Крытый ток в г. Куйбышеве
МИНИСТЕРСТВО
ОБРАЗОВАНИЯ И НАУКИ РОССИЙСКОЙ ФЕДЕРАЦИИ
СЕВЕРО-КАВКАЗСКИЙ
ГОРНО-МЕТАЛЛУРГИЧЕСКИЙ ИНСТИТУТ
(ГОСУДАРСТВЕННЫЙ
ТЕХНОЛОГИЧЕСКИЙ УНИВЕРСИТЕТ)
Архитектурно-строительный
факультет
Кафедра
строительных конструкций
ПОЯСНИТЕЛЬНАЯ
ЗАПИСКА
к
курсовому проекту по «Конструкциям из дерева и пластмасс»
на
тему «Крытый ток в г. Куйбышеве»
Выполнил: ст.гр.
ПГС-10-2 Хугаев А.Р.
Принял:
ст.преп.Едзоева Ф.А.
Владикавказ
2014 г
Содержание
I.Расчет
и конструирование основных несущих элементов покрытия
.Расчет
настила покрытия
.Расчет
неразрезного прогона покрытия. Технико-экономическое сравнение вариантов
несущих конструкций здания. Расчет и конструирование трехшарнирной подкосной
рамы
.Геометрический
расчет
.Статический
расчет
.Подбор
сечения
.Расчет
и конструирование узлов. Меры защиты
древесины
.От
гниения
.От
возгорания
Список
использованной литературы
конструирование несущий покрытие настил
I.Расчет и конструирование основных несущих
элементов покрытия
.Расчет настила покрытия
Кровля рубероидная трехслойная с уклоном 0,1.
Настил одинарный из сосновых досок. Шаг несущих конструкций 4,7 м.
Выбор конструктивной схемы. Принимаем покрытие с
неразрезными прогонами, поставленными на расстоянии 1,4 м по скату крыши.
Статический расчет.
Нагрузки по первому сочетанию (см. Рис.1) по
табл.1.
Таблица 1. Нагрузки, кН/м²
|
Составляющие
нагрузки
|
Нормативная
нагрузка
|
n
|
Расчетная
нагрузка
|
|
Рубероидная
кровля
|
0,1
|
1,3
|
0,13
|
|
Настил
|
0,095
|
1,1
|
0,105
|
|
Итого:
|
|
0,195
|
|
0,235
|
|
Снеговая
нагрузка 1,8∙1∙0,72
|
1,296
|
1,4
|
1,81
|
Для г.Куйбышевр0=1,8 кН/м²;
с=1;
v=4 м/с; k=(1,2-0,1∙4)0,9=0,72.
При
;
n=1,55.
Расчет ведем на нормальную составляющую
действующей нагрузки:
;
;
По формуле
.
Определяем толщину настила:
, откуда W=M/
=49/1,37=36
см³,
где
=1,3/0,95=1,37
кН/см²;
.
см при b=100 см. По
сортаменту h=1,9 см.
Прогиб по формуле:
,
где J=100∙1,93/12=57 см4, Е=103
кН/см2/l=0,527/140=1/266
fпред=1/150∙0,95=1/143.
Статический расчет по второму сочетанию нагрузок
(см. рис.2)
Принимаем доски настила шириной 15
см. В этом случае сосредоточенная нагрузка передается на две доски и bрасч=30
см. Нагрузка от веса настила (см.табл.1):
gс.в.=0,105∙0,3∙0,995=0,031
кН/м
Сосредоточенная нагрузкаР=1∙1,2∙0,995=1,2
кН
Изгибающий момент в сечении под
нагрузкой:
М=0,07∙0,031∙1,42+0,207∙1,2∙1,4=0,352
кН∙м
Проверяем напряжение для принятой
толщины досок:
где W=30
1,92/6=18,05
см3.
2.Расчет неразрезного прогона покрытия
Расчетная схема прогона-неразрезная балка с
равными пролетами по всей длине. Нагрузка от покрытия (см.табл.1), кН/м:
gn=0,195
1,4=0,273; g=0,235
1,4=0,329.
Ориентировочно нагрузка от собственного веса:
gnс.в.=0,12 кН/м; gс.в=0,13 кН/м,
Снеговая нагрузка (табл.1), кН/м:
pn=1,296
1,4=1,81; р=1,81
1,4=2,53.
Нормальная составляющая нагрузки, кН/м:
qnx=(0,273+0,12+1,81
0,995)0,995=2,18;=(0,329+0,13+2,53
0,995)0,995=2,96.
Скатная составляющая воспринимается настилом и
передается на коньковые прогоны.
Изгибающий момент по формуле:
Ммакс=qxl2/12=2,96
4,72/12=5,45
кН
м.=M/Rи=545/1,37=398
см3, где Rи=13/0,95=13,7 МПа.
По приложению 1 [2] принимаем сечение из двух
досок размером 50×75 мм с
Wx=765,6 см3; Jx=6699,2 см4.
Прогиб прогона:=qnl4/(384EJ)=0,0218
4704/(384
103
6699,2)=0,41
см;/l=0,41/470=1/1146
fпред=1/200
0,95=1/190.
В крайних пролетах ставим дополнительную доску
такого же сечения. В стыке досок прогона ставим гвозди диаметром 4 мм, l=120 мм
в два ряда с каждой стороны стыка. По длине доски скрепляем гвоздями в
шахматном порядке через 500 мм.
s1=15d=15
0,4=6 см; a =5 см;
а1=5-1,5
0,4=4,4
см.
Расчетная несущая способность гвоздя, кН:
Тс=0,35сd=0,35
5
0,4=0,7;
Та=kиаd=0,38
4,4
0,4=0,67;
Ти=2,5d2+0,01а2=2,5
0,42+0,01
4,42=0,59,
где kи=0,38 при а1/с=4,4/5=0,88.
Количество гвоздей:
nrv=Mоп/(2xтТмин
n)=545/(2
85,5
0,59
0,95)=10,69
шт.
Принимаем количество гвоздей 12 штук.
III.Расчет и конструирование трехшарнирной
подкосной рамы
1.Геометрический расчет
Геометрическая схема рамы приведена на рис.
3.Задаваясь уклоном кровли i=1/10;
=5
;
sin
=0,0871;
tg
=0,0874;
cos
=0,996,
определим длины консолей и основные геометрические характеристики рамы:
;
;
.
По геометрическим размерам этой рамы найдем
основные углы между ее стержнями и необходимые тригонометрические величины.
Величину угла
, образованного
стойками рамы и подкосами, определяем из выражения
;
=31
47΄;
sin
=0,522;
cos
=0,853.
Величина угла
между
ригелем и подкосом
;
=0,804;
cos
=0,594;
tg
=1,35.
Величина угла
между
ригелем и стойкой

=0,996; cos
=0,087;
tg
=11.43.
.Статический расчет
Расчетная схема рамы приведена на рис. 4. На
расчетной схеме ось ригеля проходит через середину высоты сечения конца консоли
и середину высоты сечения ригеля в коньке. Появляющиеся при этом
эксцентриситеты приложения нормальной силы в отдельных сечениях ригеля в
дальнейшем учитываются в расчете. Оси стойки и раскоса являются их
геометрическими осями. Ввиду частого расположения прогонов кровли нагрузку на
ригель рамы считаем равномерно распределенной.
Нагрузки:
.Собственный вес кровли с учетом веса прогонов:
нормативная нагрузка 0,315кН/м²; расчетная
нагрузка 0,365 кН/м².
.Собственный вес рамы с учетом веса связей:
где
и
нормативные
нагрузки от собственного веса и снега;
коэффициент
собственного веса для рамных конструкций;
пролет рамы с
учетом консолей;
коэффициент,
учитывающий вес связей;
коэффициент
перегрузки для постоянной нагрузки.
Расчетная нагрузка от собственного веса
конструкций на ригель
g=(0,365+0,47)
5,5=4,59
кН/м.
3.Снеговая нагрузка рсн=2,67
5,5=14,68
кН/м.
.Ветровая нагрузка [1] qн=q0
cв,
где q0=0,38 кН/м²- нормативный
скоростной напор для IIIгеографического района при высоте до 10 м;в-
аэродинамический коэффициент.
Ветровая нагрузка на стойки рамы:
с наветренной стороны
кН/м.
Здесь
коэффициент
перегрузки, равный 1,2;
расстояние между
рамами вдоль здания.
с подветренной стороны
кН/м.
Ветровая нагрузка на ригель:
с наветренной стороны
кН/м.
с подветренной стороны
кН/м.
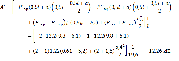
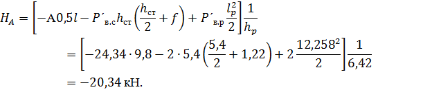
Определение усилий в элементах рамы
а) От собственного веса конструкций (рис. 5.)
Нагрузку от собственного веса конструкции из-за
малой величины уклона кровли (1:10) принимаем равномерно распределенной по
горизонтальной проекции плана.
Ввиду симметричности рамы вертикальные опорные
реакции равны: А=А΄=g(0,5l+a)=4,59(0,5
+2,4)=56
кН. Распор рамы найдем из равенства нулю моментов сил относительно ключевого
шарнира С:
Мс=0;
Продольные усилия в элементах рамы:
в подкосах
в стойках
в ригеле в сечениях у ключевого шарнира С
;
в сечениях у узлов В и В
с внутренней стороны
с наружной стороны
в сечениях у узлов Б и Б
с наружной стороны
с внутренней стороны
Изгибающие моменты определяем в опорных сечениях
ригеля рамы (в узлах Б, В, Б
, В
),
а также в промежуточных сечениях его в точках 1, 2, 3, 1
,
2
3
,
т.е. через каждые 1,9 м по длине проекции ригеля и в точках 4 и 4
,
расположенных посередине между точками Б-В и Б
-В
,
и в точках 5 и 5
, расположенных
посередине консолей:
б) От снеговой односторонней нагрузки на левой
половине ригеля(рис. 6.)
Определение вертикальных опорных реакций:
Распор
Усилия и изгибающие моменты в элементах левой
полурамы
вертикальное усилие
в шарнире;
Усилия и изгибающие моменты в элементах правой
полурамы:
в) От ветровой нагрузки слева(рис. 7.)
Опорные реакции определяем из условия равенства
нулю моментов всех сил относительно опор рамы. Для упрощения вычисления заменим
распределенные нагрузки от ветра, действующие нормально к скатам, их
составляющими.
Тогда из уравнения
определим
величину левой опорной реакции:
Величину правой опорной реакции определим из
уравнения
:
Из уравнения
для
левой полурамы определим величину распора у опоры А:
Аналогично найдем величину распора у опоры А
:
Вертикальные и горизонтальные усилия в шарнире С
определим из условия равенства нулю проекций всех сил на оси х и у для каждой
полурамы. Для левой полурамы:
Соответственно для правой полурамы будем иметь
Усилия и изгибающие моменты в элементах левой
полурамы:
Усилия и изгибающие моменты в элементах правой
полурамы:
.Подбор сечения
Подбор сечений элементов рамы производим по
расчетным усилиям (табл. 3.).
Ригель
Ригель принимаем прямоугольного сечения с
переменной высотой по его длине с учетом изменения эпюры расчетных изгибающих
моментов. Наружное очертание ригеля принято прямолинейным с заданным уклоном
для кровли i=1:10.
Ширину сечения ригеля назначаем 190 мм (после
острожки). Размеры склеиваемых досок в черновой заготовке - 200х40мм с
двухсторонней острожкой их по ширине и толщине до 190х33 мм. Влиянием
продольных усилий в ригеле при предварительном подборе сечений пренебрегаем
ввиду незначительной их величины. Принятые сечения затем проверяем на сжатие с
изгибом.
Требуемую высоту сечения ригеля в узле Вв месте
примыкания подкоса к ригелю (М=-455,04 кНм) определяем из условия прочности его
на изгиб:
где
коэффициент
условий работы на изгиб для клееных конструкций;
М- расчетный изгибающий момент;
ширина сечения.
Высоту сечения принимаем в сечении В равной
h=118,8 см. Количество досок по высоте сечения nд=36 шт. Сечение ригеля в
коньковом узле и на концах консолей назначено конструктивно высотой h=46,2 см
из nд=14 досок.
Проверку принятых сечений ригеля производим в
местах, где момент и продольная сила имеют наибольшие значения (узел В), а
также где стойка примыкает к ригелю.
Проверка ригеля в месте примыкания к нему
подкоса (узел В) (рис.8):
а) от собственного веса и снега М=-455,04 кНм;
N=-149,08 кН.
|
Элементы
рамы
|
Обозначения
сечений
|
Вид
усилия
|
Собственный
вес
|
Снег
|
Ветер
(продольная стена по стойке ригеля)
|
|
|
|
|
Слева
|
Справа
|
С
двух сторон
|
Слева
|
Справа
|
|
Ригель
|
С
|
M
|
0
|
0
|
0
|
0
|
0
|
0
|
|
|
N
|
-32,1
|
-47,74
|
-54,72
|
-102,46
|
11,91
|
11,91
|
|
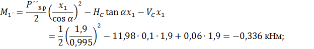
1
|
M
|
-2,15
|
+47,57
|
-54,5
|
-6,93
|
+1,26
|
-0,336
|
|
|
N
|
-32,96
|
-50,5
|
-54,72
|
-105,22
|
11,91
|
11,91
|
|
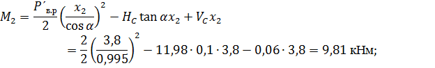
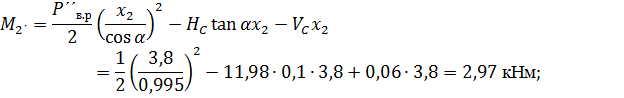
2
|
M
|
-20,8
|
+42,15
|
-109
|
-66,85
|
+9,81
|
+2,97
|
|
|
N
|
-33,83
|
-53,27
|
-54,72
|
-107,99
|
11,91
|
11,91
|
|
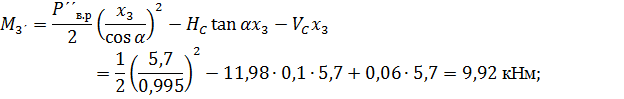
3
|
M
|
-56,2
|
-11,87
|
-163,5
|
-175,37
|
+25,67
|
+9,92
|
|
|
N
|
-34,69
|
-56,04
|
-54,72
|
-170,76
|
11,91
|
11,91
|
|
В
|
M
|
-109,24
|
-127,8
|
-218
|
-345,8
|
+49,23
|
+20,51
|
|
|
Nв
|
-35,56
|
-58,8
|
-54,72
|
-113,52
|
11,91
|
11,91
|
|
|
Nн
|
4,72
|
0,131
|
9,501
|
-6,73
|
3,72
|
|
4
|
M
|
-70,2
|
-76,14
|
-109
|
-185,14
|
+26,29
|
+11,09
|
|
|
N
|
4,23
|
3,72
|
9,37
|
13,09
|
-6,73
|
3,99
|
|
Б
|
M
|
-36,72
|
-42,27
|
0
|
-42,27
|
+5,81
|
+2,91
|
|
|
Nв
|
3,75
|
2,16
|
9,37
|
11,53
|
-6,73
|
4,27
|
|
|
Nн
|
1,09
|
3,49
|
0
|
3,49
|
0
|
0
|
|
5
|
M
|
-3,31
|
-10,56
|
0
|
-10,56
|
+0,275
|
+0,276
|
|
|
N
|
0,55
|
1,74
|
0
|
1,74
|
0
|
0
|
|
Д
|
N
|
----
|
----
|
----
|
----
|
----
|
----
|
|
Стойка
|
V
|
M
|
0
|
0
|
0
|
0
|
+7,29
|
-5,46
|
|
|
N
|
26,85
|
-13,42
|
98,04
|
84,62
|
-14,02
|
-3,2
|
|
Подкос
|
D
|
N
|
-88,9
|
-141,48
|
-141,48
|
-282,96
|
41,16
|
16,85
|
|
Опорная
реакция
|
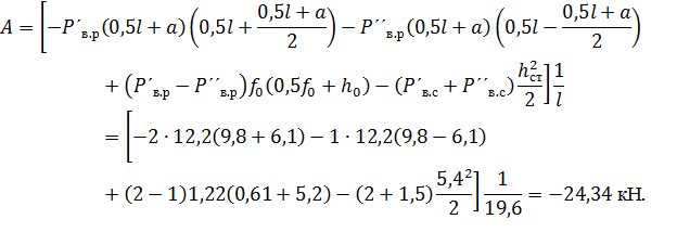
A
|
|
56
|
145,28
|
33,82
|
179,1
|
-24,34
|
-12,26
|
|
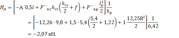
Распор
|
H
|
|
32,27
|
51,63
|
51,63
|
103,26
|
-20,34
|
-2,07
|
|
Поперечная
сила в коньковом шарнире
|
Vc
|
|
----
|
33,82
|
-33,82
|
----
|
-0,06
|
0,06
|
|
Распор
в коньковом шарнире
|
Hc
|
|
-32,27
|
-51,63
|
-51,63
|
-103,26
|
11,98
|
-11,98
|
Таблица 3. Усилия N в кН и моменты
Расчетную гибкость сжато-изгибаемого переменного
по высоте ригеля определяем приближенно по усредненному значению радиуса
инерции:
где
средняя
высота сечения между узлами В и С;
Тогда
Здесь
усредненная
площадь сечения;
расчетная площадь
сечения ригеля в узле В;
дополнительный
разгружающий момент от переноса продольной силы с оси a-aна нейтральную ось
сечения x0- x0.
коэффициент
условий работы клееной балки на изгиб.
Проверка принятого сечения ригеля на скалывание
при изгибе по клеевому шву в узле В.
Расчетная нагрузка на раму
Поперечная сила в узле В
где 0,5- коэффициент, учитывающий возможный
непроклей шва.
б) от собственного веса, снега и ветра:
М=-504,27кНм; N=-160,99 кН;
Стойка
Стойка рассчитывается как сжато- изгибаемый
элемент от воздействий собственного веса, снега и ветра: М=6,56кНм; N=90,39 кН.
Длина стойки lст=5,4 м.
Задаемся предварительно сечением стойки из
цельного бруса черновой заготовки 200х200 мм и после четырехсторонней острожки
190х190 мм. Прогоны по продольным стенам крепятся к стойке болтами dб=20 мм.
Для принятого поперечного сечения стойки имеем:
Тогда
Напряжение в расчетном сечении стойки
коэффициент
повышения расчетного сопротивления древесины при учете ветровой нагрузки.
Подкос
Принимаем подкос клееным сечением 190х561 ммиз
семнадцати досок толщиной 33 мм. Длина подкоса lп=6,8 м. Гибкость подкоса
тогда
Подкос рассчитывается на центральное сжатие:
а) от собственного веса и снега:
где
б) от собственного веса, снега и ветра:
.Расчет и конструирование узлов
Узел В сопряжения подкоса с ригелем рамы
Соединение подкоса с ригелем выполняем лобовым
упором ввиду того, что в подкосе рамы возникают только сжимающие силы. Для
обеспечения боковой жесткости узла, а также для восприятия растягивающих усилий
в подкосе при монтаже рамы по обе стороны подкоса и ригеля ставим накладки
сечением190х66 мм, которые прикрепляются к подкосу и ригелю четырьмя болтами
dб=20 мм. Проверяем на смятие ригель в месте примыкания подкоса:
а) от собственного веса и снега
Угол смятия древесины ригеля подкосом
Расчетное сопротивление древесины смятию под
углом к волокнам:
где
б)
от собственного веса, снега и ветра
Расчетное сопротивление древесины смятию под
углом к волокнам
где
и
коэффициенты,
учитывающие влияние ветровой нагрузки.
Узел соединения стойки с ригелем рамы
Соединение стойки рамы с ригелем выполняется
лобовым упором и перекрывается парными накладками сечением 190х66 ммна восьми
болтах диаметром 20 мм, которые воспринимают расчетное усилие растяжения при
воздействии собственного веса и снега
.
Несущая способность болтов, соединяющих накладки с ригелем и стойкой, при
направлении растягивающего усилия, передаваемого со стойки на ригель под углом
определяется
по меньшему из всех трех условий:
из условия смятия
из условия изгиба нагеля
При воздействии собственного веса, снега и ветра
где 1,4- коэффициент условий работы при
воздействии ветровой нагрузки.
Коньковый узел
Соединение торцов клееных блоков ригеля в
шарнирном узле С выполняется впритык с боковыми парными накладками на болтах.
Для обеспечения большей шарнирности узла крайние доски срезаны под углом.
Парные накладки принимаем сечением 190х66 мм на болтах диаметром 20 мм.
Расчетные усилия в узле С при воздействии
нагрузки от собственного веса и снега:
Усилие
в
коньке передается в узле через торец по площадке смятия
Проверяем площадь площадки на смятие:
Поперечная сила
,
действующая в коньковом узле, воспринимается накладкой и болтами.
Расстояния между болтами накладок:
Поперечная сила, воспринимаемая ближайшими к
узлу болтами:
а удаленные от узла болты воспринимают
Несущая способность одного среза болта,
соединяющего накладки с ригелем, определяется:
из условия смятия
из условия изгиба болта
Необходимое количество болтов в ближайшем к узлу
ряду:
В месте действия сил
и
ставим
по два болта.
Расчет на воздействие нагрузок от собственного
веса, снега и ветра не производим ввиду небольшого их увеличения по сравнению с
усилиями от собственного веса и снега, а также в связи с повышением расчетных
сопротивлений древесины при наличии ветровых нагрузок.
Опорный узел
При воздействии нагрузки от собственного веса,
снега и ветра:
усилия в стойке Nст=-90,39 кН; Nст=-96,27 кН;
усилие в подкосе
Стойки и подкосы опираются на фундамент через
торцы, срезанные под перпендикулярно их осям. Стойка и подкос у торцов имеют
стески по высоте сечения на 2,5 см. Несущая способность подкоса из условия
смятия бетона фундамента под торцом подкоса (бетон марки 150;
):
Прочность опорной стойки на смятие торца не
проверяем ввиду малой величины продольного усилия сжатия в ней. Крепление
стойки к фундаменту производим с помощью двух анкеров из полосовой стали
сечением 100х5 мм.
Усилие на одну полосу
Крепление анкеров к стойкам производим болтами
диаметром 20 мм, l=260 мм. Расчетная несущая способность болта на один срез:
из условия смятия древесины под болтами
из условия изгиба болта:
.
Необходимое количество болтов
Принимаем 4 болта.
IV.Меры защиты древесины
.От гниения
Один из недостатков древесины - снижение
механических свойств при увеличении влажности, приводящей к деформациям,
разбуханиями биологическому разрушению - гниению. При быстром высыхании
возникают деформации усушки, вызывающие растрескивание, коробление, а в клееных
элементах - снижение прочности клеевых швов. Источников увлажнения деревянных конструкций
при эксплуатации много: это начальное и построечное увлажнение, атмосферное от
осадков, гидрогеологическое, от контакта древесины с грунтом или водой,
конденсационное, при резкой смене температур и недостаточном тепловом
сопротивлении ограждающих конструкций, эксплуатационное при наличии мокрых
технологических процессов или неисправности трубопроводов, биологическое.
Для предотвращения увлажнения деревянных
конструкций и их нормальной эксплуатации предусматривают конструктивные меры и
защитную обработку, которые должны обеспечивать сохранность конструкций при
складировании, транспортировке и монтаже, а также долговечность при
эксплуатации. Защиту осуществляют во всех зданиях и сооружениях независимо от
их назначения и срока службы.
Деревянные конструкции следует делать открытыми,
хорошо проветриваемыми, по возможности доступными для осмотра,
профилактического ремонта и защитной обработки.
В зданиях с деревянными конструкциями
рекомендуется применять кровли с наружным отводом атмосферных вод. Устройство
ендов и закрытых парапетов запрещается. Следует избегать фонарных надстроек на
крыше. Среднюю часть широких зданий рекомендуется проектировать более высокой,
чем крайние пролеты, устраивая освещение в наружных стенах.
Несущие деревянные Конструкции располагают либо
в пределах отапливаемой части здания, либо вне ее. Если несущая конструкция из
отапливаемого помещения проходит через ограждающую в неотапливаемое, то в
местах пересечения ее защищают специальными бандажами.Зазоры между
поверхностями конструкции и отверстиями ограждения тщательно утепляют
минеральной ватой и герметизируют пороизолом или пористой резиной на мастиках
(рис. 1, а).
Опорные части, расположенные в гнездах наружных
каменных стен, оставляют открытыми внутрь помещения. Заделывать гнезда
запрещается. Их задние стенки утепляют биостойкими утеплителями в соответствии
с теплотехническим расчетом. Под несущую конструкцию укладывают два слоя
гидроизоляционного рулонного материала (рис. 1, б). Несущие конструкции с
опорными металлическими башмаками устанавливают на пилястру каменных стен или
приставные колонны (рис. 1, в).
Опорные стальные башмаки должны иметь
минимальную площадь
контакта с древесиной для возможности ее проветривания. Поверхности древесины
изолируют от металла мастиками и рулонным гидроизоляционным материалом.
Рис. 1. Защита узлов несущих конструкций:
а - при переходе конструкции из отапливаемого
помещения наружу здания;б - при опирании конструкции в гнездах кирпичных стен;
в- то же, со стальными башмаками на пилястры стен; г- при переходе конструкции
черезвнутреннюю стену;
- покрытие; 2 - несущая конструкция; 3 - опорная
подушка;4- кирпичная стена; 5- минеральная вата, обернутая полиэтиленовой
пленкой; 6 -эластичная прокладка; 7 - пилястра; 8 - стальной башмак; 9-
гидроизоляция; 10- воздушная прослойка.
Изоляционные подкладки, подбалки и подушки
опорных узлов, соприкасающиеся с каменной кладкой или бетоном, изготовляют из
защищенной от биоповреждения древесины преимущественно твердых лиственных пород
и изолируют от стен двумя слоями гидроизоляционного материала. Если конструкция
проходит через внутреннюю стену не опираясь на нее, то зазор оставляют и под
конструкцией. Размер его принимают несколько большим возможного прогиба
конструкции в месте пересечения, но не менее 30 мм. Нижний зазор заполняют
минеральной ватой по гидроизоляционному рулонному материалу, уложенному на
обрез стены (рис. 1, г).
При проектировании перекрытий первого этажа,
располагаемых над грунтом, рекомендуют укладывать по всей площади слой бетона
или щебня, залитого цементным раствором толщиной не менее 100 мм. Расстояние от
этого слоя до древесины конструкций принимают не менее 300 мм. Для вентиляции
подполья в наружных стенах устраивают отверстия, которые закрывают только в
зимний период. Все поверхности древесины, выходящие в сторону грунта, покрывают
биозащитными составами, а места опирания деревянных элементов на каменные стены
или промежуточные столбы изолируют двумя слоями рулонного материала и
антисептированными подкладками. В полах устраивают вентиляционные решетки или
щелевые плинтусы с выходом отверстий в помещение.
Для предотвращения увлажнения клееных деревянных
несущих и ограждающих конструкций применяют укрывистые и лакокрасочные,
преимущественно прозрачные покрытия. Первые - в основном для конструкций,
подвергающихся непосредственному увлажнению осадками или при значительной
относительной влажности воздуха в помещениях, а лакокрасочные - для конструкций
внутри зданий.
Влагозащитными составами обрабатывают наружные
элементы покрытия и стенового ограждения, а также несущих конструкций.Для
влагозащиты рекомендуют следующие лаки и эмали: перхлорвиниловые,
пентафталевые, уретановые, уретаново-алкидные,
масляно-смоляные,органосиликатные.
Для защиты от биологического разрушения
применяют следующие антисептики. Водорастворимые: фтористый натрий,
кремнефтористый натрий, кремнефтористый аммоний, тетрафторборат аммония,
пентахлорфенолят натрия, доналит. Антисептики на нефтепродуктах и легких
маслах: препараты пектахлорфенола в органических растворителях, нафтенат меди.
Маслянистые антисептики: масло каменно-угольное, антраценовое, сланцевое. Тип
антисептирования - поверхностная обработка, пропитка в ваннах или автоклавах
под давлением, обмазка пастами зависит от условий эксплуатации, видов
деревянных конструкций и срока их службы.
Водные антисептики нельзя применять в
конструкциях, где возможно их быстрое вымывание, т.е. находящихся на открытом
воздухе или в грунте. Антисептики в органических растворителях и маслянистые не
применяют в зданиях, где находятся пищевые продукты,животные и люди.
Антисептик и способ его нанесения
устанавливается правилами производства и приемки строительных деревянных
конструкций.Биозащитной обработке подлежат все неклееные деревянные
конструкции, эксплуатируемые в помещениях относительной влажностью воздуха
более 60 %, а также отдельные их элементы и части, которые могут увлажняться в
процессе эксплуатации, каркас и внутренние поверхности ограждающих конструкций,
в том числе плит и панелей.
Кроме того, древесина поражается в результате
жизнедеятельности энтомологических вредителей.Против морских древоточцев,
жуков-точильщиков и термитов применяют масла: каменноугольное, сланцевое и их
смеси с пентахлорфенолом, оксидифенил, а также нафтенат меди в органических
растворителях.Для обработки древесины при ремонтных работах в случае
обнаружения дереворазрушающих насекомых применяют следующие инсектициды;
гексахлоранциклогексан (ГХЦГ), диметилтрихлороксиэтилфосфонат технический
(хлорофос), карбофос и другие.
Указанные препараты нельзя применять внутри
помещений предприятий общественного питания и складов пищевых продукто
.От возгорания
Горение древесины - это химический процесс ее
термического разложения, сопровождающийся выделением газов. Соединяясь с
кислородом воздуха, они образуют пламя. Воспламенение может произойти и при
отсутствии открытого источника огня.
Предел огнестойкости деревянных конструкций
(время в часах сначала теплового воздействия до появления одного из признаков
предельного состояния) определяют с учетом обугливания элементов.
Деревянные клееные балки, фермы, арки, рамы и
колонны зданий и сооружений применяют без огнезащитной обработки, кроме
производств категории В, для которых требуется огнезащитная обработка.
Деревянные плиты, настилы и прогоны покрытий, а также элементы навесных панелей
стен подвергают глубокой пропитке антипиренами. Для производственных и
складских зданий с производствами категорий А и Б основные деревянные
конструкции, приведенные выше, не допускаются.
При тепловом воздействии на металлодеревянные
конструкции незащищенный металл прогревается и теряет несущую способность
значительно быстрее древесины. Предел огнестойкости таких конструкций
определяется пределом огнестойкости металлических элементов, который составляет
0,25 ч.
Металлические крепежные детали (болты, гвозди,
элементы профильного металла) защищают от непосредственного воздействия огня и
высоких температур на время, соответствующее ожидаемому пределу огнестойкости.
Для этой цели ставят защитные деревянные накладки, утапливают в древесину головки
болтов и гвоздей, которые затем защищают деревянными пробками.
Повышают пожарную безопасность деревянных
конструкций конструктивными и химическими способами, а в ряде случаев
комбинированием их.
Конструктивные меры заключаются в создании таких
условий, при которых распространение огня преграждается, а предел огнестойкости
конструкций увеличивается. Это устройство противопожарных стен или несгораемых
участков перекрытий и покрытий, разделение пустотных покрытий несгораемыми
диафрагмами, площадь между которыми не должна превышать 54 кв.м.,устройство
несгораемых разделок у дымоходов и печей, оштукатуривание перекрытий,
увеличение сечений деревянных элементов.
Химические меры огнезащиты понижают
возгораемость древесины. Это пропитка деревянных элементов антипиренами,
нанесение на поверхность огнезащитных покрытий в виде штукатурок и листовых
несгораемых и трудносгораемых материалов, а также невспучивающихся,
вспучивающихся, неорганических и органических красок.
Обрабатывают конструкции антипиренами (водо- или
органикорастворимыми составами) путем поверхностной обмазки древесины или ее
глубокой пропитки. Последний способ более надежен. Можно применять составы,
обладающие одновременно свойствами антисептика и антипирена. Комплексная защита
древесины - наиболее перспективное направление, особенно для клееных
конструкций индустриального изготовления. Древесина, пропитанная этими
составами - трудносгораемыйматериал.
При обработке обмазками предпочтение следует
отдавать вспучивающимся краскам, защитные свойства которых проявляются при
действии огня.
Список использованной литературы
СНиП
II-25-80
И.Н.
Гринь «Проектирование и расчет деревянных конструкций», Липецк 2005.
Г.Г.
Карлсен, Ю.В. Слицкоухова «Конструкции из дерева и пластмасс», Москва
Стройиздат 1986.
Фидарова
Ф.А. Методические указания к курсовому проектированию по курсу: «Конструкции из
дерева и пластмасс», Владикавказ 2004.