Динамика элементов систем криогенного обеспечения

  • Вид работы:
    Контрольная работа
  • Предмет:
    Физика
  • Язык:
    Русский
    ,
    Формат файла:
    MS Word
    752,52 Кб
  • Опубликовано:
    2015-05-28
Вы можете узнать стоимость помощи в написании студенческой работы.
Помощь в написании работы, которую точно примут!

Динамика элементов систем криогенного обеспечения













Контрольная работа

Динамика элементов систем криогенного обеспечения

Содержание

1. Основные уравнения динамики элементов криогенной системы

. Моделирование динамических режимов в теплообменных и парогенерирующих элементах КГС

. Динамические характеристики нижней ступени охлаждения КГУ

Литература

. Основные уравнения динамики элементов криогенной системы

Системы криогенного обеспечения энергетических машин и устройств укомплектованы агрегатами, выполненными в соответствии с современным уровнем развития криогенной техники и технологии. Криогенные циклы, машины и аппараты систем рассчитывают по оптимальным параметрам; они способны обеспечить высокую эффективность процесса криостатирования объектов. Системы криостатирования создают на основе базовых криогенных гелиевых установок, которые оптимизированы на расчетные параметры работы и обеспечивают требуемый температурный уровень и необходимую холодильную мощность.

Особенность криогенной гелиевой системы (КГС) заключается в специфике объекта криостатирования, который прежде всего и определяет условия работы системы.

Объектами криостатирования часто являются сверхпроводящие магнитные системы, в которых происходят непостоянные во времени тепловыделения, различные по интенсивности и продолжительности действия. Дополнительные тепловыделения объекта приводят к увеличению тепловой нагрузки на систему, к перераспределению потоков рабочих веществ, изменению их параметров, т. е. к возникновению в системе криогенного обеспечения переходных процессов.

Степень влияния динамических тепловыделений на параметры системы во многом зависит от теплоаккумулирующей способности элементов объекта криостатирования и ступеней окончательного охлаждения и использования охлаждения криогенной установки.

Переходные процессы в элементах КГС протекают в некотором интервале времени, и каждый нестационарный режим системы характеризуется вполне определенным законом изменения ее параметров во времени.

Рассмотрим систему уравнений динамики для элементарного объема одномерного теплообменного аппарата, состоящего из двух подсистем - рабочего вещества и оболочки канала:

уравнение сплошности

;

уравнение энергии

;

уравнение теплового баланса

;

уравнения состояния

;

уравнение движения

,

где F - площадь проходного сечения канала; mi - масса материала стенки; cмi - теплоемкость материала; αi - локальный коэффициент теплоотдачи (предполагается, что он подчиняется тем же закономерностям, что и в статике).

Величины, входящие в вышеприведенные уравнения, как правило, изменяются во времени и вдоль ординаты.

Система уравнений, описывающая физические модели элементов КГС, характеризует их как линейные объекты, динамические свойства которых не зависят от вида и величины возмущающего воздействия. Известно довольно ограниченное число стандартных функций воздействия на входные параметры динамической системы. Воздействие может быть единичным скачкообразным, импульсным, линейным, экспоненциальным; может иметь периодический характер (синусоидальная, прямоугольная и треугольная волны).

При моделировании динамических процессов наиболее часто применяют единичное скачкообразное возмущение, которое описывается следующим образом:


Реакция объекта характеризуется разгонной характеристикой, которая дает наиболее полное представление об инерционности анализируемой системы.

Современные системы криогенного обеспечения объектов термостатирования представляют собой сложную разветвленную структуру, содержащую элементы, связанные друг с другом материальными и энергетическими потоками. Поэтому при анализе динамических процессов целесообразно применять комбинированные модели отдельных структурных узлов, состоящие из распределенных и сосредоточенных математических моделей отдельных элементов. Данный подход находит широкое применение при решении динамических и статических задач и, как следует из работ [10, 11, 18, 26], обеспечивает достаточно высокую точность решения.

. Моделирование динамических режимов в теплообменных и парогенерирующих элементах КГС

При определении динамических характеристик элементов теплоэнергетических систем используют два подхода. В одном случае применяют аналитические методы решения исходной системы уравнений [26], а в другом - численные методы с использованием ЭВМ [10, 16-18].

При решении линеаризованной системы уравнений динамики теплопередающей поверхности по методу преобразования Лапласа иногда принимают допущение о постоянстве плотности, теплоемкости рабочего вещества и коэффициента теплоотдачи. Однако при анализе динамических характеристик теплообменных аппаратов криогенных систем в ряде случаев такие упрощения неправомерны, поскольку теплофизические свойства криогенных веществ при высоких давлениях и низких температурах изменяются по нелинейному закону, что особенно относится к теплообменным аппаратам нижних ступеней охлаждения КГУ и ступеней использования охлаждения КГС. Одновременно с этим при криогенных температурах резко меняются теплофизические свойства материалов оболочки канала. Так, теплоемкость стенки в распределенной модели теплообменного аппарата может изменяться по его длине на несколько порядков: при T = 80 К удельная теплоемкость меди cм = 0,2 кДж/(кг×К), а при Т = 8 К ее значение равно 0,0005 кДж/(кг×К). Поэтому наиболее оправданным является применение численных методов, которые позволяют решить исходную систему уравнений с учетом изменения реальных теплофизических свойств рабочих веществ и материала оболочки канала.

Как и при решении задач статики можно воспользоваться методом элементарных балансов для подвижных сред.

В задачах динамики должно быть задано исходное состояние анализируемой системы, поэтому решение их с помощью математических моделей происходит на основе данных, характеризующих стационарный режим.

При исследовании переходных режимов прежде всего важно знать разгонную характеристику элементов системы, ступеней охлаждения, которая представляет собой реакцию объекта на скачкообразное возмущение. Однако при исследовании низкотемпературных элементов КГС особый интерес представляют гармонические возмущения. В каналах оболочки теплообменных аппаратов при температурах порядка 4,2 К могут создаваться условия для возникновения явления резонанса температур. Например, установлено, что явление резонанса происходит в теплообменнике с нулевым отношением теплоемкости трубки и охладителя и нулевым тепловым сопротивлением между рабочим веществом и трубкой.

Математическая модель динамических режимов распределенного рекуперативного теплообменного аппарата. При решении задачи сохраняются все допущения, принятые в анализе статической модели. Расчетная схема теплообменного аппарата изображена на рис. 1.

Для элементарного объема прямого потока, заключенного между сечениями i+1 и i, уравнение теплового баланса можно записать в виде

,

где  - количество теплоты, аккумулированной в элементарном объеме Vi прямого потока за время Δτ;  - количество теплоты, введенной прямым потоком через сечение i + 1 за время Δτ;  - количество теплоты, выведенной прямым потоком через сечение i за то же время;  - количество теплоты, отведенной от прямого потока через теплопередающую поверхность оболочки канала за тот же промежуток времени.

Для элементарного объема  обратного потока уравнение теплового баланса имеет вид

,

где  - количество теплоты, аккумулированной обратным потоком за время Δτ;  - количество теплоты, введенной обратным потоком через сечение i за время Δτ;  - количество теплоты, выведенной обратным потоком через сечение i+1 за тот же промежуток времени;  - количество теплоты, подведенной от поверхности оболочки канала к обратному потоку.

Теплота от прямого потока передается через элементарный объем оболочки канала массой mi и воспринимается обратным потоком в количестве . Тогда уравнение теплового баланса принимает вид

,

где  - количество теплоты, аккумулированной в элементарном объеме оболочки канала за время Δτ.

В результате преобразования уравнений (1)-(3) может быть получена система уравнений динамики для определения температуры каждой из подсистем рекуперативного теплообменника:


где


Для обеспечения устойчивости решения системы уравне-
ний (4) необходимо выбирать шаг по времени и число участков n из условия обеспечения положительного значения всех коэффициентов у каждого из слагаемых уравнений.

Число участков n выбираем, исходя из тех же условий, что при решении статических моделей

Расчетный промежуток времени для подсистемы Прямой поток

;

для подсистемы Оболочка канала

;

для подсистемы Обратный поток

.

При выборе шага по времени необходимо еще учитывать дополнительное ограничение, вытекающее из подвижности среды, т. е.

,

где li - длина элементарного участка канала; wmax - максимальная скорость движения рабочего вещества.

При расчете динамических характеристик теплообменного аппарата для повышения устойчивости решения и сокращения затрат машинного времени принимаем следующий порядок решения. Для учета аккумуляции теплоты во всех подсистемах аппарата вводим понятие приведенной теплоемкости, отнесенной к массе материала оболочки канала, т. е.

.

По уравнению (7) рассчитываем температуру стенки Θi,τ+Δτ в каждый последующий момент. Динамические коэффициенты этого уравнения определяем с учетом значения приведенной теплоемкости систем:


Температуру прямого и обратного потоков в момент τ определяем по известным выражениям:

для прямого потока

,

;

для обратного потока

,

где

.

Ввиду того, что задача расчета температурного поля в теплообменнике имеет краевой характер, уравнения (4)-(9) решаем по известным начальным параметрам потока на входе и выходе аппарата.

Блок-схема расчета динамических характеристик изображена на рис. 2.

Рис. 2. Блок-схема алгоритма расчета динамических характеристик

рекуперативного теплообменного аппарата

В блоке 1 осуществляется ввод исходной информации, при этом исходное распределение температур определяется блоком 3 в результате решения подпрограммы Теплообменник. В блоке 2 находится программа, процедуры которой используются для вычисления параметров термодинамического поля рабочих веществ в блоках 5 и 6. Блоком 4 вводится исходное значение шага по времени Δτ и счетчик циклов прогонки решений K. В блоке 7 определяется знак коэффициентов конечно-разностных выражений. В случае их положительных значений по явной схеме решения в блоке 8 отыскивается новое распределение температур подсистем в момент τ + Δτ. С помощью блока 9 решение повторяется с нарастанием шага по времени. Если один из коэффициентов имеет отрицательное значение, то берется новое значение Δτ = Δτ / 2 и решение возобновляется. В конце решения результаты счета выводятся на печать.

На рис. 3 и 4 показаны результаты моделирования динамических режимов в теплообменном аппарате сателлитного рефрижератора с избыточным обратным потоком [18].

 - статический режим;             - переходный режим

Рис. 3. Изменение температуры стенки канала в теплообменном аппарате:

1 - Q = 1,5Q0; 2 - Q = 2Q0; 3 - Q = 3Q0; 4 - Q = 4Q0;

(t = 120 с; p1¢= 2,5 МПа)

Динамическая модель аппарата разработана на базе уравнений (1)-(3). Переходные процессы в теплообменнике моделировались методом введения в криогенную установку скачкообразного возмущения тепловой нагрузки, что вызывало перераспределение потоков в аппарате вследствие увеличения обратного потока.

На рис. 3 показана разгонная характеристика наиболее инерционной подсистемы модели - оболочки канала. По мере увеличения возмущения, т. е. превышения доли обратного потока над долей прямого, характер разгонной характеристики в нижних сечениях аппарата изменяется. Так, если при Q = 1,5 Q0 она соответствует линейной закономерности, то при Q = 4 Q0 становится нелинейной.

Принятый подход и допущения при решении динамической задачи теплообменного аппарата позволяют (см. рис. 4) обеспечить вполне удовлетворительную адекватность физической модели - модели математической.

- расчет; , ,                                    - эксперимент

Рис. 4. Изменение температуры:

а - в среднем сечении; б - на выходе теплообменного рекуперативного аппарата

Математическая модель динамических режимов радиационного теплообменника с распределенными параметрами. Модель радиационного теплообменного аппарата состоит из двух подсистем - оболочки канала и потока рабочего вещества.

Распределение внешнего теплового потока, подводимого к оболочке канала, может быть равномерным или соответствовать более сложной закономерности. Динамические режимы образуются в результате воздействий на внешний тепловой поток, возникновения внутренних тепловыделений различной интенсивности и продолжительности в оболочке канала или под действием факторов возмущения на поток рабочего вещества.

При разработке математической модели (рис. 5) принимаем, что распределение внешнего теплового потока на наружной поверхности оболочки канала имеет вид трапеции.

Рис. 5. Схема расчета распределенных динамических параметров

в подсистемах радиационного теплообменного аппарата

По аналогии с расчетом рекуперативного теплообменника составляем тепловой баланс элементарного участка между сечениями i + 1 и i и после его преобразования получаем уравнение для определения температуры оболочки канала:

,

где Ezi,τ, Exi,τ, Eyi,τ, - динамические коэффициенты,

;

;

.

Температуру рабочего вещества определяем по уравнению

,

где  - коэффициенты,

;

.

Устойчивое решение по явной схеме конечно-разностных уравнений (10) и (11) с учетом реального изменения термодинамических и теплофизических свойств рабочего вещества и процесса теплоотдачи от внутренней поверхности оболочки канала к потоку обеспечивается при правильно выбранных шагах расчета по времени и длине аппарата. Эти исходные данные определяем из соотношений (8), (5)-(7).

На рис. 6 изображена блок-схема реализации алгоритма расчета динамических параметров радиационного теплообменного аппарата. Структура алгоритма в основном совпадает со структурой расчета параметров рекуперативного теплообменника (см. рис. 2). Различие заключается в содержании блока 3, в котором осуществляется расчет статических характеристик одномерного радиационного теплообменника.

Рис. 6. Блок-схема алгоритма расчета динамики радиационного теплообменного аппарата

Динамическая модель парогенерирующей поверхности криогенной системы с сосредоточенными параметрами. Парогенерирующие поверхности являются основными элементами криогенных систем. Они представляют собой ванны теплообменников нагрузки циркуляционных систем или криостаты криоэнергетических машин и устройств. Этими элементами воспринимаются стационарные тепловые потоки и различные по форме, интенсивности и продолжительности действия динамические тепловые возмущения. Передача возмущающего воздействия при переходных процессах объекта криостатирования во многом зависит от теплоаккумулирующей способности парогенерирующей поверхности криогенной системы.

На рис. 7 показаны физическая модель парогенерирующего элемента криогенной системы и процессы в диаграмме T-s.

Рис. 7. Схема расчета динамических параметров парогенерирующей

поверхности элемента криогенной системы:

а - физическая модель парогенерирующего элемента;

б - процессы в T-s диаграмме

криогенный моделирование динамический парогенерирующий

Переходные процессы в данном элементе могут возникать под действием различных факторов возмущения, в частности при изменении расхода вещества подаваемого жидкого криогенного продукта GL и его энергетического состояния, а также воздействии на расход пара и тепловой поток Q. При стационарном режиме обеспечивается соблюдение материального баланса , постоянство уровня жидкости и энергетического баланса QL + Q = Q0 (QL - тепловой поток, вносимый с жидким криогенным продуктом; Q - тепловой поток от объекта криостатирования; QG - тепловой поток, выносимый паром).

Появление возмущающих факторов приводит к нарушению материального и энергетического баланса и вызывает изменение давления в паровом пространстве. Закон изменения давления получаем в результате совместного решения уравнений материального и энергетического баланса при нестационарных режимах с учетом уравнения состояния вещества [26].

Уравнение материального баланса


показывает, что разница между притоком жидкого криопродукта GL и стоком пара GG соответствует изменению расхода вещества в паровом VG и жидкостном VL объемах.

Энергетический баланс устанавливает, что разница между притоком и стоком теплоты идет на изменение тепловой энергии, заключенной в объемах пара, жидкости и металла:

.

При определении количества теплоты Qм = GмcмΔTм , аккумулированной металлом, принимаем, что температура греющей поверхности равна температуре жидкого гелия.

Плотность сухого насыщенного пара ρG, кипящей жидкости ρL и теплоемкость сG и сL являются функциями давления p, поэтому уравнения состояния в общем виде таковы:


Из геометрических соотношений вытекает равенство V = VG + VL , из которого следует, что

.

Текущие значения объемов VG и VL определяем из баланса масс объема аппарата:

,

где ρ(p) - приведенная плотность жидкого и парообразного гелия.

Рассмотрим динамический процесс, в котором в качестве возмущения используется скачкообразное увеличение теплоподвода с Q до Q1. После линеаризации и преобразования исходной системы уравнений зависимость для определения динамической температуры насыщения кипящего криоагента может быть записана в виде

,

Для нахождения величин ATP и ATL обычно вводят понятие теплоемкости тела cx, соответствующей процессу при x = const, где x - некоторая функция, связывающая два независимых параметра, т. е. . В рассматриваемом случае значения теплоемкости cG и cL вычисляем для насыщенных пара и жидкости. В качестве независимого параметра принято давление p и р + Δp.

Далее по значению температуры Tτ+Δτ рассчитываем давление насыщенных паров:

.

Следует отметить, что неравновесность процесса испарения в модели не учитывается, поскольку время релаксации значительно меньше времени переходных процессов в криогенной установке (системе).

Уровень жидкости  в объеме V может быть найден из уравнения (16), причем вначале определяем значение приведенной плотности , a затем по разности притока и стока GΘ,τ+Δτ вещества за промежуток времени Δτ в объеме V - новое значение приведенной плотности:

.

Тогда объем парового пространства в момент времени τ + Δτ

,

где ρG,τ+Δτ и ρL,τ+Δτ - плотность пара и жидкости, вычисленная по полученным значениям температуры Tτ+Δτ и давления pτ+Δτ, а объем жидкости

.

Таким образом, с помощью динамической модели парогенерирующей поверхности криогенной системы определяем разгонную характеристику криогенной гелиевой установки, т. е. закономерности изменения параметров обратного потока на входе в основной теплообменный аппарат нижней ступени охлаждения и условия криостатирования объекта.

. Динамические характеристики нижней ступени охлаждения КГУ

Система криогенного обеспечения высокой эффективности должна обладать возможностью согласования режимов работы криогенной установки и объекта криостатирования. С точки зрения эксплуатации определенную перспективу имеют двухконтурные системы криостатирования, в которых объект охлаждается однофазным циркуляционным потоком гелия при сверхкритическом давлении.

Из существующих различных схемных решений низкотемпературных ступеней охлаждения для моделирования выбрана нижняя ступень с дросселированием и криогенным нагнетателем. На рис. 8 показана принципиальная схема этой ступени.

Рис. 8. Принципиальная расчетная схема низкотемпературной ступени охлаждения:

а - ступень охлаждения; б - расчетная схема теплообменника;

в - расчетная схема теплообменника нагрузки; - основной теплообменный аппарат (рекуперативный теплообменник); , IV - дроссельные вентили; III - сборник жидкого гелия; - теплообменник нагрузки; - криогенный (низкотемпературный) нагнетатель;

-9 - характерные точки процесса

Рассмотрим поведение низкотемпературной ступени охлаждения при наличии импульсного тепловыделения. При увеличении тепловыделения нарушается материальный и энергетический баланс аппарата V, что приводит к повышению давления паров гелия и увеличению равновесной температуры. Происходит изменение соотношений объемов пара и жидкости в межтрубном пространстве аппарата V. Повышение давления в паровом пространстве влечет за собой уменьшение расхода гелия через дроссель IV и увеличение уровня жидкости в сборнике III. Изменение параметров состояния паров гелия на входе в нагнетатель VI вызывает перемещение рабочей точки по его характеристике и увеличение расхода обратного потока, приводит к появлению переходного процесса в аппарате I, в результате чего изменяется температура газа перед дросселем II и понижается температура обратного потока на выходе вследствие недоиспользования холода при рекуперации. Скорость изменения давления жидкого гелия в межтрубном пространстве теплообменника V зависит от аккумулирующей емкости аппарата.

Все изложенное является качественным описанием переходного процесса, который характеризуется достаточно большим числом связей, поэтому единственный путь количественной оценки этого режима - моделирование его на ЭВМ.

Для расчета динамических характеристик необходимо знать статическое распределение параметров в основных элементах ступени охлаждения, к которым относятся рекуперативный теплообменник I, дроссельный вентиль IV, криогенный нагнетатель VI и парогенерирующая поверхность аппарата V (см. рис. 8, а).

В численном эксперименте параметры гелия и конструктивные размеры основного теплообменника соответствуют характеристикам низкотемпературной ступени охлаждения криогенной гелиевой установки КГУ-250/4,5.

Параметры гелия: давление прямого потока гелия на входе в теплообменник I р1 = 1,4 МПа; температура T1 = 10 К; давление обратного потока р3 = 0,13 МПа. Температура кипения в ванне теплообменника нагрузки T60 = 3,5 К. Основной теплообменник I представляет собой витой поперечноточный аппарат с оребренными трубками.

Нижняя ступень охлаждения рассматривается как комбинированная модель, в которой теплообменник I является объектом с распределенными параметрами, а другие элементы - с сосредоточенными параметрами.

Поскольку эффективность теплообмена в аппарате I в определенной мере характеризуется изменением коэффициентов теплоотдачи по длине теплообменника, в предварительном численном экспери-менте получены данные об их распределении вдоль канала.

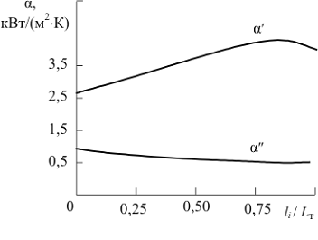
Коэффициент теплоотдачи обратного потока  (рис. 9) почти постоянен по длине теплообменника. Некоторое исключение составляют лишь участки, расположенные вблизи выхода потока из теплообменника, где в связи с более интенсивным изменением физических свойств обратного потока происходит незначительное возрастание . Изменение коэффициента теплоотдачи прямого потока  связано с изменением  по длине теплообменника. При p1 = 1,4 МПа температура Тmах, соответствующая максимуму cp, составляет около 9,4 К. По полученному распределению температур зона с температурой прямого потока, близкой к Тmах, располагается между третьим и четвертым сечениями теплообменника, считая от входа в аппарат. Как следует из графика на рис. 9, в этой зоне значение коэффициента теплоотдачи  максимально, далее по длине теплообменника  убывает одновременно с уменьшением .

Рис. 9. Изменение коэффициента теплоотдачи прямого и обратного потоков по длине теплообменника нижней дроссельной ступени

Таким образом, полученные данные по распределению коэффициентов теплоотдачи прямого и обратного потоков достаточно достоверно отражают процессы, протекающие в теплообменнике нижней ступени охлаждения. На тепловой режим низкотемпературной ступени охлаждения определенное влияние оказывает низкотемпературный нагнетатель VI, применяемый для создания необходимого уровня разрежения над поверхностью кипящего гелия в ванне теплообменника V (см. рис. 8). Степень разрежения в теплообменнике нагрузки будет определяться напорной характеристикой нагнетателя, которая должна быть подобрана таким образом, чтобы обеспечивалась нормальная работа нагнетателя при переменных тепловых нагрузках на низкотемпературную ступень охлаждения.

Напорная характеристика нагнетателя с достаточной точностью может быть аппроксимирована полиномом вида

,

где ε - отношение давлений; Gпр - приведенный расход вещества; A, B, C - постоянные величины, подбираемые по характеристике нагнетателя; e - показатель степени, принимаемый в диапазоне 2…4.

Расход гелия через нагнетатель рассчитываем с помощью следующего выражения:

,

где G0 - расходный коэффициент нагнетателя; p, T - давление и температура на входе в нагнетатель; p0, T0 - давление и температура на выходе из нагнетателя.

Как следует из выражений (20) и (21), расчетный расход гелия через нагнетатель зависит от ряда структурных коэффициентов, поэтому методом их варьирования обеспечивается необходимая холодопроизводительность ступени охлаждения.

Для моделирования расходной характеристики криогенного нагнетателя используем процедуру NAGNET, в которой по выражениям (20) и (21) определяем параметры криогенного нагнетателя.







Для удобства записи расчетных выражений при анализе было принято, что цифровые индексы у символов, обозначающих материальные, энергетические потоки и параметры состояния гелия, соответствуют нумерации узловых точек на рис. 8. Индекс «нуль» означает исходный режим.

Статические характеристики ступени охлаждения определяем в соответствии с блок-схемой на рис. 10.

Расчет начинаем по данным блока 1 с определения параметров парогенерирующей поверхности и расходной характеристики нагнетателя VI, для чего по процедурам программы Термодинамическое поле (блок 2), CRPS(T6O), FAZA2(P3) и FAZA2(P60) вычисляем параметры гелия в характерных точках аппарата V (см. рис. 8, б) и расход гелия G60.

Далее по процедуре DROSL(P4,T4,P6) определяем энергетическое состояние потока гелия G40 и статическую холодопроизводительность ступени охлаждения:

,

где G60 - расход гелия, откачиваемого криогенным нагнетателем (в статике соблюдается равенство G40 = G60); αG - доля пара, образовавшегося при дросселировании насыщенной жидкости в вентиле II; r0(p60) - теплота парообразования гелия при давлении p60.

По известному давлению p70 и параметрам в точке 6 (см. рис..8) по процедуре SCONST определяем значения T70 и h7s, а затем вычисляем удельную работу нагнетателя:


и энтальпию гелия в точке 7:

.

Расчет параметров в элементах ступени охлаждения, работающих в температурном диапазоне T1 = 10 К и T80, производится в блоке 6 с использованием метода последовательных приближений. Вначале по заданному значению температуры T2 по процедуре DROS(P1,T2,P8) рассчитывается энергетическое состояние гелия в точке 3 (см. рис. 8), а далее из уравнений материального и теплового баланса с использованием процедуры TH(P9,H9,T9) определяются расход вещества потока G9 и параметры состояния обратного потока на входе в аппарат I. Состояние гелия в точке 2 (см. рис. 8) уточняется в блоке 6 на очередном шаге итерации, в блоке 7 сопоставляется полученное значение T2 с заданной точностью расчета. В случае удовлетворения условию сходимости решения расчет статического режима заканчивается, результаты выводятся на печать и служат исходными данными для анализа динамических режимов работы ступени охлаждения.

Рассмотрим результаты расчетов статических параметров ступени охлаждения.

Значения параметров гелия в аппарате I (см. рис. 8): T20 = 5,31 К; T90 = 5,17 К; T100 = 9,86 К; разность температур ΔT = T1 - T100 = 0,14 К; расход гелия G100 = G90 = 6,979 г/с.

 Значения параметров криогенного нагнетателя и аппарата V (см. рис. 8): степень сжатия гелия составляет 2,743; расход гелия G60 = 4,004 г/с; удельная работа  Дж/г; температура T60 = 3,5 К; тепловая нагрузка Q0 = 75 Вт.

При моделировании динамических характеристик парогенерирующей поверхности аппарата V используем уравнения (12)-(19), описывающие динамику процесса в теплообменнике нагрузки у ступени охлаждения.

Расход гелия через дроссель IV в переходном режиме аппроксимируется зависимостью

,

а расходная характеристика нагнетателя аппроксимируется полиномом

,

где , здесь A, B, C, m - коэффициенты полинома.

Следует отметить, что неравномерность процесса испарения в модели не учитывается, поскольку время релаксации значительно меньше времени переходных процессов в криогенной установке. Динамика тепловых процессов в рекуперативном теплообменнике I описана конечно-разностными уравнениями.

В вычислительном эксперименте были приняты следующие допущения: теплоприток из окружающей среды к ступени охлаждения qc = 0; давление и температура прямого потока, давление обратного потока и КПД нагнетателя в течение переходного процесса постоянны; из-за малого значения Qн теплота, аккумулированная металлом теплообменника нагрузки, в энергетическом балансе (13) не учитывается.

Возмущение имитируется прямоугольным импульсом тепловой нагрузки с различными продолжительностью действия и интенсивностью.

Вычисление параметров низкотемпературной ступени охлаждения системы криостатирования соответствует блок-схеме на рис. 11, которая структурно состоит из ранее описанных программ, подпрограмм и расчетных процедур. Динамические параметры парогенерирующей поверхности теплообменника нагрузки рассчитываются в блоке 6, а расходные характеристики дроссельного вентиля IV и криогенного нагнетателя VI - в блоке 7.

Динамику тепловых процессов в рекуперативном теплообменнике I определяем по подпрограмме Теплодинамика, а параметры обратного потока уточняем на каждом временном шаге расчета из решения уравнений материального и теплового баланса сборника

Рис. 11. Блок-схема алгоритма расчета динамических параметров ступени охлаждения жидкого гелия III с учетом состояния рабочего вещества после дросселя II и на выходе из криогенного нагнетателя VI. В блоке 9 производится наращивание времени счета, его сопоставление с заданными значениями B. В случае необходимости счет может быть продолжен.

Вычислительный эксперимент направлен на решение двух задач: во-первых, оценить влияние аккумулирующих тепловых емкостей парового и жидкостного объемов теплообменника нагрузки на температурный уровень криостатирования; во-вторых, определить степень изменения основных характеристик концевой ступени охлаждения при действии импульсных тепловых нагрузок.

При решении первой задачи установлено (расчеты проводились при тепловой нагрузке Qим = 3Q0 и времени действия импульса τ = 6 с), что увеличение парового объема в аппарате V в четыре раза при VL0 = const практически не влияет на уровень термостатирования, в то время как при том же диапазоне варьирования объема жидкости и VG0 = const происходит большее изменение давления пара р6 и температуры насыщенной жидкости TL = TG. Результаты расчетного анализа по определению влияния уровня жидкого гелия в теплообменнике нагрузки (при суммарном объеме межтрубного пространства V = 0,05 м3) показали, что увеличение количества жидкого гелия замедляет рост температуры. Изменение относительной разности температур жидкого гелия  при различных значениях  характеризуется следующими значениями:

δVL …

0,1

0,5

δTL …

0,074

0,037

0,002


Как следует из данных на рис. 12, с увеличением теплового импульса от Qим = 2Q0 до Qим = 8Q0 происходит повышение температуры гелия, кипящего в конце разгона системы при τраз = 6 с и температуре от 3,75 до 3,77 К. Темп роста температуры за τраз примерно на порядок выше скорости восстановления параметров в теплообменнике нагрузки после снятия теплового импульса, а коэффициент восстановления параметров Kв = τв / τраз в рассмотренных случаях имеет значение порядка 12. Столь большая инерционность переходного процесса в период восстановления параметров может повлечь за собой крайне нежелательные последствия, если периодичность возникновения импульсных тепловыделений будет характеризоваться интервалом времени меньше τв. В этом случае криогенная система с каждым новым тепловым импульсом будет переходить на более высокий температурный уровень и со временем не обеспечит требуемых условий криостатирования.

Рис. 12. Изменение температуры криостатирования при dVL = 0,5, tраз = 6 с и различной интенсивности теплового импульса:

- Qим = 2Q0; 2 - Qим = 5Q0; 3 - Qим = 8Q0

Для второй задачи, целью которой является моделирование наиболее сложных условий работы низкотемпературной ступени охлаждения, принимаем δVL = 0,1; тепловой импульс Qим = 2Q0; время действия импульса τраз = 20 с. Как и следовало ожидать, переходные процессы в парогенерирующем звене - теплообменнике нагрузки V (см. рис. 8) системы криогенного обеспечения приводят к увеличению массы обратного потока в основном теплообменном аппарате I и уменьшению удельной работы нагнетателя VI. Уменьшение удельной работы , в свою очередь, вызывает уменьшение энтальпии гелиевого потока, поступающего из криогенного нагнетателя, и, как следствие, снижение температуры T9 обратного потока на входе в основной теплообменник с 5,17 до 4,8 К.

Образование избыточного обратного потока с пониженной энтальпией на входе в теплообменный аппарат I переводит его в нерасчетный режим работы, что в итоге вызывает понижение температуры потока гелия при высоком давлении перед дроссельным вентилем II с 5,29 до 5,12 К, а также приращение при дросселировании расхода ΔG жидкого гелия и образование неиспользованной холодопроизводительности в виде недорекуперации теплоты в основном теплообменнике. Одновременно с этим в сборнике III происходит накопление жидкого гелия за счет уменьшения расхода его через дроссель IV на величину ΔG4 = G40 - G4. Из анализа данных на рис. 13 следует, что теплота недорекуперации за интервал времени τраз увеличивается во время дей­ствия теплового импульса более чем в пять раз, а дополнительное поступление жидкого гелия в сборник III - на 37 %.

Рис. 13. Разгонные характеристики в элементах нижней ступени охлаждения при dVL = 0,1, Qим = 2Q0, tраз = 20 c:

- dy = (G9 - G90)/G90; 2 - dlн = (lн - lн0)/lн0;

- dG = (DG - DGL)/Gн0; 4 - dQн = (Qн - Qн0)/Qн0

После прекращения действия теплового импульса в структурных элементах низкотемпературной ступени охлаждения происходит постепенное восстановление параметров гелиевых потоков, причем скорость их изменения связана с инерционностью структурных элементов.

Из проведенного анализа следует, что импульсные тепловыделения объекта криостатирования при определенных условиях могут вызвать существенные количественные и качественные изменения параметров гелиевых потоков в нижней ступени охлаждения. Это существенным образом сказывается на параметрах работы криогенных машин и аппаратов ступеней предварительного охлаждения системы криогенного обеспечения сверхпроводящих машин и устройств.

Литература

1. Теплотехника / под ред. В.И. Крутова. - М. : Машиностроение, 2006. - 427 с.

. Ляшков, В.И. Теоретические основы теплотехники / В.И. Ляшков. - М. : Машиностроение-1, 2005. - 260 с.

. Рабинович, О.М. Сборник задач по технической термодинамике / О.М. Рабинович. - М. : Машиностроение, 1973. - 344 с.

. Краснощеков, Е.А Задачник по теплопередаче / Е.А. Краснощеков, А.С. Сукомел. - М. : Энергия, 2010. - 287 с.

. Ляшков, В.И. Компьютерные расчеты в термодинамике / В.И. Ляшков. - Тамбов, 2007. - 134 с.

. Ляшков, В.И. Тепловой расчет теплообменных аппаратов / В.И. Ляшков, И.А. Черепенников. - Тамбов : ТИХМ, 1991. - 48 с.

. СТП ТГТУ 07-97. Проекты (работы) дипломные и курсовые. Правила оформления. - Тамбов : Изд-во Тамб. гос. техн. ун-та, 2010. - 40 с.

Похожие работы на - Динамика элементов систем криогенного обеспечения

 

Не нашли материал для своей работы?
Поможем написать уникальную работу
Без плагиата!
Без нейросетей!