Измерение состава сплава висмут-сурьма по длине слитка после направленной кристаллизации методом энергодисперсионного зондирования электронным пучком

  • Вид работы:
    Курсовая работа (т)
  • Предмет:
    Физика
  • Язык:
    Русский
    ,
    Формат файла:
    MS Word
    253,25 Кб
  • Опубликовано:
    2015-04-13
Вы можете узнать стоимость помощи в написании студенческой работы.
Помощь в написании работы, которую точно примут!

Измерение состава сплава висмут-сурьма по длине слитка после направленной кристаллизации методом энергодисперсионного зондирования электронным пучком

Министерство образования и науки Российской федерации ФГБО ВПО «Курганский государственный университет» Факультет естественных наук

Кафедра теоретической и экспериментальной физике, компьютерных методов физики









Курсовая работа

Измерение состава сплава висмут-сурьма по длине слитка после направленной кристаллизации методом энергодисперсионного зондирования электронным пучком


Студент

Шварц О.А.



Курган-2014

Содержание

Введение

1. Обзор теоретического материала

.1 Химические методы анализа

1.2 Физико-химические методы анализа

1.3 Физические методы анализа

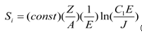
1.4 Основы рентгеноструктурного микроанализа

1.5 Методы детектирования

1.6 Электронные микроскопы

.7 Виды электронных микроскопов

1.8 Физические основы растровой электронной микроскопии

1.9 Принципы количественного рентгеноспектрального микроанализа

2. Эксперимент

2.1 Подготовка образца

2.2 Эксперимент

2.3 Экспериментальные данные

Заключение

Список литературы

Введение

В физике твердого тела возникает задача количественного определения элементного состава исследуемого образца. Одним из способов такого определения является метод, рентгеноспектрального микроанализа. Прибор, проводящий его это электронный микроскоп. При взаимодействии электронных пучков с атомами исследуемого образца, происходит выбивание электронов, в следствии чего происходит переход оставшихся электронов на более низкие уровни с попутным испускание электромагнитного излучения рентгеновского спектра. Данный метод позволяет очень точно определить не только полный состав образца, но и процентное содержание примесей в любой точке. Недостатком данного способа измерения является: малая глубина проникновения электронного зонда, необходимость проведения исследований в вакууме, предельная чистота поверхности.

Также может возникнуть потребность в исследовании образца произвольной толщины. В этом случае можно использовать другие методы анализа:

•      химический (титриметрия и гравиметрия)

•        физико-химический (спектрофотометрия и хроматография)

•      физический (атомно-абсорбционная и атомно-эмиссионная

•        спектроскопия, рентгенофлуоресцентный)

Но эти способы не являются подходящими в виду того, что обладают разрушающими действиями на исследуемый образец (кроме рентгенофлуоресцентного).

В связи с этим возникает задача разработки методики количественного определения состава образцов рентгеноспектральным микроанализом, анализом при работе с образцами произвольной площади.

Таким образом, целью данной работы является изучение методики проведения количественного элементного анализа.

Задачами являются: обзор теоретического материала, проведение эксперимента и анализ экспериментальных данных.

В качестве исследуемого материала был выбран сплав висмут-сурьма так как он является полупроводниковым материалом с перспективами его использования в термоэлектронных технологиях.

рентгеноспектральный физический микроскопия напряжение

1. Обзор теоретического материала

Для исследования твердых объектов могут применяться химические, физико-химические и физические методы анализа. К химическим методам анализа можно отнести титриметрию и гравиметрию. К физико-химическим, - спектрофотометрию и хроматографию, к физическим - атомно-абсорбционную, атомно-эмиссионную спектроскопию, рентгенофлуоресцентный анализ и рентгеноспектральный.

.1 Химические методы анализа

Титрование - процесс, в котором количество искомого вещества определяют по количеству израсходованного реагента, то есть по раствору с точно известной концентрацией. Процесс титрования проводится аккуратно, постепенным добавлением реагента известной концентрации до завершения реакции с веществом, затем измеряют объем стандартного реагента.

Данный метод, при оптимизации условий проведения анализа, является одним из самых точных. Для его реализации необходимо растворения исследуемого образца, кроме того, становится необходимым разделение и маскирование компонентов, мешающих обнаружению определяемого элемента. Процесс пробоподготовки является трудоемким и может привести к загрязнению анализируемого образца посторонними примесями.

Таким образом, данный метод сложно осуществим для исследуемого образца.

Гравиметрия - это абсолютный метод т.е. не имеющий эталонов. При проведении такого анализа необходимо выделить определяемый компонент в виде чистого вещества или соединения постоянного состава и провести его взвешивание. При анализе образцов содержащих более 0,1% определяемого компонента и при наличии малого количества проб гравиметрия является наиболее подходящим методом. Погрешность определения не превышает 0,1 - 0,2%.

1.2 Физико-химические методы анализа

Спектрофотометрический анализ основан на явлении поглощения излучения в УФ или видимой области электромагнитного спектра. Поглощаемая энергия расходуется на переход электронов данной молекулы из основного в возбужденное состояние. Отношение интенсивностей падающего и прошедшего лучей пропорционально концентрации поглощающего вещества. Возбужденные молекулы теряют избыток энергии и возвращаются в основное энергетическое состояние.

Данным методом можно проводить одновременный многокомпонентный анализ. Однако число элементов, поглощающих и излучающих в данной области спектра, ограничено. Таким образом, необходимо оптимизировать условия: подбирать нужные области спектра для проведения анализа. Кроме того, этот метод также требует растворения исследуемого образца, что не желательно.

Метод основан на распределении компонентов между двумя фазами - подвижной и неподвижной. Неподвижной фазой обычно служит твердое вещество (сорбент) или пленка жидкости, нанесенная на твердое вещество. Подвижная фаза представляет собой жидкость и или газ, протекающий через неподвижную фазу. Компоненты анализируемой смеси вместе с подвижной фазой передвигаются вдоль стационарной фазы. Последнюю обычно помещают в стеклянную или металлическую трубку - колонку. В зависимости от силы взаимодействия с поверхностью сорбента компоненты перемещаются вдоль колонки с разной скоростью. Одни компоненты остаются в верхнем слое сорбента, другие, с меньшей степенью взаимодействия, оказываются в нижней части колонки, некоторые покидают колонку с подвижной фазой. Таким образом, компоненты разделяются.[1] Это наиболее распространенный аналитический метод. Данным методом производится определение веществ находящихся в любом агрегатном состоянии. Хроматография позволяет проводить одновременный многокомпонентный анализ сложных систем, является довольно точным и экспрессным методом. Недостатком метода является необходимость переведения анализируемого образца в раствор.

.3 Физические методы анализа

Данный метод основан на поглощении свободными атомами анализируемой пробы характеристического излучения этого же элемента.

В атомно-абсорбционном методе термическая энергия пламени применяется для атомизации исследуемого образца. Испарение соли исследуемого вещества в пламени приводят к образованию атомов или простых молекул. Неионизированные и несвязанные атомы элемента, находящиеся в основном состоянии, поглощают свет характеристических частот, совпадающих с характеристическими частотами излучения элемента. Поэтому для количественного анализа в атомно-абсорбционном методе измеряют степень поглощения атомами падающего излучения.

Однако данный метод является одноэлементным, что непригодно для анализируемого объекта. Кроме того образец необходимо переводить в растворенный вид.

Метод основан на измерении характеристических спектров испускания возбужденных атомов и ионов анализируемой пробы. Каждый элемент излучает дискретные спектральные линии при нагревании его паров до достаточно высокой температуры. При этом электроны атома, возбужденные электрической дугой, пламенем или индуктивно связанной плазмой, при переходе в основное или промежуточное состояние излучают линии характерные для данного перехода.

Данный метод также является разрушающим, что соответственно непригодно в нашем случае.

При поглощении фотона первичного излучения атом излучает фотоэлектрон при этом образуется вакансия в одной из внутренних оболочек. Энергия атома понижается за счет заполнения этой вакансии более удаленным от ядра электроном. Переход может быть как радиационным, с испусканием фотона характеристического излучения, так и без радиационным с выбрасыванием еще одного электрона - оже-электрона. Таким образом, метод основан на измерении характеристических спектров флуоресценции атомами элементов анализируемой пробы. При этом разрушение образца не происходит.

Этот метод очень похож на предыдущий, отличается лишь способом возбуждения характеристического излучения. При бомбардировании атома пучком электронов может произойти “выбивание” электрона с нижней орбиты. В результате чего электроны перейдут на более низкие энергетические уровни, с последующим за этим испусканием фотона характеристического излучения. Данный метод не приводит к разрушению анализируемого образца. Рентгеноспектральный микроанализ - является одним из аналитических методов для элементного анализа твердых веществ и порошков. Он сочетает высокую точность и воспроизводимость. Преимуществом метода является неразрушающий анализ и возможность определения малых концентраций вещества.

.4 Основы рентгеноструктурного микроанализа

Методика заключается в том, что образец помещается в вакуумнуюкамеру электронного микроскопа и облучается сфокусированным направленным электронным зондом высокой энергии. Пучок электронов взаимодействует с приповерхностным участком образца в глубину составляющий всего несколько микрон. Объем зоны взаимодействия зависит не только от ускоряющего напряжения, но и от плотности материала образца так для массивной мишени он находится в диапазоне от десятых долей до десяти кубических микрон. Процесс генерации рентгеновского излучения является результатом неупругого взаимодействия между электронами и атомами образца. Рентгеновское излучение появляется в процессе эмиссии характеристического излучения и эмиссии тормозного излучения

Когда электрон высокой энергии взаимодействует с атомом, он может выбить один из электронов внутренней электронной оболочки. В результате атом перейдет в возбужденное состояние, с вакансией в оболочке.

Переход в нормальное состояние осуществляется, когда один из электронов внешней оболочки переходит на внутреннюю, что сопровождается изменением его энергии, а величина изменения определяется уникальной для каждого химического элемента электронной структурой атома. Эта «характеристическая» энергия может высвободиться из атома двумя способами. Один из них - эмиссия рентгеновского фотона с характеристической энергией специфической для данного перехода и, соответственно, она различна для разных элементов. Второй способ - высвобождение Оже-электронов.

Эмиссия фотонов рентгеновского излучения фона проявляется, когда электрон падающего пучка испытывает торможение в электрическом поле атома. Электроны, взаимодействуя с отдельными атомами мишени, теряют разное количество энергии. Энергия таких фотонов имеет непрерывное распределение от нуля до величины ускоряющего напряжения электронного зонда, т.е. испускаемый при этом спектр имеет непрерывный характер.

Максимальная энергия фотонов тормозного излучения соответствует энергии электронов пучка, полностью потерявших энергию в результате взаимодействия с полем атома. Значение этой энергии называется «пределом Дуана-Ханта». Если образец не имеет поверхностного заряда, предел Дуана-

Ханта равен энергии падающего пучка.

.5 Методы детектирования

Рентгеновские фотоны обладают свойствами частиц и волн и их свойства можно охарактеризовать в терминах энергий или волн. Для рентгеноспектрального микроанализа можно использовать энерго-дисперсионный спектрометр, который сортирует фотоны по их энергии, либо волнодисперсионный спектрометр, разделяющий рентгеновское излучения по длинам волн.

Любой современный электронный микроскоп может быть оснащен рентгеновским спектрометром как дополнительной приставкой. Чаще всего растровые  и просвечивающие  электронные микроскопы оснащаются энергодисперсионными спектрометрами, но некоторые растровые электронные микроскопы допускают установку одновременно двух типов спектрометров - энергодисперсионный спектрометр и волнодисперсионый спектрометр.

Системы энерго-диспесионных спектрометров (ЭДС) в механическом плане очень просты - в них практически отсутствуют движущиеся части. ЭДС система обычно состоит из трех основных компонентов: источник возбуждения, детектор, и блок сбора и обработки данных. Рентгеновская трубка излучает рентгеновские лучи, которые проникают в образец, и атомы элементов этого образца излучают характеристические рентгеновские лучи. Количество элемента определяется путем подсчета количества этих лучей. Ответные рентгеновские лучи улавливаются детектором и обрабатываются в виде спектра.

Характеристические рентгеновские фотоны направляются посредством коллиматора на кристалл под определенным углом. Кристалл дифрагирует фотоны, которые направляются на детектор. В волно-дисперсионном спектрометре используются сцинтилляционный или пропорциональный счетчик.

Монокристалл, образец и детектор монтируются на гониометре с расстоянием от источника рентгеновского излучения и кристалла, равным расстоянию от кристалла до детектора. Как правило, исследование проводят в вакууме для уменьшения поглощения мягкого излучения в воздухе и, следовательно, улучшают чувствительность для обнаружения и количественного определение легких элементов.


.6 Электронные микроскопы

Электронный микроскоп (ЭМ) - прибор, предназначенный для получения изображения объектов с максимальным увеличением до 106 раз, благодаря использованию, вместо светового потока пучка электронов с энергиями 200 эВ - 400 кэВ и более.

Разрешающая способность электронного микроскопа в 1 000-10 000 раз превышает разрешение светового микроскопа и для современных приборов может быть меньше одного ангстрема. Для получения изображения в ЭМ используются специальные магнитные линзы, управляющие движением электронов при помощи магнитного поля.

.7 Виды электронных микроскопов

Используются для изучения структуры объектов электронографическим методом проведения локального количественного спектрального анализа при помощи энерго-дисперсионного спектрометра и получения спектроскопических изображения объектов с помощью фильтра, отсеивающего электроны с энергиями вне заданного энергетического окна. Потери энергии электронов, пропущенных фильтром и формирующих изображение, вызываются присутствием в объекте одного химического элемента. Поэтому контраст участков, в которых присутствует этот элемент, возрастает. Перемещением окна по энергетическому спектру получают распределения различных элементов, содержащихся в объекте.

Приборы с ускоряющим напряжением от 1 до 3,5 MB - представляют собой крупногабаритные сооружения высотой от 5 до 15 м. Для них строят специальные здания. Первые СВЭМ предназначались для исследования объектов большой толщины (больше 10 мкм), при которой сохраняются свойства массивного твёрдого тела. В результате сильного влияния хроматической аберраций разрешающая способность таких микроскопов снижается. Так как энергия электронов в СВЭМ больше, то длина их волны меньше, чем в ПЭМ с высокой разрешающей способностью. В результате чего на СВЭМ была достигнута самая высокая (0,13 нм) для просвечивающих электронных микроскопах разрешающая способность, позволившая фотографировать изображения атомарных структур. Однако сферическая аберрация и дефокусировка объектива искажают изображения, полученные с предельным разрешением, и мешают получению достоверной информации. Это преодолевается с помощью фокальных серий изображений, которые получают при различной дефокусировке объектива. Параллельно для тех же дефокусировок проводят моделирование изучаемой атомарной структуры на компьютере. Сравнение фокальных серий с сериями модельных изображений помогает расшифровать микрофотографии атомарных структур, сделанные на СВЭМ с предельным разрешением.

Самый распространённый тип приборов в электронной микроскопии. В них применяются вольфрамовые и гексаборидлантановые термокатоды. Разрешающая способность РЭМ зависит от электронной яркости пушки и в приборах рассматриваемого класса составляет 5-10 нм. Ускоряющее напряжение регулируется в пределах от 1 до 30 - 50 кВ. При использовании трех электронных линз на поверхность образца фокусируется узкий электронный зонд. Магнитные отклоняющие катушки развёртывают зонд по заданной площади. При взаимодействии электронов зонда с объектом возникает несколько видов излучений: вторичные и отражённые электроны, оже-электроны, рентгеновское тормозное и характеристическое излучение, световое излучение и т. д. Любое из излучений, прошедших сквозь объект и поглощённых в объекте, а также напряжение, наведённое на объекте, могут быть зарегистрированы соответствующими детекторами, преобразующими эти излучения в электрические сигналы, которые, после усиления, подаются на электронно-лучевую трубку и модулируют её пучок. Развёртка пучка ЭЛТ производится синхронно с развёрткой электронного зонда вРЭМ, и на экране ЭЛТ наблюдается увеличенное изображение объекта. Увеличение равно отношению размера кадра на экране ЭЛТ к соответствующему размеру на сканируемой поверхности объекта. Фотографируют изображение непосредственно с экрана ЭЛТ. Основное достоинство РЭМ - высокая информативность прибора, обусловленная возможностью наблюдать изображения, используя сигналы различных детекторов. С помощью РЭМ можно исследовать микрорельеф, распределение химического состава по объекту, методом ионно-лучевого травления.

Приборы, в которых при сканировании электронного зонда детектируются оже-электроны из глубины объекта не более 0,1-2 нм. При такой глубине зона выхода оже-электронов не увеличивается и разрешение прибора зависит только от диаметра зонда. Прибор работает при сверхвысоком вакууме. Его ускоряющее напряжение. 10 кВ. Электронная пушка состоит из гексаборидлантанового или вольфрамового термокатода, работающего в режиме Шоттки, и трехэлектродной электростатической линзы. Электронный зонд фокусируется этой линзой и магнитно объективом, в фокальной плоскости которого находится объект. Сбор оже-электронов производится с помощью цилиндрического зеркального анализатора энергий, внутренний электрод которого охватывает корпус объектива, а внешний примыкает к объекту. С помощью анализатора, исследуется распределение химических элементов в поверхностном слое объекта с субмикронным разрешением. Для исследования глубинных слоев, прибор оснащается ионной пушкой, при помощи которой удаляются верхние слои объекта.

ПРЭМ обладают такой же высокой разрешающей способностью, как и ПЭМ. В этих приборах используются автоэмиссионные пушки, работающие в условиях сверхвысокого вакуума, обеспечивающие достаточный ток в зонде малого диаметра (0,2-0,3 нм). Диаметр зонда уменьшают две магнитные линзы. Ниже объекта расположены детекторы - центральный и кольцевой. На первый попадают нерассеянные электроны, и после преобразования и усиления соответствующих сигналов на экране ЭЛТ появляется светлопольное изображение. На кольцевом детекторе собираются рассеянные электроны, создающие темнопольное изображение. В ПРЭМ можно исследовать объекты большей толщины объекты, чем в ПЭМ, т. к. возрастание числа неупруго рассеянных электронов с толщиной не влияет на разрешение. С помощью анализатора энергии электроны, прошедшие сквозь объект, разделяются на упруго и неупруго рассеянные пучки. Каждый пучок попадает на свой детектор, и на ЭЛТ наблюдаются соответствующие изображения, содержащие дополнительную информацию об элементном составе объекта. Высокое разрешение в ПРЭМ достигается при медленных развёртках, т. к. в зонде диаметром всего 0,2-0,3 нм ток получается малым. ПРЭМ оснащаются всеми, используемыми в электронной микроскопии, устройствами для аналитического исследований объектов, Приборы комплектуются ЭВМ для комплексной обработки поступающей информации.

Они создают изображение объекта электронами, которые эмитирует сам объект при нагревании, под действием электромагнитного излучения и при наложении сильного электрического поля, вырывающего электроны из объекта. Эти приборы обычно имеют узкое целевое назначение.

Они служат для визуализации электростатических "потенциальных рельефов" и магнитных микрополей на поверхности объекта. Основным электронно-оптическим элементом прибора является электронное зеркало, причём одним из электродов служит сам объект, который находится под небольшим отрицательным потенциалом относительно катода пушки. Электронный пучок направляется в электронное зеркало и отражается полем в непосредственной близости от поверхности объекта. Зеркало формирует на экране изображение "в отражённых пучках": микрополя около поверхности объекта перераспределяют электроны отражённых пучков, создавая контраст в изображении, визуализирующий эти микрополя.

.8 Физические основы растровой электронной микроскопии

Принцип действия основан на использовании некоторых эффектов, возникающих при облучении поверхности объекта электронным зондом. В результате взаимодействия электронов с образцом генерируются различные сигналы. Основными из них являются поток электронов: отраженных, вторичных, Оже-электронов, поглощенных, прошедших через образец, а также излучений: катодолюминесцентного и рентгеновского.

Для получения изображения поверхности образца используются вторичные, отраженные и поглощенные электроны. Остальные излучения применяются в РЭМ как дополнительные источники информации.

Важнейшей характеристикой любого микроскопа является его разрешающая способность. Она определяется:

) площадью сечения или диаметром зонда;

) контрастом, создаваемым образцом и детекторной системой;

) областью генерации сигнала в образце.

Диаметр зонда в основном зависит от конструктивных особенностей и качества узлов микроскопа и прежде всего электронной оптики. В современных РЭМ достигнуто высокое совершенство компонентов конструкции, что позволило уменьшить диаметр зонда до 5-10 нм.

Влияние контраста на разрешающую способность проявляется в следующем. Формирование контраста в РЭМ определяется разностью детектируемых сигналов от соседних участков образца, чем она больше, тем выше контраст изображения. Контраст зависит от нескольких факторов: топографии поверхности, химического состава объекта, поверхностных локальных магнитных и электрических полей, кристаллографической ориентации элементов структуры. Важнейшими из них являются топографический, зависящий от неровностей поверхности образца, а также композиционный, зависящий от химического состава. Уровень контраста определяется также и эффективностью преобразования падающего на детектор излучения, которое создает сигнал на его выходе. Если получаемый в итоге контраст недостаточен, то его можно повысить, увеличив ток зонда. Однако большой поток электронов в силу особенностей электронной оптики не может быть хорошо сфокусирован, т. е. диаметр зонда возрастет и соответственно снизится разрешающая способность. Другой фактор, ограничивающий разрешение, зависит от размеров области генерации сигнала в образце.

При проникновении первичных электронов в образец они рассеиваются во всех направлениях, поэтому внутри образца происходит расширение пучка электронов. Участок образца, в котором первичные электроны тормозятся до энергии E =0, имеет грушевидную форму. Боковое расширение электронного пучка в образце в этом случае имеет величину от 1 до 2 мкм, даже когда зонд имеет диаметр 10 нм. Расхождение электронов приводит к тому, что площадь выхода на поверхность образца электронов будет больше фокуса электронного пучка.

Они образуются при рассеивании первичных электронов на большие углы (>900)в результате однократного упругого рассеивания или в результате многократного рассеивания на малые углы. В конечном итоге первичные электроны, испытав ряд взаимодействий с атомами образца и теряя при этом энергию, изменяют траекторию своего движения и покидают поверхность образца. Размеры области генерации отраженных электронов значительны и зависят от длины пробега электронов в материале образца. Протяженность области растет с увеличением ускоряющего первичные электроны напряжения и уменьшения среднего атомного номера Z элементов, входящих в состав образца. Протяженность области может изменяться от 0,1 до 1 мкм. Электроны, потерявшие в процессе отражения часть энергии, покидают образец на относительно больших расстояниях от места падения электронного зонда. Соответственно сечение, с которого получают сигнал, будет существенно больше сечения зонда. Поэтому разрешение РЭМ в режиме регистрации отраженных электронов небольшое и изменяется от десятков нанометров при работе с невысокими ускоряющими напряжениями и тяжелыми материалами до сотен нанометров при работе с большими ускоряющими напряжениями и легкими материалами. Важной особенностью эмиссии отраженных электронов является ее зависимость от атомного номера элементов. Если атомный номер атомов материала в точке падения первичного пучка электронов мал, то образуется меньшее количество отраженных электронов с малым запасом энергии. В областях образца, содержащих высокую концентрацию атомов с большим атомным номером, большее число электронов отражается от этих атомов и на меньшей глубине в образце, поэтому потери энергии при их движении к поверхности меньше. Эти закономерности используются при получении изображений в отраженных электронах.

Первичные электроны, проникающие в образец, взаимодействуют с электронами внешних оболочек атомов объекта, передавая им часть своей энергии. Происходит ионизация атомов образца, а высвобождающиеся в этом случае электроны могут покинуть образец и быть выявлены в виде вторичных электронов. Они характеризуются очень малой энергией (до 50 эВ) и поэтому выходят из участков образца очень близких к поверхности. Глубина слоя, дающего вторичные электроны, составляет 1-10 нм. В пределах этого слоя рассеивание электронов пренебрежимо мало, поэтому при получении изображений во вторичных электронах разрешающая способность определяется, прежде всего, диаметром первичного зонда. Вторичные электроны обеспечивают максимальную в сравнении с другими сигналами разрешающую способность порядка 5-10 нм. Поэтому они являются в РЭМ главным источником информации для получения изображения поверхности объекта, и именно для этого случая приводятся паспортные характеристики прибора. Количество образующихся вторичных электронов слабо зависит от атомного номера элемента. Основным параметром, определяющим выход вторичных электронов, является угол падения пучка первичных электронов на поверхность объекта. Таким образом, вариации наклона микроучастков поверхности вызывают резко выраженные изменения в выходе вторичных электронов. Этот эффект используется для получения информации о топографии поверхности. С целью увеличения эмиссии вторичных электронов часто образец устанавливается под углом к оси зонда. При этом будет ухудшаться резкость изображения - размытее по краям. Для ее исправления в РЭМ предусмотрена система компенсации угла наклона. Метод наклона

образца применяют при исследовании плоских объектов (металлографических шлифов и др.). Для образцов с сильно развитым рельефом полностью провести коррекцию угла наклона не удается.

Поглощенные электроны. При воздействии зонда часть генерируемых электронов остается в объеме образца. Так, при энергиях первичного пучка 10-20 кэВ примерно 50% от общего числа образующихся вторичных и отраженных электронов достигают поверхности образца и покидают ее. Оставшиеся электроны образуют ток поглощенных электронов. Его величина равна разности между током зонда и токами отраженных и вторичных электронов. Эта разность является сигналом для получения изображения, на которое оказывают влияние как топографический, так и композиционный эффекты. Поглощенные электроны генерируются в большом объеме. Разрешающая способность при получении изображений в этом случае имеет такой же порядок, как и для отраженных электронов. Данный метод получения изображений используется редко из-за малой разрешающей способности.

Теоретически максимально возможное разрешение в оптическом микроскопе было ограничено длиной волны фотонов, используемых для облучения образца, и угловой апертурой оптической системы. В начале 20-го столетия ученые обсуждали вопрос преодоления ограничений относительно большой длины волны видимого света (длины волн 400-700 нанометров) через использование электронов. Подобно любому веществу, электроны имеют волновые и корпускулярные свойства (как было показано де Бройлем), и их волновые свойства означают, что электронный луч может вести себя подобно лучу электромагнитного излучения. Электроны обычно генерируются в электроном микроскопе посредством термоэлектронной эмиссии из нити накаливания, обычно сделанной из вольфрама, посредством полевой эмиссии. Электроны затем ускоряются электрическим потенциалом (измеряемым в вольтах) и фокусируются электростатическими или электромагнитными линзами на образце. Прошедший через образец луч содержит информацию об электронной плотности, фазе и периодичности, которые используются при формировании изображения.

.9 Принципы количественного рентгеноспектрального микроанализа

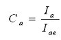
В основе количественного рентгеноспектрального микроанализа лежит предположение, высказанное Р. Кастеном о том, что интенсивность характеристического излучения IA, испускаемого атомами элемента A, пропорциональна концентрации СA этого элемента в образце. Если использовать эталон из чистого элемента А, можно записать


где IAE - интенсивность той же характеристической линии, получаемой от эталонного образца.

Однако реальная ситуация осложняется целым рядом факторов. Во-первых, образцы, как правило, содержат существенно больше двух компонентов. Во-вторых, при взаимодействии электронов зонда и возникающего рентгеновского излучения с веществом образца-мишени возникают многочисленные процессы, приводящие к искажению измеряемых концентраций элементов, содержащихся в образце.

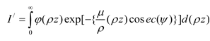
Фактор поглощения рентгеновских лучей в материале образца будет также влиять на интенсивность характеристической линии, регистрируемой детектором, и, следовательно, на определяемую концентрацию элемента. Рассмотрим такой пример: пусть образец состоит из матрицы атомов А и примеси атомов В, причем мAB. Поэтому интенсивность рентгеновского излучения достигшего детектора уменьшится по величине. Согласно Кастену интенсивность dI характеристического излучения, генерируемое в слое толщиной dz с плотностью р на глубине z без учета поглощении      я равна.


где  распределение генерируемого характеристического рентгеновского излучения по глубине.

Таким образом, полный поток регистрируемого и генерируемого излучения, в отсутствии поглощения, равнялся бы:

 

Но из-за поглощения генерируемого рентгеновского излучения полный поток излучения I/ определяется.


где массовый коэффициент поглощениярентгеновского излучения данной аналитической линии в образце,  длина пути поглощения, - угол между рентгеновским излучение и поверхностью образца (угол выхода рентгеновского излучения).


Филибер определил I как F(0),а I/ как F() на основе этих предположений он ввел функцию


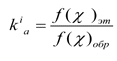
Эта функция представляет собой обычный фактор поглощения, определенный Филибером поэтому для определения коэффициента ka для любого элемента i в любом сложном образце используется выражение

 

Влияние атомного числа определяется двумя конкурирующими факторами: отражением и торможением электронов зонда. Допустим, что образец состоит из матрицы с атомным номером ZA и примеси с атомным номером ZB. Если принять, что ZA>ZB, то при измерении концентрации примеси, состоящей из атомов B сорта, она, с одной стороны, должна занижаться за счёт того, что количество отраженных назад электронов для более тяжелого элемента А больше, чем элемента В. Поэтому более тяжелые атомы матрицы экранируют атомы примеси. С другой стороны, потери энергии электронами зонда, т.е. тормозная способность вещества должна расти с ростом атомного номера и, следовательно, интенсивность характеристической линии рентгеновского спектра легкого элемента в тяжелой матрице должна быть больше, чем для более легкой матрицы. Следует подчеркнуть, что второй процесс будет превалировать над первым. Поэтому измеряемая концентрация элемента Вв матрице А будет завышена по сравнению с реальным содержанием. Для учета этого факта необходимо вводить поправку на атомный номер в виде множителя kz в формулу (1).

В настоящее время наиболее точным выражением для фактора атомного номера элемента i является формулу Данкамба-Рида.

 (7)

где  и - факторы обратного рассеяние на элементе i в эталоне и образце соответственно: есть отношение общего числа фотонов, действительно генерируемых в образце, к общему числу фотонов генерируемых в образце в отсутствии отражения электронов; сечение ионизации, которое определяется как вероятность ионизации данной внутренней электронной оболочки атома в мишени, электроном данной энергии на единицу пробега.

- тормозная способность электрона.

Значение R лежат в интервале 0.5-1.0 и стремятся к единице при более низких атомных номерах фактор поправки на обратное рассеяние зависит не только от атомного номера, но и от величины перенапряжения


при уменьшении перенапряжения до единицы, меньшее число электронов рассеивается от образца с энергией >Eкр, и следовательно потери ионизации от таких элементов меньше.

На основании данных полученных Данкамбом и Ридом, была предложена подгоночная формула для фактора поправки на обратное рассеяние R, с учетом перенапряжения U и атомного номера Z:

где

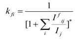
Символ i относится к измеряемому элементу, j-к каждому элементу, присутствующему в эталоне, включая i. Следовательно (8) представляет собой на обратное рассеяние для элемента i за счет влияния элемента j в образце. Подгоночные параметры (9) были рассчитаны как функции U.

Данкамб и Рид


Тормозная способность вещества описывается функцией вида:

 

где С1-const (обычно принимается равной 1166 если E выражено в килоэлектронвольтах, а J - в электронвольтах), J - так называемый средний ионизационный потенциал описываемый выражением:

 

Чтобы избежать интегрирования уравнения (7) было решено принять для средней энергии выражение E = подставляя это значение в уравнение (11) и с небольшой потерей в точности получим:

 

При сравнении тормозных способностей образца и эталона const сокращается. Для расчета и можно использовать следующие соотношения

 

Отсюда следует что:


Фактор флуоресценции. Если образец содержит атомы двух сортов А и В, характеристическое рентгеновское излучение, генерируемое, например, атомами А-сорта, может при определенных условиях вызывать флуоресценцию атомов В-сорта. Таким образом, полное рентгеновское излучение атомов В-сорта будет состоять из двух частей - квантов, возбужденных электронами зонда и квантов, возникших в результате флуоресценции. Этот факт будет приводить к завышению измеряемой концентрации атомов В-сорта и соответствующему уменьшению измеряемой концентрации атомов А- сорта. В литературе это явление получило название фактора усиления флуоресценции или сенсибилизированной флуоресценции. Аналогичное явление возникает и под действием непрерывного рентгеновского излучения, генерируемого в образце электронами зонда.

Поскольку за счет флуоресценции интенсивность излучения элемента i, для поправки можно использовать следующее выражение:


где представляет собой отношение интенсивности излучении элемента i, вызванного элементом j путем флуоресценции, к интенсивности излучения элемента i вызванного электронным зондом.

Однако если элемент состоит из чистого материала или примеси не флуоресцируют то, когда поправочный коэффициент запишется в следующем виде:


Фактор флуоресценции является обычно наименее важной поправкой в методе трех поправок, поскольку вторичная флуоресценция может и не происходить.

Тогда выражение для концентрации определяемого элемента примет вид


Такой способ определения концентрации элементов по измерениям интенсивностей характеристических линий на образце и на эталонах получил название метода трех поправок, или ZAF-метода. В настоящее время разработаны теория и многочисленные методы расчета обсуждавшихся выше поправок, существуют специальные программы

для обработки экспериментальных рентгеновских спектров на ЭВМ, позволяющие проводить полный анализ измеряемого спектра и определение концентрации входящих элементов, а также всех ошибок, возникающих при этом. Наиболее часто в практике рентгеновского микроанализа для обработки спектров используются такие программы, как MAGIC, COR2, FRAME. Это достаточно мощные программы, позволяющие с высокой степенью надежности получать данные об элементном составе образцов.

Рентгеновский микроанализ позволяет определять атомный состав материалов практически во всем интервале концентраций с точностью около 2%. Чувствительность анализа неоднородна по всему спектру элементов

2. Эксперимент

.1 Подготовка образца

В качестве объекта исследования был выбран сплав: Bi-92% Gd-3% Sb-5%.

Для того чтобы провести рентгеноспектральный микроанализ в электронном микроскопе, образец требовалось подготовить: придать ему правильную форму и очистить его поверхность от продуктов обработки, пыли и т.д.

Для изменения формы объекта было решено использовать метод электроискровой резки т.к. он является наиболее точным из всех слабо загрязняющих методов.

Процесс подготовки к резке заключался в том, что образец припаивался к держателю.

После чего помещался в аппарат для электроискровой резки где через фиксированные расстояния(3-5 мм в зависимости от нужного участка) происходило разрезание объекта.

После нарезания образцов на их поверхности образуется гидроксид-ион. Поэтому, прежде чем переходить непосредственно к рентгеноструктурному микроанализу, необходимо очистить поверхность образца.

Для осуществления очистки поверхности необходимо применить метод химического травления, заключающегося, для данного случая, в следующем.

Берутся две очищенные, стеклянные емкости, в одной из которых находится дистиллированная вода (H2O), а в другой концентрированная азотная кислота (HNO3). Обе емкости помещались на электроплиту, где подвергались нагреву до 40 0С. После приобретения необходимой температуры нарезанные части образца помещались, с помощью пинцета, в емкость с концентрированной азотной кислотой и в течении 3-5 секунд поверхность образца полностью очищалась от гидроксид-иона. Для избегания полного растворения образца он помещался в емкость с дистиллированной водой. После его промывки объект помещался в специальную емкость для его хранения.

.2 Эксперимент

Для проведения рентгеноструктурного микроанализа применяется электронный микроскоп растрового типа EVO-40 фирмы Zeiss. Однако для большей достоверности данных в EVO-40 встроены также датчики первичных, вторичных электронов, а также Оже-электронов и флуоресценции объектов. Для его управления используются три компьютера. Один из них отвечает за управление подвижными деталями, а так же за хранения информации и за создание и формирование электронных зондов(проникающую способность, сечение). Следующие два отвечают за снятие показаний с датчиков и за их обработку с последующей отправкой на жесткий диск первого компьютера. Для установки положения предметного столика используется специальный джойстик. При проведении эксперимента используется следующее. Объект исследования кладется на предметный столик и помещается в камеру образца после чего камера закрывается. Начинается процесс откачки воздуха т.к. даже малейшие примеси способны оказать сильное негативное влияние на результат. После того как достигнут вакуум необходимо настроить нужное положение образца. Это достигается с помощью пульта управления, результат своих манипуляций можно наблюдать на мониторе в реальном и схематичном режиме. После достижения нужного положения нужно выбрать элемент образца, на котором и будет испускаться электронный зонд. Четкость снимаемого изображения настраивается с помощью ручек настройки апертуры. Выбор производится с самого чисто места образца. Можно активировать электронную пушку для начала испускания электронов. Как только все это будет, начнется сбор данных и по рентгеновским спектрам излученным исследуемым объектом начнет составляться спектрограмма по которой и определятся элементы сплава их концентрация в элементе. По результатам исследования были получены следующие данные. По которым можно определить полный состав исследуемого сплава.

Экспериментальные данные

Участок: BiSbGd#1 30kV 0.4nA 25K

Вероятно пропущен пик: 27.950 keV

Количество итераций = 3

Эталон:SiO2 1-июн-1999 12:00 AM

F MgF2 1-июн-1999 12:00 AMSb 1-июн-1999 12:00 AMBi 1-июн-1999 12:00 AMThO2 1-июн-1999 12:00 AM

Таблица 1

Элемент

Весовой %

Атомный %

O K

2.43

20.52

F K

2.35

16.66

Sb L

3.01

3.34

Bi L

92.01

59.37

Th M

0.20

0.11

Итоги

100.00



Исходя из остальных данных очевидно, что на поверхности образца скопились примеси из атмосферы, об этом можно судить по наличию кислорода на поверхности образца. Так же необходимо включить возможную загрязненность камеры частицами тория (Th), нахождение которого в сплаве полностью исключено. В связи с этим возникла необходимость проверки других участки образца для формирования полного представления о его составе.

Вероятно пропущен пик: 25.700 keV

Количество итераций = 3

Эталон:

O SiO2 1-июн-1999 12:00 AM

F MgF2 1-июн-1999 12:00 AMSb 1-июн-1999 12:00 AMGdF3 1-июн-1999 12:00 AMBi 1-июн-1999 12:00 AM

Таблица 2

Элемент

Весовой %

Атомный %

O K

6.60

41.83

F K

1.86

9.93

Rb K

4.94

5.86

Sb L

0.97

0.81

0.03

0.02

Bi L

85.57

41.54

Th M

0.05

0.02

Итоги

100.00



По полученным данным можно сказать, что влияние атмосферы усилилось значительно, возможно из за не полного вакуумирования т.к. концентрация кислорода (О) значительно выросла. При этом удалось обнаружить основные примеси в образце т.е. Висмут (Bi), Сурьму (Sb), Гадолиний (Gd). Однако, они обнаружены с некоторой погрешностью, это связанно с большой толщиной измеряемого образца т.к. чем больше толщина объекта тем шире область генерации.

Вероятно пропущены пики: 0.256, 27.450 keV

Количество итераций = 3

Эталон:SiO2 1-июн-1999 12:00 AM

F MgF2 1-июн-1999 12:00 AMBi 1-июн-1999 12:00 AMThO2 1-июн-1999 12:00 AM

Таблица 3

Элемент

Весовой %

Атомный %

O K

5.48

37.01

F K

2.00

11.37

Rb K

5.08

6.41

Bi L

87.44

45.20

Th M

0.01

0.00

Итоги

100.00



Эти данные показали, что этот участок как и первый не имеет примесей гадолиния (Gd) и сурьмы (Sb) на поверхности, а следовательно данный образец имеет не равномерное распределение примесей.

Полученные выше результаты показываю, что метод рентгеноспектрального микроанализа не пригоден для исследования образцов произвольной толщины. Однако, проведя повторные измерения образца в тех же участках, и исключая загрязненность камеры образца, а также схожесть спектральных линии, были получены следующие данные. Которые значительно отличаются от предыдущих.

Вероятно пропущены пики: 16.282, 27.950 keV

Количество итераций = 2

Эталон:Sb 1-июн-1999 12:00 AMGdF3 1-июн-1999 12:00 AMBi 1-июн-1999 12:00 AM

Таблица 3

Элемент

Весовой %

 Атомный %

Sb L

3.93

5.42

Gd L

-0.08

-0.08

Bi L

117.99

94.66

Итоги

121.85



С учетом полученных данных можно утверждать, что данный метод исследования довольно хорошо оценивает элементное содержание элементов в образце. Для демонстрации данного факта были проверены и остальные участки образца. Чтобы исключить случайные совпадения.

После измерений образца, используя более детальные настройки, были проведены измерения слитка состоящего из чистого гадолиния для более детальной оценки применимости метода к исследованию образцов произвольной толщины.

Пиков не пропущено

Количество итераций = 3

Эталон:Sb 1-июн-1999 12:00 AM

Gd GdF3 1-июн-1999 12:00 AMBi 1-июн-1999 12:00 AM

Таблица 4

Элемент

Весовой %

Атомный %

Sb L

1.54

2.12

Gd L

0.04

Bi L

121.85

97.84

Итоги

123.43



Вероятно пропущен пик: 23.831 keV

Количество итераций = 2

Эталон:Sb 1-июн-1999 12:00 AMGdF3 1-июн-1999 12:00 AM

Bi Bi 1-июн-1999 12:00 AM

Таблица 5

Элемент

Весовой %

Атомный%

Sb L

0.69

1.00

Gd L

0.02

0.02

Bi L

117.56

99.02

Итоги

118.24



Вероятно пропущены пики: 1.760, 13.030, 14.635, 15.734, 16.675 keV

Количество итераций = 3

Эталон:CaCO3 1-июн-1999 12:00 AM

O SiO2 1-июн-1999 12:00 AMGe 1-июн-1999 12:00 AM

Gd GdF3 1-июн-1999 12:00 AM

Таблица 6

Элемент

Весовой %

Атомный %

C K

2.78

21.56

O K

4.00

23.24

Ge K

0.06

0.07

Gd L

93.16

55.13

Итоги

100.00



Пиков не пропущено

Количество итераций = 3

Эталон:CaCO3 1-июн-1999 12:00 AM

O SiO2 1-июн-1999 12:00 AMSe 1-июн-1999 12:00 AM

Gd GdF3 1-июн-1999 12:00 AM

Таблица 7

Элемент

Весовой %

Атомный %

C K

3.23

26.30

O K

2.37

14.47

Se L

0.87

1.08

Gd L

93.53

58.15

Итоги



Вероятно пропущены пики: 1.775, 2.628 keV

Количество итераций = 3

Эталон:CaCO3 1-июн-1999 12:00 AM

O SiO2 1-июн-1999 12:00 AMSe 1-июн-1999 12:00 AM

Gd GdF3 1-июн-1999 12:00 AM

Таблица 8

Элемент

Весовой %

Атомный %

C K

5.85

35.14

O K

5.27

23.76

Se L

0.82

0.74

Gd L

88.06

40.36

Итоги

100.00



Заключение

В настоящее время метод рентгеноструктурного микроанализа является самым объемным методом: исследования пленок различных материалов и тонких объектов, а также картирования образцов. Также этот метод применяется в биологии, геологии, химии и т.д. он дает самое полное описание структуры образцов.

В процессе исследования образца методом рентгеноструктурного микроанализа с помощью электронного микроскопа EVO-40. Было выяснено, что с увеличением толщины образца, получаемые результаты становились все менее точными в результате большой области генерации излучения. Из за большого числа излученных квантов происходила интерференция части из них, которая в последствии не воспринималась приемником как. Так же большей области генерации соответствует большее рассеяние и большее поглощение рентгеновских квантов.

 результате проделанной работы были сделаны следующие выводы

1.      Метод рентгеноструктурного микроанализа дает достаточно достоверные результаты при исследовании образцов произвольной толщины.

2.      Метод рентгеноструктурного микроанализа отлично подходит для картирования объектов.

3.      Для повышения точности исследования необходимо добиваться большей: степени очистки камеры образца, градации энергии электронного зонда, разрешающей способности магнитных линз.

4.      Самой главной проблемой в рентгеноструктурном микроанализе является чувствительность датчиков. Которая не всегда соответствует необходимому уровню точности.

Список литературы

1.      Васильев В.П. Аналитическая химия. В 2 ч. М.: Высш. шк., 1989. 320, 384 с.

.        Скуг Д., Уэст Д. Основы аналитической химии. Т.1 и 2. М.: Мир, 1979. 480, 438 с.

.        Лосев Н.Ф., Смагунова А.Н. Основы рентгеноспектрального флуоресцентного анализа. М.: Химия, 1982. 206 с.

.        Миронов В. Основы сканирующей зондовой микроскопии. М: Техносфера, 2005. 144 с.

5.      В. Скотт, Г. Лав. Количественный электронно-зондовый микроанализ. М: Мир. 1989, 352 c.

.        Коникова С.Г., Сидорова А.Ф. Электронно-зондовый микроанализ. М, Мир, 1974. 352 с.

.        Павлова Л.А, Белоозерова О.Ю., Парадина Л.Ф., Суворова Л.Ф. Рентгеноспектральный электронно-зондовый микроанализ природных объектов: М; Наука, 2000,218 с.

.        Рид С. Электронно-зондовый микроанализ и растровая электронная микроскопия в геологии. М, Техносфера, 2008.232 с.

.        Криштал М., Ясников И., Полунин В.,Филатов А., Ульяненков А. Сканирующая электронная микроскопия и рентгеноспектральный микроанализ. Техносфера, 2009.208 с.

.        Верховодов П.А. Рентгеноспектральный анализ: вопросы теории и способы унификации. Наукова Думка, 1984. 159 с.

.        Коляда В.М., Зайченко А.К., Дмитреенко Р.В. Рентгеноспектральный анализ с ионным возбуждением. Атомиздат, 1978. 246.

.        Гоулдстейн Дж. Ньюбери Д., Эчлин П., Джой Д., Фиори Ч., Лифшин Ф. Растровая электронная микроскопия. Мир, 1984. 303 с.

.        Куприянова Т.А., Дицман С.А. Использование зависимости интенсивности линий от ускоряющего напряжения для определения концентраций в рентгеновском микроанализе. Заводск, 1970, 1342 с.

Похожие работы на - Измерение состава сплава висмут-сурьма по длине слитка после направленной кристаллизации методом энергодисперсионного зондирования электронным пучком

 

Не нашли материал для своей работы?
Поможем написать уникальную работу
Без плагиата!
Без нейросетей!