|
1.
|
Частота
|
900
МГц
|
|
2.
|
Число
излучателей
|
5
|
|
3.
|
Уровень
боковых лепестков
|
-15
дБ
|
|
4.
|
Угол
наклона главного лепестка
|
9
|
|
5.
|
Конструктивное
исполнение
|
моноблок
|
|
6.
|
Входное
сопротивление
|
75
Ом
|
Необходимо разработать конструкцию
диаграммообразующей схемы на основе микрополосковой линии. Схема состоит из
делителя мощности на основе микрополосковой линии, с направленным
распределением поля на выходе.
Делителями мощности называют многополюсные
устройства, предназначенные для распределения мощности, поданной на вход
другими входами в заданном соотношении. В устройствах без потерь сумма входных сигналов
равна сумме выходных. В общем случае делители должны удовлетворять требованиям:
1) деление сигнала в заданном соотношении;
2) согласование всех плеч;
) развязка выходных плеч;
) широкополосность.
Простейшим делителем мощности является
разветвление линии передачи. Разветвление может быть последовательным (рис.2,а)
и параллельным (рис.2, б).
На полосковых линиях реализуются только
разветвления параллельного типа.
В качестве диаграммобразующей схемы могут
использоваться Т и Y-образные
разветвление, кольцевые схемы мостов, резистивные делители мощности. Мы же
будем использовать топологию, изображенную на (Рис.3).
а)
б)
Рис.2. Типы разветвления линии передачи.
Рис. 3. Делитель типа «гребёнка»
С помощью каскадного включения данного типа
делителя можно делить мощность, в принципе, на любое число каналов, в нашем
случае на 5 каналов. Так как у нас распределение мощности по каналам
неравномерное, то данный вид делителя будет самым удобным.
Далее определимся с диэлектрическими материалами
и проводниками микрополосковой линии.
При эксплуатации микрополоскового узла на него
воздействуют как внешние факторы, приводящие к отказам по причинам, не
зависящим от самой аппаратуры, так и внутренние, зависящие от особенностей
работы аппаратуры.
К внешним факторам относятся климатические и
механические воздействия, а также электромагнитные излучения. Последние могут
вызвать намагничивание, приводящее к изменению выходных параметров, изменению
электрических свойств материалов, местному или другому виду нагрева. К
внутренним факторам относятся режимы работы, процессы старения. В зависимости
от режима работы в аппаратуре возникают различные перенапряжения, резкие изменения
тока из-за переходных процессов.
Так как, у нас частота равна 900МГц, то размеры
платы получатся большими, поэтому в качестве диэлектрического материала возьмем
фольгированный фторопласт-4 (ФФ-4), который предназначен для изготовления
СВЧ-плат больших размеров. Данный материал обладает хорошими характеристиками,
такими как высокая плотность, химическая стойкость, тепло- и морозостойкость,
низкий коэффициент трения, малые диэлектрические потери, высокая стабильность
параметров в диапазоне частот и температур. К недостаткам, наверное, можно
отнести высокую стоимость.
Проводники, как правило, необходимо выполнять из
металлов с малым удельным сопротивлением. Мы же остановимся на меди.
Для того чтобы разработать ДОС, необходимо:
1) задать волновое сопротивление
тракта 
и выбрать
-
диэлектрическую постоянную материала подложки, поддерживающей микрополосок;
) рассчитать размеры
нессиметричной микрополосковой линии;
) рассчитать амплитудное
распределение поля делителя, в зависимости от уровня боковых лепестков;
) рассчитать коэффициенты
деления мощности и составить матрицу рассеяния;
) в соответствии с
полученными коэффициентами мощности рассчитать топологию делителя.
Основные параметры выбранных материалов:
Диэлектрик - ФФ-4:
Проводник - медь:
Удельное электрическое сопротивление
В большинстве случаев достаточно,
чтобы толщина проводника в МПЛ составляла 3-5 глубин проникновения токов
(скин-слоев). Мы же возьмем МПЛ с фольгированной поверхностью в процессе
изготовления толщиной t=0,05мм. Толщину диэлектрика h выберем
равной 2мм. Нессиметричная микрополосковая линия представлена на рис.4.
Рис. 4 Нессиметричная микрополосковая линия.
. Описание работы ДОС
С помощью каскадного включения делителей,
показанных на рисунке 5, получим:
Рис. 5 Схема включения делителей.
Работа данного делителя основана на том, что
мощность сигнала на входе распределяется между плечами делителя в зависимости
от их сопротивления. Таким образом, система уравнений для определения волновых
сопротивлений участков делителя выглядит так:
(1)
Чтобы найти сопротивление четвертьволновых
трансформаторов можно воспользоваться следующими формулами:
,
,
, (2)
,
,
Данный делитель мощности - с
параллельным разветвлением линии передачи, следовательно, необходимо
пользоваться следующей формулой:
,
где
,
- мощности, отводимые во i-ое и в j-ое плечо,
,
- волновые
сопротивления i-ого и j-ого плеча,
-
коэффициент деления по мощности.
Отсюда получаем, что:
(3)
Таким образом, сопротивления всех проводников
находятся по вышеуказанным формулам.
Представим наш делитель в виде многополюсника
следующего вида:
Рис.6 Представление делителя в виде
многополюсника.
Тогда его можно охарактеризовать матрицей
рассеяния следующёго вида:
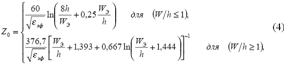
(4)
где
В идеальном случае, элементы главной диагонали =
0, т.е. отражения от входов устройства нет.
. Результаты расчетов
Сначала определим длину волны и расстояние между
плечами. Их можно найти по формулам:
По заданной частоте находим длину волны в
свободном пространстве:
Найдем длину волны, распространяющейся в линии
передачи:
Определим расстояние между
излучателями.
При расчёте ширины ДН линейной
решётки при отклонении луча от нормали вводится понятие эквивалентной длины
решётки.(рис.4)
При увеличении угла отклонения
эквивалентная длина уменьшается, а ширина ДН согласно формулам (2. табл. 2.1)
увеличивается.
В двумерной плоской решетке при
отклонении главного максимума от направления нормали к раскрыву в какой-либо
плоскости можно считать, что ширина ДН изменяется тоже только в этой плоскости;
это утверждение тем точнее, чем больше размеры решетки.
Рис.7. Эквивалентная длина антенной
решетки.
Далее найдем амплитудное распределение
в плечах. Для этого мы используем заданный нам уровень боковых лепестков,
равный -15 дБ. Для уровня боковых лепестков -15,8 дБ, что обеспечивает более
меньший уровень боковых лепестков чем заданное, характерен следующий закон
изменения амплитуды поля (5. табл. 2.1):
,
где x -
координата каждого из излучателей, Д - значение амплитудного пьедестала и для
уровня боковых лепестков -15,8 дБ Д=0,8. Из вышеуказанной формулы получим:
Из нашего амплитудного распределения найдем
коэффициенты деления мощности . Для этого проведем нормировку. Получим:
Рис. 8. Амплитудное распределение в плечах.
Найдем фазовые набеги в каждом плече делителя по
формуле
,
где угол наклона главного лепестка
, волновое
число
, а d -
нормированное расстояние между соседними излучателями.
Находим фазовый набег:
Переводим в длину:
Далее найдем сопротивления каждого
полоска, всего их 21 (Рис.5). Некоторые из них, а именно волновые сопротивления
на входе и выходе уже заданы и равны
, из условия, что МПЛ должна быть
согласована по входу и выходу с коаксиальной линией. Для нахождения всех
остальных сопротивлений воспользуемся формулами (1)-(3).
Для упрощения расчета возьмем
, тогда и
.
Так как
,
следовательно, четвертьволновый трансформатор Z14 вообще не
нужен и схема примет вид( Рис.9).
Рис. 9. Схема включения делителей
после расчёта сопротивлений полосков.
Далее необходимо найти ширину
проводников, от которых зависит сопротивление линии. Значения ширины
проводников можно найти по следующим формулам:
где,
По вышеуказанным формулам можно
найти выражение
, через
которое можно определить ширину полоски.
Данная работа намного упрощается,
если воспользоваться специализированными программными продуктами. Мы же будем
рассчитывать ширину полоски в программном продукте «Microwave Office 2000».
Сведения о характеристиках
материалов микрополосковой линии содержатся в окне TXLine(Калькулятор
линии передачи). Здесь, вводя параметры линии можно получить ширину полоски W и
эффективную диэлектрическую проницаемость
. На Рис.10 показан один из примеров
ввода и расчёта заданных параметров при помощи калькулятора линии передачи.
Таблица 2
|
Волновое
сопротивление, Ом
|
Ширина
полоска, мм
|
|
Z0
|
75
|
W0
|
3,354592
|
|
Zтр.
|
28.98
|
Wтр.
|
13,76402
|
|
Z1
|
11,20
|
W1
|
39,89497
|
|
Z2
|
13,17
|
W2
|
35.17165
|
|
Z3
|
18,16
|
W3
|
24,31853
|
|
Z4
|
29,30
|
W4
|
13,57279
|
|
Z5
|
74.76
|
W5
|
3,374219
|
|
Z6
|
48,16
|
W6
|
6,893758
|
|
Z7
|
47.74
|
W7
|
6,983088
|
|
Z8
|
48,25
|
W8
|
6,874828
|
|
Z9
|
75
|
W9
|
3,354592
|
|
Z10
|
74.88
|
W10
|
3.364388
|
|
Z11
|
60,10
|
W11
|
4,901581
|
|
Z12
|
59.84
|
W12
|
4,936001
|
|
Z13
|
60,16
|
W13
|
4,893683
|
Рис.10 Окно калькулятора линии
передачи при
Для построения самой
диаграммобразующей схемы нам не хватают значения длин проводников, которые
зависят от эффективной диэлектрической проницаемости
, последняя
же зависит от ширины полоска w (4).
Таблица 3
|
Ширина
полоска, мм
|
Эффективная
диэлектрическая
проницаемость
|
|
W0
|
1.688447
|
|
Wтр
|
13,76402
|
1.827857
|
|
W1
|
39,89497
|
1.924587
|
|
W2
|
35.17165
|
1.914969
|
|
W3
|
24,31853
|
1.883536
|
|
W4
|
13,57279
|
1.826419
|
|
W5
|
3,374219
|
1.688948
|
|
W6
|
6,893758
|
1.756443
|
|
W7
|
6,983088
|
1.757747
|
|
W8
|
6,874828
|
1.756164
|
|
W9
|
3,354592
|
1.688447
|
|
W10
|
3.364388
|
1.688697
|
|
W11
|
4,901581
|
1.722868
|
|
W12
|
4,936001
|
1.723535
|
|
W13
|
4,893683
|
1.722714
|
Формула нахождения длины i-го
полоска выглядит следующим образом:
где
- длина волны в линии
Таблица 4
|
длина
волны в линии, м
|
длина
проводника, мм
|
|
0
|
0.180852
|
45.213
|
|
тр.
|
0.17382
|
43.45
|
|
1
|
0.1694
|
42.35
|
|
2
|
0.1698
|
42.45
|
|
3
|
0.17123
|
42.81
|
|
4
|
0.1739
|
43.47
|
|
5
|
0.180825
|
45.211
|
0.177317
|
44.32
|
|
7
|
0.177251
|
44.31
|
|
8
|
0.177331
|
44.33
|
|
9
|
0.180852
|
45.213
|
|
10
|
0.180839
|
45.20
|
|
11
|
0.1790366
|
44.759
|
|
12
|
0.179002
|
44.75
|
|
13
|
0.1790446
|
44.761
|
По полученным данным можем построить саму
диаграммобразующую схему, в рабочем окне Microwave
Office она выглядит
следующим образом(см. Рис11. или Приложение 1)
Рис.11 Вид диаграммобразующей схемы, в рабочем
окне Microwave
Office
Путём несложных операций в Microwave
Office можно получить
общий вид проектируемого делителя мощности. (Рис.12)
Рис. 12
Общий
вид делителя
Также легко в Microwave
Office можно получить
коэффициенты деления, которые представлены в рисунке 9. Как видим, в 4-ое плечо
ответвляется наибольшая часть мощности, поданная на вход, в 3-ье и 5-ое - чуть
меньшее значение, а во 2-ое и в 6-ое минимальная часть.
Рис.13 Коэффициенты деления
В идеальном случае, элементы главной диагонали =
0, т.е. отражения от входов устройства нет. В нашем же случае матрица рассеяния
имеет вид:
Теперь, имея все численные значения
и учитывая все выдвинутые ранее требования, мы можем преступить к
непосредственной разработке платы и корпуса нашего делителя.
Сначала определимся с размером
платы, возьмем ее равной 335Ч205мм. Расстояние между выводами должно быть
кратно 1,5мм, мы же возьмем 39 мм. Так как длины всех выводов разные, а нам
необходимо расположить их по одной линии, то следует с помощью изгибов свести
их к определенной длине, пусть это будет 134,3мм. В местах изгибов сделаем
зеркальные отражатели. Делаются они следующим образом:
Рис. 14
Разработку платы и корпуса нашего
делителя, а также все чертежи и конструкторскую документацию будем производить
в программе «КОМПАС 3D-V8».
Заключение
Нам удалось решить задачу деления
мощности между излучателями в антенной решётке. Получившееся устройство делит
мощность на заданной частоте в заданном соотношении, имеет малые потери.
Устройство включается посредством коаксиальных кабелей с сопротивлением 75Ом.
ОТТД:
Габаритные размеры: 361х231х39
мм.
Устройство выполнено из
легкосплавных материалов и покрыто эмалью, что позволяет сохранить его от
коррозии и попадания посторонних предметов внутрь корпуса.
Список использованной литературы
1. Авксентьев А.А., Воробьев Н.Г.,
Морозов Г.А., Стахова Н.Е. Устройства СВЧ для радиоэлектронных систем: Учебное
пособие. Казань: Изд-во Казан. гос. Техн. Ун-та, 2004. 96с.
2. Антенны и устройства СВЧ:
Проектирование
фазированных антенных решёток. Под. ред. Воскресенского Д.И. Москва: Радио и
связь, 1981, 432 с.
. Малорацкий Л.Г.
Микроминиатюризация элементов и устройств СВЧ. Москва: Советское радио, 1976.
С.164-170
. Справочник по расчёту и
конструированию СВЧ полосковых устройств. Под. ред. Вольмана В.И. Москва: Радио
и связь, 1982. С.188-189
5. Фельдштейн А.Л., Явич Л.Р.,
Смирнов В.П. Справочник по элементам волноводной техники: Издание 2-е,
переработанное и дополненное. Москва: Советское радио, 1967. С.214-230
Приложение 1
Приложение 2
Информация
Дата 20.01.2009
Документ Чертеж D:\Женя\Учёба\СВЧ Антены\Женя
ДОС\Плата делителя А1.cdw
Координаты точки
Точка 1= 16.765876 мм= 169.169798 мм= 170.329913
мм= 83° 18' 32.481909" (83.309023°)
Точка 2
x = 16,765876 мм=
172.569798 мм= 173.707208 мм=
83° 26' 22.880435" (83.439689°)
Точка 3= 65.045877 мм= 172.569798 мм= 184.421532
мм= 69° 20' 50.344271" (69.347318°)
Точка 4= 65.045877 мм= 177.669798 мм= 189.202334
мм= 69° 53' 31.371020" (69.892048°)
Точка 5
x = 65.045877 мм=
164.169798 мм= 176.586208 мм=
68° 23' 9.546896" (68.385985°)
Точка 6= 108.645878 мм= 177.669798 мм=
208.255814 мм= 58° 33' 14.498076" (58.554027°)
Точка 7= 108.645878 мм= 164.169798 мм=
196.809375 мм= 56° 31' 41.151800" (56.528098°)
Точка 8
x = 108.645878 мм=
190.769798 мм= 219.538249 мм=
60° 20' 16.530984" (60.337925°)
Точка 9= 108.645878 мм= 151.069798 мм=
186.022287 мм= 54° 18' 7.909826" (54.302197°)
Точка 10= 150.945878 мм= 190.769798 мм=
243.264823 мм= 51° 38' 50.377098" (51.647327°)
x = 150.945878 мм=
185.969798 мм= 239.519152 мм=
50° 56' 5.424931" (50.934840°)
Точка 12= 193.445879 мм= 185.969798 мм=
268.339475 мм= 43° 52' 16.243805" (43.871179°)
Точка 13= 193.445879 мм= 175.269798 мм=
261.037948 мм= 42° 10' 40.265529" (42.177852°)
Точка 14
x = 236.245880 мм=
175.269798 мм= 294.162570 мм=
36° 34' 17.616528" (36.571560°)
Точка 15= 236.245880 мм= 164.569798 мм=
287.915498 мм= 34° 51' 40.388947" (34.861219°)
Точка 16= 279.745880 мм= 164.569798 мм=
324.562746 мм= 30° 28' 3.300697" (30.467584°)
Точка 17
x = 279.745880 мм=
154.669798 мм= 319.656853 мм=
28° 56' 16.581434" (28.937939°)
Точка 18= 315.045881 мм= 154.669798 мм=
350.965317 мм= 26° 8' 54.384688" (26.148440°)
Точка 19= 317.540222 мм= 150.749854 мм=
351.507199 мм= 25° 23' 44.453615" (25.395682°)
Точка 20
x = 313.945881 мм=
151.069798 мм= 348.402210 мм=
25° 41' 48.183169" (25.696718°)
Точка 21= 317.540222 мм= 16.849852 мм= 317.986965
мм= 3° 2' 14.913867" (3.037476°)
Точка 22= 313.945881 мм= 16.769796 мм=
314.393451 мм= 3° 3' 27.420917" (3.057617°)
Точка 23
x = 279.327992 мм=
151.069798 мм= 317.562925 мм=
28° 24' 21.549109" (28.405986°)
Точка 24= 279.327992 мм= 106.769797 мм= 299.038320
мм= 20° 55' 7.536656" (20.918760°)
Точка 25= 278.320813 мм= 106.769797 мм=
298.097743 мм= 20° 59' 16.362228" (20.987878°)
Точка 26
x = 278.320813 мм=
16.769796 мм= 278.825574 мм=
3° 26' 53.163756" (3.448101°)
Точка 27= 274.906821 мм= 16.769796 мм= 275.417839
мм= 3° 29' 26.940533" (3.490817°)
Точка 28= 274.906821 мм= 61.969797 мм=
281.804925 мм= 12° 42' 12.044910" (12.703346°)
Точка 29
x = 273.502309 мм=
61.969797 мм= 280.434964 мм=
12° 45' 59.214345" (12.766448°)
Точка 30= 273.502309 мм= 106.769797 мм=
293.603990 мм= 21° 19' 28.822693" (21.324673°)
Точка 31= 272.513633 мм= 106.769797 мм=
292.683224 мм= 21° 23' 42.200125" (21.395056°)
Точка 32
x = 272.513633 мм=
151.069798 мм= 311.585885 мм=
29° 7.540939" (29.002095°)
Точка 33= 236.945880 мм= 151.069798 мм=
281.007889 мм= 32° 31' 13.436192" (32.520399°)
Точка 34= 236.699048 мм= 106.769797 мм=
259.665610 мм= 24° 16' 44.764143" (24.279101°)
Точка 35
x = 235.691869 мм=
106.769797 мм= 258.747844 мм=
24° 22' 14.897531" (24.370805°)
Точка 36= 235.691869 мм= 16.769796 мм=
236.287712 мм= 4° 4' 11.329594" (4.069814°)
Точка 37= 232.277877 мм= 16.769796 мм=
232.882456 мм= 4° 7' 45.933466" (4.129426°)
Точка 38
x = 232.277877 мм=
61.969797 мм= 240.402304 мм=
14° 56' 17.168004" (14.938102°)
Точка 39= 230.873365 мм= 61.969797 мм=
239.045532 мм= 15° 1' 29.568314" (15.024880°)
Точка 40= 230.873365 мм= 106.769797 мм=
254.366469 мм= 24° 49' 7.226097" (24.818674°)
Точка 41
x = 229.884689 мм=
106.769797 мм= 253.469446 мм=
24° 54' 44.934853" (24.912482°)
Точка 42= 229.884689 мм= 151.069798 мм=
275.080087 мм= 33° 18' 39.973203" (33.311104°)
Точка 43= 193.445879 мм= 151.069798 мм=
245.445293 мм= 37° 59' 15.838536" (37.987733°)
Точка 44
x = 193.445879 мм=
106.769797 мм= 220.954968 мм=
28° 53' 45.236034" (28.895899°)
Точка 45= 192.438700 мм= 106.769797 мм=
220.073721 мм= 29° 1' 21.387248" (29.022608°)
Точка 46= 192.438700 мм= 16.769796 мм=
193.168008 мм= 4° 58' 49.358560" (4.980377°)
Точка 47
x = 189.024708 мм=
16.769796 мм= 189.767137 мм=
5° 4' 11.509465" (5.069864°)
Точка 48= 189.024708 мм= 61.969797 мм=
198.923593 мм= 18° 9' 4.304846" (18.151196°)
Точка 49= 187.620196 мм= 61.969797 мм=
197.589457 мм= 18° 16' 41.057246" (18.278071°)
Точка 50
x = 187.620196 мм=
106.769797 мм= 215.872943 мм=
29° 38' 35.102528" (29.643084°)
Точка 51= 186.631520 мм= 106.769797 мм=
215.014218 мм= 29° 46' 24.199454" (29.773389°)
Точка 52= 186.631520 мм= 151.069798 мм=
240.111241 мм= 38° 59' 18.991382" (38.988609°)
Точка 53
x = 151.233845 мм=
151.069798 мм= 213.760987 мм=
44° 58' 8.069002" (44.968908°)
Точка 54= 151.179336 мм= 107.010301 мм=
185.219860 мм= 35° 17' 32.156557" (35.292266°)
Точка 55= 151.016803 мм= 107.011481 мм=
185.087903 мм= 35° 19' 17.876420" (35.321632°)
Точка 56
x = 151.016834 мм=
17.005955 мм= 151.971335 мм=
6° 25' 29.969211" (6.424991°)
Точка 57= 147.602842 мм= 17.005955 мм=
148.579277 мм= 6° 34' 20.327297" (6.572313°)
Точка 58= 147.602842 мм= 62.205956 мм=
160.175466 мм= 22° 51' 9.267953" (22.852574°)
Точка 59
x = 147.498300 мм=
62.211480 мм= 160.081281 мм=
22° 52' 8.140806" (22.868928°)
Точка 60= 147.498300 мм= 107.011481 мм=
182.228443 мм= 35° 57' 40.528418" (35.961258°)
Точка 61= 147.338300 мм= 107.011481 мм=
182.098961 мм= 35° 59' 26.955432" (35.990821°)
Точка 62
x = 147.352938 мм=
151.069798 мм= 211.033107 мм=
45° 42' 48.898731" (45.713583°)