Напольное отопление квартиры жилого дома
Министерство
образования Республики Беларусь
Белорусский
Национальный Технический Университет
Кафедра
«Теплогазоснабжение и вентиляция»
Курсовая
работа
“Напольное
отопление квартиры жилого дома ”
Принял: Рутковский М.А.
Минск 2012
Содержание
Аннотация
Введение
. Краткое
описание здания, расчетные параметры наружного и внутреннего воздуха
. Определение
расчетных температур в неотапливаемых помещениях
. Определение
расчетных потерь здания и двухкомнатной квартиры
. Определение
расчетной температуры теплоносителя системы напольного отопления квартиры
.
Предварительный тепловой расчет контуров напольного отопления
.
Гидравлический расчет контуров напольного отопления
.
Окончательный тепловой расчет контуров напольного отопления
Резюме
Список
литературы
Аннотация
В данной курсовой работе представлено проектирование системы напольного
отопления квартиры жилого дома, расположенного в Могилевской области. Квартира
состоит из двух жилых помещений, кухни, прихожей, совмещенного санузла, коридора.
Ориентация главного фасада здания - юго-запад.
В курсовом проекте содержатся следующие разделы:
определение сопротивления теплопередаче перекрытия над
неотапливаемым подвалом;
определение расчетных потерь теплоты отапливаемыми помещениями;
определение расчетной температуры теплоносителя системы
напольного отопления квартиры;
предварительный тепловой расчет контуров напольного отопления;
гидравлический расчет контуров напольного отопления;
окончательный тепловой расчет контуров напольного отопления;
конструирование системы напольного отопления.
Введение
Устройство водообогреваемых полов выполняют следующим образом. На ровное
основание пола (черный пол) укладывают гидро- и теплоизолирующий слои, а сверху
- трубы для подачи горячей воды. Их заливают бетонной стяжкой с
пластификатором, поверх которой настилают покрытие чистого пола (рис. 1). В
качестве покрытия пола может применяться: керамическая плитка, синтетические
рулонные материалы, ковровое покрытие и др.
Рис. 1.: Конструкция устройства системы подогрева пола
- перекрытие; 2 - тепловая изоляция; 3 - усадочный шов; 4 -
гидроизоляция; 5 - греющий контур; 6 - стяжка из цементно-песчаного раствора; 7
- напольное покрытие
Трубы укладывают в виде змеевика той или иной конфигурации. Необходимые
параметры системы определяют на основании теплотехнических расчетов, а
температуру регулируют с помощью автоматических термостатов, получающих команды
от датчиков температуры теплоносителя или температуры воздуха в помещении.
Подводящие и отводящие трубы контуров и вся арматура выводятся в
распределительный шкаф. Для водобогреваемых полов желательно применять
металлополимерные или медные трубы. Различают два способа укладки труб в греющем
контуре:
1) зигзагообразный:
) с двойной проводкой:
Расстояние между соседними трубами греющего контура (шаг укладки труб)
следует принимать равным от 0,10 до 0,35 м. Расстояние от наружных стен до труб
греющего контура должно быть равно шагу укладки труб.
Среднюю температуру пола помещений следует принимать не выше: с
постоянным пребывание людей 260C; с временным пребыванием людей и
для обходных дорожек крытых плавательных бассейнов 310C; для детских
дошкольных учреждений 230С.
Рекомендуемые температуры теплоносителя составляют: 55 - 450С;
50 - 400С; 45 - 350С; 40 - 300С.
В контуре допускается потеря давления до 20 КПа. Поэтому общую длину труб
контура следует принимать не более 100 м, а одним контуром обогревают, как
правило, не более 20-40 м2 площади пола с максимальным размером
стороны 8 м. Для отопления больших помещений используют несколько контуров.
1. Краткое описание здания, расчетные параметры наружного и
внутреннего воздуха
Рассматривается проектирование системы напольного отопления двухкомнатной
квартиры на первом этаже многоквартирного жилого дома, расположенного в
Могилевской области. Квартира состоит из: двух жилых помещений, кухни,
коридора, совмещенного санузла, коридора.
Ориентация главного фасада здания - юго-восток.
Варианты покрытия пола: керамическое - на кухне, паркет - в коридоре,
ковровое - в одной из комнат, паркет - в остальных комнатах.
Расчетная температура воздуха в помещении: tp=+18oC
Расчетная температура наружного воздуха: text= -22oC (по ТКП 45-2.04-43-2006, таблица 4.3)
Сопротивление теплопередаче ограждающих конструкций:
наружная стена RТ=2,7 м2 0С/Вт,
перекрытие Rп=4,7 м2 0С/Вт.
. Определение расчетных температур в неотапливаемых помещениях
Общая формула для определения расчетной температуры неотапливаемого
помещения имеет вид:
Температура в подвале определяется на основании теплового баланса, из
которого в общем виде получено следующее выражение:
, ºС,
где
tx - искомая температура в подвале, ºС;
kiн - коэффициент теплопередачи через наружные
ограждения,
;
kiв - коэффициент теплопередачи через внутренние
ограждения,
;
Fiн - площадь поверхности наружного ограждения, м2;
Fiв - площадь поверхности внутреннего ограждения, м2;
tн - температура наружного воздуха, ºС;
tв - температура воздуха в помещении, ºС.
Относительно
наружного и внутреннего воздуха подвал отделяют следующие ограждения:
Потолок
подвала (не теплоизолированный):
Fпт=323,76 м2, R=2,7 м2К/Вт,
K=1/2,7=0,213 Вт/м2К.
Наружная
стена :
Fнс=81,6м2,
R=2,7 м2К/Вт
K=1/2,7=0,37
Вт/м2К.
Теплопотери в грунт мы будем рассчитывать при помощи метода зон. Для
этого разобьем поверхность пола подвала на зоны шириной 2 метра. Причем в
первую зону входит и часть поверхности боковой стены.
Каждая зона имеет свой коэффициент теплопередачи,
Ri- соопротивление теплопередаче i-ой зоны, (м2К)/Вт;
R1=2,1 (м2К)/Вт; R2=4,3(м2К)/Вт; R3=8,6(м2К)/Вт; R4=14,2(м2К)/Вт;
Следовательно, коэффициенты теплопередачи равны:
k1=0,48Вт/(м2К), k2=0,23 Вт/(м2К), k3=0,12 Вт/(м2К), k4=0,07 Вт/(м2К),
Площади зон соответственно равны:
А1=194,56м2, А2=163,2м2, А3=99,2м2,
А4=31,36 м2
Подставим все полученные данные в формулу (2.1):
В нашем случае формула примет вид:
=-9,07 C°
Расчётная
температура получилась меньше требуемой, но вследствие прохождения в помещениях
подвала теплороводов системы отопленя мы принимаем температуру равной требуемой
tп=4 0С
.
Определение расчетных потерь теплоты помещениями здания и двухкомнатной
квартиры
Расчетные
потери теплоты квартиры Qкв, Вт,
определяются суммой потерь теплоты отапливаемых помещений:
Q4 - расчётные суммарные потери теплоты отапливаемого
помещения, Вт. Это значение определяются для каждого отапливаемого помещения
исходя из теплового баланса отдельно рассчитываемых составляющих:
Q - основные и
добавочные потери теплоты через отдельные ограждающие конструкции помещения,
Вт; Qi - расчёт теплоты на нагревание инфильтрующегося
наружного воздуха через ограждающие конструкции помещения, Вт; Qh - суммарный тепловой поток, Вт;
η1 -
коэффициент, принимаемый в зависимости от способа регулирования системы
отопления (принимаем: η1=0,8,
водяное отопление с индивидуальными автоматическими терморегуляторами у
отопительных приборов). Расчетные основные и добавочные потери теплоты
помещения определяются суммой потерь теплоты через отдельные ограждающие
конструкции Q, Вт по формуле:
k=1/R - коэффициент теплопередачи
ограждающей конструкции, Вт/(м2.0С);
R -
сопротивление теплопередаче ограждающей конструкции, м2.0С/Вт;
А - расчётная площадь ограждающей конструкции, м2;
tp - расчётная температура воздуха в помещении с учётом повышения её в
зависимости от высоты для помещений высотой более 4 м, 0С;
text - расчетная температура наружного воздуха для холодного
периода года;
n -
коэффициент, принимаемый в зависимости от положения наружной поверхности
ограждающих конструкций по отношению к наружному воздуху;
β - добавочные потери теплоты в долях от
основных потерь.
;
F -
площадь помещения,
напольный
отопление теплопередача сопротивление
Расчет основных и добавочных теплопотерь здания:
|
№
|
t(p), F (помещ.)
|
огр.
|
ориент.
|
размеры
|
A, м(2)
|
К, Вт/м(2)*С
|
n(t(p)-t(ext))
|
1+∑ß
|
Q, Вт
|
Примечание
|
|
1
|
2
|
3
|
4
|
5
|
6
|
7
|
8
|
9
|
10
|
11
|
|
103 жил.
|
20 С°, 18,24 м(2)
|
ТО
|
Ю
|
1,5х1,5
|
2,25
|
1,7
|
42
|
1
|
160,65
|
|
|
|
ТО
|
В
|
2,2x1,5
|
3,3
|
1,7
|
42
|
1,1
|
259,182
|
|
|
∑Q,Вт
|
753,7886
|
СТ1
|
Ю
|
4,2x3,3
|
13,86
|
0,37
|
42
|
1
|
215,384
|
|
|
|
Ст2
|
В
|
1х3,3
|
3,3
|
0,37
|
42
|
1,1
|
56,4102
|
|
|
|
ПЛ
|
-
|
-
|
-
|
0,213
|
16
|
1
|
62,162
|
|
|
102 нежил.
|
25 С° , 6,4 м(2)
|
ТО
|
Ю
|
0,7х1,5
|
1,05
|
1,7
|
47
|
1
|
83,895
|
|
|
∑Q,Вт
|
187,1253
|
СТ
|
Ю
|
1,3х3,3
|
4,29
|
0,37
|
47
|
1
|
74,6031
|
|
|
|
ПЛ
|
-
|
-
|
-
|
0,213
|
21
|
1
|
28,6272
|
|
|
101 жил.
|
20 С°, 11,84 м(2)
|
ТО
|
З
|
2,2х1,5
|
3,3
|
1,7
|
42
|
1,05
|
247,401
|
|
|
|
СТ1
|
Ю
|
3,7х3,3
|
12,21
|
0,37
|
42
|
1
|
189,743
|
|
|
∑Q,Вт
|
531,34122
|
СТ2
|
З
|
1х3,3
|
3,3
|
0,37
|
42
|
1,05
|
53,8461
|
|
|
|
ПЛ
|
-
|
-
|
-
|
0,213
|
16
|
1
|
40,3507
|
|
|
104 жил.
|
18 С° , 9,62 м(2)
|
ТО
|
З
|
1,5х1,5
|
2,25
|
1,7
|
40
|
1,05
|
160,65
|
|
|
∑Q,Вт
|
245,74704
|
СТ
|
З
|
1,1х3,3
|
3,63
|
0,37
|
40
|
1,05
|
56,4102
|
|
|
|
ПЛ
|
-
|
-
|
-
|
0,213
|
14
|
1
|
28,6868
|
|
|
108 жил.
|
18 С° , 14,82 м(2)
|
ТО
|
З
|
1,5х1,5
|
2,25
|
1,7
|
40
|
1,05
|
160,65
|
|
|
∑Q,Вт
|
256,12524
|
СТ
|
З
|
1,1х3,3
|
3,3
|
0,37
|
40
|
1,05
|
51,282
|
|
|
|
ПЛ
|
-
|
-
|
-
|
0,213
|
14
|
1
|
44,1932
|
|
|
110 жил.
|
18 С° , 9,62 м(2)
|
ТО
|
З
|
1,5х1,5
|
2,25
|
1,7
|
40
|
1,05
|
160,65
|
|
|
∑Q,Вт
|
245,74704
|
СТ
|
З
|
1,1х3,3
|
3,63
|
0,37
|
40
|
1,05
|
56,4102
|
|
|
|
ПЛ
|
-
|
-
|
-
|
0,213
|
14
|
1
|
28,6868
|
|
|
113 жил.
|
20 С°, 11,84 м(2)
|
ТО
|
З
|
2,2х1,5
|
3,3
|
1,7
|
42
|
1,05
|
247,401
|
|
|
∑Q,Вт
|
398,00802
|
СТ1
|
З
|
1х3,3
|
3,3
|
0,37
|
42
|
1,05
|
53,8461
|
|
|
|
СТ2
|
С
|
1х3,3
|
3,3
|
0,37
|
42
|
1,1
|
56,4102
|
|
|
|
ПЛ
|
-
|
-
|
-
|
0,213
|
16
|
1
|
40,3507
|
18 С°, 11,84 м(2)
|
ТО
|
З
|
2,2х1,5
|
3,3
|
1,7
|
40
|
1,05
|
235,62
|
|
|
∑Q,Вт
|
322,20888
|
СТ
|
З
|
1х3,3
|
3,3
|
0,37
|
40
|
1,05
|
51,282
|
|
|
|
ПЛ
|
-
|
-
|
-
|
0,213
|
14
|
1
|
35,3069
|
|
|
119 жил.
|
18 С°, 9,62 м(2)
|
ТО
|
З
|
1,5х1,5
|
2,25
|
1,7
|
40
|
1,05
|
160,65
|
|
|
∑Q,Вт
|
245,74704
|
СТ
|
З
|
1,1х3,3
|
3,63
|
0,37
|
40
|
1,05
|
56,4102
|
|
|
|
ПЛ
|
-
|
-
|
-
|
0,213
|
14
|
1
|
28,6868
|
|
|
123 жил.
|
18 С°, 14,82 м(2)
|
ТО
|
З
|
1,5х1,5
|
2,25
|
1,7
|
40
|
1,05
|
160,65
|
|
|
∑Q,Вт
|
261,25344
|
СТ
|
З
|
1,1х3,3
|
3,63
|
0,37
|
40
|
1,05
|
56,4102
|
|
|
|
ПЛ
|
-
|
-
|
-
|
0,213
|
14
|
1
|
44,1932
|
|
|
125 жил.
|
18 С°, 9,62 м(2)
|
ТО
|
З
|
1,5х1,5
|
2,25
|
1,7
|
40
|
1,05
|
160,65
|
|
|
∑Q,Вт
|
245,74704
|
СТ
|
З
|
1,1х3,3
|
3,63
|
0,37
|
40
|
1,05
|
56,4102
|
|
|
|
ПЛ
|
-
|
-
|
-
|
0,213
|
14
|
1
|
28,6868
|
|
|
128 жил.
|
20 С°, 11,84 м(2)
|
ТО
|
З
|
2,2х1,5
|
3,3
|
1,7
|
42
|
1,05
|
247,401
|
|
|
∑Q,Вт
|
550,31556
|
СТ1
|
З
|
1х3,3
|
3,3
|
0,37
|
42
|
1,05
|
53,8461
|
|
|
|
СТ2
|
С
|
3,7х3,3
|
12,21
|
0,37
|
42
|
1,1
|
208,718
|
|
|
|
ПЛ
|
-
|
-
|
-
|
0,213
|
16
|
1
|
40,3507
|
|
|
129 нежил.
|
25 С° , 6,4 м(2)
|
ТО
|
С
|
0,7х1,5
|
1,05
|
1,7
|
47
|
1,1
|
92,2845
|
|
|
∑Q,Вт
|
202,97511
|
СТ
|
С
|
1,3х3,3
|
4,29
|
0,37
|
47
|
1,1
|
82,0634
|
|
|
|
ПЛ
|
-
|
-
|
-
|
0,213
|
21
|
1
|
28,6272
|
|
|
130 жил.
|
20 С°, 18,24 м(2)
|
ТО
|
С
|
1,5х1,5
|
2,25
|
1,7
|
42
|
1,1
|
176,715
|
|
|
∑Q,Вт
|
791,39196
|
ТО
|
В
|
2,2х1,5
|
3,3
|
1,7
|
42
|
1,1
|
259,182
|
|
|
|
СТ1
|
С
|
4,2х3,3
|
13,86
|
0,37
|
42
|
1,1
|
236,923
|
|
|
|
СТ2
|
В
|
1х3,3
|
3,3
|
0,37
|
42
|
1,1
|
56,4102
|
|
|
|
ПЛ
|
-
|
-
|
-
|
0,213
|
16
|
1
|
62,1619
|
|
|
127 нежил.
|
18 С°, 10,4 м(2)
|
ТО
|
В
|
1,5х1,5
|
2,25
|
1,7
|
40
|
1,1
|
168,3
|
|
|
∑Q,Вт
|
258,4092
|
СТ
|
В
|
1,1х3,3
|
3,63
|
0,37
|
40
|
1,1
|
59,0964
|
|
|
|
ПЛ
|
-
|
-
|
-
|
0,213
|
14
|
1
|
31,0128
|
|
|
122 нежил.
|
18 С°, 10,4 м(2)
|
ТО
|
В
|
1,5х1,5
|
2,25
|
1,7
|
40
|
1,1
|
168,3
|
|
|
∑Q,Вт
|
258,4092
|
СТ
|
В
|
1,1х3,3
|
3,63
|
0,37
|
40
|
1,1
|
59,0964
|
|
|
|
ПЛ
|
-
|
-
|
-
|
0,213
|
14
|
1
|
31,0128
|
|
|
118 жил.
|
20 С°, 18,24 м(2)
|
ТО
|
В
|
2,2х1,5
|
3,3
|
1,7
|
42
|
1,1
|
259,182
|
|
|
∑Q,Вт
|
429,03612
|
СТ1
|
В
|
1х3,3
|
3,3
|
0,37
|
42
|
1,1
|
56,4102
|
|
|
|
СТ2
|
Ю
|
1х3,3
|
3,3
|
0,37
|
42
|
1
|
51,282
|
|
|
|
ПЛ
|
-
|
-
|
-
|
0,213
|
16
|
1
|
62,1619
|
|
|
115 жил.
|
18 С°, 18,24 м(2)
|
ТО
|
В
|
2,2х1,5
|
3,3
|
1,7
|
40
|
1,1
|
246,84
|
|
|
∑Q,Вт
|
354,95568
|
СТ
|
В
|
1х3,3
|
3,3
|
0,37
|
40
|
1,1
|
53,724
|
|
|
|
ПЛ
|
-
|
-
|
-
|
0,213
|
14
|
1
|
54,3917
|
|
|
112 нежил.
|
18 С°, 10,4 м(2)
|
ТО
|
В
|
1,5х1,5
|
2,25
|
1,7
|
40
|
1,1
|
168,3
|
|
|
∑Q,Вт
|
СТ
|
В
|
1,1х3,3
|
3,63
|
0,37
|
40
|
1,1
|
59,0964
|
|
|
|
ПЛ
|
-
|
-
|
-
|
0,213
|
14
|
1
|
31,0128
|
|
|
107 нежил.
|
18 С°, 10,4 м(2)
|
ТО
|
В
|
1,5х1,5
|
2,25
|
1,7
|
40
|
1,1
|
168,3
|
|
|
∑Q,Вт
|
258,4092
|
СТ
|
В
|
1,1х3,3
|
3,63
|
0,37
|
40
|
1,1
|
59,0964
|
|
|
|
ПЛ
|
-
|
-
|
-
|
0,213
|
14
|
1
|
31,0128
|
|
|
105 нежил.
|
18 С°, 2 м(2)
|
ПЛ
|
-
|
-
|
-
|
0,213
|
14
|
1
|
5,964
|
|
|
106 нежил.
|
18 С°, 6,64 м(2)
|
ПЛ
|
-
|
-
|
-
|
0,213
|
14
|
1
|
19,8005
|
|
|
109 нежил.
|
18 С°, 2,88 м(2)
|
ПЛ
|
-
|
-
|
-
|
0,213
|
14
|
1
|
8,58816
|
|
|
111 нежил.
|
18 С°, 8,64 м(2)
|
ПЛ
|
-
|
-
|
-
|
0,213
|
14
|
1
|
25,7645
|
|
|
114 нежил.
|
25 С°, 6 м(2)
|
ПЛ
|
-
|
-
|
-
|
0,213
|
21
|
1
|
26,838
|
|
|
117 нежил.
|
25 С°, 6 м(2)
|
ПЛ
|
-
|
-
|
-
|
0,213
|
21
|
1
|
26,838
|
|
|
120 нежил.
|
18 С°, 2 м(2)
|
ПЛ
|
-
|
-
|
-
|
0,213
|
14
|
1
|
5,964
|
|
|
121 нежил.
|
18 С°, 6,64 м(2)
|
ПЛ
|
-
|
-
|
-
|
0,213
|
14
|
1
|
19,8005
|
|
|
124 нежил.
|
18 С°, 2,88 м(2)
|
ПЛ
|
-
|
-
|
-
|
0,213
|
14
|
1
|
8,58816
|
|
|
126 нежил.
|
18 С°, 8,64 м(2)
|
ПЛ
|
-
|
-
|
-
|
0,213
|
14
|
1
|
25,7645
|
|
|
лес.клетка
|
18 С°, 14,82 м(2)
|
ТО
|
В
|
1,5х1,5
|
2,25
|
1,7
|
40
|
1,1
|
168,3
|
|
|
∑Q,Вт
|
271,58964
|
СТ
|
В
|
1,1х3,3
|
3,63
|
0,37
|
40
|
1,1
|
59,0964
|
|
|
|
ПЛ
|
-
|
-
|
14,82
|
0,213
|
14
|
1
|
44,1932
|
|
|
303 жил.
|
20 С°, 18,24 м(2)
|
ТО
|
Ю
|
1,5х1,5
|
2,25
|
1,7
|
42
|
1
|
160,65
|
|
|
∑Q,Вт
|
691,6266
|
ТО
|
В
|
2,2x1,5
|
3,3
|
1,7
|
42
|
1,1
|
259,18
|
|
|
|
СТ1
|
Ю
|
4,2x3,3
|
13,86
|
0,37
|
42
|
1
|
215,38
|
|
|
|
Ст2
|
В
|
1х3,3
|
3,3
|
0,37
|
42
|
1,1
|
56,41
|
|
|
302 нежил.
|
25 С° , 6,4 м(2)
|
ТО
|
Ю
|
0,7х1,5
|
1,05
|
1,7
|
47
|
1
|
83,895
|
|
|
∑Q,Вт
|
158,4981
|
СТ
|
Ю
|
1,3х3,3
|
4,29
|
0,37
|
47
|
1
|
74,603
|
|
|
301 жил.
|
20 С°, 11,84 м(2)
|
ТО
|
З
|
2,2х1,5
|
3,3
|
1,7
|
42
|
1,1
|
247,4
|
|
|
∑Q,Вт
|
490,9905
|
СТ1
|
Ю
|
3,7х3,3
|
12,21
|
0,37
|
42
|
1
|
189,74
|
|
|
|
СТ2
|
З
|
1х3,3
|
3,3
|
0,37
|
42
|
1,1
|
53,846
|
|
|
304 жил.
|
18 С° , 9,62 м(2)
|
ТО
|
З
|
1,5х1,5
|
2,25
|
1,7
|
40
|
1,1
|
160,65
|
|
|
∑Q,Вт
|
217,0602
|
СТ
|
З
|
1,1х3,3
|
3,63
|
0,37
|
40
|
1,1
|
56,41
|
|
|
308 жил.
|
18 С° , 14,82 м(2)
|
ТО
|
З
|
1,5х1,5
|
2,25
|
1,7
|
40
|
1,1
|
160,65
|
|
|
∑Q,Вт
|
211,932
|
СТ
|
З
|
1,1х3,3
|
3,3
|
0,37
|
40
|
1,1
|
51,282
|
|
|
310 жил.
|
18 С° , 9,62 м(2)
|
ТО
|
З
|
1,5х1,5
|
2,25
|
1,7
|
40
|
1,1
|
160,65
|
|
|
∑Q,Вт
|
217,0602
|
СТ
|
З
|
1,1х3,3
|
3,63
|
0,37
|
40
|
1,1
|
56,41
|
|
|
313 жил.
|
20 С°, 11,84 м(2)
|
ТО
|
З
|
2,2х1,5
|
3,3
|
1,7
|
42
|
1,1
|
247,4
|
|
|
∑Q,Вт
|
357,6573
|
СТ1
|
З
|
1х3,3
|
3,3
|
0,37
|
42
|
1,1
|
53,846
|
|
|
|
СТ2
|
С
|
1х3,3
|
3,3
|
0,37
|
42
|
1,1
|
56,41
|
|
|
316 жил.
|
18 С°, 11,84 м(2)
|
ТО
|
З
|
2,2х1,5
|
3,3
|
40
|
1,1
|
235,62
|
|
|
∑Q,Вт
|
286,902
|
СТ
|
З
|
1х3,3
|
3,3
|
0,37
|
40
|
1,1
|
51,282
|
|
|
319 жил.
|
18 С°, 9,62 м(2)
|
ТО
|
З
|
1,5х1,5
|
2,25
|
1,7
|
40
|
1,1
|
160,65
|
|
|
∑Q,Вт
|
217,0602
|
СТ
|
З
|
1,1х3,3
|
3,63
|
0,37
|
40
|
1,1
|
56,41
|
|
|
323 жил.
|
18 С°, 14,82 м(2)
|
ТО
|
З
|
1,5х1,5
|
2,25
|
1,7
|
40
|
1,1
|
160,65
|
|
|
∑Q,Вт
|
217,0602
|
СТ
|
З
|
1,1х3,3
|
3,63
|
0,37
|
40
|
1,1
|
56,41
|
|
|
325 жил.
|
18 С°, 9,62 м(2)
|
ТО
|
З
|
1,5х1,5
|
2,25
|
1,7
|
40
|
1,1
|
160,65
|
|
|
∑Q,Вт
|
217,0602
|
СТ
|
З
|
1,1х3,3
|
3,63
|
0,37
|
40
|
1,1
|
56,41
|
|
|
328 жил.
|
20 С°, 11,84 м(2)
|
ТО
|
З
|
2,2х1,5
|
3,3
|
1,7
|
42
|
1,1
|
247,4
|
|
|
∑Q,Вт
|
509,96484
|
СТ1
|
З
|
1х3,3
|
3,3
|
0,37
|
42
|
1,1
|
53,846
|
|
|
|
СТ2
|
С
|
3,7х3,3
|
12,21
|
0,37
|
42
|
1,1
|
208,72
|
|
|
329 нежил.
|
25 С° , 6,4 м(2)
|
ТО
|
С
|
0,7х1,5
|
1,05
|
1,7
|
47
|
1,1
|
92,285
|
|
|
∑Q,Вт
|
174,34791
|
СТ
|
С
|
1,3х3,3
|
4,29
|
0,37
|
47
|
1,1
|
82,063
|
|
|
330 жил.
|
20 С°, 18,24 м(2)
|
ТО
|
С
|
1,5х1,5
|
2,25
|
1,7
|
42
|
1,1
|
176,72
|
|
|
∑Q,Вт
|
729,23004
|
ТО
|
В
|
2,2х1,5
|
3,3
|
1,7
|
42
|
1,1
|
259,18
|
|
|
|
СТ1
|
С
|
4,2х3,3
|
13,86
|
0,37
|
42
|
1,1
|
236,92
|
|
|
|
СТ2
|
В
|
1х3,3
|
3,3
|
0,37
|
42
|
1,1
|
56,41
|
|
|
327 нежил.
|
18 С°, 10,4 м(2)
|
ТО
|
В
|
1,5х1,5
|
2,25
|
1,7
|
40
|
1,1
|
168,3
|
|
|
∑Q,Вт
|
227,3964
|
СТ
|
В
|
1,1х3,3
|
3,63
|
0,37
|
40
|
1,1
|
59,096
|
|
|
322 нежил.
|
18 С°, 10,4 м(2)
|
ТО
|
В
|
1,5х1,5
|
2,25
|
1,7
|
40
|
1,1
|
168,3
|
|
|
∑Q,Вт
|
227,3964
|
СТ
|
В
|
1,1х3,3
|
3,63
|
0,37
|
40
|
1,1
|
59,096
|
|
|
318 жил.
|
20 С°, 18,24 м(2)
|
ТО
|
В
|
2,2х1,5
|
3,3
|
1,7
|
42
|
1,1
|
259,18
|
|
|
∑Q,Вт
|
366,8742
|
СТ1
|
В
|
1х3,3
|
3,3
|
0,37
|
42
|
1,1
|
56,41
|
|
|
|
СТ2
|
Ю
|
1х3,3
|
3,3
|
0,37
|
42
|
1
|
51,282
|
|
|
315 жил.
|
18 С°, 18,24 м(2)
|
ТО
|
В
|
2,2х1,5
|
3,3
|
1,7
|
40
|
1,1
|
246,84
|
|
|
∑Q,Вт
|
300,564
|
СТ
|
В
|
1х3,3
|
3,3
|
0,37
|
40
|
1,1
|
53,724
|
|
|
312 нежил.
|
18 С°, 10,4 м(2)
|
ТО
|
В
|
1,5х1,5
|
2,25
|
1,7
|
40
|
1,1
|
168,3
|
|
|
∑Q,Вт
|
227,3964
|
СТ
|
В
|
1,1х3,3
|
3,63
|
0,37
|
40
|
1,1
|
59,096
|
|
|
307 нежил.
|
18 С°, 10,4 м(2)
|
ТО
|
В
|
1,5х1,5
|
2,25
|
1,7
|
40
|
1,1
|
168,3
|
|
|
∑Q,Вт
|
227,3964
|
СТ
|
В
|
1,1х3,3
|
3,63
|
0,37
|
40
|
1,1
|
59,096
|
|
|
лес.клетка
|
18 С°, 14,82 м(2)
|
ТО
|
В
|
1,5х1,5
|
2,25
|
1,7
|
40
|
1,1
|
168,3
|
|
|
∑Q,Вт
|
227,3964
|
СТ
|
В
|
1,1х3,3
|
3,63
|
0,37
|
40
|
1,1
|
59,096
|
|
|
703 жил.
|
20 С°, 18,24 м(2)
|
ТО
|
Ю
|
1,5х1,5
|
2,25
|
1,7
|
42
|
1
|
160,65
|
|
|
∑Q,Вт
|
746,01828
|
ТО
|
В
|
2,2x1,5
|
3,3
|
1,7
|
42
|
1,1
|
259,182
|
|
|
|
СТ1
|
Ю
|
4,2x3,3
|
13,86
|
0,37
|
42
|
1
|
215,3844
|
|
|
|
Ст2
|
В
|
1х3,3
|
3,3
|
0,37
|
42
|
1,1
|
56,4102
|
|
|
|
ПЛ
|
-
|
-
|
-
|
0,213
|
14
|
1
|
54,39168
|
|
|
702 нежил.
|
ТО
|
Ю
|
0,7х1,5
|
1,05
|
1,7
|
47
|
1
|
83,895
|
|
|
∑Q,Вт
|
184,3989
|
СТ
|
Ю
|
1,3х3,3
|
4,29
|
0,37
|
47
|
1
|
74,6031
|
|
|
|
ПЛ
|
-
|
-
|
-
|
0,213
|
19
|
1
|
25,9008
|
|
|
701 жил.
|
20 С°, 11,84 м(2)
|
ТО
|
З
|
2,2х1,5
|
3,3
|
1,7
|
42
|
1,05
|
247,401
|
|
|
∑Q,Вт
|
526,29738
|
СТ1
|
Ю
|
3,7х3,3
|
12,21
|
0,37
|
42
|
1
|
189,7434
|
|
|
|
СТ2
|
З
|
1х3,3
|
3,3
|
0,37
|
42
|
1,05
|
53,8461
|
|
|
|
ПЛ
|
-
|
-
|
-
|
0,213
|
14
|
1
|
35,30688
|
|
|
704 жил.
|
18 С° , 9,62 м(2)
|
ТО
|
З
|
1,5х1,5
|
2,25
|
1,7
|
40
|
1,05
|
160,65
|
|
|
∑Q,Вт
|
241,64892
|
СТ
|
З
|
1,1х3,3
|
3,63
|
0,37
|
40
|
1,05
|
56,4102
|
|
|
|
ПЛ
|
-
|
-
|
-
|
0,213
|
12
|
1
|
24,58872
|
|
|
708 жил.
|
18 С° , 14,82 м(2)
|
ТО
|
З
|
1,5х1,5
|
2,25
|
1,7
|
40
|
1,05
|
160,65
|
|
|
∑Q,Вт
|
249,81192
|
СТ
|
З
|
1,1х3,3
|
3,3
|
0,37
|
40
|
1,05
|
51,282
|
|
|
|
ПЛ
|
-
|
-
|
-
|
0,213
|
12
|
1
|
37,87992
|
|
|
710 жил.
|
18 С° , 9,62 м(2)
|
ТО
|
З
|
1,5х1,5
|
2,25
|
1,7
|
40
|
1,05
|
160,65
|
|
|
∑Q,Вт
|
241,64892
|
СТ
|
З
|
1,1х3,3
|
3,63
|
0,37
|
40
|
1,05
|
56,4102
|
|
|
|
ПЛ
|
-
|
-
|
-
|
0,213
|
12
|
1
|
24,58872
|
|
|
713 жил.
|
20 С°, 11,84 м(2)
|
ТО
|
З
|
2,2х1,5
|
3,3
|
1,7
|
42
|
1,05
|
247,401
|
|
|
∑Q,Вт
|
392,96418
|
СТ1
|
З
|
1х3,3
|
3,3
|
0,37
|
42
|
1,05
|
53,8461
|
|
|
|
СТ2
|
С
|
1х3,3
|
3,3
|
0,37
|
42
|
1,1
|
56,4102
|
|
|
|
ПЛ
|
-
|
-
|
-
|
0,213
|
14
|
1
|
35,30688
|
|
|
716 жил.
|
18 С°, 11,84 м(2)
|
ТО
|
З
|
2,2х1,5
|
3,3
|
1,7
|
40
|
1,05
|
235,62
|
|
|
∑Q,Вт
|
317,16504
|
СТ
|
З
|
1х3,3
|
3,3
|
0,37
|
40
|
1,05
|
51,282
|
|
|
|
ПЛ
|
-
|
-
|
-
|
0,213
|
12
|
1
|
30,26304
|
|
|
719 жил.
|
18 С°, 9,62 м(2)
|
ТО
|
З
|
1,5х1,5
|
2,25
|
1,7
|
40
|
1,05
|
160,65
|
|
|
∑Q,Вт
|
241,64892
|
СТ
|
З
|
1,1х3,3
|
3,63
|
0,37
|
40
|
1,05
|
56,4102
|
|
|
|
ПЛ
|
-
|
-
|
-
|
0,213
|
12
|
1
|
24,58872
|
|
|
723 жил.
|
18 С°, 14,82 м(2)
|
ТО
|
З
|
1,5х1,5
|
2,25
|
1,7
|
40
|
1,05
|
160,65
|
|
|
∑Q,Вт
|
254,94012
|
СТ
|
З
|
1,1х3,3
|
3,63
|
0,37
|
40
|
1,05
|
56,4102
|
|
|
|
ПЛ
|
-
|
-
|
-
|
0,213
|
12
|
1
|
37,87992
|
|
|
725 жил.
|
18 С°, 9,62 м(2)
|
ТО
|
З
|
1,5х1,5
|
2,25
|
1,7
|
40
|
1,05
|
160,65
|
|
|
∑Q,Вт
|
241,64892
|
СТ
|
З
|
1,1х3,3
|
3,63
|
0,37
|
40
|
1,05
|
56,4102
|
|
|
|
ПЛ
|
-
|
-
|
-
|
0,213
|
12
|
1
|
24,58872
|
|
|
728 жил.
|
20 С°, 11,84 м(2)
|
ТО
|
З
|
2,2х1,5
|
3,3
|
1,7
|
42
|
1,05
|
247,401
|
|
|
∑Q,Вт
|
545,27172
|
СТ1
|
З
|
1х3,3
|
3,3
|
0,37
|
42
|
1,05
|
53,8461
|
|
|
|
СТ2
|
С
|
3,7х3,3
|
12,21
|
0,37
|
42
|
1,1
|
208,71774
|
|
|
|
ПЛ
|
-
|
-
|
-
|
0,213
|
14
|
1
|
35,30688
|
|
|
729 нежил.
|
25 С° , 6,4 м(2)
|
ТО
|
С
|
0,7х1,5
|
1,05
|
1,7
|
47
|
1,1
|
92,2845
|
|
|
∑Q,Вт
|
200,24871
|
СТ
|
С
|
1,3х3,3
|
4,29
|
0,37
|
47
|
1,1
|
82,06341
|
-
|
-
|
-
|
0,213
|
19
|
1
|
25,9008
|
|
|
730 жил.
|
20 С°, 18,24 м(2)
|
ТО
|
С
|
1,5х1,5
|
2,25
|
1,7
|
42
|
1,1
|
176,715
|
|
|
∑Q,Вт
|
783,62172
|
ТО
|
В
|
2,2х1,5
|
3,3
|
1,7
|
42
|
1,1
|
259,182
|
|
|
|
СТ1
|
С
|
4,2х3,3
|
13,86
|
0,37
|
42
|
1,1
|
236,92284
|
|
|
|
СТ2
|
В
|
1х3,3
|
3,3
|
0,37
|
42
|
1,1
|
56,4102
|
|
|
|
ПЛ
|
-
|
-
|
-
|
0,213
|
14
|
1
|
54,39168
|
|
|
727 нежил.
|
18 С°, 10,4 м(2)
|
ТО
|
В
|
1,5х1,5
|
2,25
|
1,7
|
40
|
1,1
|
168,3
|
|
|
∑Q,Вт
|
253,9788
|
СТ
|
В
|
1,1х3,3
|
3,63
|
0,37
|
40
|
1,1
|
59,0964
|
|
|
|
ПЛ
|
-
|
-
|
-
|
0,213
|
12
|
1
|
26,5824
|
|
|
722 нежил.
|
18 С°, 10,4 м(2)
|
ТО
|
В
|
1,5х1,5
|
2,25
|
1,7
|
40
|
1,1
|
168,3
|
|
|
∑Q,Вт
|
253,9788
|
СТ
|
В
|
1,1х3,3
|
3,63
|
0,37
|
40
|
1,1
|
59,0964
|
|
|
|
ПЛ
|
-
|
-
|
-
|
0,213
|
12
|
1
|
26,5824
|
|
|
718 жил.
|
20 С°, 18,24 м(2)
|
ТО
|
В
|
2,2х1,5
|
3,3
|
1,7
|
42
|
1,1
|
259,182
|
|
|
∑Q,Вт
|
421,26588
|
СТ1
|
В
|
1х3,3
|
3,3
|
0,37
|
42
|
1,1
|
56,4102
|
|
|
|
СТ2
|
Ю
|
1х3,3
|
3,3
|
0,37
|
42
|
1
|
51,282
|
|
|
|
ПЛ
|
-
|
-
|
-
|
0,213
|
14
|
1
|
54,39168
|
|
|
715 жил.
|
18 С°, 18,24 м(2)
|
ТО
|
В
|
2,2х1,5
|
3,3
|
1,7
|
40
|
1,1
|
246,84
|
|
|
∑Q,Вт
|
347,18544
|
СТ
|
В
|
1х3,3
|
3,3
|
0,37
|
40
|
1,1
|
53,724
|
|
|
|
ПЛ
|
-
|
-
|
-
|
0,213
|
12
|
1
|
46,62144
|
|
|
712 нежил.
|
18 С°, 10,4 м(2)
|
ТО
|
В
|
1,5х1,5
|
2,25
|
1,7
|
40
|
1,1
|
168,3
|
|
|
∑Q,Вт
|
253,9788
|
СТ
|
В
|
1,1х3,3
|
3,63
|
0,37
|
40
|
1,1
|
59,0964
|
|
|
|
ПЛ
|
-
|
-
|
-
|
0,213
|
12
|
1
|
26,5824
|
|
|
707 нежил.
|
18 С°, 10,4 м(2)
|
ТО
|
В
|
1,5х1,5
|
2,25
|
1,7
|
40
|
1,1
|
168,3
|
|
|
∑Q,Вт
|
253,9788
|
СТ
|
В
|
1,1х3,3
|
3,63
|
0,37
|
40
|
1,1
|
59,0964
|
|
|
|
ПЛ
|
-
|
-
|
-
|
0,213
|
12
|
1
|
26,5824
|
|
|
705 нежил.
|
18 С°, 2 м(2)
|
ПЛ
|
-
|
-
|
-
|
0,213
|
12
|
1
|
5,112
|
|
|
706 нежил.
|
18 С°, 6,64 м(2)
|
ПЛ
|
-
|
-
|
-
|
0,213
|
12
|
1
|
16,97184
|
|
|
709 нежил.
|
18 С°, 2,88 м(2)
|
ПЛ
|
-
|
-
|
-
|
0,213
|
12
|
1
|
7,36128
|
|
|
711 нежил.
|
18 С°, 8,64 м(2)
|
ПЛ
|
-
|
-
|
-
|
0,213
|
12
|
1
|
22,08384
|
|
|
714 нежил.
|
25 С°, 6 м(2)
|
ПЛ
|
-
|
-
|
-
|
0,213
|
19
|
1
|
24,282
|
|
|
717 нежил.
|
25 С°, 6 м(2)
|
ПЛ
|
-
|
-
|
-
|
0,213
|
19
|
1
|
24,282
|
|
|
720 нежил.
|
18 С°, 2 м(2)
|
ПЛ
|
-
|
-
|
-
|
0,213
|
12
|
1
|
5,112
|
|
|
721 нежил.
|
18 С°, 6,64 м(2)
|
ПЛ
|
-
|
-
|
-
|
0,213
|
12
|
1
|
16,97184
|
|
|
724 нежил.
|
18 С°, 2,88 м(2)
|
ПЛ
|
-
|
-
|
-
|
0,213
|
12
|
1
|
7,36128
|
|
|
726 нежил.
|
18 С°, 8,64 м(2)
|
ПЛ
|
-
|
-
|
-
|
0,213
|
12
|
1
|
22,08384
|
|
|
лес.клетка
|
18 С°, 14,82 м(2)
|
ТО
|
В
|
1,5х1,5
|
2,25
|
1,7
|
40
|
1,1
|
168,3
|
|
|
∑Q,Вт
|
265,27632
|
СТ
|
В
|
1,1х3,3
|
3,63
|
0,37
|
40
|
1,1
|
59,0964
|
|
|
|
ПЛ
|
-
|
-
|
0,213
|
12
|
1
|
37,87992
|
|
Расчет тепловой нагрузки здания
|
РАСЧЕТ ТЕПЛОВОЙ НАГРУЗКИ ЗДАНИЯ
|
|
Номер, назначение помещения
|
t(p)
|
Площадь помещения F,м(2)
|
∑Q,Вт
|
Qi,Вт
|
Qh,Вт
|
Qh(1-ȵ1),Вт
|
Q4,Вт
|
|
101,жилая
|
20
|
11,84
|
531,3412
|
497,28
|
248,64
|
49,728
|
779,98122
|
|
103, жилая
|
20
|
18,24
|
753,7886
|
766,08
|
383,04
|
76,608
|
1136,8286
|
|
104, жилая
|
18
|
9,62
|
245,747
|
384,8
|
202,02
|
40,404
|
428,52704
|
|
106, нежилая
|
18
|
6,64
|
19,80048
|
265,6
|
139,44
|
27,888
|
145,96048
|
|
107, кухня
|
18
|
10,4
|
258,4092
|
416
|
218,4
|
43,68
|
456,0092
|
|
108, жилая
|
18
|
14,82
|
256,1252
|
592,8
|
311,22
|
62,244
|
537,70524
|
|
110, жилая
|
18
|
9,62
|
245,747
|
384,8
|
202,02
|
40,404
|
428,52704
|
|
111, нежилая
|
18
|
8,64
|
25,76448
|
345,6
|
181,44
|
36,288
|
189,92448
|
|
112, кухня
|
18
|
10,4
|
258,4092
|
416
|
218,4
|
43,68
|
456,0092
|
|
113, жилая
|
20
|
11,84
|
398,008
|
497,28
|
248,64
|
49,728
|
646,64802
|
|
115, жилая
|
18
|
18,24
|
354,9557
|
729,6
|
383,04
|
76,608
|
701,51568
|
|
116, жилая
|
18
|
11,84
|
322,2089
|
473,6
|
248,64
|
49,728
|
547,16888
|
|
118, жилая
|
20
|
18,24
|
429,0361
|
766,08
|
383,04
|
76,608
|
812,07612
|
|
119, жилая
|
18
|
9,62
|
245,747
|
384,8
|
202,02
|
40,404
|
428,52704
|
|
122, кухня
|
18
|
10,4
|
258,4092
|
416
|
218,4
|
43,68
|
456,0092
|
|
123, жилая
|
18
|
14,82
|
261,2534
|
592,8
|
311,22
|
62,244
|
542,83344
|
|
125, жилая
|
18
|
9,62
|
245,747
|
384,8
|
202,02
|
40,404
|
428,52704
|
|
126, нежилая
|
18
|
8,64
|
25,76448
|
345,6
|
181,44
|
36,288
|
189,92448
|
|
127, кухня
|
18
|
10,4
|
258,4092
|
416
|
218,4
|
43,68
|
456,0092
|
|
128, жилая
|
20
|
11,84
|
550,3156
|
497,28
|
248,64
|
49,728
|
798,95556
|
|
130, жилая
|
20
|
18,24
|
791,392
|
766,08
|
383,04
|
76,608
|
1174,432
|
|
Итого по 1-этажу
|
|
6736,379
|
10338,88
|
5333,16
|
1066,632
|
11742,099
|
|
t(ext)
|
-22
|
|
|
|
|
|
|
|
1-ȵ1
|
0,2
|
|
|
|
|
|
|
|
301,жилая
|
20
|
11,84
|
490,9905
|
497,28
|
248,64
|
49,728
|
739,6305
|
|
303, жилая
|
20
|
18,24
|
691,6266
|
766,08
|
383,04
|
76,608
|
1074,6666
|
|
304, жилая
|
18
|
9,62
|
217,0602
|
384,8
|
202,02
|
40,404
|
399,8402
|
|
307, кухня
|
18
|
10,4
|
227,3964
|
416
|
218,4
|
43,68
|
424,9964
|
|
308, жилая
|
18
|
14,82
|
211,932
|
592,8
|
311,22
|
62,244
|
493,512
|
|
310, жилая
|
18
|
9,62
|
217,0602
|
384,8
|
202,02
|
40,404
|
399,8402
|
|
312, кухня
|
18
|
10,4
|
227,3964
|
416
|
218,4
|
43,68
|
424,9964
|
|
313, жилая
|
20
|
11,84
|
357,6573
|
497,28
|
248,64
|
49,728
|
606,2973
|
|
315, жилая
|
18
|
18,24
|
300,564
|
729,6
|
383,04
|
76,608
|
647,124
|
|
316, жилая
|
18
|
11,84
|
286,902
|
473,6
|
248,64
|
49,728
|
511,862
|
|
318, жилая
|
20
|
18,24
|
366,8742
|
766,08
|
383,04
|
76,608
|
749,9142
|
|
319, жилая
|
18
|
9,62
|
217,0602
|
384,8
|
202,02
|
40,404
|
399,8402
|
|
322, кухня
|
18
|
10,4
|
227,3964
|
416
|
218,4
|
43,68
|
424,9964
|
|
323, жилая
|
18
|
14,82
|
217,0602
|
592,8
|
311,22
|
62,244
|
498,6402
|
|
325, жилая
|
18
|
9,62
|
217,0602
|
384,8
|
202,02
|
40,404
|
399,8402
|
|
327, кухня
|
18
|
10,4
|
227,3964
|
416
|
218,4
|
43,68
|
424,9964
|
|
328, жилая
|
20
|
11,84
|
509,9648
|
497,28
|
248,64
|
49,728
|
758,60484
|
|
330, жилая
|
20
|
18,24
|
729,23
|
766,08
|
383,04
|
76,608
|
1112,27
|
|
Итого по 3-этажу
|
|
5940,628
|
9382,08
|
4830,84
|
966,168
|
10491,868
|
|
701,жилая
|
20
|
11,84
|
526,2974
|
497,28
|
248,64
|
49,728
|
774,93738
|
20
|
18,24
|
746,0183
|
766,08
|
383,04
|
76,608
|
1129,0583
|
|
704, жилая
|
18
|
9,62
|
241,6489
|
384,8
|
202,02
|
40,404
|
424,42892
|
|
706, нежилая
|
18
|
6,64
|
16,97184
|
265,6
|
139,44
|
27,888
|
143,13184
|
|
707, кухня
|
18
|
10,4
|
253,9788
|
416
|
218,4
|
43,68
|
451,5788
|
|
708, жилая
|
18
|
14,82
|
249,8119
|
592,8
|
311,22
|
62,244
|
531,39192
|
|
710, жилая
|
18
|
9,62
|
241,6489
|
384,8
|
202,02
|
40,404
|
424,42892
|
|
711, нежилая
|
18
|
8,64
|
22,08384
|
345,6
|
181,44
|
36,288
|
186,24384
|
|
712, кухня
|
18
|
10,4
|
253,9788
|
416
|
218,4
|
43,68
|
451,5788
|
|
713, жилая
|
20
|
11,84
|
392,9642
|
497,28
|
248,64
|
49,728
|
641,60418
|
|
715, жилая
|
18
|
18,24
|
347,1854
|
729,6
|
383,04
|
76,608
|
693,74544
|
|
716, жилая
|
18
|
11,84
|
317,165
|
473,6
|
248,64
|
49,728
|
542,12504
|
|
718, жилая
|
20
|
18,24
|
421,2659
|
766,08
|
383,04
|
76,608
|
804,30588
|
|
719, жилая
|
18
|
9,62
|
241,6489
|
384,8
|
202,02
|
40,404
|
424,42892
|
|
722, кухня
|
18
|
10,4
|
253,9788
|
416
|
218,4
|
43,68
|
451,5788
|
|
723, жилая
|
18
|
14,82
|
254,9401
|
592,8
|
311,22
|
62,244
|
536,52012
|
|
725, жилая
|
18
|
9,62
|
241,6489
|
384,8
|
202,02
|
40,404
|
424,42892
|
|
726, нежилая
|
18
|
8,64
|
22,08384
|
345,6
|
181,44
|
36,288
|
186,24384
|
|
727, кухня
|
18
|
10,4
|
253,9788
|
416
|
218,4
|
43,68
|
451,5788
|
|
728, жилая
|
20
|
11,84
|
545,2717
|
497,28
|
248,64
|
49,728
|
793,91172
|
|
730, жилая
|
20
|
18,24
|
783,6217
|
766,08
|
383,04
|
76,608
|
1166,6617
|
|
Итого по 7-этажу
|
|
6628,192
|
10338,88
|
5333,16
|
1066,632
|
11633,912
|
|
для лестн.клетки
|
18
|
103,74
|
1673,848
|
4149,6
|
2178,54
|
435,708
|
3644,908
|
|
Итого по зданию
|
|
44741,56
|
71737,76
|
36999,06
|
7399,812
|
79480,26
|
Таблица 3 Расчёт основных и добавочных теплопотерь помещения
|
№
|
t(p), F (помещ.)
|
огр.
|
ориент.
|
размеры
|
A, м(2)
|
К, Вт/м(2)*С
|
n(t(p)-t(ext))
|
1+∑ß
|
Q, Вт
|
|
1
|
2
|
3
|
4
|
5
|
6
|
7
|
8
|
9
|
10
|
|
101 жил.
|
20 С°, 11,84 м(2)
|
ТО
|
З
|
2,2х1,5
|
3,3
|
1,7
|
42
|
1,05
|
247,401
|
|
|
СТ1
|
Ю
|
3,7х3,3
|
12,21
|
0,37
|
42
|
1
|
189,7434
|
|
∑Q,Вт
|
531,34122
|
СТ2
|
З
|
1х3,3
|
3,3
|
0,37
|
42
|
1,05
|
53,8461
|
|
|
ПЛ
|
-
|
-
|
-
|
0,213
|
16
|
1
|
40,35072
|
|
103 жил.
|
20 С°, 18,24 м(2)
|
ТО
|
Ю
|
1,5х1,5
|
2,25
|
1,7
|
42
|
1
|
160,65
|
|
|
ТО
|
В
|
2,2x1,5
|
3,3
|
1,7
|
42
|
1,1
|
259,182
|
|
∑Q,Вт
|
753,7886
|
СТ1
|
Ю
|
4,2x3,3
|
13,86
|
0,37
|
42
|
1
|
215,3844
|
|
|
Ст2
|
В
|
1х3,3
|
3,3
|
0,37
|
42
|
1,1
|
56,4102
|
|
|
ПЛ
|
-
|
-
|
-
|
0,213
|
16
|
1
|
62,162
|
|
104 жил.
|
18 С° , 9,62 м(2)
|
ТО
|
З
|
1,5х1,5
|
2,25
|
1,7
|
40
|
1,05
|
160,65
|
|
∑Q,Вт
|
245,74704
|
СТ
|
З
|
1,1х3,3
|
3,63
|
0,37
|
40
|
1,05
|
56,4102
|
|
|
ПЛ
|
-
|
-
|
-
|
0,213
|
14
|
1
|
28,68684
|
|
107 кухня
|
18 С°, 10,4 м(2)
|
ТО
|
В
|
1,5х1,5
|
2,25
|
1,7
|
40
|
1,1
|
168,3
|
|
∑Q,Вт
|
258,4092
|
СТ
|
В
|
1,1х3,3
|
3,63
|
0,37
|
40
|
1,1
|
59,0964
|
|
|
ПЛ
|
-
|
-
|
-
|
0,213
|
14
|
1
|
31,0128
|
|
106 нежил.
|
18 С°, 6,64 м(2)
|
ПЛ
|
-
|
-
|
-
|
0,213
|
14
|
1
|
19,80048
|
Таблица 4 Расчет тепловой нагрузки помещений
|
Расчет тепловой нагрузки помещения
|
|
Номер, назначение пом-я
|
tp,
|
∑Q,Вт
|
Qi,Вт
|
Qh,Вт
|
Qh(1-ȵ1),Вт
|
Q4,Вт
|
|
101 жил.
|
20
|
11,84
|
531,3
|
497,28
|
248,64
|
49,728
|
780
|
|
103 жил.
|
20
|
18,24
|
753,8
|
766,08
|
76,608
|
76,608
|
1137
|
|
104 жил.
|
18
|
9,62
|
245,7
|
384,8
|
202,02
|
40,404
|
428,5
|
|
107 кухня
|
18
|
10,4
|
258,4
|
416
|
218,4
|
43,68
|
456
|
|
106 нежил.
|
18
|
6,64
|
19,8
|
265,6
|
139,44
|
27,888
|
146
|
. Определение расчетной температуры теплоносителя системы напольного
отопления квартиры
Принимаем максимальную расчетную температуру поверхности пола в
помещениях 26 оC. Необходимо принять расчетные температуры
теплоносителя. Определяем для принимаемого шага укладки труб (b, м) требуемую величину средней
разности температур ∆tср и удельную теплоотдачу поверхности
пола (q, Вт/м2).
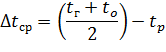
Определим требуемую среднюю расчётную температуру теплоносителя по
формуле:
tг
и tо - расчетные температуры теплоносителя на входе и
выходе теплоносителя контура напольного отопления, 0С; tр - расчетная температура воздуха в помещении, 0С.
Выбираем контур с максимальной удельной теплоотдачей, которая составляет для
контура «В» q = 65,88 Вт/м2,
По номограмме приложения Д3 (В.В. Покотилов: Пособие по расчету систем
отопления, стр.142) определяем требуемую температуру пола для
создания теплоотдачи 65,88 Вт/м2. Для заданной температуры
пола 26 0С определяем для принимаемого нами шага укладки труб b =
0,2 м требуемую величину средней разности температур Δtср. = 25 0С.
Определяем требуемую среднюю расчетную температуру теплоносителя
ср. = [(tг+tо)/2] = Δtср. + tр = 25+20 = 45 0С
Принимаем в качестве расчетной температуры теплоносителя для
проектируемой системы напольного отопления tг = 50 0С, tо = 40 0С.
Поэтому при tр = 20 0С принимаем расчетное значение
Δtср = [(tг + tо)/2] - tр =
[(50+40)/2]-20 = 25 0С.
Проводим аналогичные расчеты для оставшихся контуров, используя
номограммы для различных покрытий. Результаты расчетов заносим в таблицу:
Таблица 5
|
tp,
|
tпл
|
∆tср
|
b
|
tг
|
tо
|
S, м2
|
|
А1
|
20
|
26
|
25
|
0,2
|
50
|
40
|
11,64
|
|
А2
|
20
|
26
|
25
|
0,35
|
50
|
40
|
18,24
|
|
А3
|
18
|
26
|
25
|
0,25
|
50
|
40
|
9,62
|
|
А4
|
18
|
26
|
25
|
0,35
|
50
|
40
|
8,783784
|
Номограммы теплового расчета напольного отопления с:
ковровым или паркетным покрытием:
-синтетическим
покрытием пола:
-керамическим покрытием пола:
5. Предварительный тепловой расчёт контуров напольного отопления
Исходные данные для расчета контуров напольного отопления
Таблица 6
|
№ помещения
|
Q4
|
Обозначение контура
|
Материал покрытия пола
|
Площадь контура Ft
|
|
101 жил.
|
780
|
А1
|
паркет
|
11,64
|
|
103 жил.
|
1137
|
А2
|
синтет.
|
18,24
|
|
104 жил.
|
600
|
А3
|
паркет
|
9,62
|
|
107 кухня
|
650
|
А4
|
плитка
|
8,78378
|
Расчетная теплоотдача контура:
Q=qFt
Тепловая нагрузка:
Q1=Q4-Q
Результаты предварительного теплового расчета контуров напольного
Таблица 7
|
Результаты предварительного расчета контуров напольного
отопления
|
|
№ помещения
|
Q4
|
Обозначение контура
|
Материал покрытия пола
|
Площадь контура Ft
|
шаг укладки b, м
|
тепловой поток контура Q, Вт
|
тепловой поток конвективного отопления Q1, вт
|
|
101 жил.
|
780
|
А1
|
паркет
|
11,64
|
0,2
|
780
|
0
|
|
103 жил.
|
1137
|
А2
|
синтет.
|
18,24
|
0,35
|
1094,4
|
42,6
|
|
104 жил.
|
600
|
А3
|
паркет
|
9,62
|
0,25
|
577,2
|
22,8
|
|
107 кухня
|
650
|
А4
|
плитка
|
8,78378
|
0,35
|
650
|
0
|
6. Гидравлический расчёт контуров напольного отопления
Выполним гидравлический расчет контуров, принимая за исходные данные
приведенные в табл.5 Значения характеристик контуров напольного отопления.
Длина трубопровода:
Расчётный расход теплоносителя:
Значение удельной потери давления на трение R(Па/м), определим по номограмме:
Диаметр труб принимаем: d 16x2мм
Гидравлическое сопротивление контуров:
∆Pt=1.3·L·R
Таблица 8
|
Наименование контура
|
Длина труб L, м.п.
|
Расход G, кг/ч
|
Удельн. потери давлен . на трение R,Па/м
|
Потери давления ∆Рt, Па
|
|
А1
|
58,2
|
67,08
|
42
|
3177,72
|
|
А2
|
52,11
|
94,1184
|
76
|
5148,89
|
|
А3
|
38,48
|
49,6392
|
26
|
1300,62
|
|
А4
|
25,1
|
55,9
|
31
|
1011,39
|
Гидравлическое сопротивление контура должно быть менее 20кПа. Длина
контура не должна превышать 100м.
. Окончательный тепловой расчет контуров напольного отопления
Результаты окончательного теплового расчета контуров напольного отопления
|
№.
|
Контур
|
Материал покрытия
|
площадь контура Ft, м
|
Тепловой поток контура Qт, Вт
|
Расход G, кг/ч
|
Диаметр труб, мм
|
Шаг b, м
|
Длина труб L, м.п.
|
Потери давления Pt, кПа
|
|
101
|
А1
|
паркет
|
11,64
|
780
|
67,08
|
16х2
|
0,2
|
58,2
|
3177,72
|
|
103
|
А2
|
синтет.
|
18,24
|
1094,4
|
94,118
|
16х2
|
0,35
|
52,114
|
5148,89
|
|
104
|
А3
|
паркет
|
9,62
|
577,2
|
49,639
|
16х2
|
0,25
|
38,48
|
1300,62
|
|
107
|
А4
|
плитка
|
8,783784
|
650
|
55,9
|
16х2
|
0,35
|
25,097
|
1011,39
|
Резюме
В данной курсовой работе была запроектирована система водяного напольного
отопления двухкомнатной квартиры на первом этаже многоквартирного жилого дома,
расположенного в Могилевской области. Был произведен расчет тепловых потерь
помещениями, сконструирована система напольного отопления и произведен
тепло-гидравлический расчет этой системы.
Список используемой литературы
1. Теплоснабжение
и вентиляция. Курсовое и дипломное проектирование./ Под редакцией проф.
Б.М.Хрусталева, 3-е издание исправленное и дополненное, Москва 2008г.
. Пособие
по расчету систем отопления, В.В. Покотилов, Минск, 2006г.
. Системы
водяного отопления. В. В. Покотилов. Вена: фирма «HERZ Armaturen», 2008 г.