Демонстрационный эксперимент по волновой оптике
МИНИСТЕРСТВО
ОБРАЗОВАНИЯ РЕСПУБЛИКИ БЕЛАРУСЬ
Учреждение
образования
«Гомельский
Государственный университет
имени
Франциска Скорины»
Физический
факультет
Кафедра
общей физики
Курсовая
работа
Демонстрационный
эксперимент
по
волновой оптике
Исполнитель:
Студентка группы
Ф-42 Евсеенко А.И.
Научный
руководитель: Побияха А.С.
Гомель
2014
СОДЕРЖАНИЕ
ВВЕДЕНИЕ
ВОЛНОВАЯ
ОПТИКА
Свет
как электромагнитные волны
Интерференция
света
Дифракция
света
Демонстрационные
эксперименты по волновой оптике
ИЗУЧЕНИЕ
ЗАВИСИМОСТИ ПОКАЗАТЕЛЯ ПРЕЛОМЛЕНИЯ ВОЗДУХА ОТ ДАВЛЕНИЯ
Теоретические
знания
Выполнение
задания
ЗАКЛЮЧЕНИЕ
СПИСОК
ИСПОЛЬЗОВАННОЙ ЛИТЕРАТУРЫ
ВВЕДЕНИЕ
Наши знания о природе формируются на
базе понятий, получаемых в результате опыта. В ходе познания свойств природы
оказалось, что на своём опыте человек усвоил представления о волне
<#"803888.files/image001.gif">
Рисунок 1 - Рефракция волн по
Гюйгенсу
Интерференция света
Явление интерференции света впервые
было объяснено на основе волновых представлений Юнгом в 1802 году[3]. В
произведённом им опыте всё начиналось с источника света S (рис. 2).
На основании принципа Гюйгенса (из
прошлого подраздела) этот источник можно считать новым точечным источником
полусферических волн. Эти волны падают на два малых отверстия S1 и S2 в
следующем экране, которые в свою очередь становятся новыми точечными
источниками волн.
Рисунок 2 - Опыт Юнга
Таким способом в опыте Юнга
достигается разделение исходной волны на две. Эти волны налагаются друг на
друга в области за отверстиями и могут интерферировать, так как источники S1 и
S2 когерентны. В точке M образуется интерференционная картина.
Разделение волны от первичного
некогерентного источника на две когерентные волны, т. е. получение двух
вторичных когерентных источников, может осуществляться разными способами. Но
расчёт интерференционной картины во всех таких случаях производится одинаково,
так же, как и в схеме Юнга. Если в излучении первичного источника все
независимые цуги волн характеризуются одной и той же длиной волны λ, то для
излучения вторичных источников S1 и S2 можно использовать монохроматическую
идеализацию, несмотря на то, что их излучение также представляет собой ту же
хаотическую последовательность отдельных цугов. Замена такой последовательности
цугов бесконечной синусоидальной волной возможна здесь потому, что точечные
вторичные источники когерентны, а разность хода излучаемых ими волн меньше
протяжённости отдельного цуга. Для этого разумеется, экран должен быть удалён
от источников S1 и S2 на значительное расстояние D, а расстояние a между
источниками S1 и S2 должно быть достаточно мало.
Условие интерференционного
максимума:
. (1.1)
Условие интерференционного минимума:
(1.2)
где Δ - геометрическая
разность хода волн,- порядок интерференционного max или min.
Рисунок 3 - Схема расчёта
интерференционной картины
В точке О, расстояния до которой от
источников S1 и S2 одинаковы, приходящие волны усиливают друг друга, так как
колебания поля в этой точке происходят в одинаковой фазе. Результат сложения
колебаний в произвольной точке Р определяется разностью хода l волн, приходящих
в Р из S1 и S2. Если l равно целому числу длин волн λ, то колебания
в Р усиливают друг друга; если l равно нечётному числу полуволн, то колебания
взаимно ослабляются.
Выразим разность хода l волн,
приходящих в точку Р, через угол θ между осью и направлением на
точку Р и расстояние d между источниками.
Будем считать, что d<<L. Тогда
при малых θ
разность
хода можно найти, опуская из S1 перпендикуляр на прямую S2Р:
l=dθ (1.3)
Эта формула даёт возможность
определить угловое положение максимумов и минимумов на экране В. Направление на
максимумы мы получим, если будем учитывать что l=nλ:
θmax=nλ/d, n=0, ±1, ±2,… (1.4)
l=(2n+1)λ/2 (1.5)
получим направления на минимумы:
θmin=(n+1/2)λ/d, n=0, ±1, ±2,… (1.6)
Угловое расстояние Δθ между
соседними максимумами или минимумами, как видно из этих формул, равно λ/d, а расстояние
h между ними на экране В, как видно из рис. 3, равно h=LΔθ=λL/d.
Электромагнитные волны, как и
механические волны, обладают принципом суперпозиции, то есть, если в среде
одновременно распространяются несколько волн, то они распространяются
независимо друг от друга. Однако, в тех местах, где одни колебания
накладываются на другие колебания, их амплитуды векторно складываются. При этом
может наблюдаться как увеличение интенсивности света (когда накладываются волны
с одинаковыми фазами), так и ослабление интенсивности (при сложении волн с
противоположными фазами). Это явление получило название интерференции света.
Интерференция света - это сложение
двух и более волн, вследствие которого наблюдается устойчивая картина усиления
и ослабления световых колебаний в разных точках пространства.
Интерферировать могут лишь
когерентные волны, т.е. волны имеющие одинаковую частоту и постоянную во
времени разность фаз. Когерентные источники в природе отсутствуют, но они могут
быть получены разными способами. Один из них показан на рис. 2.
Интерференционные картины можно
наблюдать на тонких масляных пленках на поверхности воды, мыльных пузырях,
крыльях стрекоз, цвета побежалости на поверхности металла после нагрева.
Явление интерференции в тонких пленках находит применение для определения длин
волн излучения источников света, для контроля качества обработки полированной
поверхности, определения коэффициента расширения тел при нагревании и т.д.
Существуют специальные приборы - интерферометры, предназначенные для измерения
длин тел, показателей преломления с большой точностью.
Дифракция света
Характерной особенностью
дифракционных явлений в оптике оказывается то, что здесь, как правило, длина
волны света почти всегда много меньше размеров преград на пути световых волн.
Поэтому наблюдать дифракцию света можно только на достаточно больших
расстояниях от преграды. Проявление дифракции состоит в том, что распределение
освещённости отличается от простой картины, предсказываемой геометрической
оптикой на основе прямолинейного распространения света.
Строгий расчёт дифракционной картины
представляет собой очень сложную математическую задачу. Но в некоторых
практически важных случаях достаточно хорошее приближение даёт упрощённый
подход, основанный на использовании принципа Гюйгенса - Френеля[4].
Согласно этому принципу, световая
волна, возбуждаемая каким-либо источником S, может быть представлена как
результат суперпозиции когерентных вторичных волн, «излучаемых» фиктивными
источниками. Такими источниками могут служить физически бесконечно малые
элементы любой замкнутой поверхности, охватывающей источник S. Обычно в
качестве этой поверхности, выбирают одну из волновых поверхностей, поэтому все
фиктивные источники действуют синфазно. Таким образом, волны, распространяющиеся
от источника, являются результатом интерференции всех когерентных вторичных
волн. Френель исключил возможность возникновения обратных вторичных волн и
предложил, что если между источником и точкой наблюдения находится непрозрачный
экран с отверстием, то на поверхности экрана амплитуда вторичных волн равна
нулю, а в отверстии - такая же, как при отсутствии экрана.
Учёт амплитуд и фаз вторичных волн
позволяет в каждом конкретном случае найти амплитуду (интенсивность)
результирующей волны в любой точке пространства, т.е. определить закономерности
распространения света.
Дифракция Френеля на круглом
отверстии.
Сферическая волна,
распространяющаяся из точечного источника S, встречает на своём пути экран с
круглым отверстием. Дифракционную картину наблюдаем на экране (Э) в точке В,
лежащей на линии, соединяющей S с центром отверстия. Экран параллелен плоскости
отверстия и находится от него на расстоянии b. Вид дифракционной картины
зависит от числа зон Френеля, укладывающихся в отверстии. Для точки В, согласно
методу зон Френеля, амплитуда результирующего колебания A=A1/2±Am/2, где знак
плюс соответствует нечётным т и минус - чётным т.
Рисунок 4 - Дифракция Френеля на
круглом отверстии
Когда отверстие открывает нечётное
число зон Френеля, то амплитуда (интенсивность) в точке В будет больше, чем при
свободном распространении волны, если чётное, то амплитуда (интенсивность)
будет равна нулю. Если в отверстие укладывается одна зона Френеля, то в точке В
амплитуда A=A1, т.е. вдвое больше, чем в отсутствии непрозрачного экрана с
отверстием (интенсивность света больше соответственно в четыре раза). Если в
отверстие укладывается две зоны Френеля, то их действия в точке В практически
уничтожат друг друга из-за интерференции. Таким образом, дифракционная картина
от круглого отверстия вблизи точки В будет иметь вид чередующихся тёмных и
светлых колец с центрами в точке В (если т чётное, то в центре будет тёмное
кольцо, если т нечётное - светлое кольцо), причём интенсивность максимумов
убывает с расстоянием от центра картины.
Расчёт амплитуды результирующего
колебания на внеосевых участках экрана более сложен, так как соответствующие им
зоны Френеля частично перекрываются непрозрачным экраном. Если отверстие
освещается не монохроматическим, а белым светом, то кольца окрашены (число зон
Френеля, укладывающихся в отверстии, зависит от λ).
Дифракция Френеля на диске.
Сферическая волна,
распространяющаяся от точечного источника S, встречает на своём пути диск.
Дифракционную картину наблюдаем на экране (Э) в точке В, лежащей на линии,
соединяющей S с центром диска. В данном случае закрытый диском участок фронта
волны надо исключить из рассмотрения и зоны Френеля строить начиная с краёв
диска.

Пусть диск закрывает т первых зон
Френеля. Тогда амплитуда результирующего колебания в точке В равна

(1.7)
или
=Am+1 /2 (1.8)
так как выражения, стоящие в
скобках, равны нулю. Следовательно, в точке В всегда наблюдается
интерференционный максимум (светлое пятно), соответствующий половине действия
первой открытой зоны Френеля. Центральный максимум окружён концентрическими с
ним тёмными и светлыми кольцами, а интенсивность максимумов убывает с
расстоянием от центра картины.
Дифракция - это способность волн
огибать встречающиеся на их пути препятствия, отклоняться от прямолинейного
распространения[5]. Чтобы наблюдать дифракцию световых волн, необходимы
определённые условия: либо размеры препятствий (или отверстий) должны быть
очень малыми, либо расстояние от препятствия до наблюдаемой картины должно быть
велико. Возьмем на пути лучей от точечного источника света S поставим преграду
с очень маленьким отверстием диаметра d,тогда на экране Э увидим систему
чередующихся светлых и тёмных колец (при условии, что d << L, см. рис. 6)
Рисунок 6 - Дифракционная картина
Чем уже отверстие, тем на больший
угол отклоняются лучи за отверстием, тем больше диаметр колец. Если вместо
круглого отверстия будет узкая щель, то дифракционная картина будет иметь вид
чередующихся светлых и темных полос. При использовании белого света
дифракционная картина приобретает радужную окраску.
Дифракционные картины нередко
наблюдаются в естественных условиях. Например, цветные кольца, окружающие
источник света, наблюдаемый сквозь туман или через запотевшее оконное стекло,
или при рассматривании яркого источника через ресницы. Для наблюдения дифракции
используются специальные приборы - дифракционные решетки.
Дифракционная решетка (одномерная)
представляет собой систему параллельных равноотстоящих друг от друга щелей
равной ширины. Простейшая дифракционная решетка может быть изготовлена из
стеклянной пластинки, на которой алмазным резцом нанесены параллельные царапины
с неповрежденными промежутками между ними (щелями). Расстояние между соседними
щелями называется периодом или постоянной решетки d (рис. 7).
Рисунок 7 - Дифракционная решетка
где а - расстояние между
соседними щелями,- ширина щели.
Разность хода Δ лучей,
приходящихся в произвольную точку Р от двух соседних щелей будет:
(1.9)
Очевидно, колебания в точке Р будут
усиливать друг друга, если разность фаз лучей будет равна 0 или отличатся на 2π, чему
соответствует:
(1.10)
где k = 0, 1, 2, 3...
Тогда условием наблюдения максимумов
(усиления колебаний) света будет:
(1.11)
где k = 0, 1, 2, 3...
Вследствие дифракции происходит
неравномерное перераспределение световой энергии между максимумами.
Дифракционная решетка является
спектральным прибором. С ее помощью можно определять длины волн в спектрах
излучения источников (например, звезд):
(1.12)
Демонстрационные эксперименты по
волновой оптике
Интерференция света
В классических схемах для наблюдения
интерференции световых волн два источника когерентного излучения создаются
путем разделения пучка от одного источника на два, идущих из разных точек
пространства. Бипризма Френеля создает два симметричных изображения излучающего
центра; в схеме с зеркалом Ллойда к свету, идущему на экран непосредственно от
источника, добавляется свет от мнимого изображения источника в плоском зеркале;
в опыте Юнга на экран попадает свет от двух щелей, в свою очередь освещаемых через
еще одну узкую щель. Во всех случаях интерференция наблюдается в той области
экрана, которая освещается одновременно двумя источниками[6].
Перечисленные схемы были разработаны
в расчете на обычные источники света. Применение лазера позволяет существенно
упростить их настройку и сделать интерференционную картину на экране видимой с
любого места класса без полного затемнения помещения. Для моделирования
точечного источника света излучение лазера фокусируется с помощью
короткофокусной линзы, и точка фокусировки луча становится излучающим центром.
При интерференции света от двух
точечных источников ширина интерференционных полос обратно пропорциональна
расстоянию между этими источниками, поэтому для улучшения зрительного
восприятия эффекта интерференции необходимо максимально сблизить изображения
источников света, получаемых с помощью бипризмы Френеля или зеркала Ллойда. Это
может быть обеспечено приближением бипризмы Френеля и зеркала Ллойда к области
фокусировки луча. В эксперименте по методу Юнга расстояние между щелями,
нанесенными на стеклянную подложку с помощью напыления, задано заранее, но и
здесь следует располагать щели примерно в фокусе лазера, т.к. это увеличивает
световой поток, проходящий сквозь щели, и соответственно картина на экране
становится более яркой.
Установки, собираемые для проведения
этих экспериментов, показаны на рис. 8. Оптический столик (для графического
проектора) устанавливается на демонстрационный стол, в нем закрепляется стойка
штатива. В штативе, на максимальной высоте над поверхностью стола, крепится
рабочее поле. На расстоянии примерно 2 м от него располагается экран. С помощью
магнитных держателей на рабочем поле размещаются полупроводниковый лазер и
линза фокусным расстоянием 5 см. Объект, использующийся для создания двух
источников света, устанавливается примерно в фокальной области линзы.
Рисунок 8 - Установка для бипризмы
Френеля
Для демонстрации интерференционных
эффектов в естественном свете в комплект включена оптическая сборка «Кольца
Ньютона». Установка для этого эксперимента собирается на базе графического
проектора. Кольца Ньютона демонстрируются в отраженном и проходящем свете (рис.
9).
Рисунок 9 - оптическая сборка
«Кольца Ньютона»
На кадровое окно графического
проектора устанавливается оптический столик со стойкой штатива, на которой на
небольшой высоте закрепляется сборка «Кольца Ньютона». Она ориентируется под
углом 45° или немного больше к направлению распространения пучка от графического
проектора - так, чтобы отраженный от сборки пучок попадал на нижнюю часть
экрана. Свет, прошедший через сборку «Кольца Ньютона», с помощью оптической
системы графического проектора также направляется на экран (на его верхнюю
часть). Для появления четкой картины колец Ньютона в проходящем свете
необходимо подобрать высоту объектива графического проектора.
Чтобы получить на экране изображение
колец Ньютона в отраженном свете, в пучок света, отраженный от сборки,
вставляется линза фокусным расстоянием F = 12 см и диаметром 5 см. Для
достижения высокой четкости изображения следует правильно установить расстояние
между линзой и сборкой «Кольца Ньютона». Наличие на экране двух систем колец
Ньютона позволяет обратить внимание учащихся на порядок чередования колец
разной окраски в проходящем и отраженном свете, а также обсудить причины
большей четкости колец, наблюдаемых в отраженном свете.
Та же самая установка используется и
для демонстрации интерференции в мыльной пленке. При проведении этого опыта
сначала на экране получают изображение колец Ньютона в проходящем и отраженном
свете, а затем на место оптической сборки «Кольца Ньютона» устанавливают рамку
с мыльной пленкой. Такой прием позволяет юстировать оптическую схему с помощью
существенно более стабильного объекта, чем мыльная пленка.
Кольца Ньютона легко наблюдаются и в
монохроматическом свете полупроводникового лазера. Оптическая схема этого
эксперимента приведена на рис. 10.
Рисунок 10 - Сборка «кольца Ньютона»
Луч лазера, расширенный с помощью
линзы до диаметра 4-5 см, падает на сборку примерно под углом 45°.
Интерференционные картины возникают на двух экранах сразу без какой-либо
дополнительной юстировки оптической схемы. Однако контрастность колец Ньютона
на разных экранах заметно различается. Контрастность картинки в проходящем
свете оказывается существенно ниже.
Дифракция света
В комплект по волновой оптике входит
ряд оптических элементов для наблюдения дифракции: щели шириной 0,3 и 0,6 мм,
нить диаметром 0,2 мм, отверстие диаметром 0,8 мм, а также две дифракционные
решетки (50 и 150 штрихов на миллиметр) и модель двумерной структуры (очень
мелкая капроновая сетка). Эти элементы используются в экспериментах по
дифракции в параллельном и в расходящемся пучках света, создаваемых с помощью
полупроводникового лазера.
Оптическая схема для демонстрации
дифракционных эффектов в параллельном пучке света выглядит предельно просто. На
закрепленном вертикально рабочем поле устанавливаются полупроводниковый лазер и
объект, на котором происходит дифракция. В экспериментах показывается вид
дифракционной картины, соответствующий каждому из объектов, изучается влияние
ширины щели и плотности штрихов дифракционных решеток на расстояние между
дифракционными максимумами. Для увеличения масштаба наблюдаемой дифракционной
картины рекомендуется наклонять экран таким образом, чтобы угол падения пучка
был близок к 45° (дифракция на нити и на щелях), или устанавливать перед
экраном дополнительную линзу (дифракция на круглом отверстии).
В оптических схемах опытов с
дифракцией в расходящемся пучке света (рис. 11) обязательно присутствует
собирающая линза, которая и создает после фокуса расходящийся пучок света. Щели
и нить размещаются примерно в фокальной области линзы (яркость дифракционной
картины на экране при этом максимальна), отверстие отодвигается от линзы
примерно на три фокусных расстояния (критерием здесь является четкость картины
на экране). Дифракционные эффекты в этих экспериментах проявляются настолько
сильно, что практически исчезает понятие геометрической тени объекта.
Рисунок 11 - Оптическая схема опытов
с дифракцией
В спектроскопии (исследовании
спектров для научных и промышленных целей) для получения спектров дифракционные
решетки применяются гораздо чаще, чем призмы. Поэтому эксперименты по
разложению света в спектр с помощью дифракционной решетки имеют определенную
практическую ценность.
Для получения спектра естественного
света с помощью дифракционной решетки используется оптическая система
графического проектора (рис. 12). Линза и поворотное зеркало графического
проектора устанавливаются на высоте 35-40 см над кадровым окном. Дифракционная
решетка с помощью подходящих оправок размещается непосредственно под линзой
проектора. В эксперименте важное значение имеет коллимация светового пучка,
падающего на дифракционную решетку, поскольку от этого зависит четкость
(разрешение) спектра на экране. Поэтому в оптическую схему включены две щелевые
диафрагмы: одна, шириной 5 мм, непосредственно перед (по ходу луча)
дифракционной решеткой, а другая, шириной 2-3 мм, на оптическом столике,
установленном на кадровом окне графического проектора. После установки
дифракционной решетки 50 шт. мм-1 (период решетки 0,02 мм) и получения на
экране спектров следует обратить внимание учащихся на то, что слабоокрашенная
полоса в центре дифракционной картины - нулевой порядок дифракции. В нулевом
порядке разложения в спектр не происходит. Вверх и вниз от нулевого порядка
четко видны спектры первого порядка. Ширина спектра возрастает с ростом его
порядкового номера. Это приводит к тому, что спектры второго, третьего и
последующих порядков частично накладываются друг на друга, поэтому в них
наблюдается искажение цветов.
При обсуждении спектров, полученных
на экране при работе с решеткой 150 мм-1, внимание учащихся следует обратить на
сопоставление видов спектров в первом и втором случаях. Результатом должен быть
вывод о том, что угол дифракции для синего света всегда меньше, чем для
красного, и что разрешающая способность дифракционной решетки увеличивается с
ростом плотности штрихов и номера порядка дифракции.
Рисунок 12 - Оптическая схема
графического проектрора
ИЗУЧЕНИЕ ЗАВИСИМОСТИ ПОКАЗАТЕЛЯ
ПРЕЛОМЛЕНИЯ ВОЗДУХА ОТ ДАВЛЕНИЯ
Теоретические знания
Цель работы: изучение зависимости
показателя преломления воздуха от давления, наблюдение смещения
интерференционной картины при плавном изменении оптической длины пути одного из
интерферирующих лучей, путем изменения давления.
Оборудование: шахтный интерферометр
ШИ-11, колба с водой, шприц.
Теоретическая часть
Показатель преломления вещества -
величина, равная отношению фазовых скоростей света (электромагнитных волн) в
вакууме и в данной среде . Также о показателе преломления иногда говорят для
любых других волн, например, звуковых, хотя в таких случаях, как последний,
определение, конечно, приходится как-то модифицировать. Показатель преломления
зависит от свойств вещества и длины волны излучения, для некоторых веществ
показатель преломления достаточно сильно меняется при изменении частоты
электромагнитных волн от низких частот до оптических, а также может еще более
резко меняться в определенных областях частотной шкалы. По умолчанию обычно
имеется в виду оптический диапазон или диапазон, определяемый контекстом[7].
Существуют оптически анизотропные вещества, в которых показатель преломления
зависит от направления и поляризации света. Такие вещества достаточно
распространены, в частности, это все кристаллы с достаточно низкой симметрией кристаллической
решетки, а также вещества, подвергнутые механической деформации. Показатель
преломления можно выразить как корень из произведения магнитной и
диэлектрических проницаемостей среды (надо при этом учитывать, что значения и
для интересующего диапазона частот - например, оптического, могут очень сильно
отличаться от статического значения этих величин). Для измерения коэффициента
преломления используют ручные и автоматические рефрактометры. При использовании
рефрактометра для определения концентрации сахара в водном растворе прибор
называют Сахариметр.
Отношение синуса угла падения (α) луча к
синусу угла преломления (γ)
при
переходе луча из среды A в среду B называется относительным показателем
преломления для этой пары сред. Величина n есть относительный показатель
преломления среды В по отношению к среде А, а n' = 1/n есть относительный
показатель преломления среды А по отношению к среде В. Эта величина при прочих
равных условиях больше единицы при переходе луча из среды более плотной в среду
менее плотную, и меньше единицы при переходе луча из среды менее плотной в
среду более плотную (например, из газа или из вакуума в жидкость или твердое
тело). Есть исключения из этого правила, и потому принято называть среду
оптически более или менее плотной, чем другая (не путать с оптической
плотностью как мерой непрозрачности среды).
Луч, падающий из безвоздушного
пространства на поверхность какой-нибудь среды В, преломляется сильнее, чем при
падении на нее из другой среды А; показатель преломления луча, падающего на
среду из безвоздушного пространства, называется его абсолютным показателем
преломления или просто показателем преломления данной среды, это и есть
показатель преломления, определение которого дано в начале статьи. Показатель
преломления любого газа, в том числе воздуха, при обычных условиях много
меньше, чем показатели преломления жидкостей или твердых тел, поэтому
приближенно (и со сравнительно неплохой точностью) об абсолютном показателе
преломления можно судить по показателю преломления относительно воздуха.
Абсолютный показатель преломления
вещества есть отношение скорости распространения в вакууме к скорости
распространения света υ
веществе:
n=c/υ.
Наиболее распространенными методами
измерения показателей преломления и дисперсии оптических материалов в видимой
области спектра являются гониометрические, рефрактометрические и
интерференционные. Эти методы обеспечивают в большинстве случаев точность
измерений и используются для измерений с помощью серийно выпускаемых приборов.
Наибольшее распространение получили следующий методы:
Метод наименьшего отклонения и метод
автоколлимации, осуществляемые на гониометре-спектрометре с точностью до 1,5-5
показателя преломления.
Метод измерения предельного угла
выхода лучей из призмы на рефрактометре с точностью 1,0-4 показателя
преломления и 2,0-5 дисперсии.
Иммерсионный метод Обреимова с
точностью определения показателя преломления 1,0-4.
Интерференционный метод позволяет
измерять показатель преломления сравниваемых образцов стекла одной марки с
точностью 1,05.
Интерференционный метод измерений
Показатель преломления воздуха
изменяется очень мало. Одним из приборов, позволяющим заметить эти малые
изменения, является интерферометр - прибор, в котором используется явление
интерференции света. В интерферометре пучок света с помощью того или иного
устройства пространственно разделяется на два (или более) когерентных луча,
которые проходят различный оптический путь, а затем сводятся вместе и
интерферируют[8].
Если один луч проходит
геометрический путь l1 в среде с показателем преломления n1 , а другой - путь
l2 в среде с показателем преломления n2, то оптическая разность хода лучей
∆y=l1n1-l2n2 или ∆y=l∆n
при l1=l2=l (2.1)
Когда ∆y равно четному числу
полуволн, то наблюдается максимум, если нечетному, то - минимум освещенности.
При изменении одного из показателей преломления (n1 или n2) ∆y будет
изменяться. При изменении ∆y на λ вся интерференционная картина
сместится ровно на одну полосу, и картина окажется подобной прежней (если
интенсивность света в полосах одинакова). Таким образом, между смещение
интерференционной картины на m полос и изменением оптической разности хода на ∆y
существует соотношение
∆y=mλ, где m=1,2,3…
(2.2)
Анализ выражений (1) и (2)
показывает, что этот метод является весьма чувствительным. Так, при l1=l2=1 см смещение
интерференционной картины на 1 полосу соответствует изменению показателя
преломления на ∆n=5*10-5. Современные интерферометры позволяют замечать
смещения интерференционной картины на 0,1…0,01 интерференционной полосы.
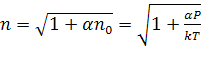
Для газов величина 
<<1 поэтому, разложив
выражение

(2.3)
Где величина n0 связана с давлением
соотношением p=n0kT, мы получим

(2.4)
где Т- температура газа;- постоянная
Больцмана k=1,38*10-23 Дж/К.
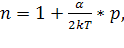
Из уравнения (4) следует, что
изменение давления газа на ∆р приведет к изменению показателя преломления
на величину ∆n:

(2.5)
Формула (5) позволяет опытным путём
определить величину поляризуемости молекулы газа α, это удобно
сделать с помощью линейной зависимости
∆n=K∆p, где угловой
коэффициент K=
(2.6)
Затем с помощью уравнения (4) можно
вычислить и значение показателя преломления n при давлении газа р, используя ту
же величину К.
=1+Kp (2.7)
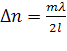
Изменение показателя преломления
воздуха при смещении интерференционной картины:

(2.8)
Описание установки
В работе используется шахтный
интерферометр ШИ-11, предназначенный для использования в лабораторном практикуме
по общей физике высших учебных заведений (раздел «Оптика») при изучении тем:
интерферометры, показатели преломления газов и методы их измерения,
поляризуемость молекул и методы ее измерения для газов. Общий вид прибора
показан на рис. 13.
Рис. 13 Шахтный интерферометр ШИ-11
Основной узел установки - шахтный
интерферометр - изначально предназначен для контроля концентрации метана в
рудничном воздухе. Изменение давления в одной из кювет интерферометра
производится с помощью винта, сжимающего резиновую грушу компрессора. Давление
измеряется открытым U-образным водяным манометром. Пределы изменения давления
Ратм ± 50 см водяного столба, что приводит к смещению интерференционной картины
на ± 3 полосы. Вместо лампочки накаливания в интерферометре используется
красный светодиод, дающий квазимонохроматическое излучение с полушириной 10 нм.
Питание светодиода осуществляется от электронного блока. Длина полости l=100мм
Внутри корпуса прибора размещены
детали оптической и газовоздушной схемы.
Рис. 14 Схема установки
Подготовка прибора к работе
Кнопку «К» необходимо закрыть
резиновым колпачком, чтобы исключить связь воздушных полостей 1 и 3 с
атмосферой.
Нажать кнопку «И» включения лампы и
посмотреть в окуляр. Если интерференционная картина и шкала окажутся нечёткими,
вращением окуляра навести их на резкость.
Установить интерференционную картину
в нулевое положение. Для этого нажать одновременно на кнопки «К» и «И» и
медленно вращать микровинт S до совмещения левой чёрной полосы
интерференционной картины с нулевой отметкой шкалы.
При выполнении работы необходимо
следить, чтобы вода в левом колене манометра не поднималась до максимума.
Попадание воды в интерферометр может привести к выходу его из строя.
Выполнение задания
Упражнение 1. Определение смещения
интерференционной картины при плавном изменении оптической длины пути одного из
интерферирующих лучей путём изменения давления
Включаем осветитель, устанавливаем с
помощью помпы интерференционную картину в исходное положение:
а) вода в обоих коленах манометра
примерно на одном уровне,
б) винт помпы почти максимально
выкручен,
в) нуль шкалы интерферометра
совпадает с одной из темных полос.
. Увеличивая давление в полости,
закручивая винт помпы, наблюдайте смещение интерференционной картины вдоль
шкалы. Производите смещение интерференционной картины на целое число полос
(m=1,2,3…). При достижении каждого очередного значения m, заносите в таблицу
соответствующее изменение давления ∆р (т.е. разность уровней в манометре),
в мм водн. ст.
. При достижении значения m=5 или
максимума подъема воды в правом колене необходимо снова вывернуть винт
манометра до упора, т.е. вернуть в исходное состояние. Опыт повторите не менее
трех раз, и найдите среднее значение ∆р для каждого числа полос m.
. Результаты занесите в таблицу 1.
Примечание: Р=1мм
|
Смещение
интерференционной картины, m полос
|
1
|
2
|
3
|
4
|
5
|
|
Изменение
давления, мм водн. ст.
|
∆p1
|
|
|
|
|
|
|
∆p2
|
|
|
|
|
|
|
∆p3
|
|
|
|
|
|
|
среднее
|
|
|
|
|
|
|
∆n,
10-6
|
|
|
|
|
|
|
∆р,
Па
|
|
|
|
|
|
Таблица 1. Смещение интерференционной картины
Упражнение 2. Экспериментальная проверка
справедливости линейной зависимости между ∆n и изменением давления ∆р
По формуле (2.8) вычислите изменение показателя
преломления ∆n и результаты запишите в таблицу 1.
Постройте график зависимости ∆n=f(∆p)
и рассчитайте угловой коэффициент полученной прямой, которая описывается
уравнением (2.6).
Вычислите значение поляризуемости молекулы
воздуха α=К(2kТ).
Упражнение 3. Рассчитать усредненную
поляризуемость молекул воздуха
. Найдите показатель преломления воздуха n при
комнатной температуре и давлении p=105 Па, используя формулу (2.7): n=1+Kp
. Запишите результат измерения:
показатель преломления воздуха n=
поляризуемость молекулы α=
Сравните полученное значение n воздуха с
табличным значением nтабл=1,00029. Сделайте вывод о возможностях
интерференционных методов.
Контрольные вопросы
Каков физический смысл показателя преломления?
Как зависит показатель преломления воздуха от
давления?
Каково устройство шахтного интерферометра?
Какие есть методы для измерения показателя
преломления газов?
ЗАКЛЮЧЕНИЕ
В первом разделе предоставлен краткий обзор
демонстрационных эксперементов по волновой оптике. Рассмотрены разные
оптические явления.
Во второй части была составлена лабораторная
работа с прибором ШИ-11.
В ходе работы было определено, что в оптике
придумано множество весьма остроумных моделей, помогающих не только проведению
качественного, но и количественного анализа световых явлений, а самое главное -
подтверждающихся на практике. Полученные данные будут использованы в дипломном
проекте.
СПИСОК ИСПОЛЬЗОВАННОЙ ЛИТЕРАТУРЫ
свет волна интерференция оптика
Мякишев
Г.Я. Физика: Оптика. Квантовая физика. 11 кл.: Учеб. для углубленного изучения
физики / Дрофа, 2002. - 464 с.
Борн
М., Вольф Э. Основы оптики, пер. с англ., 2 изд./ Москва, 1973.
Калитеевский
Н. И. Волновая оптика, 2 изд./ Москва, 1978.
Глаубер
Р. Оптическая когерентность и статистика фотонов, в кн.: Квантовая оптика
<http://femto.com.ua/articles/part_1/1558.html> и квантовая радиофизика/
Москва, 1966.
Сивухин
Д.В.Оптика/2002.
Хорошавин
С.А. Демонстрационный эксперимент по физике. Оптика.
<http://www.prosv.ru/ebooks/Horoshavin_Demonstr_eksperiment_fizika/index.html>
Сивухин
Д. В. Общий курс физики. В 5 т. Том IV. Оптика/Физматлит, 2005 г.
Руководство
к лабораторным занятиям по физике. под ред. Л.Л.Гольдина/ Москва, 1973.