Проект дизельного двигателя для сельскохозяйственного трактора номинальной мощностью 70 кВт
Аннотация
В выпускной квалификационной работе в соответствии с заданием разработан
эскизный проект двигателя для сельскохозяйственного трактора номинальной
мощностью 70 кВт при частоте вращения вала 2400 мин-1 с газотурбинным наддувом.
Выполнены расчет цикла, динамический и прочностной расчеты основных
деталей, проведено уравновешивание двигателя, описаны его основные системы.
В исследовательском разделе произведен расчёт турбины и компрессора,
обоснован выбор конкретного турбокомпрессора и приведены характеристики
совместной работы двигателя и турбокомпрессора.
Abstract
conceptual design of the engine for the farm tractor
developed in the final qualifying work in accordance with the mission, with a
nominal capacity of 70 kWt a speed of 2400 min-1 with gas turbine
charging.calculation of the cycle, dynamic and strength calculations of the
basic details, held trim engine, describes its main system.work in the research
section the calculation of the turbine and compressor, the choice of a
particular turbocharger and shows the characteristics of the joint operation of
the engine and turbocharger.
Содержание
Введение
1.
Техническое задание на проектирование двигателя
1.1
Цель разработки и область применения
.2
Технические требования
2.
Расчёт цикла дизеля
2.1
Выбор исходных данных
.2
Анализ вычисленных показателей и параметров
3.
Статистический анализ выпускаемых двигателей
.
Моделирование регуляторной характеристики проектируемого дизеля.
.
Динамический расчёт
5.1
Уравновешивание двигателя
5.2
Определение наиболее нагруженного режима
.3
Удельные суммарные силы, действующие в КШМ
.
Расчёт на прочность основных деталей двигателя1
6.1
Расчёт коленчатого вала
.2
Расчёт шатуна
.3
Расчёт подшипников скольжения
.4
Расчёт шатунных болтов
.5
Расчёт цилиндро-поршневой группы
7.
Расчёт механизма газораспределения
7.1
Профилирование безударного кулачка
.2
Расчёт профиля безударного кулачка
.3
Расчёт клапанной пружины
.4
Расчёт распределительного вала
8.
Описание двигателя
.
Исследовательский раздел
9.1
Расчёт турбокомпрессора
.2
Расчёт радиально-осевой турбины
.3
Обоснование выбора турбокомпрессора
Библиографический
список
Приложения
Введение
Тенденции развития двигателестроения в настоящее время
характеризуются увеличением удельной мощности поршневых двигателей, форсированием
современных двигателей, повышение энергоэффективности при одновременном росте
требований к надежности. Работы по модернизации серийных и созданию новых
тракторов продолжаются. Для этого необходимо реализовать в производстве
комплекс мероприятий, направленных на снижение вредного воздействия на
окружающую среду в соответствии с требованиями, предъявляемыми при обязательной
сертификации тракторов. Среди задач, которые предстоит срочно решать
отечественной тракторной промышленности, на одном из первых мест находится
создание производства современных дизелей мощностью 60-100 кВт для тракторов
тягового класса 3. Задача повышения удельной мощности и крутящего момента
двигателя была актуальна всегда. Однако самое простое решение - повысить
мощность двигателя путем увеличения его рабочего объема приводит к увеличению
габаритов и массы конструкции. Количество подаваемой рабочей смеси можно
поднять за счет увеличения частоты вращения коленчатого вала (другими словами,
реализовать в цилиндрах за единицу времени большее число рабочих циклов), но
при этом возникнут серьезные проблемы, связанные с ростом сил инерции и резким
увеличением механических нагрузок на детали силового агрегата, что приведет к
снижению ресурса мотора. Наиболее действенным способом в этой ситуации является
применение газотурбинного наддува.
1. Техническое задание на проектирование двигателя
Провести кинематический и динамический расчеты кривошипно-шатунного
механизма дизеля номинальной мощности Neн = 62 кВт при частоте вращения nн = 2300 мин-1 , с коэффициентом приспособляемости μ≥1,15 , скоростным
коэффициентом Kn ≤ 0, 71.
В качестве прототипа рекомендуется выбрать Д-240 номинальной мощности Neн = 56,4 кВт; nн = 2300 мин-1; Memax=258 Н
м;
=1600 мин-1
1.1 Цель разработки и область применения
Двигатель предназначен для установки на сельскохозяйственный трактор с
улучшенными технико-экономическими показателями. Двигатель должен обеспечивать
эксплуатацию техники при рабочей температуре окружающего воздуха согласно ГОСТ
15150-88 от +40°С
до -40°С в условиях умеренного климата.
1.2 Технические требования
Основные параметры и размеры проектируемого двигателя приведены в табл.
1.
Основные параметры и размеры
|
Тип двигателя
|
Поршневой
|
|
Число тактов
|
4
|
|
Число цилиндров
|
4
|
|
Расположение цилиндров
|
Вертикально в ряд
|
|
Порядок работы цилиндров.
|
1-3-2-4
|
|
Направление вращения
коленчатого вала
|
Правое
|
|
Степень сжатия
|
16,5
|
|
Максимальная мощность, кВт
|
62
|
|
Частота вращения при
максимальной мощности, мин-1
|
2300
|
|
Минимальная частота
вращения на режиме холостого хода
|
840
|
|
Удельный эффективный расход
топлива по внешней скоростной характеристике, не более, г/(кВт×ч)
|
232
|
|
Расход масла в % от расхода
топлива без учета смены, не более
|
0,1
|
|
Пусковые качества
|
Согласно требованиям ГОСТ Р
54120-2010 от 01 сентября 2011 года №
|
|
Выделение вредных веществ
|
Двигатель должен
соответствовать требованиям ГОСТ Р 41.83-2004 (Правила ЕЭК ООН №83)
|
|
Масса незаправленного
двигателя со сцеплением, кг
|
Подлежит уточнению при разработке
|
|
Габаритные размеры
|
Габаритные, установочные и
присоединительные размеры уточняются при разработке технического проекта
|
Составные части изделия и применяемые при производстве материалы
приведены в табл. 2.
Таблица 2
Составные части изделия и применяемые материалы
|
Блок цилиндров
|
Отлит из специального
высокопрочного чугуна, что придает конструкции двигателя жесткость и
прочность
|
|
|
Гильза цилиндров
|
Мокрая
|
|
|
Головка цилиндров
|
Съемная, общая для всех
цилиндров, материал - чугун
|
|
|
Камера сгорания
|
ЦНИДИ
|
|
|
Поршни
|
Отлиты из алюминиевого
сплава.
|
|
|
Поршневые кольца
|
Два компрессионных и одно
маслосъемное. Компрессионные - высокопрочный чугун, хромовое покрытие.
Маслосъемное с расширителем - специальный серый чугун, хромовое покрытие
|
|
|
Пальцы поршневые
|
Плавающего типа, стальные
|
|
|
Шатуны
|
Стальные, двутаврового
сечения
|
|
|
Подшипник поршневой головки
шатуна
|
Бронзовая втулка
|
|
|
Подшипник кривошипной
головки шатуна
|
Тонкостенные стальные
вкладыши с антифрикционным слоем из оловянистой бронзы
|
|
|
Коленчатый вал
|
Полноопорный, стальной
|
|
Маховик
|
Чугунный, стальной зубчатый
венец
|
|
Вал распределительный
|
Пятиопорный, чугунный
|
|
Клапаны
|
Верхние, четыре клапана на
цилиндр; материал клапанов - жаропрочная сталь
|
|
Втулки направляющие
клапанов
|
Металлокерамические
|
|
Коромысла клапанов
|
Стальные
|
|
Газопроводы
|
Впускной - литой, алюминий;
выпускной - литой, чугун
|
|
Система топливоподачи
|
Принудительная
|
|
Фильтр очистки
|
Тонкой очистки с картонным
фильтрующим элементом
|
|
Воздухоочиститель
|
С сухим бумажным
фильтрующим элементом
|
|
Система смазки
|
Комбинированная, под
давлением смазываются коренные и шатунные подшипники, коромысла
|
|
Картер масляный
|
Литой, алюминиевый сплав
|
|
Насос масляный
|
Шестеренчатого типа
|
|
Фильтр масляный
|
Сменный фильтрующий элемент
|
|
Система охлаждения
|
Жидкостная, закрытая с
принудительной циркуляцией
|
|
Топливо
|
Дизельное ГОСТ Р
52368-2005
|
|
Смазки
|
Внесезонные масла SAE 5W-40
(SJ/CF ТУ 0253-016-05766528)
|
|
Охлаждающая жидкость
|
Тосол-ТС Felix, ТУ
2422-006-36732629
|
2. Расчёт цикла дизеля
.1 Выбор исходных данных
Расчёт
цикла проводится на двух режимах: номинальной мощности Ne при
номинальной частоте вращения коленчатого вала n; максимального
крутящего момента 
max при частоте вращения коленчатого вала 
.
Исходные данные для расчёта цикла дизельного двигателя приведены в табл. 1.
Сначала
проводится расчёт цикла при заданной номинальной мощности Ne
при частоте вращения n, отношению хода поршня S к диаметру
цилиндра D, длине шатуна L и величине λ=r/L
(приняв, что D=0; S=0). При этом определяется ориентировочные значения S и D.
Выбираем отношение S/D=1,136, L=230 мм, а отношение кривошипа к длине шатуна λ=r/L=0,272
(по прототипу). После их окончательного выбора S=125 мм и D=110
мм проводятся уточнённые расчёты на двух режимах.
Результаты
расчёта цикла дизельного двигателя по программе DIZ
(разработанной на кафедре) на режимах номинальном и максимального крутящего
момента приведены в табл. 1 и 2
Таблица 3
Исходные показатели и параметры для расчёта цикла дизельного двигателя
|
Параметры
|
Режим Nн
|
Режим  max
|
|
Рекомендуемый
|
Принятый
|
Рекомендуемый
|
Принятый
|
|
Давление окружающей среды
ро,МПа
|
0,1
|
0,1
|
0,1
|
0,1
|
|
Температура окружающей
среды То, К
|
298
|
298
|
298
|
298
|
|
Число цилиндров i
|
_
|
4
|
_
|
4
|
|
Степень сжатия ε
|
11-17
|
16,5
|
11-17
|
16,5
|
|
Коэффициент избытка воздуха
α
|
1,50-2,20
|
1,80
|
1,50-2,20
|
1,70
|
|
Механический КПД η
|
0,80-0,92
|
0,80
|
0,80-0,92
|
0,85
|
|
Подогрев свежего заряда ∆Т
|
0-10
|
10
|
0-10
|
14
|
|
Температура остаточных
газов Тr,К
|
600-900
|
800
|
600-900
|
800
|
|
Коэффициент сопротивления
впускной системы ξвп
|
0,80-0,90
|
0,87
|
0,82-0,92
|
0,87
|
|
Коэффициент сопротивления
выпускной системы ξвып
|
0,85-1,10
|
1,05
|
0,85-1,10
|
1,02
|
|
Коэффициент дозарядки
|
1,00-104
|
1,0
|
0,95-102
|
1,0
|
|
Коэффициент полноты
индикаторной диаграммы ϕп
|
0,90-0,95
|
0,92
|
0,92-0,95
|
0,94
|
|
Коэффициент использования
тепла в точке «z» ξz
|
0,7-0,87
|
75
|
0,7-0,87
|
0,77
|
|
Коэффициент использования
тепла в точке «в»ξв
|
0,82-0,90
|
90
|
0,82-0,95
|
0,92
|
2.2 Анализ вычисленных показателей и параметров
Для анализа полученных показателей и параметров в результате расчётов
цикла дизеля на двух режимах сведём их в табл.2 и сравним их с рекомендуемыми.
Скоростной коэффициент равен 1700/2300=0,708<0,71, номинальный коэффициент
запаса крутящего момента
µ=(319,67-280,92)/319,67=0,12<0,14.
Таблица 4
Вычисленные параметры после расчёта цикла дизельного двигателя
|
Параметры
|
Режим
|
Режим
|
|
Статистические
данные
|
Вычисленные
параметры
|
Статистические
данные
|
Вычисленные
параметры
|
|
Коэффициент
остаточных газов γост
|
0,02-0,04
|
0.037
|
0,02-0,04
|
0,035
|
|
Коэффициент
наполнения ην
|
0,8-0,98
|
0,826
|
0,8-0,98
|
0,828
|
|
Давление в
начале сжатия ра, МПа
|
0,08-0,15
|
0,139
|
0,08-0,15
|
0,135
|
|
Температура в
начале сжатия Та
|
320-400
|
388
|
320-400
|
384
|
|
Показатель
политропы сжатия n1
|
1,32-1,37
|
1,361
|
1,32-1,37
|
1,362
|
|
Давление в
конце сжатия Рс,
|
5,0-8,0
|
6,323
|
5,0-8,0
|
6,135
|
|
Температура в
конце сжатия Тс,К
|
800-1100
|
1058
|
800-1100
|
1065
|
|
Максимальная
температура сгорания Tz, К
|
1750-2300
|
2073
|
1750-2300
|
2138
|
|
Максимальное
давление цикла Pz, МПа
|
7,0-12,0
|
10,0
|
7,0-12,0
|
11,0
|
|
Показатель
политропы расширения n2
|
1,15-1,30
|
1.204
|
1,15-1,30
|
1,209
|
|
Давление в
конце расширения Рв,МПа
|
0,20-0,60
|
0,431
|
0,20-0,60
|
0,438
|
|
Температура в
конце расширения Тв, К
|
1000-1300
|
1193
|
1000-1300
|
1223
|
|
Среднее
индикаторное давление Рi,МПа
|
-
|
0,956
|
-
|
1,027
|
|
Индикаторная
мощность Ni, кВт
|
-
|
90,8
|
-
|
69,1
|
|
Удельный
индикаторный расход топливаgi,г/(кВт·ч)
|
160-217
|
185
|
160-217
|
179
|
|
Индикаторный
КПД
|
0,39-0,53
|
0,457
|
0,39-0,53
|
0,402
|
|
Среднее
эффективное давление Ре, МПа
|
0,70-1,8
|
0,765
|
0,70-1,8
|
1,026
|
|
Эффективная
мощность Ne, кВт
|
-
|
72,6
|
-
|
58,7
|
|
Удельный
эффективный расход топлива ge, г/(кВт·ч)
|
190-245
|
231
|
190-245
|
210
|
|
Эффективный КПД
ηе
|
0,35-0,45
|
0,366
|
0,35-0,45
|
0,402
|
|
Эффективный
крутящий момент Ме, Н·м
|
-
|
290
|
-
|
330
|
Таким образом, выбор параметров дизеля выбран в соответствии с заданием.
Расчётные показатели двигателя находятся в рекомендуемых диапазонах
3. Статистический анализ выпускаемых двигателей
Для сравнения эффективных показателей проектируемого двигателя (литровая
мощность, поршневая мощность, коэффициент приспособляемости, скоростной
коэффициент) с лучшими зарубежными проведем статистический анализ на основе
данных фирм, выпускающих двигатели. Выбор аналогов проводили по значениям
эффективной мощности 55 - 65,5 кВт. Методами статистической обработки определим
среднее значение, стандартное отклонение, и построим графики нормального
распределения указанных выше показателей (таблица полученных значений приведена
ниже).
|
Показатели
|
Среднее значение
|
Для проектируемого ДВС
|
|
Литровая мощность, кВт/л
|
16,31±2
|
16,63
|
|
Скорость поршня
|
9,02±2
|
8,38
|
|
Скоростной коэффициент
|
0,648±0,15
|
0,63
|
|
Коэффициент запаса
крутящего момента
|
0,179±0,05
|
0,11
|
По данным таблицы и графикам на листе 1 видно, что проектируемый
двигатель соответствует лучшим зарубежным. (Прил. 3.)
4. Моделирование регуляторной характеристики
проектируемого дизеля
Моделирование проводилось по методике А.Н.Гоца[2]. Моделирование
позволяет построить регуляторную характеристику проектируемого дизеля с
погрешностью не более 5%.
За прототип берём регуляторную характеристику двигателя, подобного
проектируемому. Переводим его РХ в безразмерные величины, по которым строим
регуляторную характеристику проектируемого дизеля.
Уравнения безразмерных величин полученных у двигателя Д-240:
Для проектируемого дизеля безразмерные величины будут иметь вид:
Для регуляторной ветви:
Для
коректорной ветви:
Для
прототипа дизеля Д-240 после перевода регуляторной характеристики в
безразмерные показатели получены следующие выражения:
Для
регуляторной ветви:
Для
коректорной ветви:
После
подстановки в левую часть полученных уравнений текущих значений
и
проектируемого
двигателя получим следующие значения РХ. (Табл.5.)
Показатели
РХ проектируемого дизеля
|
Ne
|
ε
|
n
|
Gt
|
Me
|
ge
|
|
Регуляторная
|
1
|
2550
|
3,1108
|
7,490196
|
1555,4
|
|
12
|
0,857143
|
2543
|
4,921508
|
45,06488
|
410,1257
|
|
22
|
0,714286
|
2536
|
6,760098
|
82,847
|
307,2772
|
|
32
|
0,571429
|
2526
|
8,634339
|
120,9818
|
269,8231
|
|
42
|
0,428571
|
2511
|
10,552
|
159,7372
|
251,2381
|
|
52
|
0,285714
|
2487
|
12,52085
|
199,6783
|
240,7856
|
|
62
|
0,142857
|
2451
|
14,54866
|
241,5749
|
234,6558
|
|
72
|
0
|
2400
|
16,6432
|
286,5
|
231,1556
|
|
Корректорная
|
|
72
|
0
|
2396
|
16,59473
|
286,9783
|
230,4824
|
|
69
|
-0,21429
|
2162
|
15,23568
|
304,7872
|
220,807
|
|
66
|
-0,42857
|
1993
|
14,38428
|
316,2569
|
217,9436
|
|
63
|
-0,64286
|
1867
|
13,89559
|
322,255
|
220,5649
|
|
60
|
-0,85714
|
1764
|
13,62468
|
324,8299
|
227,078
|
|
58
|
-1
|
1697
|
13,49349
|
326,3995
|
232,6464
|
Анализируя полученные данные, замечаем, что погрешность вычисления не
превосходят 3% от экспериментальных. В заключении отметим, что получено хорошее
согласие результатов расчётов с опытными наблюдениями - погрешности вычисления
показателей РХ не превышает 3%.
5. Динамический расчёт
.1 Уравновешивание двигателя
Для расчета сил инерции деталей, совершающих возвратно-поступательное и
вращательное движение с учетом вычисленных конструктивных параметров однорядного
двигателя, установим приведенные массы деталей КШМ и ЦПГ:
масса поршневой группы литой поршень из алюминиевого сплава
масса поршня mп=2,755 кг;
масса шатуна mш=2,70кг;
масса неуравновешенных частей одного колена вала без противовесов (для
стального кованого вала с полыми шатунными шейками m'к=250кг/м2)
mk=m'kFп=250*0,0095=2,375кг;
часть массы шатуна, сосредоточенная на оси поршневого пальца,
m1=0,25mш=0,25*2,7=0,675кг;
часть массы шатуна, сосредоточенная на оси шатунной шейки,
m2=0,75
mш=0,75*2,7=2,025кг;
суммарные массы, совершающие возвратно-поступательное движение,
mj=mп+m1=2,755+0,675=3,43кг;
суммарные массы, совершающие вращательное движение,
mr=mк+m2=2,375+2,025=4,40кг.
Диаметр коренной шейки,
Dк.ш.=75мм;
Рабочая длина коренной шейки,
Lраб
к.ш=25мм;
Диаметр шатунной шейки,
Dш.ш=65мм;
Рабочая длина шатунной шейки,
Lраб
ш.ш=35мм;
Приведенная масса щеки,
(mщ)r=0,75кг.
масса шатунной шейки,
mшш=((3,14*0,00432)/4)*7950*0,023=
0,873.
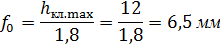
Проектируемый двигатель однорядный с кривошипами, расположенными под
углом 1800 (рис. 1). Если принять, что неуравновешенные массы кривошипа,
совершающие вращательные движения mr=mk+m2=2,375+2,025=4,40кг одинаковы, то центробежные силы Kr=mrrω2=6784,6 Н также будут одинаковы. На
рисунке показано направление этих сил. Они будут взаимно уравновешиваться, так
как кривошипы расположены под углом 180 друг относительно друга, а центробежные
силы всегда направлены от оси кривошипов. Также уравновешены моменты этих сил:
пара центробежных сил первого и второго кривошипа создает момент M1,2=Kra, направленный по ходу часовой стрелки, а третьего и
четвертого кривошипов - M3,4=Kra, направленный против хода часовой
стрелки. Таким образом, центробежные силы и их моменты взаимно уравновешены
относительно средней плоскости . Векторы M1,2 и M3,4,
оставаясь постоянными по модулю, вращаются вместе с коленчатым валом и поэтому
создают стационарный изгиб коленчатого вала кривошипов.
Рис.1 Уравновешивание четырёхцилиндрового однорядного двигателя, коленчатый
вал которого имеет кривошипы под углом 180° друг к другу с порядком работы
1-3-4-2
Для того чтобы уменьшить эту нагрузку и частично разгрузить третью
коренную шейку коленчатого вала, проводим уравновешивание центробежных сил в
пределах одного кривошипа за счет установки противовесов на продолжение всех
щек.
В пределах одного кривошипа приведенную массу противовеса (mпр)r определим из условия равенства центробежной силы Kr и центробежной силы двух
противовесов:
mrrω2=2(mпр)rrω2.
Откуда приведенная масса одного противовеса равна
(mпр)r=mr*а/l или mпр=4,4*0,71=3,124 кг.
Для уменьшения массы коленчатого вала и двигателя в целом проводим не
полное уравновешивание,а только на 70%. В итоге получаем
(mпр)r=3,124*0,7=2,190кг.
Силы инерции первого порядка для первого и четвертого кривошипов
направлены вверх и равны
P(1)j1=Ccosφ=P(4)j1=Ccos(φ+3600)=mjrω2φ=3,43*0,0625*(177,9)2*cosφ=6784,6cosφ Н.
Силы инерции первого порядка для второго и третьего кривошипа напрвлены
вниз и равны
P(2)j1=Ccos(φ+1800)=P(3)j1= Ccos(φ+1800)=-jrω2cosφ=-3,43*0,0625*(177,9)2*cosφ= -6784,6cosφ Н.
Силы будут равны по абсолютному значению, расположены симметрично
относительно плоскости, проходящей через середину вала, перпендикулярно его
оси. Поэтому сумма моментов от сил инерции первого порядка равна нулю ΣMj1=0. В данном случае уравновешивание
моментов происходит в т. О, однако в отличие от моментов центробежных сил,
плоскость действия которых расположена всегда в плоскости кривошипа, момент ΣMj1 действует всегда в плоскости
цилиндров. Для четырехцилиндровых ДВС этот момент обычно остается
неуравновешенным.
Определим силы инерции второго порядка для кривошипов:
Для первого
P(1)j2=λCcos2φ=λmjrω2cos2φ=0,272*3,43*0,0625*(177,9)2*cos2φ=1845,42cos2φ Н;
Для второго P(2)j2= λmjrω2cos2(φ+1800)= 1845,42cos2φ Н;
Для третьего P(3)j2= λmjrω2cos2(φ+1800)= 1845,42cos2φ Н;
Для четвертого P(4)j2= λmjrω2cos2(φ+3600)= 1845,42cos2φ Н.
Эти силы направлены вертикально в плоскости осей цилиндров и
складываются, а сумма их равна
ΣPj2=4λmjrω2cos2φ=4*0,272*3,43*0,0625*(177,9)2*cos2φ =7381,68cos2φ Н.
Таким образом, максимальное значение равнодействующих сил инерции второго
порядка равно ΣPj2=
7381,68 кН.
Эти силы инерции второго порядка неуравновешенны и могут быть
уравновешенны лишь с помощью механизма Ланчестера (двух дополнительных валов,
содержащих противовесы и вращающихся с удвоенной угловой скоростью). Момент от
сил инерции второго порядка вследствие симметричности вала равен нулю ΣMj2=0
5.2 Определение более нагруженного режима
По результатам динамического расчёта видно, что режим максимального
крутящего момента более нагружен, чем режим номинальной мощности. Данные
приведены в таблицах. Прил.4,5,6.
5.3 Удельные суммарные силы, действующие в КШМ
На рисунке 2 приведены силы, действующие в КШМ поршневого двигателя:
суммарная сила Ps как результат
сложения газовой Pr и инерционной Pj сил; а после разложения этой силы
получает боковую силу N,
действующие на стенки цилиндра, и силу S, действующую вдоль оси шатуна. После разложение силы S на две получаем нормальную K, действующую в плоскости кривошипа,
а также тангенциальную T,
действующую перпендикулярно этой плоскости. Тангенциальная сила T создает индикаторный крутящий момент
Мкр, передающийся потребителю. Кроме того, в КШМ действует опрокидывающий момент
Моп, равный и противоположно направленный Мкр.
Рис.2 Силы, действующие в КШМ
Обычно вычисляют и строят графики удельных сил (в МПа), действующих в
КШМ, определяемых как отношение величины силы (Н) к площади поршня Fп (м2).Это позволяет сравнивать
нагрузки для двигателей, имеющих различные значения D и S. При
выполнении курсового проекта удельные силы Ps, Pr, P, Nуд=N/Fп, Sуд=S/Fп, Kуд=K/Fп, и Tуд=T/Fп определяем по разработанной на
кафедре программе Dinn для режима
максимального крутящего момента. прил. 7,8
6. Расчёт на прочность основных деталей
двигателя
.1 Расчёт коленчатого вала двигателя
Исходные данные
Коленчатый вал полноопорный.
Материал вала - сталь 18ХНВА.
Размеры:
Коренная шейка:
наружный диаметр: dкш = 75,0 мм;
длина: lкш = 35,0 мм;
диаметр масляного отверстия: aкш = 8,0 мм.
Шатунная шейка:
наружный диаметр: dшш = 65,0 мм;
длина: lшш = 32,0 мм;
диаметр масляного отверстия: aшш= 8,0 мм;
диаметр облегчающего отверстия δшш=25мм
Расчётное сечение А-А щеки:
ширина: b = 75,5 мм;
толщина: h = 25 мм;
радиус галтели: r = 5 мм.
Механические характеристики стали 18ХНВА:
предел выносливости при симметричном цикле при изгибе =540МПа;
предел выносливости при симметричном цикле при кручении t-1 =300 МПа;
предел прочности при изгибе =1150 МПа;
предел прочности при кручении300 МПа.
Расчёт коренной шейки
По результатам динамического расчёта рассчитываем вторую коренную шейку,
как наиболее нагруженную ( имеет наибольший размах крутящего момента ∆=2057Н).
Коренная шейка рассчитывается только на кручение в двух сечениях:
сечение I-I - по прилеганию к щеке;
сечение II-II - по центру отверстия для смазки.
Сечение I-I
Максимальное и минимальное касательные напряжения:
Мкр max = 1590 Н×м; (φ=210°)
Мкр min = -467 Н×м. (φ=150°) (прил.12.)
м3
Среднее
напряжение и амплитуда напряжений:
m = ( max+ min) / 2 = ( 19,2 - 5,64 ) / 2 = 6,78 МПа;=
( max- min) / 2 = ( 19,2 + 5,64 ) / 2 = 12,42 МПа.
Запас
усталостной прочности :
nτ=nτ'/λд=9,1/1,21=7,5
где: (К)д= 3,4 - эффективный коэффициент концентрации напряжений при
кручении(r/dкш=5/75) ;
0,85- коэффициент, учитывающий состояние поверхности при кручении (тонкое
шлифование);
= 0,072 - коэффициент, учитывающий влияние постоянной составляющей цикла
напряжений на сопротивление усталости при кручении.
λТМ=1,21 -коэффициент учитывающий
количество шеек коленчатого вала.
Сечение II-II
Концентратором напряжений является отверстие для смазки.
Момент сопротивления кручению коренной шейки равен:
м3
ξкр-поправочный коэффициент, учитывающий наличие отверстия для подачи
масла( при a/dкш=8/75 берем ξкр=0,92)
Максимальное
и минимальное касательные напряжения знакопеременного цикла:
Среднее
напряжение и амплитуда напряжений:
=
( max+ min) / 2 = ( 20,9 + (-6,13) / 2 = 7,4 МПа;
Запас
усталостной прочности :
nτ=nτ' /λд=14,1/1,21=11,65
где (Кд = 2
Расчёт шатунной шейки
По результатам динамического расчёта рассчитываем вторую шатунную шейку,
как наиболее нагруженную.( имеет наибольший размах крутящего момента ∆=1897Н
)
Шатунная шейка рассчитывается на кручение и изгиб
Расчёт на кручение
Сечение I-I
Мкр max = 1524 Н×м
Мкр min = -373 Н×м (прил.13.)
Момент сопротивления кручению шатунной шейки равен:
м3,
λ=0,68-поправочный коэффициент, учитывающий эксцентриситет
облегчающего отверстия
Максимальное
и минимальное касательные напряжения знакопеременного цикла:
Среднее напряжение и амплитуда напряжений:
m = (max+ min) / 2 = (42,5- 10,32) / 2 = 16,1 МПа;= (max- min) / 2 = (42,5 + 10,32) /
2 = 26,4 МПа.
Частный запас усталостной прочности по кручению:
nτ=nτ*/λд=5,77/1,21=4,76
(Кд
= 2,5
,3
(обкатка роликами)
=
0,072
=1,21
Сечение
II-II
ξкр=0,91 (при aшш/ dшш=8/65)
Максимальное
и минимальное касательные напряжения знакопеременного цикла:
Среднее
напряжение и амплитуда напряжений:
=
( max+ min) / 2 = (46,7- 11,3) / 2 = 17,7МПа;= ( max- min)
/ 2 = (46,7 + 11,3) / 2 = 29 МПа.
Частный
запас усталостной прочности по кручению:
nτ=nτ*/λд=7,65/1,21=6,3
(Кд
= 1,96
Расчет
на изгиб
Находим
значения центробежных сил инерции действующие в кривошипе рис. 3
Kr х= mх∙r∙ω2
рис. 3. Расчетная схема кривошипа

c-1
Kr щL= Kr щP=0,75∙0,0625∙177,92=1484Н
Kr пр=3,124∙0,0625∙177,92=6179Н
Kr ш=2,7∙0,0625∙177,92=5341Н
Kr шш=0,873∙0,0625∙177,92=1726Н
Kr ш+ Kr
шш=7067Н
По
результатам динамического расчета
Тmax=25439,53H (φ=180°)
Tmin=-7478,86H (φ=120°)=32794,85H(φ=180°)=-8068,05H (φ=540°)
Определяем
реакции в опорах, составляем уравнения моментов относительно точек А и В
Уравнение
моментов относительно точки А при Кmax
ΣМА= Kr щL∙0,5(lкшL+hL)+(
Kr ш+ Kr шш)∙(0,5 lкшL+ hL+0,5
l шш)- Кmax(0,5 lкшL+ hL+0,5 l шш)+( Kr щP- Kr пр)∙(0,5 lкшL+ hL+ l
шш+0,5 hP)+RyB∙ l кр=0
Отсюда
RyB= (-Kr щL∙0,5(lкшL+hL)-(
Kr ш+ Kr шш)∙(0,5 lкшL+ hL+0,5
l шш)+Кmax(0,5 lкшL+ hL+0,5 l шш)-( Kr щP- Kr пр)∙(0,5 lкшL+ hL+ l
шш+0,5 hP))/ l кр
RyB=(-44,52-413,4195+1918,4987+408,465)/0,117=15974,6Н
Уравнение
моментов относительно точки В при Кmax
ΣМВ=( Kr щP- Kr пр)∙ 0,5(lкшP+hP)+
( Kr ш+ Kr шш)∙ (0,5 lкшP+ hP+0,5
l шш)- Кmax(0,5 lкшP+ hP+0,5 l шш)+ Kr щL∙(0,5 lкшP+ hP+ l
шш+0,5 hL)+RyA∙ l кр=0
RyA=(-( Kr щP- Kr
пр)∙ 0,5(lкшP+hP)- ( Kr ш+ Kr шш)∙ (0,5 lкшP+ hP+0,5
l шш)+ Кmax(0,5 lкшP+ hP+0,5 l шш)-Kr щL∙(0,5 lкшP+ hP+ l
шш+0,5 hL))/ l кр
RyA=(140,85-413,4195+1918,4987-129,108)/0,117=12964,3Н
Аналогично
находим реакции RyB и RyA при Кmin
RyA=-7467,2Н RyB=-4456,88Н
Уравнение
моментов относительно точки А в плоскости перпендикулярной плоскости кривошипа
при Тmax
ΣМА= Rxb∙ l кр-Тmax(0,5lкшL+hL+0,5 l шш)=0
RxB= Тmax(0,5lкшL+hL+0,5
l шш)/ l кр
RxB=25439,53∙(0,0175+0,025+0,016)/0,117=12719,8Н
RxA= RxB
При
действии Тmin
RxA= RxB=-3739.43Н
|
Реакции
|
Кmax
|
Кmin
|
Тmax
|
Тmin
|
|
RA
|
RyA=12964,3
|
RyA=-7467,2
|
RxA=12719,8
|
RxA=-3739.43
|
|
RB
|
RyB=29904,4
|
RyB=-4456,88
|
RxB=12719,8
|
RxB=-3739.43
|
Сечение I-I
=RyBmax(0,5 lкшP+
hP)- ( Kr щP- Kr пр)0,5 hP
=29904,4∙(0,016+0,025)-(1484-6179)∙0,0125=1284.77н∙м
= RyBmin(0,5 lкшP+ hP)- ( Kr щP- Kr пр)0,5 hP
=-4456,88∙(0,016+0,025)-( 1484-6179)∙0,0125=-124,04н∙м
= RxBmax(0,5 lкшP+ hP)
=12719,8∙0,041=521,5н∙м
= RxBmin(0,5 lкшP+ hP)
=-3739.43∙0,041=-153,3 н∙м
Осевой момент инерции
IX=IY=
W
Суммарный
max изгибающий момент
Мизг
max=
Мизг
min=
Максимальное
и минимальное касательные напряжения знакопеременного цикла:
Среднее
напряжение и амплитуда напряжений:
sm = (smax+ smin) / 2 = (52,6-
7,4) / 2 = 22,6МПа;
sa= (smax- smin) / 2 = (52,6 +
7,4) / 2 = 30 МПа.
Частный
запас усталостной прочности по кручению:
Общий
запас прочности в сечении I-I
Сечение
II-II
Мymax=
RxAmax(0,5 lкшL+ hL+0,5 l шш)
Мymax=12719,8∙(0,0175+0,025+0,016)=744Н
Мymin=
RxAmin(0,5 lкшL+ hL+0,5 l шш)
Мymin=-3739.43∙(0,02+0,028+0,0215)=-218,8Н
Момент
сопротивления
ξизг=0,88 (при aшш/ dшш=8/65)
Максимальное
и минимальное касательные напряжения знакопеременного цикла:
Среднее
напряжение и амплитуда напряжений:
sm = (smax+ smin) / 2 = (16,03-
4,7) / 2 = 5,67МПа;
sa= (smax- smin) / 2 = (16,03 +
4,7) / 2 = 10,37 МПа.
Частный
запас усталостной прочности по кручению:
Общий
запас прочности в сечении II-II
Расчёт
щеки
рис. 5. Расчетная схема щеки коленчатого вала
Мизг max=0,5RyBmax(lкш+hP)
Мизг max=0,5∙15974,6∙(0,035+0,025)
=479н∙м
Мизг min=0,5RyBmin(lкш+hP)
Мизг min=0,5∙(-4456,88)∙0,06=-134н∙м
Перекрытие шатунной шейки
Определим h1
Максимальное и минимальное касательные напряжения знакопеременного цикла:
Среднее
напряжение и амплитуда напряжений:
sm = (smax+ smin) / 2 = (57- 16) /
2 = 20,5МПа;
sa= (smax-smin) / 2 = (57 + 16)
/ 2 = 36,5 МПа.
Частный
запас усталостной прочности по изгибу:
От
кручения запас прочности в окрестности точки А вычислили ранее при расчете
шатунной шейки на кручение. Он равен nt=6,3
Общий
запас прочности щеки
6.2 Расчет шатуна проектируемого двигателя
Расчет
поршневой головки шатуна
Рис. 6. Расчетная схема шатунной группы
Расчетная схема шатунной группы приведена на рис. 6, а нагрузки, действующие
на поршневую головку - на рис. 7.
Рис. 7. Напряжения в поршневой головке при действии силы инерции: а -
схема нагрузки при растяжении; б - эпюры напряжений на внутреннем волокне σвj и наружном σнj при растяжении
ω=πnxx/30=260 с-1; r=
62,5 мм - радиус кривошипа; lш = 230 мм - длина шатуна;
=0,272; Dг =55 мм; d=40 мм; d1= 36 мм; δв=2 мм; L1=176 мм; a= 40 мм; hг=7,5
мм; dк= 69 мм; dшш=65 мм; mпг=2,755
кг.
Расчетная
разрывающая сила инерции при положении поршня в ВМТ равна
=2,755∙(260)2∙0,0625∙(1+0,272)=
14805,92 Н.
Максимальная
сила, сжимающая шатун при положении поршня в ВМТ вначале такта расширения
,
где
pz - максимальное давления сгорания, (из расчета цикла);
p0=0,1 МПа - атмосферное давление; Fп -
площадь поршня,
=(10-0,1)∙106∙0,095-2,755·
∙2602∙0,0625(1+0,272)=92670,11 Н.
Угол
φз определяется формулой, которая учитывает радиус
галтели Rг=77 мм, ширину стержня шатуна Hmin=40
мм и наружный диаметр верхней головки Dг=55 мм:
.
Определим
изгибающий момент M0 и продольную силу N0 в центральном
сечении I-I (см. рис. 7):
где
=130° - угол заделки в градусах; rср -
средний радиус поршневой головки rср =(Dг +d)/4= (0,055+0,040)/4 =0,0238 м.
Отсюда
M0 = 14805,92
·0,0238(0,00033·130-0,0297)=4,65Н·м;
N0 = 14805,92
(0,572-0,0008·130)= 6929,19 Н.
Величины
изгибающего момента и поперечной силы в заделке (см. рис. 7, сечение
ограниченное углом φз), определяется по формуле:
з=4,65+6929,19·0,0238(1+0,6428)-0,5·14805,92
·0,0238 (0,7660+0,6428)=27,35Н·м
Nз= -6929,19∙0,6428
+0,5·14805,92 (0,7660+0,6428)= 5975,21 Н.
Рис. 8. Распределение нагрузки и эпюры напряжений при действии сжимающей
силы
При действии сжимающей силы изгибающий момент M0 и продольная сила N0 в центральном сечении I-I (рис.7) равны:
(5)
где
функции f1(φз) и f2(φз) определяются по табл. 4.
Таблица
4
Значение
функций f1(φз) и f2(φз)
|
Функции
|
Угол заделки φз
|
|
100
|
105
|
110
|
115
|
120
|
125
|
130
|
|
f1(φз)
|
0,0001
|
0,0005
|
0,0009
|
0,0018
|
0,0030
|
0,0050
|
0,0085
|
|
f2(φз)
|
0
|
0,00010
|
0,00025
|
0,00060
|
0,00110
|
0,00180
|
0,00300
|
=92670,11∙0,0085
=787,70 Н;
=-92670,11∙0,0238∙0,003=-6,62
Н·м.
Изгибающие
моменты и продольные силы для любого сечения на участке1 (0 < φ ≤ 90°) определяются выражениями:
На
участке 2 (90° ≤
φ ≤ φз)
Напряжение
в произвольном сечении определяется по формуле
,
где
M и N - изгибающий момент и поперечная сила в
соответствующем сечении; F - поперечное сечение его;
- осевой момент сопротивления; a -
длина поршневой головки шатуна; hг - толщина стенки головки.
В
сечении I-I (см. рис. 7а) при a=40 мм; hг =
7,5 мм F= 300·10-6 м2;
W =0,375∙10-6
м3, а в заделке - F= 360·10-6 м2; W =0,540∙10-6
м3.
Напряжения
от запрессовки втулки на внешней поверхности поршневой головки можно определить
по следующим данным: натяг Δ=0,04 мм;
модули упругости втулки и шатуна Eв = 1,2∙105 МПа; Eш = 2,2∙105
МПа, k1= d1/d = 0,90; k2= d/Dг=0,727;
коэффициенты Пуассона бронзы и стали (μв ≈
μш = 0,3). Втулка нагревается до
температуры 110 ºС, а при коэффициентах линейного расширения для бронзы
αв = 15,6∙10-6 1/ ° С; для шатуна αш ≈ 12∙10-6 1/ ° С температурный натяг
равен
Δt =dΔt(αв - αш)=
40·110·(15,6-12)·10-6=0,0158 мм.
Напряжение
при запрессовке втулки равно
Напряжение
на внешней поверхности головки от запрессовки втулки будет равно
60,6 МПа
Определим
коэффициент K
Напряжения
в заделке на внешней поверхности от действия изгибающего момента и продольной
силы равны:
при
растяжении
=65,14
МПа;
при
сжатии
=-102,7
МПа.
С
учетом запрессовки втулки на внешней поверхности поршневой головки напряжение
равно:
при
растяжении
МПа
при
сжатии
МПа.
Амплитудное
и среднее напряжения
σм=0,5(125,74-42,1)=83,64 МПа;
σа=0,5(125,74+42,1)=167,9 МПа.
Запасы
прочности определялись по формуле
,
где
σ-1
= 540 МПа- предел выносливости при
симметричном цикле; Kσ = 1,1- эффективный коэффициент концентрации
напряжений; β
=0,87 - коэффициент обработки
поверхности; εσ
= 0,87 - коэффициент влияния абсолютных
размеров; ψσ
= 0,184- коэффициент, учитывающий влияние
средних напряжений на выносливость.
Таким
образом, запас прочности в заделке равен:
=2,5.
Расчет
стержня шатуна
Расчет
стержня шатуна будем проводить по среднему сечению. Определим площадь
поперечного сечения и моменты инерции относительно осей x-x и y-y
(рис.6). Из чертежа серийного шатуна из стали 18ХНВА известно: h= 38
мм; b= 22 мм; a= 8 мм; t= 5,5 мм.
Определим геометрические характеристики поперечного сечения:
Площадь
среднего сечения шатуна, м2:
= 4,58∙10-4
м2;
Момент
инерции сечения B-B (см. рис. 6) относительно оси x-x,
перпендикулярной плоскости качания шатуна, м4:
=
7,76∙10-8 м4;
Момент
инерции сечения B-B (см. рис. 1) относительно оси y-y,
лежащей в плоскости качания шатуна, м4:
=27,54∙10-9
м4;
Радиус
инерции относительно оси x-x:
=0,0130
м;
Радиус
инерции относительно оси y-y:
= 0,00775
м.
Определяем максимальную растягивающую силу
18434 Н.
Определяем
максимальное напряжение от растягивающей нагрузки
= 40,25
МПа.
В
среднем сечении кроме сжатия происходит изгиб, связанный с эксцентриситетом
сжимающей нагрузки и прогибом от центробежных сил, перпендикулярных к оси
стержня. На сжатие стержень шатуна рассчитывают по полуэмпирическим формулам
[5]
=-202,3
МПа,
где
L = 0,230 - длина шатуна (см рис. 6);
L1 =L
-0,5(d1+dк)= 0,230-0,5(0,04+0,069)=0,176 м (диаметры отверстий
поршневой и кривошипной головок) (см. рис. 6).
Амплитудное
напряжение с учетом изгиба относительно оси x-x σa = 137,9 МПа; то же относительно оси y-y σa = 121,3, а средние напряжения σm= -97,7и σm= -81,0 МПа соответственно.
Запасы
прочности
Расчет
кривошипной головки
Рис. 9. Расчетная схема для определения напряжений в кривошипной головке
шатуна
Кривошипная головка шатуна нагружается в ВМТ в начале такта впуска силой
инерции поступательно движущихся и вращающихся масс, расположенных над
плоскостью разъема кривошипной головки шатуна:
Где
m2=2,025 кг- масса шатуна, сосредоточенная на оси
кривошипа, mкр=0,405кг
На
такте расширения кривошипная головка шатуна подвергается сжатию от сил газовых
и инерционных
Для
определения напряжений в кривошипной головке предполагают, что она составляет
единое целое, т. е. вследствие сильной затяжки болтов раскрытие стыков не
происходит. Сечения кривошипной головки для упрощения расчетов считают
постоянным и равным среднему сечению крышки; вследствие этого расчетные
напряжения и деформации получаются завышенными. Радиус кривизны головки
принимается равным половине расстояния между болтами.
Согласно расчетной схемы (рис.9), изгибающий момент на участке головки AB равен
;
а
на участке BC
,
где
c =0,10 м - расстояние между болтами, которые принимают
за средний диаметр головки; φ подставляются
в радианах M0 и N0 - изгибающий момент и продольная сила в сечении AA,
которые, если рассматривать головку как брус малой кривизны, защемленный в
сечении C-C, определяются по формулам:
α0 - в градусах.
Определим
момент M2 и силу N2 в сечении C-C
(см. рис. 9, приняв
α0=49, φ= 130º).
Напряжения
в произвольном сечении на участках AB и BC (включая угол
заделки) определяется по формуле
,
В
сечении C-C
Рис. 11. Расчетная схема для определения напряжений в кривошипной головке
шатуна при сжатии
Для
расчета от сжимающей силы воспользуемся расчетной схемой на рис. 10 . При угле
заделки φз = 130° из графика на рис. 10 находим значения
M0 = - 0,005Pсж
·0,5c=-0,005·
·0,5·0,1=
-17,2 Н·м;
N0 =0,028Pсж=0,028·68771,99=
1955 Н.
Момент
и продольная сила на участке BC равны
.
Определим
момент M2 и силу N2 в сечении C-C
(см. рис. 11, приняв α0=40,
φ= 130º). Подставив значения
величин в уравнение, получим M2 =96,61 Н·м, N2 =8765,12 Н.
6.3 Расчёт подшипников скольжения
Площадь поршня Fп=0,0950 м2; диаметр шатунной шейки dшш=0,065 м; длина опорой части шатунной шейки lшш=0,032 м; частота вращения
коленчатого вала на номинальном режиме n=2400 мин-1; давление масла на входе в подшипник pм=0,2 МПа; температура масла на входе
в подшипник 80°С; радиальный зазор в подшипнике δ=
0,08·10-3 м; плотность
масла при 20°С ρ20=905 кг/м3; динамическая вязкость масла
при средней температуре масляного слоя 100°С ηср= 0,018 Па·с.
В результате динамического расчета и построения
векторной диаграммы давлений на шатунный подшипник получим среднее давление,
отнесенное к площади поршня,
,
где
n - число делений на которые поделен график изменения
удельной нагрузки на шатунную шейку по углу поворота кривошипа; Ri -
значение давления в этих точках .
Средняя
нагрузка на подшипник
P = RсрFп=6,033·106·0,095=57314Н
=57,3кН.
Определим
давление на 1 м2 площади проекции подшипника
k=P/(dшшlшш)=57314/(0,065·0,032)=27,56
МПа,
Относительный
зазор в подшипнике
ψ=2δ/dшш=2·0,08/65=0,0025.
Находим
коэффициент грузоподъемности подшипника
Φ=2ψ2k/(ηсрω)=2·0,00252·27,56·106/(0,018·251) =76,3.
Здесь
ηср - динамическая вязкость масла при средней
температуре слоя масла, соответствующей балансу энергии при данном режиме
работы двигателя; ω
- угловая скорость коленчатого вала.
По
вычисленному значению Φ
используя диаграмму (рис. 5) определяем
необходимый эксцентриситет χ=0,97.
Минимальная
толщина слоя масла между подшипником и шейкой определяется как
hmin= δ(1-χ)=0,08·10-3·(1-0,97)= =0,24·10-5м.
В
действительности минимальная толщина слоя масла должна быть больше суммы высот
неровностей поверхностей шатунной шейки (hшш=0,007мм,
после чистового шлифования) и подшипника (hп=0,013мм,
после алмазного растачивания).
Коэффициент
запаса подшипника по толщине слоя масла
Sзап = hmin/(hшш+hп) =
0,24·10-2/(0,007+0,013) = 1,2
Зная
относительный эксцентриситет χ шатунной
шейки в подшипнике, определяют коэффициент q1 торцового
расхода смазочного материала. На рис. 4а представлены графики изменения q1 в
зависимости от χ
и lшш/dшш
при угле охвата φ=180°.
В нашем случае q1=0,16
Коэффициент
расхода смазочного материала q0 на выходе из нагруженной части слоя масла подшипника
с цилиндрической расточкой определяют по диаграмме (рис. 5б).
q0=0,01.
Плотность
масла при температуре t=100°C
,
где
ρ20
- плотность смазочного материала при
выбранной температуре подшипника, кг/м3, kv -
температурный коэффициент объемного расширения, для ориентировочной плотности kv =
68,8·10-5 1/°С.
Тогда
Окружной
расход, определяемый количеством налипшего смазочного материала,
Коэффициент
сопротивления f шипа вращению с учетом трения в нерабочей части
зазора подшипника при смазывании через верхнюю половину вкладыша определяется
по диаграмме (рис. 5в).
f=12.
Зная
коэффициент сопротивления вращению f и коэффициент расхода
смазочного материала q1, можно определить приращение температуры в слое
масла
где
Cм - удельная теплоемкость смазочного материала при
данной температуре t, Дж/(кг·°С). Отмети м, что
Температура
смазочного материала на входе в слой масла
tвх=t0 + Δtq0/q1=20+54·0,01/0,16=23,4 ºС.
Средняя
температура смазочного материала в зазоре
tср= tвх+
0,5Δt=23,4+0,5∙54=50,4 ºС.
Тогда
расход смазочного материала, необходимый для обеспечения работоспособности
подшипника
где
q2=βΦ(dшш/lшш)2(pм/k)=0,6∙76,3(0,065/0,032)2∙(0,2/27,56)==1,37;
β - коэффициент, определяемый по графику на рис.5г в зависимости от угла
охвата (φ=120…150°)
и относительного эксцентриситета χ; pм -
давление масла; k - давление на 1 м2 площади проекции подшипника.
В
нашем случае
Потери
мощности на трение в подшипнике
Рис. 5. Кривые коэффициентов расхода и сопротивления: а - через
нагруженную часть смазочного слоя торца при φ=180°; б - на выходе из нагруженной части
смазочного слоя торца; в - сопротивление шипа вращению при φ=180°;
г - объемного расхода
смазочного материала
6.4 Расчет шатунных болтов
Расчет усилия затяжки шатунного болта для серийного шатуна проведем при
следующих исходных данных: массы - поршневой группы - 2,755 кг;
шатун - 2,7 кг; массы, разнесенные по головкам - m1 = 0,675 и m2 =
2,025 кг. Максимальная частота вращения холостого хода nхх=2500 мин-1 (ω=260 мин-1). Длина шатуна l= 0,230 м; радиус кривошипа r= 0,0625 м; λ
= r/ l = 0,272. Масса крышки кривошипной головки шатуна - 0,405 кг.
Расчет усилия затяжки. Крышка шатуна нагружается в ВМТ в начале такта
впуска силой инерции поступательно движущихся и вращающихся масс шатуна,
расположенных над плоскостью разъема кривошипной головки:
Подставив
значения исходных величин в формулу получим
=-25278,01
Н.
На
один шатунный болт приходится нагрузка
-12639 Н.
Приняв
коэффициент основной нагрузки резьбового соединения χ=0,18, а коэффициент запаса плотности стыка ν= 3, найдем усилие затяжки болта, которое обеспечит
заданный коэффициент запаса:
=
3(1-0,18)∙12639= 31091,94 Н.
Найдем
усилие R, необходимое для деформирования вкладышей, имеющих
выступание в среднем
=0,025…0,03 мм
(22)
где
E=1,9∙1011 Н/м2 - модуль упругости материала
основания вкладыша;
F=1.32∙10-4
м2 - площадь поперечного сечения вкладыша
r = 0,0335м -
средний радиус вкладыша.
Подставив
исходные данные получим R= 5960,6 Н.
Общее
усилие на болт равно
37053 Н.
Если
взять достаточно приближенную формулу ( в сторону завышения) для определения
момента затяжки в виде
,
где
k =0,08…0,2 - безразмерный коэффициент; d
=0,010 м- наружный диаметр резьбы, то получим Mз=56 Н∙м.
Напряжение
от усилия предварительной затяжки в минимальном сечении резьбы (d1=0,0085
м, F1 = 56,7·10-6 м3) равно
Мпа.
При
работе двигателя на шатунный болт действует растягивающая сила равная
Н. Максимальная нагрузка на шатунный болт равна
2275+37053= 39328Н, а минимальная - 37053 Н.
Максимальные
и минимальные напряжения в минимальном сечении резьбы равны
Мпа;
Мпа.
Среднее
и амплитудные напряжения равны
Мпа;
Мпа.
Запас
прочности шатунного болта в минимальном сечении резьбы равен
6.5 Расчёт цилиндро-поршневой группы
Расчет
поршневых колец
Поршневые кольца выполняют следующие основные функции:
предотвращают утечку газов из цилиндра; передают тепло от поршня к стенкам
цилиндра; предохраняют камеру сгорания от попадания в нее смазки из картера
двигателя, предотвращая чрезмерный угар масла; служат для регулирования смазки
поршня и колец во время их движения по цилиндру.
Расчетными параметрами кольца являются радиальная толщина, размер и форма
в свободном состоянии, обеспечивающие заданные значения и эпюру давления кольца
на стенку цилиндра. Кроме того, проверяют запас прочности кольца в рабочем
состоянии и при надевании на поршень.
Материал кольца - серый чугун (СЧ15): Е = 1·105 МПа;
Среднее радиальное давление кольца на стенку цилиндра (компрессионное
кольцо):
где
Е - модуль упругости;D = 110 мм - диаметр цилиндра; t = 4 мм -
ширина кольца; А0 = Δс - Δр=9 мм; Δс и Δр -
зазоры в свободном и рабочем состоянии.
Среднее
радиальное давление кольца на стенку цилиндра (маслосъемное кольцо):
где
t = 4,5 мм - ширина кольца.
Напряжение изгиба кольца в рабочем состоянии (компрессионное кольцо):
;
Напряжение изгиба кольца в рабочем состоянии (маслосъемное кольцо):
Монтажные
напряжения (напряжения при надевании компрессионного кольца на поршень):
,
Монтажные
напряжения (напряжения при надевании маслосъемного кольца на поршень):
=
2 - коэффициент, зависящий от способа надевания кольца.
Расчет зазора в замке в холодном состоянии
Δз=Δ3’+ πD[αk(Тk - Т0) - αц(Тц - Т0)] ,
Δз’ = (0,0005…0,0010)D мм - минимально допустимый зазор в
замке кольца во время работы двигателя.
Примем Δз’ = 0,06 мм.
αк, αц - линейный коэффициент
температурного расширения кольца и цилиндра αк = αц = 0,000011.
Т0 = 293К - начальная температура;
Тk, Тц - соответственно температура
кольца, стенок цилиндра в рабочем состоянии; Тk = 478...573 К; Тц = 383...388 К. Примем Тk = 525 К, Тц = 385 К.
Тогда
Δз= 0,06+3,14·110·[11·10-6(525-293)
- 11·10-6(385-293)]=0,032 мм
Построение эпюры давлений кольца:
Рφ
= μ·Рср -
давление кольца на стенку цилиндра в различных точках окружности.
Расчет проводился по программе EXLE. Результаты вычислений от действия
давления кольца компрессионного на стенку цилиндра указаны в таблице 6.
Таблица 6
|
φ,град.
|
μ
|
Рφ, МПа
|
|
0
|
1,051
|
0,163956
|
|
30
|
1,047
|
0,163332
|
|
60
|
1,137
|
0,177372
|
|
90
|
0,896
|
0,139776
|
|
120
|
0,434
|
0,067704
|
|
150
|
0,676
|
0,105456
|
|
180
|
2,861
|
0,446316
|
По таблице 7 строим эпюру давления компрессионного кольца на стенку
цилиндра
Рис.20. Эпюра давлений компрессионного кольца на стенку цилиндра
Результаты вычислений от действия давления маслосъемного кольца на стенку
цилиндра указаны в таблице 7.
Таблица 7
|
φ,град.μРφ,
МПа
|
|
|
|
0
|
1,051
|
0,2102
|
|
30
|
1,047
|
0,2094
|
|
60
|
1,137
|
0,2274
|
|
90
|
0,896
|
0,1792
|
|
120
|
0,434
|
0,0868
|
|
150
|
0,676
|
0,1352
|
|
180
|
2,861
|
0,5722
|
По таблице 8 строим эпюру давления маслосъемного кольца на стенку
цилиндра (рис. 21).
Рис.21. Эпюра давлений маслосъёмного кольца на стенку цилиндра
Расчет
поршневого пальца.
Поршневой палец изготовлен из легированной стали 40ХН (σ-1
=460…600 МПа), на него
действует максимальная нагрузка на такте впуска от сил инерции массы поршневой
группы при работе на режиме максимальной частоты вращения холостого хода:
где
mпг - масса поршневой группы (без массы поршневого
пальца); ωххmax= (πnххmax)/30 - угловая частота вращения коленчатого вала на
режиме холостого хода при максимально допустимой nххmax; r -
радиус кривошипа; λ=r/lш; lш -
длина шатуна.
Кроме
того, на номинальном режиме, на поршневой палец на такте расширения действует
нагрузка:
Рис. 13. Расчетная схема поршневого пальца
где pz - максимальное давление сгорания на
расчетном режиме; p0 - атмосферное
давление; ω - угловая частота вращения коленчатого вала на этом же режиме.
Основным
критерием при оценке износостойкости пальца являются удельные нагрузки на
втулку шатуна
и на бобышки поршня
(рис.
13).
Удельная
нагрузка пальца на втулку шатуна
от
суммарных сил
от
сил инерции
где
Ps - суммарная сила давления газов при сгорании и сил
инерции от массы поршневой группы;
- сила
инерции в ВМТ от массы поршневой группы на режиме nххmax; a=0,039
- длина втулки: dп = 0,037- диаметр пальца.
Удельная
нагрузка пальца на бобышку
; или
где
lб =23 мм- рабочая длина бобышки.
Максимальной
расчетной нагрузкой для пальца является усилие, с которым палец прижимается к
бобышкам поршня.
Рис.14. Виды деформаций поршневого пальца: а - изгиб в продольном
направлении; б - срез; в - овализация
Под действием нагрузки в пальце возникают напряжения от изгиба, среза и
овализации (последнее только для плавающих пальцев) (рис. 14). При определении
напряжений изгиба возможны затруднения в выборе схемы нагружения пальца. Р. С.
Кинасошвили рекомендует определять максимальные напряжения изгиба пальца как
балки с нагрузкой, изображенной на рис. 13.
Для данной схемы нагрузки напряжения изгиба (в центре поршневого пальца)
где
Рис. 15. Расчетные схемы нагружения поршневого пальца от сил инерции Pjпг: а - при расчете на изгиб и срез;
б - при расчете на овализацию
Определяем амплитудные и средние напряжения
m = ( max + min ) / 2 = (29-170)/ 2 = -70,5 МПа;
a = ( max - min ) / 2 = (29+170) / 2 = 149,5 МПа.
Далее определяют запас прочности при переменных напряжениях по формуле
Максимальная
срезывающая сила действует на палец в сечениях, расположенных в зазорах между
торцами бобышек и втулки шатуна. Максимальное касательное напряжение для этих
сечений в нейтральной плоскости балки от сил инерции
от
суммарных сил
Максимальная
овализация поршневого пальца или увеличение его диаметра в направлении,
перпендикулярном к плоскости действия нагрузки, наблюдается на среднем участке
пальца на длине около 0,2l и определяется по формуле от сил инерции
от
суммарных сил
,
где
k - поправочный коэффициент
-
длина пальца; E - модуль упругости материала пальца.
Максимальная
овализация
.
В
результате овализации поперечных сечений в пальце возникают напряжения изгиба.
Из графика рис.17 при α=0,54 η1=2;η2=10,7;η3=7; η4= 5. Для характерных точек сечения пальца 1, 2, 3 и 4 При действии силы
инерции Pjпг = 13731 Н находим напряжения:
Рис. 17. Значения величин k,
η1, η2, η3, η4
На внешней поверхности пальца в точке 1
На
внутренней поверхности пальца в точке 2
На
внешней поверхности пальца в точке 3
На
внутренней поверхности пальца точке 4
При
действии суммарной силы Ps = 28239 Н находим напряжения:
На
внешней поверхности пальца в точке 1
На
внутренней поверхности пальца в точке 2
На
внешней поверхности пальца в точке 3
На
внутренней поверхности пальца точке 4
Запасы
прочности определим в т.2 и т. 4, так как в точке 2 напряжение частично
уравновешиваются напряжением от газовой нагрузки, а в точке. 4 напряжения
суммируются.
Точка
2: σmax=
-44 МПа; σmin=
- 258 МПа.
Определяем
амплитудные и средние напряжения
m = (max + min ) / 2 = (-119-293)/ 2 = -151 МПа;=
(max - min ) / 2 = (-119+293) / 2 = 107 МПа.
Далее
определяют запас прочности при переменных напряжениях по формуле
Точка
4: σmax=
121 МПа; σmin=
21 МПа.
Определяем
амплитудные и средние напряжения
m = (max +
min ) / 2 = (121+21)/ 2 = 71 МПа;
a = (max -
min ) / 2 = (121-21) / 2 = 50 МПа.
Далее
определяют запас прочности при переменных напряжениях по формуле
Рекомендуемые
запасы выносливости
. Запасы прочности достаточные. Приведенные эпюры
напряжений (рис.18, рис.19) построены по следующим зависимостям:
для
внешней поверхности
для
внутренней поверхности
где
- толщина стенки пальца;
f1 и f2 -
безразмерные функции, зависящие от угла φ (в радианах);
.
Расчет
проводился по программе EXEL. Результаты вычислений от действия суммарной силы
Ps указаны в таблице 8.
Таблица
8
|
φ0
|
Напряжение σа на внешней поверхности
|
Напряжение σа на внутренней поверхности
|
|
0
|
88,0269
|
-302,016
|
|
10
|
76,79789
|
-284,089
|
|
20
|
47,00518
|
-236,525
|
|
30
|
4,74006
|
-169,049
|
|
40
|
-43,8474
|
-91,4802
|
|
50
|
-92,8829
|
-13,1958
|
|
60
|
-137,079
|
57,36334
|
|
70
|
-172,013
|
113,1349
|
|
80
|
-194,352
|
148,7986
|
|
90
|
-202,025
|
161,0476
|
По таблице 5 строим эпюру напряжений от овализации пальца под действием
суммарной силы Ps (рис. 18).
Рис. 18. Эпюра напряжений от овализации пальца под действием суммарной
силы Ps
(μσ=15 МПа/мм)
Результаты вычислений от действия силы инерции Pjпг указаны в таблице 9.
Таблица 9.
|
φ0Напряжение σа на внешней поверхностиНапряжение σа на внутренней поверхности
|
|
|
|
0
|
11,04709
|
-25,4437
|
|
10
|
9,426546
|
-22,747
|
|
20
|
5,126943
|
-15,5922
|
|
30
|
-0,97264
|
-5,442
|
|
40
|
-7,98466
|
6,226512
|
|
50
|
-15,0613
|
18,00261
|
|
60
|
-21,4396
|
28,61661
|
|
70
|
-26,4812
|
37,00616
|
|
80
|
-29,7051
|
42,37094
|
|
90
|
-30,8124
|
44,21352
|
По таблице 6 строим эпюру напряжений от овализации пальца под действием
силы инерции Pjпг (рис. 19).
Рис. 19. Эпюра напряжений от овализации пальца под действием силы инерции
Pjпг (μσ=2 МПа/мм)
Определим запас прочности овализации в т. 4
Точка 4: σmax= 161,05 МПа; σmin= 44,21 МПа.
Определяем амплитудные и средние напряжения
m = (max + min ) / 2 = (161,05+44,21)/ 2 = 102,63 МПа;
a = (max - min ) / 2 = (161,05-44,21) / 2 = 58,42 МПа.
Далее определяют запас прочности по формуле
7. Расчёт механизма газораспределения
.1 Профилирование безударного кулачка
дизель двигатель кулачок безударный
Рис. 20. Расчётная схема проходного сечения в клапане
Рассчитаем диаметр горловины впускного клапана dвп:
Где:
¾ 
-
средняя скорость поршня, 
¾ Fп -
площадь поршня, Fп=9503∙10-6 м2;
¾ iкл -
количество одноимённых клапанов в цилиндре, iкл =1;
¾ V’ -
средняя скорость свежего заряда , V’ =[50 - 90]м/с.
Принимаем V’ = 75 м/с
Рассчитаем максимальный ход клапана hкл. mах:

в
Где:
¾ 
в -
диаметр горловины впускного клапана;
Расчёт площади проходного сечения при максимальном открытии клапана:
Где:
¾ d1 - средний диаметр клапанной тарелки
¾ 
угол
фаски; 
º
В итоге получим:
7.2 Расчет профиля безударного кулачка
Расчет проводим по программе RFKLB, разработанной на кафедре. Результаты расчета представлены в приложении
15.
. Тактность двигателя КТ=4
2.
Частота вращения двигателя n=2400 мин
.
.
JN - угол предварения открытия клапана, град. п.к. в. до
М. Т. JN=16;
JK - угол
запаздывания закрытия клапана, град. п. к. в. после М.Т. JK=40
(
выбираем по прототипу ).
.
JZ - угол участка сбега, град. п.р.в. равен углу участка
выбора зазора
Ф
=(15-35°) п.р.в.
Принимаем
Ф
=30°п.р.в.
.
J
-Угол положительных ускорений на участке подъема
клапана, град. п.р.в.
J
- угол отрицательных ускорений, град. п.р.в. ( J
=Ф
)
Ф
=( 0,1- 0,25 ) Ф
Ф
+Ф
=(
1,2-1,3 ) Ф
Ф0+Ф1+Ф2+Ф3=φd/2
где
φd=(JN+180+JK)/2
Решив
систему, получим
J1=Ф1=29
J
=Ф
= 6.
.
J
K - угол
положительных ускорений на участке опускания клапана, град. п.р.в.
J
K=J
=29°.
.
Размерность векторов HK, S
JX=JN+181+JK
=25°+181°+54°=260°
.
Скорость толкателя в конце сбега, мм/град.
WS=0,02 м/с.
.
Диаметр горловины клапана, мм
d=40 мм.
.
Угол фаски клапана YF= 45°
.
Максимальный подъем толкателя.
h
= 10 мм.
.
Отношение плеч коромысла клапана
=
.
Радиус начальной окружности RO=16 мм.
.
Зазор в клапане Z=0,25 мм.
.
Шаг печати подъема толкателя МР=1.
.3.
Расчёт клапанной пружины.
Расчёт
максимального усилия пружины.
Масса
элементов газораспределительного механизма равна:
Где:
m’МГР- приведённая масса элементов
газораспределительного механизма при нижнем расположении распределительного
вала
m’МГР = 20-30
г/см2.
Сила
упругости пружины Рj кл.max :
max=- 0,68∙103 м/с - максимальное отрицательное
ускорение( берётся из расчёта профиля кулачка приложение 15)

=1.2-
отношение длин плеч коромысла;

,
К
- коэффициент запаса, учитывающий повышение частоты вращения Принимаем К = 1,3.
Следовательно,

.
Расчёт
минимального усилия пружины.
Задаемся
величиной предварительной деформации пружины
.
Принимаем
Тогда
Минимальное
усилие пружины Р0 равно
Где:
¾ с -
жёсткость пружины,
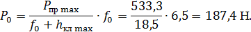
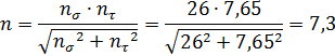
¾ f0 -
величина предварительной деформации пружины.
Определение конструктивных параметров пружины.
Рис. 20 Параметры клапанных пружин
Материал пружины: Сталь 65Г
Прочностные характеристики стали:
σв=1300 МПа
σ-1=690 МПа
τ-1=530 МПа
Средний диаметр пружины:
Где d - диаметр горловины впускного
клапана (d=40 мм).
Примем
Коэффициент,
учитывающий неравномерность распределения напряжений по поперечному сечению
пружины 
[1,1…1,2],
принимаем 1,1
Тогда
диаметр проволоки пружины равен:
Где
τдоп - допускаемые касательные напряжения(τдоп < τ-1, τдоп =400 МПа)
Число
рабочих витков пружины:
Где
G - модуль сдвига(G = 84000 МПа)
Полное
число витков пружины:
Жёсткость
пружины:
Шаг
витка пружины:
-
минимально допустимый зазор между витками пружины при её полной деформации;
Принимаем
.
Минимальная
высота пружины:
.
Максимальная
высота пружины:
.
Расчёт
пружины на резонанс.
Условие
не возникновения резонанса:
,
где
- частота собственных колебаний пружины;
- частота вращения распределительного вала
Циклическая
частота собственных колебаний:
,
где
- жёсткость пружины;
- масса
рабочих витков.
Если
выразить циклическую частоту через число колебаний в минуту, а жёсткость и
массу пружины - через её размеры, то получим
g - ускорение
свободного падения,
-
плотность материала пружины,
=7800кг/м
.
G-модуль сдвига.
Частота
вращения распределительного вала:
.
,
условие
не возникновения резонанса соблюдается.
Расчёт
пружины на усталостную прочность.
Максимальное
касательное напряжение:
Минимальное
касательное напряжение:
Амплитудное
напряжение:
.
Среднее
напряжение:
.
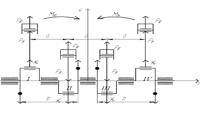
Запас
усталостной прочности:
- предел
выносливости материала пружины при пульсирующем цикле нагружения при кручении;
-
коэффициент, учитывающий влияние постоянной составляющей цикла напряжений на
сопротивление усталости при кручении; [1]
(упрочнение
пружины дробеструйной обработкой) [1],
где,
- эффективный коэффициент концентрации напряжений при
кручении;
- масштабный коэффициент, учитывающий влияние
абсолютных размеров детали на предел выносливости при кручении.
-
коэффициент поверхностной чувствительности
Запас
усталостной прочности:
7.4 Расчёт распределительного вала
Материал
распределительного вала - высокопрочный чугун с шаровидным графитом,
модифицированный магнием ВЧ 40-10. Расчётная схема представлена на рис. 21.
Рис. 21. Расчётная схема распределительного вала
Масса элементов газораспределительного механизма при нижнем расположении
распределительного вала
mМГР=0,377
кг.
Нагрузки, действующие на распределительный вал:
сила инерции
-
максимальное положительное ускорение толкателя (приложение );
сила
упругости пружины (сила сжатия пружины)
По
результатам теплового расчёта (приложение 1):
-
давление газов в цилиндре в момент открытия выпускного клапана;
-
давление в выпускном трубопроводе;

-
диаметр тарелки выпускного клапана.
Следовательно,
Расчёт
прогиба распределительного вала:
-
расстояние от опоры до точки действия силы
;
-
расстояние между опорами;
-
диаметр распределительного вала;
- модуль
упругости материала распределительного вала;
Напряжение
смятия на поверхности толкателя:
- ширина
кулачка;
- радиус
начальной окружности кулачка;
- радиус
кривизны кулачка в момент действия
;
8. Системы дизеля
.1 Расчет смазочной системы
Расчёт
масляного насоса
Количество тепла, отводимого маслом от двигателя:
Qм =
0,03×Q0 = 0,03×195,2 = 5,9 кДж/с,
Где Q0 = Hu×Gт / 3600 = 42440 × 16,56 / 3600 = 195,2 кДж/с -
количество тепла, выделяемого топливом за 1 секунду.
Циркуляционный расход масла:
Vц = Qм /(rм×см×DТм) = 5,9 / (900×2,094×15) =
0,00021 м3/с,
где rм = 900 кг/м3 -
плотность масла;
см = 2,094 кДж/(кг×К) - теплоёмкость масла;
DТм = 15 К - температура нагрева масла в двигателе.
Циркуляционный расход с учётом стабилизации давления масла в системе:
V¢ = 2Vц = 2×0,00021 = 0,00042 м3/с.
Расчётная производительность насоса:
Vр = V¢ / hн = 0,00042 / 0,8 = 0,000525 м3/с,
где hн =
0,8 - объёмный коэффициент подачи насоса.
Модуль зацепления зуба m =
4,5 мм = 0,0045 м.
Высота зуба h = 2m = 2×4,5 = 9 мм = 0,009м.
Число зубьев шестерён z = 6.
Диаметр начальной окружности шестерни:
D0 = z×m = 6×4,5 = 27 мм = 0,027 м.
Диаметр внешней окружности шестерни:
D = m×(z + 2) = 4,5×(6 + 2) = 36 мм = 0,036 м.
Частота вращения шестерни (насоса):
nн = uн×60 / (p×D) =
6,36×60 / (3,14×0,0405) = 2900 мин-1,
где uн = 5,46 м/с - окружная скорость на
внешнем диаметре шестерни.
Длина зуба шестерни:
0,014 м.
Мощность, затрачиваемая на привод масляного насоса:
где р = 50×104 Па - рабочее давление масла в системе;
hмн = 0,87 - механический КПД масляного насоса.
7.2 Расчет системы охлаждения
Расчёт
жидкостного насоса
Количество тепла, отводимого от двигателя системой охлаждения:
Qохл =
0,3×Q0 = 0,3×195,2 = 58,6 кДж/с,
где Q0 = Hu×Gт / 3600 = 42440 × 16,56 / 3600 = 195,2 кДж/с -
количество тепла, выделяемого топливом за 1 секунду.
Циркуляционный расход охлаждающей жидкости:
G¢ц = Qохл /(rож×сож×DТож) = 58,6 / (1120×3,750×10) =
0,0014 м3/с,
где rм = 1120 кг/м3
- плотность охлаждающей жидкости;
см = 3,750 кДж/(кг×К) - теплоёмкость охлаждающей жидкости ТОСОЛ А40М;
DТм = 10 К - температурный перепад в радиаторе.
Расчётная производительность насоса:
Gр = G¢ц / hн = 0,0014 / 0,85 = 0,0016 м3/с,
где hн =
0,85 - коэффициент подачи насоса.
Радиус входного отверстия рабочего колеса насоса:
0,020 м,
где
с1 = 1,8 м/с - скорость воды на входе в насос;
r0 = 0,01 м -
радиус ступицы крыльчатки.
Окружная
скорость потока охлаждающей жидкости на выходе из колеса:
м/с,
где
hh =
0,65 - гидравлический КПД насоса;
рж
= 120000Па - принимаемый напор, создаваемый насосом;
a2 = 10°, b2 = 45°.
Радиус
рабочего колеса на выходе:
r2 = 30u2 /
(p×nвн)
= 30×13,9 / (3,14×3500) = 0,038
м,
где
nвн = 3500 мин-1 - частота вращения насоса.
Окружная
скорость входа потока:
u1 = u2 × r1 / r2 = 13,9 × 0,020 / 0,038 = 7,3 м/с.
Ширина
лопатки на входе:
0,015 м,
где
z = 4 - число лопаток на крыльчатке насоса;
d1 = 0,004 м - толщина лопаток на входе;
b1 = arctg(c1/u1) =
arctg(1,8/7,3) = 14°42¢.
Радиальная
скорость потока на выходе из колеса:
2,1 м/с.
Ширина
лопатки на выходе:
0,08 м,
где
d2 = 0,004 м - толщина лопаток на выходе.
Мощность,
потребляемая насосом:
Nвн = Gp×рж /
(1000×hм) = 0,0016×120000 / 1000×0,82 = 0,3 кВт,
где
hм = 0,82 - механический КПД насоса.
Расчёт
радиатора системы охлаждения
Количество воздуха, проходящего через радиатор:
G¢возд = Qохл /(свозд×DТвозд) = 58,6 ×103 / (1000×30) = 1,95 кг/с,
где свозд = 1000 Дж/(кг×К) - средняя теплоёмкость воздуха;
DТвозд = 30 К - температурный перепад воздуха в решётке радиатора.
Массовый расход охлаждающей жидкости через радиатор:
G¢ж = Gр×rж = 0,0016×1120 = 1,79 кг/с.
Средняя температура охлаждающего воздуха, проходящего через радиатор:
328,0 К,
где
Твозд.вх = 313 К - расчётная температура воздуха перед радиатором.
Средняя
температура охлаждающей жидкости в радиаторе:
358,0 К,
где
Тож.вх = 363 К - расчётная температура охлаждающей жидкости перед радиатором.
Поверхность
охлаждения радиатора:
19,53 м2,
где
К = 100 Вт /(м2×К) - коэффициент
теплопередачи для радиаторов грузовых автомобилей.
Расчёт
вентилятора системы охлаждения
Плотность воздуха при средней его температуре в радиаторе:
rвозд = р0×106 /(Rв×Тср.возд) = 0,1×106 /(287×328) = 1,06 кг/м3.
Производительность вентилятора:
Gвозд
= G¢возд / rвозд = 1,95 / 1,06 = 2,07 кг/с.
Фронтовая поверхность радиатора:
Fфр.рад
= Gвозд / wвозд = 2,07 / 25 = 0,083 м2,
где wвозд
= 25 м/с - скорость воздуха перед фронтом радиатора без учёта скорости движения
автомобиля.
Диаметр вентилятора:
0,325 м.
Окружная
скорость вентилятора:
68,7 м/с,
где
fл = 2,5 - безразмерный коэффициент для криволинейных
лопастей;
Dртр = 800 Па - принимаемый напор, создаваемый вентилятором.
Частота
вращения вентилятора:
nвент = 60×u /(p×Dвент)
= 60×68,7 / (3,14×0,325) = 4040
мин-1.
Мощность,
затрачиваемая на привод осевого вентилятора:
Nвент = Gвозд×Dртр / (1000×hвент) = 2,07×800 / 1000×0,65 = 2,55
кВт,
где
hвент = 0,65 - КПД литого вентилятора.
8. Описание двигателя Д-245
Дизель Д-245 представляет собой 4-хтактный поршневой четырехцилиндровый
двигатель внутреннего сгорания с рядным вертикальным расположение цилиндров,
непосредственным впрыском дизельного топлива и воспламенением от сжатия, с
турбрнаддувом. Порядок работы цилиндров 1-3-4-2.
Основные узлы дизеля.
Картер отлит из алюминиевого сплава и состоит из двух половин: верхней,
называемой верхним картером, и нижней, называемой нижним картером.
Плоскость разъема верхнего картера с нижним расположена ниже оси
коленчатого вала. Нижний картер фиксируется на верхнем картере двумя
установочными штифтами и крепится к нему болтами. Верхний картер является
основной несущей части дизеля. пять двойных поперечных перегородок придают ему
необходимую, жесткость и служат опорами для коренных шеек коленчатого вала.
Каждая перегородка имеет паз, в который с натягом устанавливается подвеска.
Подвески являются нижними половиками опор и в соединении с верхним картером
образуют гнезда под коренные вкладыши, состоящие из двух половин: нижней и
верхней. Гнезда под коренные вкладыши в картере и подвесках обрабатываются
совместно и для всех опор одновременно. Каждая подвеска крепится к картеру
двумя шпильками. Шпильки крепления подвесок имеют центрирующие пояски для
фиксации подвесок от продольного перемещения в пазу картера. Внутри картера
монтируется нагнетающая масляная магистраль, имеющая семь припаянных к ней
маслопроводящих трубок, по которым масло подводится к штуцерам подвесок и по
сверлениям в подвесках к коренным вкладышам. Нагнетающая магистраль
устанавливается с левой стороны картера и соединяется с отверстием, идущим из
левого маслораспределительного канала. Отверстие, идущее из другого
маслораспределительного канала, к которому не присоединяется масляная
магистраль, глушится заглушкой. Для замера давления масла в нагнетающей магистрали
дизеля в перегородке седьмой опоры картера просверлено отверстие, выходящее на
поверхность гнезда под коренной вкладыш. Отверстие сверху имеет резьбу с
ввернутым в нее штуцером, предназначенным для крепления приемника манометра. К
штуцеру крепится трубка слива масла из регулятора. Вкладыши коренных шеек
коленчатого вала изготовлены из стали. Внутренние поверхности вкладышей залиты
свинцовистой бронзой. Все вкладыши разъемные состоят из двух половин; нижней
половины и верхней половины. В гнезда, образованные верхним картером и
подвесками, вкладыши устанавливаются с натягом и фиксируются от проворачивания
и осевого смещения. Окончательная расточка внутренней поверхности вкладышей
выполнена по гиперболе, что способствует более равномерному распределению
напряжений по длине вкладышей при работе дизеля. Для лучшей приработке
вкладышей к коренным шейкам азотированного коленчатого вела рабочая поверхность
вкладышей покрывается мягким сплавом, состоящим из свинца и олова. На наружной
поверхности вкладышей проточены кольцевые канавки с радиально просверленными в
них отверстиями, выходящими на поверхность вкладыша, залитую свинцовистой
бронзой. Через эти отверстия масло, поступающее из нагнетающей магистрали по
сверлениям в подвесках и заполняющее кольцевые канавки, выходит на рабочую
поверхность вкладышей.
Нижний картер непосредственно усилий от кривошипно-шатунного механизма не
воспринимает, а закрывает его снизу и служит маслосборником. На плоскости
разъема нижнего картера с верхним расположены отверстия под установочные штифты
и под болты, крепящие нижний картер к верхнему. На дне нижнего картера имеются
маслоотстойник, закрытый пеногасительной сеткой. Слив масла из полости картера
носка дизеля в маслоотстойник осуществляется через отверстие в торцовой стенке нижнего
картера. В отверстиях, соединяющих камеру сгорания с впускными и выпускными
каналами расточены конусные гнезда, в которые запрессованы и завальцованы седла
клапанов. В отверстия бобышек, влитых в стенки впускных и выпускных патрубков и
расположенных соосно с седлами, запрессованы направляющие втулки клапанов.
В верхней части на внутренних поверхностях направляющих клапанов впуска
проточены канавки и просверлены три радиальных отверстия для облегчения доступа
масла к стержням клапанов. У направляющей клапана выпуска таких отверстий нет.
По оси каждого цилиндра в головке расточены отверстия для установки форсунок. В
нижней части каждого отверстия имеется уступ, на который укладывается
уплотнительная прокладка форсунки. Каждая форсунка крепится на моноблоке при
помощи накладного фланца двумя шпильками, ввернутыми в головку. В верхней части
головки уложена трубка, в которую из каждой форсунки отводится избыточное
топливо. Гильза цилиндра состоит из самой гильзы, изготовленной из специальной
стали и рубашки, изготовленной из углеродистой стали и напрессованной на
гильзу. Внутренняя поверхность гильзы для повышения износоустойчивости
азотирована. На наружной поверхности гильзы нарезаны под углом 30° к оси гильзы
тридцать винтовых канавок, по которым во время работы дизеля циркулирует вода.
Канавки от коррозии оцинкованы. Сверху гильза заканчивается буртом, в который
упирается торец рубашки. Рубашка гильзы представляет собой тонкостенный
открытый цилиндр. В нижней части рубашки на наружной поверхности выполнена
кольцевая проточка. Между гильзой и головкой установлен пакет деталей
уплотнения, состоящий из пяти резиновых колец, четырех стальных колец,
уложенных поочередно, одного упорного кольца и трапециевидного кольца.
Коленчатый вал.
Коленчатый вал изготовлен из высококачественной легированной стали и
полностью азотирован. Щеки кривошипов круглой формы. Коренные и шатунные шейки
коленчатого вала пустотелые. Цилиндрические полости шатунных шеек на концах
имеют конусные расточки под заглушки. Для предотвращения течи масла под головки
и гайки стяжных болтов ставятся медноасбестовые уплотнительные кольца, под
гайку дополнительно укладывается шелковая нить. В каждую шатунную шейку
завальцованы по две медных трубки для отбора центрифугированного масла и
подвода его к шатунным вкладышам. Коленчатый вал укладывается на пять опор
верхнего картера и фиксируется. Носок вала имеет фланец и центрирующий поясок,
на который устанавливается переходник, предназначенный для передачи крутящего
момента при помощи шлицов.
Шатунная группа.
Сюда входят: шатун, комплект подшипников верхней и нижней его головок,
шатунные болты с гайками и элементами их фиксации. Шатун служит связующим
звеном между поршнем и кривошипом. Он изготовлен из стали 40ХН методом горячей
штамповки. Стержень шатуна имеет двутавровое сечение. В верхнюю поршневую
головку шатуна запрессована верхняя втулка. Смазка втулки верхней головки и
поршневого пальца осуществляется разбрызгиваемым маслом, поступающим на их
трущиеся поверхности по торцевым зазорам и отверстиям в головке шатуна. Нижняя
головка шатуна разъёмная, с упрочняющими приливами и рёбрами жесткости.
Отверстие в кривошипной головке шатуна обрабатывают в собранном состоянии с
крышкой, поэтому нельзя заменять или переставлять крышку.
Поршневая группа.
Поршневая группа состоит из поршня, поршневых колец, поршневого пальца и
стопорных колец. При сборке дизеля с целью обеспечения его динамической
уравновешенности детали поршневой группы вместе с шатунами подбираются по весу.
Днище поршня, являющееся нижней частью камеры сгорания цилиндра, имеет снаружи
специальную форму, способствующую наиболее эффективному сгоранию впрыскиваемого
топлива. Коническая поверхность юбки в районе бобышек под поршневой палец имеет
цилиндрические выемки. Это позволяет при минимальных зазорах между поршнем и
гильзой в нагретом состоянии обеспечить нормальную работу поршня в гильзе и
минимальные расходы масла. С этой же целью в нижней части головки поршня
выполнена маслоулавливающая канавка и дренажные отверстия в третьей канавке
поршня.
На внутренней поверхности поршня в плоскости, перпендикулярной его
движению, выполнены две бобышки для крепления поршневого пальца.
Поршневой палец плавающего типа, полый.
Поршневые кольца. В первую канавку устанавливается стальное
газоуплотнительное, покрытой пористым хромом. Во вторую канавку устанавливается
стальное кольцо с рабочей хромированной поверхностью. В третью канавку
устанавливаются два стальных скребковых маслосъемных кольца.
Газораспределительный механизм.
Клапан впуска изготовлен из специальной стали. Грибок клапана имеет
плоское донышко и фаску под углом 45°. Шток клапана пустотелый внутренней
резьбой под тарелку. В верхней части, шток клапана имеет три лыски, в которые
входит замок тарелки клапана. Клапан выпуска изготовлен из жароупорной стали. В
остальном конструкция клапанов впуска и выпуска одинакова. Тарелки клапанов -
стальные, одинаковые для впускных и выпускных клапанов. Рабочая поверхность
тарелки цементируется и тщательно шлифуется. Клапанные пружины обеспечивают
плотное прилегание клапанов к сёдлам и своевременное закрытие их после
завершения действия кулачков распределительного вала. Пружина имеет витой
цилиндрический вид с постоянным шагом навивки. Два крайних витка являются
опорными. Они прижаты к соседним виткам и прошлифованы, создавая сплошную
кольцевую поверхность. Материал пружины - сталь 65Г. Распределительный вал
представляет собой стержень с опорными шейками и кулачками, предназначенными
для своевременного открытия клапанов. Вал имеет пять опорных шеек и 8 кулачков.
Масло к опорным шейкам подаётся под давлением из каналов системы общей смазки
двигателя.
Система охлаждения.
Система охлаждения предназначена для отвода тепла от деталей дизеля,
подверженных действию горячих газов, с целью поддержания температуры деталей в
определенных пределах. Система охлаждения обеспечивает постоянный подвод
охлаждающей воды и непрерывную ее циркуляцию в дизеле. Охлаждение дизеля -
принудительное водяное. Циркуляция воды в системе охлаждения обеспечивается
насосом, установленным на верхнем картере дизеля. Через приемный патрубок вода
поступает на крыльчатку насоса из трубопровода внешней части системы
охлаждения. При вращении крыльчатки вода по трубопроводам направляется из
корпуса насоса в моноблоки и далее в выхлопные коллекторы и в корпус подшипников
турбокомпрессора. Водяные трубы соединяются с выходными патрубками корпуса
насоса дюритовыми шлангами, затянутыми хомутами. На противоположных концах
водяные трубы имеют фланцы и соединяются шпильками с фланцами крышек
водоприемников. Попадая в водяные пространства головки, вода охлаждает гильзы
цилиндров, охлаждает днище камер сгорания, впускные и выпускные патрубки и
направляющие клапанов. Охладив турбокомпрессор, вода через выходной патрубок по
соединенным с ним трубопроводам внешней части системы охлаждения поступает в
радиатор, где и охлаждается. Краны, установленные в верхних точках выхлопных
колен, предназначены для выпуска воздуха при заполнении водой системы
охлаждения дизеля. Температура выходящей из дизеля охлаждающей жидкости
замеряется дистанционным термометром, приемник которого устанавливается в
трубопроводе внешне части системы охлаждения в непосредственной близости к
выходному патрубку турбокомпрессора. Жидкостной насос - центробежный,
предназначен для создания непрерывной циркуляции охлаждающей вода в системе
охлаждения. Насос монтируется на площадке верхнего картера дизеля, фиксируется
двумя штифтам и крепится восемью шпильками. Насос имеет два сальниковых
уплотнения, не допускающих просачивания масла по валику в полость крыльчатки, и
уплотнение не допускающее просачивания, воды к подшипникам.
Топливная система.
Топливо из бака проходит через топливный фильтр и поступает в
топливоподкачивающий насос. Топливоподкачивающий насос по трубопроводу низкого
давления направляет топливо под давлением 2-4 кгс/см2 в топливный насос
высокого давления, установленный на четырех опорах в развале блоков дизеля.
Перед входом в топливный насос топливо проходит через два топливных фильтра,
соединенных параллельно и укрепленных на дизеле. Топливный насос под большим
давлением (700-900 кгс/см2) по стальным трубкам высокого давления подает
топливо в форсунки, установленные в головках моноблоков. Через форсунку топливо
впрыскивается в камеры сгорания цилиндров дизеля. Отсечное топливо из насоса
снова подводится к топливному баку. Для замера давления топлива, поступающего в
топливный насос, на насосе имеется штуцер для крепления приемника манометра.
Топливный насос высокого давления 8 плунжерный, с двухсторонней отсечкой и с
раздельным всасыванием и отсечкой. Диаметр плунжера 13 мм, ход плунжера 12 мм.
Кулачки валика насоса симметричного профиля. Топливный насос предназначен для
подачи в форсунки строго дозированных порций топлива в определенный момент
топливо подается под большим давлением при возрастающих скоростях плунжера.
Картер насоса отлит из алюминиевого сплава и имеет восемь опорных лапок для
крепления насоса на дизеле. Головка насоса изготовляется из прессованного
алюминиевого сплава. Втулка с плунжером является основным топливоподающим
элементом насоса: изготовляются из специальной стали, проходят термообработку,
старение и совместную доводку. Будучи спаренными, втулка с плунжером образуют
прецизионную пару, в которой замена какой-либо одной детали не допускается.
Форсунка закрытого типа с гидравлически управляемой иглой предназначена для
впрыска топлива в камеру сгорания цилиндра дизеля. Форсунка обеспечивает
распыливание топлива на мельчайшие частицы и равномерное распределение частиц
топлива в сжатом воздухе, заполняющей камеру сгорания. Давление начала впрыска
топлива 200 кгс/см2.
Топливный фильтр служит для очистки от механических примесей топлива,
подаваемого в топливный насос. На дизеле устанавливаются два топливных фильтра,
включенных параллельно. Крепление фильтров осуществляется двумя болтами. Основными
деталями топливного фильтра являются; корпус фильтра, фильтрующее устройство и
крышка фильтра. Корпус фильтра отлит из алюминиевого сплава и представляет
собой цилиндрический стакан. В дно корпуса ввернут штуцер, в котором закреплена
стяжная шпилька, соединяющая вое остальные детали фильтра. Фильтрующее
устройство состоит из латунной сетки, шелкового чехла и фильтрующих пластин.
Сетка фильтра представляет собой свернутый из сетчатого листового материала
цилиндр, к которому сверху приварен фланец, а снизу дно. На сетку фильтра
натягивается шелковый чехол. На сетку с чехлом надеты пятнадцать квадратных
пластинок, изготовленных из авиационного войлока, причем восемь пластинок более
тонкие, чем остальные семь. Тонкие и толстые пластинки устанавливаются на сетку
фильтра поочередно и зажимаются гайкой между фланцем сетки и стальной
пластинкой, опирающейся на дно сетки. Крышка фильтра отливается из алюминиевого
сплава. На верхней плоскости крышки фильтра имеются два прилива, в которые
ввертываются штуцеры.
Смазочная система.
Смазка дизеля циркуляционная, под давлением, обеспечивающая непрерывную
подачу масла к трущимся деталям. Для замера температуры, выходящего из дизеля
масла в трубопроводе масляной системы в непосредственной близости к выходному
патрубку насоса, монтируется приемник дистанционного термометра. При работе
дизеля масло из поддона поступает в масляный фильтр на входной магистрали,
откуда направляется в маслонагнетающий насос и затем в верхний картер. Из
главной магистрали масло подводится к пяти подвескам картера, имеющим
сверления, по которым масло поступает на смазку коренных и шатунных вкладышей
шеек коленчатого вала и затем на смазку пальцев и втулок нижних головок
прицепных шатунов. Скапливающееся в головке масло по двум трубкам стекает в картер
дизеля. Стекающее по стенкам верхнего картера масло проходит сквозь
пеногасительную сетку и собирается в маслоотстойнике нижнего картера дизеля.
Для создания необходимого давления масла в главной масляной магистрали дизеля
требуется меньшее количество масла, чем может подать насос, поэтому при работе
дизеля редукционный клапан, как правило, приоткрыт и излишек масла по каналу
перепускается во всасывающую полость насоса. Давление масла в главной
магистрали дизеля регулируется редукционным клапаном, поджатием или ослаблением
пружины путем вращения регулировочного болта и вращением на полные обороты
регулировочного штуцера, которые после регулировки стопорятся болтом и
контргайкой. Для повышения давления масла пружина поджимается, а для понижения
ослабляется.
9. Исследовательский раздел
Общие сведения.
Одним из перспективных способов форсирования ДВС является применение
наддува. Увеличение количества воздуха, поданного в цилиндры двигателя, то есть
их массового наполнения, даёт возможность подавать большее количество топлива,
тем самым, повышая эффективную мощность двигателя. Практически это
осуществляется посредством повышения плотности воздушного заряда поступающего в
цилиндры, то есть посредством наддува. Наибольшее распространение получили
системы газотурбинного наддува. При газотурбинном наддуве для сжатия воздуха и
его нагнетания в цилиндры используется часть энергии отработавших газов.
Конструкция элементов систем газотурбинного наддува проста. Суммарная масса
этих элементов, как правило, не превышает 8% массы дизеля. Мощность дизелей при
применении газотурбинного наддува может быть повышена на 50% и более.
Токсичность отработавших газов вследствие протекания процесса при большем
коэффициенте а меньшая, чем в дизеле без наддува. При надлежащей отработке
конструкций и технологии, применении легированных материалов ресурс дизелей с
газотурбинным наддувом может быть доведен до столь же высокого уровня, как и у
дизелей без наддува. Стоимость двигателя, отнесенная к единице мощности, при
наддуве будет меньшая. Этим определяется большая перспективность применения
дизелей с газотурбинным наддувом в автомобильной технике. В то же время при
больших преимуществах газотурбинного наддува его использование на автомобильных
двигателях связано с преодолением существенных трудностей.
9.1 Расчёт турбокомпрессора
Исходные данные для примера расчета центробежного компрессора
|
Показатели
|
Режимы работы по скоростной
характеристике Me max
Ne ном
|
|
Расход воздуха, Gк,
кг/с
|
0,111 0,147
|
|
Давление на входе в
Компрессор, ра, МПа
|
0,0970 0,0970
|
|
Давление на выходе из
Компрессора рк, МПа
|
0,150 0,162
|
|
Степень повышения давления,
 к1,546
1,670
|
|
Предварительное определение основных параметров компрессора
Удельная адиабатная работа сжатия в компрессоре
Hк.ад=(k/(k-1))*R*Ta*(πk(k-1)/k-1);
м) Hк.ад=1,4/1,4-1*287*298(1,546(1,4-1)/1,4-1)=39680
Дж/кг;
н) Hк.ад=1,4/1,4-1*287*298(1,670(1,4-1)/1,4-1)=47236
Дж/кг.
Где R=287 Дж/(кг*град) - газовая
постоянная, k=1,4 - показатель адиабаты сжатия.
Плотность воздуха на входе (по параметрам окружающей среды)
ρa=ρ0=(3480*p0)/T0=3480*0,10/298=1,1678
кг/м3.
Ориентировочное значение окружной скорости на наружном диаметре рабочего
колеса определяется по эмпирической формуле
u׳2=(π׳k+1)100;
м) u׳2=(1,546+1)100=254,6 ì/ñ;
í) u׳2=(1,670+1)100=267,0
ì/ñ.
Îñåâàÿ
ñêîðîñòü
âîçäóõà
ïåðåä
êîëåñîì
С1а=сm* u׳2
,
Где относительная скорость сm=сm/u2 на серийных ТКР находятся в пределах 0,2…0,4.
Тогда диапазоны изменения скорости следующие:
м) С1а=(0,2…0,4)254,6=50,92…101,84 м/с;
н) С1а=(0,2…0,4)267,0=53,4…106,8 м/с.
.5. Площадь сечения на входе в колесо, удовлетворяющая скоростям С1а ,
должна находится в пределах:
м) F1=Gk/(ρa* С1а)=
0,111/(1,1678(50,92…101,84))=(0,00187…0,000933) м2;
н) F1=Gk/(ρa* С1а)=
0,147/(1,1678(53,4…106,8))=(0,00236…0,00118) м2.
Наружний диаметр колеса на входе D1н с учетом втулки определяется из уравнения
F1=π/4(D21н-D2вт)=((π
D21н)/4)*(1- D2вт).
Откуда D1н =
,
где Dвт - диаметр втулки; Dвт - относительный диаметр втулки для
получения приемлемой формы лопаточной решетки в корневом сечении; рекомендуется
принимать Dвт ≥0,3. Принимаем Dвт =0,3.
Тогда для выбранного диапазона F1 значение D1н находится в
пределах:
D1н=
=(0,0406…0,0512) м.
Принимаем D1н=0,051м= 51мм.
Диаметр втулки Dвт=0,3*51=15,3
м
Принимаем Dвт=20мм.
Наружный диаметр колеса на выходе D2=D1H/D1H ,где на
выполненных конструкциях ТКР относительный диаметр D1H=D1H/D2=0,55…0,70.
Диаметр колеса на выходе должен быть в пределах
D2=51/(0,55…0,70)=(92,7…72,9)
мм
В соответствии с ТУ 108.1170-83 принимаем D2=83 мм, D1H=51мм. Проверяем принятые размеры по
рекомендуемым соотношениям и при необходимости корректируем их:
D1H=51/83=0,61; [D1H]=0,55…0,70
DВТ= DВТ/D2=20/83=0,22; [DВТ]=0,2…0,3
По таблице для компрессора с лопаточным диффузором принимаем коэффициент
напора Hk=0,620
Уточняем значение окружной скорости
u2=
м)
=253м/с
н)
=276м/с
Проверяем правильность выбора D2 и u2 по коэффициенту расхода
Φ=(Gk)/((π/4)*D22u2ρa); π/4=0,785
м)
Φ=0,111/0,785*0,0832*253*1,1678=0,0695
н) Φ=0,147/0,785*0,0832*276*1,1678=0,0843
Входной патрубок
Скорость потока воздуха
Принимаем
= 0,24 .
м)
м/с;
н)
м/с,
Должно
быть
. Условие выполняется.
Статическое
давление
м)
МПа
н)
МПа
Статическая
температура при
=298К
м)
К
н)
К
где
сp= 1006,3Дж/(кт-К) - изобарная теплоёмкость воздуха при
Т0=25°С.
Рабочее
колесо
Расходная
скорость воздуха перед колесом (меридиональная):
площадь
входного сечения
м2;
скорости:
м)
м/с
н)
м/с
Относительная
скорость
м)
н)
Рекомендуемые
значения [сm] = 0,2. ..0,4
Таким
образом, для обоих режимов обеспечивается вход воздуха на рабочее колесо с
минимальными потерями.
Давление
м)
МПа.
н)
pl =
МПа
Температура
м)
К
н)
К
Плотность
воздуха
м)
кг/м3
н)
кг/м3
Средний
диаметр колеса на входе
(окружности,
делящей площадь сечения F1 пополам)
относительный
диаметр
Выбираем число лопаток колеса.
У
выполненных конструкций компрессоров ТКР число лопаток на выходе Z2 =
12. ..30. Меньшие значения для колес с малыми диаметрами D2. С
целью уменьшения загромождения потока на входе и улучшения работы компрессора
на нерасчетных режимах принимают двухъярусную решетку. Тогда
. Для рассчитываемого ТКР принимается Z2=
24; Z1=12.
Направления
относительной скорости на входе в колесо на режиме максимального крутящего
момента.
Направление входных кромок лопаток
Проектируем для режима максимального крутящего момента
где
i=1…3°- угол атаки.
Толщина
лопаток на входе.
δ1 = (0,005…0,015)D2.
Большие значения принимаются для колёс меньшего размера. Толщина лопаток δ от втулки к периферий несколько уменьшается.
Для
рассчитываемого ТКР δ1
=0,375…1,125 мм. Принимаем δ1= 1,2 мм; δ1н=1,0
мм; δ0
=1,4 мм.
Коэффициент
стеснения потока лопатками
Коэффициент
сжатия во входном сечении
м)
н)
Относительный
диаметр входа, обеспечивающий минимум относительной скорости в горле
межлопаточных каналов на диаметре D1н :
м)
н)
D1H=0,61
≥0,5607
D1H=0,61
≥0,5907
Условие
выполняется.
Относительная
скорость на входе на наружном и среднем диаметре
м)
н)
Максимальное
число М
м)
н)
Абсолютная
скорость и коэффициент расхода на входе в колесо с учётом стеснения
м)
м/с
н)
м/с
Радиальная
составляющая скорости на выходе из колеса с учётом стеснения
м)
с2г = (0,7…l,l)c1 = (0,7…1,1)75,2 = (52,64…82,72)м/с. Принимаем с
учетом с1 скорость с2г =75м/с.
н)
с2г =(0,7…1,1)99,7 = (69,79…109,67)м/с. Пpинимaeм на номинальном режиме с2г =
100 м/с.
Коэффициент
расхода на выходе
м)
н)
Условие
выполняется для компрессора с безлопаточным диффузором.
Коэффициент
уменьшения теоретического напора
Окружная составляющая скорости на выходе из колеса
м) с2u =μu2=0,878·253=222 м/с
н) с2u
=0,878·276=242 м/с
Относительная и абсолютная скорости на выходе из
колеса
м)
н)
Степень
снижения скорости за рабочим колесом
м)
н)
Потери
напора:
на
входе (в предкрылке)
, где ξ1=0,1…0,3
Принимаем
ξ1=0,2
м)
Дж/кг; н)
Дж/кг;
в
радиальной решетке
,
где
ξ2=0,1…0,2.
Принимаем ξ2=0,15
м)
Дж/кг
н)
Дж/кг
дисковые
где
коэффициент дискового трения
=0,03…0,08.
Принимаем αд соответственно 0,04 и 0,05
м)
Дж/кг
н)
Дж/кг
Температура
воздуха за колесом
м)
К
К
н)
К
К
Показатель
процесса сжатия в колесе
м)
н)
Давление
за колесом
м)
МПа
н)
МПа
Плотность
воздуха за колесом
м)
кг/м3
н)
кг/м3
Необходимая
высота лопаток на выходе
м)
м
н)
м
С
учетом расхода воздуха на номинальном режиме принимаем b2л=0,004 м = 4
мм
Относительная
высота лопаток
м)
н)
Число
М на выходе из колеса
м)
<0,8
н)
<0,8
Безлопаточный
диффузор
Ширина безлопаточного диффузора на входе
При
=4,1 мм относительный зазор
=0,025.
Ширина безлопаточного диффузора на выходе
.
Так
как расчет будет выполняться для компрессора с лопаточным диффузором, то
принимаем
=0,84. Тогда
м
Направление
абсолютной скорости на входе в безлопаточный диффузор
м)
;
н)
Направление скорости на выходе из безлопаточного
диффузора
м) α3=23,32° н) α3=27,07°
Скорость после безлопаточного диффузора
При
последующем лопаточном диффузоре отношение
=
1,08…1,25 (большие значения выбирают при М2 > 0,8), при одном безлопаточном
диффузоре
=1,65…2,2
м)
м/с
Принимаем
= 205 м/с.
н)
м/с
Принимаем
=225 м/с.
Показатель
процесса повышения давления воздуха в безлопаточном диффузоре
Температура
воздуха на выходе из безлопаточного диффузора
м)
К
н)
Давление
за безлопаточным диффузором
м)
МПа
н)
МПа
Число М на выходе из безлопаточного диффузора
м)
<0,8
н)
<0,8
Плотность
воздуха
м)
кг/м3
н)
кг/м3
Внешний
диаметр безлопаточного диффузора:
м)
н)
Уточняем
углы направления скорости на выходе из безлопаточного диффузора (см.п. 3.4.4):
α3=arcsin(Gk/πb3D3c3ρ3);
м)
α3=arcsin(0,111/3,14*0,0034*0,088*200*1,4862)=23042׳
í)
α3= arcsin(0,147/3,14*0,0034*0,088*225*1,5308)=27004׳
Ëîïàòî÷íûé
äèôôóçîð
Ñêîðîñòü
ïîñëå
äèôôóçîðà
(ñì. ðèñ.1)
Статистический диапазон отношения скоростей
м)
м/с
н)
м/с
Принимаем
м)
=90 м/с; н)
=105 м/с
Показатель процесса повышения давления воздуха в
лопаточном диффузоре
Политропный
КПД лопаточного диффузора принимаем
=0,82.
Температура
за диффузором
м)
К
н)
К
Давление за диффузором
м)
МПа
н)
МПа
Плотность
воздуха на выходе из лопаточного диффузора
м)
кг/м3
н)
кг/м3
Диаметр
выхода из диффузора
D4 = (1.2…1,4)·0,0,088 = 0,106…0,123 м
Принимаем D4=120мм. D4=120/88=1,364
Ширина
диффузора на выходе.
=0,0034+0,5(0,12-0,088)tg(4..6)0=(0,0045..0,0051)
Принимаем
Радиальная
составляющая скорости на выходе из лопаточного диффузора
м)
м/с
н)
м/с
Направление
потока воздуха на выходе из лопаточного диффузора
м)
°
н)
°
Отклонение
потока в лопаточном диффузоре
м)
н)
Входной и выходной углы лопаток
Рекомендуемые значения угла атаки на входе i3 =1…3°.
Принимаем i3=1,18°
Тогда для режима максимального крутящего момента
Рекомендуемые
значения угла отставания на выходе δ4 =3…4°. Выбираем δ4 =3,09°.
Число лопаток диффузора из условия оптимального
относительного шага
Рекомендуемые значения ZД = 13;17;19; Принимаем ZД = 21.
Улитка
Рис. 22. Схема улитки
Для рядного двигателя принимаем однозаходную улитку
круглого сечения (рис. 22).
Радиус выходного сечения улитки подсчитываются по
формуле
При
однозаходной улитке угол φ
изменяется от 0 до 180°.
м
Принимаем
Rул=20 мм. Тогда выходной диаметр улитки Dул=2Rул=40
мм
Радиус
поперечного сечения на выходе из диффузора
.
Рекомендуемый,
угол раскрытия выходного диффузора υ = 5...10°, а длина выходного диффузора lвых =
(3…6)·0,009 = 0,027…0,054 м; радиус поперечного сечения на выходе из диффузора
однозаходной улитки может быть установлен в диапазоне
м
Принимаем
=28 мм. Выходной диаметр диффузора
=2
=56мм
Потери
напора в улитке и выходном диффузоре:
Принимаем
ξул=0,25 и ξул=0,30, т.к. рекомендуемый коэффициент потерь ξул=0,2..0,5
м)
Дж/кг;
н)
Дж/кг.
Скорость
на выходе из компрессора
;
где
- число заходов улитки;
=
- плотность воздуха на выходе из
компрессора,
обычно принимают равным
.
м)
м/с;
н)
м/с;
Температура
на выходе
м)
К
К
н)
К
К
Показатель степени повышения давления в улитке
КПД
улитки на выполненных конструкциях η5 = 0,30…0,65.
Принимаем η5= 0,60.
Давление
на выходе
м)
МПа
н)
МПа
Степень повышения давления в компрессоре
м)
н)
Плотность
воздуха на выходе
м)
кг/м3
н)
кг/м3
Окончательные
значения основных параметров ступени
Конечное давление
м)
МПа;
н)
МПа.
Адиабатный КПД компрессора
м)
н)
КПД
ступени для нагнетателей данного типоразмера на расчетном режиме принимаем
равным ηк ад= 0,70 и ηк ад= 0,69 соответственно
Удельная адиабатная работа сжатия в компрессоре:
м)
Нк.ад = 
RT0 (
-1) = 
∙287∙298∙(1,6950,2857-1)
= 48710 Дж/кг
н)
Нк.ад = 
∙287∙298∙(1,8380,2857-1
) = 56859 Дж/кг
Мощность
компрессора (приводная):
Nк= Gк∙Нк.ад
/ ηк.ад
м)
Nк= 0,111·48710/0,70 = 7,724 кВт
н)
Nк= 0,147·56859/0,69 = 12113 Вт = 12,113 кВт
Частота
вращения колеса компрессора:
м)
nтк = 
= 
= 58246
мин-1
н)
nтк = 
=63540
мин-1
Окружная
скорость на входе в колесо компрессора:
U1 = 
;
м)
U1 = 
= 118,0
м/с;
н)
U1 = 
=
128,7м/с.
9.2 Расчет радиально-осевой
турбины
.Исходные данные
Исходные данные для расчета газовой турбины (рис.4)
принимаются по результатам предыдущих расчетов цикла комбинированного двигателя
и компрессора
Показатели компрессора для расчета турбины
|
Ïîêàçàòåëè
|
Ðåæèìû
ïî ñêîðîñòíîé
õàðàêòåðèñòèêå
|
|
ìàêñèìàëüíûé
êðóòÿùèé ìîìåíò
|
Íîìèíàëüíûé
|
|
Ðàñõîä
âîçäóõà Gk, êã/ñ
×àñòîòà âðàùåíèÿ
ðîòîðà òóðáîêîìïðåññîðà
nòê, ìèí-1 Äàâëåíèå
íàääóâà pk, ÌÏà
Ñòåïåíü ïîâûøåíèÿ
äàâëåíèÿ πk Óäåëüíàÿ
àäèàáàòíàÿ ðàáîòà
â êîìïðåññîðå,
Íê.àä,äæ/êã Àäèàáàòíûé
ÊÏÄ êîìïðåññîðà,
ηê.àä Êîýôôèöèåíò
èçáûòêà âîçäóõà,
α
|
0,111 58246 0,1695 1,695
48710 0,690 1,5
|
0,147 63540 0,1838 1,838
56859 0,687 1,6
|
Îñíîâíûå
ýíåðãåòè÷åñêèå
è ãåîìåòðè÷åñêèå
ïàðàìåòðû òóðáèíû
Ðàñõîä ãàçà
÷åðåç òóðáèíó.
Êîëè÷åñòâî
îòðàáîòàâøèõ
(âûïóñêíûõ) ãàçîâ
,
Ïðåäâàðèòåëüíî
ïðèíèìàåì
=1,05.
ì)
êã/ñ
í)
êã/ñ
Çíà÷åíèÿ
êîýôôèöèåíòà,
ó÷èòûâàþùåãî
óòå÷êè ãàçà
è âîçäóõà ÷åðåç
íåïëîòíîñòè,
íàõîäÿòñÿ â äèàïàçîíå
ηóò=0,95…0,98. Ïðèíèìàåì
ηóò = 0,97. Òîãäà,
ôàêòè÷åñêèé
ðàñõîä ãàçà ÷åðåç
òóðáèíó
;
ì)
êã/ñ.
í)
êã/ñ
Ïî äàííûì
òåõíè÷åñêèõ
õàðàêòåðèñòèê
òóðáîêîìïðåññîðîâ
ñ ðàäèàëüíî-îñåâûìè
òóðáèíàìè çíà÷åíèÿ
ìàêñèìàëüíûõ
ÊÏÄ òóðáèí íàõîäÿòñÿ
â ïðåäåëàõ ηê àä= 0,68…0,74. Ïðåäâàðèòåëüíî
ïðèíèìàåì ìàêñèìàëüíîå
çíà÷åíèå ÊÏÄ
òóðáèíû ì)ηò= 0,71 , í)ηò= 0,70
Òåìïåðàòóðà
ãàçîâ ïåðåä òóðáèíîé
Òò ïðèíèìàåòñÿ
ïî ðåçóëüòàòàì
ðàñ÷åòà öèêëà
äâèãàòåëÿ.
Ïðèíèìàåì:
ì) Ò1 = Òò≈983 Ê; í) Tò = 963 Ê.
Íåîáõîäèìàÿ
ñðåäíÿÿ çà öèêë,
óäåëüíàÿ àäèàáàòíàÿ
ðàáîòà ãàçà â
òóðáèíå îïðåäåëÿåòñÿ
èç áàëàíñà ñðåäíèõ
ìîùíîñòåé òóðáèíû
è êîìïðåññîðà
(äëÿ òóðáèíû ñ
ïåðåìåííûì äàâëåíèåì
ãàçà çíà÷åíèå
Hò àä
ì)
Äæ/êã
í)
Äæ/ê
Ïðîòèâîäàâëåíèå
çà òóðáèíîé p4= ζt*p0, ãäå êîýôôèöèåíò
ñîïðîòèâëåíèÿ
óñòðîéñòâ çà
òóðáèíîé (ãëóøèòåëü
øóìà, íåéòðàëèçàòîðû
è ò.ï.) íàõîäèòñÿ
â ïðåäåëàõ ζt=1,02…1,08. Ïðèíèìàåì
ζt=1,05
ÌÏà.
Ñðåäíåå äàâëåíèå
ãàçà ïåðåä òóðáèíîé
ì)
ÌÏà
í)
ÌÏà
Îòíîøåíèå
ì)
; í)
Ïëîòíîñòü
ãàçà ïåðåä òóðáèíîé
ì)
êã/ì3
í)
êã/ì3
Òèï òóðáèíû
âûáèðàåòñÿ ïî
çíà÷åíèþ êîýôôèöèåíòà
áûñòðîõîäíîñòè
ì)
í)
Äëÿ
ðàäèàëüíî-îñåâîé
òóðáèíû ns = 0,06…0,12, à
îñåâîé ns = 0,09…0,15 Ïðèíèìàåì
ðàäèàëüíî-îñåâóþ
òóðáèíó ñ îäíîçàõîäíîé
óëèòêîé è ëîïàòî÷íûì
ñîïëîâûì àïïàðàòîì.
Íàðóæíûé
äèàìåòð ðàáî÷åãî
êîëåñà.
Îïòèìàëüíîå
ñîîòíîøåíèå
äèàìåòðîâ òóðáèíû
D3ò è êîìïðåññîðà
D2ê â âûïîëíåííûõ
êîíñòðóêöèÿõ
òóðáîêîìïðåññîðîâ
íàõîäèòñÿ â ïðåäåëàõ:
ñ ðàäèàëüíî-îñåâîé(öåíòðîñòðåìèòåëüíîé)
òóðáèíîé D3ò / D2ê =1,0…1,1. Äëÿ ðàññ÷èòûâàåìîé
òóðáèíû íàðóæíûé
äèàìåòð ðàáî÷åãî
êîëåñà D3ò =(1,0…1,1) D2ê =(0,110…0,121) ì. Ïðèíèìàåì
D3= 0,09ì = 90ìì.
Äèàìåòðû
ñîïëîâîãî àïïàðàòà
íàçíà÷àþòñÿ
íà îñíîâå îïûòíûõ
çàâèñèìîñòåé:
íàðóæíûé
äèàìåòð ëîïàòîê Dl=
,
âíóòðåííèé
äèàìåòð ëîïàòîê
Dl=
Ïî îïûòíûì
ðåêîìåíäàöèÿì
îòíîñèòåëüíûå
äèàìåòðû íàõîäÿòñÿ
â ïðåäåëàõ:
=
1,35…1,50;
=1,05…1,10.
Ìåíüøèå çíà÷åíèÿ
ïðèíèìàþòñÿ
ïðè óëèòî÷íîì
ïîäâîäå ãàçà,
áîëüøèå - äëÿ ïåðåìåííîãî
äàâëåíèÿ ãàçà
ïåðåä òóðáèíîé.
 ñîîòâåòñòâèè
ñ ýòèì
Dl = (1,35...1,50)·0,09 = (0,122…0,135) ì;
D2 = (1,05...1,10)·0,09 = (0,095…0,099) ì.
Ïðèíèìàåì
Dl = 0,130 ì = 130 ìì;
D2 = 0,097 ì = 97 ìì.
Äèàìåòðû
ðàáî÷åãî êîëåñà
íà âûõîäå:
íàðóæíûé
;
âòóëî÷íûé
;
ñðåäíèé
.
Ïî îïûòíûì
ðåêîìåíäàöèÿì
îòíîñèòåëüíûå
äèàìåòðû:
=
0,70..0,85;
=0,25.. .0,32.
Òîãäà
D4í= (0,70..0,85) 0,09 = (0,063…0,077) ì;
Dâò= (0,25.. .0,32) 0,09 = (0,0225…0,0288) ì.
Ïðèíèìàåì
D4í= 0,07 ì = 70 ìì;
Dâò= 0,025ì = 25 ìì.
Ñðåäíèé äèàìåòð
íà âûõîäå
D4=
ì ≈ 53 ìì.
Îòíîñèòåëüíûé
ñðåäíèé äèàìåòð
=D4/D3
=0,053/0,09 = 0,5889.
Ïëîùàäü ñå÷åíèÿ
ðàáî÷åãî êîëåñà
íà âûõîäå
ì2
Îêðóæíûå
ñêîðîñòè ïðè âõîäå
ãàçà â ðàáî÷åå
êîëåñî òóðáèíû
ì)
ì/ñ
í)
ì/ñ
Îêðóæíàÿ
ñêîðîñòü íà âûõîäå
èç ðàáî÷åãî êîëåñà
íà ñðåäíåì äèàìåòðå
ì)
ì/ñ
í)
ì/ñ
Ñòåïåíü
ðåàêòèâíîñòè
òóðáèíû
Îïòèìàëüíîå
çíà÷åíèå åå ñîãëàñíî
îïûòíûì äàííûì
íàõîäèòñÿ â ïðåäåëàõ:
-îñåâûå òóðáèíû
ρ
= 0,45…0,55; Äëÿ
ðàññ÷èòûâàåìîé
òóðáèíû ïðèíèìàåì
ρ
= 0,48.
Ñîïëîâîé
àïïàðàò
Àäèàáàòíàÿ
ðàáîòà ðàñøèðåíèÿ
ãàçà â ñîïëå
ì)
Äæ/êã;
í)
Äæ/êã.
Àáñîëþòíàÿ
ñêîðîñòü ãàçà
íà âõîäå â ðàáî÷åå
êîëåñî
.
Êîýôôèöèåíò
ñêîðîñòè φñ, ó÷èòûâàþùèé
ïîòåðè â ñîïëîâîì
àïïàðàòå äëÿ ðàäèàëüíî-îñåâûõ
è îòíîñèòåëüíî
ìàëîãî ðàçìåðà
îñåâûõ òóðáèí
ñ äèàìåòðîì êîëåñà
80... 180 ìì, íàõîäèòñÿ
â ïðåäåëàõ φñ = 0,93…0,95; ñ ó÷åòîì
óëèòêè ïðèíèìàåì
φñ = 0,94.
Ñðåäíÿÿ ñêîðîñòü
ãàçà íà âõîäå
â ñîïëîâîé àïïàðàò
(óëèòêó) îáû÷íî
ñîñòàâëÿåò c1 = 50…70 ì/ñ. Äëÿ
ðàññ÷èòûâàåìûõ
ðåæèìîâ ïðèíèìàåì:
ì) ñ1=55 ì/ñ í) ñ1=65
ì/ñ
Òîãäà
ì)
ì/ñ
í)
ì/ñ
Ðåêîìåíäóåìîå
÷èñëî ñîïëîâûõ
ëîïàòîê Z1 =14…20. Ïðèíèìàåì
Z1 =16
Îñåâàÿ
ñêîðîñòü íà âûõîäå
èç ðàáî÷åãî êîëåñà
îïðåäåëÿåòñÿ
ïî ôîðìóëå
,
êîòîðàÿ
ïðåîáðàçóåòñÿ
ê âèäó
;
ì)
ì/ñ
í)
ì/ñ
Ðàäèàëüíàÿ
ñîñòàâëÿþùàÿ
àáñîëþòíîé ñêîðîñòè
íà âûõîäå ñ ëîïàòîê
ñîïëîâîãî àïïàðàòà.
 ïåðâîì ïðèáëèæåíèè
ïðèíèìàåì:
ì) ñ3r= 75ì/ñ; í) ñ3ã =
90 ì/ñ.
Óãîë âõîäà
ïîòîêà íà ðàáî÷åå
êîëåñî
ì)
í)
Îêðóæíàÿ
ñîñòàâëÿþùàÿ
àáñîëþòíîé ñêîðîñòè
ãàçà ñ3u :
íà âõîäå â
ðàáî÷åå êîëåñî
(ïî çàêîíó ñ2u=const) ñ3u= ñ3cosα3;
ì)
ì/ñ
í)
ì/ñ;
íà
âûõîäå ñ ëîïàòîê
ñîïëîâîãî àïïàðàòà
;
ì)
ì/ñ
í)
ì/ñ
×èñëî ëîïàòîê
ðàáî÷åãî êîëåñà
íàõîäèòñÿ â ïðåäåëàõ
Z3 = 11…18. Ïðèíèìàåì
Z3 =15. Ëîïàòêè ðàäèàëüíûå.
Êîýôôèöèåíò
çàãðîìîæäåíèÿ
âõîäíîãî ñå÷åíèÿ
ðàáî÷åãî êîëåñà
Òîëùèíà
ðàáî÷èõ ëîïàòîê
íà âõîäå ïðèíèìàåòñÿ
=1…2 ìì.
Ðàäèàëüíàÿ
ñîñòàâëÿþùàÿ
àáñîëþòíîé ñêîðîñòè
íà âûõîäå ñ ëîïàòîê
ñîïëîâîãî àïïàðàòà.
Ïðåäâàðèòåëüíî
ïðèíèìàåì øèðèíó
ëîïàòîê b2=b3 è
ïëîòíîñòü ãàçà
ρ2=ρ3.
Òîãäà
ì)
ì/ñ
í)
ì/ñ
Àáñîëþòíàÿ
ñêîðîñòü íà âûõîäå
ñ ëîïàòîê ñîïëîâîãî
àïïàðàòà
ì)
ì/ñ
í)
ì/ñ
Óãîë
âûõîäà ãàçîâîãî
ïîòîêà èç ñîïëîâîãî
àïïàðàòà
ì)
°
í)
°
Òåìïåðàòóðà
ãàçà íà âûõîäå
èç ëîïàòîê ñîïëîâîãî
àïïàðàòà:
ñòàòè÷åñêàÿ
ì)
Ê
í)
Ê
çàòîðìîæåííîãî
ïîòîêà
ì)
Ê
í)
Ê
×èñëî
Ìàõà, õàðàêòåðèçóþùåå
ðåæèì òå÷åíèÿ
ãàçà íà âûõîäå
èç ñîïëîâîãî
àïïàðàòà
ì)
í)
Ïîòåðÿ
ýíåðãèè â ñîïëîâîì
àïïàðàòå
ì)
Äæ/êã
í)
Äæ/êã,
Ïîêàçàòåëè
ïîëèòðîïû ðàñøèðåíèÿ
â ñîïëîâîì àïïàðàòå
;
ì)
;
í)
.
Äàâëåíèå
ãàçà íà âûõîäå
èç ñîïëîâîãî
àïïàðàòà
ì)
ÌÏà
í)
ÌÏà
Ïëîòíîñòü
ãàçà ïîñëå ñîïëîâîãî
àïïàðàòà
ì)
êã/ì3
í)
êã/ì3
Øèðèíà
ïðîòî÷íîé ÷àñòè
ñîïëîâîãî àïïàðàòà
(äëèíà ëîïàòîê)
ì)
ì
í)
ì
Ïðèíèìàåì
b2 = 12,0 ìì. Îòíîñèòåëüíàÿ
øèðèíà b2 /D3
=12,0/90 = 0,13.
Ðàáî÷åå êîëåñî
Óãîë âõîäà
ïîòîêà íà ðàáî÷åå
êîëåñî ñ ðàäèàëüíûìè
ëîïàòêàìè
ì)
í)
Òåìïåðàòóðà
ãàçà íà âõîäå
â ðàáî÷åå êîëåñî
ì)
Ê
í)
Ê
Äàâëåíèå
ãàçà íà âõîäå
ì)
ÌÏà
í)
ÌÏà
Ïëîòíîñòü
ãàçà
ì)
êã/ì3
í)
êã
Îòíîñèòåëüíàÿ
ñêîðîñòü ïîòîêà
ãàçà íà âõîäå
â ðàáî÷èõ êîëåñ
ì)
=84 ì/ñ
í)
=97 ì/ñ.
Àäèàáàòíàÿ
ðàáîòà ðàñøèðåíèÿ
ãàçà â ðàáî÷åì
êîëåñå
ì)
=23381 Äæ/êã
í)
=27292 Äæ/êã
Îòíîñèòåëüíàÿ
è ñðåäíÿÿ ñêîðîñòü
íà âûõîäå èç ðàáî÷åãî
êîëåñà
Ñêîðîñòíîé
êîýôôèöèåíò:
äëÿ
öåíòðîñòðåìèòåëüíûõ
òóðáèí
=0,85….0,95
;
äëÿ
îñåâûõ
=0,93…0,97
Ïðèíèìàåì
=0,90
ì)
=162 ì/ñ
í)
=167 ì/ñ
Òåìïåðàòóðà
ãàçà íà âûõîäå
ì)
=937 Ê
í)
=908 Ê
Äàâëåíèå
ãàçà
ì)
= 0,1268 ÌÏà
í)
= 0,1339 ÌÏà
Ïëîòíîñòü
ãàçà íà âûõîäå
ì)
= 0, 4709 êã/ì3
í)
= 0,5131 êã/ì3
Ïðåäâàðèòåëüíîå
çíà÷åíèå óãëà
âûõîäà ïîòîêà
ãàçà èç ðàáî÷åãî
êîëåñà â îòíîñèòåëüíîì
äâèæåíèè
ì)
í)
Âåëè÷èíà
óòå÷êè ãàçà
ïî ðàäèàëüíîìó
çàçîðó â öåíòðîñòðåìèòåëüíîé
òóðáèíå
Âåëè÷èíà
ðàäèàëüíîãî çàçîðà
= (0,5...1,3) ìì. Ïðèíèìàåì
=0,6 ìì. Âûñîòà
ëîïàòîê íà âûõîäå,
ìì
Âåëè÷èíà
ðàäèàëüíîãî çàçîðà
= (0,5….1,3). Ïðèíèìàåì
=0,6
Âûñîòà
ëîïàòîê íà âûõîäå
=22,5
Òîãäà
ì)
= 0,0019 êã/ñ;
í)
= 0,0025 êã/ñ.
Óòî÷íåííàÿ
âåëè÷èíà óãëà
âûõîäà ãàçà èç
ðàáî÷åãî êîëåñà
ì)
=35,5
í)
=37,3
Îêðóæíàÿ
ñîñòàâëÿþùàÿ
àáñîëþòíîé ñêîðîñòè
íà âûõîäå èç ðàáî÷åãî
êîëåñà
ì)
= 9,8 ì/ñ;
í)
= 11,3 ì/ñ.
Óòî÷íåííàÿ
îñåâàÿ ñîñòàâëÿþùàÿ
àáñîëþòíîé ñêîðîñòè
ì)
c4à=62 sin 35,5°= 32,8 ì/ñ;
í)
ñ4à =67 sin37,3°= 37,0 ì/ñ.
Îòíîøåíèÿ
ñêîðîñòåé:
ì)
=0,437 í)
=0,411
Àáñîëþòíàÿ
ñêîðîñòü ãàçà
íà âûõîäå
ì)
=34,2 ì/ñ í)
= 38,7 ì/ñ
Óãîë
âûõîäà ïîòîêà
ïî îòíîøåíèþ
ê ïëîñêîñòè ðàáî÷åãî
êîëåñà
ì)
=71 í)
=72
Ïîòåðè
ýíåðãèè ñ âûõîäíîé
ñêîðîñòüþ
ì)
= 585 í)
= 749
Ïîòåðè
ýíåðãèè âñëåäñòâèå
óòå÷åê
ì)
= 393 Äæ/êã
í)
= 461Äæ/êã
Ïîòåðè
íà ëîïàòêàõ ðàáî÷åãî
êîëåñà
,
ãäå
ñêîðîñòíîé êîýôôèöèåíò
äëÿ ðàäèàëüíî-îñåâîé
òóðáèíû
=0,85.. .0,95, à îñåâîé
=0,93.. .0,97
ì)
= 696 Äæ/êã
í)
= 296 Äæ/êã
Ïîòåðè
òðåíèÿ äèñêà
ðàáî÷åãî êîëåñà
è âåíòèëÿöèîííûå
ïîòåðè
Êîýôôèöèåíò,
ó÷èòûâàþùèé
ôîðìó äèñêà,
= (1,0... 1,5)103. Ïðèíèìàåì
= 1200.
ì)
= 1769 Äæ/êã
í)
= 1755 Äæ/êã
Àäèàáàòíûé
ÊÏÄ òóðáèíû
Í)
= 0,895
í)
= 0,890
Ýôôåêòèâíûé
ÊÏÄ òóðáèíû
Îáû÷íî
=0,85….. 0,96.
ì)
= 0,857
í)
= 0,854
Ðàññ÷èòàííîå
çíà÷åíèå
íå äîëæíî
îòëè÷àòüñÿ áîëåå
÷åì íà 2-3% îò ðàíåå
ïðèíÿòîãî çíà÷åíèÿ
ïðè îïðåäåëåíèè
àäèàáàòíîé ðàáîòû
ãàçà â òóðáèíå
Í ò àä. Â ïðîòèâíîì
ñëó÷àå òðåáóåòñÿ
ïîâòîðíûé ðàñ÷åò
ïðè èçìåíåííûõ
ïàðàìåòðàõ è
ãåîìåòðè÷åñêèõ
ðàçìåðàõ òóðáèíû.
Ïîíèæåííîå çíà÷åíèå
íà íîìèíàëüíîì
ðåæèìå îáóñëîâëåíî
îòêëîíåíèåì
îò ðàñ÷åòíîãî
(ðåæèìà ìàêñèìàëüíîãî
êðóòÿùåãî ìîìåíòà).
Ýôôåêòèâíàÿ
ìîùíîñòü òóðáèíû
NT=HT ÀÄGT
ì)
NT =104557
0,113
0,857 = 8,1 êÂò; NK=
7,7 êÂò;
í)
NT =127276
0,148
0,854 =12,6 êÂò; NK =
12,1 êÂò.
Ìîùíîñòè
,NT è NK äîëæíû
áûòü ðàâíû (ñì.
ï. 3.7.4).
Ïðè
ïðîåêòèðîâàíèè
óëèòî÷íîãî ïîäâîäà
ãàçà ê òóðáèíå
(ñîïëîâûì ëîïàòêàì),
õàðàêòåðíîãî
äëÿ òóðáèíû ïîñòîÿííîãî
äàâëåíèÿ, îáû÷íî
ïðèíèìàåòñÿ
çàêîí ïðÿìîëèíåéíîãî
óáûâàíèÿ ïðîõîäíîãî
ñå÷åíèÿ óëèòêè
ïî å¸ äëèíå. Ïðè
ýòîì ìàêñèìàëüíîå
íà÷àëüíîå ïðîõîäíîå
ñå÷åíèå Fymax
áåð¸òñÿ
ðàâíûì âûõîäíîìó
ñå÷åíèþ âûïóñêíîãî
òðóáîïðîâîäà,
à ìèíèìàëüíîå
êîíöåâîå ñå÷åíèå
Fymin (âî èçáåæàíèå
áîëüøîé øóìíîñòè
òóðáèíû ïðè ðàáîòå)
ïîðÿäêà (0.l...0.15) Fymax.
9.3 Îáîñíîâàíèå
âûáîðà òóðáîêîìïðåññîðà
Ïî ïîëó÷åííûì
äàííûì ðàñ÷¸òà
ðàçìåðîâ ðàáî÷èõ
êîë¸ñ òóðáèíû
è êîìïðåññîðà
èç ñåðèéíî âûïóñêàåìûõ
òóðáîêîìïðåññîðîâ
ïîäõîäÿò ÒÊÐ 7 è
ÒÊÐ 8,5. Äëÿ áîëåå
òî÷íîãî îïðåäåëåíèÿ
ñòðîèì ñîâìåù¸ííûå
õàðàêòåðèñòèêè
ðàáîòû äâèãàòåëÿ
è êîìïðåññîðà.
Ïî ïîëîæåíèþ òî÷åê
ñîâìåñòíîé ðàáîòû
äâèãàòåëÿ è êîìïðåññîðà
âèäíî ÷òî íà óíèâåðñàëüíîé
õàðàêòåðèñòèêå
êîìïðåññîðà ÒÊÐ
7 ãèäðàâëè÷åñêàÿ
õàðàêòåðèñòèêà
äâèãàòåëÿ ëåæèò
â çîíå ìàêñèìàëüíîãî
ÊÏÄ òóðáîêîìïðåññîðà
è èìååò íàèáîëüøèé
çàïàñ ïî ïîìïàæó.
Ñëåäîâàòåëüíî
ïðèíèìàåì ÒÊÐ
7.
Áèáëèîãðàôè÷åñêèé
ñïèñîê
1. Ãàâðèëîâ
À.À. Ðàñ÷åò öèêëîâ
ïîðøíåâûõ äâèãàòåëåé:
Ó÷åá. ïîñîáèå
/ À.À. Ãàâðèëîâ, Ì.Ñ.
Èãíàòîâ, Â.Â. Ýôðîñ;
Âëàäèì. ãîñ. óí-ò.
- Âëàäèìèð, 2003. - 124 ñ.
- ISBN 5-89368-392-7.
. Ãîö
À.Í. Ïîðÿäîê ïðîåêòèðîâàíèÿ
àâòîìîáèëüíûõ
è òðàêòîðíûõ
äâèãàòåëåé: ó÷åá.
ïîñîáèå / À.Í. Ãîö,
Â.Â. Ýôðîñ; Âëàäèì.
ãîñ. óí-ò.- Âëàäèìèð:
Èçä-âî Âëàäèì.
ãîñ. óí-òà, 2007-148 ñ. - ISBN 5-89368-750-7
. Ãîö
À.Í. Àíàëèç óðàâíîâåøåííîñòè
è ìåòîäû óðàâíîâåøèâàíèÿ
àâòîìîáèëüíûõ
è òðàêòîðíûõ
äâèãàòåëåé / À.Í.
Ãîö; Âëàäèì. ãîñ.
óí-ò. - Âëàäèìèð:
Èçä-âî Âëàäèì.
ãîñ. óí-òà, 2007 - 124ñ.
- ISBN 5-89368-725-6.
. Ãîö
À.Í. Ðàñ÷åòû íà
ïðî÷íîñòü äåòàëåé
ÄÂÑ ïðè íàïðÿæåíèÿõ
ïåðåìåííûõ âî
âðåìåíè: ó÷åá.
ïîñîáèå / À.Í. Ãîö;
Âëàäèì. ãîñ. óí-ò.-
Âëàäèìèð: Èçä-âî
Âëàäèì. ãîñ. óí-òà,
2005. - 117 ñ. - ISBN 5-89368-550-4.
. Ãàâðèëîâ
À.Ê. Ñèñòåìû æèäêîñòíîãî
îõëàæäåíèÿ àâòîòðàêòîðíûõ
äâèãàòåëåé/ À.Ê.
Ãàâðèëîâ; ïîä ðåä.
Â.Â. Áûñòðèöêàÿ.
Ì.: Ìàøèíîñòðîåíèå,
1966. 163 ñ.
. Ãàâðèëîâ
À.À. Ïðîåêòèðîâàíèå
òóðáîêîìïðåññîðîâ
äëÿ íàääóâà ïîðøíåâûõ
äâèãàòåëåé âíóòðåííåãî
ñãîðàíèÿ: Ó÷åá.
ïîñîáèå / À.À. Ãàâðèëîâ,
Ì.Ñ. Èãíàòîâ; Âëàäèì.
ãîñ. óí-ò. - Âëàäèìèð,
2009. - 88 ñ. - ISBN
978-5-9984-0003-2.
Ðàçìåùåíî
íà Allbest.ru