Дифрагированное переходное излучение

  • Вид работы:
    Реферат
  • Предмет:
    Физика
  • Язык:
    Русский
    ,
    Формат файла:
    MS Word
    811,16 Кб
  • Опубликовано:
    2014-10-21
Вы можете узнать стоимость помощи в написании студенческой работы.
Помощь в написании работы, которую точно примут!

Дифрагированное переходное излучение

ОГЛАВЛЕНИЕ

ВВЕДЕНИЕ

ГЛАВА I. Параметрическое рентгеновское излучение релятивистского электрона в геометрии рассеяния Лауэ

.1 Амплитуда излучения

1.2 Спектрально-угловая плотность излучения

1.3 Влияние асимметрии отражения на спектр ПРИ

.4 Влияние асимметрии на угловую плотность ПРИ и ДПИ

.5 Относительные вклады ПРИ и ДПИ в полный выход излучения и влияние интерференции

ГЛАВА II. Оптимизация выхода ДПИ

.1 Оптимизация выхода ДПИ

.2 Эффект аномального фотопоглощения в параметрическом рентгеновском излучении в условиях асимметричного отражения

ЗАКЛЮЧЕНИЕ

СПИСОК ИСПОЛЬЗОВАННОЙ ЛИТЕРАТУРЫ

ВВЕДЕНИЕ

В настоящее время ученые разных стран все больше стали интересоваться исследованиями, связанными с прохождением и излучением релятивистских электронов в структурированных средах.

Это связано с тем, что источники рентгеновского излучения, основанные на этом механизме излучения очень востребованы в медицине, биологии, микроэлектронике, физике твердого тела и других областях науки и техники.

Такие источники, созданные на основе электронных накопительных колец с высокой (~ 1 ГэВ) энергией электронов, генерирующих синхротронное излучение, являются громоздкими и дорогостоящими установками. рентгеновский излучение электрон дифрагированный

Для генерации пучков когерентного рентгеновского излучения можно использовать компактные ускорители с энергией электронов ~ 10-50 MэВ, которые являются менее дорогостоящими установками.

Отличительной особенностью источников основанных на взаимодействие релятивистских электронов со структурированными средами является высокая монохроматичность, поляризация генерируемого ими излучения, перестраиваемость по частоте и высокая интенсивность.

Цель работы:

Математическое и компьютерное моделирование дифрагированного переходного излучения релятивистского электрона пересекающего кристаллическую пластинку в общем случае асимметричного отражения поля электрона относительно поверхности мишени.

Задача:

1.      Построение математической модели дифрагированного переходного излучения релятивистского электрона пересекающего кристаллическую пластинку в геометрии рассеяния Лауэ.

2.      Вывод выражений описывающее спектрально-угловые характеристики переходного излучения.

.        Исследование спектрально-угловых характеристик излучений.

.        Оптимизация выхода ДПИ

 

ГЛАВА I. ПАРАМЕТРИЧЕСКОЕ РЕНТГЕНОВСКОЕ ИЗЛУЧЕНИЕ РЕЛЯТИВИСТСКОГО ЭЛЕКТРОНА В НЕОМЕТРИИ РАССЕИВАНИЯ ЛАУЭ

1.1    Амплитуда излучения

Рассмотрим излучение быстрой заряженной частицы пересекающей монокристаллическую пластинку с постоянной скоростью  (рис.1). При этом будем рассматривать уравнения для Фурье-образа электромагнитного поля

         (1.1)

Поскольку поле релятивистской частицы с хорошей степенью точности можно считать поперечным, то падающая  и дифрагированная  электромагнитные волны, определяются двумя амплитудами с разными значениями поперечной поляризации

    (1.2)

Единичные векторы поляризации ,, и  выбираются такими, что  и  перпендикулярны вектору , а векторы и перпендикулярны вектору .

При этом векторы ,  лежат в плоскости векторов  и  (-поляризация), а вектора  и  перпендикулярны ей (-поляризация); - вектор обратной решетки, определяющий систему отражающих атомных плоскостей кристалла.

Рис.1.1. Геометрия процесса излучения. - угол излучения, - угол Брэгга (угол между скоростью электрона  и атомными плоскостями), -угол между поверхностью и рассматриваемыми атомными плоскостями кристалла,  и  - волновые вектора подающего и дифрагированного фотона.

Система уравнений для Фурье-образа электромагнитного поля в двухволновом приближение динамической теории дифракции имеет следующий вид [22]:

   (1.3)

где ,  - коэффициенты Фурье разложения диэлектрической восприимчивости кристалла по векторам обратной решетки :

.        (1.4)

Будем рассматривать кристалл с центральной симметрией . В выражении (1.4) величины  и  определяются следующим образом:

,

, (1.5)

где  - средняя диэлектрическая восприимчивость, F(g) - форм фактор атома, содержащего Z электронов, - структурный фактор элементарной ячейки, содержащей  атомов, - среднеквадратичная амплитуда тепловых колебаний атомов кристалла. В работе рассматривается рентгеновская область частот , .

Величины  и  в системе (1.3) определены следующим образом:

, , ,     

, , ,        (1.6)

где - составляющая импульса виртуального фотона, перпендикулярная скорости частицы  (, где <<1 - угол между векторами  и ),  - угол между скоростью электрона и системой кристаллографических плоскостей (угол Брэгга),  - азимутальный угол излучение, отсчитывается от плоскости, образованной векторами и , величина вектора обратной решетки определяется выражением , - частота Брэгга. Угол между вектором  и волновым вектором падающей волны  обозначен , а угол между вектором  и волновым вектором дифрагированной волны  обозначен . Система уравнений (1.3) при параметре  описывает поля - поляризованные, а при  -поляризованные.

Решим следующее из системы (1.3) дисперсионное уравнения для рентгеновских волн в кристалле:

, (1.7)

стандартными методами динамической теории [5].

Будем искать проекции волновых векторов  и  на ось X, совпадающую с вектором  (см. рис.1) в виде:

,

.(1.8)

При этом будем использовать известное соотношение, связывающее динамические добавки  и  для рентгеновских волн [5]:

,  (1.9)

где , , , , -

угол между волновым вектором подающей волны  и вектором нормали к поверхности пластинки , -угол между волновым вектором  и вектором  (см. рис.1). Модули векторов  и  имеют вид:

, .     (1.10)

Подставим (1.8) в (1.7), учтя (1.9) и , , получим выражения для динамических добавок:

,     (1.11a)

       (1.11b)

Так как , , то можно показать, что  (см. рис.1), и поэтому в дальнейшем угол  будем обозначать .

Решение системы уравнений (1.3) для дифрагированного поля в кристалле представим в виде:

    (1.12)

где , ,

-       
Лоренц-фактор частицы,  и  -свободные дифрагированные поля в кристалле.

Для поля в вакууме перед кристаллом решение системы (1.3) имеет вид:

    (1.13)


.

В вакууме дифрагированное поле позади кристалла имеет вид:

, (1.14)

где - амплитуда поля когерентного излучения в вблизи направления Брэгга.

Из второго уравнения системы (1.3) следует выражение, связывающее дифрагированное и падающее поля в кристалле:

.         (1.15)

Для определения амплитуды дифрагированного поля  воспользуемся обычными граничными условиями на входной и выходной поверхностях кристаллической пластинки:

,

,

.     (1.16)

Получим выражение для поля излучения:

,  (1.17)

Слагаемые в квадратных скобках выражения (1.17) соответствуют двум различным ветвям возбуждаемых рентгеновских волн в кристалле.

Выражение для амплитуды поля излучения (1.17) запишем виде двух слагаемых:

, (1.18a)

        (1.18b)

        (1.18c)

Величины динамических добавок ,  рентгеновских волн, соответствующих двум ветвям решения дисперсионного уравнения (1.7) зависят не только от частоты фотона и параметров кристаллической мишени, а так же от параметра асимметрии . Таким образом, дисперсия свободных падающего и дифрагированного фотонов в кристалле зависит от асимметрии

.

Дисперсия псевдо фотона кулоновского поля определяется формулой

,

в случае отражения фотона

.

Для возникновения рефлекса ПРИ необходимо выполнение хотя бы одного из следующих равенств:

, ,  

то есть реальная часть знаменателя хотя бы одного из слагаемых в квадратных скобках выражения (1.18b) должна быть равна нулю.

Выражение (1.18b) описывает поле ПРИ, причем существенной является первая ветвь ПРИ, так как реальная часть знаменателя этой ветви может обратиться в нуль , а второй нет .

Выражение (1.18с) описывает поле ДПИ, которое возникает вследствие дифракции на системе атомных плоскостей кристалла, ответственных за формирования ПРИ, переходного излучения, возникшего на входной поверхности.

Для дальнейшего анализа излучения, динамические добавки (1.11) представим в следующем виде:

,    (1.19a)

,    (1.19b)

Где

,

,

, , , .   (1.20)

Так как в области рентгеновских частот выполняется неравенство , то  является быстрой функцией от частоты , поэтому для дальнейшего анализа спектра излучения очень удобно рассматривать  как спектральную переменную, характеризующую частоту . Важным параметром в выражениях (1.19) является параметр , который определяет степень асимметрии отражения поля относительно поверхности пластинки. Отметим, что в симметричном случае волновые векторы падающих и дифрагированных фотонов составляют с поверхностью пластинки равные углы (см. рис. 1.2.), а в случае асимметричного отражения неравные углы. При этом в симметричном случае  и , а в асимметричном  и .

Представим параметр асимметрии в виде

,            (1.21)

где  - угол между скоростью электрона и системой кристаллографических плоскостей. Отметим, что угол падения электрона на поверхность пластинки  увеличивается, если параметр  уменьшается и наоборот (см. рис.1.2).

Заметим, что параметр асимметрии (1.21) представляет собой отношение длины пути электрона в пластинке  к максимальной длине пути фотона в кристалле , сформированного вблизи входной поверхности мишени.

Параметр  характеризует степень отражения волн от системы параллельных атомных плоскостей в кристалле, которая обусловливается характером интерференции волн отраженных от атомов разных атомных плоскостей (конструктивная, если () или деструктивная, если (). Параметр поглощения  может быть представлен как отношение длины экстинкции  к длине поглощения  рентгеновских волн в кристалле. Необходимо отметить, что на глубине равной длине экстинкции, энергия первичной волны полностью перекачивается во вторичную волну, распространяющуюся в брэгговском направлении.

Рис. 1.2. Асимметричные (, ) отражения излучения от кристаллической пластинки. Случай  соответствует симметричному отражению.

 

Подставляя выражения (1.19b) в (1.18с), получим выражения для амплитуды ДПИ

   (1.22c)

Где ,

,

,

.       (1.23)

Параметр  можно представить в виде

 ,        (1.24)

Откуда видно, что,  равен половине пути электрона в пластинке, выраженной в длинах экстинкции

.

Выход ПРИ формируется в основном только одной из ветвей, точнее первой в выражении (1.19b), соответствующей второму слагаемому в (1.22b). Как нетрудно убедиться непосредственно, только в этом слагаемом обращается в нуль реальная часть знаменателя. Решение соответствующего уравнения

,    (1.25)

определяет частоту , в окрестности которой сосредоточен спектр фотонов ПРИ, излучаемых под фиксированным углом наблюдения.

1.2    Спектрально-угловая плотность излучения

Подставляя (1.22с), в хорошо известное [22] выражение для спектрально-угловой плотности рентгеновского излучения:

,      (1.26)

найдем выражения, описывающие вклады в спектрально-угловую плотность ДПИ,

,       (1.28a)

     (1.28b)

Выражения для спектрально-угловой плотности ДПИ - главный результат этой главы. Оно получено на основе двухволнового приближения динамической теории дифракции с учетом поглощения излучения в среде и возможности различной ориентации дифрагирующих атомных плоскостей кристалла относительно поверхности кристаллической пластинки.


. (1.30)

Выражения (1.28) в случае тонкого непоглощающего кристалла () принимает следующий вид

,  (1.33a)

,      (1.33b)

  (1.39a)


.3      Влияние асимметрии отражения на спектрально-угловую плотность ДПИ

Рассмотрим зависимость спектральной плотности ДПИ  от ориентации поверхности кристаллической пластинки относительно системы параллельных дифрагирующих атомных плоскостей (определяемой параметром ) при фиксированном угле между скоростью электрона и отражающими плоскостями () и фиксированном пути, пройденном электроном в пластинке .

На рис. 1.3 показаны две из множества возможных ориентаций поверхности кристаллической пластинки относительно системы параллельных дифрагирующих атомных плоскостей, соответствующих заданной длине прямолинейной траектории релятивистского электрона. Отметим, что при увеличении параметра  толщина пластинки должна уменьшаться, чтобы путь пройденный электроном в пластинке  остался неизменным.

Рис. 1.3 Симметричное (e=1) и асимметричное (e>1) рассеяние поля частицы.

Рассмотрим угловую плотность ДПИ . Для этого проинтегрируем выражения (1.33) по частотной функции

   (1.36а)

  (1.36b)

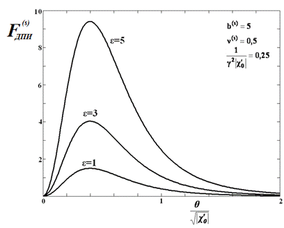
Кривые  представлены на рис. 1.6. построенные по формуле (1.36b), демонстрируют существенный рост угловой плотности ДПИ при уменьшении угла между поверхностью кристаллической пластинки и системой дифрагирующих атомных плоскостей кристалла (увеличении параметра асимметрии ), для параметров кристалла и энергии электрона, указанных на рисунке.

Рис.1.6. Влияние асимметрии на угловую плотность ДПИ.

ГЛАВА II. ОПТИМИЗАЦИЯ ВЫХОДА ДИФРАГИРОВАННОГО ПЕРЕХОДНОГО ИЗЛУЧЕНИЯ

Так как при достаточно больших энергиях электронов в случае тонкого кристалла вклад ДПИ в суммарное излучение может быть подавляющим (см.рис.1.11), то представляет интерес оптимизация выхода ДПИ. Так как выход ДПИ, в геометрии Лауэ, сначала растет с толщиной, а затем падает из-за поглощения фотонов кристаллом, то анализ будем проводить на основе формул учитывающих поглощение. Для анализа и оптимизации, выражение, описывающее угловую плотность ДПИ (1.36) с учетом (1.28b) представим в следующем виде

    (1.41a)

  (1.41b)

Где , ,

, .

- угол между входной поверхностью мишени и кристаллографической плоскостью, - длина поглощения фотонов в кристалле,  - длина экстинкции рентгеновских волн в кристалле; параметр  равен половине пути электрона в пластинке выраженной в длинах экстинкции.

Рассмотрим возможность оптимизации выхода ДПИ, используя его зависимость от толщины кристаллического радиатора и степени асимметрии отражения излучения относительно поверхности пластины-радиатора.

Рассмотрим влияние величины угла  при фиксированном угле между скоростью излучающих электронов и дифрагирующими атомными плоскостями , на угловую плотность ДПИ. Данное влияние демонстрируют кривые представленные на рис. 1.12, построенные для параметров пластинки и энергии электронов, значения которых представлены на рисунке. Видно, что при приближение угла  к  угловая плотность ДПИ существенно растет, при этом уменьшается угол падения электрона на поверхность пластинки (см. рис.1.13). Далее проанализируем зависимость выхода ДПИ от толщины кристалла в максимуме угловой плотности . Кривые построены для различных длин поглощения, представлены на рис.1.14 демонстрируют зависимость угловой плотности от толщины кристаллической пластинки, выраженной в длинах экстинкции. Из рисунка видно, что угловая плотность ДПИ сначала растет с увеличением толщины кристалла, затем в зависимости от длины фотопоглощения материала быстрее или медленнее спадает.

Интересно отметить, что в толщиной зависимости угловой плотности ДПИ наблюдаются колебания, связанные с перекачиванием энергии от проходящей волны к дифрагрованной и обратно по мере проникновения излучения внутрь кристалла. В отсутствие фотопоглощения эти колебания будут происходить относительно константы, зависящей от угла  (см. рис.1.15). Это явления аналогично известному в физике рассеяния свободных рентгеновских лучей в кристалле "маятниковому решению".

Кривые представленные на рис.1.16 и рис.1.17 построенные для различных углов падения электрона на кристаллическую пластинку при фиксированном угле Брэгга, демонстрируют существенный рост угловой плотности ДПИ при уменьшении угла падения. При фиксированных параметрах кристалла оптимальной толщиной кристаллического радиатора можно принять толщину соответствующую первому максимуму на кривой толщиной зависимости. Из рисунков видно, что оптимальная толщина радиатора изменяется не значительно при изменении угла падения электрона на пластину , в то время как плотность излучения изменяется весьма существенно. При этом нужно отметить, что при приближении угла  к значению равному углу Брэгга , путь электрона на котором формируется ДПИ, будет существенно расти, (пропорционально ), поэтому при уменьшении  начнет сказываться влияние многократного рассеяния электрона на процесс когерентного излучения, поэтому рассеянный электрон может покинуть пластину еще до того, как сформируется излучение. Это произойдет в случае выполнения неравенства

 , (1.42)

где  - средний квадрат угла многократного рассеяния электрона на единичной длине, MэВ,  - радиационная длина.

Поэтому очевидно, что приближение угла  к значению равному  будет ограничено, что и определит его оптимальное значение.

Рис.1.12. Влияние угла между входной поверхностью мишени и кристаллографической плоскостью на угловую плотность ДПИ.

Рис.1.13 Геометрия процесса излучения.

Рис.1.14 Зависимость выхода ДПИ в максимуме угловой плотности () , от толщины мишени выраженной в длинах экстинкции.

Рис.1.15 Маятниковое решение в ДПИ.

Рис.1.16 Влияние асимметрии отражения (угла ) на толщинную зависимость выхода ДПИ.

Рис.1.17 То же, что на рис. 1.16 но для большей длины поглощения фотонов.

СПИСОК ИСПОЛЬЗОВАННОЙ ЛИТЕРАТУРЫ

1. Носков А.В. Эффекты динамической дифракции в когерентном рентгеновском излучении релятивистских электронов в кристаллах: Диссертации на соискания ученой степени доктора физико-математических наук - Белгород, 2010. - 1 с.

2.Блажевич С.В., Носков А.В. Рамки применимости кинематического подхода в описании параметрического рентгеновского излучения релятивистских электронов в кристаллах // Научные ведомости Серия Математика. Физика. - 2010. - №11(82). Вып. 19. - С.22.

. Дубовская И.Я. Параметрическое рентгеновское излучение в условиях многоволновой дифракции фотонов - Белоруссия, 2001. - 55 с.

. Барышевский В. Г. Каналирование, излучение и реакции при высоких энергиях в кристаллах. Мн., 1981.

. Пинскер З. Г. Рентгеновская кристаллооптика. М., 1982

6. Жукова П.Н. Коллективные эффекты в процессах рассеивания электромагнитного поля релятивистских электронов в конденсированных структурированных средах: Диссертации на соискания ученой степени доктора физико - математических наук - Курск, 2010. - 33 с.

. Жукова П.Н., Кубанкин А.С., Насонов Н.Н, Об эффекте Ландау

Померанчука Мигдала в ориентированных кристаллах // Тезисы докладов XXXIII международной конференции по физике взаимодействия заряженных частиц с кристаллами. М.: Из-во МГУ, 2003. C. 44. 8. Жеваго Н.К., Жукова П.Н., Насонов Н.Н. Квазичеренковское излучение в периодической среде в области аномальной дисперсии. Тезисы докладовXXXV международной конференции по физике взаимодействия заряженных частиц с кристаллами. М.: Из-во МГУ, 2005. C. 81. 9. Тулинова А.Ф. Тезисы докладов ХХXIX международной конференции по физике взаимодействия заряженных частиц с кристаллами / Под ред. проф. А.Ф. Тулинова. - М.: Университетская книга, 2009. - 183 с.

. Довбня А.Н Тезисы докладов V конференции по физике высоких энергий, ядерной физике и ускорителям. Из-во ННЦ Украины, Харьков, 2007.

11. Блохин М. А., Физика рентгеновских лучей, 2 изд., М., 1957.р

. Блохин М. А., Методы рентгено-спектральных исследований, М., 1959

. Хараджа Ф., Общий курс рентгенотехники, 3 изд., М. - Л., 1966.

. Миркин Л. И., Справочник по рентгено-структурному анализу поликристаллов, М., 1961.

. Вайнштейн Э. Е., Кахана М. М., Справочные таблицы по рентгеновской спектроскопии, М., 1953.

. Электронный ресурс: Дифракция рентгеновских лучей в кристаллах http://dssp.petrsu.ru/p/tutorial/ftt/Part1_/part1_9_2.htm

. Васильев А.Д. Структурные исследования [Электронный ресурс] : курс лекций - Красноярск : ИПК СФУ, 2009.

. Чупрунов Е.В. Рентгеновские методы исследования твёрдых тел. Нижний Новгород - 2007.

. Джеймс Р. Оптические принципы дифракции рентгеновских лучей. М.: ИЛ. 1950. 572с

. Китель Ч. Введение в физику твердого тела. М.: Наука. 1978, 792с

. Зайцева Е.В., Фаддеев М.А., Чупрунов Е.В. Динамическая теория дифракции рентгеновских лучей в кристаллах. Н.Новгород. Изд-во ННГУ. 1999. 132с.

. Калашникова В.И., Козодаев М.С. Детекторы элементарных частиц. М.: Наука. 1966. 408с. 23. Бюргер М. Структура кристаллов и векторное пространство. М.: ИЛ. 1961. 384с

. Хейкер Д.М. Рентгеновская дифрактометрия монокристаллов. Л.: Машиностроение. 1973. 256с.

Похожие работы на - Дифрагированное переходное излучение

 

Не нашли материал для своей работы?
Поможем написать уникальную работу
Без плагиата!
Без нейросетей!