Исследование распределений температуры в полосковых проводниках
Исследование
распределений температуры в полосковых проводниках
Содержание
Введение
. Описание установки
. Проведение эксперимента
Вывод
Литература
Введение
Измерение теплового поля тонких полосковых
проводников может быть осуществлено различными методами, каждый из которых
связан с некоторыми трудностями. Контактный метод измерения не подходит, так
как высока теплоемкость контактирующего материала. Для измерения теплового поля
хорошо подходит пирометрический метод, но для проведения измерений необходимо
подготовить исследуемый объект. Трудности пирометрического метода измерения
связаны с отражением света с поверхности исследуемого материала, неровностью
поверхности и т. д.
Измерение коэффициента теплоотдачи также
является большой проблемой, так как нет таблиц, в которых можно найти
соответствующие значения. Отсутствие таблиц связано с тем, что данный
коэффициент зависит от очень многих параметров (геометрии объекта, положения в
пространстве и т.д.)
В ходе данной курсовой работы был рассчитан
коэффициент теплоотдачи с поверхности различных проводников, а также проведено
экспериментальное измерение температурного поля полосковых проводников
пирометрическим методом с помощью ИК-термографа SAT-S160
1. Описание установки
В качестве образцов для измерения температурного
поля использовались полосковые проводники двух типов. Одни проводники были
изготовлены из бытовой алюминиевой фольги, толщиной 15 мкм, и покрашены
аэрозольной эмалью "Touch’n
Tone". Вторые проводники
были изготовлены из матовой черной фольги для кинопроизводства "Black
Aluminum
Wrap", толщиной 50
мкм. Поверхность данной фольги обработана специальным образом для уменьшения
нежелательных отражений. В ходе работы были использованы проводники различной
формы: проводники, изогнутые под прямым углом и проводники в виде полосок. Все
проводники, использованные в данной работе, имели ширину 10 мм.
Проводники нагревались постоянным электрическим
током, вырабатываемым стандартным источником питания Mastech
DC Power
Supply HY3030E,
который позволяет получить ток до 30 A.
Проводники подключались последовательно к реостату и к источнику тока.
Распределение температуры по поверхности
исследуемых образцов определялось при помощи ИК-термографа SAT-S160,
позволяющего получать как картину распределения температуры, так и сами
значения температуры в любой точке объекта. Диапазон измерения температуры от
-20°С до +250°С с точностью до 2°С, но не более 2%.
2. Проведение эксперимента
проводник пирометрический теплоотдача
термограф
Для определения коэффициента теплоотдачи были
использованы проводники в виде полосок. Термографом было измерено тепловое поле
пластинок. Ниже представлены картины распределения температуры в проводниках.

Распределение на рис.1 а) более равномерное, чем
на рис.1 б). Это обстоятельство связано с тем, что в местах температурных
максимумов на рис.1 б) фольга плохо прилегает к поверхности подставки.
Коэффициент теплопроводности у воздуха намного меньше, чем у материала
подставки, поэтому наблюдается температурная неоднородность.
Определим теоретическое значение коэффициента
теплопроводности. Необходимо учитывать, что на перераспределение тепла,
выделяемого протекающим по проводнику током, влияют три процесса:
теплопроводность, конвекционная теплоотдача с поверхности проводника и
излучение. Для описания механизмов излучения, естественной и принудительной конвекции
можно воспользоваться законом Ньютона-Рихмана с эффективным коэффициентом
теплоотдачи:
где 
- коэффициент теплоотдачи при
естественной конвекции,
- коэффициент теплоотдачи при
принудительной конвекции,

- коэффициент теплоотдачи при
излучении, в предположении, что проводник является серым телом,

- температура поверхности
проводника, 
- температура окружающей среды, 
- длина проводника в направлении
обдувающего потока воздуха, 
- характерная длина проводника, 
- постоянная Стефана-Больцмана, 
- степень черноты, 
- скорость обдувающего воздуха.
Параметры 
и 
равны 0,71
и 0,35
,
соответственно, для вертикальной поверхности, 1,0
и 0,25, соответственно, для
горизонтальной поверхности, повернутой вниз. Характерная длина вычисляется как

,
где 
и 
- ширина и длина поверхности,
соответственно.
Теоретические расчеты показали, что
коэффициенты теплоотдачи для кухонной фольги и фольги для кинопроизводства
равны соответственно 
и 
.
Экспериментально коэффициент
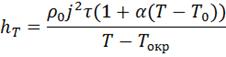
теплоотдачи определялся из следующих соображений. Запишем уравнение теплового
баланса для полосковых проводников
где 
- коэффициент теплоотдачи, 
- температура поверхности
проводника, 
- температура окружающей среды
(комнатная), 
- удельное сопротивление
проводящего материала (алюминий), 
- плотность тока в проводнике, 
- толщина проводника, 
- ширина проводника.
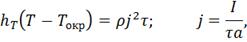
Также известно, что удельное
сопротивление проводника имеет зависимость от температуры следующего вида:
где 
- температурный коэффициент
сопротивления (алюминий), 
- удельное сопротивление при
температуре 
.
Коэффициент теплоотдачи для кухонной
фольги равен 
, а для фольги для кинопроизводства 
.
Завышенные коэффициенты по сравнению
с расчетными значениями связаны с тем, что рассматриваемый проводник не
является абсолютно черным телом. Измеренная температура может оказаться заниженной
по сравнению с реальной, что, при расчете, приводит к большему коэффициенту
теплоотдачи.
Указанные выше коэффициенты был
посчитаны для проводников с параметрами, приведенными в таблице:
|
Кухонная
фольга
|
Фольга
для кинопроизводства
|
|
|
0,028
|
|
|
7
|
22
|
|
|
4,3*10-3
|
|
|
60
|
90
|
|
|
20
|
|

|
|
|
15
|
50
|
|
|
10
|
Далее были проведены измерения теплового поля
для проводников, изогнутых под прямым углом. Ниже представлены картины
распределения температуры в этих проводниках.
Рис. 2 а) - тепловое распределение в пластинке,
толщиной 15 мкм и шириной 10 мм, покрашенной вручную, при прохождении через нее
тока в 7 А. Как видно, распределение температуры неравномерное; б) - тепловое
распределение в пластинке, толщиной 50 мкм и шириной 10 мм, покрашенной
равномерно промышленным методом, при прохождении через нее тока в 22 А.
Распределение температуры гораздо более равномерно, чем для пластинки,
покрашенной вручную.
На рис.2 а) наблюдаются неоднородность. Такая
неоднородность связана с положением проводника на подставке. В некоторых местах
проводник не прилегает к подставке, то есть проводник контактирует с воздухом с
обеих сторон. Теплопроводность воздуха на много порядков меньше
теплопроводности материала подставки, поэтому в местах плохого прилегания
проводника к подставке наблюдаются температурные максимумы. Также свой вклад
вносит и отражение света с поверхности проводника, так как качество покраски не
является идеальным. Ввиду слишком большой неоднородности не представляется
возможным качественное сравнение температурного распределения в кухонной фольге
с теоретическим.
Однако, несмотря на неоднородность, можно
сравнить экспериментальную и теоретическую зависимости температуры во
внутреннем угле проводника от протекающего по нему тока.
Рис. 3 - Экспериментальная и теоретическая
зависимости температуры во внутреннем угле проводника от протекающего по нему
тока
Как видно на рис.3, теоретическая и
экспериментальная зависимости сходятся в пределах погрешности.
Для того, чтобы избежать проблем, возникающих
при использовании тонкой фольги, была использована фольга большей толщины, а
именно 50 мкм. Как видно на рис.2 б) распределение температуры для проводника
большей толщины более равномерное, т. е. отсутствуют ярко выраженные
температурные максимумы и минимумы.
Ниже представлены картины теоретического и
экспериментального распределений температуры для толстой фольги, изогнутой под
прямым углом. Для расчета были использованы коэффициенты теплоотдачи,
полученные ранее.
Рис. 4 а) - экспериментальное тепловое
распределение в пластинке, толщиной 50 мкм и шириной 10 мм, покрашенной
равномерно промышленным методом, при прохождении через нее тока в 22 А; б) -
теоретическое распределение температуры в пластинке, толщиной 50 мкм и шириной
10 мм при прохождении через нее тока в 22 А.
Как видно из рис.4 а) и рис.4 б), теоретическое
распределение температуры качественно и количественно соответствует измерению
температурного поля с помощью ИК-термографа. Во внутреннем угле отсутствует
ярко выраженный перегрев, что связано с явлением теплопроводности. Уменьшение
температуры на периферии связано с тем, что в этих местах к фольге крепились
контакты, соответственно фольга сильнее прилегала к подставке.
Вывод
В ходе работы выяснилось, что возможно измерение
температурного поля для полосковых проводников. Для образца, однородно
покрытого краской промышленным методом, результаты оказались более стабильными
во многом благодаря отсутствию деформации.
Измерения температурного поля, проведенные для
двух различных проводников, изогнутых под прямым углом, соответствуют
теоретическим расчетам.
Таким образом, пирометрическим методом можно
измерять температурное поле различных объектов с точностью до долей градуса (в
зависимости от прибора).
Также возможно использование данного метода для
проверки однородности материала полоскового проводника.
Литература
1. Remsburg R. Thermal design
of electronic equipment. - Boca Raton. CRC Press LLC, 2001.
. Lai Y.-S., Kao C.-L.
Electrothermal coupling analysis of current crowding and Joule heating in
flip-chip packages. - Microelectronics Reliability. - 2006. - Vol. 46. - P.
1357-1368.
. Guenin B. M., Marrs R. C.,
Molnar R. J. Analysis of a thermally enhanced ball grid array package. - IEEE
Trans. Components Packag. Manuf. Technol. December 1995. - Vol. 18, no. 4. -
Pp. 749-757.
. Shaukatullah H., Gaynes M.
A., White L. H. A non-dimensional correlation for the external thermal
characteristics of surface mount metal quad flat packs // Proc 1994
interSociety conference on thermal phenomena in electronic systems. -
Washington, DC: 1994. - P. 237-244.