Движение электрона в однородных полях. Анализ энергии электронов методом тормозящего поля
Содержание
Введение
1. Движение электронов в вакууме в электрическом и магнитном полях
2. Движение электрона в однородном электрическом поле
3. Движение электрона в ускоряющем поле
4. Движение электрона в тормозящем поле
5. Движение электрона в однородном поперечном поле
6. Движение электронов в однородном магнитном поле
7. Анализ энергии электронов методом тормозящего поля
8. Список используемой литературы
Введение
Взаимодействие движущихся электронов с
электрическим полем является основным процессом во всех электронных приборах.
Полагаем, что электроны движутся в вакууме, без столкновений с другими
частицами. Такое движение совершается в электронных лампах. В газоразрядных и
полупроводниковых приборах движение сложнее, так как происходит столкновение электронов
с ионами и другими частицами газа или твердого вещества.
Законы движения одного электрона в
однородном электрическом поле с известным приближением можно применить к
движению его в электронном потоке, если пренебречь взаимным отталкиванием
электронов.
Электрон является частицей материи с отрицательным
электрическим зарядом, абсолютное значение которого е=1,6-10-19 Кл.
Масса неподвижного электрона т = 9,1 10-28 г. С возрастанием
скорости масса электрона увеличивается. Теоретически при скорости с = 3
108 м/с она должна стать бесконечно большой. В обычных
электровакуумных приборах скорость.
1. Движение
электронов в вакууме в электрическом и магнитном полях
В электрическом поле напряженностью Е на электрон действует сила
э= - еЕ,
противоположная по направлению вектору Е.
В магнитном поле с индукцией В на движущийся электрон
действует сила Лоренца. При
произвольной ориентации векторов эту силу удобно представить в векторной форме:
Fм = - e [vB],
где v - вектор скорости электрона.
При наличии электрического и магнитного полей действующая на
электрон сила:
F = - eE-e [vB].
Поскольку
при движении в вакууме электрон не испытывает столкновений, приводящих к
изменению величины и направления его скорости, получаем
уравнение движения электрона
. (2.1)
Это уравнение позволяет полностью описать движение электрона,
найти его траекторию и скорость в любой точке, если известны начальные условия:
координаты, величина и направление скорости в начале пути и, главное, если
известна картина поля, т.е. заданы в виде функции координат векторы
напряженности электрического поля Е и магнитной индукции В.
Нахождение картины поля является первым этапом решения задач
о движении электронов в межэлектродном пространстве.
Аналитически картину электрического поля в пространстве,
свободном от зарядов, можно найти решением уравнения Лапласа:
.
Это для случая малых потоков или единичных электронов.
В случаях, когда электроны и другие заряженные частицы находятся
в межэлектродном пространстве в большом количестве и влияют на картину
электрического поля, в основу расчета должно быть положено уравнение Пуассона:
где
плотность объемного заряда;
диэлектрическая
проницаемость.
Однако картины электрического поля аналитическим путем можно
найти для простых конфигураций электродов, а для сложных электродов используют
эксперимент (электрическая ванна, метод сеток, метод сопротивлений) или
приближенные методы расчета.
Картину магнитного поля также можно получить аналитически
только для простейших случаев.
Вернемся к уравнению (2.1):
Умножив левую и правую части скалярно на скорость электрона
v, получим
Второе слагаемое равно нулю потому, что сила Лоренца
перпендикулярна направлению движения электрона.
Выясняется, что под действием магнитного поля изменяется
только направление движения электрона, а его скорость не меняется по величине.
Электрическое поле влияет на кинетическую энергию и на
направление движения. Уравнение, связывающее энергию свободного электрона с
пройденной разностью потенциалов U:
Если начальную энергию электрона охарактеризовать некоторой
разностью потенциалов U0, т.е. выразить ее в электрон-вольтах, то скорость
электрона, прошедшего разность потенциалов U,
Напомним, что при скоростях электрона, близких к скорости
света, во всех приведенных уравнениях должна быть релятивистская масса
электрона
Однако, как показывает расчет, релятивистский эффект
учитывается только при анализе движения электрона, ускоряемого разностью
потенциалов в несколько десятков киловольт. Поэтому далее будем считать массу
электрона постоянной.
2. Движение
электрона в однородном электрическом поле
Рассмотрим движение электрона между плоскопараллельными
электродами с расстоянием d между ними.
Уравнение Лапласа, имеющее вид
, после интегрирования
сводится к уравнению
где U - разность потенциалов между электродами.
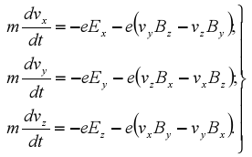
Уравнение движения электрона в прямоугольной системе
координат разбивается на три уравнения:
В рассматриваемом случае магнитное поле отсутствует, а
электрическое имеет одну компоненту Ey =E. Тогда система уравнений запишется как
Пусть в момент t = 0 электрон находится в точке начала
координат и движется со скоростью v0, имеющей компоненты по осям х и у, а
компонента скорости по z равна нулю. Тогда интегрирование приводит к
уравнениям:
После повторного интегрирования первых двух уравнений
получаем;
Константы интегрирования в обоих случаях равны нулю,
поскольку в начальный момент х = у= 0 интегрирование третьего уравнения дает
z=0.
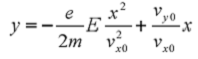
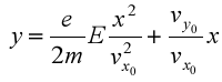
Получим уравнение траектории электрона, подставив
:
Видно, что движение происходит по параболе (кривая 1 на
рис.2.1), обращенной выпуклостью вверх. Анализ показывает, что вершина этой
параболы имеет координаты
;
.
Совершая движение по этой траектории, электрон возвращается к
оси х в точке с координатой:
Если вектор напряженности поля Е направить в противоположную
сторону (-у), то изменяется знак первого члена уравнения траектории
т.е. в данном случае электрон будет двигаться по траектории 2
(на рис.2.1). Это отрезок параболы, симметричный относительно начала координат
параболе 1.
3. Движение
электрона в ускоряющем поле
И и ёНа рисунке изображено в виде силовых
линий (линий напряженности) однородное электрическое поле между двумя
электродами, например катодом и анодом диода.
Если разность потенциалов между электродами U, а расстояние между ними d, то напряженность поля
Для однородного поля величина Е является постоянной.
Пусть из электрода, имеющего более низкий потенциал, например из
катода К, вылетает электрон с кинетической энергией Wo и начальной скоростью v0, направленной вдоль силовых линий поля. Поле ускоряет движение
электрона. Иначе говоря, электрон притягивается к электроду с более высоким
потенциалом. В данном случае поле называют ускоряющим.
Напряженность поля численно равна силе, действующей на единичный
положительный заряд. Поэтому сила, действующая на электрон
F = еЕ.
Знак "минус" поставлен потому, что сила F направлена в сторону, противоположную вектору Е. Иногда
этот знак не ставят.
Под действием постоянной силы F электрон получает ускорение
а =F/т. Двигаясь прямолинейно, электрон приобретает наибольшую скорость
v и кинетическую энергию W в конце своего пути, т.е. при ударе об
электрод, к которому он летит. Таким образом, в ускоряющем поле кинетическая
энергия электрона увеличивается за счет работы поля по перемещению электрона. В
соответствии с законом сохранения энергии увеличение кинетической энергии
электрона W-Wo равно работе
поля, которая определяется произведением перемещаемого заряда е на
пройденную им разность потенциалов U:
W - W0 = mv2 /2 -
mv02 /2 = еU. (4)
Если начальная скорость электрона равна нулю, то
W = mv2 /2 = еU. (5)
т.е. кинетическая энергия электрона равна работе поля.
Формула (5) с некоторым приближением может применяться и в том
случае, когда начальная скорость v0
много меньше конечной
скорости v, так как при этом
mv02 /2
" mv2 /2
Если условно принять заряд электрона за единицу количества
электричества, то при U= 1 В энергия электрона принимается за единицу
энергии, которую назвали электрон-вольтом (эВ). В большинстве случаев
удобно выражать энергию электронов в электрон-вольтах, а не в джоулях.
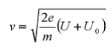
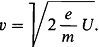
Из формулы (5) определяется конечная скорость электрона
Подставляя сюда значения е и т, можно
получить удобное выражение для скорости в метрах или километрах в секунду:
Таким образом, скорость электрона в ускоряющем поле зависит от пройденной
разности потенциалов.
Начальную энергию электрона удобно выражать в электрон-вольтах,
имея в виду равенство
т.е. считая, что эта энергия создана ускоряющим полем с разностью
потенциалов U0.
Скорости электронов даже при небольшой разности потенциалов
значительны. При U = 1 В скорость равна 600 км/с, а приU = 100 В - уже
6000 км/с.
Найдем время t пролета электрона между электродами,
определив его с помощью средней скорости:
. (9)
Средняя скорость равноускоренного движения равна полусумме
начальной и конечной скоростей:
(10)
Если
, то
Подставляя сюда значения конечной скорости, получим время пролета
в секундах:
(12)
здесь расстояние d выражено в метрах, а если выразить его в
миллиметрах, то
(13)
Например, время пролета электрона при d = 3 мм и U= 100
В
Вследствие неоднородности поля расчет времени пролета электрона в
электронных приборах более сложен. Практически это время равно
-
с. Можно такое малое время пролета во многих случаях не учитывать.
Но все же, из-за того что электроны имеют массу, они не могут мгновенно
изменять свою скорость и мгновенно пролетать расстояние между электродами. На
ультра - и сверхвысоких частотах (сотни и тысячи мегагерц) время пролета
электрона становится соизмеримым с периодом колебаний. Например, при f=1000 МГц
период Т=
с. Прибор перестает быть безинерционным
или малоинерционным. Иначе говоря, проявляется инерция электронов, которая
практически не влияет на работу при низких и высоких частотах. На этих частотах
период колебаний Т много больше времени пролета электрона и переменные
напряжения на электродах за время пролета не успевают заметно измениться, т.е.
можно считать, что пролет электрона совершается при постоянных напряжениях
электродов.
Режим работы при постоянных напряжениях электродов называют статическим
режимом. Когда напряжение хотя бы одного электрода изменяется так быстро,
что законы статического режима применять нельзя, режим называют динамическим.
Если же напряжения изменяются с невысокой частотой, так, что явления можно
рассматривать приближенно с помощью законов статического режима, то режим
называют квазистатическим.
Выражения для энергии, скорости и времени пролета остаются в силе
для любого участка пути электрона. В этом случае величины W,v, t, d, U относятся только к данному участку.
Если на разных участках напряженность поля различна, то на отдельных
участках электрон будет лететь с разным ускорением, а конечная скорость
электрона определяется только конечной разностью потенциалов и начальной его
скоростью. Из закона сохранения энергии вытекает, что конечная разность
потенциалов U равна алгебраической сумме разностей
потенциалов отдельных участков. Поэтому полное приращение кинетической энергии
равно произведению еU.
4. Движение
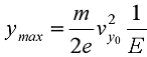
электрона в тормозящем поле
Пусть начальная скорость электрона v0 противоположна по
направлению силе F, действующей на электрон со стороны поля электрон
вылетает с некоторой начальной скоростью из электрода с более высоким
потенциалом. Так как сила F направлена навстречу скорости v0 то электрон тормозится и
движется равнозамедленно. Поле в этом случае называют тормозящим. Энергия
электронов в тормозящем поле уменьшается, так как работа совершается не полем,
а самим электроном, который преодолевает сопротивление сил поля. Таким образом,
в тормозящем поле электрон отдает энергию полю.
Если начальная энергия электрона равна еU0 и он
проходит в тормозящем поле разность потенциалов U, то его энергия уменьшается
на еU. Когда
, электрон пройдет все расстояние между электродами и ударит в
электрод с более низким потенциалом. Если же
, то, пройдя
разность потенциалов U0, электрон потеряет всю свою энергию,
скорость его станет равна нулю и он начнет ускоренно двигаться обратно. Таким
образом, электрон совершает движение, подобное полету тела, брошенного
вертикально вверх.
5. Движение
электрона в однородном поперечном поле
Если электрон вылетает с начальной
скоростью v0 под прямым углом к направлению силовых линий поля то поле
действует на электрон с силой F, направленной в сторону более высокого
потенциала. При отсутствии силы F электрон совершал бы равномерное
прямолинейное движение по инерции со скоростью v0. А под действием силы F
электрон должен равноускоренно двигаться в направлении, перпендикулярном v0. Результирующее движение
происходит по параболе, причем электрон отклоняется в сторону положительного
электрода. Если электрон выйдет за пределы поля, как показано на рисунке, то
дальше он будет двигаться по инерции прямолинейно и равномерно. Это подобно
движению тела, брошенного с некоторой начальной скоростью в горизонтальном
направлении. Под действием силы тяжести такое тело при отсутствии воздуха
двигалось бы по параболической траектории.
Электрическое поле всегда изменяет в ту или другую сторону энергию
и скорость электрона. Таким образом, между электроном и электрическим полем
всегда имеется энергетическое взаимодействие, т.е. обмен энергией. Скорость
электрона при ударе об электрод определяется только начальной скоростью и
пройденной разностью потенциалов между конечными точками пути.
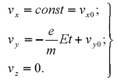
6. Движение
электронов в однородном магнитном поле
Рассмотрим движение электрона в однородном
магнитном поле. Когда неоднородность поля незначительна или когда нет
необходимости в получении точных количественных результатов, можно пользоваться
законами, установленными для движения электрона в однородном поле.
Пусть электрон влетает в однородное магнитное поле с начальной
скоростью v0, направленной перпендикулярно магнитным силовым линиям (рис.
В этом случае на движущийся электрон действует сила Лоренца F, которая
перпендикулярна вектору v0 и вектору магнитной индукции В:
(14)
Как видно, при v0 = 0 сила F равна нулю, т.е. на неподвижный электрон магнитное поле не
действует.
Сила F искривляет траекторию электрона в дугу окружности.
Поскольку сила F действует под прямым углом к скорости v0, она
не совершает работы. Энергия электрона и его скорость не изменяются, а
изменяется лишь направление скорости. Известно, что движение тела по окружности
(вращение) с постоянной скоростью происходит благодаря действию направленной к
центру (центростремительной) силы, т.е. силы F.
Направление движения электрона в магнитном поле удобно определять
по следующим правилам. Если смотреть в направлении магнитных силовых, линий,
то электрон движется по часовой стрелке. Или иначе: поворот электрона
совпадает с вращательным движением винта, который ввинчивается в направлении
магнитных силовых линий.
Определим радиус r окружности, описываемой электроном. Для
этого воспользуемся, выражением для центростремительной силы, известным из
механики,
(15)
и приравняем его значению силы F по формуле (14):
Теперь из этого уравнения можно найти радиус:
(16)
Чем больше скорость электрона v0,
тем сильнее он стремится
к прямолинейному движению по инерции и тем больше радиус траектории. С
увеличением В растет сила F, искривление траектории усиливается и
радиус уменьшается.
Выведенная формула справедлива для частиц с любой массой и
зарядом.
Чем больше масса, тем сильнее стремится частица лететь по инерции
прямолинейно, т.е. радиус r становится больше. А чем больше заряд, тем больше
сила F и тем сильнее, искривляется траектория, т.е. ее радиус становится
меньше. Выйдя за пределы магнитного поля, электрон дальше летит по инерции
прямолинейно. Если же радиус траектории мал, то электрон может описывать в
магнитном поле замкнутые окружности.
Рассмотрим более общий случай, когда электрон влетает в магнитное
поле под любым углом. Выберем координатную плоскость так, чтобы вектор
начальной скорости электрона v0 лежал в этой плоскости и чтобы ось х совпадала по
направлению с вектором В. Разложим v0
на составляющие
и
. Движение
электрона со скоростью
. эквивалентно току вдоль силовых линий.
Но на такой ток магнитное поле не действует, т.е. скорость
. не испытывает никаких изменений. Если бы
электрон имел только эту скорость, то он двигался бы прямолинейно и равномерно.
А влияние поля на скорость
такое же,
как и в основном случае по рис. Имея только скорость
электрон совершал бы движение по
окружности в плоскости, перпендикулярной магнитным силовым линиям.
Результирующее движение электрона происходит по винтовой линии
(часто говорят "по спирали"). В зависимости от значений В,
и
эта винтовая траектория более или менее растянута. Ее радиус
легко определить по формуле (16), подставив в нее скорость
.
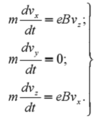
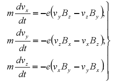
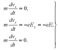
Для решения этой задачи так же воспользуемся прямоугольной
системой координат. Ось у направим навстречу вектору магнитной индукции В, а
ось х - так, чтобы вектор скорости электрона v0 находящегося в момент времени t
= 0 в точке начала координат, лежал в плоскости XOY,. т.е. имеем компоненты vxo и vyo
В отсутствии электрического поля система уравнений движения
электрона принимает вид:
или с учетом условий Вx =Bz=0, а Вy = - В:

Интегрирование
второго уравнения системы с учетом начального условия: при t=0, vy =vyo
приводит к соотношению:
т.е. показывает, что магнитное поле не влияет на компоненту
скорости электрона в направлении силовых линий поля.
Совместное решение первого и третьего уравнений системы,
состоящее в дифференцировании первого по времени и подстановке значения dvz /dt из третьего,
приводит к уравнению, связывающему скорость электрона vx со временем:
где
.
Решение уравнений такого типа можно представить в виде:
причем из начальных условий при t=0, v x=vx0, dvx/dt=0 (что следует из
первого уравнения системы, так как vz0 = 0) вытекает, что
Кроме того, дифференцирование этого уравнения с учетом первого
уравнения системы приводит к выражению:
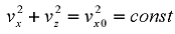
Заметим, что возведение в квадрат и сложение двух последних
уравнений дает выражение:
которое еще раз подтверждает, что магнитное поле не изменяет
величины полной скорости (энергии) электрона.
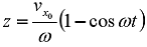
В результате интегрирования уравнения, определяющего его vx, получаем:
,
постоянная интегрирования в соответствии с начальными
условиями равна нулю.
Интегрирование уравнения, определяющего скорость vz с учетом того, что при z
= 0, t = 0 позволяет найти зависимость от времени координаты z электрона:
Решая два последних уравнения относительно
и
, возводя в квадрат и
складывая, после несложных преобразований получаем уравнение проекции
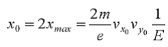
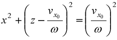
траектории электрона на плоскости XOZ:
Это уравнение окружности радиуса
, центр которой
расположен на оси z на расстоянии r от начала координат (рис.2.2). Сама
траектория электрона представляет собой цилиндрическую спираль радиуса
с шагом
. Из полученных уравнений
очевидно также, что величина
представляет собой круговую частоту движения
электрона по этой траектории.
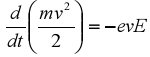
7. Анализ
энергии электронов методом тормозящего поля
Квантовые постулаты Н. Бора (1913 г.) нашли непосредственное
экспериментальное подтверждение в опытах Дж. Франка и Г. Герца (1914 г.)
Известна вольтамперная характеристика лампового диода (I ~ U3/2).
Если колбу наполнить газом, и предохранить анод от сбора низкоэнергетических
электронов, то обнаружится очень интересный эффект.
Из трубки выкачан воздух и в нее введено небольшое количество
(давление около 1 мм рт. ст.) какого-либо вещества. Электроны, испускаемые
накаленным катодом (1), ускоряются в постоянном электрическом поле, созданном
между катодом и сетчатым анодом (2). Между ним и коллектором (3) поддерживается
небольшое (~1В) задерживающее напряжение. Поэтому на коллектор могут попасть
только те электроны, энергия которых больше 1 эВ. Ток с коллектора измеряется
микроамперметром. С помощью реостата (4) можно изменять ускоряющее напряжение.
Теперь поясним происхождение минимумов на вольтамперной
характеристике. Столкновения частиц бывают как упругими, так и неупругими. Упругими
называют такие столкновения, в которых суммарная кинетическая энергия частиц до
соударения равна сумме кинетических энергий этих частиц после соударения.
Очевидно при этом внутренняя энергия частиц (и состояние их) не изменяется.
Если же часть кинетической энергии пойдет на изменение внутреннего состояния
одной из сталкивающихся частиц, то такое столкновение является неупругим.
Метод задерживающего потенциала. Для анализа энергий электронов малых
энергий часто используют тормозящее электрическое поле.
Пусть поток электронов разных энергий от источника К
движется слева направо. Между двумя электродами (С и А на рисунке
1) создадим тормозящее электроны поле (слева плюс, справа минус). Электрод С
выполнен в виде сетки, а с правого электрода А заряд стекает через
гальванометр G на землю. Если разность потенциалов между С и А
равна Uзад, то преодолеть промежуток могут только электроны,
кинетическая энергия которых T > eUзад, здесь e -
заряд электрона. Ток гальванометра I пропорционален суммарному
количеству электронов в потоке с энергией большей eUзад.
Изменяя Uзад, и замеряя ток при каждом значении, можно
получить представление о распределении электронов по энергии n (T).
Метод очень прост. Недостаток его - для нахождения распределения n (T) приходится
дифференцировать экспериментальную зависимость I (Uзад), что
связано с большой потерей точности. Метод задерживающего потенциала использован
Джеймсом Франком и Густавом Герцем для анализа энергий, теряемых электронами в
столкновениях с атомами.
Изменение энергии налетающей частицы массы m (потеря энергии) при упругом
соударении с другой частицей массы M ΔT ~ (m/M) ·T, где T - энергия частицы до столкновения.
Так как масса электрона значительно меньше массы атома, то его кинетическая
энергия при упругом столкновении с атомом меняется незначительно, происходит
только изменение направления скорости (здесь уместно сравнение, как горох об
стенку).
Если возможны неупругие соударения с атомом, то
кинетическая энергия электрона после соударения окажется меньше на величину
энергии, переданной атому.
В первых опытах Дж. Франка и Г. Герца электроны, испущенные
подогретым катодом К, ускоряются электрическим полем, создаваемым между
катодом и сеткой С разностью потенциалов Uуск. Между
сеткой и анодом поле тормозящее (Uзад ~ 0.5 В). Стеклянная
колба с электродами наполнена парами ртути. При малых напряжениях (Uуск
< 4.9 В для ртути) соударения электронов с атомами упругие, т.к.
вольтамперная характеристика такая же, как для вакуумного диода. Упругие столкновения,
как было сказано, практически не меняют энергетический спектр электронов,
тормозящее поле им не помеха. Но вблизи Uуск ~ 4.9 В ток
резко уменьшается. Значит при T ~ 4.9 эВ происходят неупругие
соударения с атомами, и электроны, отдавшие атому энергию, не могут преодолеть
задерживающий промежуток С - А. Таким образом было установлено,
что минимальная энергия, необходимая для возбуждения атомов ртути, составляет
4.9 эВ. Эта энергия, деленная на заряд электрона, называется потенциалом
возбуждения. Падения тока при напряжениях, кратных 4.9 В, означает, что
электроны, потерявшие энергию в первом неупругом соударении, снова набирают 4.9
эВ по пути к аноду и происходит второе (третье) неупругое соударение.
Чуть раньше, чем проводились эти эксперименты, Н. Бор выдвинул
гипотезу о стационарных состояниях атомов и излучении (поглощении) квантов при
переходе между ними. Гипотеза Н. Бора объясняла линейчатый характер спектра
атомов. Результаты опытов Дж. Франка и Г. Герца стали мощной поддержкой
квантовых постулатов Н. Бора: показано существование у изолированных атомов
дискретных уровней энергии. (Позднее Франк признался, что они "не оценили
по достоинству фундаментальное значение теории Бора, настолько, что даже не
упомянули о ней в своей статье".)
Дополнительным свидетельством того, что переданная электроном
энергия пошла на возбуждение атома, явился спектральный анализ излучения,
возникающего при возбуждении. Атом в возбужденном состоянии живет недолго. При
возврате в основное состояние переданная энергия ΔT = 4.9 эВ должна излучиться в виде кванта hν с той же энергией. Длина волны λ =
hc/ΔT = 253 нм. И такая
линия действительно была найдена Дж. Франком и Г. Герцем!
Если давление паров в приборе снизить (первоначально было ~ 1 мм
рт. ст.) до такого значения, что длина свободного пробега электрона будет
больше или сравнима с расстоянием катод - анод, станет возможным возбуждения
атомов в более высокие энергетические состояния и даже ионизация атомов (не
встретив ни одного атома электроны смогут ускорится до энергий, превышающей
первый порог возбуждения). Проводя анализ спектра неупруго рассеянных
электронов, Дж. Франк и Г. Герц нашли уровни энергии и энергии ионизации
большого количества элементов. Для примера некоторые цифры приведены в таблице.
Характеристики атомов некоторых элементов I группы.
|
|
натрий Na
|
цезий Cs
|
медь Cu
|
калий K
|
ртуть Hg
|
водород H
|
|
энергия
возбуждения 1-го уровня, эВ
|
2.1
|
1.39
|
3.8
|
1.6
|
4.9
|
10.2
|
|
энергия
ионизации, эВ
|
5.1
|
3.9
|
7.7
|
4.3
|
10.4
|
13.6
|
В 1925г. Дж. Франку и Г. Герцу присуждена нобелевская премия
электрон тормозящее поле движение
8. Список
используемой литературы
1.
Поносов С.В. Курс лекций. Вакуумная и плазменная электроника.
2.
Щука А.А. Электроника.
Учеб. пособ. для вузов. - СП б: БХВ-Питер, 2005
3.
Жеребцов И.П. Основы электроники. Энергоатомиздат 1989