно
вывести из точки перед входом электрооптического преобразователя.
В пределах одной итерации (под итерацией будем понимать обход сигналом
полной петли оптоэлектронного генератора) сигнал на входе электрооптического
преобразователя представляется квазигармоническим с медленно меняющимися
амплитудой и фазой (по сравнению с частотой генерации):
(1.2)
(3.26)
где
- комплексная медленно меняющаяся амплитуда огибающей
СВЧ колебаний (далее для краткости - комплексная амплитуда),
- фаза
СВЧ-сигнала, при этом аргумент под амплитудой, комплексной амплитудой и фазой
медленной меняющийся по сравнению с СВЧ несущей, в
остальных случаях t - быстроменяющийся аргумент СВЧ несущей.
Здесь
и далее будем полагать, что в случае задержки в отрезке оптического волокна,
длительность последней определяется через длину отрезка l
и групповую скорость света в заданном отрезке
:
.
В данном случае функцией волоконно-оптической линии задержки является
задержка на время ф, однако при этом электрооптические и оптоэлектронные
преобразования приводят в общем случае к сложной нелинейной зависимости:
, (3.27)
где ф - время задержки в волоконно-оптической линии,
gline - комплексная характеристика замкнутой петли
оптоэлектронного генератора.
Оптическое излучение в модуляторе Маха-Цендера подвергается
модуляционному процессу, связанному с управляющим электрическим сигналом через
нелинейную передаточную функцию:
(3.28)
В
передаточную функцию (3.28) подставляют представление сигнала с медленно
меняющимися амплитудами (3.26) и разлагают полученное выражение в ряд Фурье:
(3.29)
При
разработке модели учитывалось, что частотная характеристика полосового фильтра
достаточно узкая для подавления кратных СВЧ гармоник (
), что позволяет оперировать только с несущим сигналом
с частотой
:
(3.30)
Шумы
системе полагались аддитивными и вводились до усилителя и СВЧ фильтра (учет
теплового шума, дробового, относительного шума интенсивности лазерного
излучения - шумов, порожденных вследствие использования лазерного излучения и
оптоэлектронного преобразования [30]) - на рисунке 3.4 условно обозначен как n1. Для данных шумов
характерна спектральная плотность мощности:
, (3.31)
где
- постоянная Больцмана,
-
шум-фактор,
-
коэффициент усиления СВЧ усилителя,
-
фототок, e- заряд электрона,
-
импеданс нагрузки фотодиода,
- стандартная
шумовая температура.
Также
белый гауссов шум вводился после СВЧ усилителя и фильтра (тепловой шум) - на
рисунке 3.4 условно обозначен как
. Для
данного шума характерна спектральная плотность мощности:
, (3.32)
где T - температура оптоэлектронного
генератора.
Эквивалентное
напряжение шума рассчитывается следующим образом: в исследуемой полосе частот B
шум имеет спектральную плотность мощности
, значит,
средняя мощность шума в исследуемой полосе
, к
каждому отсчету сигнала в среднем добавляется указанная средняя мощность шума.
Амплитуда шума, добавляемая к сигналу в модели должна соответствовать мощности,
совпадающей с мощностью реального шума:
(3.33)
При
использовании понятия комплексной стандартной нормальной случайной величины
[30] шум моделируется в таком виде:
, (3.34)
где
- обратное преобразование Фурье (оператор данного
преобразования обозначен
) стандартной нормальной комплексной случайной
величины (для которой выполняется
),
введение которой не нарушает выполнение условия (3.33)
, при этом условие (3.33) принимает вид
.
Усилитель
во всем диапазоне значений комплексных амплитуд является линейным и моделируется
одним параметром
- усилением по напряжению. Сигнал с выхода
волоконно-оптической линии задержки является входным для усилителя, к данному
сигналу сначала добавляется белый гауссов шум (так как шум считали приведенным
ко входу усилителя), а затем происходит усиление смеси сигнала с шумом.
Комплексная амплитуда после аддитивного введения шума и усиления:
, (3.35)
при
этом напряжение шума рассчитывается в соответствии с (3.34). Следует отметить,
что при компьютерной реализации равномерно распределенные случайные величины
формировались с использованием метода вихря Мерсенна, независимые стандартные
нормально распределенные величины получались с использованием преобразования
Бокса-Мюллера [27].
Предполагается,
что ширина частной характеристики полосового СВЧ фильтра
намного меньше частоты СВЧ несущей. Таким образом, при
достаточно узкой полосе пропускания фильтра все гармоники СВЧ несущей пренебрежимо
малы. Таким образом, рассматриваемая модель представляет собой не что иное, как
обобщение метода комплексных медленно меняющихся амплитуд.
Импульсная характеристика полосового фильтра с лоренцевской формой
частотной характеристики:
(3.36)
где
- функция Хэвисайда;
- полная
ширина частотной характеристики фильтра на полувысоте.
Для полосового СВЧ фильтра входным сигналом является выходной сигнал от
усилителя. Реакция фильтра на входной сигнал получается в виде свертки
предыдущих значений сигнала с импульсной характеристикой фильтра:
(3.37)
Переход к следующей итерации нужно проводить, пока флуктуации не станут
ниже некоторого порога, примерно равного произведению амплитуды эквивалентного
шумового напряжения в системе на коэффициент усиления усилителя. Данное
утверждение легко доказать, если полагать, что в стационарном случае сигнал
очень слабо меняется на протяжении любого количества итераций. Тогда
воздействием СВЧ фильтра; волоконно-оптической линии задержки; а также
воздействием комбинации блоков электрооптического, оптоэлектронного
преобразования и усилителя на сигнал можно пренебречь. Таким образом, из
воздействий на сигнал остается только добавление усиленного СВЧ усилителем
шума, которое и определяет амплитуду флуктуаций стационарного сигнала.
Алгоритм работы модели
Алгоритм модели работы оптоэлектронного генератора включает в себя две
основных части: в первой из них моделируется «раскачка» и установление
колебаний, что с вычислительной точки зрения является сходимостью итерационной
схемы. Во второй части происходит накопление отсчетов сигнала и последующая
оценка спектральной плотности мощности.
Для получения установившегося режима генерации необходимо:
. Положить первый отсчет комплексной медленноменяющейся амплитуды
огибающей СВЧ колебаний (далее - комплексная амплитуда) равным
нулю, что соответствует состоянию, когда оптоэлектронный генератор выключен.
2. Применить
воздействие модулятора Маха-Цендера и приведенное (к входу оптоволокна)
воздействие фотодиода к текущему отсчету комплексной амплитуды в соответствии с
(3.30).
. Сохранить
отсчет комплексной амплитуды в волоконно-оптической линии задержки и в это же
время получить из нее отсчет комплексной амплитуды, соответствующий
задержанному отсчету сигнала согласно (3.27)
. Добавить
к отчету комплексной амплитуды отсчет шумовой реализации (3.34),
соответствующий шуму перед СВЧ фильтром со спектральной плотностью,
определяемой (3.31), усилить полученную сумму в соответствии с (3.35)
. Провести
свертку предыдущих отсчетов сигнала с импульсным откликом фильтра по формуле
(3.37) и после добавить тепловой шум, определяемый (3.32)
. Добавить
к отчету комплексной амплитуды отсчет шумовой реализации (3.34),
соответствующий шуму после СВЧ фильтра (тепловому) со спектральной плотностью,
определяемой (3.32)
. Пока
флуктуации сигнала не станут меньше некоторого порога, примерно равного
произведению амплитуды эквивалентного шумового напряжения в системе на
коэффициент усиления усилителя, переходить к пункту 2.
После для получения оценки фазового шума необходимо сохранять
определенное количество отсчетов амплитуды. Таким образом, необходимо, не меняя
состояния модели, повторять пункты 2 - 7 - 2 - 7 -…, при этом нужно сохранять
отсчеты комплексной амплитуды после каждого 6-го пункта. Далее к накопленным
отсчетам применяют преобразования периодограммный метод для получения фазового
шума или СВЧ спектра.
На
основе приведенного алгоритма строится дискретная итерационная модель работы
оптоэлектронного генератора. В отличие от работы [28] или [29], где
итерационный процесс строился на основе рассмотрения воздействий на вектор из
отсчетов комплексных амплитуд, в разработанной модели рассматривается один
отсчет, отстоящий от соседних отсчетов во времени на
, воздействия происходят на каждый отсчет независимо.
Под словом итерация здесь и далее следует понимать проход одним отсчетом
комплексной амплитуды напряжения оптоэлектронного генератора. При этом один
отсчет комплексной амплитуды на l-м проходе (l-й
итерации, нумерация начинается с единицы) основной петли (основной в случае
использования необычных оптоволоконных резонаторов.
Временной
подход к описанию оптоэлектронного генератора был реализован в виде
компьютерной итерационной модели. При помощи временного подхода возможно также
и динамическое описание работы оптоэлектронного генератора.
1.4 Результаты
моделирования оптоэлектронных генераторов
В оптоэлектронном генераторе с одной петлей обратной связи для спектра
характерна предельно узкая линия осциллирующей моды (со спектральной шириной от
единиц герц до ~10-4 Гц) и присутствие набора побочных мод вблизи центральной
осциллирующей моды, которые из-за плавного спада частотной характеристики
полосового СВЧ фильтра оказываются не до конца подавленными (рисунок 3.5).
Рисунок 1.20 - Спектр оптоэлектронного генератора с базовой конструкцией
Фазовый шум оптоэлектронного генератора спадает квадратично (рисунок 3.6)
при увеличении длительности задержки в волоконно-оптической петле обратной
связи. И в случае, когда длительность задержки в петле обратной связи больше
величины, обратной полосе пропускания СВЧ-фильтра, слабо зависит от ширины
данной полосы.
Также следует отметить, что расстояние между собственными модами
оптоэлектронного генератора уменьшается обратно пропорционально увеличению
длительности задержки в петле обратной связи, и, соответственно, уровень
побочных мод сильно зависит от ширины полосы пропускания полосового СВЧ-фильтра
(рисунок 3.7). Также наблюдается возрастающая с возрастанием длительности
задержки в петле обратной связи зависимость уровня побочных мод.
Рисунок 1.21 - Зависимость фазового шума оптоэлектронного генератора от
длительности задержки в петле обратной связи и ширины полосы пропускания
СВЧ-фильтра
Путем моделирования работы базовой схемы оптоэлектронного генератора
установлено, что фазовый шум от частоты генерации независим при использовании
оптоэлектронных компонентов с соответствующим рабочим частотным диапазоном,
квадратичное снижение фазового шума с увеличением длины волоконно-оптической
линии обратной связи, показана возможность использования стандартной элементной
базы волоконно-оптических систем связи.
В качестве наиболее простого варианта решения проблемы селекции мод при
генерации в миллиметровом диапазоне рассмотрим оптоэлектронный генератор с
СВЧ-оптоэлектронным сигнальным процессором с двумя волоконно-оптическими
плечами обратной связи (рисунок 3.8).
В данном оптоэлектронном генераторе есть два частотно-избирательных
элемента - СВЧ-полосовой фильтр и СВЧ-оптоэлектронный сигнальный процессор с
двумя волоконно-оптическими плечами. Спектральная плотность мощности данного
оптоэлектронного генератора нелинейно зависит от произведения
амплитудно-частотной характеристики разомкнутой петли оптоэлектронного
генератора и спектра аналогичного генератора, но без всех частотно-селективных
элементов. Амплитудно-частотная характеристика разомкнутой петли
оптоэлектронного генератора пропорциональна произведению амплитудно-частотных
характеристик СВЧ-фильтра и СВЧ-оптоэлектронного сигнального процессора с двумя
волоконно-оптическими плечами. Амплитудно-частотная характеристика СВЧ-фильтра
представляет собой апериодическую колоколообразную зависимость с максимумом на
центральной частоте фильтра. Амплитудно-частотная характеристика
СВЧ-оптоэлектронного сигнального процессора с двумя волоконно-оптическими
плечами представляет собой периодическую зависимость с периодом равным
величине, обратной разности длительностей задержки в плечах сигнального
процессора.
Рисунок 1.22 - Зависимость уровня побочных мод оптоэлектронногогенератора
от длительности задержки в петле обратной связи и шириныполосы пропускания
СВЧ-фильтра
Рисунок 1.23 Оптоэлектронный генератор с СВЧ-оптоэлектронным сигнальным
процессором с двумя волоконно-оптическими плечами СВЧ-оптоэлектронный
сигнальный процессор обведен штриховым прямоугольником
Только те моды генератора, определяемые длительностью задержки в основном
отрезке оптического волокна, могут существовать в процессе генерации, для
которых амплитудно-частотная характеристика разомкнутой петли оптоэлектронного
генератора больше единицы (Рисунок 3.9).
Рисунок 1.24 - Иллюстрация принципа подавления побочных мод
воптоэлектронном генераторе с СВЧ-оптоэлектронным процессором
Прореживание «гребенки» мод оптоэлектронного генератора снижает
требования к добротности полосового фильтра с полосой пропускания в разы -
десятки раз большей, нежели при использовании оптоэлектронного генератора с
одной петлей обратной связи. Параметры оптоэлектронного генератора с
оптоэлектронным процессором в петле обратной связи указаны в таблице 3.1,
спектр показан на рисунке 3.10.
Рисунок 1.25 - Спектр оптоэлектронного генератора с СВЧ-оптоэлектронным
процессором в петле обратной связи (полулогарифмический масштаб)
Для оптоэлектронного генератора с СВЧ-оптоэлектронным с сигнальным
процессором с тремя волоконно-оптическими плечами (рисунок 3.11) характерна
дополнительная частотная селективность из-за существования дополнительного
волоконно-оптического плеча (рисунок 3.11). Такая конфигурация оптоэлектронного
генератора позволяет еще больше снизить требования добротности по отношению к
полосовому СВЧ-фильтру.
Наиболее простым динамическим режимом для оптоэлектронного генератора
является процесс установления стационарных колебаний из шума. Для его
иллюстрации удобно рассматривать отношение амплитуд сигнала на проходах им
оптоэлектронного генератора к средней стационарной амплитуде. На рисунке 3.11
представлена зависимость относительных флуктуаций сигнала для оптоэлектронного
генератора с длительностью задержки в оптоэлектронной петле обратной связи 0.28
мкс.
Таблица 1.2 Параметры оптоэлектронного генератора с
СВЧ-оптоэлектронным процессором в петле обратной связи
|
Оптическое волокно и СВЧ-фильтр
|
|
ф
|
9*10-7[с]
|
Длительность задержки в первом отрезке оптического волокна
|
|
Дф
|
4*10-8[с]
|
Длительность задержки в втором (дополнительном) отрезке
оптического волокна
|
|
k
|
0.5
|
Отношение разделения волоконно-оптического разветвителя
|
|
G
|
500*106[с]
|
Ширина частотной характеристики фильтра на полувысоте
|
|
Оптический модулятор интенсивности
|
|
б
|
-4.01 [дБ]
|
Вносимые потери
|
|
e
|
30 [дБ]
|
Контрастность модулятора
|
|
Vp
|
3.14 [В]
|
Полуволновое напряжение модулятора
|
|
VB
|
3.14 [В]
|
Напряжение смещения модулятора
|
|
Фотодетектор
|
|
r
|
0.8 [А/Вт]
|
Чувствительность фотодетектора
|
|
R
|
50 [Ом]
|
Импеданс усилителя
|
20
|
Коэффициент усиления усилителя
|
|
Малосигнальное усиление генератора с разомкнутой петлей
обратной связи
|
|
Gs
|
1.5
|
|
|
Шум
|
|
NF
|
2
|
Шум фактор
|
|
RIN
|
-160 [дБ]
|
Относительные флуктуации интенсивности
|
|
T
|
290 [К]
|
Температура генератора
|
Рисунок 1.26 - Волоконно-оптическая линия обратной связи с сигнальным
процессором с тремя волоконно-оптическими плечами
Рисунок 1.27 - Спектр оптоэлектронного генератора с сигнальным процессором
с тремя волоконно-оптическими плечами
Рисунок 1.28 - Зависимость относительных флуктуаций сигнала для
оптоэлектронного генератора с длительностью задержки в оптоэлектронной петле
обратной связи 0.28 мкс
При достаточно высоком малосигнальном усилении в оптоэлектронном
генераторе возможна нестабильная генерации, аналогичная конкуренции мод в
лазерах. В процессе моделирования выяснено, что пороговое значение для
малосигнального усиления разомкнутой петли оптоэлектронного генератора
составляет порядка 2.4. В случае Gs=2.5 зависимость модуля амплитуды СВЧ-сигнала от времени
после завершения переходного процесса представлена на рисунке 3.14.
Рисунок 1.29 - Зависимость модуля амплитуды СВЧ-сигнала от времени после
завершения переходного процесса при Gs=2.5
Заключение
оптоэлектронный генератор связь
В ходе выполнения данной дипломной работы исследованы методы генерации
несущих для широкополосных систем связи, а именно, для атмосферных каналов
связи проанализирована возможность нелинейного преобразования излучения
ближнего инфракрасного диапазона в излучение среднего и дальнего инфракрасного
диапазона. Для оптоволоконных каналов связи рассмотрены методы генерации под
несущей с помощью оптоэлектронных генераторов.
В
рамках дипломной работы развит метод связанных волн применительно к расчету
мощности нелинейной генерации в планарных структурах с областями модулированной
диэлектрической проницаемости. Проведены расчеты структур с выводом излучения
через грань и поверхность. Показано, что при мощности волн накачки 10 Вт
мощность нелинейного преобразования в диапазоне длин волн 11 - 24 мкм может
составлять 0.6 мкВт при торцевом выводе и 0.12 мВт/мм2 при выводе
излучения через поверхность структуры [20].
В
ходе рассмотрения оптоэлектронных генераторов в качестве источников
гармонических СВЧ-сигналов с частотой до 100 ГГц были развиты частотный и
временной подходы применительно к оптоэлектронным генераторам с
СВЧ-оптоэлектронными сигнальными процессорами с несколькими
волоконно-оптическими плечами. Проведенные расчеты и моделирование позволили
получать СВЧ-спектры, спектральные плотности мощности фазового шума,
зависимости амплитуды СВЧ-сигналов от времени [24]. Разработанная временная модель
позволяет также изучать нестабильную генерацию в оптоэлектронном генераторе.
Оптимизация параметров оптоэлектронного генератора позволила получить такой
набор конструктивных параметров, для которого на частоте генерации 60 ГГц
фазовый шум на отстройке в 10 кГц от несущей составил -130 дБн/Гц, а уровень
побочных мод-110 дБн/Гц, при этом добротность СВЧ-фильтра составляла около 100.
Разработанные
в данной дипломной работе конструкции для генерации несущих для широкополосных
систем связи могут найти широкое применение в области связи, радиолокации,
измерительных системах.
По
результатам дипломной работы выполнены пять публикаций [20] - [24], среди
которых статья в рецензируемом журнале [20], доклад на международном семинаре
[21]. Также результаты дипломной работы полностью или частично были
представлены на 67-й, 68-й, 69-й научных конференциях студентов и аспирантов
БГУ, 8-м Белорусско-Российском семинаре «Полупроводниковые лазеры и системы на
их основе» (Минск, 2011), 12-м Белорусско-Литовском семинаре «Микроволновые и
оптоэлектронные системы» (Вильнюс, 2011). Также в 2012 г. подана заявка на
патент «Оптоэлектронный генератор». Исследования в рамках дипломной работы
подержаны грантами Министерства образования Республики Беларусь, Белорусского
государственного университета.
Литература
1.Maleki, L. The optoelectronic oscillator / L. Maleki
// Nature Photonics. - 2011. - Vol. 5, № 12. - P. 728-730.
.Pozar, D.M. Microwave engineering / D.M. Pozar. - 3rd
ed. - New York: Willey, 2012. - P.497-523.
3. Зуев, В.Е. Распространение лазерного излучения в атмосфере
/ В.Е. Зуев. - Москва: Радио и связь, 1981. - 288 с.
. Медвед, Д.Б. Влияние погодных условий на беспроводную
оптическую связь / Д.Б. Медвед // Вестник связи. - 2001. - № 4, C. 154 - 157.
5.Lim, C. Fiber-wireless networks and subsystem
technologies / C. Lim, A. Nirmalathas, M. Bakaul, [et. al.] // Lightwave
Technology. - 2010 - Vol. 28, № 4. P. 390-405.
. Алешкин, В.Я. Генерация разностной моды в полупроводниковых
лазерах / В.Я. Алешкин, А.А. Афоненко, Н.Б. Звонков // Физика и техника
полупроводников. - 2001. - Т. 35, № 10. - С. 1256.
. Звонков, Б.Н. Генерация излучения разностной частоты в
двухчиповом лазере / Б.Н. Звонков, А.А. Бирюков, С.М. Некоркин [и др.] //
Физика и техника полупроводников. -2009. - Т. 43, № 2. - С. 220.
8. Belkin, M.A. Room temperature terahertz quantum
cascade laser source based on intracavity difference-frequency generation /
M.A. Belkin, F. Capasso, F. Xie // Applied Physics Letters. - 2008. - Vol. 92,
№ 20. - P. 201101.
. Rochat, M. Low-threshold terahertz quantum-cascade
lasers / M. Rochat, L. Ajili, H. Willenberg, [et. al.] // Applied Physics
Letters. - 2002. - Vol. 81, № 8. - P. 1381.
. Faist, J. Recent advansesextend spectral output of
QC lasers / J. Faist // Laser Focus World. - 2008. - Vol. 4. - P. 71.
11. Афоненко, А.А. Нелинейная генерация дальнего
инфракрасного излучения в двухчастотных полупроводниковых лазерах / А.А.
Афоненко, В.Я. Алешкин, А.А. Дубинов // Физика и техника полупроводников.
-2004. - Т. 38, № 2. - С. 244.
. Алешкин, В.Я Нелинейная генерация дальнего инфракрасного
излучения в двухчастотных полупроводниковых лазерах / В.Я. Алешкин, А.А.
Афоненко, А.А. Дубинов // Журнал технической физики. -2004. - Т. 74, № 11. - С.
92.
13. Afonenko, A.A. Parametric generation of a
mid-infrared mode in semiconductor waveguides using a surface diffraction
grating / A.A. Afonenko, V.Ya. Aleshkin, A.A. Dubinov // Semiconductor Science
Technology. - 2005. - Vol. 20. - P. 357.
14. Алешкин, В.Я. Генерация излучения на разностной частоте
среднего и дальнего инфракрасных диапазонов в полупроводниковых волноводах на
основе фосфида галлия / В.Я. Алешкин, А.А. Афоненко, А.А. Дубинов // Журнал
технической физики. -2006. - Т. 76. - С. 98.
15. Clark, T.R. Photonics for RF front ends / T.R.
Clark, R. Waterhouse // Microwave magazine. - 2011. - Vol. 12, № 3. - P. 87-95.
. Berceli, T. Microwave photonics - a historical
perspective / T. Berceli, P. Herczfeld // Microwave Theory and Techniques. -
2010. - Vol. 58, №11-2. - P. 2992-3000.
. Lewis, C. Low phase noise oscillator / C. Lewis //
United States Patent № 6489853. - 2002.
. Yao, X.S. Progress in the opto-electronic oscillator
- a ten year anniversary review / X. S. Yao, L. Maleki, D. Eliyahu // MTT-S
Int. Microwave
Symp. - 2004. - Vol. 1. - P.
287-290.
. Винокуров, Д.А. Мощные полупроводниковые лазеры на основе
асимметричных гетероструктур раздельного ограничения / Д.А. Винокуров, С.А.
Зорина, В.А. Капитонов [и др.] // Физика и техника полупроводников. -2005. - Т.
39, № 3. - С. 388.
.Микитчук, К.Б. Нелинейная генерация разностной частоты
среднего инфракрасного диапазона в волноводах с модулированным профилем
диэлектрической проницаемости / К.Б. Микитчук, А.А. Афоненко // Физика и
техника полупроводников. -2012. - Т. 46, № 1. - С. 121 - 124.
. Микитчук, К.Б. Нелинейная генерация разностной частоты
среднего и дальнего ИК в волноводах с модулированным профилем диэлектрической
проницаемости и поверхностным выводом излучения / К. Б. Микитчук, А.А. Афоненко
// Сборник статей 8-го Белорусско-Российского семинара «Полупроводниковые
лазеры и системы на их основе» (17-20 мая 2011г, Минск) - Минск: ИФ НАН Б,
2011. - С. 42.
.Микитчук, К.Б. Нелинейная генерация разностной частоты в
волноводах с модулированным профилем диэлектрической проницаемости / К.Б.
Микитчук, А.А. Афоненко // Квантовая электроника. Материалы VIII Международной
научн.-техн. конф. (Минск, 22-25 ноября 2010 г.) - Минск: БГУ, 2010. - С. 82.
. Микитчук, К.Б. Численное моделирование процессов
нелинейного преобразования в волноводах с модулированным профилем
диэлектрической проницаемости / К.Б. Микитчук // Материалы 67-й научной
конференции студентов и аспирантов БГУ (17-20 мая 2010 г., Минск) - Минск: БГУ
- С. 148.
. Микитчук, К.Б. Моделирование характеристик оптоэлектронного
генератора // Материалы Республиканской научной конференции студентов и
аспирантов Республики Беларусь «НИРС-2011» (18 октября 2011 г., Минск) - Минск:
БГУ - С. 32.
25.Navid, R. Close-in phase noise in electrical
oscillators / R. Navid, C. Jungemann, T. H. Lee, R. W. Dutton // Proc. SPIE
Symp. Fluctuations and Noise - 2004. Vol. 1.- P.1.
. Ferre-Pikal, E.S. Draft revision of IEEE STD
1139-1988 standard definitions of physical quantities for fundamental frequency
and time metrology - Random instabilities / E.S. Ferre-Pikal, J.R. Vig, J.C.
Camparo, [et al.] // IEEE International Frequency and Control Symposium. -
2002. - 338-357.
.Okusaga, O. Study of dual injection-locked
optoelectronic oscillators / O. Okusaga // Ph. D. thesis, UMI #3408186. - 2010
. Levy, E.C. Modeling optoelectronic oscillators /
E.C. Levy, M. Horowitz, C.R. Menyuk // JOSA B. - 2009. - Vol. 26, №1, p.148 -
158
.Nonlinear dynamics and spectral stability of
optoelectronic microwave oscillators Chembo, Y.K.; Larger, L.; Colet, P.;
Quantum Electronics, v.44, n.9, Sept. 2008, p.858-866.
. Shieh, W. Phase noise of optical interference in
photonic RF systems / W. Shieh, L. Maleki // Photonics Technology Letters. -
1998. - Vol. 10, № 11. - P. 1617-1619.
31.Корн, К. Справочник по математике для инженеров и научных
работников / К. Корн, Г. Корн - 2-е изд. - Москва: Наука, 1973. - 831 с.
32. Microwave photonics Devices and applications /
editor S. Iezekiel -UK:Willey, 2009. - 360 p.