Разработка абонентской сети для фрагмента LTE Центрального района г. Кирова

  • Вид работы:
    Курсовая работа (т)
  • Предмет:
    Информатика, ВТ, телекоммуникации
  • Язык:
    Русский
    ,
    Формат файла:
    MS Word
    1,15 Мб
  • Опубликовано:
    2014-11-04
Вы можете узнать стоимость помощи в написании студенческой работы.
Помощь в написании работы, которую точно примут!

Разработка абонентской сети для фрагмента LTE Центрального района г. Кирова

ФЕДЕРАЛЬНОЕ ГОСУДАРСТВЕННОЕ БЮДЖЕТНОЕ ОБРАЗОВАТЕЛЬНОЕ УЧРЕЖДЕНИЕ

ВЫСШЕГО ПРОФЕССИОНАЛЬНОГО ОБРАЗОВАНИЯ

ВЯТСКИЙ ГОСУДАРСТВЕННЫЙ УНИВЕРСИТЕТ

ФАКУЛЬТЕТ ПРИКЛАДНОЙ МАТЕМАТИКИ И ТЕЛЕКОММУНИКАЦИЙ

КАФЕДРА РАДИОЭЛЕКТРОННЫХ СРЕДСТВ








Разработка абонентской сети для фрагмента LTE Центрального района г. Кирова

Пояснительная записка

Курсовой проект по дисциплине

«Сети и системы радиосвязи и средства их информационной защиты»

ТПЖА.210403.10 ПЗ

Разработал студент гр. ЗС-51 _________________ /Ходырев М. В./

Руководитель _________________ / Частиков А.В./

Проект защищен с оценкой «_____________» «__»_______ 2013 г.


Киров 2013

Реферат

Ходырев М.В. Разработка абонентской сети для фрагмента LTE Центрального района г. Кирова: ТПЖА.210403.10 ПЗ. Курсовой проект/ ВятГУ, кафедра РЭС; Частиков А.В. - Киров, 2013, ПЗ 45 с., 19 рис., 3 табл., 7 источн.

СОТОВАЯ СВЯЗЬ, ПЕРЕДАЧА ДАННЫХ, ШИРОКОПОЛОСНЫЙ ДОСТУП, СЕТИ ЧЕТВЕРТОГО ПОКОЛЕНИЯ, LTE, WiMAX, UTRAN, 3GPP, NODE-B, PDP-КОНТЕКСТ, QUALITY OF SERVICE, ТУРБОКОД, MIMO.

Объектом проектирования является абонентская сеть для фрагмента LTE Центрального района г. Кирова.

Цель работы - обзор технологий предоставления широкополосного доступа, обоснование выбора и описание технологии LTE, выбор структуры абонентской сети, выбор оборудования для строительства сети.

Для решения задачи курсового проекта были проанализированы основные технологии предоставления мобильного ШПД, изучены их архитектуры, а также существующие структуры построения абонентской сети. Рассмотрены ведущие производители телекоммуникационного оборудования.

В результате курсового проектирования рассмотрена эволюция развития технологий передачи данных в сотовых сетях. Обоснован выбор технологии LTE в качестве сетей следующего поколения, а также приведен краткий принцип построения и функционирования сетей LTE начиная с архитектуры и заканчивая физическим уровнем. Основываясь на опыте других операторов сотовой связи и структуре сети стандарта LTE, выбрана структура абонентской сети. Произведен выбор основного производителя оборудования.

Научная новизна отсутствует.

Практическая ценность данной работы состоит в том, что она дает оценку современным технологиям широкополосной передачи данных, рассматривает их преимущества и недостатки, а также в ней показана структура существующей сети LTE, наложенной на 2G и 3G.

Область применения - работа может быть применена для ознакомления с современными технологиями ШПД, изучения архитектуры сети LTE и использоваться в качестве примера при разработке абонентской сети на выделенном районе города.

Содержание

абонентский сеть канал многоантенный

Введение

Сети ШПД. Выбор в пользу LTE

Принципы построения и функционирования сетей LTE

Архитектура сети LTE

Стеки протоколов и каналы, реализованные на различных уровнях

Услуги в сетях LTE

Качество обслуживания в сетях LTE

Физический уровень сетей LTE

Структуры кадров в сети LTE

OFDM и SC-FDMA

Помехоустойчивое кодирование

Поддержка многоантенных систем MIMO

Обеспечение информационной безопасности в сетях LTE

Выбор структуры абонентской сети

Анализ городского района разработки абонентской сети

Выбор оборудования

Заключение

Библиографический список

Введение

По мере роста пользователей мобильного интернета и постоянно возрастающей потребности иметь возможность мобильного широкополосного доступа (ШПД) не только в домашних условиях или, скажем на рабочем месте, а в любой точке нахождения современного пользователя интернета, мобильный ШПД становится с каждым днем более распространенным. По прогнозам примерно 2/3 из около двух миллиардов людей, которые в 2012-2014 году станут пользователями ШПД, будут использовать эту технологию в мобильной форме. Большая часть из этих пользователей получат услуги мобильного ШПД, благодаря современным сетям с поддержкой таких сетевых протоколов передачи данных как 3G/ UMTS, HSDPA (High-Speed Downlink Packet Access), HSPA (High Speed Packet Access), HSPA+ (Evolved High-Speed Packet Access) и LTE (Long Term Evolution).

Но не все представленные технологии способны предоставить высокое качество сервисов при использовании мобильного ШПД. Основными проблемами этих технологий является низкая скорость передачи данных, малая пропускная способность и большое время отклика.

Наиболее перспективной технологией в плане удовлетворения потребителей мобильным ШПД и решения представленных задач является LTE.

Внедрение LTE в странах Европы, Восточной Азии и США началось с конца 2010 года. Первые сети запускались в тестовом режиме, а начиная с 2011 началась коммерческая эксплуатация. В результате к началу 2012 года количество таких сетей превысило 50. В России бурное развитие LTE началось в 2012 году.

В городе Кирове, как и во многих других городах России, возникла проблема с нехваткой емкости и производительности сетей третьего поколения. Поэтому создание сетей LTE в нашем городе является актуальным техническим предложением для улучшения качества сервисов мобильного ШПД.

.       
Сети ШПД. Выбор в пользу LTE

Итак, основными технологиями ШПД являются: 3G/ UMTS, HSDPA (High-Speed Downlink Packet Access), HSPA (High Speed Packet Access), HSPA+ (Evolved High-Speed Packet Access), LTE (Long Term Evolution) и WiMAX. Необходимо заметить, что HSPA и HSPA+ по сути являются модификациями технологии HSDPA, позволяющие повысить некоторые характеристики последнего (в первую очередь скорость на прием). С другой стороны и LTE имеете разные версии (релизы). Согласно спецификациям 3GPP технология LTE начинается с 8-го релиза, а сетью четвертого поколения, наряду с WiMAX (rel. 2), является 10-ый (LTE Advanced) и более поздние релизы. Понятно, что каждая новая версия предназначена для устранения недостатков предыдущей и улучшения ее характеристик. Однако увеличивается и стоимость оборудования для более нового релиза.

В таблице 1.1 приведена сравнительная характеристика данных технологий по некоторым параметрам.

Таблица 1.1 - Характеристики технологий ШПД.


HSPA+

LTE (rel.8)

LTE (rel. 10)

WiMAX (rel. 2)

Диапазон, ГГц.

2

0,698…3,6

0,450…4,99

2,3-2,7 3,4-3,6 5,7-5,8

Дуплексирован.

FDD

FDD, TDD

FDD, TDD

FDD, TDD

Ширина канала, МГц.

5

1,4;3;5;10;15;20

1,4;3;5;10;15;20

1.4 - 20

Пиковая скорость в нисходящем канале, Мбит/с.

42,2

326,4

500 и более

До 1 Гбит/с

Время отклика, мс

65 и выше

<10

<10

50 и выше

VoIP

-

-

+

+


На основании таблицы 1.1 можно выделить две технологии с наилучшими характеристиками: LTE (rel. 10) и WiMAX (rel. 2). Именно они отвечают всем требованиям к сетям четвертого поколения. Операторы сотовой связи в России и за рубежом предпочитают внедрять LTE, т.к.:

·        Технология LTE является логичной эволюцией стандартов GSM (2G) - UMTS (3G) - LTE и поэтому наиболее перспективна для операторов, работающих в стандарте GSM, что существенно снижает затраты операторов связи. Она строится на базе существующей сети, т.е. стандарты могут работать одновременно и возможен «бесшовный» переход из одного в другой;

·        Радиус действия базовой станции LTE в зависимости от частотного диапазона может достигать 35 км, а WiMax 10 км (уверенный прием только в радиусе 2-3 км);

·        Высокая максимальная скорость движения мобильной станции - до 350 км/ч.

·        Большинство производителей ноутбуков и нэтбуков сделали свой выбор в пользу LTE и выпускают продукцию со встроенными LTE устройствами [6].

На данный момент коммерческая сеть LTE Advanced запущена в Южной Корее, в Москве 11 базовых станций работают в тестовом режиме. В 2014 году планируется запустить коммерческую сеть LTE в следующих странах:

1. Австралия 2. Австрия 3. Беларусь 4. Германия 5. Гонконг 6. Индия 7. Италия 8. Кувейт 9. Новая Зеландия

10. Объединенное королевство 11. Португалия 12. Россия 13. США 14. Турция 15. Филиппины 16. Франция 17. Швеция 18. Япония


Но операторы России не торопятся переходить на LTE (rel. 10). В первую очередь это связано с высокой стоимостью оборудования данной технологии, а также сложностью получения разрешения на использование необходимого диапазонов частот.

В связи со всем вышесказанным, российские операторы строят сети на технологии LTE версии 8, которая по-прежнему по многим показателям превосходит WiMAX, а стоимость её развертывания ниже десятой версии.

Не стал исключением и оператор сотовой связи «Билайн», политика развития которого предполагает внедрения LTE версии 8 в качестве сетей ШПД следующего поколения. Таким образом, в данном курсовом проекте будет разрабатывать абонентская сеть фрагмента LTE (rel. 8) для Центрального района города Кирова.

.       
Принципы построения и функционирования сетей LTE

2.1    Архитектура сети LTE

Архитектура сети LTE разработана таким образом, чтобы обеспечить поддержку пакетного трафика с так называемой “гладкой” (“бесшовной”, seamless) мобильностью, минимальными задержками доставки пакетов, высокими показателями качества обслуживания. Мобильность, как функция сети, обеспечивается двумя её видами:

·        дискретной мобильностью (роумингом);

·        непрерывной мобильностью (хэндовером).

Поскольку сети LTE должны поддерживать процедуры роуминга и хэндовера со всеми существующими сетями, для LTE-абонентов (терминалов) должно обеспечиваться повсеместное покрытие услуг беспроводного широкополосного доступа. Пакетная передача позволяет обеспечить все услуги, включая передачу пользовательского голосового трафика. В отличие от большинства сетей предыдущих поколений, в которых наблюдается достаточно высокая разнотипность и иерархичность сетевых узлов (так называемая распределённая сетевая ответственность), архитектуру сетей LTE можно назвать “плоской”, поскольку практически всё сетевое взаимодействие происходит между двумя узлами: базовой станцией (БС), которая в технических спецификациях называется B-узлом (Node-B, eNB) и блоком управления мобильностью БУМ (MME, Mobility Management Entity), реализационно, как правило, включающим и сетевой шлюз Ш (GW, Gateway), т. е. имеют место комбинированные блоки MME/GW.

Следует отметить, что контроллер радиосети, игравший весьма значительную роль в сетях предыдущих поколений, устранён от управления потоком данных (фактически он даже отсутствует в структурных схемах), а его традиционные функции - управление радиоресурсами сжатие заголовков, шифрование, надёжная доставка пакетов и др. переданы непосредственно БС.

БУМ работает только со служебной информацией - так называемой сетевой сигнализацией, так что IP-пакеты, содержащие пользовательскую информацию, через него не проходят. Преимущество наличия такого отдельного блока сигнализации в том, что пропускную способность сети можно независимо наращивать как для пользовательского трафика, так и для служебной информации. Главной функцией БУМ является управление пользовательскими терминалами (ПТ), находящимися в режиме ожидания, включая перенаправление и исполнение вызовов, авторизацию и аутентификацию, роуминг и хэндовер, установление служебных и пользовательских каналов и др.

Среди всех сетевых шлюзов отдельно выделены два: обслуживающий шлюз ОШ (S-GW, Serving Gateway) и шлюз пакетной сети (P-GW, Packet Data Network Gateway), или, короче, пакетный шлюз (ПШ). ОШ функционирует как блок управления локальной мобильностью, принимая и пересылая пакеты данных, относящиеся к БС и обслуживаемым им ПТ. ПШ является интерфейсом между набором БС и различными внешними сетями, а также выполняет некоторые функции IP-сетей, такие, как распределение адресов, обеспечение пользовательских политик, маршрутизация, фильтрация пакетов и др.

Как и в большинстве сетей третьего поколения, в основу принципов построения сети LTE положено разделение двух аспектов: физической реализации отдельных сетевых блоков и формирования функциональных связей между ними.

Первичным разделением на физическом уровне является разделение архитектуры сети на область пользовательского оборудования (UED, User Equipment Domain) и область сетевой инфраструктуры (ID, Infrastructure Domain). Последняя, в свою очередь, разделяется на (под)сеть радиодоступа (E-UTRAN, Evolved Universal Terrestrial Radio Access Network) и базовую (пакетную) (под)сеть (EPC, Evolved PacketCore).

Пользовательское оборудование - это совокупность ПТ с различными уровнями функциональных возможностей, используемых сетевыми абонентами для доступа к LTE-услугам. При этом в качестве пользовательского терминала может фигурировать как реальный (“живой”) абонент, пользующийся, к примеру, услугами голосового трафика, так и обезличенное устройство, предназначенное для передачи/приёма определённых сетевых или пользовательских приложений.

На рисунке 3.1 показана обобщённая структура сети LTE, из которой видно наличие двух слоёв функциональных связей: слоя радиодоступа (AS, Access Stratum) и внешность слоя радиодоступа (NAS, NonAccess Stratum). Овалы со стрелками обозначают точки доступа к услугам.

Рисунок 3.1 - Обобщённая структура сети LTE.

Стык между областью UE пользовательского оборудования и областью сети радиодоступа UTRAN называется Uu-интерфейсом; стык между областью сети радиодоступа и областью базовой сети EPC - S1-интерфейсом. Состав и функционирование различных протоколов, относящихся к интерфейсам Uu и S1, разделены на две так называемых плоскости: пользовательскую плоскость (UP, User Plane) и плоскость управления (CP, Control Plane).

Вне слоя доступа действуют механизмы управления мобильностью в базовой сети (EMM, EPC Mobility Management). В пользовательской плоскости реализованы протоколы, обеспечивающие передачу пользовательских данных по радиоканалу. К плоскости управления относятся те протоколы, которые в различных аспектах обеспечивают соединение между ПТ и сетью. Также к этой плоскости относятся протоколы, предназначенные для транспарентной (прозрачной) передачи сообщений, относящихся к предоставлению различных услуг.

Область сети радиодоступа логически разделена на два уровня: уровень радиосети (RNL, Radio Network Layer) и уровень транспорт-

ной сети (TNL, Transport Network Layer). На рисунке 3.2 представлено соединение функциональных узлов сети радиодоступа.

Рисунок 3.2 - Соединение функциональных узлов сети радиодоступа.

На БС в сетях LTE возложено выполнение следующих функций:

·        Управление радиоресурсами: распределение радиоканалов, динамическое распределение ресурсов в восходящих и нисходящих направлениях - так называемое диспетчеризация ресурсов (scheduling) и др.;

·        Сжатие заголовков IP-пакетов, шифрование потока пользовательских данных;

·        Выбор блока управления мобильностью при включении в сеть пользовательского терминала при отсутствии у того информации о прошлом подключении;

·        Маршрутизация в пользовательской плоскости пакетов данных по направлению к обслуживающему шлюзу;

·        Диспетчеризация и передача вызывной и вещательной информации, полученной от БУМ;

·        Диспетчеризация и передача сообщений PWS (Public Warning System, система тревожного оповещения), полученных от БУМ;

·        Измерение и составление соответствующих отчётов для управления мобильностью и диспетчеризации.

Блок управления мобильностью обеспечивает выполнение следующих функций:

·        Передача защищённой информации о точках доступа к услугам и защищённое управление точками доступа;

·        Передача информации в базовую сеть для управления мобильностью между различными сетями радиодоступа;

·        Управление списком зон отслеживания ПТ;

·        Управление БС, находящимися в состоянии ожидания, включая перенаправление вызовов;

·        Выбор обслуживающего шлюза и шлюза пакетной сети для сетей радиодоступа различных стандартов;

·        Выбор нового блока управления мобильностью при выполнении хэндовера;

·        Роуминг;

·        Аутентификация;

·        Управление радиоканалом, включая установку выделенного канала;

·        Поддержка передачи сообщений PWS;

·        Обслуживающий узел отвечает за выполнение следующих функций;

·        Выбор точки привязки (“якоря”) локального местоположения (Local Mobility Anchor) при хэндовере;

·        Буферизация пакетов данных в нисходящем направлении, предназначенных для ПТ, находящихся в режиме ожидания, и инициализация процедуры запроса услуги;

·        Санкционированный перехват пользовательской информации;

·        Маршрутизация и перенаправление пакетов данных;

·        Маркировка пакетов транспортного уровня;

·        Формирование учётных записей пользователей и идентификатора класса качества обслуживания для тарификации;

·        Тарификация абонентов.

Наконец, шлюз пакетной сети обеспечивает выполнение следующих функций:

·        Фильтрация пользовательских пакетов;

·        Санкционированный перехват пользовательской информации;

·        Распределение IP-адресов для ПТ;

·        Маркировка пакетов транспортного уровня в нисходящем направлении;

·        Тарификация услуг, их селекция.

2.2    Стеки протоколов и каналы, реализованные на различных уровнях

На рисунке 3.3 показан относящийся к различным плоскостям стек протоколов, разделённый на следующие уровни (подуровни):

·        физический (PHY) уровень;

·        (под)уровень управления доступом к среде MAC (Medium Access Control);

·        (под)уровень управления радиоканалом RLC (Radio Link Control);

·        (под)уровень протокола конвергенции (слияния) пакетных данных PDCP (Packet Data Convergence Protocol)

·        (под)уровень управления радиоресурсами RRC (Radio Resource Control);

·        подуровень протокола, функционирующего вне слоя доступа (NAS-протокол).

а)

Как видно из рисунка 3.3, на подуровнях MAC и RLC в пользовательской плоскости выполняются такие же функции, что и в плоскости управления. Функции подуровня RRC ограничены только плоскостью управления: это вещание системной информации, вызов, управление радиоканалом, управление соединением на данном подуровне, обеспечение управление мобильностью, управление и составление отчётов об измерении параметров ПТ.

б)

Рисунок 3.3 - Стек протоколов в пользовательской плоскости (а) и в плоскости управления (б).

Также в плоскость управления отнесён протокол обмена информацией вне слоя доступа (протокол NAS) и локализованный между БУМ и ПТ; он предназначен для решения задач, не связанных с вопросами радиодоступа: управление сквозным каналом передачи данных, аутентификация и защита пользовательских данных и др.

На нижнем, физическом уровне, называемом также Уровнем 1 (L1, Layer 1) реализованы услуги по передачи данных на более высокие уровни.

Рассмотрим стеки протоколов, функционирующих в различных сетевых интерфейсах.

На рисунке 3.4 и 3.5 представлены стеки похожих протоколов S1 и X2 соответственно. Интерфейс S1-U протокола S1 в пользовательской плоскости, определенный между БС и ОУ, использует протокол GTP-U (GPRS Tunneling Protocol) туннелирования пакетов, обеспечивая негарантированную доставку пользовательских данных. Будучи достаточно простым, этот IP-протокол позволяет установить несколько туннелей между каждым набором концевых узлов.

Как уже было сказано, в плоскости управления между БС и БУМ определён интерфейс S1-MM, использующий на транспортном уровне TCP-подобный протокол SCTP передачи потока служебной информации.

На уровне приложений используются протоколы S1-AP и X2-AP.

а)                                                     б)

Рисунок 3.4 - Стек протокола S1 в пользовательской плоскости (а) и плоскости управления (б).

Рисунок 3.5 - Стек протокола X2 в пользовательской плоскости (а) и плоскости управления (б).

Большинство пользовательских приложений описываются набором показателей качества обслуживания QoS. В любой пакетной сети должны быть заложены механизмы, обеспечивающие передачу пакетных данных пользователей с различным приоритетом.

В сетях LTE (также, как и в сетях UMTS) вводится понятие сквозного канала (end-to-end bearer) между двумя оконечными точками: либо между двумя пользователями, либо, например, между пользовательским терминалом и каким-либо интернет-сервером. Соответственно этому, возникают понятия части сквозного канала - на разных уровнях и в различных сетевых узлах: радиоканал (radio bearer), внешний канал (external bearer) и др. В частности, имеет место понятие канала, переносящего ряд параметров качества обслуживания, устанавливаемого между ПТ и шлюзом пакетной сети (рисунок 3.6); в LTE-спецификациях такой канал называется EPS-канал (EPS bearer, EPS - Evolved Packet System, выделенная пакетная система). Каждый IP-поток, например, голосовой трафик, передаваемый посредством IP-протокола (VoIP), связан с индивидуальным EPS-каналом, и, в соответствии с этим, сеть способна устанавливать различным абонентам разные приоритеты. Когда IP-пакет приходит извне (внешняя IP-сеть, интернет), он классифицируется обслуживающим узлом по качеству обслуживания на основе предустановленных параметров, отображается в соответствующий EPS-канал и далее передаётся по радиоканалу между БС и ПТ. Таким образом, существует взаимно-однозначное соответствие между EPS-каналом и радиоканалом.

Рисунок 3.6 - Архитектура сквозного канала.

Обратимся к рассмотрению совокупности каналов, обеспечивающих «вертикальную» (между различными уровнями) и «горизонтальную» (между различными узлами) передачу информации. На рисунке 3.7 показано отображение физических, транспортных и логических каналов в нисходящем направлении.

Рисунке 3.7 - Отображение физических, транспортных и логических каналов в нисходящем направлении.

Рисунке 3.8 - Отображение физических, транспортных и логических каналов в восходящем направлении.

Логические каналы определяются типом информации, которая в них содержится, и подразделяются на два класса: управляющие, переносящие служебную информацию, и трафиковые, в которых содержится полезная пользовательская информация. В нисходящем направлении определены пять управляющих логических каналов:

·        вызывной управляющий канал PCCH (Paging Control Channel), предназначенный для поиска абонента (терминала) в сети посредством передачи вызывной информации;

·        вещательный управляющий канал BCCH (Broadcast Control Channel), используемый для передачи в сети служебной информации;

·        общий управляющий канал CCCH (Common Control Channel), при использовании которого обеспечивается связь между сетью и ПТ, не имеющим соединения на RRC-подуровне (RRC-соединения);

·        выделенный управляющий канал DCCH (Dedicated Control Channel), также предназначенный для обеспечения связи между сетью и ПТ, но имеющим RRC-соединение;

·        групповой управляющий канал MCCH (Multicast Control Channel), при помощи которого обеспечивается совместная (для нескольких пользователей) передача мультимедийных услуг.

Наряду с управляющими, определены два трафиковых логических канала:

·        выделенный трафиковый канал DTCH (Dedicated Traffic Chanel), устанавливаемый между двумя абонентами для передачи пользовательской информации;

·        групповой трафиковый канал MTCH (Multicast Traffic Chanel), устанавливаемый для передачи услуг мультимедийного вещания.

Передача пользовательской или служебной информации с более высокого на более низкий уровень описывается в терминах отображения каналов: логических - на транспортные, транспортных - на физические.

Логический канал PCCH в нисходящем направлении отображается на транспортный вызывной канал PCH (Paging Channel), поддерживающий прерывистый (для экономии энергии) приём пакетов данных.

Логический канал BCCH отображается либо на транспортный вещательный канал BCH (Broadcast Channel), либо транспортный нисходящий совместный канал DL-SCH (Downlink Shared Channel).

Канал BCH характеризуется фиксированной конфигурацией транс-

портного блока, и именно на него настраивается ПТ после синхронизации в соте. В канале DL-SCH поддерживаются адаптивные методы модуляции и кодирования, управление мощностью, гибридные автоматические запросы на повторение, многоантенные технологии и др.

Логические каналы MCCH и MTCH отображаются либо в транспортный групповой канал MCH (Multicast Channel), либо в транспортный нисходящий совместный канал DL-SCH. Канал MCH поддерживает групповую передачу мультимедийных услуг от нескольких сот.

Логические каналы CCCH, DCCH и DTCH отображаются в транспортный канал DL-SCH.

Итак, семь логических каналов отображаются на четыре транспортных канала. Далее, при переходе на физический уровень, происходит отображение транспортных каналов на шесть физических каналов.

Транспортный канал BCH отображается в физический вещательный канал PBCH (Physical Broadcast Channel), который передаётся во временном интервале длительностью 40 мс, называемый кадром.

Транспортные каналы PCH и DL-SCH отображаются в физиче-

ский нисходящий совместный канал PDSCH (Physical Downlink Shared Channel).

Транспортный канал MCH отображается в физический канал группового вещания PMCH (Physical MulticastChannel).

Оставшиеся три физических канала: физический управляющий канал индикатора формата PCFICH (Physical Control Format Indicator Channel), физический нисходящий управляющий канал PDCCH (Physical Downlink Control Channel) и физический канал индикатора гибридного запроса на повторение PHICH (Physical Hybrid ARQ Indicator Channel) являются автономными, т. е. на них транспортные каналы не отображаются. Каналы PDCCH и PCFICH используется для информирования ПТ о выделении ресурсов для транспортных каналов PCH и DL-SCH, а также параметров модуляции и кодирования. Канал PHICH, как следует из его названия, используется для передачи запросов на повторную передачу [1][2].

.3      Услуги в сетях LTE

Развитие новых сетевых технологий, обеспечивающих предоставление всё большего числа разнообразных услуг, заставляют мировое телекоммуникационное сообщество взглянуть на вопросы качества услуг связи и систему их управления как на один из важнейших факторов эффективного развития конкурирующего рынка предоставения услуг связи.

Понятие качества услуг связи (QoS, Quality of Service) было официально утверждено Международным союзом электросвязи в рекомендации E.800 (применительно ещё к телефонным сетям общего пользования и цифровым сетям интегрального обслуживания), и оно понимается как суммарный эффект от параметров обслуживания, определяющий степень удовлетворения пользователя услугами связи.

Система управления качеством - это совокупность параметров и механизмов, которые обеспечивают соответствие качества услуг установленным требованиям. Целью введения такой системы является максимизация удовлетворения пользователя предоставленной услугой для повышения спроса на неё.

Начало развития системы управления качеством в сетях мобильной связи, по-видимому, следует датировать 1997 г., когда был выпущен соответствующий релиз Rel’97/98, предназначенный для модифицированной сети GSM/GPRS с возможностью пакетной передачи данных. В основе обеспечения качества услуги лежит понятие PDP-контекста (PDP, Packet Data Protocol), представляющего собой набор параметров, описывающих текущее состояние пользователя или терминала по отношению к возможным услугам и способам их предоставления. При соединении ПТ с базовой пакетной сетью, с целью установления логической связи между ПТ и различными сетевыми узлами для передачи IP-пакетов в прямом и обратном направлениях, происходит так называемая активизация PDP-контекста.

Например, согласно спецификации GSM 07.07 строка определения PDP-контекста, предназначенного для связи между отдалённым терминалом и пакетной сетью GPRS, имеет следующий вид:

[<cid>[,<PDP_type>[,<APN>[,<PDP_addr>[,<d_comp>[,<h_comp>[,<pd1> [,…[,pdN]]]]]]]]].

Здесь cid - идентификатор контекста, целое положительное число. PDP_type - тип протокола; в настоящее время реализован только вариант IP, т. е. Internet Protocol). APN (Access Point Name) - имя точки доступа к услуге, определяемое сетевым оператором. PDP_addr - строковый идентификатор терминала в пространстве, например, статический IP-адрес, который должен использоваться терминалом при подключении к Интернету или другой сети. d_comp - сжатие данных: 0 - выключено (по умолчанию, если значение не было указано), 1 - включено. h_comp - сжатие заголовка: 0 - выключено (по умолчанию, если значение не было указано), 1 - включено. pd1…pdN - от нуля до N строковых параметров, специфичных для типа протокола <PDP_type> (в настоящее время эти параметры не используются).

Первоначально, согласно Rel’97/98, одному терминалу разрешалось иметь один PDP-контекст на один PDP-адрес. В дальнейшем, в ходе разработки концепции мобильных сетей 3-го поколения, была развита новая концепция PDP-контекста для поддержки новых требований, а именно, возможность использования для одного PDP-адреса нескольких PDP контекстов, имеющих свои профили качества обслуживания. При этом первый PDP-контекст, открываемый для соответствующего PDP адреса, называется первичным контекстом, а последующие PDP-контексты, открытые для того же самого PDP адреса - вторичными контекстами. Однако использование вторичных PDP контекстов требует, чтобы они были связаны с точкой доступа к сети APN первичного PDP контекста.

Основная идея построения такой структуры управления - дифференцирование качества обслуживания в соответствии с параметрами PDP-контекста. Таким образом, все приложения абонента, совмещающие использование одного PDP-контекста, имеют одинаковый профиль качества обслуживания. Несколько потоков с одинаковыми характеристиками образуют совокупный профиль качества обслуживания. Для дифференцированной обработки передаваемых пакетов в соответствии с требованиями QoS, для одного ПТ одновременно должны быть активизированы и первичные, и вторичные контексты.

Пример вариантов создания PDP-контекстов показан на рисунке 3.9.

Развитие рынка пользовательских услуг связано, прежде всего, с увеличением услуг, предоставляемых в пакетном режиме. Более того, как уже говорилось, в мобильных сетях 3-го и 4-го поколений передача услуг, в том числе, речевого общения, на основе канальной коммутации фактически отсутствует; реализация пакетной передачи речи базируется на технологиях VoIP (Voice over IP) или PoC (Push-to-talk over Cellular).

Рисунке 3.9 - Варианты организации различных PDP-контекстов.

Наряду с пакетной передачей речи основными услугами являются следующие:

·        передача интернет файлов (web-browsing);

·        доставка электронной почты;

·        мультимедийные сообщения (MMS, Multimedia Messaging Service), в том числе, мультимедийное вещание;

·        потоковое видео (streaming);

·        интерактивные игры в реальном времени.

Вышеперечисленные пакетные услуги в сетях мобильной связи имеют некоторые отличительные друг от друга организационные аспекты [1].

.4     
Качество обслуживания в сетях LTE

Концепция системы QoS для сетей UMTS мобильной связи 3-го поколения определена в спецификации TS 23.107, и используется также для сетей LTE 4-го поколения.

При разработке и внедрении системы качества обслуживания к атрибутам такой системы предъявляются следующие общие требования:

·        Количество и значения атрибутов должны быть таковы, чтобы обеспечить возможность многоуровневой градации пользователей.

·        Использование механизма QoS не должно мешать политике эффективного использования радиоресурсов, независимому развитию базовой сети и сети радиодоступа.

·        Все атрибуты и их комбинации должны иметь однозначно определённые значения.

Исходя из перечисленных общих требований к качеству обслуживания, в спецификациях сформулированы конкретные технические

требования, касающиеся набора параметров QoS:

·        Механизмы QoS функционируют в рамках одноранговой (peerto peer) модели организации связи в границах «пользовательский терминал - сетевой шлюз», обеспечивая взаимно-однозначное отображение между сетевыми услугами и внешними приложениями.

·        Управление качеством обслуживания осуществляется на основе конечного, по возможности, минимального набора параметров QoS, поддерживающих эффективное использование радиоресурсов, а также ассиметричное функционирование сквозных каналов.

·        Методы управления QoS реализуются на основе последовательных сессий, применительно к пакетной передачи данных, в том числе, к мультипотоковой передаче, когда несколько различных потоков имеют один и тот же адрес.

·        Сетевые ухудшения и усложнения, вызванные внедрением системы качества обслуживания, должны быть по возможности минимизированы, также, как и количество дополнительной информации, хранимой и передаваемой в сети.

·        Пользовательские приложения должны иметь возможность индикации значений QoS при передаче данных в различных сетевых узлах.

·        Система качества обслуживания должна быть динамической, позволяющей изменять параметры QoS в течение активной сессии.

Перечислим и кратко опишем основные функции сети LTE, относящиеся к управлению качеством обслуживания. В пользовательской плоскости такие функции направлены на поддержку пользовательского трафика и сигнализации с определёнными ограничениями, установленными параметрами QoS.

Функция отображения (MF, Mapping Function) обеспечивает на-

деление каждого предназначенного для передачи пакета данных соответствующими параметрами QoS.

Функция классификации (CF, Classification Function) предназначена для выставления пакетам данных параметров QoS, предназначенных для определённого ПТ, в том случае, если для этого ПТ в сети установлено несколько каналов передачи услуг.

Функция управления ресурсами (RMF, Resource Manager Function) распределяет доступные ресурсы между услугами в соответствии с параметрами QoS.

Функция согласования (очистки) трафика (TCF, Traffic Conditioner Function) обеспечивает согласование между потоком пользовательских данных и установленным уровнем качества обслуживания. Те пакеты данных, которые не соответствуют выставленным параметрам QoS, будут отброшены или помечены как несоответствующие для последующего отбрасывания после накопления [1].

Функция классификации, реализованная в ПТ и СШ, назначает пакеты данных, полученным из внешнего (или локального) канала в услугу сети LTE с соответствующими параметрами QoS. Функция согласования трафика, при необходимости, обеспечивает согласование пользовательского потока в восходящем (в ПТ) и нисходящем (в СШ) направлениях с установленными параметрами QoS. Далее, функция отображения снабжает каждый пакет данных специальным QoS-индикатором, отправляя того в путь по сети, что требует выделения соответствующих ресурсов - за это ответственна функция управления ресурсами, реализованная в каждом сетевом узле.

В плоскости управления, как обычно, сосредоточены функции, необходимые для реализации механизмов управления и контроля.

Функция управления услугами (SMF, Service Manager Function) является координирующей функцией при установке, модифицировании и управлении услугами, а также управляющей для функций управления качеством обслуживания в пользовательской плоскости.

Трансляционная функция (TF, Translation Function) преобразует внутренние примитивы услуг сети LTE в модули различных протоколов взаимодействующих внешних сетей, включая преобразования атрибутов услуг сети LTE в параметры QoS протоколов внешних сетей.

Функция управления возможностями (A/CCF, Admission / Capability Control Function) обеспечивает информацией обо всех возможных ресурсах сетевых узлов, определяя при каждом запросе (или модифицировании) услуги, могут ли сетевые узлы обеспечить требуемые ресурсы. Данная функция также контролирует возможность предоставления самой услуги, т.е. реализована ли в сети запрашиваемая услуга.

Функция управления подпиской (SCF, Subscription Control Function) обеспечивает контроль доступности абонентов на пользование различными услугами с требуемыми параметрами QoS.

Трансляционная функция, действующая в ПТ и СШ, преобразует служебную информацию, связанную с внешней услугой, в примитивы внутренней услуги, включая и атрибуты услуги.

Функция управления услугой, локализованная в ПТ, СШ и базовой сети (т.е. соответствующий подфункции), с помощью трансляционной функции устанавливает или модифицирует услугу, используя при этом связанные с ней функцию управления возможностями, с целью выяснения наличия требуемых для данной услуги ресурсов, и функцию управления подпиской, для определения прав пользователя на эту услугу.

Концепция предоставления услуг предполагает наличие четырёх классов качества обслуживания, называемых также трафиковыми классами:

·        голосовой (разговорный);

·        потоковый;

·        интерактивный;

·        фоновый.

Главным различием между названными классами является чувствительность к задержкам: наиболее чувствительным является голосовой трафик, наименее чувствительным - фоновый трафик. Голосовой и потоковый классы предназначены для использования в реальном масштабе времени. Интерактивный и фоновый классы используются для традиционных интернет-приложений: интернет-навигация, электронная почта, удалённая связь и др. При этом трафик интерактивного класса имеет более высокий приоритет, чем трафик фонового класса.

Перечислим список параметров QoS, по которым осуществляется относительная градация пользователей.

.        Трафиковый класс (голосовой, потоковый, интерактивный, фоновый).

.        Максимальная скорость передачи данных (в Кбит/с). Данный параметр определяет максимальное число бит, доставляемых сетью LTE (или в сеть LTE) за определённые интервалы времени.

.        Гарантированная скорость передачи данных (в Кбит/с) определяет гарантированное число бит, доставляемых сетью за определённые интервалы времени.

.        Порядок доставки (Да/ Нет). Параметр, показывающий, обеспечивает ли сквозной канал последовательную доставку пакетов данных или нет. Фактически данный параметр показывает отличие протокола передачи данных от пользовательского PDP-протокола.

.        Максимальный размер (в байтах) пакетов данных, переносящих содержимое услуги (SDU, Service Data Unit). Данный параметр следует отличать от параметра MTU (Maximum Transfer Unit), используемого в IP-протоколе.

.        Информация (в битах) о формате пакетов данных, переносящих содержимое услуги, необходимая в сети радиодоступа в целях обеспечения функционирования RLC-протокола в прозрачном режиме.

.        Относительный уровень ошибочно переданных пакетов данных, переносящих содержимое услуги. Параметр используется для выбора надлежащей схемы (модуляции / кодирования) передачи данных по сети радиодоступа.

.        Остаточный коэффициент ошибок, отражающий число ошибочно переданных бит в доставленных пакетах данных, переносящих содержимое услуги. Также используется для выбора надлежащей схемы (модуляции / кодирования) передачи данных по сети радиодоступа.

.        Возможность доставки искажённых пакетов данных, переносящих содержимое услуги (Да/Нет). Параметр используется при принятии решений о пересылке искажённых пакетов данных.

.        Задержка передачи (в мс) определяет допустимое отклонение значения задержки в сети радиодоступа от общего времени задержки в сквозном канале среди 95% значений задержек доставленных пакетов данных в течение времени существования всей услуги.

.        Приоритет в управлении трафиком отражает относительную важность рассматриваемого потока данных по сравнению с другими потоками. Параметр применяется к услугам интерактивного класса, позволяя вести диспетчеризацию трафика.

.        Назначение/снятие приоритета. Используется для выявления приоритетных различий между каналами передачи услуг, когда выполняются операции по назначению и снятию каналов в условиях ограниченности ресурсов.

.        Статистический дескриптор источника (речевой/неизвестный). Разговорная речь имеет хорошо известные статистические параметры. Поэтому, в целях информирования о том, что пакеты данных имеют речевую природу, этот факт может быть экспериментально (на основе подсчёта) обнаружен в различных точках.

.        Индикатор служебной информации (Да/Нет), определённые только для услуг интерактивного класса, показывает природу информации (служебная или пользовательская) в принятых пакетах. Если индикатор установлен в значение ‘Да’, то ПТ должен установить в ‘1’ приоритет управления трафиком. Данный параметр является дополнительным в системе качества обслуживания.

.        Выделенное назначение/снятие приоритета - «усиленный» параметр назначения/снятия приоритета, содержащий увеличенный диапазон уровней приоритета, а также дополнительную информацию о возможности преимущественного занятия канала и преимущественной степени защищённости.

В таблице 3.1 указаны диапазоны значений некоторых параметров QoS для различных классов услуг.

Таблица 3.1 - Диапазоны значений параметров QoS для различных классов услуг.

Параметр QoS

Голосовой класс

Потоковый класс

Интерактивный класс

Фоновый класс

Максимальная скорость пере- дачи (Кбит/с)

256 000

256 000

256 00

256 000

Гарантирован- ная скорость передачи (Кбит/с)

256 000

256 000



Порядок дос- тавки

Да /Нет

Да /Нет

Да /Нет

Да /Нет

Максимальный размер (в байтах) пакетов данных

1 500 или 1 502

1 500 или 1 502

1 500 или 1 502

1 500 или 1 502

Возможность доставки искажённых пакетов данных

 Да /Нет

 Да /Нет

 Да /Нет

 Да /Нет

Остаточный коэффициент ошибок

5·10-2, 10-2, 5·10-3, 10-3, 10-4, 10-5, 10-6

5·10-2, 10-2, 5·10-3, 10-3, 10-4, 10-5, 10-6

4·10-3, 10-5, 4·10-8

4·10-3, 10-5, 4·10-8

Задержка передачи (мс)

100 -макс. значение

300 -макс. значение



Приоритет в управлении трафиком



1, 2, 3


Назначение / снятие приори- тета

1, 2, 3

1, 2, 3

1, 2, 3

1, 2, 3

Статистический дескриптор источника

Речевой / неизвестный

Речевой / неизвестный

Речевой / неизвестный

Речевой / неизвестный

Индикатор служебной информации



Да/Нет


Выделенное назначе- ние / снятие приоритета:





· уровень при- оритета;

1…15

1…15

1…15

1…15

· преимущест- венное занятие канала;

Да /Нет

Да /Нет

Да /Нет

Да /Нет

· преимущест- венная степень защищённости

Да /Нет

Да /Нет

Да /Нет

Да /Нет

Отметим, что некоторые параметры QoS взаимно противоречивы, например, задержка и уровень ошибок в принятых пакетах, т. е., собственно, надёжность. Так, при передаче голосового трафика сквозная задержка не должна превышать 150 мс при допустимой потере информационных пакетов не более 3%. Если рассматривать потоковый трафик, то в этом случае допустимы потери информационных пакетов не более 1%, а для интерактивного трафика потери информационных пакетов вообще недопустимы - его услуги (как и услуги фонового трафика) передаются в режиме с подтверждением, и необходимость повторной передачи принятых с ошибками пакетов не позволяет измерить величину задержки.

.5      Физический уровень сетей LTE

Функционирование сетей LTE может осуществляться в частотных диапазонах с различной шириной. Сигналы нисходящего или восходящего направления могут занимать полосы от 1,4 до 20 МГц в зависимости от количества активных ресурсных блоков, понятие которого будет дано ниже. Границы частотного диапазона, занимаемого сигналом, всегда определяются симметрично относительно несущей частоты :

 

 

Для любого частотного диапазона вводится частотная сетка с шагом 100 кГц, называемым канальным растром; это означает, что центральные (несущие) частоты каналов должны быть кратны 100 кГц.

Все временные значения выражаются в единицах элементарного временного интервала, равного

 

Передача информации в восходящем и нисходящем направлениях организована в кадрах (radio frames) длительностью

 

которые, в свою очередь, подразделяются на более мелкие временные структуры-слоты. При этом возможны два типа структур кадра:

Тип 1, применяемый в режиме FDD с частотным дуплексом и Тип 2, применяемый в режиме TDD с временным дуплексом.

Структура кадра Типа 1 (рисунок 3.10), применяемого как в (полно)дуплексном, так и полудуплексном FDD-режимах, предполагает деление кадра на 20 слотов, нумеруемых от нулевого до 19-го, каждый из которых имеет длительность

 

В пределах кадра различают подкадры, представляющие собой пару из двух смежных слотов; i-й подкадр содержит слоты с номерами 2i и 2i + 1.

Рисунок 3.10 - Структура кадра Типа 1.

В режимах с частотным разнесением временной ресурс в пределах кадра разделён пополам для передачи в противоположных направлениях: 10 подкаров доступны для передачи в восходящем направлении и 10 - в нисходящем. При этом, как следует из физической сущности организации FDD-режимов, физические каналы в противоположных направлениях разделены в спектральной области дуплексным расстоянием. В полудуплексном режиме физические каналы по-прежнему разделены дуплексным расстоянием, однако ПТ не может одновременно работать на приём и на передачу.

Кадры типа 2 используются при временном разнесении каналов. При этом каждый кадр (рисунок 3.11) разделён на два полукадра (не путать с подкадром), каждый из которых имеет длительность (hf - halfframe)

 

а каждый полукадр состоит из пяти последовательных подкадров длительностью (sf -sub-frame)

 

Рисунок 3.11 - Структура кадра Типа 2.

В таблице 3.2 приведены возможные варианты конфигураций «восходящий - нисходящий», формируемые для каждого подкадра в пределах одного кадра. Символ «D» означает, что такой подкадр зарезервирован для нисходящего направления, а символ «U» - для восходящего.

Необходимость перехода от одного направления к другому означает наличие в кадрах специальных подкадров, содержащих пилотное поле, называемое точкой переключения, обозначаемое в табл. 2.1 символом «S». В этом поле выделяют специальные пилотные слоты нисходящего направления DwPTS (Downlink Pilot Time Slot) и пилотные слоты восходящего направления UpPTS (Uplink Pilot Time slot), которые располагаются последовательно, вместе с защитным полем GP (Guard Period).

Таблица 3.2 - Варианты конфигураций «восходящий-нисходящий»

Номер конфигурации

Периодичность точек переключения PTS

Номер подкадра



0

1

2

3

4

5

6

7

8

9

0

5 мс

D

S

U

U

U

D

S

U

U

U

1

5 мс

D

S

U

U

D

D

S

U

U

D

2

5 мс

D

S

U

D

D

D

S

U

D

D

3

10 мс

D

S

U

U

U

D

D

D

D

D

4

10 мс

D

S

U

U

D

D

D

D

D

D

5

10 мс

D

S

U

D

D

D

D

D

D

D

6

5 мс

D

S

U

U

U

D

S

U

U

D


2.5.2 OFDM и SC-FDMA

Cигнальным технологиям, на базе которых реализован физический уровень сетей LTE являются: мультиплексирование с ортогональным частотным разнесением OFDM (Orthogonal Frequency Division Multiplexing) и мультиплексирование с частотным разнесением с передачей на одной несущей SC-FDMA (Single-Carrier Frequency Division Multiple Access).Обе технологии обеспечивают высокоскоростную передачу данных, однако применяются для разных целей.

Основной целью использования технологии OFDM является устранение влияния помех, вызванных многолучёвым распространением сигнала, последствием которого является межсимвольная интерференция (МСИ). Способом борьбы с МСИ является отказ от использования сигналов с одной ярко выраженной несущей и использование конструкций на основе многочастотных сигналов, передавая каждый из них на своей поднесущей. Именно на этом принципе построена технология OFDM. Здесь применяются следующие виды манипуляции: ФМ-2, ФМ-4, КАМ-16, КАМ-64 и др.

Для формирования группового сигнала восходящих каналов в сетях LTE используется схема мультиплексирования с частотным разнесением с передачей на одной несущей SC-FDMA. Эта схема может работать в системах, функционирующих как в режиме TDD с временным дуплексированием, так и в режиме FDD с частотным дуплексированием. Такие сигналы можно рассматривать как одночастотные с модуляцией КФМ или ФМ-2 и временным мультиплексированием, подобные тем сигналам, которые формируются в системе GSM.

Формирование сигнала в частотной области согласно схеме, представленной на рисунок 3.12, в отличие от классической схемы формирования одночастотного сигнала с модуляцией КФМ (ФМ-2), позволяет использовать преимущество схемы с ортогональным частотным разнесением, которое заключается в эффективном использовании частотного ресурса. При этом защитный интервал в частотной области между сигналами разных абонентов может быть опущен. Как и в системах с OFDM, во временной области периодически добавляется циклический префикс (ЦП), но такая процедура проводится над блоком элементарных символов. Введение такого ЦП позволяет избежать МСИ между SC-FDMA символами или между блоками элементарных символов.

Рисунок 3.12 - Передача данных с использованием технологии SC-FDMA.

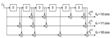
.5.3   Помехоустойчивое кодирование

Спецификация TS 36.212 предполагает два способа помехоустойчивого кодирования, используемых при формировании сигналов. Основным способом помехоустойчивого кодирования является турбокодирование со скоростью 1/3. Также приводится схема сверточного кодера со скоростью кодирования 1/3, которая используется при формировании сигнала широковещательного канала BCH. Рассмотрим данные схемы.

В качестве кодера турбокода используется схема двух параллельно связанных сверточных кодеров с внутренним перемежителем (рисунок 3.13).

Рисунок 3.13 - Кодер турбокода со скоростью кодирования 1/3.

Структурная схема сверточного кодера показана на рисунке 3.14.

Рисунок 3.14 - Сверточный кодер со скоростью кодирования 1/3.

Перед началом процедуры кодирования в ячейки регистра сдвига должны быть записаны последние 6 бит информационной последовательности . Результат кодирования считывается последовательно с трех выходов кодера  и т. д.

.5.4   Поддержка многоантенных систем MIMO

В системах LTE предусмотрены различные режимы работы с несколькими передающими и принимающими антеннами. Работа таких систем может быть организована по двум принципам: по принципу пространственного уплотнения (SM) и по принципу пространственно-временного кодирования (TM). Суть первого принципа заключается в том, что различные передающие антенны будут передавать различные части блока информационных символов или различные информационные блоки. Передача данных ведется параллельно с двух или с четырех антенн. На приемной стороне производится прием и разделение сигналов различных антенн, и становится возможным увеличение максимальной скорости передачи данных в 2 или в 4 раза [1].

В системах, построенных по принципу пространственно-временного кодирования, со всех передающих антенн осуществляется передача одного и того же потока данных с использованием схем предварительного кодирования с целью обеспечения лучшего качества приема. На рисунке 3.15 показана структурная схема MIMO-системы с двумя передающими и двумя принимающими антеннами. Такая система, построенная по принципу пространственного уплотнения, позволяет повысить максимальное значение скорости передачи данных в 2 раза.

Рисунок 3.15 - Система MIMO с двумя передающими и двумя принимающими антеннами.

В системах MIMO, работающих по принципам TD и SM, на приемной стороне необходима оценка комплексных коэффициентов передаточной характеристики от каждой из передающих антенн к каждой приемной. Оценка этих коэффициентов производится по пилотным символам, причем, в тот момент времени, когда одна из передающих антенн передает OFDMA-символ, содержащий на одной из поднесущих пилотный символ, сигналы других антенн на данной поднесущей должны отсутствовать. Порядок размещения пилотных символов для систем MIMO по поднесущим определяется спецификацией TS 36.211. Пример такого размещения приведен на рисунке 3.16.

Рисунок 3.16 - Пример размещения пилотных символов по поднесущим для системы с двумя передающими антеннами.

3. Обеспечение информационной безопасности в сетях LTE

Чтобы свести к минимуму подверженность атакам, базовая станция должна обеспечить безопасную среду, которая поддерживает выполнение таких чувствительных операций, таких как шифрование и расшифровка пользователей данных, хранения ключей. Кроме того, перемещение конфиденциальных данных должны ограничиваться этой безопасной средой. Поэтому меры противодействия, описанные ниже, разработаны специально для минимизации вреда, наносимого в случае кражи ключевой информации из базовых станций:

·        Проверка целостности устройства;

·        Взаимная аутентификация базовой;

·        станции оператора (выдача сертификатов);

·        Безопасные обновления;

·        Механизм контроля доступа;

·        Синхронизация времени;

·        Фильтрация трафика.

Даже с предпринятыми мерами безопасности, следует учитывать, атаки на базовые станции <#"804207.files/image028.gif">

Рисунок 4.1 - Структуру сети на основе стандарта UMTS.

Для выбора новой структуры с внедрением LTE обратимся к опыту других операторов, которые уже внедрении и даже используют в коммерческих целях сети «четвертого» поколения. Здесь передовиком является оператор сотовой связи «Мегафон». На рисунке 4.2 приведена структура сети 4G «Мегафон», интегрированная в 2G и 3G. Далее более подробно представлена структура сети стандарта LTE (рисунок 4.3).

Рисунок 4.2 - Структура абонентской сети оператора «Мегафон».

Рисунок 4.3 - Структура сети стандарта LTE.

Как видно из рисунков 4.2 и 4.3 сеть оператора «Мегафон» содержит не все структурные узлы стандарта LTE. Отчасти поэтому внедренная сеть LTE пусть и отвечает многих требованиям для сетей четвертого поколения, но не может в полной мере таковой называться. Оператор «Билайн» пойдет по тому же пути. Связано это с тем, что полное внедрение 4G требует значительных материальных затрат как со стороны оператора, так и абонента, т.к. на рынке ещё достаточно мало мобильных терминалов, поддерживающих стандарт LTE, и при этом они достаточно дороги [7].

Из рисунка 4.3 видно, что структура сети сильно отличается от сетей стандартов 2G и 3G. Существенные изменения претерпела и подсистема базовых станций, и подсистема коммутации. Была изменена технология передачи данных между оборудованием пользователя и базовой станцией. Также подверглись изменению и протоколы передачи данных между сетевыми элементами. Вся информация (голос, данные) передается в виде пакетов. Таким образом, уже нет разделения на части обрабатывающие либо только голосовую информацию, либо только пакетные данные. Именно в этом главное обстоятельство, которое не дает строящимся сетям LTE называться сетями четвертого поколения: в них присутствует разделение на голос и данные. Рассматриваемые сети LTE относятся к версии 8 стандарта 3GPP LTE.

Можно выделить следующие основные элементы сети стандарта LTE:

·        Serving SAE Gateway или просто Serving Gateway (SGW) - обслуживающий шлюз сети LTE. Предназначен для обработки и маршрутизации пакетных данных поступающих из/в подсистему базовых станций. SGW имеет прямое соединение с сетями второго и третьего поколений того же оператора, что упрощает передачу соединения в /из них по причинам ухудшения зоны покрытия, перегрузок и т.п. В SGW нет функции коммутации каналов для голосовых соединений, т.к. в LTE вся информация, включая голос коммутируется и передается с помощью пакетов.

·        Public Data Network SAE Gateway или просто PDN Gateway (PGW) - шлюз к сетям передачи данных других операторов для сети LTE. Основная задача PGW заключается в маршрутизации трафика сети LTE к другим сетям передачи данных, таких как Интернет, а также сетям GSM, UMTS.

·        Mobility Management Entity (MME) - узел управления мобильностью сети сотовой связи стандарта LTE. Предназначен для обработки сигнализации, преимущественно связанной с управлением мобильностью абонентов в сети.

·        Home Subscriber Server (HSS) - сервер абонентских данных сети сотовой связи стандарта LTE. Представляет собой большую базу данных и предназначен для хранения данных об абонентах. Кроме того, HSS генерирует данные, необходимые для осуществления процедур шифрования, аутентификации и т.п. Сеть LTE может включать один или несколько HSS. Количество HSS зависит от географической структуры сети и числа абонентов.

·        Policy and Charging Rules Function (PCRF) - элемент сети сотовой связи стандарта LTE, отвечающий за управление начислением платы за оказанные услуги связи, а также за качество соединений в соответствии с заданными конкретному абоненту характеристиками.

Итак, в качестве структуры будущей абонентской сети выберем структуру, представленную на рисунке 4.2. Абонентская сеть будет построена на основе имеющихся базовых станций и архитектуры транспортной сети.

. Анализ городского района разработки абонентской сети

В качестве района разработки абонентской сети для фрагмента LTE выбран Центральный район г. Кирова. На рисунке 5.1 представлен план данного района.

Рисунок 5.1 - План территории Центрального района г. Кирова.

Площадь территории: .

Численность населения:

Примерно 25% из них пользуются услугами сотовой связи от «Билайн», т.е. количество абонентов

Определим количество необходимых базовых станций. Для необходимо знать радиус соты БС, который зависит от

·        Частоты передачи;

·        Мощности передатчика;

·        Высоты подвеса антенн;

·        Механического и электрического угла наклона антенн;

·        Плотности городской застройки и др.

На рисунке 5.2 представлена зависимость площади соты от частоты передачи в условиях городской застройки:

Рисунок 5.2 - Зависимость площади соты от частоты передачи.

Государственным комитетом по радиочастотам оператору сотовой связи «Билайн» были выделены следующие диапазоны частот:

·        LTE 700 FDD, Band is unspecified by 3GPP (735-742,5 МГц / 776-783,5 МГц)

·        LTE 800 FDD, Band 20 (854,5-862 МГц / 813,5-821 МГц)

·        LTE 2600 FDD, Band 7 (2550-2560 МГц / 2670-2680 МГц)

Т.к. в данный момент нет определенности, какой диапазон будет использоваться в городе Кирове, то в качестве примера рассмотрим диапазон 2600 МГц. Радиус соты в этом диапазоне  В качестве подстраховки для центрального района г. Кирова примем радиус соты  Тогда можно составить план расположения БС на карте района (рисунок 5.3).

Рисунок 5.3 - План расположения БС на карте района.

Таким образом, количество необходимых БС равно 9-ти. Однако такое расположение базовых станций и даже их количество это лишь примерный план, который требует более тщательного анализа и расчета зон покрытия каждой БС. И в первую очередь должно быть учтено наличие уже имеющихся БС.

. Выбор оборудования

На данный момент основными производителями операторского оборудования LTE являются [7]:

·        Ericsson;

·        Alcatel-Lucent;

·        Nokia Siemens Networks;

·        Fujitsu;

·        Huawei Technologies;

·        Motorola;

·        Panasonic;

·        Starent;

·        ZTE.

Основными критериями по выбору высокотехнологичного оборудования для сети LTE выступают:

.        Цена,

.        Качество,

.        Диапазон рабочих частот,

.        Возможность «бесшовной» интеграции в существующие сети,

.        Необходимая функциональность, определяемая непосредственно бизнес-планом оператора,

.        Отношение заявленных возможностей к действительным,

.        Информационная поддержка,

.        Гарантийные обязательства,

.        Возможность увеличения количества интерфейсов и производительности,

.        Возможность внедрения новых функциональных возможностей,

.        Возможность резервирования и др.

Все эти критерии являются довольно важными, однако всё оборудование является взаимозаменяемым, поэтому на первое место при выборе оборудования часто выходит отношение цена/качество. Стоимость одной базовой станции для сети LTE находится в пределах от 30000$ до 50000$. [5] Если цена у нескольких производителей различается незначительно, то может быть устроен тендер.

Но даже цена может отойти на второй план, если у оператора имеется положительный опыт сотрудничества с каким-либо производителем оборудования.

Оператор сотовой связи «Билайн», руководствуясь критерием цена/качество, а также последним обстоятельством, выбрал в качестве поставщика оборудования решение от Huawei Technologies. Решения других операторов представлены в таблице 5.1.

Таблица 5.1 - Выбор поставщика другими оператороми.

ООО «Скартел» (Yota)

«Мегафон»

МТС

«Билайн»

Huawei

Виртуальный оператор на мощностях «Скартел»

Ericsson

Huawei


В качестве примера БС от Huawei можно привести модель DBS3900 FDD (рисунок 5.1).

Рисунок 5.1 - Базовая станция стандарта LTE фирмы Huawei.

Данная БС состоит из блока BBU3900 (цена 1000-5000$) и RRU. BBU3900 - блок обработки базовых частот для установки внутри помещений, который обеспечивает централизованное управление эксплуатацией и обслуживанием, а также обработку сигнализации всей системы базовой станции и обеспечивает опорный сигнал синхронизации. Также блок имеет физические интерфейсы для соединения с BSC и RRU3004 (оптическим кабелем). RRU - выносной радиочастотный блок. Обеспечивает обработку сигналов основных частот и радиочастотных сигналов. Один RRU выполняет функцию двух приёмопередатчиков. Гибкие возможности установки DBS3900 упрощают приобретение сайта и обеспечивают быстрое развертывание сети с низкой совокупной стоимостью владения (ССВ). С целью уменьшения затрат BBU3900 можно установить на стене внутри помещения или в стандартный статив. Для снижения потребляемой мощности и затрат на фидеры RRU можно установить на столбе, мачте, бетонной стене или рядом с антенной системой.

Заключение

Цель и задачи, поставленные в курсовом проекте, были выполнены. Проанализированы основные технологии предоставления мобильного ШПД, а именно 3G/ UMTS, HSDPA, HSPA, HSPA, LTE и WiMAX. В результате анализа, было выявлено, что наиболее перспективной является технология LTE, которая имеет возможность интеграции с существующими сотовыми сетями. Наиболее проработанной версией LTE является её 10-ый релиз, поддерживающий VoIP и работу в более широком диапазоне частот. Однако из-за своих ценовых характеристик, она не подходит оператору сотовой связи «Билайн», поэтому в качестве сетей передачи данных следующего поколения оператор выбрал LTE версии 8.

Рассмотрены принципы построения и функционирования сетей LTE, а именно их архитектура, стеки протоколов и каналы, реализованные на различных уровнях, представлены возможные услуги в данных сетях, приведена концепция качества обслуживания, показана физическая структура кадров сети, описаны технологии мультиплексирования, а также поддержка многоантенных систем MIMO.

При выборе структуры абонентской сети учитывалась структура аналогичной сети у других сотовых операторов, а также структура самого стандарта LTE. В результате выбрана аналог абонентской сети оператора «Мегафон».

При выборе производителя оборудования для оператора «Билайн» главными оказались факторы цены и положительный опыт прошлого сотрудничества с компанией Huawei Technologies. В качестве примера недорогой БС от Huawei приведена DBS3900 FDD.

Рассмотрены основные критерии и методы защиты информации в сетях LTE.

Библиографический список

1.      Гельгор, А.Л. Технология LTE мобильной передачи данных [Текст]: учеб. пособие / А.Л. Гельгор, Е.А. Попов. - СПб.: Изд-во Политехн. ун-та, 2011.-204 с.

.        Тихвинский, В.О. Сети мобильной связи LTE: технология и архитектура [Текст] / В. О. Тихвинский, С.В. Терентьев, А. Б. Юрчук. - М.: Эко-Трендз, 2010. - 284 с.

.        История развития сотовой связи [Электронный ресурс] - Электрон. текстовые дан. - Режим доступа: http://www.corporacia.ru/ pages/page/show/237.htm. - Загл. с экрана.

.        3GPP Long Term Evolution [Электронный ресурс] - Электрон. текстовые дан. - Режим доступа: http://ru.wikipedia.org/wiki/3GPP_Long_Term _Evolution. - Загл. с экрана.

5.      LTE (Long-Term Evolution, 4G) [Электронный ресурс] - Электрон. текстовые дан. - 2013. - Режим доступа: http://www.tadviser.ru /index.php/Статья:LTE. - Загл. с экрана.

6.      LTE и WiMAX: борьба стандартов [Электронный ресурс] - Электрон. текстовые дан. - Режим доступа: http://www.tssonline.ru/ articles2/fix-op/lte-i-wimax-borba-standartov. - Загл. с экрана.

7.      LTE: взгляд изнутри [Электронный ресурс] - Электрон. текстовые дан. - Режим доступа: http://habrahabr.ru/post/136317/. - Загл. с экрана.

Похожие работы на - Разработка абонентской сети для фрагмента LTE Центрального района г. Кирова

 

Не нашли материал для своей работы?
Поможем написать уникальную работу
Без плагиата!
Без нейросетей!