Ионно-электронная эмиссия

  • Вид работы:
    Реферат
  • Предмет:
    Физика
  • Язык:
    Русский
    ,
    Формат файла:
    MS Word
    1,13 Мб
  • Опубликовано:
    2014-08-10
Вы можете узнать стоимость помощи в написании студенческой работы.
Помощь в написании работы, которую точно примут!

Ионно-электронная эмиссия

Оглавление

Введение

. Электронная эмиссия

. Ионная бомбардировка

. Ионно-электронная эмиссия

. Потенциальная ионно-электронная эмиссия

. Кинетическая ионно-электронная эмиссия

. Применение ионно-электронной эмиссии

Список используемой литературы

Введение

Взаимодействие ионов с твёрдыми телами приводит к возникновению взаимосвязанных процессов, основные из которых - рассеяние бомбардирующих частиц (в том числе и с изменением их зарядового состояния), эмиссия заряженных и нейтральных частиц и их комплексов (ионно-ионная, ионно-электронная эмиссии, распыление) испускание электромагнитного излучения с широким спектром частот (ионно-фотонная эмиссия, ионолюминесценция, рентгеновское излучение), различные радиационные процессы.

Первым этапом всех этих процессов является элементарный акт столкновения иона с атомом твёрдого тела, результатом которого является перераспределение энергии и импульса бомбардирующего иона между рассеянным ионом и атомом отдачи мишени. Акт столкновения может привести к возникновению каскада атомных столкновений, а также процессов, сопровождающих перестройку электронных оболочек партнёров столкновения, что и обуславливает всю совокупность вторичных процессов, вызванных взаимодействием ионов с твёрдым телом. Другими словами, результирующие неупругие процессы, вызывающие выход электронов из твёрдого тела, зависят как от кинетической, так и потенциальной энергии бомбардирующих частиц.

. Электронная эмиссия

Если вне тела нет потенциальных полей, то потенциальная энергия U(r) электрона во всём пространстве одинакова и обычно принимается равной нулю. При этом полная энергия покоящегося вне тела электрона также равна нулю. Если электрон вне тела движется, то его полная энергия Eн при этом может быть только положительной. Таким образом в отсутствие силовых полей вне тела Eн≥0. Внутри тела возможны состояния электронов с энергиями Eв как положительными, так и отрицательными (рис. 1).

Рис. 1

В основном невозбуждённом состояние системы электронов тела (Т=0) электроны занимают наиболее низкие энергетические уровни с энергиями Eв0 вплоть до уровней (Eв)max, равного E0, причём E0<0. Но тогда также и Eв0<0. Электроны, находящиеся в этих состояниях, не могут выходить из тела. Следовательно, эмиссия электронов (т.е. испускание электронов поверхностью твёрдого тела или жидкостью) в пространство, где U(r)=0, при Т=0 невозможна. Для того чтобы некоторые из электронов тела могли выходить из него и участвовать в электронной эмиссии в этих условиях, их необходимо предварительно возбудить, т.е. сообщить им тем или иным способом дополнительную энергию ∆E такую, чтобы их энергия в возбужденном состоянии Eв, равная Eв0+∆E, стала положительной (рис.1, переход 1). Этот класс эмиссии называется эмиссией с предварительным возбуждение электронов эмиттера.

Возможны также эмиссии электронов и без предварительного возбуждения. Действительно, если вне тела вблизи его поверхности имеется силовое поле, тянущее электроны от границы тела, то потенциальная энергия электрона в этом поле будет убывать с расстоянием от поверхности. Например, если к поверхности приложено внешнее однородное поле напряжённостью ε, то потенциальная энергия в нём на расстоянии x от границы тела равна U(x)=U0 - eεx, где U0-потенциальная энергия электрона при x=0, т.е. на границе тела. Без ограничения общности её можно положить нулю, тогда U(x)=-eεx. Полная энергия, с которой может теперь существовать электрон в области пространства с x>x*, Eн≥U(x)= - eεx*, т.е. при наличии силовых полей у поверхности тела, энергия электрона вне его может быть отрицательной и, в частности, принимать значения Ен=Ев0≤Е0. Хотя эти области, в которых могут двигаться электроны с Ев0=Ен, разделены пространственно-потенциальным барьером, где U(x)>Ево, в соответствие с представлениями квантовой механики возможен переход электрона из тела во внешнее пространство путём туннельного эффекта (рис.1, переход 2).

Рис. 2

Эмиссия при этом не требует предварительного возбуждения его. Аналогичная ситуация имеет место, если вблизи поверхности тела находится положительный ион, создающий кулоновскую потенциальную яму (рис. 2). В эту яму электроны тела могут переходить путём туннельного эффекта. Этот класс эмиссии будем называть эмиссией без предварительного возбуждения. Возможна и комбинированная эмиссия, при которой действую оба механизма.

. Ионная бомбардировка

Ионная бомбардировка поверхности твёрдых тел приводит к возникновению взаимосвязанных процессов, основные из которых - объёмное и поверхностное рассеяние бомбардирующих ионов, эмиссия из различных конденсированных сред заряженных и нейтральных частиц и их комплексов (ионно-ионная эмиссия, ионно-электронная эмиссия, распыление, ионно-стимулированная десорбция с поверхности твёрдого тела), испускание электромагнитного излучения с широким спектром частот (ионолюминесценция, ионно-фотонная эмиссия, рентгеновское излучение), различные радиационные процессы, в том числе образование дефектов как в объёме твёрдого тела, так и на его поверхности (рис. 3). Вначале всех процессов - столкновение иона с атомом твёрдого тела, результатом которого является перераспределение энергии и импульса бомбардирующего иона между рассеянным ионом и атомом мишени. Столкновения приводит к возникновению протяжённых последовательностей столкновений (например: динамические краудионы - одномерное сгущение в расположении атомов или ионов в кристалле) и каскадов атомных столкновений, а также процессов, сопровождающих перестройку электронных оболочек партнёров столкновения, что и обусловливает всю совокупность вторичных процессов, вызванных ионной бомбардировкой. В отличие от атомных столкновений в газах столкновения в твёрдых телах характеризуются малостью межатомных расстояний, а также наличием упорядоченности в расположении атомов и коллективизированных электронов. Малость межатомных расстояний по сравнению с газами приводит к тому, что при расчёте последовательных столкновений необходимо учитывать различия в потенциалах взаимодействия сталкивающихся частиц, смещение рассеивающего атома за время столкновения, а также возможность одновременного (или почти одновременного) столкновения атома либо иона сразу с двумя и более атомами мишени.

Упорядоченность в расположении атомов приводит к тому, что последовательности столкновений могут оказаться коррелированными, что обусловливает сильные ориентационные эффекты как в прохождении ионов через вещество, так и в различных эмиссионных и радиационных процессах. Наличие коллективизированных электронов приводит к диссипации энергии (переход части энергии упорядоченных процессов в энергию неупорядоченных процессов, в частности в тепло) при прохождении ионов через вещество даже в тех случаях, когда движущийся ион не испытывает сильных (то есть с отклонением на большой угол) столкновений с атомами твёрдого тела, в частности при каналировании заряженных частиц (движение заряженных частиц внутри монокристалла вдоль "каналов", образованных параллельными рядами атомов или плоскостей). Ионная бомбардировка наблюдается в естественных условиях (например, ионная бомбардировка искусственных спутников Земли в околоземном и космическом пространствах), в лабораторных условиях (например, в электромагнитных разделителях изотопов). Она эффективно используется в микроэлектронике для легирования полупроводников.

Рис. 3

3. Электронно-ионная эмиссия

Взаимодействие ионов с кристаллами вызывает ряд явлений, в том числе эмиссии электронов и ионов. При взаимодействие ионов с поверхностью тела наблюдается эмиссия электронов, характеризуемая коэффициентом ионно-электронной эмиссии, равным отношению числа эмитированных электронов ne к числу попавших за это же время на туже поверхность мишени ионов np, т.е.

.

Для однозарядных ионов

,

где ie и ip - сила тока электронов идущих от эмиттера, и сила токов ионов, падающих на эмиттер. В случае эмиссии под воздействие ионов с зарядом

ze’

Эмитируемые электроны возникают в результате двух различных процессов: процесса, связанных с возбуждением электронов тела за счёт кинетической энергии падающего иона, и процесса, обусловленного возбуждением электронов тела за счёт потенциальной энергии электронов эмиттера в поле иона. Первый вид эмиссии называется кинетической, второй - потенциальной ионно-электронной эмиссией. Каждая из них характеризуется своими коэффициентами кинетической и потенциальной эмиссии: γк и γп.

При наличии обоих эмиссии измеряемый на опыте полный коэффициент γ равен их сумме:

γ=γк+γп.

Далее будут рассмотрены основные закономерности и механизмы кинетической и потенциальной ионно-электронных эмиссий в отдельности.

. Потенциальная ионно-электронная эмиссия

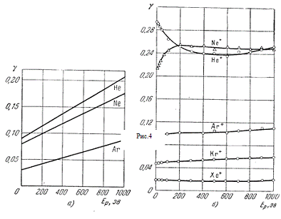
Данное явление было открыто в 1928г. Пеннингом. Исследуя зависимость γ от энергии падающих ионов Ер, он обнаружил, что для некоторых сортов ионов и типов мишеней ординаты кривой γ(Ер) при приближении Ер к нулю стремятся не к нулю, но к некоторому значению конечному значению γп0 (рис.4,а). Это показало, что существуют испускание электронов, не связанное с кинетической энергией падающих ионов. Например, при взаимодействие ионов гелия (Не+) с никелевой (Ni) мишенью γп0 = 0,09. Эта величина и есть γп(Ер=0), причём сильное возрастание γ с увеличением Ер и малые значения γп, полученные в данном примере, обусловлены недостаточно чистой поверхностью исследуемой мишени. Исследование потенциальной ионно-электронной эмиссии с достаточно чистых мишеней ведётся примерно с 1953г. (работы Хегструма, а также других исследователей). На рис.4,б приведены зависимости γп(Ер) для вольфрама (W), полученные при бомбардировке его ионами, указанными на рисунке, по данным этих более поздних работ, в которых поверхность была достаточно чистой.

Рис. 4

Ещё в ранних работах было установленно, что потенциальная ионно -электронная эмиссия имеет место лишь для ионов таких элементов и таких мишеней, для которых выполняется соотношение:

 (1),

где Vi - иоанизационный потенциал атома(энергия ионизации), а φ - работа выхода мишени. Не рассматривая детальный механизм процесса данное соостношение можно получить из закона сохранения энергии. Действительно, до процесса эмиссии некоторая пара электронов внутри эмиттера обладает энергиями E’<0 и E’’<0. После эмиссии один из них, нейтрализовавшийся ион, оказался в состоянии с энергией -eVi, а второй, вылетивший из эмиттера, - с энергией . По закону сохранения энергии должно выполняться равенство

(2).

Так_как , то . Но при достаточно низкой температуре в теле имеются электроны с энергиями, лишь меньшими уровня электрохимического потенциала ,_т.е. . Поэтому . От сюда .

Данный вывод несовсем точен. В нём предполагалось, что кинетические энергии иона до нейтрализации и атом после нейтрализации равны. Однако, силы, действующие на ион, приближающийся к металлу, и на атом, удаляющийся от него, неодинаковы. Поэтому кинетические энергии атомной частицы до и после процесса потенциальной ионно-электронной эмиссии не будут в точности равны, и это следует учитывать в балансе энергии.

Из (2) следуте, что наибольшее значение  получают электроны, возникающие в результате процесса перехода двух электронов с наибольшими энергиями E’ и E’’, т.е. пренебрегая тепловым возбуждением, при E’=E’’=-eφ, поэтому

(3).

Опыт показывает, что энергетический спектр эмитированных электронов - сплошной, и при  ограничен максимальной энергией, удовлектворительно согласующейся с (3), т.е..

Рис. 5

Опыт показал, что для различных пар мишень-ион γп тем больше, чем больше величина (Vi-2φ) для них. На рис.5 показана эта зависимость. С этим обстоятельством связан и тот факт, что γп тем больше, чем больше заряд иона (кратность ионизации). Для мишеней у которорых достаточно чистая поверхность, γп почти не зависит от энергии падающих ионов Ер. Величина γп при (Vi-2φ)e>>kT не зависит от температуры мишени, если изменение её не вызывает изменение состояния поверхности. При малых значениях разности (Vi-2φ)e коэффициент γп возрастает с повышение температуры. Ионы изотопов одного и того же элемента при одинаковых Ер для данной мишени дают одинаковые γп.

В основном исследовалась потенциальная эмиссия лишь металлических мишений. Но в 1959 г. Г.М. Батановым было обнаружено наличие этого явления и для диэлектрических мишеней (стекло №46) при взаимодействие с ними ионов с достаточно высоким Vi. Наблюдалась также потенциальная эмиссия с германия, кремния, арсенида галлия. И со щелочно-галоидных монокристалов.

Основные механизмы потенциальной ионно-электронной эмиссии были проанализированы Хэгструмом (1954). Ответственные за потенциальную эмиссию оже-процессы начинают происходить при энергиях близких к нулевым. При подлёте к твёрдому телу положительного иона вылет электронов из него может происходить в результате процесса оже-нейтрализации. Для металлов в этом процессе один из электронов туннелирует с уровня, расположенного ниже уровня Ферми, на уровень основного состояния иона, нейтрализуя его(рис.6,а). Высвобождающаяся при этом энергия передаётся другому электрону зоны проводимости, который при этом возбуждается и может покинуть поверхность, если выполняется условие, которое было рассмотрено выше, Vi>2φ.Для неметаллов вместо φ в граничное условие появления эмиссии электронов входит энергия наивысшего заполненного электронами уровня - "потолка" валентной зоны.

Рис. 6 (Схема процесса оже-нейтрализации (а) и процессов оже-девозбуждения (б) подлетающего к поверхности положительного иона: φ-работа выхода, Е-энергия вылетевшего электрона)

Вылет электронов из твёрдого тела при нейтрализации положительного иона в возбуждённое состояние или при приближении к нему возбуждённого атома может происходить в результате двух энергетически эквивалентных процессов при оже-девозбуждении. В одном из них в результате перехода из возбуждённого состояния атома в основное может происходить испускание электрона из зоны проводимости (рис.6,б). В другом процессе девозбуждения электрон может выйти не из зоны проводимости, а с возбужденного уровня атом, а на основной уровень частицы переходит электрон из зоны проводимости (рис.6, б, пунктир). При этом условие появления эмиссии Eex>φ, где Eex-энергия возбуждения иона или атома.

5. Кинетическая ионно-электронная эмиссия

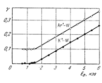
Закономерности ионно-электронной эмиссии существенно меняются в зависимости от состояния поверхности мишени, а именно, коэффициент γ уменьшается при очистки поверхности металла от загрязненных и адсорбированных атомов. Эту зависимость обнаружили ещё в 1927г., и хотя стремились работать с чистыми поверхностями мишеней, уровень техники эксперимента примерно до пятидесятых годов не позволял получить поверхности, близкие к атомно-чистым. Поэтому данные работ, выполненных до 1950г., были противоречивы и не представляют значительной ценности; в особенности это относится к кинетической ионно-электронной эмиссии при энергии ионов Ер>100 кэВ. При Ер>100-1000 кэВ ионно-электронная эмиссия уже слабо зависит от состояния поверхности мишени. Впервые удалось исследовать кинетическую ионно-электронную эмиссию с металлов, имевших поверхность, достаточно близкую к атомно-чистой, М. А. Еремееву и его сотрудникам в 1951г. Коэффициент γк при этом оказался в приделах точности измерений равным нулю в том диапазоне энергии Ер первичных ионов, в котором проводились исследования. При расширении диапазона Ер до значений в несколько кэВ было обнаружено, что γк≈0 лишь при значений Ер, меньших некоторого порогового значения (Ер)гр, зависящего от природы ионов и материала мишени (энергетический порог кинетической ионно-электронной эмиссии). Для относительно тяжёлых ионов соответствующие пороговые скорости V≈0,7∙107 см/с, для лёгких ионов пороговые скорости выше - V≈2-3∙107 см/с. Проще говоря, кинетическая эмиссия начинает наблюдаться при энергиях Ер бомбардирующих частиц, больших некоторой пороговой энергии Егр, т.е. при Ер<Егр коэффициент γк=0. По мере увеличения энергии вблизи порога кинетического выбивания коэффициент γк растёт линейно с энергией бомбардирующих ионов: γк~Е0 (рис.7).

Рис. 7 (Зависимость γ от энергии ионов инертных газов (Ar+) и щелочных ионов (К+) для вольфрамовой мишени)

Скорость возрастания зависит от комбинации частица-мишень и простирается примерно до V0=(1,5-2)∙107 см/с. Для данной мишени эта область тем шире, чем больше массовое число бомбардирующей частицы. Затем скорость возрастания эмиссии при увеличении Ер уменьшается и в некотором интервале скоростей примерно до V0≈(2,5-3)∙108 см/с линейной можно считать зависимость γк(V0). При дальнейшем увеличении энергии (скорости) рост γк продолжает замедляться, достигается максимум, вслед за которым начинает убывать эмиссия (рис.8).

ионный эмиссия электрон энергия

Рис. 8 (Зависимость коэффициента γ от энергии протонов для ряда металлических мишеней: пунктир-интерполяция между экстремальными точками, полученными разными авторами)

Максимум наблюдается при V0≈(108-109) cм/c, что соответствует в зависимости от типа бомбардирующей частицы, области энергий в несколько десятков, сотен кэВ или даже несколько МэВ. При аналогичных условиях облучения γк больше у диэлектриков, что связанно с большей, чем у металлов, длиной свободного пробега возбуждённых электронов. При низких энергиях (в области скоростей V0≈(1-5)∙107 cм/c) γк у металлов практически не зависит от заряда q бомбардирующей частицы, а при высоких энергиях (для протонов, α-частиц) возрастает как q2. Существенные особенности при низких энергиях проявляет кинетическая ионно-электронная эмиссия для щелочно-галоидных кристаллов, для которых эмиссия имеет более низкий, чем у металлов, энергетический порог, большую величину эмиссии и убывает с ростом заряда.

Коэффициент γк зависит от природы ионов. В случае постоянной энергии бомбардирующих частиц γк в целом является убывающей функцией атомного номера Z1 бомбардирующей частицы. Но это убывание налагается периодичностью, примерно соответствующая периодической системе элементов (так называемой "Z1-осциляции") - γк убывает по мере заполнения электронных оболочек бомбардирующей частицы (рис. 9).

Рис.9 (Зависимость γ для золотой мишени от атомного номера Z1 бомбардирующего иона с энергией 20 кэВ)


Рис. 10 (зависимость γк от атомного номера Z2 при облучении атомарными и молекулярными ионами водорода с энергиями 100 кэВ/протон. Вертикальные пунктирные линии указывают начало периодов периодической системы элементов.)

Также наблюдается зависимость эмиссии от угла падения ионов на мишень. При увеличении угла θ падения частиц на мишень γ для поликристаллических и аморфных мишеней растёт, проходит через максимум, положение которого зависит от сорта и энергии бомбардирующей частицы и материала мишени и затем убывает (рис. 11).

Рис. 11 (зависимость γ от угла падения θ различных ионов с энергией 40 кэВ не медную мишень)

Для монокристаллических мишеней на фоне возрастания γ с θ наблюдается резкое его уменьшение, когда направление бомбардировки становится параллельными либо осям, либо плоскостям мишени с низкими кристаллографическими индексами - так называемая анизотропия коэффициента ионно-электронной эмиссии (рис. 12).

Рис. 12 (Зависимость γ от угла падения θ при облучении грани (100) Cu и поликристаллической меди ионами аргона: 1, 3 - с энергией 30 кэВ; 2, 4 - с энергией 20 кэВ)

Коэффициент γ слабо зависит от температуры мишени, если состояние поверхности мишени при изменении температуры практически не изменяется. Для монокристаллов металлов повышение температуры мишени ведёт к некоторому сглаживанию кривой γ(θ), обусловленному уменьшением прозрачности кристалла по отношению к падающему пучку за счёт увеличение амплитуды тепловых колебаний атомов кристаллической решётки. Значительно большее влияние оказывает температура мишени на анизотропию γ полупроводниковых кристаллов, что связано с фазовым переходом поверхности из кристаллической фазы в аморфную под действием ионной бомбардировке. В этом случае γ может резко изменяться в узком температурном интервале: анизотропия угловых зависимостей γ наблюдается только при температурах Т выше температуры отжига То радиационных дефектов, приводящих к аморфизации поверхностного слоя кристаллической мишени. При Т<То γ(θ) имеет вид, типичный для твёрдого тела с неупорядоченным расположением атомов (рис.13). При полиморфных и магнитных фазовых переходах коэффициент γ также может измениться в узком температурном интервале.

Рис. 13 (Зависимость γ от угла падения θ при облучении грани (111) кристалла Ge ионами Ar+ с энергией 30 кэВ при температурах выше 5000С и ниже 1000С температуры отжига радиационных нарушений и зависимости γ(Т) при двух углах падения для ионов неона, аргона и криптона)

Для полупроводниковых кристаллов характер температурных зависимостей коэффициента γ определяется различием в характере движения бомбардирующих ионов в упорядоченных и неупорядоченных материалах. Для углеродных материалов первостепенное значение имеет транспорт вторичных электронов. Отжиг в радиационных нарушений графите приводит к переходу поверхностного слоя, разупорядоченного высокодозным облучением при температурах, близких к комнатной, в относительно упорядоченное состояние, например, поликристаллическое, при температурах Т>То. Это приводит в свою очередь к росту длины свободного пробега вторичных электронов и скачку γ при Т=То из-за уменьшения сечения ослабления электронного потока в решётке графита при её упорядочении (рис. 14).

Рис. 14 (Температурные зависимости коэффициента ионно-электронной эмиссии при облучении по нормали ионами N2+ с энергиями 30 кэВ углеродных материалов (поликристаллического графита марки МПГ-8, высокоориентированного пирографита марки УПВ-1Т, стеклоуглерода) и для сравнения - поликристаллической меди)

Перейдём к рассмотрению физического механизма кинетической ионно-электронной эмиссии. Первую попытку найти способ теоретического описания сделал в 1923 г. Капица, который рассматривал свободные электроны металла как источник кинетической эмиссии и полагал, что ион, ударяясь о поверхность мишени, передаёт часть своей кинетической энергии очень малому объёму металла, вызывает кратковременный локальный разогрев, приводящий к термоэлектронной эмиссии. Теория давала правильный порядок величины эмиссии, но не смогла объяснить основные закономерности процесса. Трудность всех "термических" теорий кинетической эмиссии связана с недостаточно большим повышением температуры. Другие теории рассматривали в качестве источника электронов кинетической эмиссии в области высоких энергий ионов (0,1-1 МэВ) электроны бомбардирующих частиц, испускаемые в следствие "встряхивания" электронных оболочек при внезапном изменении движения ядра при столкновении, аналогично ионизации при ударе нейтрона. Однако эти теории предсказывали выход электронов на два порядка ниже наблюдаемого экспериментально.

Что касается связанных электронов (электронов валентной и более глубоких зон), как источника эмиссии, то согласно теории атомных столкновений механизм возбуждения этих электронов зависит от соотношения между скоростью поступательного движения иона v0 и скоростью орбитальных электронов .

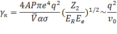
При  происходит резкое изменение потенциала, действующего на связанные электроны, которое вызывает возбуждение или ионизацию атома. Эта область скоростей соответствует в кинетической эмиссии области максимума выхода электронов и последующего спада эмиссии (рис.8). В этой области скоростей (энергии ионов порядка нескольких МэВ) Штернглассом в 1957г. была развита "ударно-ионизационная" теория. В данной теории выход электронов из металла рассматривался как следствие их диффузии к поверхности. Выражение для коэффициента эмиссии имеет вид


где Р - вероятность выхода электронов из металла, А - определяется распределением начальных скоростей вторичных электронов, e - заряд электрона, q - заряд падающей частицы, Z2 - атомный номер материала мишени,  - средняя энергия, идущая на ионизацию атома в твёрдом теле, Ее - энергия электрона, летящего с той же скоростью что и ион, ER - энергия Ридберга, σ - площадь поперечного сечения атома металла, определяемая ковалентным радиусом, α - константа, характеризующая сечения рассеяния вторичных электронов. Формула Штернгласса разумно описывает экспериментальные данные - наличие максимума зависимости γ(v0) и спад эмиссии, обратно пропорциональной скорости бомбардирующей частицы, пропорциональность γк квадрату заряда иона, слабую зависимость параметра мишени.

Современные представления о кинетической ионно-электронной эмиссии металлов высказаны в работе Петрова и в роботе Парилиса и Кишиневского. В обеих работах процесс рассматривается как двухэтапный. Сначала идёт процесс превращения части кинетической энергии иона в энергию возбуждения электронов заполненных зон за счёт взаимодействия электронных оболочек сталкивающихся частиц. При этом в соответствующей зоне образуется дырка. Затем происходит рекомбинация дырки и электрона проводимости металла с передачей выделяющейся энергии оже-процессом ещё одному электрону проводимости, который и эмитируется из мишени. В работе Петрова содержится лишь качественная картина явления и нет указаний на механизм возбуждения электронов при соударении. Во второй работе дело доведено до состояния теории.

В качестве механизма превращения части кинетической энергии сталкивающихся частиц в энергию возбуждения электронов принимается механизм, предположенный Фирсовым при рассмотрении соударений атомных частиц. При сближении ядер сталкивающихся частиц происходит деформация и перекрытие их электронных оболочек, и частицы образуют на время соударения как бы квазимолекулу. При этом кинетическая энергия соударяющихся частиц превращается в потенциальную энергию их сил отталкивания вследствие возрастания полной энергии электронов системы. Так как скорости движения ядер малы по сравнению со скоростью электронов (критерий Бора), то изменение электронной конфигурации и потенциальной энергии сил отталкивания, происходит почти адиабатически, т.е. эта конфигурация, энергия и силы отталкивания почти однозначно определяются в любой момент времени лишь природой частиц и мгновенным значением радиус-вектора R(t), соединяющего ядра сталкивающихся частиц. Если бы указанные изменения происходили совершено адиабатически, то соударение было бы совершено упругим, так как после столкновения конфигурация электронных оболочек частиц стали бы такими же, как и до столкновения. Поэтому и энергии электронов остались бы неизменными, и суммы кинетических энергий и частиц до и после столкновения были бы одинаковыми. Силы отталкивания во время сближения частиц направлены против относительных скоростей их, уменьшая эти скорости. Во время разлёта частиц силы направлены в сторону относительных скоростей, увеличивая их. Никакого превращения части кинетической энергии во внутреннюю энергию возбуждения электронов в результате удара не произошло бы, соударение было бы совершено упругим.

Фирсов указал следующую причину неполной адиабатичности при соударении. Сталкивающиеся частицы обмениваются электронами. При этом электрон первой частицы, уходя из неё во вторую, уносит средний импульс , где  - скорость движения этой первой частицы. Попадая в электронное облако второй частицы, он приобретает средний импульс , т.е. обмен сопровождается передачей импульса  электронному облаку второй частицы, а в следствие связи её электронов с ядром и всей частице в целом. При этом передаваемый (в среднем) импульс уже зависит не только от R(t), но и от . Но передача импульса от одной частицы к другой этим механизмом приводит к существованию сил взаимодействий, уже не "конфигурационного" действия, т.е. сил, зависящих не только от R(t), но и сил, аналоговым силам трения, зависящим от .

Также стоит указать на то, что эти силы всё время направлены против относительных скоростей частиц и на протяжении всего процесса соударения уменьшают скорости. Эти силы и делают соударение несовершенно адиабатическим, приводят к превращению части механической энергии сталкивающихся частиц во внутреннюю энергию их, к разогреву электронов системы за счёт превращения части кинетической энергии в энергию разогрева. Используя статистическую модель атомных частиц по Томасу - Ферми, Фирсов смог рассчитать кинетическую энергию, превращающуюся за время одного столкновения в энергию возбуждения электронов ∆Е, как функцию суммы зарядов ядер сталкивающихся частиц e(Z1+Z2), относительной скорости их vo, расстояния R0 наибольшего сближения и параметра соударения (прицельного расстояния) b, т.е.


Этот механизм будет действовать лишь для электронов, выравнивающих свою среднюю скорость со скоростью частицы, в которой он находится, т.е. для связанных с соударяющимися частицами электронов, а не для свободных электронов.

Хотя состояние электронов в атомных остовах узлов кристаллической решётки металла нельзя рассматривать такими же, как и у изолированных атомов, однако для электронов, кроме электронов проводимости, различия невелики, и поэтому, согласно Кишиневскому, процесс возбуждения электронов всех зон, кроме зоны проводимости, при столкновении иона с отдельным узлом решётки, можно рассчитывать по Фирсову. Но связанные электроны этих зон могут совершать лишь междузонные переходы. В результате столкновения некоторые электроны заполненных зон возбудятся в зону проводимости, а в ранее заполненной зоне появятся дырки. Отсюда непосредственно следует существование энергетического порога возбуждения электронов этим механизмом. Действительно, если передаваемая за время соударения энергия ∆Е(ρ) даже при ρ=0 (центральный удар) при некотором v0 меньше чем энергия, соответствующая разности уровня Ферми Е0 и верхней основной зоны Е2, то такое соударение не способно возбудить электроны этой зоны в зону проводимости. Лишь начиная с v0, которым соответствует ∆Еmax=Е0-Е2, ионы способны возбуждать электроны тела этим механизмом.      Расчёты показывают, что вероятность возбуждения в области малых v0 с достаточной точностью пропорциональна v02, т.е. пропорциональна Ер, а в области больших v0 (v0>3∙107 см/с) - пропорциональна v0, т.е. Ер1/2.

. Применение ионно-электронной эмиссии

Кинетическая ионно-электронная эмиссия имеет многочисленные практическое приложения. Она используется для контроля чистоты поверхности, регистрации малых ионных токов и потоков нейтральных частиц, в ионной оже-спектроскопии и электронной микроскопии для создания электронных пучков большого сечения, при ионно-плазменной обработке материалов, а также для исследования структурно-фазовых превращений в объёме и на поверхности твёрдых тел. Ионно-электронная эмиссия с поверхности монокристаллов может применяться для изучения поверхностной релаксации, отжига и диффузии радиационных нарушений и закономерностей движения ионов в поверхностном слое. Она также позволяет выполнить точную юстировку низкоиндексных граней кристалла относительно ионного пучка.

Рассмотрим кратко некоторые практические применения ионно-электронной эмиссии.

. Измерение слабых токов ионов и потоков нейтральных частиц. Во многих методах и приборах требуется измерение в вакууме потоков нейтральных частиц и ионных токов 10-16 А и менее. Наиболее часто для этих целей используют ионно-электронную эмиссию на специальном конверсионном электроде, электронный ток с которого затем усиливается и регистрируется. Получить количественную информацию с помощью аппаратуры, где регистрируются токи электронных умножителей, очень трудно, поскольку коэффициент ионно-электронной эмиссии зависит от многих параметров. В связи с этим широкое распространение получил метод измерения слабых потоков частиц, основанный на регистрации отдельных импульсов.

2. Растровая ионная микроскопия. В связи с развитием техники фокусированных ионных пучков в аналитических приборах с такими пучками используется режим растровой ионной микроскопии. Растровая ионная микроскопия (РИМ) имеет по сравнению с обычной электронной микроскопии (РЭМ) ряд преимуществ по контрасту. Это иллюстрируется на рис.15 на котором сопоставлены возможности различать элементы с различным атомным номером z (алюминия и золота) в РИМ с использованием пучка галлия энергии 30 кэВ и РЭМ с пучком электронов энергии 10 кэВ. Видно, что РИМ может дать существенно большее измерение контраста границы двух элементов за счёт большего, чем в РЭМ изменения коэффициента γк. Граница элементов в РИМ может быть более резкой, чем в РЭМ, где граница раздела размывается из-за большего рассеяния электронов.

Рис. 15 (Компьютерное моделирование изменений коэффициента γк и вторичной электронной эмиссии δ при сканировании границы раздела золота и алюминия соответственно пучком ионов галлия энергии 30 кэВ и электронов энергии 10 кэВ)

. Контроль процессов ионного травления слоистых структур. Ионное травление - удаление вещества с поверхности твёрдого тела под действием ионной бомбардировки. Этот процесс зависит от энергии и угла падения ионов, а также материала и состояния мишени. В процессе травления в следствие распыления, дефектообразования, имплантации ионов и атомов отдачи меняется элементный состав и структура поверхности: происходит обогащение поверхности отдельным элементом, кристаллизация или аморфизация поверхностного слоя. Для контроля за процессом ионного травления используется мониторинг ионно-электронной эмиссии, которая изменяется скачкообразно при переходе травления от одного к другому поверхностному слою.

Список используемой литературы

1. Добрецов Л.Н., Гомоюнова М.В., Эмиссионная электроника. Москва, 1966г.

. А.М. Борисов, Е.С. Машкова. Физические основы ионно-лучевых технологий. Ионно-электронная эмиссия. Москва: Университетская книга, 2011 г.

. Физический энциклопедический словарь под редакцией Прохорова А.М. Москва: "Советская энциклопедия", 1983 г.

. Б.В. Бондаренко Эмиссия электронов и ионов из твёрдого тела в вакуум. Москва, 1982 г.

. Брусиловский Б.А., Кинетическая ионно-электронная эмиссия. Москва: Энергоатомиздат, 1990 г.

Похожие работы на - Ионно-электронная эмиссия

 

Не нашли материал для своей работы?
Поможем написать уникальную работу
Без плагиата!
Без нейросетей!