Разработка блока вывода информации
ВВЕДЕНИЕ
Целью данного проекта является разработка блока вывода информации. В
данном проекте происходит расчет печатной платы с учетом всех ГОСТов, условий
эксплуатаций, среды эксплуатации и т.п.
В ходе курсового проектирования решаются следующие задачи:
Проводится анализ технического задания.
Анализируется схема электрическая принципиальная.
Обосновывается элементная база и материалы проектируемого изделия.
Производятся расчеты, подтверждающие работоспособность устройства.
Производится анализ действия дестабилизирующих факторов.
Курсовой проект содержит 10 таблиц, 26 формул, 7 рисунков, в приложении
приведены:
• спецификация на разработанный функциональный узел;
• сборочный чертеж ФУ (печатной платы с элементами);
• сборочный чертеж изделия;
• схема электрическая принципиальная;
• перечень элементов схемы электрической принципиальной;
• чертеж печатной платы (как детали).
1
РАЗРАБОТКА И АНАЛИЗ ТЕХНИЧЕСКОГО ЗАДАНИЯ
1.1 Основание
для разработки
Основанием для разработки является программа курса для ВУЗов,
утвержденная Министерством образования Республики Беларусь. Тематическая
карточка на разработку не предусматривается.
1.2 Цель и
назначение разработки
Цель - спроектировать функциональный узел (ФУ) РЭС на корпусных
интегральных микросхемах и разработать на него конструкторскую документацию.
Для достижения цели необходимо изучить основные правила построения
электрических схем с использованием корпусных интегральных микросхем,
составления перечня элементов электрической принципиальной схемы, разработки печатной
платы и выполнения её чертежа, разработки сборочного чертежа ФУ и составления
спецификации на сборочную единицу (ФУ). Комплект должен включать:
• расчетно-пояснительную записку;
• спецификацию на разработанный функциональный узел;
• сборочный чертеж ФУ (печатной платы с элементами);
• сборочный чертеж изделия;
• схему электрическую принципиальную;
• перечень элементов схемы электрической принципиальной;
• чертеж печатной платы (как детали).
1.3 Источники
разработки
Источниками разработки является схема электрическая принципиальная блока
вывода информации (БВИ).
1.4
Технические требования
1.4.1 Состав
изделия и требования к конструктивному исполнению устройства
БВИ должен изготавливаться в соответствии с требованиями
ГОСТов, соответствовать требованиям настоящего ТЗ, ТУ и комплекта
конструкторской документации.
Принцип построения БВИ должен обеспечивать:
взаимозаменяемость сменных одноименных составных частей;
ремонтопригодность.
По внешнему виду блок должен соответствовать утвержденному образцу.
Конструкция БВИ должна обеспечивать:
удобство эксплуатации;
возможность ремонта;
доступ ко всем элементам и узлам, требующим замены в процессе
эксплуатации.
БВИ должен быть работоспособным при электропитании от однофазной сети
переменного тока нормальным напряжением 4-5 В и частотой переменного тока 50Гц,
при этом нормы качества электрической энергии при электропитании от
государственной энергетической системы - по ГОСТ 1309-67.
По устойчивости к воздействию температуры и влажности окружающей среды
блок должен соответствовать климатическому исполнению к категории размещения У2
по ГОСТ 15150-69. Поэтому по ГОСТ 23752-79 выбирают группу жесткости,
определяющую соответствующие требования к конструкции ПП, к используемому
материалу, необходимости применения дополнительной защиты от внешних
воздействий (табл. 1.1).
Таблица 1.1
Группы жесткости печатных плат
|
Воздействующий фактор
|
Группа жесткости
|
|
1
|
2
|
3
|
4
|
|
Температура окр. среды, °С
|
-25…+25
|
-40…+85
|
-60…+100
|
-60…+120
|
|
Относ. влажность, %
|
75
|
93
|
98
|
98
|
|
Давление кПа, (мм.рт.ст.)
|
101 (760)
|
53,6 (400)
|
53,6 (400)
|
0,67 (5)
|
Класс точности выбирается в соответствии с рекомендациями
ОСТ4.010.022-85. ГОСТ 23751-86 устанавливает пять классов точности ПП, каждый
из которых характеризуется наименьшими номинальными значениями основных
параметров для узкого места - это участок ПП, на который элементы печатного
проводящего рисунка и расстояние между ними могут быть выполнены только с
минимальными допустимыми значениями (табл. 1.2).
Таблица 1.2
Наименьшее номинальное значение основных параметров для классов точности
ПП
|
Условное обозначение
|
Номинальное значение
основных размеров для класса точности
|
|
1
|
2
|
3
|
4
|
5
|
|
t, мм
|
0,75
|
0,45
|
0,25
|
0.15
|
0,10
|
|
S, мм
|
0,75
|
0,45
|
0,25
|
0,15
|
0.10
|
|
b, мм
|
0,30
|
0,20
|
0,10
|
0,05
|
0,025
|
|
γ*
|
0,40
|
0,40
|
0,33
|
0,25
|
0,20
|
Примечание. t - наименьшая
номинальная ширина проводника; S -
наименьшее номинальное расстояние между проводниками; b - минимально допустимая ширина контактной площадки; γ
- отношение номинального
значения диаметра наименьшего из металлизированных отверстий к толщине ПП.
Для антикоррозийной защиты применять гальванические и лакокрасочные
покрытия.
1.4.2 Требования
к надежности
БВИ по обеспечению надежности должен удовлетворять требованиям ГОСТ
27.003-90 и должен выдерживать воздействия внешних механических и климатических
факторов в соответствии с ГОСТ 3940-81 и ГОСТ 30241.1
2
КОНСТРУКТИВНЫЙ АНАЛИЗ СХЕМЫ ЭЛЕКТРИЧЕСКОЙ ПРИНЦПАЛЬОЙ
2.1 Уяснение
назначения и функционирования схемы
Схема электрическая принципиальная разрабатываемого БВИ приведена в
приложении. БВИ строится на 19 микросхемах (DD1-DD19) по заданию
необходимо использовать корпус типа 4 по ГОСТ 17467-88, поэтому выбираем
микросхемы серии К176 - транзистор-транзисторной логики. Питание схемы
осуществляется от стабилизированного источника питания с выходным напряжением
+5В относительно общей шины.
2.2 Сопоставление
условий эксплуатации и технических условий на использование элементной базы
Изделия должны сохранять свои параметры в пределах норм, установленных
техническими заданиями, стандартами или техническими условиями в течение сроков
службы и сроков сохраняемости, указанных в техническом задании после или в
процессе воздействия климатических факторов, значения которых установлены ГОСТ
15150-69.
Изделия предназначают для эксплуатации в нескольких макроклиматических
районах и изготавливают в различных климатических исполнениях.
Проведем сравнительную оценку заданных условий эксплуатации и допустимых
эксплуатационных параметров радиоэлементов, использованных в данном БВИ.
Из справочной литературы [3] имеем следующие данные об условиях
эксплуатации интегральных микросхем серии К176 и К155:
Эксплуатационные показатели:
вибрация:
диапазон частот, Гц 1…600
ускорение, g 5
многократные удары:
ускорение, g 75
однократный удар:
ускорение, g -
линейная нагрузка с ускорением,g 25
атмосферное давление, Па:
пониженное 0,67∙102
повышенное 3∙105
температура, оС -10…+70
относительная влажность
при 40 оС, % 40
иней, роса устойчивы
Показатели надежности:
минимальная наработка, ч 100000
срок сохраняемости, лет 25
Нормальные значения климатических факторов внешней среды при эксплуатации
изделий принимают равными значениям ГОСТ15150-69 таблица 2.1
Таблица 2.1- Значения температуры окружающего воздуха
|
Исполнение изделий
|
Категория изделий
|
Значение температуры
воздуха при эксплуатации, 0С
|
|
|
Рабочее
|
Предельное рабочее
|
|
|
верхнее
|
нижнее
|
верхнее
|
нижнее
|
|
У
|
1;1.1;2;2.1;3
|
+40
|
-45*
|
+45
|
-50*
|
|
3.1
|
+40
|
-10**
|
+45
|
-10**
|
|
5;5.1
|
+35
|
-5
|
+35
|
-5
|
* Для изделий, которые по условиям эксплуатации могут иметь перерывы в
работе при эпизодически появляющихся температурах ниже минус 40°С, нижнее
рабочее значение температуры допускается в технически обоснованных случаях
принимать равным минус 40°С. Для исполнения ТУ нижнее рабочее значение
температуры принимают равным минус 25°С, нижнее предельное рабочее значение
температуры - минус 30°С.
**Для эксплуатации в нерабочем состоянии (для эксплуатационного хранения
и транспортирования) значение принимают таким же, как для категории 3, а для
вида климатического исполнения В4 - как для вида исполнения ОМ3.
Значит элементы схемы пригодны для эксплуатации в условиях У 1.1.
3
ВЫБОР И ОБОСНОВАНИЕ ЭЛЕКТРОРАДИОЭЛЕМЕНТОВ И МАТЕРИАЛОВ КОНСТРУКЦИИ
3.1 Выбор
и обоснование элементной базы
Выбор элементной базы проводится на основе схемы электрической
принципиальной с учетом требований, изложенных в техническом задании.
Эксплуатационная надежность элементной базы во многом определяется правильным
выбором типа элементов при проектировании и использовании в режимах, не
превышающие допустимые. Следует отметить, что ниже рассматриваются допустимые
режимы работы и налагаемые при этом ограничения в зависимости от воздействующих
факторов лишь с точки зрения устойчивой работы самих элементов, не касаясь
схемотехники и влияния параметров описываемых элементов на другие элементы.
Влияние ЭДС, шумов, коэффициентов нелинейности, паразитных емкости и
индуктивности и др., должны учитываться дополнительно исходя из конкретных
условий применения.
Для правильного типа элементов необходимо на основе требований к
установке в части климатических, механических и др. воздействий
проанализировать условия работы каждого элемента и определить:
эксплуатационные факторы (интервал рабочих температур, относительную
влажность окружающей среды, атмосферное давление, механические нагрузки и др.);
значения параметров и их допустимые изменения в процессе эксплуатации
(номинальное значение, допуск, сопротивление изоляции, шумы, вид функциональной
характеристики и др.);
допустимые режимы и рабочие электрические нагрузки (мощность, напряжение,
частота, параметры импульсного режима и т. д.);
показатели надежности, долговечности и сохраняемости.
Критерием выбора электрорадиоэлементов (ЭРЭ) в любом радиоэлектронном
устройстве является соответствие технологических и эксплуатационных
характеристик ЭРЭ заданным условиям работы и эксплуатации.
Основными параметрами при выборе ЭРЭ являются:
а) технические параметры:
номинальное значение параметров ЭРЭ согласно принципиальной электрической
схеме устройства;
допустимое рабочее напряжение ЭРЭ;
допустимое рассеивание мощности ЭРЭ;
диапазон рабочих частот ЭРЭ;
коэффициент электрической нагрузки ЭРЭ.
б) эксплуатационные параметры:
диапазон рабочих температур;
относительная влажность воздуха;
давление окружающей среды;
вибрационные нагрузки;
другие (специальные) показатели.
Дополнительными критериями при выборе ЭРЭ являются:
унификация ЭРЭ;
масса и габариты ЭРЭ;
наименьшая стоимость;
надежность.
Выбор элементной базы по вышеназванным критериям позволяет обеспечить
надежную работу изделия. Применение принципов стандартизации и унификации при
выборе ЭРЭ, а также конструировании изделия позволяет получить следующие
преимущества:
значительно сократить сроки и стоимость проектирования;
сократить на предприятии-изготовителе применяемость и масштаб производства;
исключить разработку специальной оснастки и специального оборудования для
каждого нового варианта РЭА, т.е. упростить подготовку производства;
создать специализированное производство стандартных и унифицированных
сборочных единиц для централизованного обеспечения предприятий;
улучшить эксплуатационную и производственную технологичность;
снизить себестоимость изделия.
Учитывая вышесказанное, перейдем к выбору элементной базы
разрабатываемого БВИ.
В схеме применены:
микросхемы;
В дальнейшем выбранные ЭРЭ будут полностью удовлетворять условиям
эксплуатации РЭА.
3.2 Выбор
материалов печатной платы
Материал для ПП выбирают по ГОСТ 23751 - 86 или ТУ. Материалы,
рекомендуемые для изготовления ПП, приведены в табл. 3.1. Основные параметры
наиболее употребительных материалов сведены в табл.3.2
Таблица 3.1
|
Марка материала
|
Толщина фольги, мкм
|
Толщина материала с
фольгой, мм
|
Область применения
|
|
1
|
2
|
3
|
4
|
|
СФ-1-35, СФ-2- 35
|
35
|
0,8; 1,0; 1,5; 2,0; 2,5;
3,0
|
Одно-, двусторонние платы с
гальваническим соединением слоев
|
|
СФ-1Н-50, СФ-2H-50
|
50
|
0,8; 1,0; 1,5; 2,0;
|
Тоже
|
|
|
2,5; 3,0;
|
|
|
СФПН-1-50,
|
|
0,5; 1,0; 1,5; 2,0;
|
Одно-, двусторонние платы с
повышенной нагревостойкостью МПП и гибкие ПП
|
|
СФПН-1-50
|
50
|
2,5; 3,0;
|
|
|
ФТС-1
|
20
|
0,8; 0,15; 0,18; 0,27;
|
|
|
ФТС-2
|
35
|
0,5 0,1; 0,12; 0,19; 0,23;
0,5
|
|
|
ФДМ-1, ФДМ-2
|
35
|
0,25; 0,35
|
Гибкие ПП
|
|
СТФ-1-2ЛК
|
-
|
1;1,5
|
Одно-, двусторонние ПП
|
|
СТП-3. СТП-0,25
|
-
|
0,025; 0,06
|
Прокладки для МПП
|
Таблица 3.2
|
Параметр
|
Материал основания ПП
|
|
ГФ
|
СФ
|
ФДМЭ
|
|
Предел прочности при
растяжении, кг/см2 не более
|
80
|
200
|
-
|
|
Предельно допустимое
напряжение на изгиб, кгс/ см2
|
800...1400
|
2300
|
-
|
|
Плотность, г/ см3
|
1.3...1,4
|
1,6... 1,85
|
-
|
|
Водопоглощаемость, %, не
более
|
5
|
3
|
-
|
|
Удельное электрическое
объемное сопротивление, Ом*см
|
109
|
1012
|
109
|
|
Тангенс угла диэлектрических
потерь на частоте 1 МГц
|
0,038...0,045
|
0,025
|
0,025
|
|
Относительная
диэлектрическая проницаемость на частоте 1МГц
|
7
|
6
|
5
|
|
Прочность сцепления
печатных проводников с основанием платы при отрыве, Н/ мм , не менее
|
1Д..2
|
2...3,5
|
2,5...4,0
|
|
Пробивное напряжение в
направлении, перпендикулярном к поверхности платы, кВ/ мм, не менее
|
20
|
25
|
25
|
|
Рабочие температуры, °С
|
-60...+85
|
-60... +120
|
-60... +100
|
3.3 Выбор
и обоснование методов изготовления печатной платы
Метод изготовления печатной платы выбран на основании ОСТ 4 ГО 054. 043 и
ОСТ 4 ГО 054. 058. В соответствии с ними существуют следующие методы:
комбинированный (позитивный и негативный), химический, металлизация сквозных
отверстий для изготовления многослойных печатных плат.
Исходя из особенностей электрической схемы, элементной базы
разрабатываемого устройства и конструктивных характеристик печатных плат,
изготавливаемых различными методами, выбираем комбинированный позитивный метод
изготовления печатных плат.
При разработке печатной платы следует учитывать следующие рекомендации:
питающие проводники и «земля» должны иметь минимальное сопротивление и
длину;
«сигнальные» проводники должны иметь минимальные участки, где они
проходят параллельно;
размещение проводников на разных сторонах печатной платы желательно
перпендикулярно или под углом 45˚.
Особые требования при разработке печатных плат предъявляются к контактным
площадкам и ширине проводников. Печатные проводники рекомендуется выполнять
одинаковой ширины по нормам для свободного места на всем их протяжении. Сужать
проводники до минимального значения следует только в узком месте на возможно
меньшей длине. Проводники шириной более 5 мм, расположенные со стороны пайки и
на внутренних слоях МПП, выполняют в соответствии с рекомендациями для конструирования
экрана (ГОСТ 25751 - 83). При компоновке печатного монтажа проводники следует
располагать равномерно по полной площади ПП с учетом следующих требований:
параллельно линии координатной сетки или под углом, кратным 15°;
как можно более короткими;
параллельно направлению движения волны припоя или под углом к нему не
более 30° со стороны пайки, если проводящий рисунок не покрывают защитной
маской;
во взаимно перпендикулярных направлениях на соседних проводящих слоях ПП;
перпендикулярно касательной к контуру контактной площадки.
В целях уменьшения сложности проводящего рисунка допускается применение
перемычек в количестве не более 5% от общего числа печатных проводников. Экраны
выполняют в одной плоскости с проводящим рисунком или как самостоятельно
проводящие слои. Все экраны выполняют с вырезами. Площадь вырезов должна быть
не менее 50% общей площади экрана. Форма вырезов произвольная, определяется
конструктором. Металлизированные отверстия должны иметь контактные площадки с
двух сторон ПП. На внутренних слоях МПП контактные площадки должны быть у тех
отверстий, которые связаны электрически с проводящим рисунком данного слоя.
Неметаллизированные монтажные отверстия следует располагать в зоне контактной
площадки. Контактные площадки могут иметь произвольную форму, предпочтительной
является круглая. Контактная площадка, предназначенная под установку первого
вывода многовыводного элемента, должна иметь форму, отличную от остальных.
Контактные площадки на проводниках и экранах рекомендуется выполнять в соответствии
с рис. 3.1.
Рисунок 3.1 - Вид контактных площадок
Контактные площадки для автоматического контроля и диагностики следует
выполнить круглой формы диаметром не менее 2 мм и располагать в узлах
координатной сетки с шагом 2,5 мм в свободных местах в шахматном порядке так,
чтобы расстояние между центрами контактных площадок, лежащих на одной линии, и
координатной сетки было кратно 5, а расстояние между центрами контактных
площадок, лежащих на соседних линиях координатной сетки, равно 2,5.
4
ВЫБОР И ОБСЛУЖИВАНИЕ КОМПОНОВОЧНОЙ
СХЕМЫ,
МЕТОДОВ И ПРИНЦИПОВ КОНСТРУИРОВАНИЯ
Основная компоновочная схема изделия определяет многие важнейшие
характеристики РЭС: габариты, вес, объем монтажных соединений, способы защиты
от полей, температуры, механических воздействий, ремонтопригодность.
Различают три основные компоновочные схемы РЭС:
централизованная;
децентрализованная;
централизованная с автономными пультами управления.
При централизованной компоновке все элементы сложной системы
располагаются в одном отсеке на специальных этажерочных конструкциях или
шкафах, длина и количество межблочных соединений сведены к минимуму, ремонт и
демонтаж наиболее удобны, легче выполнить качественные системы охлаждения и
амортизации. Такая компоновочная схема требует более тщательной экранировки,
вызывает затрудненность компоновки изделия, часто требующей доработки его,
обладает относительно меньшей надежностью систем охлаждения, герметизации,
виброзащиты.
Децентрализованная компоновочная схема обеспечивает относительно большую
легкость размещения элементов изделия на объекте, не требуется тщательная
экранировка блоков, при соответствующих схемных решениях может быть более
надежной, сохраняя частичную работоспособность при выходе из строя отдельных
элементов изделия. Недостатком является значительная длина межблочных
соединений, затруднен полный демонтаж системы, для каждого отдельного блока
необходимо предусматривать автономные системы охлаждения, виброзащиты.
Наиболее распространен способ централизованной компоновки, при котором
все элементы сложной РЭС, кроме входных и управляющих устройств, располагают в
одном участке или отсеке блока. Однако внутри этого отсека компоновка
выполняется в виде совокупности отдельных блоков и приборов.
6
КОНСТРУКТИВНЫЕ РАСЧЕТЫ
6.1 Расчет
компоновочных параметров
Основная задача, решаемая при компоновке РЭА,- это выбор форм, основных
геометрических размеров, ориентировочное определение веса изделия и
месторасположения в пространстве радиоэлементов и элементов несущих
конструкций. При компоновке изделия необходимо учитывать электрические,
магнитные, механические, тепловые и другие виды связей. Учет видов связей и
оптимальное расположение радиоэлементов в конструкции позволяют обеспечить
надежную работу устройства в целом при высокой его ремонтопригодности.
Конструктивно-технологический расчет ПП производится с учетом
производственных погрешностей рисунка проводящих элементов, фотошаблонов,
базирования, сверления и т.д.
Нормы на конструирование ПП устанавливаются ГОСТ 2.417 - 91, ГОСТ 10317 -
79, ГОСТ 23751 - 86, ГОСТ 22318 - 77. Координатная сетка в декартовой системе
координат имеет шаг 2,5; 1,25; 0,5 мм. Большую сторону ПП ориентируют по оси X.
Диаметры монтажных и переходных отверстий должны соответствовать ГОСТ 10317
- 79*. Предпочтительные размеры монтажных отверстий выбирают из ряда 0,7; 0,9;
1,1; 1,5 мм, а переходных отверстий из ряда 0,7; 0,9; 1,1 мм. Предельные
отклонения диаметров монтажных и переходных отверстий ( в миллиметрах) в
соответствии с ГОСТ 25751 - 83 приведены в табл. 5.1.
Таблица 5.1
|
Диаметр отверстия
|
Наличие металлизации
|
Класс точности
|
|
|
1
|
2
|
3
|
4
|
5
|
|
До 1,0
|
Нет
|
±0,10
|
±0,10
|
±0,05
|
±0,05
|
±0,025
|
|
Есть
|
±0,05
|
±0,05
|
+0
|
+0
|
+0
|
|
Свыше 1,0
|
Нет Есть
|
±0,15 ±0,10
|
±0,15 ±0,10
|
±0,10 ±0,05
|
±0,10 ±0,05
|
±0,10 ±0,05
|
Предельные отклонения ширины печатных проводников, площадок, экранов и
др. для узких мест указаны в табл.5.2
Предельные отклонения значения номинального расстояния между центрами
двух отверстий ПП определяют как полусумму позиционных допусков расположения
центров этих отверстий.
Таблица5.2
|
Наличие металлического
покрытия
|
Класс точности
|
|
1
|
2
|
3
|
4
|
5
|
|
Без покрытия
|
0,15
|
±0,00
|
±0,03
|
±0,03
|
±0
|
|
С покрытием
|
±0,15
|
±0,10
|
±0,05
|
±0,03
|
|
±0,20
|
±0,10
|
±0,08
|
|
|
Рассчитаем установочные площади типов и размеров элементов,
устанавливаемых на печатные платы. По заданию тип корпуса по ГОСТ17467-88
должен быть 2. Проанализировав электрическую принципиальную схему, выбираем
микросхемы 176 и 155 серии (на рис.5.1 представлен тип и размеры корпуса
выбранных микросхем)
Соединение однотипных БВИ с основными узлами РЭС (по заданию РЭС состоит
из 7 БВИ) будет осуществляться элементами электрических соединений типа ГРПМ
рис.5.2. Выбор электрического соединения обусловлен
конструктивно-технологическими и эксплуатационными требованиями, предъявляемые
к РЭС на микросхемах. Требованиям удовлетворяет ГРПМ. Данное соединение
обеспечит легкосъёмность и быстрое электрическое отсоединение.
Рисунок 5.1 - Размеры корпуса микросхем
Рисунок 5.2 - Разметка посадочного места для вилки ГРПМ 9-У на печатной
плате (предельные отклонения размеров между осями двух любых отверстий ±0,2 мм)
Выбор размеров ПП осуществляется ориентировочно. Исходными данными для
расчета являются перечень элементов и установочные размеры изделий электронной
техники (ИЭТ). Методика расчета следующая:
. Суммарная площадь, занимаемая всеми ИЭТ:
, (5.1.1)
где
Syi - значение установочной площади i-го
элемента, n - количество элементов.
Под
установочной площадью ЭРЭ понимается площадь прямоугольника (квадрата), в
которую вписывается ЭРЭ вместе с выводами и контактными площадками при
установке его на ПП.
Установочные
габариты элементов приведены в таблице 5.3
Таблица
5.3 Установочные габариты элементов
|
Вид элемента
|
Тип
|
Кол-во, шт.
|
Установочная площадь, см2
|
Масса не более, г.
|
|
Микросхема
|
К176ЛА7
|
3
|
1,5
|
1,5
|
|
микросхема
|
К155ТВ1
|
19
|
1,5
|
1,5
|
|
разъем
|
ГРПМ9-У
|
1
|
8,4
|
3
|
|
Итого
|
|
13
|
36,9
|
31,5
|
Тогда суммарная площадь, занимаемая всеми ИЭТ
SC =
.
Приблизительная площадь печатной платы с учетом способа монтажа (двусторонний):
(5.1.2)
где
kз - коэффициент заполнения платы печатной (0,3-0,8), m -
количество сторон монтажа (1, 2).
Тогда
Зная
площадь ПП, задаваясь соотношением сторон ПП, можно определить ее размеры по
ГОСТ 10317-79. Предельные отклонения на сопрягаемые размеры контура ПП должны
быть не выше 12 квалитета, а на несопрягаемые - не выше 14 квалитета по ГОСТ
25347-82.
Линейные
размеры ПП рекомендуется выбирать по ГОСТ 10317-79 и равны следующим:
длина
- 80мм;
ширина
- 80мм;
Выбор
печатного монтажа радиоэлементов в блоке обусловлен заданной программой выпуска
изделия-5000 шт/год. Печатный монтаж в этом случае является наиболее
экономически целесообразным.
При
разработке печатных плат необходимо руководствоваться следующими документами:
ГОСТ23751-86;
ГОСТ10317-79;
ОСТ4ГО.010.009;
СТБ
1014-95;
и
другие.
Исходными
данными к разработке топологии печатной платы является:
схема
электрическая принципиальная;
установочные
размеры радиоэлементов узла;
рекомендации
по разработке монтажа для выбранной серии микросхем.
Рекомендации
по разработке печатных плат:
Разводка
питающего напряжения узлов и блоков (шин «земля» и «питание») должна
проводиться проводниками с возможно более низким сопротивлением.
Низкочастотные
помехи, проникающие в систему по шинам питания, должны блокироваться с помощью
конденсатора, включенного между выводами «питание» и «земля» непосредственно у
начала проводника на печатной плате.
Информационные
линии связи рекомендуется выполнять с помощью печатного монтажа.
Проводники,
расположенные на различных сторонах платы, должны перекрещиваться под углом 900
или 450 и иметь минимальную длину.
Максимально
допустимая длина печатных параллельных проводников, расположенных на одной
стороне платы при ширине проводников от 0.5 до 5 мм, не должна превышать 30 см.
Печатную
плату указанного узла целесообразно выполнять двусторонней. Класс точности
печатной платы базового модуля выбираем второй.
Для
повышения надежности паяных соединений, отверстия в печатную плату необходимо
выполнить металлизированными. Конфигурация печатной платы прямоугольная. Шаг
координатной сетки выбран равным 2,5мм как наиболее предпочтительный. Установку
радиоэлементов на плате необходимо производить в соответствии с ГОСТ 29137-91.
6.2 Расчет
теплового режима
Расчет теплового режима РЭА заключается в определении по исходным данным
температуры нагретой зоны и температур поверхностей и теплонаружных
радиоэлементов и сравнения полученных значений с допустимыми для каждого
радиоэлемента в заданных условиях эксплуатации.
) Рассчитывается поверхность корпуса блока, м2:
Sk=2∙{L1∙L2+(L1+L2)∙L3}, (5.2.1)
где L1, L2 - горизонтальные размеры, м;
L3 -
вертикальный размер, м.
Sk=2∙{0,18∙0,345+(0,18+0,345)∙0,025}=0,15
) Определяется условная поверхность нагретой зоны:
Sз=2∙{L1∙L2+(L1+L2)∙L3∙Кз}, (5.2.2)
где Кз - коэффициент заполнения корпуса по объему.
Sз=2∙{0,18∙0,345+(0,18+0,345)∙0,025∙0,5}=0,137
) Определяется удельная мощность корпуса блока, Вт/м2:
qk=P/Sk, (5.2.3)
где Р=3 Вт- мощность, рассеиваемая в блоке.
qk=3/0,15=20
) Определяется удельная мощность нагретой зоны, Вт/м2:
qз=P/Sз (5.2.4)з=3/0,137=21,9
) Находится коэффициент Θ1 в зависимости от удельной мощности
корпуса блока:
Θ1=0,1472∙qk- 0,2962∙10-3 qk2 + 0,3127∙10-6∙ qk3 (5.2.5)
Θ1=0,1472∙20- 0,2962∙10-3 ∙202
+ 0,3127∙10-6∙203 = 2,83
) Находится коэффициент Θ2 в зависимости от удельной мощности
нагретой зоны:
Θ2=0,1390∙qз- 0,1223∙10-3 qз2 + 0,0698∙10-6∙ qз3 (5.2.6)
Θ2=0,1390∙21,9- 0,1223∙10-3
∙21,92 + 0,0698∙10-6 ∙21,93 = 2,99
)
Находится коэффициент КН1 в зависимости от давления среды вне корпуса блока
Н1=87 кПа:
КН1=0,82+(1/(0,925+4,6∙10-5∙Н1)) (5.2.7)
КН1=0,82+(1/(0,925+4,6∙10-5∙87000))= 1,023
) Находится коэффициент КН2 в зависимости от давления среды внутри
корпуса блока Н2=87 кПа:
КН2=0.8+(1/(1.25+3.8∙10-5∙Н2)) (5.2.8)
КН2=0.8+(1/(1.25+3.8∙10-5∙87000))=1,019
) Рассчитывается перегрев корпуса блока:
Θк= Θ1∙КН1 (5.2.9)
Θк= 2,83∙1,023= 2,9
) Определяется перегрев нагретой зоны:
Θ3= Θк+(Θ2-Θ1)∙КН2 (5.2.10)
Θ3= 2,9+(2,99-2,83)∙1,019= 3,06
) Определяется средний перегрев воздуха в блоке:
Θв=0,5∙(Θк+Θ3) (5.2.11)
Θв=0,5∙(2,9+3,06)= 2,98
) Определяется удельная мощность элемента:
qэл=Pэл/Sэл (5.2.12)
qэл=0,0198/0,00015=132
где Pэл=0,0198 Вт - мощность, рассеиваемая
элементом.
) Определяется перегрев поверхности элемента:
Θэл=Θ3∙(0,75+0,25∙qэл/q3) (5.2.13)
Θэл=3,06∙(0,75+0,25∙132/21,9)=6,91
) Определяется перегрев среды, окружающей элементы:
Θэс=Θв∙(0,75+0,25∙qэл/q3) (5.2.14)
Θэс=2,98∙(0,75+0,25∙132/21,9)=6,73
) Определяется температура корпуса блока, 0С:
Тк=Θк+Тс (5.2.15)
) Определяется температура нагретой зоны, 0С:
Тз=Θз+Тс (5.2.16)
) Определяется температура поверхности элемента, 0С:
Тэл=Θэл+Тс (5.2.17)
) Находится средняя температура воздуха в блоке, 0С:
Тв=Θв+Тс (5.2.18)
)
Находится температура среды, окружающей элемент, 0С:
Тэс=Θэс+Тс (5.2.19)
Рабочая среда минус 200С-плюс 400С а температуру рассчитываем по формулам
5.2.15-5.2.19. Из анализа полученных результатов заключаем, что при заданных
условиях эксплуатации разрабатываемого прибора обеспечивается нормальный
тепловой режим применяемых в нем радиоэлементов в процессе эксплуатации, т. е.
рабочие температуры не превышают предельно допустимых величин.
Таким образом, выбранная конструкция корпуса и естественного способа
охлаждения путем конвекции воздуха не нуждается в изменении и применении в ней
других способов охлаждения. Естественный способ охлаждения является наиболее
легко реализуемым и требует минимальных затрат с экономической точки зрения по
сравнению с другими способами охлаждения РЭА. Учитывая вышесказанное,
окончательно выбираем герметичный корпус для разрабатываемого изделия.
6.3 Расчет
надежности устройства.
Исходными данными для расчета являются значения интенсивностей отказов
всех радиоэлементов и элементов конструкций. Так по заданию РЭС состоит из 5
однотипных блоков, то число радиоэлементов РЭС в 5 раз больше радиоэлементов
одного блока.
Расчет надежности устройства состоит из следующих этапов:
· Определяется суммарное значение интенсивности отказов по
формуле:

, час
-1, (5.3.1)
где
n- число наименований радиоэлементов и элементов
конструкции устройства;
λi -величина
интенсивности отказа i-го радиоэлемента, элемента конструкции с учетом заданных
для него условий эксплуатации: коэффициента электрической нагрузки,
температуры, влажности и т.п.;
Ni - количество
радиоэлементов, элементов конструкции i-го наименования.
· Определяется значение величины наработки на отказ Т по
формуле:
Т=1/
(5.3.2)
· Определяется значение вероятности безотказной работы Р(t) по формуле:

(5.3.3)
где
t - заданное время безотказной работы устройства в
часах.
Расчет
выполняется для периода нормальной эксплуатации при следующих допущениях:
отказ
элементов случаен и независим;
учитываются
только независимые отказы;
имеет
место экспоненциальный закон надежности устройства.
По
формуле 5.3.1 имеем

=0,38∙10-6∙19·7=0,5054∙10-4
По
формуле 5.3.2
Т=1/0,5054∙10-4=19768
Тогда
по формуле 5.3.3
Сравнив
полученные значения с значениями ТЗ, можно сделать вывод, что данное устройство
соответствует требованиям надежности.
6.4 Расчет
виброзащищенности.
Так как создаваемый счетчик может быть отнесен к наземной РЭС, то при
транспортировке, случайных падениях и т.п. он может подвергаться динамическим
воздействиям. Изменения обобщенных параметров механических воздействий на
наземную РЭА находятся в пределах:
вибрация : (10…50)Гц, виброперегрузка nв=(1…5)g;
ударные состояния: ny= 10g, длительность τ=(5…10)мс;
линейные перегрузки: nл=(2…4)g.
Используя эти данные, проведем проверочный расчет платы счетчик на
виброустойчивость. Печатная плата должна обладать значительной усталостной
долговечностью при воздействии вибраций. Для этого необходимо, чтобы
минимальная частота собственных колебаний платы удовлетворяла условию:

, (5.4.1)
где
nв - вибрационные перегрузки в единицах g;
b - размер
короткой стороны платы, мм;

-
безразмерная постоянная, числовое значение которой зависит от значения частоты
собственных колебаний и воздействующих ускорений.
Собственную
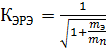
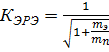
частоту платы (первую гармонику) f0 вычислим по формуле Рэлея-Ритца:
f0=104∙KM∙KЭРЭ∙В∙h∙
,
(5.4.2)
где

-
поправочный коэффициент на материал
(Ес=2,1∙1011
Па-модуль Юнга для стали, ρс=7,85
г/м3-плотность стали;
Е-модуль
упругости материала платы, ρ-плотность
материала платы);

-
поправочный коэффициент на массу
(mэ-масса
элементов, равномерно размещенных на плате; mn-масса платы);
В-частотный коэффициент; h- толщина платы, см; а-длина платы, см.
Конструктивные
параметры платы:
а=8см;
b=8см; h=0,2см;
материал:
стеклотекстолит СФ-2;
Е=33∙109
Па; ρ= 2,47 г/м3;
масса
платы mn=а∙b∙h∙ρ=8∙8∙0,2∙2,18=27,9г;
масса
ЭРЭ, размещенных на плате рассчитана в таблице 5.1.
Вычисляем
поправочные коэффициенты:

= 
=0,72

=
=0,685
Согласно
отношению
, находим
по [6] таблицы коэффициент В= 94 (методом интерполяции).
Подставив
найденные значения величин в (5.4.2), получим
f0=104∙0,685∙0,72∙94∙0,2∙
=
1448,75 Гц.
Для
проверки условия (5.4.1) выбираем значения 
=25 при nв=(3…10)
g, f0= (100…400) Гц. Тогда

=296,65
Гц.
Следовательно,
условия (5.4.1) выполняются:
fmin = 1448,75
> 296,65.
Это
значит, что плата будет обладать достаточной усталостной долговечностью при
воздействии вибрации.
7
ВЫБОР СПОСОБОВ И МЕТОДОВ ЗАЩИТЫ ОТ
ДЕСТАБИЛИЗИРУЮЩИХ
ФАКТОРОВ
8.1 Классификация
дестабилизирующих факторов
РЭС эксплуатируются в помещениях, на открытом воздухе, на различных
подвижных объектах и т. д. При эксплуатации они подвергаются воздействию
внешних и внутренних дестабилизирующих факторов (рис. 6.1).
Рис.6.1. РЭС при воздействии внешних и внутренних дестабилизирующих
факторов:
Аф - функционально обусловленное входное воздействие (входной сигнал); Ад
- внешнее дестабилизирующее воздействие; Вф - функционально обусловленный
выходной сигнал; Вп - паразитное выходное отверстие (температура, шум и т. д.);
Свн - паразитное внутреннее воздействие РЭС на его же элементы.
Классификация дестабилизирующих факторов, воздействующих на аппаратуру
при различных условиях эксплуатации и на различных объектах, представлена на
рис. 6.2.
Рис. 6.2. Классификация дестабилизирующих факторов
8.2 Механические
воздействия и способы защиты от них
Наиболее употребительной является следующая классификация механических
воздействий:
вибрации;
удары;
линейные нагрузки;
акустические шумы;
комплексные воздействия.
Вибрации в свою очередь могут быть гармоническими, негармоническими,
периодическими, случайными. Способы защиты от вибраций можно разделить на три
разновидности:
· Увеличение жесткости конструктивных элементов
· Применение демпфирующих покрытий и слоистых конструкций
· Применение виброизоляторов
Ударные нагрузки на аппаратуру могут воздействовать не только при ее
эксплуатации на подвижных объектах, но и при транспортировании, при
погрузочно-разгрузочных работах. Для защиты рекомендуется использовать системы
виброизоляции.
Линейные нагрузки возникают при разгоне и торможении транспортных
средств, изменении направлении движения. Защита сводится к увеличению прочных
свойств конструктивных элементов и их жесткости.
Акустические шумы возникают при работе мощных двигателей (особенно
реактивных), а также из-за возникающих аэродинамических эффектов при движении
самолетов или ракет в достаточно плотных слоях атмосферы. Защита обеспечивается
конструкционным демпфированием (вибропоглащающие покрытия и слоистые
конструкции для печатных плат) и использование звукоизолирующих перегородок.
Комплексные воздействия - это комбинация из первых четырех вышеназванных.
Это, например, может быть одновременное воздействие на аппаратуру вибраций и
ударов, вибраций и линейных нагрузок и т. д. Подобные воздействия наиболее
часто встречаются в реальных условиях эксплуатации, но их и наиболее трудно
воспроизводить в лабораторных условиях при испытаниях аппаратуры. Защита также
комбинированная.
8.3 Тепловой
режим конструкций РЭС.
Тепловой режим РЭС характеризуется совокупностью температур всех его
элементов. Основные тенденции эволюции современных РЭС в микроэлектронном
исполнении:
увеличение сложности и уменьшение габаритов;
повышение требований к стабильности параметров Т.
Эти тенденции противоречивы, так как первая увеличивает напряженность
теплового режима, а для выполнения второй надо его облегчать.
В процессе производства, хранения и эксплуатации РЭС могут подвергаться
воздействию положительных и отрицательных температур, обусловленных влиянием
окружающей среды, объекта установки и тепловыделением самого РЭС. Например, на
наземных подвижных объектах диапазон изменения температуры, где могут быть
установлены РЭС -60…+600 С. Само РЭС является источником теплоты, так как его
КПД менее 100% (например, для усилителя на транзисторах 50…60%). Если эту
энергию не рассеивать в элементах конструкции или окружающем пространстве, то
повышается температура РЭС, нарушается его нормальный режим функционирования
или наступает отказ. Температура влияет на многие параметры материалов, ЭРЭ,
полупроводниковых приборов, ИМС.
Подавляющее большинство РЭС (свыше 90%) в настоящее время проектируется с
использованием воздушного охлаждения. Воздушное охлаждение может быть
естественным и принудительным (6.3).
а) б) в)
Рисунок 6.3. Способы организации воздушного охлаждения:
а - естественное воздушное охлаждение; б - естественная вентиляция;
в - принудительная вентиляция
Принудительная вентиляция может быть вытяжной (рис.6.3, в), приточной или
приточно-вытяжной. Эти разновидности вентиляции различаются местом установки
вентиляторов и их количеством.
Возможно жидкостное охлаждение, охлаждение с применением кондуктивных
теплостоков в виде теплопроводных шин, применение компаундов марок К-5, ТФК-5,
КТЭ-2,КТЭ-4. Для охлаждения отдельных теплонагруженных элементов РЭС
(микросхем, транзисторов, диодов и т.д.) наиболее простой и достаточно
эффективный способ - использование радиаторов. Для системы воздушного
охлаждения наибольшее распространение получили следующие разновидности
радиаторов: пластинчатые, ребристые, игольчато-штыревые и др.
8.4 Защита
конструкций РЭС от воздействия влаги
.4.1 Источники и пути проникновения влаги
Конструкции РЭС подвергаются воздействию влаги в процессе производства,
хранения и эксплуатации.
Источники влаги:
) окружающая среда;
) внутренняя среда гермоблоков;
) материалы конструкций;
) технологические жидкости (травители, моющие средства и др.).
Окружающая среда. Максимально возможное содержание влаги в воздухе зависит
от температуры и давления. При понижении температуры влажного воздуха ниже
уровня, соответствующего максимально возможному содержанию влаги (точке росы),
избыток влаги выпадает в виде конденсата (росы).
Внутренняя среда гермоблоков. Причины наличия влаги:
проникновение ее через микропоры из внешней среды;
невозможность полной осушки (без влагопоглотителя);
наличие влаги в материалах конструкции.
Материалы конструкции. Особо интенсивные источники влаги - полимерные
материалы (стеклотекстолит, гетинакс, клей, покрытия и т. д.). Они в процессе
производства и хранения поглощают влагу из воздуха, а при нагреве в процессе
эксплуатации выделяют ее.
Технологические жидкости - это источники влаги и загрязнений, усиливающие
действие влаги.
6.4.2 Взаимодействие влаги с материалами конструкций
Поглощение влаги обусловлено тем, что некоторые материалы имеют поры,
размеры которых значительно превышают размеры молекул влаги воды - 3∙10-10
м; полимеры - 10-9 м; керамика - 10-5 м.
С металлами влага вступает в химическое взаимодействие, вызывающее
коррозию. Действие влаги усиливается при контакте с сильно различающимися
электрохимическими потенциалами, а также в местах сварных швов. Воздействие
влаги на материалы и компоненты может привести к постепенным или внезапным отказам
РЭС.
Увлажнение органических материалов приводит к следующим эффектам:
увеличивается диэлектрическая проницаемость среды и потери (tg
δ);
уменьшаются объемное сопротивление, электрическая и механическая
прочность;
изменяются геометрические размеры и формы;
изменяются свойства смазок.
Возможные последствия:
увеличение емкости конденсаторов и уменьшение добротности контуров;
снижение пробивного напряжения диэлектриков;
нарушение паяных и сварных швов;
расслоение диэлектриков;
разрушение защитных покрытий и т. д.
.4.3 Способы влагозащиты РЭС
Средства защиты РЭС от влаги представлены на рис.6.4.3.
Монолитные оболочки составляют единое целое с защищенным узлом.
Полые оболочки не имеют контакта с защищаемыми компонентами - исключен
тепловой контакт и химическое взаимодействие оболочки и компонентов. Они более
надежны, но имеют большие габариты, массу и стоимость.
Рис. 6.4.3. Средства защиты РЭС от влаги
.4.4 Покрытия для защиты от коррозии
Для защиты от коррозии несущих корпусных узлов из металлов и сплавов
применяют монолитные металлические покрытия. Они наносятся чаще всего
гальваническим способом. Толщина покрытий - единицы - десятки микрометров.
В ряде случаев защитное покрытие для стали делают многослойным, например:
слой меди 6…10 мкм;
слой никеля 3…6 мкм (высокая твердость);
слой хрома 0,5 мкм (гидрофобность).
Различают два покрытия - катодное и анодное.
Если электродный потенциал металла покрытия более положительный, чем
основного металла, то покрытие называют катодным, а если наоборот - анодным.
Катодные покрытия защищают основной металл лишь механически, изолируя его от
внешней среды, а анодные - и электрохимическими. Продукты разрушения заполняют
поры, и процесс разрушения замедляется.
Таблица 6.4
Электрохимические потенциалы металлов (для водной среды)
|
1
|
2
|
|
Металл
|
Электрохимический
потенциал, мВ
|
|
Серебро
|
+194
|
|
Медь
|
+140
|
|
Никель
|
+118
|
|
Алюминий
|
-169
|
|
Олово
|
-175
|
|
Свинец
|
-283
|
|
Сталь
|
-350
|
|
Кадмий
|
-574
|
|
Цинк
|
-823
|
В конструкторской документации на изделие указывается материал покрытия,
его толщина, последовательность нанесения слоев. Например,
медно-никелево-хромовое покрытие, служащее защитой от коррозии и декоративной
отделкой, обозначается М24Н12Х (толщина меди 24мкм, никеля - 12 мкм, хрома - до
1 мкм).
Металлические несущие конструкции защищают от влаги и с помощью
лакокрасочных покрытий. Такие покрытия вследствие химической инертности
обладают лучшими антикоррозийными свойствами, чем металлические, но
механическая прочность и влагостойкость их меньше.
.4.5 Технологичность конструкции влагозащиты
Трудоемкость обеспечения влагозащиты составляет 20…40% общей трудоемкости
изготовления РЭС. Технологичность влагозащитной конструкции определяется:
выбором наиболее экономичного метода защиты для данных условий эксплуатации
и производства;
уровнем типизации и унификации выбранного конструкторского решения;
выбором материалов и способов их обработки.
Если РЭС эксплуатируется в отапливаемых помещениях (бытовая аппаратура,
ЭВМ широкого применения), то наиболее экономичной является влагозащита
компонентов и узлов с помощью полимерных монолитных оболочек при отсутствии
общей герметизации устройства.
В случае повышенных требований к герметичности компонентов,
интенсификации теплоотвода, обеспечения электромагнитного экранирования
целесообразно использовать более дорогие металлокерамические или
металлостеклянные оболочки. Корпус РЭС в этом случае может быть негерметичным.
Если в составе РЭС имеются бескорпусные компоненты (обычно это бортовые РЭС),
то изделие выполняется в виде гермоблока.
На выбор влагозащитной конструкции влияние оказывает и объем
производства. Для единичного или мелкосерийного производства могут быть выбраны
методы, не требующие дорогого оборудования и специального оснащения:
обволакивание окунанием или пульверизацией, заливка, пропитка. При массовом
производстве необходимо использовать высокопроизводительные методы: опрессовку
полимерами, обработку деталей штамповкой, прессованием, литьем под давлением.
Технологичность влагозащитной конструкции повышается при использовании
типовых конструкций, технологические процессы изготовления которых хорошо
оснащены и отработаны [5].
ВЫВОД
интегральный микросхема
печатный плата
В ходе выполнения курсового проектирования при разработке блока вывода
были учтены современные требования конструирования РЭА. Основными критериями
при разработке РЭС являлись следующие:
- обеспечение минимальных габаритов и веса;
простота и удобство в эксплуатации;
высокая ремонтопригодность;
высокая надежность;
Спроектированный прибор имеет следующие характеристики:
а) габариты:
длина 260мм;
ширина 180мм;
высота 25мм.
б) климатическое исполнение У1.1 по ГОСТ 15150-69.
ЛИТЕРАТУРА
1. Методическая
разработка по курсу «Конструирование и микроминиатюризация РЭА» для студентов
специальности «Конструирование и технология радиоэлектронных средств» заочной
формы обучения.- Ж.С.Воробьев, С.Н.Юрко и др., Минск, 1990.
. Основы
конструирования РЭА: Учеб. метод. пособие для студентов дневной и заоч. форм
обуч./ Н.И.Каленкович и др.- Мн. БГУИР, 2006.
. Проектирование
радиоэлектронных средств с использованием корпусных интегральных микросхем:
сборник заданий и справочных материалов к лабораторным работам по
конструкторским дисциплинам для студ. Радиоэлектронных спец. / Н. В. Альферович
- Минск: БГУИР, 2007г.
. Варламов
Р.Г. Компоновка РЭА. Изд. 2-е, перераб. и доп. М.: Сов. радио, 1976.
. Ненашев
А.П. Конструирование радиоэлектронных средств: Учебник для радиотехн. спец.
вузов.- М.: Высш. шк., 1990
. Токарев
М. Ф.,Тамицкий Е. Н., Фролов В. А. Механические воздействия и защита
радиоэлектронной аппаратуры. М.,1984