Разработка и исследование методов компенсации динамической температурной погрешности интегральных тензопреобразователей
Министерство
образования и науки Российской Федерации
Федеральное
государственное бюджетное образовательное учреждение
высшего
профессионального образования
«Уфимский
государственный нефтяной технический университет»
Кафедра
автоматизации технологических процессов и производств
УДК
681.586’326
К
ЗАЩИТЕ ДОПУЩЕН
Зав.
кафедрой АТПП,
проф.
А.П. Веревкин
Бакалаврская
работа по направлению подготовки
Автоматизация
и управление
разработка и исследование методов компенсации динамической
температурной погрешности интегральных тензопреобразователей
Студент
гр. БАГ 08-01 И.И. Абубакиров
Руководитель
канд.
техн. наук, доц. С.В. Емец
Нормоконтролер
М.Ю. Прахова
Уфа
Федеральное
государственное бюджетное образовательное учреждение высшего профессионального
образования
«Уфимский
государственный нефтяной технический университет»
Кафедра
автоматизации технологических процессов и производств
ЗАДАНИЕ
НА
ВЫПОЛНЕНИЕ ВЫПУСКНОЙ КВАЛИФИКАЦИОННОЙ РАБОТЫ (ВКР) БАКАЛАВРА
Студент ________________________________ группа
______________
(Фамилия, имя, отчество)
Тема ВКР
__________________________________________________
_____________________________________________________________
утверждена приказом по УГНТУ от ______________ №
____________
Срок сдачи законченной ВКР ___________30 мая
2012 г.___________
Исходные данные к выполнению ВКР
__________________________
Объем текстовой части 50 - 60 листов формата А4
Содержание расчетно-пояснительной записки
(вопросов, подлежащих разработке)
Основной раздел _____________________________________________
_____________________________________________________________
____________________________________________________________
_____________________________________________________________
______________________________________________________
Специальный
раздел__________________________________________
_____________________________________________________________
_____________________________________________________________
Объем и перечень графической части (с указанием
обязательных чертежей)
_______________________________________________________
_____________________________________________________________
Задание выдал:
Руководитель ВКР _______ ____________ Дата
выдачи задания ______
(Подпись) (Инициалы, фамилия)
Задание получил:
Студент _____________ _____________ Дата
получения задания ______
(Подпись) (Инициалы, фамилия)
РЕФЕРАТ
Бакалаврская работа 72 с., 19 рисунков, 1
таблица, 22 использованных источников, 1 приложение.
ИЗМЕРЕНИЕ ДАВЛЕНИЯ, ИНТЕЛЛЕКТУАЛЬНЫЕ ДАТЧИКИ
ДАВЛЕНИЯ, ИНТЕГРАЛЬНЫЕ ТЕНЗОПРЕОБРАЗОВАТЕЛИ, ГЕТЕРОЭПИТАКСИАЛЬНЫЕ СТРУКТУРЫ
КРЕМНИЙ НА САПФИРЕ, ДОПОЛНИТЕЛЬНАЯ ТЕМПЕРАТУРНАЯ ПОГРЕШНОСТЬ, РЕГРЕССИОННЫЙ
АНАЛИЗ, МАТЕМАТИЧЕСКАЯ МОДЕЛЬ
Объектом исследования являются интеллектуальные
датчики давления с интегральными тензорезисторными преобразователями на основе
гетероэпитаксиальных структур кремний на сапфире.
В процессе исследования определены способы
воздействия температуры на измерительный преобразователь давления, выполнен
анализ методов компенсации температурной погрешности, найден метод устранения
дополнительной динамической температурной погрешности.
Цель работы - повышение метрологической
достоверности при работе интеллектуальных датчиков давления в нестационарных
тепловых полях.
В результате исследования найдена математическая
модель интегрального тензопреобразователя давления, учитывающая скорость
изменения температуры тензомоста и позволяющая устранить динамическую
температурную погрешность, и предложена методика градуировки преобразователя.
Новизна работы заключается в использовании
трёхфакторного нелинейного полинома регрессии для нахождения передаточной
функции преобразователя давления, испытывающего динамическое температурное
воздействие.
Практическая значимость результатов работы
заключается в возможности использования полученной математической модели в
интеллектуальных датчиках давления для повышения устойчивости к тепловым
ударам.
СОДЕРЖАНИЕ
Определения, обозначения и
сокращения
Введение
. Интегральные первичные
преобразователи
.1 Необходимость в интегральных
преобразователях
.2 Этапы интеграции отдельных
физико-конструктивных элементов преобразователей
.3 Интегральные тензопреобразователи
на основе гетероэпитаксиальных структур «кремний на сапфире»
. Аппаратные методы компенсации
температурной погрешности
.1 Характеристики и параметры
мостовых тензорезисторных преобразователей давления
.2 Факторы, определяющие
температурную зависимость характеристик тензопреобразователей
.3 Схемные методы термокомпенсации
дрейфа нуля
.4 Методы термокомпенсации
чувствительности
. Алгоритмические методы компенсации
температурной погрешности
.1 Общие сведения о методах
градуировки
.2 Метод наименьших квадратов
.3 Методы конфлюентного анализа
.4 Робастные методы построения
зависимостей
.5 Быстрые и графические методы
построения прямых
. Компенсация динамической
температурной погрешности интегральных тензорезисторных преобразователей
давления
Заключение
Список использованных источников
Приложение А (обязательное).
Перечень демонстрационных листов
ОПРЕДЕЛЕНИЯ, ОБОЗНАЧЕНИЯ И СОКРАЩЕНИЯ
УЭ - упругий элемент
ТР - тензорезистор
ЧЭ - чувствительный элемент
ИС - интегральная схема
ПЧЭ - полупроводниковый чувствительный элемент
КНС - кремний на сапфире
ТП - тензопреобразователь
ТКС - температурный коэффициент сопротивления
ТКЧ - температурный коэффициент
чувствительности
ТКЛР - температурный коэффициент
линейного расширений
NS -
поверхностная концентрация примесей бора
ТА - температура отжига ионнолегированного
резистора
U0 - начальный
разбаланс мостовой схемы
Еп - напряжение питания
RT -
термистор
RШ - шунтирующее
сопротивление
RД - добавочное
сопротивление
I - ток
М(х) - математическое ожидание
D(x),
σ2 - дисперсия
х - истинное значение (входной) величины
yg -
результат измерения
bij -
коэффициенты регрессии - остаточная сумма
med - медиана
- среднее арифметическое
Ф(x) - функция
нормального распределения
ψ (x) - весовая
функция
P -
давление
Т - температура
NP - код
давления
NT - код
температуры тензомоста
N∂T/∂t -
код приращения температуры
ОС - обратная связь
ФП - функция преобразования
ИП - измерительный
преобразователь
ММ - математическая модель
ГХ - градуировочная
характеристика
МНК - метод наименьших квадратов
СКО - среднее квадратическое
отклонение
ВВЕДЕНИЕ
Давление является одним из параметров,
характеризующих работу технологических объектов и ход технологических процессов
нефтяной, газовой, нефтеперерабатывающей и нефтехимической отраслей
промышленности. В процессе бурения нефтяных и газовых скважин необходимо
наблюдать за давлением, при котором промывочная жидкость нагнетается в
бурильные трубы. Давление на буфере фонтанной арматуры и в затрубном
пространстве определяет режим эксплуатации фонтанной скважины. Давление,
поддерживаемое в сепараторе, определяет глубину сепарации газа из газонефтяной
смеси. Поддержанием давления на определенном уровне, при котором вода подается
в нагнетательные скважины системы поддержания пластовых давлений,
обеспечивается закачка воды в пласт. При управлении процессами переработки
нефти и газа давление является одним из параметров, определяющих характер
функционирования технологических объектов [1].
От точности измерения давления в рабочих
условиях эксплуатации зависит насколько точно будет соблюдаться технологический
режим работы объекта, который влияет на качество и количество выпускаемой
продукции. Уменьшение дополнительной погрешности интегрального
тензорезисторного преобразователя давления при воздействии на него влияющих
факторов отличных от нормальных является актуальной проблемой.
Цель данной работы - улучшение метрологических
характеристик интеллектуальных датчиков давления, повышение их метрологической
достоверности.
В задачи данной работы входят:
обзор интегральных первичных преобразователей;
изучение аппаратных и схемных методов
компенсации температурной погрешности;
изучение алгоритмических методов коррекции
температурной погрешности;
определение математической модели
тензопреобразователя с целью устранения динамической температурной погрешности.
1. Интегральные
первичные преобразователи
.1 Необходимость в
интегральных преобразователях
В условиях быстро развивающейся измерительной
техники была и остается проблема чувствительного элемента или первичного
преобразователя. В результате постоянной острой потребности в преобразователях
возможности измерительной техники всегда ограничивались первичными
преобразователями.
Например, в приобретающей все более актуальное
значение проблеме контроля окружающей среды нет преобразователя, а
следовательно, контрольно-измерительного прибора, способного соперничать с
человеческим носом при определении запахов или с языком при определении
вкусовых примесей.
Природа любого измерительного преобразователя
такова, что его производство - особенно когда речь идет о приборе высокого
класса - требует специализированных знаний, навыков и подготовки (и
определенной доли везения и интуиции). Даже в условиях большого современного
производства отдельные производственные процессы- градуировка и настройка
преобразователей очень похожи на ручные операции в часовом производстве.
Почти все производители чувствительных элементов
занимаются изготовлением преобразователей целиком, но далеко не все из них
выпускают законченные измерительные системы. В то же время, производители
преобразователей, которые выпускают полные измерительные системы, редко
занимаются чувствительными элементами преобразователей.
Высокая чувствительность электрических
характеристик полупроводников к различным внешним воздействиям позволяет
использовать их для измерения соответствующего воздействия. Практически все известные
виды энергии можно преобразовать с помощью полупроводниковых приборов.
Общность исходных материалов для изготовления
преобразователей различных видов энергии является важным фактором, поскольку в
будущем это открывает возможность изготовления многоцелевых преобразователей
нескольких параметров. Конструктивно и технологически такие преобразователи
могут представлять собой единый интегральный прибор.
Однако с практической точки зрения более важным
объединяющим началом следует считать не столько принадлежность преобразователей
к полупроводникам, сколько возможность их изготовления с помощью технологии
микроэлектроники. Единство технологии значительно расширяет класс
преобразователей, которые в этом случае можно было бы назвать микроэлектронными
или интегральными первичными преобразователями.
В таблице 1.1 приведены некоторые примеры
микроэлектронных приборов для преобразования различных видов энергии в
электрический сигнал.
Таблица 1.1 - Примеры микроэлектронных
преобразователей
|
Вид
энергии
|
Микроэлектронные
преобразователи
|
|
Механическая
|
Тензорезисторы,
тензодиоды, тензотранзисторы, диод Ганна, интегральные мембранные
преобразователи
|
|
Акустическая
|
Пьезопреобразователи,
тензопреобразователи
|
|
Электрическая
|
Микроэлектроды,
ионочувствительные приборы
|
|
Магнитная
|
Датчики
Холла, магниторезисторы, магнитодиоды, магнитотранзисторы, магнитотиристоры
|
|
Тепловая
|
Терморезисторы,
диоды, транзисторы, тиристоры
|
|
Световая
|
Фоторезисторы,
фотодиоды, фототранзисторы, фототиристоры, прибор с зарядовой связью
|
|
Химическая
|
Микроэлектроды,
химотронные приборы, ионочувствительные приборы
|
|
Ядерная
|
Полупроводниковые
детекторы излучения
|
Интегральные преобразователи позволяют
осуществлять и обратное преобразование электрической энергии в другие виды
энергии. Самым впечатляющим примером обратных преобразователей являются
излучающие приборы- светодиоды и полупроводниковые лазеры. Другой пример -
интегральные балочные и струнные приборы, преобразующие электрический сигнал в
перемещения или колебания упругого элемента. Мощные транзисторы могут выполнять
функции нагревателей, т. е. преобразователей электрической энергии в тепловую
[2].
Таким образом, микроэлектронные первичные
преобразователи отвечают широкому классу задач, стоящих перед измерительной
техникой и автоматикой.
.2 Этапы
интеграции отдельных физико-конструктивных элементов преобразователей
Рассмотрим краткую историю развития
механоэлектрических преобразователей на примере преобразователей давления. На
рисунке 1.1 схематично показано устройство классического тензорезисторного преобразователя
давления.
Совокупность составляющих его элементов можно
представить в виде структурной схемы, показанной на рисунке 1.2. Роль элемента,
воспринимающего давление, выполняет мембрана, которая, деформируясь, передает
воздействие через шток (передающий элемент) на балку (упругий элемент УЭ).
Деформация упругого элемента вызывает появление механических напряжений в
тензорезисторах (ТР), включенных в схему вторичного преобразователя, где могут
использоваться усилители и преобразователи сигнала, а также подстроечные
элементы, с помощью которых осуществляется настройка и компенсация схемы
прибора.
- корпус преобразователя; 2 - мембрана; 3 -
шток; 4 - балка; 5 - тензорезистор; 6 - крепление мембраны и балки; 7 - выход;
8 - постоянный или подстраиваемый резистор
Рисунок 1.1 - Тензорезисторный преобразователь
давления
Исторически развитие механоэлектрических
преобразователей происходило в несколько этапов таким образом, что на каждом
очередном этапе интегрировались отдельные физико-конструктивные элементы
преобразователя, представленные структурной схемой. Действительно, на первом
этапе интеграция сводилась к объединению воспринимающего, передающего и
упругого элементов. Преобразователь давления, соответствующий этапу I показан
на рисунке 1.3 (а). Тензорезисторы приклеены непосредственно к мембране,
одновременно выполняющей функции воспринимающего и упругого элементов.
Устройство такого типа отличается простотой конструкции. Отсутствие таких
деталей, как передающие рычаги, крепления увеличивает надежность
преобразователя и снижает её стоимость. Однако данный тип преобразователя имеет
пониженную точность и заметную температурную зависимость выходного сигнала,
обусловленные неустойчивостью клеевого соединения, разбросом параметров
тензорезисторов и дополнительной нагрузкой, которую дают мембране
чувствительный элемент и клей. Кроме того, суммарная жесткость мембраны с
закрепленным на ней тензоэлементом становится столь большой, что такая
конструкция пригодна только для измерения сравнительно высоких давлений,
начиная с доли мегапаскаля и более.
Этап II
показанный на рисунке 1.3 (б) соответствует интеграции преобразующего элемента
(тензорезистора) с мембраной. С появлением технологии изготовления пленочных
микросхем, стало возможным создание преобразователей, в которых на мембране
напылены пленочные тензоэлементы. При этом был решен и вопрос получения
однородной мембраны. Чрезвычайно малая масса такого тензоэлемента позволяет
снять проблему дополнительной нагрузки мембраны. Такими приборами можно
измерять сравнительно низкое давление. Этот метод обеспечивает соединение
чувствительного элемента с мембраной фактически на молекулярном уровне и дает
возможность повысить точность, устойчивость к механическим воздействиям.


а) б) в)


г) д) е)
- тензорезистор; 2 - мембрана; 3 - основание
мембраны; 4 - крышка
Рисунок 1.3 - Принципиальные конструкции
тензорезисторных преобразователей давления, соответствующие различным этапам
физико-конструктивной интеграции: а - I;
б, в - II; г - III;
д - IV; е - V
Следующий шаг, показанный на рисунке 1.3 (в),
который, соответствует тому же этапу II физико-конструктивной интеграции,
подразумевает создание полностью однородной тонкой кремниевой мембраны с
расположенными на ней диффузионными TP. Следует отметить, что этот шаг на пути
развития преобразователей представляет собой новый уровень технологической
интеграции. Применение методов интегральной электроники при изготовлении таких
преобразователей привело к увеличению их надежности, чувствительности,
точности, к уменьшению габаритов, массы и повышению стабильности при изменении
температуры окружающей среды. Однако проблема точного позиционирования зоны
заделки однородной кремниевой мембраны продолжала сдерживать дальнейшее
улучшение характеристик преобразователей.
Этап III физико-конструктивной интеграции,
показанный на рисунке 1.3 (г) открывает новую эру в развитии не только
преобразователей давления, но и преобразовательной техники вообще. Развитие
методов локального контролируемого травления полупроводниковых материалов
позволило создать преобразователь давления с полностью интегральным
чувствительным элементом (ЧЭ), представляющим собой тонкую кремниевую мембрану
с изготовленными на ней диффузионными TP, причем мембрана обрамлена массивным
основанием, представляющим с ней единый монокристалл. Таким образом, на этом
этапе интегрируются уже элементы внутренней конструкции преобразователя, а
именно узел заделки и основание тонкой мембраны.
Это позволило все проблемы, связанные с
точностью и надежностью, решать на этапе производства кристалла чувствительного
элемента с помощью технологии микроэлектроники. Поскольку микроэлектронная
технология основана на групповом способе производства, то, помимо улучшения
основных технических характеристик, была кардинально решена проблема уменьшения
стоимости преобразователей.
Этап IV, относящийся к рисунку 1.3 (д),
заключается в объединении в одной интегральной схеме наряду с интегральным
мембранным чувствительным элементом интегральных схем (ИС) усилителей и
подстроечных элементов, используемых для балансировки, градуировки и
термокомпенсации преобразователя. Здесь, как и в обычных интегральных схемах,
возможны два пути: создание гибридной и полупроводниковой ИС.
В результате такого подхода появилось целое
семейство преобразователей с относительно низкой стоимостью. Это, в свою
очередь, открыло широкую область новых применений, ранее ограниченную либо
из-за высокой стоимости преобразователей, либо из-за их недостаточно высоких
эксплуатационных характеристик.
И, наконец, этап V, показанный на рисунке 1.3
(е), перспективы которого уже четко вырисовываются, заключается в интеграции
сначала отдельных элементов, а затем и всей внешней конструкции
преобразователя. Можно указать две основные предпосылки, сделавшие возможным
развитие этого этапа интеграции:
все более детальное развитие методов локального
управляемого травления полупроводниковых материалов дает возможность
разработать новые способы формообразования, позволяющие конструировать из этих
материалов миниатюрные детали;
разработка и развитие способов соединения
(крепления) кремниевых (сапфировых) пластин между собой и с другими материалами
позволяют осуществлять групповую сборку отдельных конструктивных деталей.
Таким образом, современному уровню развития
интегральных первичных преобразователей соответствует этап
физико-конструктивной интеграции отдельных элементов, при которой практически
все элементы конструктивно и технологически выполнены из одного материала в
виде единого твердотельного прибора.
Очевидно, этот этап физико-конструктивной
интеграции имеет важное значение не только для механоэлектрических
преобразователей, но и для любых других приборов, выполненных с помощью
технологии микроэлектроники. Такая полная конструктивная интеграция не только
решает основные экономические и технические проблемы разработки
преобразователей, но и открывает ряд принципиально новых подходов.
Например, становится возможным создание
многоцелевых, многодиапазонных или сверхминиатюрных первичных преобразователей
с размерами меньше миллиметра.
Следует оговориться, что приведенное
рассмотрение этапов развития преобразователей давления, и в равной степени
целого ряда других устройств, например акселерометров, расходомеров и других,
не может быть однозначно применимо ко всем механоэлектрическим
преобразователям. В первую очередь это относится к преобразователям силы,
особенно к приборам для измерения больших сил. Это объясняется тем, что
измерение больших сил связано с большими размерами конструкций из-за
ограниченной прочности конструкционных материалов. В этих условиях полная конструктивная
интеграция преобразователя на основе единого полупроводникового материала,
очевидно, лишена смысла.
Кроме того, приведенную последовательность
этапов интеграции физико-конструктивных элементов не следует понимать таким
образом, что с появлением каждого нового этапа интеграции предыдущие этапы
автоматически отмирают и становятся бесперспективными. В качестве примера
сошлемся лишь на фольговые тензорезисторы, производство и использование которых
успешно развивается и сегодня, поскольку они обладают рядом характеристик, пока
недостижимых с помощью полупроводниковых тензоэлементов.
Можно предположить, что дальнейшее развитие
физико-конструктивной интеграции элементов преобразователя пойдет как по пути
усложнения всей внешней конструкции преобразователя, так и составляющих ее
элементов. Например, в настоящее время, вместо операционных усилителей и
подстроечных элементов широко используются аналого-цифровые преобразователи и
микропроцессоры, производительность последних с каждым годом увеличивается, что
позволяет производить более сложные вычисления.
.3 Интегральные
тензопреобразователи на основе гетероэпитаксиальных структур «кремний на
сапфире»
Как известно, понятие «интегральная схема», а
точнее «гибридная интегральная микросхема», или «полупроводниковая интегральная
микросхема» предполагает два вида интеграции. Это - интеграция схемотехнических
элементов (транзисторов, резисторов, конденсаторов и т. д.) и интеграция
технологических процессов изготовления микросхемы.
Новые возможности в развитии тензорезисторных
датчиков на основе полупроводниковых чувствительных элементах (ПЧЭ) открылись с
разработкой и исследованием гетероэпитаксиальных полупроводниковых структур
типа «кремний на сапфире» (КНС), представляющая собой тонкую
монокристаллическую пленку кремния, выращенную на монокристаллической
сапфировой подложке с определенной кристаллографической ориентацией. Схематично
такой чувствительный элемент показан на рисунке 1.4. Толщина кремниевой пленки
варьируется от долей до нескольких микрометров. При изготовлении ПЧЭ на
структуре КНС формируют тензочувствительную схему, в которой тензорезисторы
имеют вид мезаструктур, отделенных друг от друга промежутками чистого сапфира
[3].
Рисунок 1.4 - Тензорезисторный чувствительный
элемент выполненный по технологии КНС
Тензопреобразователи (ТП) с ПЧЭ на основе
структур КНС обладают всеми достоинствами ТП с интегральными кремниевыми ПЧЭ, а
именно: упругий элемент таких преобразователей может быть изготовлен из
монокристалла диэлектрика, так что в нем отсутствуют гистерезис и усталостные
явления; тензорезисторы монолитно связаны с упругим элементом, что исключает
явления гистерезиса и ползучести, характерные для слоев связующего вещества;
ПЧЭ изготавливаются методами твердотельной технологии, что обеспечивает высокую
воспроизводимость характеристик при массовом производстве. Вместе с тем, ПЧЭ на
основе КНС имеют дополнительные преимущества, ибо сапфир прочнее и жестче
кремния и в принципе позволяет работать с большим уровнем деформаций; сапфир
обладает отличными упругими и изолирующими свойствами вплоть до температур
порядка 1000° С, что делает ПЧЭ на основе КНС работоспособными при высоких
температурах (до начала пластических деформаций в кремнии, т. е. приблизительно
до 700° С); сапфир химически и радиационно исключительно стоек, поэтому
интегральные схемы на основе КНС могут работать в условиях высокой радиации
[4]; наконец, в ПЧЭ на основе КНС отсутствует p-n -переход, в отличии от
структуры «кремний на кремнии», а следовательно, существенно упрощается
технология их изготовления и увеличивается выход годных изделии. Такие ПЧЭ
работоспособны в самых жестких условиях эксплуатации при широком интервале
рабочих температур и обладают повышенной надежностью и стабильностью
параметров.
Детальные исследования особенностей
электрофизических характеристик и тензоэффекта в структурах КНС показали, что
на их основе можно создавать тензопреобразователи с малой температурной
погрешностью и высокой линейностью преобразования, т. е. свободные от недостатков,
принципиально присущих ТП с интегральными кремниевыми ПЧЭ.
2. Аппаратные методы
компенсации температурной погрешности
.1 Характеристики и
параметры мостовых тензорезисторных преобразователей давления
В интегральных тензопреобразователях широкое
применение получила мостовая схема из тензорезисторов, показанная на рисунке
2.1. За счет соответствующего расположения на мембране тензорезисторы R1 и R4
обладают одним знаком тензочувствительности, а R2
и R3 -
противоположным. Общую точку резисторов R2
и R4 можно объединить
с выводом подложки интегральной микросхемы преобразователя.
Рисунок 2.1 - Мостовая тензорезисторная схема
Преобразовательную характеристику на рисунке
2.2, представляющую собой зависимость выходного напряжения мостовой схемы Uвых
от приложенного к мембране избыточного давления q,
для двух значений температуры Т0 и Т1 определяют следующие параметры:
) начальный разбаланс U0
- выходное напряжение тензорезисторной схемы при нулевом давлении (q=0)
и температуре Т0. Разбаланс вызван технологическим разбросом номиналов
тензорезисторов, полученных в процессе изготовления ТП, а также начальной
деформацией упругого элемента;
Рисунок 2.2 - Преобразовательная характеристика
интегрального тензопреобразователя
) диапазон линейного преобразования Dq
- область давлений, в которой выходной сигнал мостовой схемы Uвых
линейно (с определенной степенью точности) зависит от давления q:
Dq = q¢ном
- q²ном, (2.1)
где q¢ном
, q²ном - номинальные
диапазоны линейного преобразования положительного и отрицательного избыточных
давлений соответственно.
Различные ТП имеют разные диапазоны линейного
преобразования, которые изменяются в очень широких пределах от единиц
килопаскаля до сотен мегапаскалей. Нелинейность преобразовательной
характеристики определяется несколькими причинами, которые условно можно
разбить на три категории:
а) нелинейность преобразования давления в
механические напряжения;
б) нелинейность пьезорезистивного эффекта;
в) нелинейность измерительной электрической
схемы;
) сдвиг преобразовательной характеристики q0.
Обусловлен различием в диапазонах q¢ном
и q²ном линейного
преобразования положительного и отрицательного давлений. В свою очередь,
указанное различие объясняется, во-первых, различной нелинейностью при подаче
избыточного давления с разных сторон мембраны (так называемый баллон-эффект).
Во-вторых, начальной деформацией мембраны при нулевом давлении (q=0) и
нормальной температуре (Т=Т0). Эта деформация определяется механическими
напряжениями, возникающими на границе кремний- двуокись кремния после термического
окисления. Сдвиг определяется следующим образом:
q0 = (q¢ном
+ q²ном )/2. (2.2)
Для мембран диаметром 1 мм, толщиной 10 - 20 мкм
при толщине окисла SiO2
0,4 - 0,6 мкм сдвиг q0 может
достигать 10 кПа;
) чувствительность тензопреобразователя S0 (при
температуре Т0). Определяется как отношение приращения выходного сигнала к
приращению приложенного давления, отнесенное к напряжению питания мостовой
схемы. Чувствительность ТП зависит от многих факторов, таких как ориентация TP
относительно кристаллографических осей кремния, их местоположение на мембране,
степень легирования кремния и т. д;
) температурный дрейф нуля - приращение
выходного напряжения в отсутствии приложенного давления, отнесенное к
номинальному значению выходного сигнала, при изменении температуры на 1°С.
Температурный дрейф вызывается рядом причин,
главная из которых - технологический разброс температурных коэффициентов
сопротивлений (ТКС) тензорезисторов;
) температурный коэффициент чувствительности
(ТКЧ) - относительное изменение чувствительности при изменении температуры на
1°С.
Этот параметр обусловлен наличием температурной
зависимости тензочувствительности полупроводниковых TP и определяется в
основном степенью легирования примесями, а также зависимостью упругих
постоянных от температуры.
Таким образом, реально существующие погрешности
ТП определяются принципом работы и технологией изготовления. Поэтому для
создания унифицированных датчиков, обеспечивающих полную взаимозаменяемость при
установке в различные агрегатированные комплексы и системы, необходима
настройка следующих параметров:
- напряжения U0 (балансировка
мостовой схемы);
- номинального выходного напряжения
(градуировка);
- дрейфа нуля в заданном диапазоне
температуры;
- изменения чувствительности
преобразователя с температурой.
Балансировка мостовой схемы наиболее просто
осуществляется подстроечным внешним резистором, включенным параллельно или
последовательно с одним из плеч моста. Однако такое включение балансирующего
резистора может внести дополнительную погрешность в температурный дрейф нуля
мостовой схемы, если этот резистор имеет ТКС, отличный от ТКС тензорезистора,
или если он находится при различных температурных условиях с интегральным
тензопреобразователем. Поэтому при каждой балансировке предпочтительно использовать
подстроечные компоненты, изготовленные на одной подложке с мембраной за один
технологический цикл, а следовательно, имеющие температурные характеристики,
близкие к характеристикам тензорезистора. Такими компонентами могут быть,
например, магазины диффузионных резисторов [5].
Другим методом балансировки является включение
последовательно с измерительной диагональю моста балансирующего напряжения.
Если для усиления сигнала ТП используется операционный усилитель (ОУ), то такое
балансирующее напряжение может обеспечить схема внешней регулировки напряжения
смещения нуля усилителя (резисторы R3,
R4, R5,
R6 на рисунке 2.3).
Рисунок 2.3 - Балансировка мостовой схемы с
помощью внешней регулировки напряжения смещения нуля операционного усилителя
Градуировка возможна путем изменения питающего
напряжения (или тока) или включения параллельно выходной диагонали моста
шунтирующего сопротивления. Однако наиболее приемлемым для этой цели является
регулирование коэффициента усиления последующего усилителя, входящего в схему
ТП. Перспективны операционные усилители, изготовленные на одном кристалле с
тензорезисторами или являющиеся составной частью гибридного интегрального
тензопреобразователя. Резисторы обратной связи ОУ, определяющие коэффициент
усиления, можно выполнить по тонкопленочной технологии и подстраивать их в этих
схемах с помощью лазера.
Уменьшение температурных погрешностей ТП
является одной из основных и наиболее сложных задач, различные способы решения
которой заслуживают отдельного рассмотрения. Вопрос минимизации температурных
погрешностей должен частично решаться уже на стадии проектирования приборов, на
этапе выбора конкретного конструктивно-технологического решения. Сами же методы
термокомпенсации, используемые на этом этапе, можно назвать
конструктивно-технологическими, в отличие от схемных и алгоритмических методов,
используемых после изготовления чувствительного элемента.
2.2 Факторы,
определяющие температурную зависимость характеристик тензопреобразователей
Температурная зависимость характеристик
интегральных тензопреобразователей, в первую очередь, определяется физическими
свойствами полупроводников, а также особенностями конкретного конструктивного
оформления тензомодуля в корпусе прибора. Рассмотрим эти факторы и некоторые
конструктивно-технологические способы термокомпенсации.
Зависимость подвижности и концентрации носителей
заряда в полупроводнике от температуры обусловливает температурную зависимость
сопротивления ненагруженного TP. Последнюю принято характеризовать
температурным коэффициентом сопротивления ТКС, значение и знак которого
определяются типом и концентрацией носителей заряда.
Величина ТКС зависит от характера распределения
примесей, и, следовательно, будет определяться также и структурой ТР. В
равномерно-легированных тензорезисторах ТКС определяется объемной концентрацией
примесей, а в диффузионных - поверхностной. На рисунке 2.4 показана зависимость
ТКС диффузионных резисторов р-типа от поверхности концентрации NS
примесей бора. Как видно из рисунка зависимость имеет минимум при поверхностной
концентрации примесей около 3·1019 см-3. Это означает, что для снижения
ТКС тензорезистора и влияния на него технологического разброса поверхностную
концентрацию, необходимо выбирать вблизи указанного выше значения. Это особенно
важно при включении TP в симметричные схемы (мостовые, дифференциальные), так
как температурный дрейф нуля этих схем определяется уже не абсолютной величиной
ТКС TP, а их разбросом внутри схемы.
Рисунок 2.4 - ТКС и ТКЧ диффузионных
тензорезисторов р-типа от поверхностной концентрации примесей бора
Технология ионного легирования позволяет
получать ТР, имеющие ряд преимуществ перед диффузионным: широкий диапазон
значений удельного поверхностного сопротивления TP; точный контроль
концентрации вводимых легирующих примесей, а следовательно, хорошая
воспроизводимость характеристик и их малый разброс; линейность вольт-амперных
характеристик [6]. Величина ТКС, получаемых ионным легированием структур,
зависит от дозы и энергии внедряемых ионов, а также режима отжига. На рисунке
2.5 приведены значения ТКС ионнолегированного резистора при Т = 25 °С в
зависимости от температуры отжига ТА [7]. Приведенная зависимость показывает,
что изменение только одного параметра технологического процесса (температуры
отжига) позволяет варьировать ТКС изготовленных резисторов от отрицательных до
положительных значений.
Таким образом, первым
конструктивно-технологическим приемом термостабилизации характеристик
интегральных тензопреобразователей является правильный выбор степени
легирования. Как правило, он определяется в результате компромисса между
желаемыми чувствительностью и термостабильностью.
Рисунок 2.5 - Зависимость ТКС ионнолегированного
резистора от температуры отжига
Зависимость главных пьезорезистивных
коэффициентов от температуры вызывает соответствующую зависимость
чувствительности ТП. Последняя определяется температурной зависимостью тензочувствительности
TP, которая характеризуется температурным коэффициентом чувствительности. Из
рисунка 2.4 видно, что выбор степени легирования ТР определяет не только его
ТКС, но и ТКЧ. Изменением концентрации примесей можно получить определенное
(требуемое) соотношение между ТКС и ТКЧ, что, в свою очередь, может обеспечить
компенсацию температурных погрешностей ТП.
Температурная зависимость тока утечки
изолирующего p-n-перехода
диффузионных и ионно-легированных тензорезисторов. Ток утечки можно разделить
на три составляющие в зависимости от места возникновения носителей заряда: ток
термогенерации, ток утечки по поверхности, диффузионный ток [8]. Ток
термогенерации определяется термогенерацией внутри обедненного слоя. Ток утечки
по поверхности p-n-перехода
обусловлен уровнями ловушек на поверхности раздела Si-SiO2.
Диффузионная составляющая тока вызвана генерацией неосновных носителей в объеме
полупроводника на расстоянии, не превышающем диффузионной длины от обедненного
слоя. Согласно экспериментальным данным токи утечки диффузионных и
ионно-легированных резисторов с одинаковой геометрией сравнимы друг с другом.
Основной вклад вносит составляющая тока утечки по поверхности p-n-перехода.
Температурная зависимость тока утечки обусловлена температурной зависимостью
собственной концентрации. Так, в интервале температур 25 - 75 °С ток утечки
возрастает в 10 раз, а в интервале 75 - 175 °С - в 1000 раз.
Оценим температурную погрешность, вносимую током
утечки. Ток через TP положим равным 1 мА, а площадь его поверхности 10-8 м2.
Тогда максимальная температурная погрешность составит 4·10-8 %/град в
температурном диапазоне 25 - 75 °С. Таким образом, при малой площади ТР токами
утечки и их температурной зависимостью можно пренебрегать.
Термоупругие напряжения упругого элемента
преобразователя. Причиной термоупругих напряжений может служить неоднородность
структуры самого УЭ (мембраны, балки, консоли и др.), например его
многослойность. В интегральных тензопреобразователях УЭ выполнен из кремния.
При этом его планарная сторона покрыта слоем SiO2,
являющимся маской при изготовлении ТР. На обратной стороне слой SiO2,
как правило отсутствует, так как с этой стороны производится армирование самого
УЭ. Различие температурных коэффициентов линейного расширения (ТКЛР) кремния и
двуокиси кремния вызывает термоупругие напряжения, приводящие к прогибу УЭ.
Этот прогиб может оказаться существенным, если толщина слоя SiO2
соизмерима с толщиной кремниевого УЭ.
Саморазогрев тензорезисторов питающим током. В
ТП тензорезисторы могут располагаться на УЭ, толщина которого может быть в
десятки раз меньше стандартной толщины пластины кремния. Этим обстоятельством
объясняется существенно меньшая по сравнению с резисторами интегральных
микросхем предельная мощность, которую могут рассеивать ТР. Как известно, в
мостовой схеме из термостабильных резисторов начальный разбаланс U0
в широких пределах линейно зависит от напряжения питания Е. В схеме из
полупроводниковых TP начальный разбаланс зависит от напряжения линейно лишь до
определенного порогового напряжения питания Еп, выше которого заметно
сказывается саморазогрев TP протекающим током [9]. Величина Еп зависит от ряда
факторов, в числе которых основными являются толщина УЭ и характер расположения
и распределения TP (а следовательно, и мощность) по его поверхности.
Кроме разогрева необходимо учитывать также
деформацию УЭ вследствие градиента теплового поля, вызванного этим разогревом.
Это может привнести дополнительную температурную погрешность.
Для устранения или уменьшения температурных
погрешностей от саморазогрева TP необходимо:
вводить время прогрева ТП, в течение которого
устанавливается стационарный тепловой режим, это время составляет несколько
секунд;
расчет параметров ТП, а также цепей их
температурной компенсации производить с учетом режимных параметров TP;
использовать распределенные мостовые схемы для
увеличения порогового напряжения питания Еп;
для обеспечения наилучшего теплоотвода от УЭ
выбирать такие топологические варианты, в которых все ТР расположены по
периферии мембраны и, желательно, тангенциально.
2.3 Схемные методы
термокомпенсации дрейфа нуля
Исходным моментом для разработки схем
компенсации являются конкретные экспериментальные температурные характеристики
преобразователей, независимо от причин их происхождения.
Для компенсации аддитивной составляющей
температурной погрешности ТП обычно используют симметричную, например, мостовую
схему включения ТР. Температурный дрейф нуля такой схемы определяется уже не
абсолютным значением ТКС, входящих в нее TP, а их разбросом. На практике разброс
ТКС TP даже на одном кристалле может значительно превышать 10%, что приводит к
снижению эффективности компенсации за счет мостовой схемы и требует
использования дополнительных мер. Можно выделить пассивные и активные схемы
термокомпенсации.
Пассивные схемы термокомпенсации предполагают
включение в плечи моста пассивных элементов (постоянных резисторов, термисторов
и др.), обеспечивающих необходимою коррекцию значений ТКС плеч моста.
Известны компенсаторы на основе термисторных
схем. На рисунке 2.6 изображена цепь температурной компенсации с термистором RT.
С помощью выбора номиналов стабильных резисторов RШ
и RД обеспечивается
необходимое значение ТКС компенсационной цепи и одновременная балансировка
моста. Однако для создания идентичных температурных условий термистор должен
быть размещен в непосредственной близости от ТР. Для миниатюрных ТП такое
решение неприемлемо. Изготовление же термистора в составе полупроводникового
тензомодуля требует усложнения технологии.
Рисунок 2.6 - Схема температурной компенсации
дрейфа нуля с использованием термистора
Наибольшее распространение получил метод
компенсации температурного дрейфа нуля посредством включения параллельно и
последовательно с плечами моста внешних стабильных резисторов. Один из
возможных вариантов включения двух компенсационных резисторов - добавочного RД
и шунтирующего RШ изображен
на рисунке 2.7. Подобные схемы позволяют снизить аддитивную составляющую
температурной погрешности более чем в 6 раз.
Рисунок 2.7 - Схема температурной компенсации
дрейфа нуля с использованием внешних термостабильных резисторов
Чаще других используют разомкнутые мостовые схемы,
имеющие пять внешних выводов. Добавочные компенсационные резисторы при этом
можно включать только в два плеча мостовой схемы.
Активные схемы компенсации температурного дрейфа
нуля можно разделить на три различные группы в зависимости от принципа работы.
К первой группе относятся схемы, подключаемые непосредственно к плечам моста и
позволяющие изменять напряжение (или ток) в этих плечах с увеличением
температуры.
Ко второй группе относятся схемы, в которых
компенсация температурных погрешностей на этапе последующем обработки выходного
сигнала моста производится без изменения параметров самой тензосхемы. В этом
случае исходным является сигнал, зависящий от механического параметра и
температуры. Схема компенсации преобразует его в сигнал, не зависящий от температуры.
Третья группа включает в себя схемы, позволяющие
контролировать и поддерживать постоянной температуру тензомодуля. Это
достигается разогревом подложки, на которой расположены TP, с помощью
электронного устройства. Поддерживаемую температуру подложки при этом выбирают
несколько выше максимальной рабочей температуры. Очевидно, что для работы всех
перечисленных схем требуется информация о температуре, при которой находятся
ТП. Такую информацию обеспечивает термочувствительный элемент расположенный
вблизи, а лучше непосредственно в полупроводниковом кристалле. Наиболее
перспективна в этом смысле технология, позволяющая изготавливать термоэлементы
в одном технологическом цикле с ТР. В качестве термочувствительного элемента
можно использовать диффузионные или ионно-легированные резисторы,
прямосмещенные p-n-переходы,
биполярные транзисторы и др.
Примером первой группы может служить схема,
изображенная на рисунке 2.8. За счет падения напряжения на резисторах R3 и R4,
вызванного протеканием термозависимых токов I1(t)
и I2(T),
обеспечиваются необходимые для компенсации потенциалы в точках 1 и 2. Выбором
значений этих токов и номиналов резисторов осуществляется начальная
балансировка схемы. Генераторы тока I1(T)
и I2(T)
представляют собой пару биполярных транзисторов, коллекторы которых соединены с
точками 1 и 2 соответственно.
Рисунок 2.8 - Активная схема компенсации
температурного дрейфа нуля мостового преобразователя
Термочувствительные элементы схемы размещены в
корпусе датчика вблизи ТР. Резисторы R1 - R4, а также резисторы цепи задания
режима транзисторов изготовлены по толстопленочной технологии на отдельной
плате. Подгонка их номиналов до необходимого значения, которое обеспечивало бы
активную компенсацию дрейфа нуля мостового преобразователя, осуществляется с
помощью лазерной или абразивной подстройки.
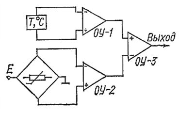
С помощью схемы термокомпенсации второй группы
осуществляется вычитание двух сигналов: моста и термопреобразователя таким
образом, что результирующий сигнал зависит только от механического параметра.
На рисунке 2.9 сигнал с термопреобразователя (Т, 0С), усиленный операционным
усилителем ОУ-1, поступает на неинвертирующий вход усилителя-вычитателя ОУ-3.
На инвертирующий вход усилителя ОУ-3 подается сигнал тензомоста после усилителя
ОУ-2. Выбирая значения коэффициентов усиления ОУ-1 и ОУ-2, можно добиться
одинаковых значений температурных сигналов на входах ОУ-3, что позволяет
получить на выходе ОУ-3 сигнал, не зависимый от температуры.
Рисунок 2.9 - Структурная схема компенсации
дрейфа нуля с Термопреобразователем
Применение схем третьей группы предполагает
изготовление термочувствительного и нагревательного элементов на одной подложке
с тензорезистором в непосредственной близости от них. Схемы стабилизации
температуры тензомодуля работают следующим образом. Сигнал термопреобразователя
поступает на схему регулятора, которая контролирует мощность, подводимую к
нагревательному элементу. Нагревательный элемент разогревает подложку за счет
протекающего в нем электрического тока. Температура подложки измеряется
термопреобразователем. Функции нагревательного и термопреобразовательного
приборов может выполнять один и тот же элемент схемы. На рисунке 2.10
представлена схема стабилизации температуры подложки, где резистор RT является
одновременно термоэлементом и нагревателем.
Рисунок 2.10 - Структурная схема
термостабилизации температуры подложки
2.4 Методы
термокомпенсации чувствительности
Уменьшение температурного изменения
чувствительности схемы можно осуществлять включением компенсационной цепи
(компенсатора) во входную или выходную диагонали моста. В зависимости от того,
какие элементы содержит цепь компенсации, можно выделить пассивные и активные схемы
компенсации.
Пассивные схемы компенсации основаны на
включении во входную или выходную цепь моста пассивной схемы, содержащей
термистор. В качестве примера может служить схема, изображенная на рисунке
2.11. В данном случае компенсатор включен на входе моста последовательно с
источником питания. Резисторы R1,
R2 и RД,
соединенные параллельно-последовательно с термистором RT,
обеспечивают выбор необходимого значения ТКС компенсатора.
Рисунок 2.11 - Термисторная схема
термокомпенсации чувствительности
Таким образом, температурная компенсация
чувствительности тензосхемы достигается в случае, когда питающее напряжение
моста UM изменяется от температуры с температурным коэффициентом, равным по
величине, но противоположным по знаку ТКЧ. Другими словами, для ТП на основе
кремниевых тензорезисторов, ТКЧ которых обычно имеет отрицательное значение,
напряжение UM должно возрастать с увеличением температуры пропорционально
уменьшению чувствительности. Поэтому в схеме (см. рисунок 2.11) термистор RT
должен иметь значение ТКС<0. В случае же использования компенсатора во
входной цепи моста не последовательно, а параллельно питающей диагонали
необходим термистор с ТКС>0. Аналогично обстоит дело с выбором компенсатора
на выходе мостовой тензосхемы.
Недостатки термисторных схем компенсации:
сложность обеспечения одинакового воздействия
температуры на TP и термистор, который из-за относительно больших габаритов
трудно разместить в непосредственной близости от TP;
временная нестабильность и нелинейность
температурной зависимости полупроводникового термистора;
сложность изготовления термистора с ТКС<0 в
составе единой интегральной схемы;
сложность настройки термисторных схем.
Активные схемы компенсации во входной цепи моста
должны обеспечивать изменение питающего напряжения или тока в соответствии с
температурной зависимостью чувствительности. Таким образом, схема компенсации
может представлять собой регулятор напряжения или тока с температурно-зависимым
выходным параметром. Идея компенсации чувствительности с помощью
температурно-зависимого источника питания не нова, однако на практике
используется редко.
Выходной электрический сигнал
тензопреобразователя, как правило, усиливается до требуемого уровня с помощью
усилителя. Сделав коэффициент усиления такого усилителя зависимым от
температуры, можно осуществить температурную компенсацию выходного сигнала
усилителя. Изменять коэффициент усиления усилителя с температурой позволяют
температурно-зависимые цепи обратной связи (ОС) как внешние, так и внутренние.
На рисунке 2.12 изображены схемы операционных усилителей с термисторами RT в
цепи внешней отрицательной ОС. Для того чтобы коэффициент усиления ОУ возрастал
с увеличением температуры, термистор в схеме 2.12 (а), должен иметь ТКС>0, а
в схеме 2.12 (б) - ТКС<0. Стабильные резисторы R1
и R2 служат для
регулировки температурного коэффициента усиления до необходимого значения.
а) б)
Рисунок 2.12 - Схемы операционных усилителей с
температурно-зависимыми коэффициентами усиления: а - ТКС>0; б - ТКС<0
преобразователь тензорезисторный
теплопреобразователь интегральный
3. Алгоритмические
методы компенсации температурной погрешности
.1 Общие сведения о
методах градуировки
Измерительным преобразователям давления на
основе тензорезисторов, получившие широкое распространение, присущи недостатки
в виде значительных погрешностей от нелинейности функции преобразования и
сильной температурной зависимости.
Появление микропроцессорных интеллектуальных
датчиков давления позволило перейти от схемотехнических решений к
алгоритмическим методам коррекции погрешностей. Определяющую роль в этом играет
правильный выбор функции преобразования (ФП) измерительных преобразователей
[10].
Математическая модель функции преобразования
реализуется путем градуировки измерительного преобразователя. На вход
преобразователя подается определенная последовательность значений образцового
давлений, при фиксированных температурах среды, в которой расположен ИП. Обычно,
по результатам градуировки строится обратная математическая модель (ММ) функции
преобразования измерительного преобразователя [11].
В многоканальных измерительных преобразователях
с интегрированным чувствительным элементом возможно упрощение процесса градуировки
путем исключения процедуры стабилизации и измерения значений влияющих факторов
с последующим определением входных информативных величин n-канальных
преобразователей.
При таком способе градуировки в измерительном
преобразователе выделяют основные и дополнительные измерительные каналы,
соответствующие измеряемым и влияющим входным величинам. Измеряют значения
выходных величин измерительного преобразователя при различных комбинациях его
входных величин. По результатам эксперимента формируют математическую модель
измерительного преобразователя и определяют значения входных величин. Причем,
при проведении градуировочного эксперимента, влияющие величины изменяют во всем
возможном диапазоне без стабилизации и измерения их значений. Для получения
параметров математической модели измерительного преобразователя используют
значения входных и выходных величин основных каналов и значения выходных
величин дополнительных каналов, а значения измеряемых величин определяют по
параметрам математической модели и значениям всех выходных величин
измерительного преобразователя [12].
Градуировочная характеристика (ГХ) средства
измерений может быть представлена в аналитическом виде (формулой), либо в виде
графика или таблицы. Выбор способа задания ГХ зависит от способа использования
средства измерений и сложности ГХ. Обычно предпочитают иметь ГХ, заданную
формулой, причем по возможности более простого вида. Эта форма представления ГХ
наиболее универсальна и характерна для многих практических задач. Если истинную
функцию преобразования нельзя аппроксимировать простой функцией, то приходится
задавать ГХ с помощью графика или таблицы.
Если ГХ задается таблицей, то при ее составлении
лишь выполняют обработку результатов наблюдений в каждой точке - для входной
величины и соответствующей выходной величины порознь (по обычным правилам
обработки результатов наблюдений при прямых или косвенных измерениях, причем
нет дополнительной обработки набора экспериментальных данных в целом).
Если ГХ задается в аналитическом виде
(формулой), то кроме обработки наблюдений в каждой точке, необходима
дополнительная обработка всего набора экспериментальных данных. При этом
предполагается, что ГХ имеет не очень сложный функциональный вид и зависит от
небольшого числа параметров.
Для ГХ, заданной графически, возможны два
варианта. В первом случае может выполняться лишь обработка наблюдений для
каждой из реперных точек; далее в промежуточных точках зависимость может
определяться путем интерполяции или каким-либо другим способом. Во втором
случае график строится со сглаживанием. Если при этом ориентируются на
определенный функциональный вид зависимости, то задача близка к построению ГХ в
аналитической форме (и оценивание погрешностей выполняется также). Отметим, что
иногда сглаживание выполняется эмпирически, «на глаз», тогда может быть
получена удовлетворительная ГХ, но оценить ее погрешности затруднительно.
Таким образом, по способу построения ГХ (методам
обработки наблюдений) можно выделить две группы задач градуировки:
градуировка в отдельных точках (построение ГХ в
виде таблицы, или графика без сглаживания; определение поправок к показаниям
измерительного прибора в заданных точках шкалы или к значениям отдельных мер);
построение градуировочных характеристик в
аналитическом виде (построение ГХ в виде формулы или графика со сглаживанием).
К задачам градуировки во многом близки задачи
калибровки средств измерений. При калибровке набора мер или шкалы
измерительного прибора определяют ряд значений набора мер или поправок для
точек шкалы прибора путем совокупных измерений, т. е. путем измерений или
сравнений друг с другом в различных сочетаниях отдельных мер или отдельных
участков шкалы. Отметим, что методы калибровки и градуировки весьма сходны
между собой; до недавнего времени совокупные измерения (к которым сводится
калибровка) объединялись в одну категорию с совместными измерениями (к которым
сводится построение ГХ). Поэтому целесообразно рассматривать задачи калибровки
наряду с выделенными выше двумя группами задач градуировки, причем по сложности
они занимают промежуточное положение. Следовательно, можно рассматривать три
группы задач (в порядке возрастания сложности):
градуировка в отдельных точках;
калибровка;
построение ГХ в аналитическом виде.
Наиболее просты (с точки зрения обработки
результатов наблюдений) задачи первой группы, которые сводятся к прямым или
косвенным измерениям; задачи второй группы сводятся к совокупным измерениям, а
третьей - к совместным.
Далее будем рассматривать преимущественно
последнюю группу задач - построение ГХ в аналитическом виде, так как она
наиболее важна для практики.
На практике обычно рассматривают ГХ,
представленные формулами достаточно простого вида. Наиболее распространёнными
являются линейные ГХ, которые наиболее просты и удобны на практике; в
большинстве случаев бывает желательна именно линейная ГХ. Лишь если истинная
зависимость существенно отличается от линейной, ищут более сложную зависимость.
Встречаются также и нелинейные ГХ, например,
функциональные измерительные преобразователи могут иметь квадратичную ГХ, или
логарифмическую ГХ. Нелинейные ГХ, встречающиеся в измерительной практике,
можно разбить на две группы:
нелинейная функция сводится к линейной с помощью
замены переменных;
нелинейная функция является комбинацией
известных функций.
Кроме того, следует выделить тот практически
важный случай, когда функциональная зависимость задается разными аналитическими
выражениями (возможно, разного функционального вида) на нескольких
поддиапазонах изменения входной величины. Такие зависимости обычно называют
сплайнами. Чаще всего рассматривают полиномиальные сплайны, которые на каждом
поддиапазоне можно представить полиномами, а в граничных точках они непрерывны.
Задача нахождения градуировочной характеристики
по экспериментальным данным часто встречается в различных областях науки и
техники; и в прикладной математике разработаны многочисленные и разнообразные
методы решения таких задач. Среди них, в первую очередь, следует выделить
статистические методы, в которых погрешности измерений предполагаются
случайными величинами (с определенными вероятностными свойствами).
Статистические методы построения зависимостей
можно разделить на несколько групп. Прежде всего, выделяются методы, которые
основаны на оптимизации оценок по отношению к некоторому статистическому
критерию. Таковы, например, оценки максимального правдоподобия. Для их
нахождения необходима значительная статистическая информация такая, как вид
функций распределения погрешностей измерений во всех точках и некоторые
соотношения между параметрами. Эта информация часто бывает недоступна, а
полученные оценки иногда оказываются довольно сложными, неудобными на практике.
Другую группу образуют методы, основанные на
определенной вычислительной схеме. Часто они получаются из методов первой
группы либо путем распространения их на более широкий класс случаев (отбрасывая
ограничения, при которых они являются оптимальными), либо путем вычислительных
упрощений. Обычно для методов второй группы требуется сравнительно небольшая
информация о распределениях погрешностей; чаще всего - лишь первые и вторые
моменты. Однако общие вероятностные предположения относительно погрешностей
измерений позволяют оценивать точность построенных зависимостей, используя
статистические методы.
Наиболее известный метод второй группы - МНК. Он
является оптимальным (вытекает из метода максимального правдоподобия) лишь при
весьма ограниченных условиях. Однако на практике метод широко применяется и при
нарушении этих условий, как удобный для вычислений. Следует учитывать, что в
последнем случае погрешности построения зависимостей значительно увеличиваются.
Поэтому часто целесообразнее использовать либо методы конфлюентного анализа,
либо робастные (устойчивые) методы построения зависимостей. Многие из них
близки к МНК, но учитывают отклонения реальных условий применения от тех
строгих теоретических предположений, при которых он оптимален.
Кроме статистических методов, в прикладной
математике имеются различные числовые и графические методы аппроксимации
экспериментальных данных. Они обычно дают результаты, близкие к получаемым
статистическими методами; однако последние позволяют решать более широкий круг
задач и более обоснованно оценивать погрешности полученных ГХ и их параметров.
При выборе метода построения ГХ необходимо также
учитывать то, что для применения более точных и сложных методов аппроксимации
обычно требуется достаточно хорошее начальное приближение. Поэтому часто бывает
целесообразно последовательно использовать несколько методов: сначала найти
первое приближение, используя один из простых методов, а затем, применяя более
точный (и более сложный) метод, уточнить ГХ [13].
3.2 Метод наименьших
квадратов
.2.1 Условия применения
метода регрессионного анализа
Наиболее распространенным способом обработки
экспериментальных данных является так называемый метод регрессионного анализа,
в частности такой его вариант, который включает:
использование метода наименьших квадратов;
отражение неизвестной функции истинного отклика φ(х)
«спрятанной» в таблице экспериментальных данных, алгебраическим степенным
полиномом η(х,b).
Метод регрессионного анализа применим при
соблюдении следующих условий:
а) массив значений откликов объекта исследования
для каждой строки экспериментальных данных имеет нормальное распределение с
математическим ожиданием M{yg}=
φ(х)
и дисперсией σ2вос;
б) дисперсии σ2вос
для всех строк равны. Поскольку дисперсия наблюдения характеризует точность, с
которой мы получаем наблюдения, постольку опыты при разных строках равноточные,
т.е. эксперимент воспроизводится при разных наблюдениях с одинаковой точностью;
в) результаты наблюдения отклика уg и их ошибки δg
в различных опытах независимы;
г) независимые от отклика факторы воздействия на
объект х и производные от них базисные функции f(х) определяются в эксперименте
без ошибок в силу двух факторов:
в случае наличия таких ошибок они «стекают» на
отклик объекта, увеличивая рассеивание облака экспериментальных точек;
влияние этих ошибок на рассеивание облака точек
пренебрежительно мало по сравнению с влиянием шума;
д) векторы факторов воздействия на объект х и
векторы производных от них базисных функций f(х) линейнозависимы, т.е. ни один
вектор нельзя получить как линейную комбинацию других. В противном случае
определители производных от них матриц будут равны нулю и матричные расчеты
станут невозможны;
е) математическая модель отклика объекта
исследования η(х,β)
адекватна
функции φ(х)
и, таким образом, η(х,β)
= φ(х) [14].
Сформированная таким образом задача носит
название задачи регрессии, эксперимент называется регрессионным, уравнения
(полиномы) - уравнениями (полиномами) регрессии, а сам метод решения называется
регрессионным анализом. Этот термин отражает тот факт, что с увеличением
степени полинома, т.е. с увеличением количества его членов, в общем случае
ошибка уравнения уменьшается - «регрессирует».
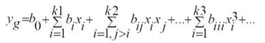
3.2.2 Полином регрессии
и система условных уравнений
Метод регрессионного анализа использует описание
объекта исследования в виде некоторого полинома - отрезка ряда Тейлора, в
который разлагается неизвестное уравнение связи отклика объекта у и входных
факторов х. При этом рекомендуется такая форма полинома, которая содержит все
возможные сочетания факторов в первой степени (единичные, парные, тройные и
т.д.), а при степени больше единицы - только их индивидуальные комбинации [15].
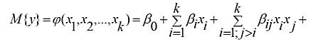
Тогда полином имеет вид:
(3.1)
где β - коэффициенты,
являющиеся производными вида ∂φ / ∂xi.
Поскольку по числу факторов математическая
модель объекта не может быть исчерпывающей и обычно является неполной, влияние
неучтенных факторов делает отклик объекта уg случайной величиной. Поэтому
зависимость φ(х) не дает точной
связи между уg и факторами, включенными в математическую модель, и по
результатам эксперимента находится не уравнение (3.1), а уравнение:
(3.2)
где bij
- выборочные эмпирические коэффициенты регрессии.
Последние являются лишь оценками для
теоретических коэффициентов β, а
отклик объекта yg
- оценкой для математического ожидания M{yg}.
Конкретный вид полинома регрессии для данной
таблицы данных обычно неизвестен, как и объективная функция, которая
"закодирована" данной таблицей. Поэтому процедура регрессионного
анализа начинается с выдвижения гипотезы о конкретном виде уравнения, которым
мы намереваемся отразить экспериментальную табличную зависимость. Вид уравнения
регрессии задается либо на основе каких-то математических, физических или
профессиональных соображений, либо, при отсутствии последних,- в порядке
альтернативы -нахождения для данной таблицы нескольких вариантов уравнений и
сравнения их по точности воспроизведения табличного значения отклика yg.
Таблица экспериментальных данных и принятая в
виде гипотезы форма уравнения регрессии являются основными отправными условиями
задачи и определяют последующий ход ее решения.
Процедура обработки экспериментальных данных
начинается с совмещения принятой формы уравнения с таблицей, для чего в
уравнение подставляют значения факторов хgk в соответствии со строками таблицы
данных, где g - номер строки таблицы, а k - номер вектора х. Это дает систему
уравнений соответственно количеству строк в таблице экспериментальных данных.
Однако, как отмечалось ранее, при воздействии на
объект исследования факторами х, наличие и значение которых определяется самим
экспериментатором, значение отклика уg формируется как за счет факторов х, так
и за счет неучтенных факторов (шума).
Представим себе, что мы многократно повторяем
наблюдение, задавая значение факторов x1g , x2g , . . . xкg для одной и той же
g-ой строки таблицы экспериментальных данных. Значения откликов при этом в силу
наличия шума в целом будет разными, т.е. значение случайной ошибки наблюдения
при повторных опытах будет меняться. Распределение таких ошибок обладает важной
особенностью - ошибки, противоположные по знаку и близкие по абсолютной
величине, в среднем встречаются одинаково часто, т.е. распределение случайных
ошибок симметрично относительно нуля.
Отсюда следует, что если все допустимые значения
yg по данной строке есть генеральная совокупность, то истинный результат
наблюдения есть математическое ожидание случайной величины yg по этой строке.
Третья предпосылка регрессионного анализа гласит, что наблюдаемое значение отклика
yg есть нормально распределенная случайная величина с центром:
M{yg} = φ (xg),(3.3)
где M{yg} - математическое ожидание случайной
величины yg.
Таким образом, уравнение регрессии, которое
получено в результате обработки экспериментальных данных, есть зависимость
оценки математического ожидания отклика от факторов х.
В связи со случайным характером отклика уg левая
и правая часть системы уравнений неравны, система является несовместной и не
имеет единственного решения, т.е. не существует такой комбинации неизвестных
коэффициентов bj , которая отвечала бы всем уравнениям системы. Поэтому такие
системы носят название системы условных уравнений.
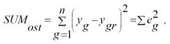
Невязку баланса левой и правой частей уравнений
можно трактовать как отклонения расчетного значения отклика от
экспериментального его значения. Суммарной характеристикой этих отклонений
будет являться остаточная сумма SUMost:
(3.4)
где ygr
- расчётное значение отклика по уравнению.
Эта величина позволяет сформулировать понятие
наилучшего решения системы уравнений, которая не имеет единственного решения.
Наилучшим будет решение, которое минимизирует остаточную сумму. Такое решение
называется методом наименьших квадратов. В точке минимума функции (3.4) ее
производные ∂(SUMost)/∂bj равны нулю. Дифференцируя уравнение (3.4)
по всем коэффициентам регрессии и приравнивая нулю производные, получим систему
нормальных уравнений [16], которая совместна, имеет единственное решение и
минимизирует остаточную сумму. Но для многофакторных полиномов высоких степеней
способ создания системы нормальных уравнений через частные производные сложен и
трудоемок. Существует более простой способ построения системы нормальных
уравнений путем пошагового преобразования системы условных уравнений.
3.2.3 Преобразование
системы условных уравнений по методу наименьших квадратов. Система нормальных
уравнений
Пошаговая процедура преобразования системы
условных уравнений в систему нормальных уравнений была разработана Гауссом. На
первом шаге процедуры каждое условное уравнение системы умножается на свой
множитель при первом коэффициенте регрессии b0, после чего все преобразованные
таким образом условные уравнения складываются сверху вниз; суммарное уравнение
и будет первым нормальным уравнением. На втором шаге каждое исходное условное
уравнений умножается на свой множитель при втором коэффициенте b с последующим
сложением полученных уравнений и образованием второго нормального уравнения и
т.д., до исчерпания всех множителей при коэффициентах b. В итоге формируется система
нормальных уравнений, число которых равно числу коэффициентов регрессии в
уравнении.
Система нормальных уравнений совместна, имеет
единственное решение и минимизирует остаточную сумму, т.е. обеспечивает
наилучшее решение системы уравнений из всех возможных решений.
3.3 Методы
конфлюентного анализа
.3.1 Условия применения
методов конфлюентного анализа
При построении градуировочных характеристик
нередко встречается случай, когда и входная, и выходная величины измеряются с
погрешностями, которыми нельзя пренебречь. Как отмечают многие авторы,
применение МНК в этом случае необоснованно: он дает неточные результаты, а
главное - не позволяет правильно оценить их погрешности. Для решения таких
задач в математической статистике разработаны разнообразные методы известные
под общим названием «методы конфлюентного анализа». Для них характерно то, что
при их использовании необходима специальная дополнительная информация. Методы
конфлюентного анализа менее изучены, чем классический метод наименьших
квадратов; но некоторые из них успешно применяются в практических, в том числе,
измерительных задачах.
Предполагается, что результаты измерений имеют
погрешности примерно одного порядка, т. е. нельзя пренебречь погрешностью
одного результата измерения по сравнению с другим и наоборот. В математической
статистике предполагается, что погрешности являются случайными, причем средние
значения погрешностей равны нулю. Однако методы конфлюентного анализа применимы
и в тех случаях, когда погрешности содержат также систематические составляющие;
в последнем случае результаты также содержат систематические погрешности,
которые следует оценивать на основе общих соотношений.
При построении линейной ГХ основной интерес
представляет коэффициент преобразования b.
Если получена оценка b,
то свободный коэффициент (сдвиг нуля) а оценивается по формуле:
(3.5)
причем эта оценка обладает такими же
свойствами, как и оценка b.
При наличии только погрешностей
измерений выходной величины оценки наименьших квадратов оптимальны: они не
смещены и имеют наименьшие дисперсии. При наличии погрешностей измерений
входных и выходных величин X и Y вообще неизвестны простые несмещенные оценки
коэффициентов. Можно лишь строить состоятельные оценки, для которых при увеличении
числа измерений имеется сходимость по вероятности:
(3.6)
При этом кроме дисперсии оценки
D(b)=E(b-E(b))2 необходимо также указывать ее смещение B(b)=E(b-E(b)); часто
используют также второй момент относительно истинного значения параметра:
(3.7)
Для применения методов конфлюентного
анализа кроме результатов измерений необходима специальная дополнительная
информация. В соответствии с видом информации методы конфлюентного анализа
весьма разнообразны. Наиболее важными и распространенными в измерительной
практике являются следующие случаи:
известна одна из дисперсий
погрешностей,
σ2х
или σ2у, либо
отношение дисперсий l= σ2у / σ2х;
известна оценка одного из параметров σ2х, σ2у или l, полученная независимо от
данного набора результатов измерений;
измерения значений входных и
выходных величин выполняются с многократными наблюдениями;
имеется критерий, позволяющий
сгруппировать или упорядочить результаты измерений входной величины xi независимо
от их погрешностей.
Перечисленные случаи нередко
встречаются на практике. Необходимые в первом случае параметры иногда бывают
известны из предыдущего опыта. Особый интерес представляет последний случай,
так как часто такое правило следует из физических условий постановки
эксперимента.
В первом, втором и третьем случаях
состоятельные оценки являются естественными модификациями оценок наименьших
квадратов. В последнем случае используются дробно-линейные оценки.
3.3.2
Случай контролируемой переменной
Метод наименьших квадратов широко
применяется для оценки ГХ даже в тех случаях, когда формально его использование
некорректно (в частности, когда имеются погрешности измерений как входной, так
и выходной величин). К счастью, во многих практических случаях измерительный
эксперимент бывает поставлен (или может быть поставлен) так, что применение МНК
действительно оказывается возможным. Это так называемый случай контролируемой
переменной. Предположим, что экспериментатор имеет возможность заранее выбрать
значение входной величины, скажем, хизм и изменять (регулировать) входную
величину так, чтобы установить прибор на отметку хизм. При фиксированной
входной величине измеряется соответствующее значение выходной величины у. В
этом случае переменную х называют контролируемой переменной либо говорят, что
имеется активный эксперимент.
В случае контролируемой переменной,
при построении линейной зависимости задача конфлюентного анализа сводится к
регрессионной задаче. В частности, можно, применять МНК.
Если прибор установлен на отметку
хизм, то истинное значение входной величины равно:
х = хизм +Dх,(3.8)
где Dх - погрешность
установки прибора на отметку хизм.
Заметим, что эта погрешность может отличаться от
погрешности измерения величины X. При повторной установке прибора на ту же
отметку х будет другое истинное значение входной величины; следовательно, при
повторных наблюдениях результат х фиксирован, а истинные значения различны:
хi = хизм
+Dхi,
i = 1 … n.(3.9)
Выходная величина, соответствующая истинному
значению хi равна:
(3.10)
а результат ее измерения:
(3.11)
Таким образом, в полученном
выражении величина х неслучайна, а связанная с yi погрешность
приведена к правой части. Следовательно, для построения линейной зависимости в
данном случае можно использовать МНК. Следует подчеркнуть, что это приведение
корректно лишь в случае контролируемой переменной.
Таким образом, при построении
линейной ГХ в случае контролируемой переменной возможно использование МНК. Это
обстоятельство весьма важно, и поэтому многие практические задачи целесообразно
приводить к схеме контролируемой переменной. К сожалению, метод контролируемой
переменной нельзя прямо обобщить на случай полиноминальной зависимости y=f(x); даже при
контролируемой входной переменной x
полиноминальный случай не сводится к регрессионной задаче, в связи с чем
применение МНК остается некорректным.
3.4
Робастные методы построения зависимостей
Как известно, метод наименьших квадратов
является оптимальным лишь при точно известных входных величинах и гауссовских
распределениях погрешностей измерений выходных величин. Однако при
распределениях погрешностей, значительно отличающихся от гауссовских, а также
при наличии выбросов и грубых ошибок - оценки наименьших квадратов могут иметь
большие погрешности [17]. В таких случаях целесообразно применять робастные
(или устойчивые) методы построения зависимостей. Эти методы разработаны
специально для использования в тех случаях, когда возможны отклонения от
классической модели или присутствуют выбросы и промахи [18]. Методы отличает
то, что отклонения реальных распределений погрешностей от гауссовских и наличие
выбросов мало влияют на получаемые результаты. Простейшие робастные методы построения
зависимостей заключаются в том, что сначала строят зависимость каким-либо
простым методом (например, МНК), затем отбрасывают далеко отстоящие от нее
экспериментальные точки и по оставшимся точкам вновь строят зависимость
(возможно, другим методом). В более сложных методах далеко отстоящие точки не
отбрасывают, но приписывают им малые веса.
Робастные методы пока еще
недостаточно широко применяются в метрологии. Однако их все более широко
используют в различных научных исследованиях при обработке экспериментальных
данных, и в настоящее время они считаются наиболее перспективными
статистическими методами.
Понятия и идеи робастных методов
поясним на примере - прямых измерениях с многократными наблюдениями. Применяя
для обработки результатов наблюдений х1, … , xn метод
наименьших квадратов, получим классическую оценку - среднее арифметическое
результатов наблюдений:
(3.12)
Эта оценка является наилучшей при
гауссовском распределении погрешностей; однако при отклонениях от гауссовского
распределения или выбросах она оказывается неэффективной.
Гауссовское распределение выделяется
тем, что имеет «легкие» хвосты, т. е. основная вероятностная масса
сосредоточена в сравнительно небольшом интервале (a-3σ, a+3σ), а вне этот
интервала - весьма мала. Таким образом, вероятности больших отклонений от
среднего а крайне малы. Отметим, что это условие для многих практических
случаев оказывается слишком жестким; реальные выборки часто имеют «утяжеленные»
хвосты, т. е. вероятности больших отклонений существенно больше, чем при
гауссовском распределении.
Простейшими устойчивыми оценками
математического ожидания являются усеченные средние
, где
. В
упорядоченной выборке
отбрасывают
по m=[na] крайних
членов слева и справа, а затем берут среднее арифметическое оставшихся членов:
(3.13)
Предельным случаем усеченных средних
при
является
выборочная медиана:
(3.14)
При
получается обычное среднее
.
В качестве количественной
характеристики устойчивости оценки чаще всего используется значение точки
срыва. Точка срыва δ* это
максимальная доля засорений (искажений) исходных данных, которые не приводят к
неконтролируемо большим погрешностям оценки; она может принимать значения от 0
до 0,5. Среднее арифметическое
является неустойчивой оценкой; для
него точка срыва δ* = 0. Для
усеченного среднего
точка срыва
равна параметру усечения: δ* = a. Поэтому
чем больше усечение, тем устойчивей оценка. Медиана, для которой точка срыва δ* = 0,5,
является очень устойчивой, надежной оценкой; однако она имеет низкую эффективность.
Медиану часто используют как первое приближение в более сложных и точных
алгоритмах.
При исследовании робастных оценок,
как правило, предполагается, что возможные распределения погрешностей не очень
сильно отличаются от гауссовского распределения. Часто используется так
называемая модель засорения: распределение представляют в виде смеси
гауссовского распределения Ф(x) с некоторым другим (засоряющим)
распределением H(х):
(3.15)
Засоряющее распределение Н(х) может
быть либо гауссовским распределением со значительно большей дисперсией, чем Ф
(х), либо H(х)
отличается от гауссовского распределения.
Робастные оценки должны
удовлетворять двум основным требованиям:
мало уступать в эффективности
оптимальным оценкам, т. е. оценкам наименьших квадратов, когда основное
распределение является гауссовским;
оставаться достаточно хорошими при
отклонениях от гауссовского распределения, когда МНК неприменим.
Как известно, оценка наименьших
квадратов
определяется
из условия минимума суммы квадратов отклонений значений xi от оценки:
(3.16)
Неустойчивость этой оценки связана с
тем, что главную роль в сумме играют большие отклонения; поэтому для получения
робастных оценок целесообразно заменить квадратичную функцию на другую,
растущую медленнее квадратичной.
Оценки, получаемые из условия:
(3.17)
называются М-оценками. Весовая
функция
обычно
выбирается из условий:
при больших |x| функция
возрастает
медленнее, чем квадратичная;
при малых |x| функция
близка к
квадратичной.
Первое условие означает, что оценка
будет слабо зависеть от выбросов и отклонений от гауссовского распределения.
Однако второе условие обеспечивает то, что при гауссовском распределении оценка
будет близка к эффективной. Таким образом, будет получена оценка, робастная
вблизи гауссовского распределения.
Оценки наименьших квадратов легко
выражаются в явном виде и имеют довольно простой вид. К сожалению, М-оценки
обычно не выражаются в явном виде. Они являются решениями уравнений:
(3.18)
где
.
Обычно для решения таких уравнений
используют итерационные методы.
Наиболее распространенными на
практике являются М-оценки Хубера, Хампела, Андрюса и Тьюки.
Кроме того, имеются и некоторые
другие группы робастных оценок, например, основанные на отбрасывании точек по
специальным правилам (вместо усечения заранее фиксированной доли а выборки, как
в усеченном среднем
).
Используются также оценки, основанные на рангах (т. е. номерах членов в
упорядоченной выборке) или возрастающих функциях рангов. К тому же можно
использовать различные адаптивные оценки, основанные на перечисленных выше
робастных оценках, и линейные комбинации оценок. Из адаптивных оценок наиболее
известны оценки Хогга, основанные на усеченных средних.
3.5 Быстрые
и графические методы построения прямых
Приведем несколько простых методов
построения линейных ГХ, которые весьма просты и являются непараметрическими, т.
е. не используют предположений о виде распределений погрешностей измерений. Их
применяют для быстрого получения результата, когда нет сведений о виде
распределения, или для нахождения первого приближения, необходимого для использования
более точных методов [19]. Многие из приведенных ниже методов являются
робастными, т. е. устойчивыми по отношению к отклонениям от нормального
распределения и к грубым ошибкам.
Эти методы выделены ввиду их
простоты; однако их эффективность, к сожалению, невысока (что отличает их от
робастных оценок, которые довольно эффективны).
Предположим, что значения входной
величины занумерованы в порядке возрастания:
. Через yi обозначены,
как обычно, результаты измерений выходных величин
, а
отклонения - через
.
Простой «метод средних» для
построения линейной ГХ состоит в том, что все точки разбивают на две группы (с
номерами 1 … k в первой группе и k+1, … , m во второй)
и суммы отклонений в каждой группе приравнивают к нулю:
(3.19)
Из этих условий получают оценки
коэффициентов:
(3.20)
где
Если группы равного объема, т.е.
m=2k, то оценки имеют вид:
(3.21)
При m=2k+1
среднюю точку (с номером k+1)
обычно отбрасывают.
Аналогично, можно разбить все результаты на три
группы и среднюю группу отбросить. Оценки вычисляются по двум крайним группам,
как и в предыдущем случае; отброшенные точки средней группы затем используются
для анализа точности аппроксимации.
В простейшем графическом методе (так называемом,
«методе натянутой нити») проводят прямую так, чтобы выше и ниже прямой лежало
равное число экспериментальных точек (xi,
yi). Эту прямую можно
назвать «медианой», она является естественным двумерным аналогом медианы
выборки (которая использовалась при прямых измерениях с многократными
наблюдениями). Метод является устойчивым и обычно дает хорошее приближение, но,
к сожалению, с его помощью трудно дать обоснованную оценку точности построенной
прямой.
4. Компенсация
динамической температурной погрешности интегральных тензорезисторных
преобразователей давления
Статическая температурная погрешность в серийно
выпускаемых интеллектуальных датчиках давления устраняется эффективно, и
позволяет выпускать датчики давления с классом точности 0,1. Алгоритмические
методы коррекции позволяют минимизировать как эффекты нелинейности, так и
температурное влияние [20]. При динамическом изменении температуры, из-за
неравномерности нагрева тензопреобразователя возникает градиент температуры в
чувствительном элементе и происходит его температурная деформация, вследствие
чего возникает дополнительная динамическая температурная погрешность, которая
проявляется всплеском давления, и в ряде случаев может достигать 30 % от
предела измерения [21]. На рисунке 4.1 приведен вид выходной характеристики
датчика давления при воздействии на него тепловых ударов.
Рисунок 4.1 - Вид выходной характеристики
датчика при тепловых ударах
Отсюда становится ясным, что статическая
алгоритмическая коррекция, при воздействии тепловых ударов на чувствительный
элемент, невозможна, поэтому возникает необходимость введения дополнительного
сигнала, который характеризовал бы динамику изменения температуры
чувствительного элемента, и нахождения градуировочной характеристики
измерительного тензопреобразователя. В качестве такого сигнала может служить
скорость изменения температуры тензорезисторного моста, функционально связанная
с градиентом температуры в чувствительном элементе. На рисунке 4.2 показана
структура измерительных каналов при коррекции динамического влияния
температуры.
Рисунок 4.2 - Структура измерительных каналов
при коррекции динамического влияния температуры
Таким образом, получается функция зависимости
расчетного давления Р от трех параметров: кода, пропорционального напряжению на
измерительной диагонали тензомоста; кода, пропорционального температуре
чувствительного элемента (полному сопротивлению тензомоста); кода,
пропорционального скорости изменения температуры чувствительного элемента.
(4.1)
Найти математическую модель функции
преобразования можно путем градуировки измерительного преобразователя.
Градуировочные характеристики строятся любыми известными методами, например
методом наименьших квадратов, методами конфлюентного анализа, робастными методами
или быстрыми и графическими методами. Поскольку искомая зависимость является
нелинейной трехфакторной функцией, оптимальным в плане точности и сложности
является использование метода наименьших квадратов.
В качестве полинома регрессии выберем полином
второй степени, который содержит все возможные сочетания факторов в первой
степени (единичные, парные и тройные), а при второй степени - только их
индивидуальные комбинации. В таком случаем полином имеет вид:
(4.2)
где y - значение
давление в градуировочном эксперименте;
x1 - код
давления NP;
x2 - код
температуры тензомоста NT;
x3 - код
приращения температуры
bi -
коэффициенты регрессии.
Составим систему условных уравнений. Обозначим
индексами при коэффициентах b
комбинацию базисных функций, а индексами при факторах x
- номер строки таблицы экспериментальных данных (всего n
строк). Тогда в алгебраическом виде система уравнений будет следующей:
(4.3)
Данная система уравнений является
несовместной, и не имеет единственного решения. Преобразуем систему условных
уравнений в систему нормальных уравнений. Воспользуемся пошаговой процедурой
преобразования разработанной Гауссом. На первом шаге процедуры каждое условное
уравнение системы (4.3) умножается на свой множитель при первом коэффициенте
регрессии b0, после чего все преобразованные таким образом условные уравнения
складываются сверху вниз; суммарное уравнение и будет первым нормальным
уравнением. На втором шаге каждое исходное условное уравнений умножается на
свой множитель при втором коэффициенте b с последующим сложением полученных
уравнений и образованием второго нормального уравнения и т.д., до исчерпания
всех множителей при коэффициентах b. В итоге формируется следующая система
нормальных уравнений, число которых равно числу коэффициентов регрессии в
уравнении:
Система нормальных уравнений (4.4)
совместна, состоит из 11 уравнений и 11 неизвестных, имеет единственное решение
и минимизирует остаточную сумму, т.е. обеспечивает наилучшее решение системы
условных уравнений (4.3) из всех возможных решений.
Решив систему нормальных уравнений
получены следующие коэффициенты полинома регрессии:
|
b0
=
|
-2,5516
|
|
b1
=
|
1,75·10-3
|
|
b2
=
|
-1,97·10-4
|
|
b3
=
|
-4,61·10-3
|
|
b12
=
|
6,16·10-8
|
|
b13
=
|
1,18·10-6
|
|
b23
=
|
3,2·10-7
|
|
b12
=
|
-9,7·10-11
|
|
b11
=
|
-7,3·10-14
|
|
b22
=
|
-4,7·10-9
|
|
b33
=
|
1,6·10-6
|
В результате отклонение значений давления
найденные по математической модели от задаваемого давления в градуировочном
эксперименте составило не более 0,04%.
В некоторых случаях коэффициенты регрессии
являются зависимыми друг от друга случайными величинами. При этом значение коэффициентов
регрессии зависит от количества членов уравнения, т.е. уменьшение или
увеличение их числа влияет на значения всех коэффициентов, включенных в
полином. Поэтому, если какой-то из коэффициентов близок к нулю, нельзя его
просто исключить из уравнения, расчеты для новой формы полинома нужно проводить
вновь и полностью. Эта неопределенность значений коэффициентов делает
невозможной их физическую интерпретацию и является принципиальным недостатком
метода. Чтобы избавиться от зависимости коэффициентов регрессии друг от друга
необходимо организовать полный факторный эксперимент. Проведение такого рода
эксперимента может занять длительный период времени. Образцовые значения
давления в ходе эксперимента задавались грузопоршневым манометром МП-600 класса
точности 0,05. Скорость опускания поршня у манометров класса точности 0,05
соответствует 0,5 мм/мин, рабочий ход поршня должен быть не менее 15 мм [22].
Значит, минимальное время, при котором будет удерживаться образцовое значение
давления данным грузопоршневым манометром, равно 30 минутам. Это делает
невозможным проведение непрерывного многочасового эксперимента. Для сокращения
времени проведения эксперимента без ущерба точности аппроксимации в расчет было
предложено взять точки от минуты до начала времени изменения температуры до
экстремума значения давления (см. рисунок 4.1). При этом дожидаться
установившегося режима давления нет необходимости, что сокращает время
эксперимента в несколько раз. В таком случае получены следующие коэффициенты
уравнения математической модели:
|
b0
=-3,67
|
|
|
b1
=
|
2,5·10-3
|
|
b2
=
|
-1,56·10-4
|
|
b3
=
|
1,16·10-4
|
|
b12
=
|
1,78·10-10
|
|
b13
=
|
-1,24·10-7
|
|
b23
=
|
-3,80·10-8
|
|
b12
=
|
1,06·10-11
|
|
b11
=
|
-1,28·10-14
|
|
b22
=
|
-5,47·10-10
|
|
b33
=
|
-7,93·10-7
|
Максимальная приведенная погрешность
аппроксимации в данном случае составила 0,007%.
Для дальнейшего сокращения объема эксперимента и
времени его проведения было предложено получить математическую модель только
для участка графика, соответствующего наибольшей скорости изменения температуры
(последние два всплеска давления на рисунке 4.1), а затем с полученными
коэффициентами регрессии необходимо просчитать весь массив экспериментальных
данных. По завершению расчетов максимальная приведенная погрешность
аппроксимации не превысила 0,005%, а коэффициенты регрессии имеют следующий
вид:
|
b0
=-3,7
|
|
|
b1
=
|
2,5·10-3
|
|
b2
=
|
-1,53·10-4
|
|
b3
=
|
3,2·10-3
|
|
b12
=
|
1,58·10-10
|
|
b13
=
|
-9,04·10-7
|
|
b23
=
|
-2,75·10-7
|
|
b12
=
|
7,47·10-11
|
|
b11
=
|
-7,03·10-15
|
|
b22
=
|
-6,4·10-10
|
|
b33
=
|
-1,83·10-6
|
Предложенный метод проведения многофакторного
градуировочного эксперимента позволяет существенно сократить время и объем
полного факторного эксперимента.
По найденным коэффициентам построена зависимость
давления от трех параметров: кода, пропорционального напряжению на
измерительной диагонали тензомоста; кода, пропорционального температуре
чувствительного элемента (полному сопротивлению тензомоста); кода,
пропорционального скорости изменения температуры чувствительного элемента.
Полученный график с дополнительной коррекцией динамического воздействия температуры
с учетом скорости изменения температуры датчика совмещен с графиком давления
полученном при градуировочном эксперименте. Для наглядности на рисунке 4.3
представлен фрагмент эксперимента, где температура резко изменялась от 30 0С до
80 0С и обратно.
На рисунке видно, что динамическая составляющая
температурной погрешности благодаря учету скорости изменения температуры
практически устранена, что подтверждает эффективность использования трех
влияющих факторов при составлении математической модели измерительного
преобразователя.
Рисунок 4.3 - Коррекция результатов измерения
давления при воздействии тепловых ударов
На основании теоретических и экспериментальных
исследований получены следующие результаты:
установлены причины возникновения дополнительной
динамической температурной погрешности интегральных преобразователей давления;
предложен алгоритм устранения дополнительной
динамической температурной погрешности;
найден способ градуировки интеллектуального
датчика давления с минимальными временными затратами;
методами регрессионного анализа получена
математическая модель преобразователя давления, позволяющая устранить
динамическое влияние температуры.
ЗАКЛЮЧЕНИЕ
В данной работе решалась задача устранения
динамической температурной погрешности при воздействии на чувствительный
элемент датчика тепловых ударов. Инструментами регрессионного анализа с помощью
метода наименьших квадратов найдена математическая модель интегрального
тензопреобразователя давления, учитывающая скорость изменения температуры
чувствительного элемента, с помощью которой появилась возможность устранить
динамическое влияние температуры. Предложена методика проведения полного
факторного градуировочного эксперимента.
Кроме того более подробно изучен метод обработки
результатов наблюдений - регрессионный анализ, причем с упором на практическое
применение для аппроксимации табличнозаданных экспериментальных функций
многофакторными полиномами регрессии.
Предложенный алгоритм коррекции динамической
температурной погрешности может использоваться в цифровых преобразователях
давления, подверженных тепловым ударам.
Сделан очередной шаг на пути к повышению
точности измерений интеллектуальных датчиков давления. Достоинством
нововведения является то, что оно не требует внесения конструктивных изменений
в выпускаемые датчики давления, а позволяет обойтись лишь обновлением
управляющей программы вычислительного микроконтроллера.
СПИСОК ИСПОЛЬЗОВАННЫХ ИСТОЧНИКОВ
1
Исакович, Р.Я. Технологические измерения и приборы. Изд. 2-е, переработанное /
Р.Я. Исакович. - М.: Недра, 1979. - 344 с.
Ваганов,
В.И. Интегральные тензопреобразователи / В.И. Ваганов. - М.: Энергоатомиздат,
1983. - 137 с.
Папков,
В.С. Эпитаксиальные кремниевые слои на диэлектрических подложках и приборы на
их основе / В.С. Папков, М.В. Цыбульников. - М.: Энергия, 1979. - 88 с.
Стучебников,
В.М. Тензорезисторные преобразователи на основе гетероэпитаксиальных структур
«кремний на сапфире» / В.М. Стучебников // Измерения, контроль, автоматизация:
Науч.-техн. сборник. - 1982. № 4 (44). - С. 15-26.
Ваганов,
В.И. Интегральный кремниевый преобразователь давления с подстроечными
резисторами на кристалле / В.И. Ваганов, В.В. Беклемишев, Н.И. Гочарова, А.Б.
Носкин // Измерительная техника. - 1980. №5. - С. 28-30.
Черняев,
В.Н. Технология производства интегральных микросхем / В.Н. Черняев. - М.:
Энергия, 1977. - 375 с.
Мейер,
Дж. Ионное легирование полупроводников / Дж. Мейер, Л. Эриксон, Дж. Дэвис /
Пер. с англ. под ред. В.Н. Гусева. - М.: Мир, 1973. - 296 с.
Степаненко,
И.П. Основы теории транзисторов и транзисторных схем / И.П. Степаненко. - М.:
Энергия, 1977. - 672 с.
Ваганов,
В.И. Влияние конструктивно-топологических особенностей интегральных
тензопреобразователей на перегрев тензорезистров протекающим током / В.И.
Ваганов, А.Б. Носкин, М.В. Фролова / В кн.: Электронная измерительная техника /
Под ред. А.Г. Филиппова. - М.: Атомиздат, 1980. - С. 17-22.
Шестаков,
А.Л. Алгоритмы выбора и обоснования моделей функций преобразования
измерительных преобразователей давления / А.Л. Шестаков, А.П. Лапин, Е.А.
Лапина // Вестник Южно-Уральского государственного университета. Серия:
Компьютерные технологии, управление, радиоэлектроника. - 2009. №26. - С. 10-12.
Шестаков,
А.Л. Задача оптимизации функций преобразования измерительных преобразователей /
А.Л. Шестаков, А.П. Лапин, Е.А. Лапина // Вестник Южно-Уральского
государственного университета. Серия: Компьютерные технологии, управление,
радиоэлектроника. - 2010. №2. - С. 4-6.
Емец,
С.В. Способ градуировки измерительных преобразователей с интегрированным
чувствительным элементом / С.В. Емец, И.Н. Полищук // Патент РФ № 2223465. -
2004.
Семенов,
Л.А. Методы построения градуировочных характеристик средств измерений / Л.А.
Семенов, Т.Н. Сирая. - М.: Изд-во стандартов, 1986. - 128 с.
Шашков,
В.Б. Прикладной регрессионный анализ. Многофакторная регрессия: Учебное пособие
/ В.Б. Шашков. - Оренбург: ГОУ ВПО ОГУ, 2003. - 363 с.
Бородюк,
В.П. Статические методы в инженерных исследованиях / В.П. Бородюк, А.П.
Вощинин, А.З. Иванов и др. - М.: Высшая школа, 1983. - 216 с.
Гутер,
Р.С. Элементы численного анализа и математической обработки результатов опыта /
Р.С. Гутер, Б.В. Овчинский. - М.: Наука, 1970. - 432 с.
Демиденко,
Е.З. Линейная и нелинейная регрессия / Е.З. Демиденко. - М.: Финансы и
статистика, 1981. - 304 с.
Смоляк,
С.А. Устойчивые методы оценивания / С.А. Смоляк, Б.П. Титаренко. - М.:
Статистика, 1981. - 208 с.
Кенуй,
М.Г. Быстрые статические вычисления / М.Г. Кенуй. - М.: Статистика, 1979. - 70
с.
Емец,
С.В. Способ коррекции статических характеристик измерительных преобразователей
/ С.В. Емец // Патент РФ № 2130194. - 1999.
Рогонов,
А.А. Экспериментальное исследование температурных полей датчика давления ВТ 212
с помощью программного комплекса «Термоудар» / А.А. Рогонов, Д.В. Тихомиров //
Международная научно-техническая конференция «Методы и средства измерения в
системах контроля и управления» - Пенза, 2002. - С. 106-108.
ГОСТ
8291-83. Манометры избыточного давления грузопоршневые. Общие технические
условия. - Введ. 01.01.1984. - М.: Госстандарт, 1998. - 14 с. - (Гос. Стандарты
РФ).
ПРИЛОЖЕНИЕ А
(обязательное)
Перечень демонстрационных листов
Титульный слайд.
Тензодатчик давления, выполненный по технологии
КНС.
Методы компенсации температурных погрешностей.
Поведение канала давления при тепловых ударах.
Цели и задачи ВКР.
Структура измерительных каналов интегральных
тензопреобразователей при коррекции динамического влияния температуры.
Функция преобразования канала давления в
условиях термоудара.
Коэффициенты регрессии, рассчитанные методом
наименьших квадратов.
Расчет математической модели для точек,
обработка которых методами статической коррекции неэффективна.
Коэффициенты математической модели
чувствительного элемента.
Расчет участков графика, соответствующих
наибольшей скорости изменения температуры.
Коэффициенты полинома регрессии.
Графики давления до и после динамической
температурной коррекции.
Выводы по ВКР.