Завод по производству аэродромных и дорожных плит покрытия производительностью 50 м3 в год

  • Вид работы:
    Курсовая работа (т)
  • Предмет:
    Строительство
  • Язык:
    Русский
    ,
    Формат файла:
    MS Word
    1,24 Мб
  • Опубликовано:
    2014-07-10
Вы можете узнать стоимость помощи в написании студенческой работы.
Помощь в написании работы, которую точно примут!

Завод по производству аэродромных и дорожных плит покрытия производительностью 50 м3 в год

Министерство образования и науки Российской Федерации

Федеральное государственное бюджетное общеобразовательное учреждение

высшего профессионального образования

«Магнитогорский Государственный Технический Университет им. Г.И.Носова»

(ФГБОУ ВПО «МГТУ»)

Институт строительства, архитектуры и искусства





КУРСОВОЙ ПРОЕКТ

по дисциплине: Технология бетона, строительных изделий и конструкций

на тему: Завод по производству аэродромных и дорожных плит покрытия производительностью 50 м3 в год


Введение

Железобетонные строительные изделия и конструкции широко применяют в жилищно-гражданском, промышленном, транспортном и других видах строительства.

В настоящее время в России действует большое количество мощных механизированных заводов по производству сборных железобетонных изделий и конструкций широкой номенклатуры. Применение этих изделий при монтаже зданий и сооружений позволяет повысить производительность труда, улучшить качество, сократить сроки и снизить стоимость строительства.

Железобетон представляет собой строительный материал, в котором соединены в единое целое затвердевший бетон и стальная арматура, совместно работающие в конструкции (бетон хорошо сопротивляется сжатию и плохо - растяжению, стальная же арматура хорошо работает на растяжение).

Железобетонные конструкции (по способу изготовления):

.        Монолитные

.        Сборные

Монолитные железобетонные конструкции возводят непосредственно на строительных площадках. Обычно их применяют в зданиях и сооружениях, трудно поддающихся членению, при нестандартности и малой повторяемости элементов и при особенно больших нагрузках (фундаменты, каркасы и перекрытия многоэтажных промышленных зданий, гидротехнические, транспортные и другие сооружения).

Однако при их возведении затрачивается большое количество ручного труда и материалов на изготовление опалубки, подмостей и т.д. значительные трудности возникают при бетонировании монолитных конструкций в зимнее время.

Сборные железобетонные конструкции значительно экономичнее монолитных, так как их выполняют на специализированных заводах и полигонах с рационально организованным высокомеханизированным технологическим процессом производства. Применение сборных железобетонных конструкций по сравнению с монолитными позволяет сократить расход стали и бетона, устранить нерациональное использование лесоматериалов при устройстве опалубки и поддерживающих лесов, перенести со строительной площадки на завод большую часть работ по возведению конструкций. При этом строительная площадка превращается в монтажную , значительно сокращается трудоемкость бетонных и железобетонных работ, повышается их качество, а так же резко ускоряются темпы строительства и снижается его стоимость.

Сборные железобетонные конструкции и изделия создают широкие возможности для индустриализации строительства, они особенно выгодны при минимальном количестве типоразмеров элементов, повторяющихся много раз (унифицированных).

Железобетонные изделия и конструкции изготовляют как с обычной, так и с предварительно напряженной арматурой.

Применение железобетонных конструкций с предварительно напряженной арматурой позволяет снизить массу конструкций, повысить их трещиностойкость и долговечность, а также сократить расход стали. [1]

1.      Технологическая часть

.1 Аналитический обзор

Аэродромные плиты - это универсальный материал, который отлично подходит для быстрого и качественного строительства взлетно-посадочных полос аэродрома, площадок под склад, складских зданий, терминала, временных и постоянных дорог с высокими нагрузками. Благодаря соблюдению технологии по производству аэродромные плиты имеют длительный срок службы, способны сберечь все свои качества при температуре до - 600 градусов по Цельсию и вынести нагрузку в 75 тонн на метр квадратный.

Аэродромные железобетонные плиты ПАГ предназначены в первую очередь для устройства сборных аэродромных покрытий. Изначально аэродромные плиты в большинстве случаев использовались исключительно для обустройства военных объектов. Ну а сегодня они с тем же успехом применяются и в гражданском строительстве. Популярность аэродромных плит возрастает с каждым днем и на настоящий момент область их применения значительно расширилась. Достаточно часто их используют для строительства автобанов и дорог для автотехники высокой тоннажности. Также нередко такие плиты применяют и с целью обустройства складских промышленных помещений.

Аэродромные плиты отличаются от других плит способностью воспринимать, не разрушаясь, очень высокие нагрузки.

Изготовление изделий на заводах сборного железобетона может производиться по следующим схемам:

·        Поточной (агрегатно-поточной и конвейерной)

·        Стендовой (кассетной)

Агрегатно-поточный способ рекомендуется применять на заводах ЖБИ, имеющих широкую номенклатуру. Он позволяет на виброплощадке или формующем агрегате изготовлять изделия, с наличием свободного ритма в потоке, разных размеров, изменяя для этой цели формы частично или полностью.

Агрегатно-поточный способ изготовления конструкций характеризуется расчленением технологического процесса на отдельные операции или их группы; выполнением нескольких разнотипных операций на универсальных агрегатах; наличием свободного ритма в потоке; перемещением изделия от поста к посту; формы и изделия переходят от поста к посту с произвольным интервалом, зависящим от длительности операции на данном рабочем месте, которая может колебаться от нескольких минут (например, смазка форм) до нескольких часов (пост твердения отформованных изделий).

При агрегатно-поточном способе изделия формуют с помощью специальных машин на посту формования, а затем перемещают мостовым краном в камеры тепловой обработки. При окончании тепловой обработки изделия распалубливают, а форму готовят для последующего производства. После приёмки ОТК готовые изделия отправляют на склад.

Преимуществом этого способа является возможность изготовления изделий широкой номенклатуры (предпочтительно длинной до 12 м, шириной до 3 м и высотой до 1 м), достаточно полной механизации и частичной автоматизации процессов, осуществления чёткого пооперационного контроля. Кроме того, технологически линии с агрегатно-поточным способом производства обладают небольшим капиталовложением, по сравнению с другими способами, и ускоренными сроками строительства.

В состав технологических линий с агрегатно-поточным способом входят следующие основные агрегаты: формующая машина или бетоноукладчик с виброплощадкой, формоукладчик, установка для нагрева или механического натяжения арматуры, камера тепловой обработки, а так же посты распалубки, чистки и смазки форм, складирования полуфабриката, резервных форм и готовых изделий (в зимнее время), ремонта и доводки форм, стенд для испытания готовых изделий.

Достоинство поточно-агрегатного способа - более гибкая и маневренная технология в отношении использования технологического оборудования, возможность изготовления широкой номенклатуры изделий с меньшими капитальными затратами по сравнению с конвейерной технологией. По мимо этого поточно-агрегатная технология, основанная на применении передвижных агрегатов, позволяет формовать изделия за несколько проходов, что гарантирует высокое качество изделий сложной конфигурации и многослойных (стеновых панелей, кровли) и позволяет производить замену устаревшего оборудования без значительной переделки линии. Агрегатно-поточная технология особенно целесообразна при изготовлении различных по геометрической конфигурации элементов.

Конвейерный способ применяется для массового производства изделий одного, двух типоразмеров и характеризуется регламентируемым ритмом, высокой механизацией и автоматизацией. Недостатком этого способа является трудность перехода на изготовление другого вида изделия, т.к. всякий переход сопровождается заменой форм и бортоснастки, а также остановкой всей технологической линии на переналадку.

Этот способ характеризуется следующими признаками: максимальное расчленение технологического процесса на операции, выполняемые на отдельных рабочих постах, перемещение форм и изделий от поста к посту с регламентированным ритмом.

Передача изделий в процессе обработки производится конвейерным устройством пульсирующего действия, осуществляющегося автоматически; при этом создаются условия более полной синхронизации. Конвейерный метод организации производства характеризуется принудительным ритмом, т.е. перемещение формуемых изделий осуществляется в строгой последовательности через одни и те же формовочные посты, с определенной заданной скоростью передвижения. Это требует в качестве важнейшего условия комплексную механизацию операции с применением автоматического технологического оборудования.

В зависимости от вида устройства для тепловой обработки изделий конвейерные линии выполняются с камерами многоярусного, щелевого и ямного типов, а также с пакетирующими устройствами для бескамерной тепловой обработки изделий в термоформах. Линии также могут различаться в зависимости от формовочного оборудования. Как правило, каждая конвейерная линия специализируется на выпуске одного вида изделия.

Стендовый способ производства железобетонных изделий характеризуется следующими основными признаками: весь процесс производства осуществляется в неподвижных формах или на специальных стендах; изделия в процессе обработки остаются неподвижными, а рабочее и технологическое оборудование перемещается от одной формы к другой; за каждым стендом или формой закрепляется одно или несколько технологически однородных изделий.

По количеству закрепленных типоразмеров изделий стендовые установки делятся на специализированные (кассеты для изготовления лестничных маршей и площадок, стенды для производства подкрановых балок, полигональных ферм и т. д.) и универсальные (изготовление различных технологически однородных изделий).

Кассетный способ производства, являясь по существу стендовым методом, выделяется в самостоятельную группу. Суть этого способа заключается в том, что формование изделий происходит в вертикальном положении в стационарных разъемных групповых металлических формах-кассетах, в которых изделия находятся до приобретения бетоном заданной прочности. Рабочее звено, занятое в производстве изделия, перемещается от одной кассетной установки к другой, что при соответствующем числе форм позволяет осуществлять непрерывный производственный поток.

Кассетным способом изготовляют внутренние несущие стеновые панели, панели перекрытий, балконные плиты и другие железобетонные изделия, имеющие габариты, соответствующие размерам отсеков кассетных установок. [1]

Совершенствование технологии изготовления бетона и железобетона на современном этапе не представляется возможным без применения химических добавок. Вводимые в состав бетона добавки (массовая доля 0,01-3%) существенно изменяют свойства бетонной смеси, снижают ее способность к расслаиванию, обеспечивают необходимую скорость загустевания. Химические добавки могут ускорить твердение бетона в нормальных условиях и в процессе термообработки, обеспечить ему повышенную морозостойкость, водонепроницаемость, прочность, коррозийную стойкость. Их рациональное применение изменило технологию транспортирования и укладки бетонной смеси, сделало этот процесс механизированным и менее трудоемким, значительно сократило время набора технологической или отпускной прочности бетона и, следовательно, сократило срок изготовления конструкций, что, в конечном счете, позволило увеличить производительность технологической линии. Химические добавки дали возможность целенаправленно вести технологический процесс производства железобетонных конструкций для определенных условий эксплуатации с требуемой морозостойкостью, водонепроницаемостью и коррозионной стойкостью. Они обеспечивают возможность существенной экономии цемента.

Для производства аэродромных плит можно использовать такие добавки, как ЛСТМ-2, ПФМ-НЛК, Реламикс, «ШТАЙНБЕРГ PFM-ISO».

ЛСТМ-2 - лигносульфонаты технические модифицированные. Это отходы целлюлозно-бумажного производства. Действие пластифицирующих добавок связано, прежде всего, с диспергирующими и дефлокулирующими способностями этих добавок как поверхностно-активных веществ. Они предотвращают слипание отдельных частиц, несколько замедляют коагуляцию новообразований, при этом высвобождается некоторое количество воды, которое обычно поглощается цементными флоккулами и коагуляционными структурами. Добавки пластификаторов разжижают бетонные смеси, поэтому требуемая пластичность смеси достигается при меньшем расходе воды и цемента, чем без добавки

пластификатора.

Дозировка: 0,12% от массы цемента.

Снижает водопотребность на 8%.

ПФМ-НЛК- полифукциональная воздухововлекающая добавка-суперпластификатор на основе нафталинсульфоната, обеспечивающая стабильное повышение морозостойкости. Предназначен для использования в тяжёлых бетонах с целью получения бетона высокой морозостойкости из подвижных и литых смесей.

Техническое описание

Внешний вид

Порошок коричневого цвета

Жидкость темно-коричневого цвета

рН, не более

11

11

Массовая доля сухого вещества

-

≥30%

Плотность при 20 °С

≥90%

≥1,17 г/смі

Содержание хлоридов

≤0,1%

≤0,1%


Применение добавки «ПФМ-НЛК» в технологии бетона по сравнению с бетоном без добавок обеспечивает:

)        увеличение подвижности бетонной смеси от П1 до П5 без снижения прочности;

)        повышение морозостойкости бетона до марки F400 и более;

)        увеличение водонепроницаемости бетона до марки W 12 без увеличения расхода цемента;

)        увеличение водонепроницаемости бетона свыше марки W 12 при увеличении расхода цемента;

)        снижение количества воды затворения до 20 % (в равноподвижных смесях);

)        увеличение конечных прочностных характеристик бетона до 22% (в равноподвижных смесях);

)        снижение расхода цемента до 25 %;

)        возможность получения бетонов повышенных марок по прочности и морозостойкости на материалах различного качества.

Дозировка: 0,4 - 0,8% от массы цемента

Снижение водопотребности на 15%.

Реламикс - промышленная смесь роданида и тиосульфата натрия и полинафталинметиленсульфоната натрия. Содержит примеси сульфата натрия и смолистых веществ. Добавка Реламекс уплотняет структуру бетона и обеспечивает повышение его морозостойкости и водонепроницаемости, не оказывает коррозионного воздействия на арматуру.

Введение добавки «Реламикс» по сравнению с бетоном без добавки позволяет достичь следующих показателей:

• увеличить подвижность бетонной смеси от П1 до П5 с одновременным повышением прочности бетона в первые трое суток нормального твердения на 10-15%, в возрасте 28 суток - на 5 %;

• снизить количество воды затворения от 21% и более (в равноподвижных смесях);

• увеличить конечные прочностные характеристики бетона на 20% и более (в равноподвижных смесях);

• увеличить прочностные характеристики в возрасте 1 суток на 30% и более (в равноподвижных смесях);

• снизить расход цемента до 22 % (в равноподвижных смесях);

• получить бетоны с повышенной водонепроницаемостью, морозостойкостью (в равноподвижных смесях);

• в 1,5 - 1,6 раза увеличить сцепление бетона с закладной арматурой и металлоизделиями;

• сократить время и энергетические затраты на тепло-влажностную обработку бетона;

• значительно сократить время и энергетические затраты на вибрирование бетонной смеси, а в некоторых случаях полностью отказаться от него;

• увеличить оборачиваемость форм.

Дозировка: 0,8% от массы цемента

Снижение водопотребности на 20%

«ШТАЙНБЕРГ PFM-ISO» - комплексный продукт на основе полиметиленнафталинсульфонатов натрия, стабилизирующих веществ с гидрофобизирущими и воздухововлекающими компонентами, обеспечивающий повышенные требования по долговечности бетона. Отвечает требованиям ГОСТ 24211 «Добавки для бетонов и строительных растворов. Общие технические условия» по нормируемому воздухововлечению (2-6%), повышению морозостойкости и водонепроницаемости бетонов. Не содержит веществ вызывающих коррозию.

Характеристика:

Повышает пластичность бетонных смесей с марки по удобоукладываемости от П1 до П5 без снижения прочностных показателей; снижает водопотребность бетонных смесей до 25%. При водоредукции существенно повышает прочностные показатели.

Повышает марку бетона по морозостойкоски на 3 марки и более; по водонепроницаемости на 2 марки и более.

Обеспечивает в бетонных смесях воздухововлечение в пределах 2-6%.

Дополнительно обладает стабилизирующим действием (снижение расслоение бетонных смесей) и увеличивает сохраняемость подвижности бетонной смеси.

Дозировка 0,6 - 0,8% от массы цемента. [7]

При перемешивании бетонной смеси необходимо обеспечить сплошное обволакивание цементным тестом поверхности зерен заполнителя и равномерное распределение раствора в массе крупного заполнителя. В зависимости от вида заполнителей и бетона и характера приготовления применяют различные способы перемешивания составляющих. Перемешивание со свободным падением материалов происходит в медленно вращающихся, чаще всего наклоняющихся смесительных барабанах, на стенках которых изнутри имеются изогнутые лопасти. Перемешивание со свободным падением применяют для подвижных смесей с крупным заполнителем плотных пород. Этот простой и экономичный способ, однако, для жестких бетонных смесей непригоден, так как не обеспечивает достаточной однородности смеси даже при увеличении продолжительности перемешивания. Перемешивание в смесителях принудительного действия осуществляется с помощью вращающихся лопастей, насаженных на горизонтальные или вертикальные валы. В этих случаях перемешивание материалов происходит по более сложным траекториям, что повышает однородность бетона.

Смесители бывают цикличного и непрерывного действия. К первым относят противоточные лопастные смесители, а ко вторым - одно- и двухвальные смесители. Эффективно применение турбулентных смесителей с неподвижной чашей лопастями, вращающимися на осевом валу, а также смесителей с барабаном, вращающимся на центральном валу, и лопастями, вращающимися в барабане вокруг своих осей.

Необходимой частью заводов сборного железобетона являются склады заполнителей и цемента.

Склады заполнителей классифицируются по способу выгрузки материалов, по конструкции систем загрузки, по способу хранения и по типу емкости.

По способу загрузки материалов из транспортных средств подразделяется на выгрузку материалов под действием гравитационных сил (саморазгрузка) и принудительной выгрузки при применении машин сталкивающего типа и черпающего действия.

По конструкции систем загрузки и емкостей хранения различают склады с приемными устройствами и комплексом машин для штабелирования материалов и без приемных средств с непосредственной передачей материала из транспортных средств в емкости для хранения материала с применением комплекта машин, выполняющих операции выгрузки и штабелирования.

По способу хранения подразделяются на открытые, закрытые и полузакрытые.

По типу емкостей подразделяются на бункерные, полубункерные, силосные и эстакадно-траншейные.

Бункерные или силосные - склады заполнителей закрытого типа. Они состоят из многоугольных или круглых стальных или железобетонных банок диаметром 5-10 м. такие склады загружают вертикальным многоковшовым элеватором и распределительным конвейером. Выгрузка заполнителей на ленточный конвейер осуществляется с помощью вибратора, расположенного под днищем силоса.

Полубункерные склады ограничиваются с двух сторон стенками.

Эстакадными складами называются склады с размещенными вдоль них специальных эстакад, оборудованных сбрасывающими тележками для разгрузки материала в любом месте по длине склада. [1]

.2      Номенклатура продукции и исходные данные для проектирования

Предварительно напряженные железобетонные плиты ПАГ-14IV размером 6х2 м изготавливают из тяжелого бетона. Аэродромные плиты предназначены для устройства сборных аэродромных покрытий. Эти плиты широко применяются для устройства временных дорог, площадок под грузовой и крупнотоннажный автотранспорт, для строительства взлётно-посадочных полос, площадок аэродромов, автострад.

Аэродромные плиты отличаются высокой рабочей моментальной нагрузкой - 75 тонн на квадратный метр с расчётной температурой до -600С.

Плиты обозначаются марками по ГОСТ 23009-78. [2] Марка плиты состоит из буквенно-цифровых групп, разделенных дефисом. Первая группа содержит сокращенное буквенное наименование плиты - ПАГ (плита аэродромная гладкая). Во второй группе приводится толщина плиты в сантиметрах (14) и характеристика напрягаемой продольной арматуры: IV - для арматурной стали класса Ат IV. [2]

 

Рисунок 1 - Эскиз аэродромной плиты ПАГ-14IV

Наименование

Размеры, мм.

Объем изделия, м3

Класс бетона на растяжение при изгибе

Масса изделия, т.

Марка бетона

Класс бетона



L

b

h






1

ПАГ-14IV

6000

2000

140

1,68

Вbtb 3,6

4,2

М400

В30

 

Исходные данные:

·        Вид бетона и способ формования изделия: тяжелый бетон, уплотнение бетона производят на виброплощадке.

·        Класс бетона по прочности на сжатие В30, значение нормируемой отпускной прочности бетона должно быть не менее передаточной прочности и не менее 70% проектной марки бетона по прочности на сжатие.

·        Плотность бетона 2200-2500 кг/м3, марка бетона по морозостойкости F200, по водонепроницаемости W2.

·        Марка бетонной смеси по удобоукладываемости П2 (осадка конуса 5-9 см). [2]

.3      Характеристика исходных материалов

Цемент: ПЦ М400Д0 (ГОСТ 10178-85) [3]

нормальная густота цементного теста 25%;

истинная плотность - 3000 кг/м3;

насыпная плотность - 1100 кг/м3;

прочность в возрасте 28 суток (изгиб) - 6,8 ± 0,4 5,4;

прочность в возрасте 28 суток (сжатие) - 41,2 ± 2 39,2

тонкость помола, проход через сито 008,% - 90,0 ± 3,0 не менее 85

сроки схватывания, (час:мин) (начало) - не ранее 45 минут

сроки схватывания, (час:мин) (конец) - не позднее 10 часов

Минералогический состав:

Алит 3CaO∙SiO2 50,16%

Белит 2CaO∙SiO2 20,22%

Алюминатная фаза 3CaO∙Al2O3 8,93%

Алюмоферритная фаза 4CaOAl2O3∙Fe2O3 16,53%

Химический состав:

ппп

SiO2

Al2O3

Fe2O3

CaO

MgO

SO3

MnO

FeO

TiO2

0.97

20.86

4.24

3.9

62.42

4.09

2.33

0.01

0.15

0.96


Крупный заполнитель: Порфиритовый щебень (ГОСТ 8267-93) [4]

Насыпная плотность в сухом состоянии, кг/м3: 1320

Средняя плотность зерен, кг/м3: 2620

Марка по прочности, кгс/см2: 1000-1200

Марка по истираемости: И-1

Пустотность, %: 50

Содержание зерен лещадной и игловатой формы, %: 27

Содержание слабых зерен, %: 5-6

Морозостойкость, циклы: 300

Содержание пылевидных частиц, %: 1-1,2

Зерна щебня - угловатой формы и с более развитой, чем у гравия, шероховатой поверхностью. Благодаря этому сцепление с цементным камнем у щебня выше, чем у гравия. Наибольшая крупность заполнителя должна соответствовать размерам бетонируемой конструкции и расстоянию между стержнями арматуры. Чтобы заполнитель при бетонировании равномерно, без зависаний, распределялся в объеме конструкции, его наибольшую крупность назначают с учетом вида и размеров конструкции и густоты армирования. Содержание вредных примесей, а также глинистых, илистых и пылевидных частиц в крупных заполнителях ограничивают так же, как и в песке. Щебень применяют фракционированным. Обычно используют 2...3 фракции. Зерновой состав каждой фракции заполнителя или смеси фракций назначают таким, чтобы обеспечить минимальный расход цемента в бетоне.

Прочность крупного заполнителя нормируют с учетом прочности бетона. Марка щебня из естественного камня должна превышать прочность бетона не менее чем в 1.5...2 раза.

Мелкий заполнитель: Песок речной (ГОСТ 8736-93)[5]

Плотность, кг/м3: 2700

Насыпная плотность, кг/м3: 1500

Модуль крупности: 2,2

В качестве мелкого заполнителя принимается речной песок. Он практически лишен примесей, в частности, глинистых частиц и некрупных камешков. Благодаря однородной структуре этого материала, он не требует дополнительной очистки, что делает его применение экономически выгодным. Достоинством речного песка является и высокая пропускная способность жидкостей, в особенности воды. Его применение при изготовлении железобетонных конструкций гарантирует изделиям прочность и долговечность.

Зерновой состав:

Группа песка

Полный остаток на сите с размером отверстий 0,63 мм, % по массе

Модуль крупности

Повышенной крупности

Более 65 до 75

Более 3,0 до 3,5

Крупный

Более 45 до 65

Более 2,5 до 3,0

Средний

Более 30 до 50

Более 2,0 до 2,5

Мелкий

Более 10 до 30

Более 1,5 до 2,0

Очень мелкий

До 10

Более 1,0 до 1,5


Вода (ГОСТ 23732-2011)[6]

Для приготовления бетонной смеси используют водопроводную питьевую воду, а также любую воду, имеющую водородный показатель рН не менее 4, т.е. не кислую, не окрашивающую лакмусовую бумагу в красный цвет; вода не должна содержать сульфатов более 600 мг/л (в пересчете на SO4) и всех солей - более 2000 мг/л. Содержание в воде органических поверхностно-активных веществ, сахаров или фенолов, каждого, не должно быть более 10 мг/л. Вода не должна содержать пленки нефтепродуктов, жиров и масел.

Добавка ПФМ-НЛК ТУ 5745-022-58042865-2007 [7]

ПФМ-НЛК - полифукциональная воздухововлекающая добавка-суперпластификатор на основе нафталинсульфоната, обеспечивающая стабильное повышение морозостойкости. Предназначен для использования в тяжёлых бетонах с целью получения бетона высокой морозостойкости из подвижных и литых смесей.

Техническое описание

Внешний вид

Порошок коричневого цвета

Жидкость темно-коричневого цвета

рН, не более

11

11

Массовая доля сухого вещества

-

≥30%

Плотность при 20 °С

≥90%

≥1,17 г/смі

Содержание хлоридов

≤0,1%

≤0,1%


Применение добавки «ПФМ-НЛК» в технологии бетона по сравнению с бетоном без добавок обеспечивает:

)        увеличение подвижности бетонной смеси от П1 до П5 без снижения прочности;

)        повышение морозостойкости бетона до марки F400 и более;

)        увеличение водонепроницаемости бетона до марки W 12 без увеличения расхода цемента;

)        увеличение водонепроницаемости бетона свыше марки W 12 при увеличении расхода цемента;

)        снижение количества воды затворения до 20 % (в равноподвижных смесях);

)        увеличение конечных прочностных характеристик бетона до 22% (в равноподвижных смесях);

)        снижение расхода цемента до 25 %;

)        возможность получения бетонов повышенных марок по прочности и морозостойкости на материалах различного качества.

Дозировка: 0,4 - 0,8% от массы цемента

 Снижение водопотребности на 15%.

Дозирование и хранение добавки «ПФМ-НЛК»:

. Рекомендуемый диапазон дозировок добавки «ПФМ-НЛК» составляет 0,4 - 0,8%, при использовании в качестве водоредуцирующей добавки 0,7-0,8% в пересчете на сухое вещество.

. Дозирование добавки должно осуществляться с точностью ±2% от расчетного количества. При длительном хранении а так же при использовании больших объемов добавки емкости с раствором рекомендуется периодически барботировать сжатым воздухом.

. Введение добавки «ПФМ НЛК» в жидком виде в состав бетонной смеси возможно производить: - вместе с расчетным (на замес) количеством воды затворения; - в предварительно перемешанную бетонную смесь с частью (10-20%) воды затворения незадолго до окончания перемешивания. Этот способ позволяет получить больший пластифицирующий эффект; - дробно при обеспечении строгого контроля за количеством вводимой добавки на месте укладки. Такой способ позволяет увеличить время сохранения подвижности бетонной смеси.

. Возможно введение добавки «ПФМ-НЛК» в состав бетонной смеси в порошкообразном виде, которое осуществляется совместно с сухими составляющими при условии их тщательного совместного перемешивания.

. При производстве бетонной смеси следует обеспечивать равномерность распределения добавки в соответствии с нормативными требованиями.

. Добавка «ПФМ-НЛК» в форме водного раствора должна храниться в закрытых емкостях при температуре не ниже плюс 10 °С. При случайном охлаждении (замерзании) добавка не снижает своих качественных показателей, перед применением водный раствор должен быть отогрет до температуры выше плюс 10 °С, тщательно перемешан до полного растворения осадка и усреднен. Добавка в форме порошка должна храниться в неповрежденной упаковке изготовителя на поддонах в закрытых складских помещениях.

. Гарантийный срок хранения добавки «ПФМ-НЛК» в сухом и жидком виде - в течение 1 года от даты изготовления. Качество добавки гарантируется при соблюдении всех требований, изложенных в п.8.6.

. По истечении гарантийного срока добавка «ПФМ-НЛК» должна быть испытана по всем нормируемым показателям качества и, в случае соответствия требованиям действующих ТУ, может быть использована в производстве.

Требование безопасности при работе с добавками «ПФМ-НЛК»:

. Добавка «ПФМ-НЛК» является веществом умеренно опасным и относится к 3-му классу опасности по ГОСТ 12.1.007. Добавка не образует токсичных соединений в воздушной среде и сточных водах. Введение добавки в бетонную смесь не изменяет токсиколого-гигиенических характеристик бетона. Затвердевший бетон с добавкой в воздушную среду токсичных веществ не выделяет.

. В отделениях приготовления растворов добавки «ПФМ-НЛК» и бетонных смесей необходимо предусматривать приточно-вытяжную вентиляцию.

. Добавка в форме порошка - вещество горючее (температура самовоспламенения аэровзвеси 615єС). В помещении, где проводятся работы с порошкообразной добавкой «ПФМ-НЛК», не рекомендуется пользоваться открытым огнем и производить электросварочные работы.

. Добавка «ПФМ НЛК» оказывает раздражающее действие на слизистые оболочки органов зрения, дыхания и незащищенную кожу. При работе с добавкой следует применять средства индивидуальной защиты по ГОСТ 12.4.103 и ГОСТ 12.4.011. Рабочие, занятые приготовлением растворов добавки, должны быть обеспечены в зависимости от характера выполняемой работы специальной одеждой, обувью и средствами защиты рук, органов зрения и дыхания.

. При применении добавки в технологии бетона следует выполнять требования СНиП III-4-80, СНиП 12-03-99, ГОСТ 24211. [7]

Арматура

Плиты аэродромные ПАГ-14IV армируются стержневой арматурной сталью класса Ат IV диаметром 14 мм. Метод натяжения рабочей арматуры - электротермический.

Верхние и нижние каркасы изготавливаются из арматуры класса АIII, ВрI, A-I.

Защитный слой бетона до верхней и нижней арматуры - 32 мм, для стержней сетки С1 - 23 мм, для стержней сетки С2 - 27 мм. [2]

Рисунок 2-Армирование плиты

.4      Расчет состава бетона по методике СНиП 3.06.04-91

Базовый состав:

Цемент:

·        ПЦ 400

·        Нормальная густота цементного теста 0,25

·        Плотность 3070 кг/м3

Щебень:

·        Наибольшая крупность 20 мм

·        Насыпная плотность 1320 кг/м3

·        Истинная плотность 2620 кг/м3

Речной песок:

·        Модуль крупности 2,2

·        Плотность 2700 кг/м3

Вода: ГОСТ 23732-79 «Вода для бетонов и растворов. Технические условия»

)        Определение цементно-водного отношения

Находим прочность бетона

Rб =В/ (1-1,64V) 0,098= 25/ (1-1,64∙0,135)0,098=328, 95 кгс/см2; (1.4.1)

где Rб - марка бетона;

V-коэффициент вариации, для тяжелого бетона равен 13,5%;

В - класс бетона по прочности на сжатие.

Ц/В = 328,95/0,6∙400 + 0,5 = 1,87 (1.4.2)

)        Расход воды 200 - 5 - 2 = 193 л/м3

)        Определение расхода цемента

 Ц = В∙Ц/В (1.4.3)

Где Ц - расход цемента, кг/м3;

В - расход воды, л;

Ц/В - цементно-водное отношение.

Ц = 193∙1,87 = 361 кг/м3

)        Определение расхода заполнителей

·        Щебень

 (1.4.4)

Где Щ - расход щебня, кг/м3;

n - пустотность щебня;

б - коэффициент раздвижки;

снщ - насыпная плотность щебня, кг/м3;

сщ - истинная плотность щебня, кг/м3.

П = 1 -  (1.4.5)

П = 1 - 1300/2620 = 0,5

Щ = 1000/(0,5∙1,42/1,32+1/2,62)=1085 кг/м3

·        Песок

П =(1000 - Ц/pц - В - Ш/pш)pп

Где П - расход песка, кг/м3;

Ц - расход цемента, кг/м3;

В - расход воды, л/м3;

Щ - расход щебня, кг/м3;

 - истинная плотность цемента, г/см2;

pш - истинная плотность щебня, г/см2.

pп - истинная плотность песка, г/см2

П = (1000 -117,59-193-414,13 ) ∙ 2,7 = 743 кг/м3

)        Плотность бетонной смеси

сб.см = Ц+П+Щ+В (1.4.6)

Где Ц - расход цемента, кг/м3;

П - расход песка, кг/м3;

Щ - расход щебня, кг/м3;

В - расход воды, л/м3.

сб.см = 361+743+1085+193 = 2388 кг/м3

Состав бетона с добавкой ПФМ-НЛК (суперпластификатор)

Цемент:

·        ПЦ 400

·        Нормальная густота цементного теста 0,25

·        Плотность 3070 кг/м3

Щебень:

·        Наибольшая крупность 20 мм

·        Насыпная плотность 1320 кг/м3

·        Истинная плотность 2620 кг/м3

Речной песок:

·        Модуль крупности 2,2

·        Плотность 2700 кг/м3

Вода: ГОСТ 23732-79 «Вода для бетонов и растворов. Технические условия»

Добавка ПФМ - НЛК. Дозировка-0,6% от массы цемента.

)        Определение цементно-водного отношения

Ц/В = 328,95/0,6∙400 + 0,5 = 1,87

)        Определение расхода воды

В = k∙В = 0,85∙193=164 л/м3

)        Определение расхода цемента согласно формуле 1.4.3

Ц = 164∙1,87 = 307 кг/м3

 Д=1,9 кг/м3

)        Определение расхода заполнителей согласно формулам 1.4.4 и 1.4.5

·        Щебень

Щ =1000/(0,5∙1,32/1,32+1/2,62)=1134 кг/м3

·        Песок

П =(1000 -100-164-433) ∙ 2,7=818 кг/м

сб.см = 307+164+1134+818 = 2423 кг/м3

.5      Расчет производственной программы бетоносмесительного цеха и потребности в сырье

Таблица 1 - Состав бетонной смеси

Вид смеси

Класс бетона по прочности

Марка по удобо-укладываемости

Расход материалов на 1 м3,кг

Плотность бетонной смеси, кг/м3




Цемент

Вода

Добавка

Щебень

Песок








5-20



БСГТ

В25

 П2

307

164

1,9

1134

818

2423


В соответствие с ОНТП 07-85 «Общесоюзные нормы технологического проектирования предприятий сборного железобетона» режим работы цеха:

·        номинальное количество рабочих суток в году - 260,

·        количество рабочих смен в сутки - 2,

·        продолжительность рабочей смены - 8 ч.

Таблица 2 - Производственная программа бетоносмесительного цеха

Вид смеси

Класс бетона по прочности

Программа выпуска, м3



В год

В сутки

В смену

В час

БСГТ

В25

51100

196,54

98,27

12,28


Годовая производительность бетоносмесительного цеха:

 (1.5.1)

Где -годовая производительность формовочного цеха,м3/год

-коэффициент,учитывающий потери бетонной смеси при транспортировки и обьем некондиционных изделий,=1,022

В соответствии с РДС 82-202-96 нормы естественной убыли нерудных строительных материалов при транспортировании железнодорожным транспортом и хранении составляют: Щебень - 1,6%, песок - 2%, цемент - 1%, добавка - 1%, арматура - 2%

Результаты расчета сводятся в таблицу 3.

Таблица 3 - Потребность в материалах

Характеристика материалов

Потребность (числитель-без учета потерь, знаменатель-с учетом потерь)


на год

на сутки

на смену

на час

Вид

Марка

т

м3

т

м3

т

м3

т

м3

цемент

ПЦ400

Песок

Речной

Щебень

Порфиритовый

Добавка

ПФМ-НЛК





Вода






Арматура







.6      Обоснование технологической схемы и режимов производства

В настоящее время аэродромные плиты можно изготавливать следующими способами: агрегатно-поточным и конвейерным.

Для большинства изделий при невысокой производительности цехов наиболее рациональной является конвейерная технология с использованием вертикальной пропарочной камеры. По этому способу элементы изготовляют в формах, установленных на вагонетках и перемещаемых по рельсам конвейера от одного агрегата к другому. Все формы - вагонетки перемещаются в установленном принудительном ритме. Конвейерная технология с применением вертикальной камеры имеет ряд положительных особенностей: позволяет изготовлять широкую номенклатуру изделий с применением различных режимов тепловлажностной обработки; - имеется возможность применения различных теплоносителей (пара, электроэнергии, газа); - конструкция закрытых со всех сторон форм позволяет значительно уменьшить тепловое расширение бетона при прогреве и улучшить качество изделий, это позволяет применять сокращенные режимы тепловлажностной обработки изделий; - механизирует все трудоемкие операции и автоматизирует процессы производства; высокая оборачиваемость форм приводит к снижению относительной металлоемкости оборудования. При конвейерном способе крановые операции сведены к минимуму.

Агрегатно-поточный способ, несомненно так же, имеет ряд преимуществ: - требует меньших производственных площадей; - требуется меньше времени на строительство предприятия; - позволяет легко переходить на выпуск новой продукции. Достоинство поточно-агрегатного способа - более гибкая и маневренная технология в отношении использования технологического оборудования, возможность изготовления широкой номенклатуры изделий с меньшими капитальными затратами по сравнению с конвейерной технологией. Помимо этого поточно-агрегатная технология, основанная на применении передвижных агрегатов, позволяет формовать изделия за несколько проходов, что гарантирует высокое качество изделий сложной конфигурации и многослойных (стеновых панелей, кровли) и позволяет производить замену устаревшего оборудования без значительной переделки линии. Агрегатно-поточная технология особенно целесообразна при изготовлении различных по геометрической конфигурации элементов.




Для бесперебойной работы основных производственных цехов на заводе организовано складское хозяйство всех компонентов железобетонных изделий.

Заполнители поступают в приемное устройство железнодорожным транспортом. Выгрузка материалов в приемные бункера, которые расположены ниже уровня рельсового пути, из полувагонов-гондол производится под действием собственной массы материалов, а с платформ - отвалом стационарной разгрузочной машины Т-182А. Для механизации процесса очистки вагонов от остатков материалов после гравитационной выгрузки, закрытия люков и рыхления смерзшихся материалов под навесом приемного устройства установлены люковибраторы, люкоподъемники и бурофрезерный рыхлитель. Для перемещения вагонов в процессе работы разгрузчика Т-182А используют две лебедки: маневровую (тяговую) и лебедку обратного троса, располагаемые по обе стороны от приемных бункеров у железнодорожной колеи. Заполнитель храниться на складе бункерного типа. Выдача заполнителей производится гравитационно через течки, смонтированные в перекрытии подштабельной галереи, и лотковые виброзатворы-питатели. Попадающий на подштабельный горизонтальный конвейер заполнитель перемещается к наклонному ленточному конвейеру, которым доставляется в бетоносмесительный цех. Ленточным транспортером заполнители подаются через поворотную воронку в расходные бункера крупного и мелкого заполнителя. Для предотвращения переполнения в каждом расходном бункере установлены верхние и нижние ограничители уровня.

Из расходных бункеров инертные материалы поступают в автоматические весовые дозаторы и, через сборную воронку, подаются в бетоносмеситель.

Добавки поступают на склад автотранспортом в мешках. Они разгружаются и отправляются на склад добавки, откуда затем поступают электрокарами в машину для распаривания. Из машины для распаривания с помощью шнекового питателя добавки поступают в баки для хранения, где они хранятся в готовой концентрации, приготовленная добавка подается насосом в расходный бак, оборудованный дозатором, далее поступает в бетоносмеситель. Вода для приготовления бетонной смеси из резервуара для воды подается насосом в расходный бак для воды оборудованный дозатором, затем подается в бетоносмеситель.

Цемент поступает на завод железнодорожным транспортом. Специализированные вагоны бункерного типа разгружаются в приемный бункер и пневмоподъемником подают цемент, очищая воздух от влаги и масла в аэрожелоб и далее в силосы. Выдача цемента в расходные бункера цемента предусмотрена с помощью донных пневморазгружателей. Перемещение цемента в расходные бункера бетоносмесительного отделения осуществляется с помощью пневмовинтового насоса. Для предотвращения переполнения в каждом силосе установлены указатели уровня. Очищение запыленного воздуха производят в циклонах и фильтрах с помощью вентилятора очищенный воздух уходит в атмосферу.

Арматурные изделия производятся с максимальной заводской готовностью в арматурном цехе. Стержневая арматура и арматура в бухтах поступает на склад автотранспортом. Арматура правится и режется в станке PSC-812 SQ, сварка каркасов и сеток производится на машинах одно и многоточечной сварки, резка стержневой арматуры на станке для резки, остатки стержневой арматуры свариваются на станке для контактной сварки, монтажные петли изготавливаются на гибочном станке. Арматурный блок собирается на поворотном кондукторе, оборудованном подвесными клещами. Готовый блок устанавливается в отсеки кассеты.

Приготовление бетонной смеси на заводе производится в БСУ. Прием материалов со склада и распределение по бункерам осуществляется в верхнем надбункерном этаже. Здесь размещаются приводы ленточных транспортеров, а также распределительные устройства - поворотная воронка, циклоны, матерчатые фильтры и шнеки для распределения цемента. Цемент, отделенный от воздуха поступает в расходные бункера цемента. Течки бункеров заполнителей оборудованы секторными питателями, течки бункеров цемента шнековыми питателями. Под каждой течкой располагается дозатор, соответствующий данному материалу. В смесителях принудительного действия происходит перемешивание бетонной смеси. Готовая смесь через воронку выдачи бетонной смеси подается бетононасосом через бетоноукладчик в форму.

В подготовленную форму с открытыми бортами укладывают две нижние сетки С-1, среднюю нижнюю сетку С-2 укладывают на поддон между сетками С-1. Производят установку в упоры форм предварительно-напрягаемых стержней. Натяжение стержней осуществляется электротермическим способом. Сущность электротермического способа натяжения арматурной стержней заключается в том, что арматурные стержни, нагретые электрическим током до требуемого удлинения на установке СМЖ-129Б, фиксируются в таком состоянии в жестких упорах формы, которые препятствуют укорочению их при остывании. Благодаря этому в арматурных стержнях возникает заданное напряжение. Перед укладкой стержней на контакты установки на оба конца стержней нанизывают спирали. Нагрев стержней осуществляется до температуры 400-4500С. На верхние предварительно напряженные стержни укладывают по торцам сетки С-1, между ними сетку С-2. Нижние и верхние сетки С-1 крепят между собой скобами К-1.

 Заливается бетонная смесь и проводится виброуплотнение на виброплощадке СМЖ-200В. Затем изделие, с помощью мостового крана, поступает в ямную камеру для тепловлажностной обработки. Проводится тепловлажностная обработка по заданному режиму. Готовые изделия распалубливаются и отправляются на склад готовой продукции.

Согласно СНиП 3.09.01-85. Производство сборных железобетонных конструкций и изделий, режимы тепловой обработки следует назначать путем установления оптимальной длительности и температурно-влажностных параметров отдельных его периодов: предварительного выдерживания, подъема температуры, изотермического прогрева (в том числе термосного выдерживания) и остывания с использованием, как правило, систем автоматического управления параметрами.

В курсовом проекте принимается режим тепловой обработки с завода ЖБИ500:

·        предварительная выдержка - 2ч;

·        подъем температуры до 800С - 3ч;

·        изотермическая выдержка при 800С - 5ч;

·        остывание изделий до 400С - 2ч.

Рисунок 3 - Режим ТВО

.7      Технологические расчеты

1.7.1 Определение параметров и выбор основного оборудования формовочного цеха

) Ритм работы технологической линии, исходя из заданной производительности цеха:


Где - расчетное количество рабочих суток в году;

- количество рабочих смен в сутки;

- продолжительность рабочей смены в часах;

- годовая производительность;

- объем изделия.

Максимальная продолжительность ритма работы технологической линии определяется по ОНТП-07-85.

Условие  выполняется. Следовательно, число формовочных постов (количество технологических линий), необходимое для выполнения годовой программы цеха определяется по формуле:


В пролете 1 технологическая линия, оснащенная 2 формовочными постами.

Ритм потока  составляет


Темп потока  составит  формовок в час

2) Согласно норм технического проектирования выбираем режим работы предприятия:

количество рабочих дней в году: с=260 дня.

количество смен - 2 смены;

количество рабочих часов в сутки: h=2*8=16 часов;

расчетный цикл 18 минут

) Определяем производительность технологической линии


Где h-количество рабочих часов в сутке;

С-количество рабочих дней в году;

V- обьем одного изделия.

)Определяем количество технологических линий:

5)Определим размеры ямной пропарочной камеры

Длина камеры составляет

где

- длина одного изделия, м;- количество изделий укладываемых по длине камеры, шт.;- расстояние между изделиями, изделием и стенкой камеры с учетом размера формы.

Lk = 2*6+(2+1)1=15 м.

Ширина камеры составляет

где

- ширина одного изделия, м;- количество изделий укладываемых по ширине, шт.;- расстояние между изделиями, изделием и стенкой камеры с учетом размера формы, B1=0,35…0,40 м.

Bk = 1*2+(1+1)0,35=2,7 м.

Глубина камеры равна

где

высота одного изделия, м;-расстояние между отдельными изделиями по высоте, м, с учетом размера форм. H1 принимается равным не менее 0,03 м;- расстояние между нижней формой и дном камеры, H2=0,15 м;-расстояние между верхним изделием и крышкой камеры, H3>0,05 м.

Hk = 3*0,14+(5+1)0,03+0,15+0,05=0,8 м

6)Принимаем отдельную пропарочную камеру на 6 форм. Внутренние геометрические параметры камеры составят

Число пропарочных камер можно определить по формуле


где  - длительность одного цикла работы ямной камеры, ч.

Длительность одного цикла работы ямной камеры определяем по формуле


где  - цикл тепловлажностной обработки, ч;

 - средние потери времени, ч.

Длительность цикла рабочей камеры  составит

Число ямных камер

Принимаем 12 камер.

.7.2   Определение параметров и выбор основного оборудования бетоносмесительного цеха

Расчет бетоносмесительного цеха

Производительность бетоносмесителя:


где -объём смесительного барабана по загрузке, л;

-число замесов в час (n=22);

-коэффицмент выхода бетонной смеси;

-коэффициент использования оборудования в час.

Количество необходимых смесителей:


где - коэффициент резерва производства;

-расчетное количество рабочих суток в году;

-количество рабочих часов в сутки;

-коэффициетнт,учитывающий неравномерность потребления и выдачи бетонной смеси;

-коэффициент использования оборудования в смену;

-производительность бетоносмесителя, м3/ч.

Принимаем 3 цикличных бетоносмесителя принудительного действия СБ-146.

Масса, кг

2750

Высота, мм

1750

Ширина, мм

2326

Длина, мм

2500


Расчет расходных бункеров:

Определим вместимость расходных бункеров


Где -часовая потребность в материале, кг;

-норма запаса в расходных емкостях, ч;

-коэффициент заполнения емкостей.

Вместимость бункера песка:

Вместимость бункера щебня:

 Принимаем конструктивно 2 бункера по 17,4 м3.

Вместимость бункера цемента:

Вместимость одного отсека бункера:



Где -вместимость расходного бункера

Вместимость одного отсека бункера цемента:

Вместимость одного отсека бункера щебня:

Вместимость одного отсека бункера песка:

Определяем размеры расходного бункера.


H, А, В, L, b- размеры бункера, м.

Расходный бункер для щебня:

Примем А=1,75 м; В=3 м; b=350 мм.

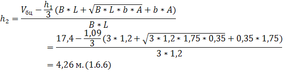
Задавшись величиной L=1,2 м определим высоту конуса() и призматической() части бункера:


Где  - наименьший угол наклона днища бункера.


Н=1,09+4,26=5,4м.

Вместимость бункера цемента и песка принимаем конструктивно равную общей высоте бункера щебня 5,4 м.

Вместимость бака воды с добавкой расчитываем по формуле 1.6.3:

Высота бака воды с добавкой:

Примем диаметр бака 2 м.


Высота и диаметр бака: h=2м , d=2м

Выбор дозаторов:

Коэффициент выхода бетона


Масса на 1 замес Щ=Щ(на 1 м3)=1134*0,75*0,6=510,3 кг.

П=818*0,75*0,6=368,1 кг.

Ц=307*0,75*0,6=138,2 кг.

В=164*0,75*0,6=73,8

Д=1,9*0,75*0,6=0,86

Объём бака для воды с добавкой равен 6,4 м3,диаметр бака 2, высота бака 2 м.

Таблица 4-Дозаторы


Цемент

Песок

Щебень

Вода

Индекс

АВДЦ-1200М

6.000 АД-800 БП

6.013 АД-800-2 БЩ.

6.006 АД-200-2БЖ

Интервал

100-300

200-800

200-800

40-200

Вместимость бункера, м3

0,36

0,78

0,81

0,3

Цикл дозирования, с.

90

30

45

30

Класс точности

2

2

2

1

Погрешность дозирования,%

2

2

2

1

Давление в певмоносители, МПа

0,5-0,6

0,4-0,6

0,4-0,6

0,4-0,6

Габаритные размеры(длина, ширина, высота) м.

1,81 0,962,15

1,71 1,04 2,89

2,15 1,28 2,51

1,65 1,16 2,35

Масса, кг.

505

555

670

475


Таблица 5-Дозатор добавки

Класс точности по ГОСТ 10223-97

0,2

Скорость дозирования по муке, min, г/сек

1,5

Наибольший предел дозирования (НПД), кг

10

Масса, не более, кг

100

Питание электрическое

380/220/50Гц/0,5кВа

Диапазон рабочих температур

-30…+40


1.7.3 Расчет складов вяжущих, заполнителей и химических добавок

Склад цемента

Вместимость склада цемента, т:


где Пгод - годовая производительность предприятия, мЗ;

Ц - усредненный расход цемента, т/мЗ;

Тц - запас цемента на складе при поступлении, рабочие сутки ;

С - номинальное количество рабочих суток в году по выгрузке цемента с железнодорожного транспорта. С = 365;

,02 - коэффициент, учитывающий потери цемента при разгрузке и

транспортных операциях;

,9 - коэффициент заполнения силоса.

По результатам расчета необходимой вместимости склада принимаем прирельсовый силосный склад, вместимостью 480 т. Техническая характеристика склада приведена в таблице 7.

Таблица 6 - склад цемента

Показатели

Вместимость, т

480

Количество силосов, шт

4

Годовой грузооборот, тыс. т/год

24,5


 Склад заполнителей:

Вместимость склада заполнителей, т:


где Пгод - годовая производительность предприятия, м3;

Кр, П - усредненный расход крупного и мелкого заполнителя на 1 м3 бетона, м3;

Тз - запас заполнителя на складе при поступлении, расчетные рабочие сутки ;

,02 - коэффициент, учитывающий потери при разгрузке и транспортных операциях;

,2 - коэффициент разрыхления;

Отдельно вместимость песка:

Отдельно вместимость щебня:

Объем бункера:

V=a∙b∙h=21,6

Количество бункеров щебня: 8 шт.

Количество бункеров песка: 5 шт.

По результатам расчета необходимой вместимости склада принимается типовой проект 409-29-40. Техническая характеристика склада приведена в таблице 8.

Таблица 7-Склад заполнителей

Показатели

Индекс склада


409-29-40

Вместимость, м3

2000

Годовой грузооборот, тыс. м3

114

Число рабочих

6

Установленная мощность, кВт

466

Площадь застройки (длина х ширину), м2

46х11



Склад химических добавок

Добавка приходит на склад в мешках по 40 кг. На 30 суток необходимо 293 мешка. Добавка хранится на 20 поддонах по 15 мешков. Площадь склада добавки составляет 324 м2.Склад добавки представляет собой квадратное здание со стенами по 18 м.

.7.4   Расчет арматурного склада и склада готовой продукции

Арматурный склад:

Площадь для складирования арматуры:


Где -суточная потребность с учетом потерь, т;

-запас арматурной стали, сут;

-коэффициент использования площади склада;

-масса стали, размещаемой на 1 м2 склада, т.

Часовая потребность в комплектах арматурных элементов определяется по формуле:

Пчгр·V

Где, Пг - годовой объем выпуска изделий, м3/год;

Вр - расчетный фонд рабочего времени, ч;

V - объем базового изделия, м3.

Пч=51100 /4160·1,68=7,32 м3

Склад готовой продукции:

Расчет площади склада готовой продукции:


Где -количество изделий поступающих в сутки, м3;

-запас готовых изделий на складе, сут;

-коэффициент использования площади склада;

-коэффициент, учитывающий проезды и площадь под путями кранов, тележек, площади под проезд автомашин и под железнодорожные пути в зависимости от типа крана.

Складирование арматуры производиться на складе готовой продукции ближе к арматурному цеху, поэтому увеличиваем площадь склада готовой продукции на 220 м2. Площадь склада готовой продукции равна 2349,2 м2.Склад по ширине имеет 1 пролет по 24 м., длина склада составляет 102 м., т.е. 17 пролета по 6 м.

.7.5 Выбор основного оборудования

Компоновка оборудования и рабочих зон производится так, чтобы избежать пересечения технологических потоков, грузопотоков, людских потоков и чтобы создать кратчайшее расстояние движения полуфабрикатов и изделий от поста к посту. Компоновка оборудования в цехе производится исходя из максимальной экономии площадей, нормальных условий работы и допустимых проходов людей и проездов транспортного оборудования.

Таблица 8- Ведомость оборудования

Наименование, тип

Количество

Масса

Установленная мощность, кВт



Единицы,т

Общая,т


Бетоноукладчик СМЖ-166А

2

14,5

43,5

30

Виброплощадка СМЖ-200В

2

6,6

13,6

88

Установка для эл. нагрева стержней СМЖ-129А

2

0,43

0,86

40

Машина контактной сварки E4644 (N4606)

3

0,13

0,39

80

Станок правильно отрезной SGT5-12

2

0,25

0,5

5,5

Машина многоточечной сварки серии SA-DD

3

3,3

9,9

200

Бетоносмеситель СВ - 146

 3

2,75

8,25

22


.7.6 Ведомость площадей технологических постов

Таблица 9-Ведомость площадей технологических постов

Технологический передел

Наименование поста

Площадь поста, м2

Формовочный цех

Пост распалубки, чистки, смазки



Пост формования



Пост предварительной выдержки



Пост ТВО


Склад готовой продукции


2349,2

Бетоносмесительный узел


72

Склад заполнителей


506

Склад добавки


324

Склад цемента


625


Итого:



.7.7 Ведомость рабочих цеха

Таблица 10 - Ведомость рабочих цеха

Наименование цеха

Профессия (должность)

Разряд

Количество смен

Число рабочих





в смену

всего

БСУ

Оператор пульта

4

2

1

2


Оператор смесителя

4

2

1

2

Формовочный цех

Формовщик железобетонных изделий и конструкций

4

2

1

2


Формовщик железобетонных изделий и конструкций

2

2

3

6


Машинист крана

4

2

2

4

Арматурный цех

Арматурщик

4

1

1

1


Арматурщик

3

1

2

2


Арматурщик

2

1

4

4


1.8 Контроль качества бетона

Таблица 11 - Карта контроля

Технологическая операция (объект контроля)

Контролируемые параметры

Способ и средства контроля

Периодичность контроля

Исполнитель

Входной контроль

Цемент

Вид, марка, наличие паспорта, объем партии Активность, сроки схватывания, НГ, плотность

По документам  Испытание в бетоне ГОСТ 310.2, ГОСТ 310.3., ГОСТ 310.4

Каждая партия  Каждая партия

Отдел снабжения  Лаборант

Заполнители

Вид, марка, наличие паспорта, объем партии Зерновой состав Дробимость щебня Влажность

По документам  ГОСТ 8269, ГОСТ 8735 ГОСТ 8269 ГОСТ 8269, ГОСТ 8735

Каждая партия  Каждая партия Каждая партия Два раза в смену после выпадения осадков

Отдел снабжения  Лаборант Лаборант Лаборант

Сталь арматурная и для закладных деталей

Вид, класс, марка, наличие сертификатов, объем партии

По сопровождающим документам ГОСТ 12004

Каждая партия

Отдел снабжения, лаборант

Операционный контроль

Обрезка арматуры

Передаточная прочность  Качество обрезки стержней

Испытание контрольных образцов ГОСТ 10180 Визуальный осмотр, линейка

Раз в смену партией  Каждое изделие

Лаборант  ОТК

Натяжение арматуры

Сила натяжения

Показания монометра

Каждое изделие

ОТК

Чистка, смазка формы

Качество очистки и смазки Качество эмульсии

Визуальный осмотр Испытание пробы

Раз в смену выборочно Раз в смену

Мастер цеха Лаборант

Армирование

Толщина защитного слоя Правильность установки каркаса и закладных деталей

Визуально Контрольный замер Визуально

Каждая форма Два раза в смену по одной форме Постоянно, по каждой форме

Бетонщик ОТК Бетонщик




Два раза в смену по одной форме

ОТК

Укладка и уплотнение смеси

Удобоукладываемость бетонной смеси Равномерность укладки Время уплотнения  Средняя плотность бетонной смеси сфакт Коэффициент уплотнения Прочность бетон

ГОСТ 10181  Толщина слоя, замер линейкой Секундомер  ГОСТ 10181 Купл = сфакт /стеор ГОСТ 10180, изготовление контрольных образцов

Два раза в смену по одной пробе  Постоянно по каждой форме Раз в смену по одной форме  Постоянно по каждой форме Раз в смену по одной формовке  Раз в смену по одной формовке Раз в смену из партии

Лаборант  Бетонщик Мастер цеха  Бетонщик Лаборант  Лаборант  Лаборант

Тепловая обработка

Соблюдение заданного режима тепловлажностной обработки  Работа систем пароснабжения и автоматики

Приборы автоматического регулирования Осмотр и наблюдение

Постоянно каждая камера  Раз в смену каждая камера

Лаборант   Мастер цеха, инженер КИП

Подготовка к сдаче продукции

Внешний вид изделий Наличие дефектов Правильность укладки изделий Качество маркировки изделий

Визуально  Визуально Рулетка, схема размещения Визуально

Каждое изделие  Каждое изделие  Два раза в смену Постоянно каждое изделие

ОТК ОТК Мастер цеха ОТК

Приемочный контроль

Прием изделий ОТК

Отпускная прочность бетона

Испытание контрольных образцов, ГОСТ 10180, ГОСТ 18105

Раз в смену партия

Лаборатория


Прочность бетона в проектном возрасте  Морозостойкость   Геометрические размеры изделия  Разность длин диагоналей, неплоскостность Чистота поверхности  Расположение и номинальные размеры закладных деталей

Испытание контрольных образцов, ГОСТ 10180, ГОСТ 18105  Испытание контрольных образцов по ГОСТ 10060 ГОСТ 13015.1  ГОСТ 13015.1  ГОСТ 13015.1  ГОСТ 13015.1

Раз в смену партия   Раз в 6 месяцев партия  Выборочно, 10 % от партии, но не менее 3 изделий Выборочно, 10 % от партии, но не менее 3 изделий Выборочно, 10 % от партии, но не менее 3 изделий Выборочно, 10 % от партии, но не менее 3 изделий

Лаборатория    Лаборатория  ОТК  ОТК  ОТК  ОТК

Отпуск потребителю

Укладка изделий на транспортные средства

Визуально, правильность положения, крепление изделий

Постоянно, каждое транспортное средство

ОТК


Контроль качества бетона должен осуществляться по трем основным направлениям:

-       Входной контроль качества составляющих материалов бетонной смеси;

-       Пооперационной контроль технологических процессов приготовления бетонной смеси;

-       Приемочный контроль качества затвердевшего бетона.

2.      Охрана труда

Таблица 12 - Анализ потенциальных вредностей и опасностей производства

Рабочая зона

Потенциальные опасности, факторы производственных вредностей

Инженерные решения, обеспечивающие безопасные условия труда

Склад заполнителей

Пыль, шум

Разгрузка в закрытом виде

Склад цемента

Цементная пыль

Пневморазгрузка, установка пылеуловителей

Склад металла

Пыль, шум

Вентиляция, звукоизоляция

Склад ГСМ, добавки

Взрывы, пожары

Применение термостойких облицовок

БСУ

Шум, пыль

Вентиляция, звукоизоляция

Формовочные цеха

Шум, сточные воды, вибрация

Установка

Арматурный цех

Тепловыделение

Применение стен с защитными кожухами

Трансформаторная

Шум

Шумоизоляция

Компрессорная

Шум

Звукоизолирующие облицовки

Склад готовой продукции

Пыль, сточные воды

Естественная вентиляция

Стоянка автотранспорта

Выхлопные газы

Сокращение стоянки, правильная организация

Автодороги

Пыль

Поливка дорог в летнее время

ТВО

Тепло

Надежная теплоизоляция

Пост смазки форм, ГСМ

Отработанные ГСМ

Отстойники для использования ГСМ


При проектировании и эксплуатации предприятий сборного железобетона в целях обеспечения безопасных и нормальных условий труда следует руководствоваться действующими правилами техники безопасности к производственной санитарии. В них приведены требования к предприятию в целом, отдельным его цехам, технологическим процессам, транспортным устройствам и вибрационному оборудованию, способствующие снижению шума и улучшению санитарно-гигиенических условий труда, а также регламентированы нормативы по естественному и искусственному освещению помещений, их отоплению и вентиляции. Каждый цех завода должен быть оборудован надлежащими санитарно-бытовыми устройствами и противопожарными средствами. С целью обеспечения безопасных условий труда и предупреждения травматизма на основных технологических переделах необходимо соблюдать следующие требования: - при работе правильно-отрезных станков и станков для отметки и правки стержневой арматуры подключать их кожух к местной системе аспирации;

- при изготовлении бетонной смеси проводить периодический профилактический осмотр и ремонт системы вентиляции, следить за герметизацией кабин пультов управления смесителями и дозаторами, исправным состоянием системы сигнализации указателей уровня, сводообрушителей и других устройств автоматизации, ремонтировать смесители после изъятия предохранителей и установки сигнала, запрещающего включение машины; - при натяжении арматуры гидродомкратами устанавливать щиты по торцам стендов и форм, ограждать гидродомкраты сетками высотой не менее 1.8 м, включать сигнальную лампу на время натяжения арматуры, укладывать закладные детали при усилении натянутой арматуры, не превышающем 50 % проектного, периодически испытывать тяги захватов и упоров нагрузкой, раной 110 % максимального усилия натяжения;

при формовании включать звуковую сигнализацию при пуске самоходных бетоноукладчиков, осуществлять дистанционное управление формовочными машинами; - при тепловой обработке следить за отсутствием утечки пара через неплотности в стенках камер, гидравлических затворах камер и трубопроводов, загружать и выгружать изделия из камер автоматическими траверсами. Во всех производственных, бытовых и административных помещениях на случай возникновения пожара должна быть обеспечена возможность безопасной эвакуации людей через эвакуационные выходы.

Заключение

В данном курсовом проекте был разработан завод по производству аэродромных и дорожных плит покрытия по агрегатно - поточному способу, произведены технологические расчеты складов вяжущих и заполнителей, определены параметры бетоносмесительного цеха, формовочного цеха и выбрано основное оборудование. Просчитаны площади зданий и произведена удобная компоновка зданий на генплане, что позволило сократить территорию завода. Была произведена компоновка основного оборудования в формовочном цехе.


Список используемой литературы

аэродромный плита бетоносмесительный

1.      Баженов Ю.М. Проектирование предприятий по производству строительных материалов и изделий. - М.:ACB, 2005. - 472с.

.        Технологическая карта на изготовление плит железобетонных для аэродромных покрытий ПАГ 14IV по ГОСТ 25912.0-91 на ЗЖБИ ОАО «МС».

.        ГОСТ 10178-85. Портландцемент и шлакопортландцемент.Технические условия.

.        ГОСТ 8267-93 Щебень и гравий из плотных горных пород для строительных работ. Технические условия. - Введ. 1995-01-01. - М.: Изд-во стандартов, 2001. - 27 с.

.        ГОСТ 8736-93 (с изм. 1998) Песок для строительных работ. Технические условия - Введ. 1995-01-01. - М.: Изд-во стандартов, 2001. - 27 с.

.        ГОСТ 23732-79 Вода для бетонов и растворов. Технические условия - Введ. 1980-01-01. - М.: Изд-во стандартов, 1980.

.        ГОСТ 24211-2008 Добавки для бетонов и строительных растворов. - Введ. 10.12.2008. - М.: Стандартинформ, 2010.

.        ГОСТ 25912.0-91 Плиты железобетонные предварительно напряженные ПАГ для аэродромных покрытий. Технические условия. - Введ. 1992-01-01. - М.: Изд-во стандартов, 1992.

9.      Цителаури Г.И. Проектирование предприятий сборного железобетона: Учеб. для ВУЗов. - М.: Высш.шк., 1986.

.        ОНТП 07-85. Общесоюзные нормы технологического проектирования предприятий сборного железобетона / Минстройматериалов СССР.М.: Стройиздат, 1983. - 32 с.

Похожие работы на - Завод по производству аэродромных и дорожных плит покрытия производительностью 50 м3 в год

 

Не нашли материал для своей работы?
Поможем написать уникальную работу
Без плагиата!
Без нейросетей!