|
Категория
грунта
|
Вид грунта
|
Плотность
грунта, кг/м3
|
Число ударов
плотномера ДорНИИ
|
Коэффициент
разрыхления, Кр
|
|
1
|
Песок, супесь,
мягкий суглинок, средней крепости, влажный и разрыхленный без включений
|
1200-1500
|
1-4
|
1,08-1,17
|
1.1 Расчет
основных параметров траншеи
По условиям задания диаметр трубопровода d = 1220 мм,
заглубление трубопровода h = 1,0 м, длина участка траншеи L = 40 км.
Для определения объемов работ по выемке грунта необходимо
определить форму и площадь сечения траншеи, а следовательно и ее параметры.
. Ширина траншеи по дну (рисунок 1):
Согласно [10, п.3.2] ширина траншей по дну принимается не
менее 1,5dтр м, то есть должна быть равна:
= 1,5dтр, (1)
где dтр - диаметр трубопровода, по таблице 1 принимаем dтр =
1220 мм.

.
2. Глубина траншеи:
Т=dтрh
C, (2)
где h - глубина заглубления трубопровода, по таблице 1
принимаем h = 1,0 м;- толщина мягкой подушки из песка, равная 0 м [9, п.5.7],
т.к. прокладка трубопровода осуществляется в целях, когда в основании траншеи
лежат полускальные горные породы.
. Длина основания трапеции:
= b+2×hТ×ctgβ, (3)
где b - ширина траншеи по дну равная 1,83 м;Т - глубина
траншеи равная 2,22 м;
β - угол откоса, равный
45°, ctg45° = 1,00 [2, стр.478, табл.4.9].
Принимаем а = 6,27 м.
. Площадь сечения траншеи:

(4)
Рисунок 1. Поперечный профиль траншеи трубопровода
5. Объем грунта в целике:
земли = Sсечен×L,
(5)
Где Sсечен - площадь сечения траншеи, равная 8,99 м2;-
длина участка траншеи, по табл.1, L = 40 км = 40000 м.
6. Фактический объем грунта:
фактич работ =Кр×Vземли, (6)
Где Kp - коэффициент разрыхления, по табл.2 принимаем
1,17;земли - объем грунта в целике, равный 359640 м3
. Объем работ на объекте:
Принимаем скорость строительства трубопровода 500 км/ год.
Время на сооружение трубопровода протяженностью 40 км:

, (7)
Где T - время, затраченное на строительство трубопровода,- длина
участка траншеи, по табл.1, L = 40 км = 40000 м.
υстр - скорость строительства, υстр = 500 км/год,
Время на подготовительные работы при строительстве трубопровода
составляет 50 % основного времени на строительство трубопровода:

, (8)
Где Т - основное время на сооружение трубопровода.
Принимаем 14 дней.
Согласно условиям задания для разработки траншеи при строительстве
магистрального трубопровода диаметром 1220 мм протяжённостью 40 км, 1-й
категории грунта потребуются: машины для подготовительных работ и машины для
разработки траншеи.
Для производства подготовительных работ потребуются следующие
машины: бульдозеры.
Для сооружения траншеи, исходя из категории грунта и объёмов
работ, выбираем одноковшовый экскаватор с обратной лопатой.
1.2 Расчет
объемов грунта, который необходимо вывезти
1. Объем трубопровода:


Где d - диаметр трубопровода, по таблице 1 принимаем d = 1220 мм;
L - длина участка траншеи, по табл.1 принимаем L = 40 км = 40000 м.
2. Машины для
подготовительных работ
В состав работ по подготовке строительной полосы вдоль трассы
будущего магистрального трубопровода входят валка леса, корчевка пней и
кустарника, удаление крупных камней, срезка бугров и засыпка впадин землей,
сооружение полок на склонах, возведение насыпей на болотах и т.д. Это делается
для того, чтобы обеспечить последующую работу специальных строительных машин.
Сейчас наиболее трудоемкие из этих видов строительных работ механизированы и
выполняются при помощи высокопроизводительных машин. Представляющих собой
навесное оборудование на тракторы: бульдозеров, кусторезов,
корчевателей-собирателей и рыхлителей. Эти строительные машины общего
назначения применяются также при строительстве дорог, прокладке просек,
мелиоративных работах и т.д.
2.1
Бульдозеры
Бульдозер - основная машина для подготовительных работ
(рисунок 8). Он применяется для планировки местности, срезки бугров, засыпки ям
и траншей, перемещения грунта на небольшие расстояния (до 100 м) и т.д.
Бульдозер может быть использован для валки деревьев с корнями, корчевания пней
и кустарников. В зимнее время его применяют для расчистки дорог и площадок от
снега.
Бульдозер состоит из базовой машины (трактора) и специального
навесного рабочего оборудования (отвала с рамой или толкающими балками).
По способу установки отвала относительно оси трактора
различают бульдозеры неповоротные и универсальные (поворотные) (рисунок 8).
Неповоротными называются бульдозеры, у которых отвал располагается только
перпендикулярно оси трактора, универсальными - когда отвал может быть
установлен как перпендикулярно оси трактора, так и под другим углом к ней, а
также повернут в вертикальной плоскости под углом 5-6° (изменение угла
перекоса).
Рабочий процесс бульдозера с неповоротным отвалом состоит из
операций копания, срезания стружки, перемещения грунта перед ним и
разравнивания грунта. Срезанный грунт, поднимаясь вверх по отвалу,
накапливается перед ним, образуя валик, близкий по форме к треугольнику в
поперечном сечении, называемый призмой волочения. При транспортировании грунта
катет призмы, прилегающей к отвалу, может достигнуть его высоты. После этого
отвал приподнимают, прекращая тем самым процесс резания, транспортируют срезанный
ранее грунт до места разгрузки.
При разработке грунта бульдозером универсального типа
срезаемый грунт будет перемещаться по ширине отвала, и отводиться в боковом, к
направлению движения машины, направлении. Наиболее эффективно последняя
операция совершается при установке отвала под углом к продольной оси, близким к
45o. Таким методом могут вестись работы при засыпке траншей,
разработке выемок на косогорах, разравнивании валиков грунта и т.п.
2.2 Расчет
основных рабочих параметров бульдозера
Рассмотри три бульдозера среднего класса с
поворотным отвалом ДЗ-60, ДЗ-109 и Komatsu 2XGMATY150. Технические характеристики данных
бульдозеров приведем ниже.
Рисунок 2. Схема бульдозера
Таблица 3. ДЗ-60
|
Показатели
|
ДЗ-60
|
|
Отвал: Длина,
мм Высота, мм
|
4860 1300
|
|
Угол, град:
резчик перекоса в плане
|
55 6 63
|
|
Управление
|
канатное
|
|
Масса, кг:
Бульдозерного оборудования Общая с трактором
|
4200 29200
|
|
Мощность, кВт
|
130
|
Таблица 4. Komatsu 2XGMATY150
|
Показатели
|
Komatsu 2XGMATY150
|
|
Отвал: Длина,
мм Высота, мм
|
3725 1315
|
|
Угол, град:
резчик перекоса в плане
|
55 6 63
|
|
Управление
|
гидравлическое
|
|
Масса, кг:
Бульдозерного оборудования Общая с трактором
|
3630 27030
|
|
Мощность, кВт
|
120
|
Таблица 5. ДЗ-109
|
Показатели
|
ДЗ-109
|
|
Отвал: Длина,
мм Высота, мм
|
3700 1170
|
|
Угол, град:
резчик перекоса в плане
|
55 6 63
|
|
Управление
|
гидравлическое
|
|
Масса, кг:
Бульдозерного оборудования Общая с трактором
|
2800 19450
|
|
Мощность, кВт
|
100
|
2.3 Тяговый
расчет бульдозера ДЗ-60
При разработке грунта бульдозером с неповоротным отвалом
(угол поворота отвала к оси трактора в плане равен 900) максимальное
сопротивление перемещению бульдозера Р в момент окончания набора
грунта отвалом складывается из следующих величин:
Р = Рр+ Рпр +
Рс + Рн + Рт, (24)
где Рр - сопротивление грунта
резанию;
Рпр - сопротивление перемещению
призмы грунта (призмы волочения) перед отвалом;
Рс - сопротивление от
скольжения грунта вверх по отвалу;
Рн - сопротивление трению
ножа отвала бульдозера по грунту;
Рт - сопротивление перемещению
тягача.
Рассчитаем каждую составляющую сопротивления перемещения
бульдозера P.

(25)
где Kp - коэффициент удельного сопротивления
резанию, принимаем 60000 Па (табл.6);
B = 4,86 м - длина отвала (табл.3);
φ - угол поворота в плане, φ = 63о, sin63o = 0,891;
h = 0,1H - средняя толщина стружки, примем 0,13 м;
H - высота отвала (1,3 м).
Таблица 6
|
Категория
грунта
|
Вид грунта
|
Удельное
сопротивление, кПа
|
|
|
Резанию, К
|
Одноковшовыми
экскаваторами
|
Многоковшовыми
экскаваторами
|
|
|
|
прямыми и
обратными лопатами
|
драглай-нами
|
ротор- ными
|
цепными
|
|
1
|
2
|
3
|
4
|
5
|
6
|
7
|
|
1.
|
Песок, супесь,
мягкий суглинок, средней крепости влажный и разрыхленный без включений
|
12 - 65
|
18 - 80
|
30 - 120
|
40 - 130
|
50 - 180
|

(26)
Где Gб. н - масса базовой машины, 25000 кг;
f - коэффициент, сопротивления перекатыванию, примем 0,1;
i - уклон местности, i = tgβ = tg50 = 0,087.

(27)
Где Gб.0 - масса базового отвала, 4200 кг;
µ - коэффициент трения грунта о сталь, принимаем 0,7;
K1 - коэффициент
несущей способности грунта, примем 50 кН/м2;
x - ширина нижней площадки ножа, x = 0,01 м.

(28)
Где g - ускорение свободного падения (9,81 м/с2);
f - коэффициент
трения грунта о грунт (f = 0,7)
(табл.7);
Vпр - объем
призмы волочения;
ρ - плотность грунта.
Таблица 7
Коэффициент трения
грунтов и материалов
|
Грунт
|
Коэффициент
трения грунта о грунт, f
|
Коэффициент
трения грунта о сталь, μ2
|
|
Песок
|
0,58.0,75
|
0,3.0,8
|
|
Суглинок
|
-
|
0,5.0,7
|
|
Глина сухая
|
0,7.1,0
|
0,75.1,0
|
|
Гравий
|
0,62.0,78
|
0,75
|
|
Глина,
насыщенная водой
|
0,18.0,42
|
0,10.0,40
|
|
Мергель
|
0,75.1,0
|
1,0.1,35
|
|
Щебень
|
0,90
|
0,84
|
|
Шлак доменный,
руда
|
1, 20
|
1, 20
|
|
Цемент
|
0,84
|
0,73
|

(29)
где Kрз - коэффициент разрыхления, 1,17;
tgφo - угол естественного откоса грунта, tg25o = 0,466 [8, стр.136, табл.35].

, (30)
где α - угол
резчика, α = 55о,
cos55o = 0,57.
Подставляя все значения величин сопротивления в формулу (24),
получаем:
Необходимая мощность (в Вт) базовой машины

(31)
гдеυ - скорость движения бульдозера, принимаем 2 км/ч;
η - механический КПД базовой машины, равный 0,75.
Запас мощности для данного бульдозера 5,47%. Данный результат
удовлетворяет условиям работы бульдозера. Следовательно данный бульдозер
подходит для проведения планировочных работ и работ, связанных с резанием и
перемещением грунта.
Планировочные работы производится бульдозером ДЗ-60, с гидравлическим
приводом поворотного отвала. Набор грунта осуществляется прямоугольным
способом, на глубину резания 0,1 м. Схема движения бульдозера - полоса рядом с
полосой.
Рисунок 3. Схема движения бульдозера
Найдем объем призмы волочения с учетом коэффициента потерь по
формуле:

(32)
Где Kпот - определяется по формуле Kпот =
1-0,005*L;
L = 30 м - ширина отводимых земель для одного подземного трубопровода
[2, стр.457];
φo - угол внутреннего трения горных пород,
примем φo = 25о
[8, стр.136, табл.35], tg25o = 0,466;
Kp - коэффициент разрыхления грунта, Kp = 1,17.
Найдем длину пути резания грунта:
Продолжительность работы машины t за один цикл слагается из следующих отрезков времени:
Где tnn - время переключения передач (tnn = 6 с);
t0 - время
опускания отвала (t0 = 2 с);
tпов -
время поворота бульдозера (tпов = 15 с);
,
где LР, LП - длины путей
резания и перемещения, м;о. x. = 5¸10 км/ч - скорость движения при обратном
ходе бульдозера.
Производительность бульдозера при резании и перемещении грунта
определяется по формуле:

(33)
где Kи - коэффициент использования бульдозера по времени, примем 0,9;
Kу -
коэффициент, учитывающей влияние уклона местности на производительность бульдозера
(табл.15), по заданию угол уклона 50.
Таблица 8
Значение коэффициента Ку
|
Угол подъема в
град.
|
Ку
|
Угол уклона в
град.
|
Ку
|
|
0.5
|
1,00.0,67
|
0.5
|
1,00.1,33
|
|
5.10
|
0,67.0,50
|
5.10
|
1,33.1,94
|
|
10.15
|
0,50.0,40
|
10.15
|
1,94.2,25
|
|
|
15.20
|
2,25.2,68
|
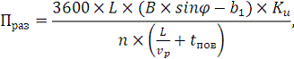
Производительность бульдозера при планировочных работах
(разравнивании грунта) определяется по формуле:
где: L - длина планируемого участка (40 км);
vp - скорость рабочего хода
2,0 км/ч, 0,556 м/с;
b1 - величина перекрытия прохода (b1 = 0,5 м);
n - число проходов по одному месту, принимаем n = 2;
φ - угол поворота отвала, φ = 63o, sin63o = 0,891.
Расчет количества бульдозеров.
Площадь строительной полосы:
,
где L - длина планируемого участка;п - ширина полосы
земель, отводимых для трубопровода (Lп = 30 м).
.
Объем грунта, снимаемого при резании:
,
где h - толщина срезаемого слоя. Принимаем h = 0,2 м.
Планировочные работы выполняются в одну смену по 12 часов.
Тогда общее время работы равно: tнеобх = 14·12 = 168 ч.
Тогда необходимая производительность будет
равна:
м2/ч.
Работы по резанию и перемещению грунта выполняются в одну
двенадцати часовую смену. Тогда общее время работы равно: tобщ =
14·12 = 168 ч.
Тогда необходимая производительность будет
равна:
м3/ч.
Необходимое количество бульдозеров:
при планировочных работах
Принимаем 3 бульдозера.
при резании и перемещении грунта
принимаем 6 бульдозеров.
По той же методике рассчитываем в программе Microsoft Excel 2010 основные параметры работы двух других бульдозеров и составим
сводную таблицу результатов.
Таблица 9
Сводная таблица расчетов
|
Параметры
|
Komatsu 2XGMATY150
|
ДЗ-109
|
|
Мощность
бульдозера, кВт
|
122,9
|
116,67
|
88,97
|
|
Производительность
бульдозера при резании и разрушении, м3/ч
|
317,9
|
302,4
|
263,8
|
|
Производительность
при разравнивании грунта, м2/ч
|
3449,2
|
2538,5
|
2518,5
|
|
Количество
бульдозеров:
|
|
при
планировочных работах, шт.
|
5,2
|
5,6
|
6,82
|
|
при резании и
перемещении грунта, шт.
|
2,07
|
2,8
|
2,83
|
По результатам сводной таблицы расчетов строим гистограммы
(рисунки 3,4).
Рисунок 3. График необходимого количества единиц техники для
рассмотренных вариантов машин при работах по резанию и перемещению
Рисунок 4. График необходимого количества единиц техники для
рассмотренных вариантов машин при планировочных работах
По результатам проведенного расчета можно сделать вывод, что
использование бульдозера ДЗ-60 является более выгодным, чем использование
остальных рассмотренных вариантов техники.
3. Машины для
разработки траншеи
3.1
Одноковшовые экскаваторы
Для разработки траншей в процессе
строительства магистральных нефтепроводов применяют экскаваторы циклического и
непрерывного действия.
Одноковшовые экскаваторы представляют
собой машины, предназначенные для разработки траншей и котлованов.
Одноковшовые экскаваторы являются машинами
общестроительного назначения. Они широко применяются при строительстве
магистральных трубопроводов.
Одноковшовые экскаваторы по конструктивным параметрам
разделяются на размерные группы. Конструктивные особенности экскаваторов,
отраженные в классификационных признаках разных групп, включают в себя: тип
ходового устройства и тип подвески рабочего оборудования.
По типу ходового устройства экскаваторы подразделяются
на гусеничные, пневмоколесные, на специальном шасси на базе трактора или
автомобиля.
По типу подвески рабочего оборудования экскаваторы
подразделяются на экскаваторы с гибкой подвеской (канатно-блочное управление,
механический привод) и на экскаваторы с жесткой подвеской (гидравлический
привод).
Основными параметрами одноковшовых экскаваторов, отраженных в
классификационных признаках являются: эксплуатационная масса, вместимость ковша
и мощность основного двигателя.
Различают геометрическую и номинальную вместимость (емкость)
ковша. В отличие от геометрической, номинальная вместимость ковша дополнительно
учитывает объем материала, разрабатываемого экскаватором и удерживаемого над
открытой поверхностью ковша (объем "шапки").
Мощность основного двигателя - мощность двигателя,
установленного на машине и являющегося приводом для механизмов экскаватора. В
большинстве экскаваторов основным двигателем является двигатель внутреннего
сгорания.
К технико-эксплуатационным параметрам одноковшовых
экскаваторов относятся: скорость передвижения, величина давления на грунт,
наибольший преодолеваемый угол подъема пути, глубина и радиус копания, высота
выгрузки и время выполнения операций рабочего цикла.
Основные рабочие размеры являются параметрами, определяющими
технологию экскаваторных работ. Для экскаваторов, оснащенных навесным
оборудованием обратной лопатой при проведении открытых выработок основными
рабочими параметрами являются: радиусы и высота копания и выгрузки,
кинематическая глубина копания, размеры ходового устройства экскаватора,
характеризуемые колеей и базой.
Основными видами сменного оборудования одноковшовых
экскаваторов с канатной подвеской являются: прямая и обратная лопаты, драглайн,
грейфер и кран. Каждый вид сменного оборудования требует соответствующей
запасовки канатов.
Гидравлические экскаваторы могут быть оснащены сменными
ковшами различной вместимости и формы, а также сменным оборудованием в виде
гидромолота, зуба рыхлителя различной конструкции или рыхлительным
оборудованием захватно-клещевого типа.
Рыхлительное оборудование в виде гидромолота, обеспечивающее
ударное разрушение разрабатываемых пород и негабаритов, как и зубья, рыхлители
укрепляются на оголовке стрелы экскаватора вместо ковша.
Рыхлительное оборудование захватно-клещевого типа
обеспечивает рыхление мерзлых и крепких пород без снятия ковша экскаватора.
Технологические схемы проведения одноковшовыми экскаваторами
открытых горных выработок делятся на: бестранспортную и транспортную. При
работе по бестранспортной схеме экскаватор укладывает породу из выработки в
отвал. При работе по транспортной схеме порода грузится в кузова транспортных
средств. Возможны различные варианты как бестранспортных, так и транспортных
технологических схем сооружения траншей одноковшовыми экскаваторами. По месту
расположения на дневной поверхности экскаватора и экскаваторного забоя
относительно торца и бортов проходимой выработки различают лобовую и боковую
закрытые проходки.
Лобовой проходкой экскаватор ведет разработку забоя по торцу
выработки, перемещаясь по дневной поверхности в контуре выработки по ее ширине.
Боковой закрытой проходкой экскаватор разрабатывает забой по
одному из бортов выработки, перемещаясь по дневной поверхности вне контура
выработки по ее ширине.
Лобовая и боковая закрытая проходка более рациональны при проведении
канав и траншей и могут быть осуществлены как по бестранспортной, так и
транспортной технологическим схемам.
Процесс периодического перемещения экскаватора вдоль трассы
траншеи после выемки заданного объема породы или достижения заданной глубины и профиля
выработки называется передвижкой экскаватора. Передвижка экскаватора при
лобовой и боковой закрытой проходках производятся на поверхности без захода
машины в выработку, что обеспечивает мобильность.
Одноковшовый экскаватор, являясь по
существу универсальной землеройной машиной, малопроизводителен при разработке
многокилометровых траншей, служащих для укладки магистральных трубопроводов.
3.2 Расчет
одноковшовых экскаваторов
Для разработки траншеи рассмотрим три экскаватора
одноковшовых среднего класса:
Таблица 10
Основные технические параметры экскаватора
гусеничного Э - 5015А
|
Показатели
|
Э - 5015А
|
|
Вместимость
ковша, м3
|
0,5
|
|
Тип ходового
устройства
|
Гусеничный
|
|
Скорость
передвижения, км/ч
|
2
|
|
Ширина
гусеничной ленты, м
|
0,61
|
|
Преодолеваемый
уклон, градусы
|
22
|
|
Мощность
двигателя, л. с.
|
75 л. с.
|
|
Управление
механизмами
|
Гидравлическое
|
|
Наибольшая
глубина копания траншеи
|
4,5
|
|
Масса
экскаватора, т
|
11,25
|
|
Продолжительность
цикла, с
|
15
|
Таблица 11
Экскаватор гусеничный пневматический Э - 304В
|
Показатели
|
Э - 304В
|
|
Вместимость
ковша, м3
|
0,4
|
|
Наибольшая
грузоподъемность кранового оборудования, т
|
6,3
|
|
Габаритные
размеры (без рабочего оборудования) м: длина ширина высота
|
3,14 3,83 4,86
|
|
Тип ходового
устройства
|
Гусеничный
|
|
Скорость
передвижения, км/ч
|
5,15
|
|
Преодолеваемый
уклон, градусы
|
22
|
|
Мощность
двигателя, л. с.
|
48 л. с.
|
|
Управление
механизмами
|
Пневматическое
|
|
Масса
экскаватора, т
|
13,4
|
|
Давление на
грунт, кгс/см2
|
0,18
|
|
Продолжительность
цикла, с
|
15
|
Таблица 12
Экскаватор гусеничный Э-10011Д. Основные технические
параметры
|
Показатели
|
Э - 10011Д
|
|
Вместимость
ковша, м3
|
1
|
|
Наибольшая
грузоподъемность кранового оборудования, т
|
16
|
|
Тип ходового
устройства
|
Гусеничный
|
|
Скорость
передвижения, км/ч
|
2
|
|
Преодолеваемый
уклон, градусы
|
22
|
|
Мощность
двигателя, л. с.
|
108 л. с.
|
|
Управление
механизмами
|
Пневматическое
|
|
Масса
экскаватора, т
|
20,1
|
|
Давление на
грунт, кгс/см2
|
0,3
|
|
Продолжительность
цикла, с
|
21
|
Таблица 13
Значения коэффициента наполнения Кн для
одноковшовых экскаваторов
|
Коэффициент
наполнения Кн для одно-
|
|
Наименование
грунтов
|
ковшовых
экскаваторов
|
|
Прямая и
обратная
|
Драглайн
|
|
лопата
|
|
|
Песок и гравий
сухие, щебень взорванная скала
|
0,95…1,02
|
0,80…0,90
|
|
Песок и
гравий влажные
|
1,15…1,23
|
1,10 …1, 20
|
|
Суглинок сухой
|
1,05 …1,12
|
0,80…1,00
|
|
Суглинок
влажный
|
1, 20…1,32
|
1,15…1,25
|
|
Глина средняя
|
1,08…1,18
|
0,98 …1,06
|
|
Глина влажная
|
1,30…1,50
|
1,18 …1,28
|
|
Глина тяжелая
|
1,00…1,10
|
0,95 …1,00
|
|
Плохо
взорванная скала
|
0,75…0,90
|
0,55…0,80
|
Расчет ведем для экскаватора Э - 10011Д.
Мощность необходимая при наиболее энергоемкой операции
копания грунта можно определить по формуле:
N =
, (37)
Где А - удельная энергоемкость копания, равная работе,
затрачиваемой на разработку 1 м3 грунта; примем 80 кПа = 80000 Па
(таблица 14);
tk - продолжительность копания tk =
=
с;
tц -
продолжительность рабочего цикла в секундах (таблица 12);
q - вместимость ковша, равная 1 м3;
kм -
коэффициент использования двигателя при копании с учетом привода вспомогательных
устройств, kм = 0,72.0,75, принимаем 0,72;
η - коэффициент полезного действия привода и рабочего
оборудования, принимаемый для экскаваторов с гидравлическим приводом 0,52…0,64,
с механическим приводом - 0,75, принимаем 0,75.
N =
кВт = 40 л. с.
Таблица 14. Значения удельных сопротивлений грунта резанию и
копанию
|
Категория
грунта
|
Вид грунта
|
Удельное
сопротивление, кПа
|
|
|
Резанию, К
|
Одноковшовыми
экскаваторами
|
Многоковшовыми
экскаваторами
|
|
|
|
прямыми и
обратными лопатами
|
драглай-нами
|
ротор- ными
|
цепными
|
|
1
|
2
|
3
|
4
|
5
|
6
|
7
|
|
1.
|
Песок, супесь,
мягкий суглинок, средней крепости влажный и разрыхленный без включений
|
12 - 65
|
18 - 80
|
30 - 120
|
40 - 130
|
50 - 180
|
Техническая производительность одноковшовых экскаваторов определяется
по формуле:

(38)
Где q - вместимость ковша;
Кр - коэффициент разрыхления породы (таблица 2);
Кн = 1,1 - коэффициент наполнения ковша (таблица
13);ц - продолжительность цикла (таблица 12).
Эксплуатационная производительность:
Где КУ - коэффициент зависящий от уровня
квалификации машиниста экскаватора, КУ =
0,89 - 0,98, по условию квалификация высокая (низкая - 0,89; средняя - 0,94;
высокая - 0,98); принимаем равным 0,98;
КВ - использования
экскаватора в смену, при отсыпке в отвал К2В = 0,75.
м3/ч.
Теоретическая производительность одноковшовых экскаваторов
применяется только как часовая и определяется по формуле:

м3/ч.
Рассчитаем количество смен:
,
гдеVфакт работ - фактический объем грунта, Vфакт работ = 420778,8 м3;
Пэ (12) - производительность одноковшового экскаватора
за двенадцати часовую смену.
Количество смен при использовании одного экскаватора:
, м3/смену.
Определяем количество единиц техники:
при двенадцати часовой рабочей смене:
Принимаем n = 10
экскаваторов.
По той же методике рассчитываем в программе Microsoft Excel 2010 основные параметры
работы экскаваторов Э - 5015А, Э - 304В и составим сводную таблицу результатов.
Таблица 15. Сводная таблица расчетов
|
Параметры
|
Э10011-Д
|
Э-304В
|
Э-5015А
|
|
Техническая
производительность, м3/ч
|
172,1
|
98,6
|
123,07
|
|
Эксплуатационная
производительность, м3/ч
|
126,4
|
72,47
|
90,46
|
|
Продолжительность
копания, с
|
21
|
15
|
15
|
|
Мощность
экскаватора, кВт
|
29,41
|
19,81
|
21,21
|
|
Количество смен
|
277,4
|
483,85
|
387,62
|
|
Количество
экскаваторов
|
9,90
|
17,2
|
13,84
|
По результатам сводной таблицы расчетов строим гистограмму:
Рисунок 5. Необходимое количество одноковшовых экскаваторов
при разработке траншеи
По результатам расчетов (рис.5), выбираем экскаватор Э10011-Д
с вместимостью ковша 1 м3, с продолжительностью цикла 21 с.
4. Автомастерские
Автомастерские ПАРМ применяются для проведения ремонтных
работ и профилактического обслуживания автомобильной, тракторной,
дорожно-строительной и другой самоходной техники в полевых условиях.
Передвижные мастерские ПАРМ оснащаются оборудованием для дуговой электросварки,
газовой резки, выполнения большинства слесарных операций при сборке-разборке и
ремонте узлов и агрегатов. ПАРМы комплектуются токарным станком отечественного
или импортного производства.
Передвижная авторемонтная мастерская (ПАРМ) без токарного
станка на шасси КАМАЗ 43114/КАМАЗ 4326 предназначена для технического
обслуживания, диагностики и ремонта грузовых автомобилей, тракторов,
сельскохозяйственной и дорожной техники в полевых условиях. Данная модель
авторемонтной мастерской представлена в двух вариантах. Комплектация первого
варианта ПАРМа обеспечивает выполнение следующих работ:
· газо- и электросварочных;
· сборочно-разборочных
подшипниковых узлов, деталей с посадкой внатяг;
· слесарно-монтажных;
· сверлильно-шлифовальных;
· диагностических и
наладочных;
· работ по замене жидких и
пластичных смазок в картерах двигателей и редукторах;
· работ по продувке и
опрессовке пневматических систем автомобиля;
· работ по перекачке
смазочных материалов;
· работ по ремонту камер
покрышек;
· работ по пуску двигателя
и зарядке аккумуляторов автомобиля;
· работ по подъему
неисправных агрегатов и прочих грузов внутрь фургона (до 250 кг).
Помимо технологического оборудования, авторемонтная
мастерская на шасси КАМАЗ 43114/4326 комплектуется спальными местами.
Описание фургона ПАРМ без токарного станка.
Фургон передвижной авторемонтной мастерской имеет длину 5,3
м, ширину - 2,5 м, высоту - 2 м (внутренняя высота - 1,85 м). Доступ в фургон
осуществляется через заднюю 1,5-створчатую дверь, под которой расположена
выдвижная лестница. Окна передвижной мастерской расположены следующим образом:
одно раздвижное и одно глухое - на левом борту, одно раздвижное - на правом
борту, два глухих - на фронтальной стенке. Шкафы с газовыми баллонами размещены
вертикально по правому борту кузова, дверцы шкафов (люки) открываются с внешней
стороны ПАРМа. На левом борту фургона расположен люк для доступа к сварочному
выпрямителю. В полу фургона предусмотрен люк для доступа к синхронному
электрогенератору мощностью 20 кВт с приводом от КОМа автомобиля. Под фургоном
размещен стальной ящик с люком для инструмента.
Электроснабжение оборудования ПАРМа осуществляется и от
синхронного электрогенератора и от блока ввода. Последний предназначен для
подключения к внешнему источнику энергии напряжением 220 или 380 В и
представляет собой кабель длиной 10 м, размещенный во влаго- и грязезащищенном
щиту под фургоном. В самом фургоне расположен переключатель источников
электроэнергии и распределительный силовой щит с УЗО. Заземление электрооборудования
автомастерской осуществляется штырем, вбиваемым в землю, оснащенным 10-метровым
кабелем. Электропроводка выполнена в ПВХ-кабель-каналах, расположенных в
доступных местах.
Освещение салона передвижной мастерской обеспечивается 10-ю
потолочными плафонами, работающими от бортовой сети автомобиля, или 10-ю
плафонами, работающими в зависимости от положения переключателя источников
энергии либо от синхронного электрогенератора, либо от блока ввода. На
верстаках установлены лампы местного освещения.
Отопление салона автомастерской осуществляется автономным
воздушным отопителем ШААЗ ОВ-65, Webasto HL90 или Eberspacher D8LC,
расположенным в кожухе снаружи на фронтальной стенке фургона.
Мебель: верстаки, стеллаж для инструмента и оборудования,
стол сварщика, шкаф для одежды, ящик под нижней спальной полкой, установленные
в ПАРМе, могут быть окрашены в серый или черный цвет. Верстаки оснащены
механизмом фиксации ящиков, предотвращающим их перемещение во время движения
автомобиля.
Подъем грузов выполняется поворотной кран-укосиной,
установленной вблизи задней 1,5-створчатой двери. Её грузоподъемность
составляет 250 кг.
5.
Транспортные машины
По назначению автомобили разделяются на бортовые,
автосамосвалы, тягачи и специализированные (автоцистерны, битумовозы и т.д.).
Выбор транспортного средства для доставки грузов на
строительную площадку, перевозки их в пределах этой площадки или по трассе
трубопровода обусловливается характером и количеством перемещаемых грузов,
временем, отведенным на их доставку, состоянием дорог и другими
обстоятельствами.
Современные грузовые автомобили обладают хорошей
маневренностью, сравнительно большой скоростью передвижения, достаточно
проходимы, пригодны для работы с прицепами и полуприцепами, могут быть оснащены
специальными кузовами для перевозки различных грузов, в том числе контейнеров,
и дополнительными механизмами, облегчающими их погрузку и разгрузку. В
современных автомобилях применяются карбюраторные, газовые, дизельные и
газотурбинные двигатели.
Существует большое разнообразие типов грузовых автомобилей. К
грузовым автомобилям средней грузоподъемности относятся обычные бортовые
грузовики и специализированные грузовые автомобили. Они имеют грузоподъемность
до 8 т. Кабина водителя всегда отделена от грузового отделения (как правило,
закрытого). У этих автомобилей двухосный задний мост, а на обеих осях с каждой
стороны по два колеса. Бортовые грузовики перевозят грузы или используются на
специальных работах. К специализированным грузовым автомобилям относятся
рефрижераторы, мусоросборщики, бетоновозы и т.п. Нефтяные и другие жидкие
продукты перевозят в автоцистернах. Для перевозки сыпучих материалов (песка,
гравия, щебенки) обычно используются самосвалы, которые имеют открытый сверху
ковш, разгружаемый опрокидыванием. К специализированным автомобилям относятся и
грузовые платформы для перевозки крупных механизмов, рулонов бумаги или
стального профиля.
Тяжелые грузовые автомобили - это автомобильные поезда,
состоящие из тягача и прицепа (полуприцепа) с пятью осями и 18 колесами. На
тягаче расположены двигатель и кабина водителя. Тягач имеет три оси: одну -
впереди и две со сдвоенными колесами с каждой стороны - сзади. Грузовое
отделение представляет собой, по существу, просто кузов, который за несколько
минут можно присоединить к тягачу или отсоединить от него. У полуприцепа две
оси со сдвоенными колесами сзади. Для поддержки отсоединенного от тягача
полуприцепа у него впереди имеются две специальные опоры. Тягач с прицепом
обычно имеет длину до 17 м и может везти до 20 т. Он может доставить прицеп на
грузовую станцию, оставить его там для разгрузки и погрузки и вернуться за ним
в нужное время, привезя новый прицеп. В результате эффективнее используется
труд водителя и меньше простаивает тягач. Прицеп может быть сделан в виде рефрижератора,
цистерны или грузовой платформы. Тягач с двумя прицепами может достигать длины
20 м и перевозить до 30 т груза. Для таких автомобильных поездов приходится
выбирать специальные маршруты, на которых мосты и дорожное покрытие способны
выдержать повышенную нагрузку.
5.1 Машины
для вывоза грунта
Автомобиль-самосвал предназначен для транспортирования
навалочных и сыпучих грузов преимущественно вне дорог с твердым покрытием и на
технологических дорогах в условиях бездорожья, в том числе в условиях промышленного
и гражданского строительства.
Технические характеристики IvecoTrakker:
Колесная формула…………………………………………………6х4
Полная разрешенная масса автомобиля, кг………………………38 000
Снаряженная масса автомобиля, кг………………………………12 000
Грузоподъемность, кг……………………………………………...30 000
Объем кузова, м3………………………………………………..….15
Мощность двигателя…………………………………..279 кВт (380 л. с.)
Экологический стандарт…………………………………………. Euro 3
Рабочий объем (см3) ……………………………………………… 12 880
КПП…………………………………ZF16S151OD, механическая 16+2 ст.
Объем топливного бака, л………………………………………… 300
Электронная система регулировки тормозного усилия (ABS+ EBL).
На вывоз:
Разработку траншеи производим экскаватором Э-10011Д с объемом
ковша 1 м3.
Объем грунта в ковше экскаватора:
Vгр. = (Vков. ∙ Кнап) /Кр. = (1 ∙
1,32) / 1,17 = 1,12 м3. (43)
где: Vков - принятый объём ковша экскаватора, 1 м3;
Кнап - коэффициент наполнения ковша, принимаем
1,32;
Кр - коэффициент разрыхления для грунта принимаем
1,17.
Масса грунта в ковше экскаватора:
Q = Vгр. ∙ r = 1,12 ∙ 1,5 · =
1,692 т. (44)
где r - плотность песка принимаем равной r = 1500 кг/м3
= 1,5 т/м3.
Количество ковшей в кузове автосамосвала:
Для транспортирования грунта выбираем автосамосвал "
IvecoTrakker " грузоподъемность 30 т.
n = П/Q = 30/1,69 = 17,7 ковшей, (45)
где П - грузоподъемность автосамосвала - 30 т.
Принимаем 17 ковшей, что обуславливает меньший износ узлов
шасси.
Объем грунта, загружаемый в кузов самосвала:
V = Vгр. ∙ n = 1,12 ∙ 17 = 19,8 м3.
Масса грунта в кузове автосамосвала:
Qк = n · Q = 17 · 1,69= 28,73 т, (46)
что не превышает максимальную грузоподъемность автосамосвала
(30 т).
Продолжительность одного цикла работы самосвала:
Тц = tn + 60*L/ Vг + tn + 60*L/ Vп +tм,
где tn = V*Hвp/100 = 19,8 · 1,8/100 =
21,38 мин - время погрузки грунта, мин, принимаем 21 мин.;
Нвр - норма машинного времени, учитывающая
разработку экскаватором 100 м3 грунта и погрузку в транспортные
средства, Нвр= 1,8;
L - расстояние транспортировки грунта, км;г -
средняя скорость автосамосвала, км/ч, в загруженном состоянии, равная 19 км/ч;
Vп = 25.30 км/ч - средняя скорость автосамосвала в
порожнем состоянии;
tp = 2 мин - время разгрузки;
tм = 4 мин - время маневрирования перед погрузкой и
разгрузкой.
Тц = 21 + 60*20/19 + 2 + 60*20/27 +2 = 124,6 мин =
2,24 ч
Число рейсов 1 самосвала:
n = 12/Tц = 12/2,24 = 5,35. (47)
Принимаем 5 рейсов.
Фактический объем грунта которое необходимо вывезти:
V = 
м3.
Объем грунта за период разработки одной машиной:
V12 = V*n*Тподг
=19,8*5*14=1386 м3.
Количество самосвалов:
N = V/V12 =
46795,4/1386 =33,7 единиц.
Принимаем 34 самосвалов для вывоза грунта
5.2
Подъемно-разгрузочные машины
Общая информация об автокране Ивановец КС-45717К-2 на шасси
КамАЗ 53228.
Автомобильный кран КС-45717К-2, грузоподъемностью 25 т,
смонтирован на шасси КамАЗ 53228
Назначение:
предназначен для выполнения погрузочно-разгрузочных и
строительно-монтажных работ с обычными, ядовитыми и взрывоопасными грузами
Марка шасси: КАМАЗ
Модель (серия) шасси: 53228
Основные технические характеристики Ивановец КС-45717К-2
приведены в таблице 16
Таблица 16
Технические характеристики Ивановец КС-45717К-2
|
Основные
характеристики
|
|
Колёсная
формула / кол-во осей
|
6 х 6
|
|
Двигатель
|
|
Двигатель,
марка (производитель)
|
КамАЗ
|
|
Модель
двигателя
|
КамАЗ 740.31
(Euro-2)
|
|
Тип двигателя
|
дизельный
|
|
Мощность
двигателя (силового агрегата), кВт (л. с.)
|
176 (240)
|
|
Максимальная
скорость, км/ч
|
60
|
|
Характеристика
автокрана
|
|
Грузоподъемность,
кг
|
25000
|
|
Длина гуська, м
|
7
|
|
Длина стрелы, м
|
9,0 - 21,0
|
|
Вылет стрелы, м
|
2-19,7
|
|
Высота подъема,
м (с гуськом)
|
28,2
|
|
Высота подъема,
м (с основной стрелой)
|
21,3
|
|
Габаритные
размеры в трансп. положении, мм
|
11000 х 2500 х
3600
|
|
Грузовой
момент, тм
|
75
|
|
Кол-во секций
|
3
|
|
Макс. скорость
подъема (опускания) груза, м/мин.
|
12,2
|
|
Скорость
подъема (опускания) груза, м/мин.
|
6,1
|
|
Частота
вращения, об/мин.
|
1,7
|
|
Скорость
посадки, м/мин
|
0,2
|
Крановое оборудование этой модели смонтировано на шасси КАМАЗ
53228. Шасси автокрана КС 45717-К-2 имеет колесную формулу 6х6, что значительно
повышает его проходимым.
Автомобильный кран КС-45717К-2, грузоподъемностью 25 т для
работы с обычными грузами и грузоподъемностью 20 т для работы с ядовитыми и
взрывоопасными грузами, смонтирован на шасси КамАЗ 53228-1960-15.
Привод механизмов автомобильного крана Ивановец КС 45717К-2 -
гидравлический от насоса, приводимого в действие двигателем шасси. Гидропривод
обеспечивает легкость и простоту управления краном автомобильным, плавность
работы механизмов, широкий диапазон рабочих скоростей, совмещение крановых
операций. Допускается работа на сближенных опорах.
Стрела автокрана КС 45717К-2 - телескопическая
трехсекционная. Выдвижение секций - гидроцилиндром и полиспастами. Для
увеличения подстрелового пространства по особому заказу поставляется легкий
решетчатый удлинитель стрелы (гусек).
Микропроцессорный ограничитель грузоподъемности (ОНК-140) с
цифровой индикацией информации позволяет следить за степенью загрузки крана,
длиной и вылетом стрелы, высотой подъема оголовка стрелы; показывает
фактическую величину груза на крюке и максимальную грузоподъемность на данном
вылете, а также автоматически по заданным координатам ограничивает зону
действия крана при работе в стесненных условиях.
Установленная в ограничителе телеметрическая память
("Черный ящик") фиксирует рабочие параметры, а также степень нагрузки
крана в течение всего срока службы.
Рисунок 6. Грузовысотные характеристики автомобильного крана
Ивановец КС 45717К-2
5.3 Машины
для доставки гусеничной техники
Седельные тягачи HOWO
Данный вид грузовых автомобилей
предназначен для буксировки прицепа или полуприцепа, с целью транспортировки
различных грузов.
В последнее время все чаще и чаще на
дорогох России можно встретить седельные тягачи HOWO. Это объясняется тем, что
тягачи китайского производства позволяют увеличить эффективность работ, с
экономической точки зрения, благодаря низкому расходу топлива и высокому
соотношению цены и качества седельного тягача.
Упоминая китайские тягачи ХОВО, нельзя не
обратить внимание на технические характеристики. Двигатели изготовлены по
австрийской лицензии и соответствуют европейским стандартам, впрочем как и на
всех грузовиках марки HOWO.
Седельно-сцепное устройство (седло) имеет
возможность продольного перемещения по раме, что позволяет выбрать наилучшее
расположение точки опоры полуприцепа.
Кабина автомобиля расположена на подвеске
- спереди находятся два амортизатора с ограничителями хода сжатия, сзади
пневматические подушки, в которых предусмотрена возможность регулировки
жесткости.
Для транспортировки гусеничной техники к
месту производства работ используем седельный тягач марки HOWO,
Таблица 17
Технические характеристики тягача HOWO ZZ4327S3247C
|
Модель
двигателя
|
Steyr WD615.96
|
|
Мощность
двигателя, л. с.
|
375
|
|
Рабочий объем
двигателя, л
|
9,726
|
|
Тип двигателя
|
Рядный с турбо
наддувом и интеркуллером, 4х-тактный, водяное охлаждение, прямой впрыск
топлива
|
|
Емкость бака, л
|
400
|
|
Колесная
формула
|
6x4
|
|
Диски колесные
|
8.5/12.00 R20
стальные
|
|
Шины
|
12.00-20 с
камерой
|
|
Передняя
подвеска
|
Жесткие ступицы
с двойной Т-образной балкой
|
|
Задняя подвеска
|
Компактные
редукторы мостов, колесные редукторы с межколесным и межосевым дифференциалом
|
|
Рулевое
управление
|
ZF8098
(Германия), с гидроусилителем.
|
|
Сцепление
|
GF 420
однодисковое
|
|
Коробка передач
|
Fuller 9-ти
ступенчатая
|
|
Модель
кабины
|
S07
|
|
Стандарт
качества, Euro
|
Euro-3
|
|
Максимальная
скорость, км/ч
|
102
|
|
Снаряженная
масса, кг
|
9180
|
|
Общая масса
прицепа, кг
|
70000
|
|
Длина, мм
|
6800
|
|
Ширина,
мм
|
2496
|
|
Высота, мм
|
3668
|
Полуприцепы данного класса предназначены для транспортировки
колёсно-гусеничной и дорожно-строительной техники общей массой от 20 до 80
тонн. Конструкция рамы и специально разработанная рессорная подвеска
обеспечивает надёжность эксплуатации изделий, как на дорогах общего
пользования, так и по просёлочным грунтовым дорогам.
Для транспортировки выбираем трейлер Fruehauf Semi Lowbed.
Таблица 14
Техническая характеристика трейлера Fruehauf Semi Lowbed
|
Макс. Загрузка,
т
|
40
|
|
Электрика, В
|
24
|
|
Длина, м
|
14
|
|
Высота, м
|
3,5
|
|
Ширина, м
|
3,2
|
|
Масса, т
|
55
|
5.4
Топливозаправщики
Учитывая протяженность строительства магистрального
нефтепровода, постоянно возникает необходимость в топливной дозаправке машин,
участвующих в разработке траншеи и последующей укладки нефтепровода. Для
доставки на место строительства, хранения, перекачивания светлых и темных
нефтепродуктов используют автотопливозаправщики. Топливозаправщик на базе
автомобиля КАМАЗ применяется для доставки топлива и масел в отдаленные районы,
небольшие аэродромы, полевые станы, а также заправки автотракторной техники при
помощи дозаторов или топливораздаточных колонок.
Автоцистерна - топливозаправщик оборудована
топливораздаточным пистолетом, счетчиком и насосом для наполнения и слива
цистерны. Цистерна топливозаправщика обычно имеет один отсек для одного вида
топлива, но часто встречаются топливозаправщики с двумя и более отсеками,
например: топливозаправщик на три отсека - для дизельного топлива, бензина и
моторного масла. Отдельные отсеки оборудуются собственными устройствами учета
отпуска жидкостей.
Для доставки топлива к месту производства работ будем
использовать топливозаправщик Камаз 65115 АТЗ-56216-010-30, представленный на
рисунке 20.
Рисунок 7. Схема топливозаправщика Камаз 65115
Топливозаправщик КАМАЗ АТЗ предназначен для транспортировки,
кратковременного хранения и дозированной выдачи всех видов светлых
нефтепродуктов плотностью не более 0,83 т/м3. Он оснащается всеми
необходимыми узлами раздачи топлива для заправки техники: насос, счетчик,
пистолет. Объем цистерны 17 м3.
Таблица 19
Технические характеристики топливозаправщика Камаз 65115
|
Базовое шасси
|
КамАЗ-65115-1966
|
|
Вместимость, м3
|
17
|
|
Форма
поперечного сечения цистерны
|
Чемоданное
|
|
Количество
отсеков
|
2
|
|
Материал
цистерны
|
Сталь Ст3СП 5
кат.
|
|
Габаритные
размеры, мм, не более
|
8900 х 2500 х
3300
|
|
Плотность, т/м3
|
0,83
|
|
Колесная
формула
|
6х4
|
|
Мощность
двигателя, л/с
|
240
|
|
Снаряженная
масса, кг
|
9900
|
|
Полная масса,
кг
|
24000
|
|
Насос
|
СЦЛ-00
|
|
Высота
самовсасывания, м
|
4,5
|
Корпус цистерны овального сечения с одной заливной
горловиной, внутри которой установлен указатель уровня, крышка горловины
оснащена наливным люком и дыхательными клапанами.
Автоцистерна оборудована воздухоотводящим устройством, ящиком
ЗИП, пеналами для укладки напорно-всасывающих рукавов, лестницей с поручнем,
рабочей площадкой в зоне горловины и противопожарным инвентарем.
5.5
Транспортные машины для доставки персонала к месту производства работ
Доставку рабочего персонала от места его временного
проживания (во время строительства магистрального нефтепровода) к месту работы
на трассе выполняют специальные автомобили обладающие, как правило, повышенной
проходимостью. Для доставки персонала используем вахтовый автомобиль на базе
автомобиля УРАЛ.
Автомобиль - вахтовый автобус (вахтовка) на шасси УРАЛ
43203-41 служит для доставки ремонтных, строительных, геолого-разведывательных
и прочих бригад к объекту. Причем "объект" здесь следует понимать в
самом широком смысле, это может быть и место аварии, и стройка, и нефтяные и
газовые месторождения, и делянки, отдаленные от населенных пунктов. Вахтовый
автобус УРАЛ прекрасно подходит для перевозки пассажиров. Фургон такой машины
весьма комфортный, а используемое шасси УРАЛ позволяет обеспечить хорошую
проходимость автомобилю даже в условиях бездорожья
Фургон пассажирского варианта вахтового
автобуса имеет длину 4,5 м, ширину - 2,5 м, высоту - 1,95 м (внутренняя высота
- 1,8 м) *. Доступ в салон вахтовки осуществляется через боковую одностворчатую
и заднюю одностворчатую двери. Под дверьми расположены выдвижные лестницы,
которые во время движения автомобиля фиксируются в коробах под полом фургона.
На левом борту вахтового автомобиля расположено 1 глухое и 2 раздвижных окна,
на правом - 2 глухих и 1 раздвижное, на фронтальной стенке - 1 глухое. По
желанию Заказчика могут устанавливаться небольшие смотровые окошки в дверях
вахтового автобуса.
Фургон может быть прямоугольной формы,
либо иметь скосы в верхней части боковых стенок. Последний вариант называется
кунгом. В скосы кунга также устанавливаются небольшие окошки.
Для северных регионов мы производим
фургоны с двойным остеклением окон и утеплением 80 мм вместо сорока в
стандартном исполнении. Важно отметить, что фургоны могут иметь как каркасную
конструкцию, утепленную пенопластом или экструдированным пенополистиролом, так
и выполняться из армированных сэндвич-панелей.
Пассажировместимость вахтового автомобиля
на шасси УРАЛ 43203-41 составляет 24 человека в салоне вахтовки + 3 в кабине,
включая водителя. Освещение обеспечивается 6-ю потолочными плафонами,
работающими от бортовой сети автомобиля. Отопление - автономным воздушным
отопителем ШААЗ ОВ-65, Webasto Air Top 5000 D или Eberspacher D5, расположенным
в кожухе снаружи на фронтальной стенке фургона. Теплый воздух подается вниз
салона вахтовки (в ноги). Автомобиль также оснащается аварийно-вентиляционным
люком. Для связи с водителем в фургоне установлен зуммер.
5.6 Водовозы
Для доставки к месту производства работ питьевой воды
используем водовоз ЗИЛ 130 АЦПТ-5.
АЦПТ-5 предназначается для хранения и перевозки питьевой
воды. Цистерна составлена из двух секций-цилиндров, которые сварены из пищевого
алюминия и соединены поясом, а так же покрыты термоизоляцией. Снаружи АЦПТ-5
сделана облицовка из тонколистовой стали. ЗИЛ 130 водовоз вмещает 5000 литров
воды (по 2500 в каждой секции). Внутренняя обшивка - нержавеющая
коррозийно-стойкая сталь и внешняя обшивка - сталь с лакокрасочным покрытием.
В пространстве между корпусами находится теплоизоляционный
материал - утеплитель ФРП-140мм.
Заключение
Современный уровень развития трубопроводного транспорта
требует высокой квалификации и глубоких знаний от специалистов, занимающихся
сооружением и эксплуатации трубопроводов. Именно поэтому в данной работе были
освоены принципы выбора комплекта оборудования для разработки траншеи при
строительстве магистрального трубопровода.
Наименование и количество единиц техники, необходимой для
разработки траншеи по заданным условиям представлены в таблице 20.
Таблица 20
Необходимое количество техники
|
Название
техники
|
Количество
единиц
|
|
Бульдозеры
ДЗ-60
|
8
|
|
Бульдозеры
ДЗ-60
|
3
|
|
Экскаватор
Э10011-Д
|
10
|
|
Вахтовый
автомобиль Урал 43203-41
|
-
|
|
Самосвал
IvecoTrakker
|
вывоз - 34
|
|
Автокран
Ивановец 45717К
|
-
|
|
ПАРМ КАМАЗ
43114
|
-
|
|
Тягач HOWO ZZ4327S3247C
|
-
|
|
Трейлер САВ
93182-0000031-М
|
-
|
|
Водовозы ЗИЛ
130 АЦПТ-5
|
-
|
Список
использованной литературы
1.
С.А. Горелов Машины и оборудование для сооружения газонефтепроводов. Уч.
пособие. - М.: РГУ нефти и газа им. И.М. Губкина, 2008. - 122 с.
.
Трубопроводный транспорт нефти. Под ред. С.М. Вайнштока. Учебник. - М.: Недра,
Т.2 - 2011. - 621 с.
.
В.И. Минаев Машины для строительства магистральных трубопроводов. Учебник. -
М.: Недра, 2007. - 440 с.
.
Строительство магистральных трубопроводов. Справочник/ В.Г. Чирсков, В.Л.
Березин, Л.Г. Телегин и др. - М: Недра, 1991. - 475 с.: ил.
.
Р.Ш. Шакиров, В.С. Бортаковский, Е.А. Аникин, и др. ВСН 004-88. - М. ВНИИСТ
Миннефтегазстроя, 2009.
.
В.А. Шмурыгин Методические указания по выполнению практических работ. - Томск:
ТПУ, 2012. - 46 с.
.
В.А. Шмурыгин Методические указания по выполнению курсовых работ. - Томск: ТПУ,
2012. - 20 с.
.
В.Г. Лукьянов, А.Д. Громов Технология проведения горно-разведочных выработок:
Учебник для вузов. 2-е изд. - Томск: Изд-во Том. ун-та, 2004. - 468 с.