Перевезення вантажу
1. Правила перевезення варення та джему (у скляній і
жерстяній, металевій тарі)
автомобіль вантаж
транспортний
1. Консервну продукцію в жерстяній та скляній
тарі подають для перевезення упакованою в дощаті й картонні ящики та дерев'яні
клітки. Банки укладають так, щоб виключалась можливість їх переміщення.
Горизонтальні ряди банок в ящику перекладають картонними або цупкими паперовими
прокладками.
. Для уникнення бою скла дно та бокові стінки
клітки треба викласти пакувальним матеріалом.
. Бочки з консервною продукцією мають бути без
пошкоджень, з повною кількістю обручів, чисті, щільно закупорені, без слідів
течі, не повинні мати стороннього запаху.
. Консервна продукція у пошкодженій упаковці, а
також та, що має ознаки недоброякісності (бродіння, закисання, гнильний запах,
недостатня кількість розсолу), для перевезення не приймається.
. Дерев'яні ящики з упакованою в них консервною
продукцією мають бути міцними, справними, чистими, без старого маркування.
Дерев'яні ящики та клітки мають бути міцно
забитими та щільно обтягнутими по торцях в'язальним дротом або металічною
пакувальною стрічкою, що забезпечує цілість упаковки при транспортуванні
ящиків, які складені у штабелі.
. Картонні ящики мають бути міцними та
забезпечувати збереження продукту при транспортуванні.
. Скляні банки, склянки, пляшки, флакони з
продукцією при упакуванні в ящики відокремлюють одне від одного перегородками,
що утворюють клітки, для запобігання бою скла. Картонні перегородки мають бути
із товстого картону.
. Ящики і клітки з продукцією у склотарі
обов'язково маркують. На кришці ящика з продукцією в склотарі має бути добре
помітний напис: «ВЕРХ», «ОБЕРЕЖНО, СКЛО!».
. Продукцію в жерстяній або скляній тарі
транспортують з дотриманням відповідних санітарних вимог у чистих, сухих
автомобілях.
. Консерви у скляній тарі в зимову пору
перевозять в транспортних засобах, що обігріваються.
. Ящики з консервами в металевих банках не можна
перевозити разом з вантажами, які виділяють вологу.
. Приймання консервів для перевезення, вантажні
роботи, розміщення та укладання на рухомому складі виконуються за правилами, що
встановлені для вантажів, які перевозяться в ящиках. Наприклад, ящики з
ознаками відкривання або ушкоджені не можна приймати для перевезення; консерви
в картонних ящиках можна перевантажувати тільки на піддонах.
Варення потрібно зберігати в чистих, сухих, добре
вентильованих приміщеннях за температури 0-20°С (стерилізоване), 10-20°С
(нестерилізоване) і відносній вологості повітря не більш як 75%. У тарі з
термопластичних матеріалів термін зберігання обмежений до 6 міс. У випадку
порушення умов і термінів зберігання варення може зацукрюватись, пліснявіти,
зброджувати. Зацукрювання може бути наслідком порушення технології виготовлення
або зберігання варення. Внаслідок цього в сиропі знижується концентрація сухих
речовин, що може сприяти розвитку мікроорганізмів. Стерилізоване варення
містить менше цукру і більше стійке проти зацукрювання, ніж нестерилізоване. У
разі зниження температури розчинність цукру зменшується і збільшується небезпека
за-цукрювання варення.
Даний вантаж, згідно з прейскуранту №13-01-02 «Тарифи на перевезення вантажів та інші
послуги, що виконуються автомобільним транспортом», належить до першого класу
вантажів. А, отже, в подальших розрахунках буде застосовуватися коефіцієнт
використання вантажопідйомності 
.
План замовлення на виконання перевезень вантажу
|
План-замовлення
на виконання перевезення вантажу
|
|
Назва
вантажу
|
ВВ
|
ВО
|
відстань
перевезення від ВВ до ВО, км
|
Розмір
завезеної партії вантажу gрі для кожного ВО, т
|
|
Варення
та джем
|
ВВ
|
ВО1
|
9,2
|
1,265
|
|
|
ВО2
|
3,1
|
1,3
|
|
|
ВО3
|
7,9
|
1,25
|
|
|
ВО4
|
5,4
|
1,24
|
|
|
ВО5
|
11,1
|
1,36
|
|
|
ВО 6
|
7,9
|
1,263
|
|
|
ВО 7
|
9,8
|
1,264
|
|
|
ВО 8
|
8,1
|
1,26
|
|
|
ВО 9
|
1,5
|
1,24
|
|
|
ВО 10
|
13,8
|
1,17
|
|
|
ВО 11
|
12
|
1,17
|
|
|
ВО 12
|
10,4
|
1,35
|
|
|
ВО 13
|
8,1
|
1,365
|
|
|
ВО 14
|
7,9
|
1,215
|
|
|
ВО 15
|
13
|
1,27
|
|
|
ВО 16
|
14,9
|
1,28
|
|
|
ВО 17
|
3
|
1,2
|
|
|
ВО 18
|
13,2
|
1,32
|
|
|
ВО 19
|
12
|
1,31
|
|
|
ВО 20
|
9,3
|
1,22
|
|
|
∑
|
181,6
|
25,3
|
Відстань перевезення від вантажовідправників до
вантажоодержувачів визначається з попередньої таблиці.
Розмір партії вантажу 
, який завозиться до кожного вантажоотримувача (у кожний пункт
завозу вантажу), визначається на свій вибір. Величина 
може коливатись у межах до ±0,1 т від значення середнього розміру
завезеної партії вантажу.
Величина розміру партії вантажу 
повинна бути різною для різних вантажоотримувачів. Середній
розмір завезеної партії вантажу 
визначається за виразом:

- добовий обсяг перевезень

- кількість пунктів завозу вантажу
Сума значень розмірів завезеної партії вантажу 
до всіх вантажоотримувачів повинна дорівнювати значенню добового
обсягу перевезення вантажу 
, який заданий у завданні до курсової роботи.
gсер.= 25.3/20= 1,265 1.17-1.37
Ланки найкоротшої зв’язуючої мережі
|
№ ланки
|
Ланка НЗМ
|
Відстань, км
|
|
1
|
1-8
|
2,5
|
|
2
|
8-20
|
1,5
|
|
3
|
1-11
|
3
|
|
4
|
8-13
|
5
|
|
5
|
13-5
|
3
|
|
6
|
11-10
|
5,5
|
|
7
|
13-4
|
3
|
|
8
|
4-9
|
4
|
|
9
|
9-ВВ
|
1,5
|
|
10
|
ВВ-17
|
3
|
|
11
|
ВВ-2
|
3
|
|
12
|
2-14
|
5
|
|
13
|
14-3
|
3
|
|
14
|
3-15
|
5
|
|
15
|
15-18
|
1,5
|
|
16
|
18-19
|
4
|
|
17
|
17-6
|
5
|
|
18
|
6-12
|
4
|
|
19
|
12-7
|
5,5
|
|
20
|
5-16
|
7,5
|
|
Σ
|
|
75,5
|
Для найкоротшої зв’язуючої мережі визначають такі
показники:
Середню відстань доставки вантажу:

- відстань доставки вантажу від вантажовідправника до і-того
пункту завозу вантажу, км;

- кількість пунктів завозу вантажу;

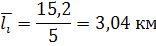
= 181.6/ 20 = 9.08 км.
- Середню відстань доставки вантажу між
суміжними пунктами його завозу:

- відстань
доставки вантажу між відповідними пунктами його завозу, км;

- кількість ланок НЗМ, що не сполучаються із вантажовідправником
вантажу;

= 81,6/17=4,8 км.
За допомогою схеми НЗМ та плану-замовлення на виконання
перевезень вантажів формують розвізні маршрути. При цьому необхідно
дотримуватись такої умови: кожний розвізний маршрут не повинен містити більше,
як 5 пунктів завозу вантажу; пункти завозу не можуть повторюватись на маршрутах.
Загальний обсяг перевезень вантажу на всіх маршрутах не повинен перевищувати
значення добового обсягу перевезення вантажу 
.
Формування маршрутів
|
Маршрути,
отримані за НЗМ
|
Обсяг
перевезень, т
|
Довжина
маршруту, км
|
|
ВВ-ВО16-ВО7-ВО12-ВО6-ВО17-ВВ
|
6,357
|
37,9
|
|
ВВ-ВО10-ВО19-ВО18-ВО15-ВО3-ВВ
|
6,315
|
35,4
|
|
ВВ-ВО11-ВО1-ВО8-ВО20-ВО4-ВВ
|
6,148
|
29,7
|
|
ВВ-ВО5-ВО13-ВО9-ВО2-ВО14-ВВ
|
6,48
|
38
|
|
Всього
|
25,3
|
141
|
2. Уточнення розроблених розвізних маршрутів методом
підсумовування по стовпчикам
За допомогою методу підсумовування по стовпчиках
визначають послідовність об’їзду пунктів завозу вантажу на кожному розвізному маршруті,
що отриманий за допомогою НЗМ, та містить більше як два пункти завозу вантажу.
Розвізний маршрут, що має лише два пункти завозу
вантажу, не підлягає уточненню.
1. Маршрут ВВ-ВО16-ВО7-ВО12-ВО6-ВО17-ВВ
|
ВО16
|
ВО7
|
ВО12
|
ВО6
|
ВО17
|
ВВ
|
ВО16-ВВ-ВО17-ВО16
- включаємо ВО6
|
|
ВО16
|
|
5,4
|
9,4
|
12,7
|
14,7
|
14,9
|
ΔℓВО16-ВВ=
|
12,7+7,9-14,9=5,7
|
|
ВО7
|
5,4
|
|
5,3
|
7,8
|
9,3
|
9,8
|
ΔℓВВ-ВО17=
|
7,9+5,2-3=10,1
|
|
ВО12
|
9,4
|
5,3
|
|
4,1
|
8,3
|
10,4
|
ΔℓВО17-ВО16=
|
5,2+12,7-14,7=3,2
|
|
ВО6
|
12,7
|
7,8
|
4,1
|
|
5,2
|
7,9
|
|
|
|
ВО17
|
14,7
|
9,3
|
8,3
|
5,2
|
|
3
|
ВО16-ВВ-ВО17-ВО6-ВО16
- включаємо ВО7
|
|
ВВ
|
14,9
|
9,8
|
10,4
|
7,9
|
3
|
|
ΔℓВО16-ВВ=
|
5,4+9,8-14,9=0,3
|
|
∑
|
57,1
|
37,6
|
37,5
|
37,7
|
40,5
|
46
|
ΔℓВВ-ВО17=
|
9,8+9,3-3=16,1
|
|
|
|
|
|
|
|
ΔℓВО17-ВО6=
|
9,3+7,8-5,2=11,9
|
|
|
|
|
|
|
|
ΔℓВО6-ВО16=
|
7,8+5,4-12,7=0,5
|
|
|
|
|
|
|
|
|
|
|
|
|
|
|
|
|
ВО16-ВО7-ВВ-ВО17-ВО6-ВО16-включаємо
ВО12
|
|
|
|
|
|
|
|
ΔℓВО16-ВО7=
|
9,4+5,3-5,4=9,3
|
|
|
|
|
|
|
|
ΔℓВО7-ВВ=
|
5,3+10,4-9,8=5,9
|
|
|
|
|
|
|
|
ΔℓВВ-ВО17=
|
10,4+8,3-3=15,7
|
|
|
|
|
|
|
|
ΔℓВО17-ВО6=
|
8,3+4,1-5,2=7,2
|
|
|
|
|
|
|
|
ΔℓВО6-ВО16=
|
4,1+9,4-12,7=0,8
|
|
|
|
|
|
|
|
|
|
|
|
|
Уточнений
маршрут
|
ВО16-ВО7-ВВ-ВО17-ВО6-ВО12-ВО16
|
2. Маршрут ВВ-ВО10-ВО19-ВО18-ВО15-ВО3-ВВ
3.
|
ВО10
|
ВО19
|
ВО18
|
ВО15
|
ВО3
|
ВВ
|
ВВ-ВО10-ВО15-ВВ
- включаємо ВО3
|
|
|
ВО10
|
|
3,1
|
6,7
|
8,1
|
8,2
|
13,8
|
ΔℓВВ-ВО10=
|
7,9+8,2-13,8=2,3
|
|
|
ВО19
|
3,1
|
|
4
|
5,3
|
5,3
|
12
|
ΔℓВО10-ВО15=
|
8,2+5,1-8,1=5,2
|
|
|
ВО18
|
6,7
|
4
|
|
1,5
|
5,4
|
13,2
|
ΔℓВО15-ВВ=
|
5,1+7,9-13=0
|
|
|
ВО15
|
8,1
|
5,3
|
1,5
|
|
5,1
|
13
|
|
|
|
|
ВО3
|
8,2
|
5,3
|
5,4
|
5,1
|
|
7,9
|
ВВ-ВО10-ВО15-ВО3-ВВ
- включаємо ВО18
|
|
|
ВВ
|
13,8
|
12
|
13,2
|
13
|
7,9
|
|
Δℓ ВВ-ВО10 =
|
13,2+6,7-13,8=6,1
|
|
|
∑
|
39,9
|
29,7
|
30,8
|
33
|
31,9
|
59,9
|
ΔℓВО10-ВО15=
|
6,7+1,5-8,1=0,1
|
|
|
|
|
|
|
|
|
ΔℓВО15-ВО3=
|
1,5+5,4-5,1=1,8
|
|
|
|
|
|
|
|
|
ΔℓpВО3-ВВ=
|
5,4+13,2-7,9=10,7
|
|
|
|
|
|
|
|
|
|
|
|
|
|
|
|
|
|
|
ВВ-ВО10-ВО18-ВО15-ВО3-ВВ
- включаємо ВО19
|
|
|
|
|
|
|
|
|
Δℓ ВВ-ВО10 =
|
12+3,1-13,8=1,3
|
|
|
|
|
|
|
|
|
ΔℓВО10-ВО18=
|
3,1+4-6,7=0,4
|
|
|
|
|
|
|
|
|
ΔℓВО18-ВО15=
|
4+5,3-1,5=7,8
|
5,3+5,3-5,1=5,5
|
|
|
|
|
|
|
|
|
ΔℓВО3-ВВ=
|
5,3+12-7,9=9,4
|
|
|
|
|
|
|
|
|
|
|
|
|
|
|
Уточнений
маршрут
|
ВВ-ВО10-ВО19-ВО18-ВО15-ВО3-ВВ
|
|
|
|
|
|
|
|
|
|
|
|
4. Маршрут ВВ-ВО11-ВО1-ВО8-ВО20-ВО4-ВВ
|
ВО11
|
ВО1
|
ВО8
|
ВО20
|
ВО4
|
ВВ
|
|
ВВ-ВО4-ВО11-ВВ
- включаємо ВО1
|
|
ВО11
|
|
3,1
|
4
|
5,4
|
10
|
12
|
|
ΔℓВВ-ВО4=
|
9,2+8,3-5,4=12,1
|
|
ВО1
|
3,1
|
|
2,5
|
3,1
|
8,3
|
9,2
|
|
ΔℓВО4-ВО11=
|
8,3+3,1-10=1,4
|
|
ВО8
|
4
|
2,5
|
|
1,5
|
6,1
|
8,1
|
|
ΔℓВО11-ВВ=
|
3,1+9,2-12=0,3
|
|
ВО20
|
5,4
|
3,1
|
1,5
|
|
5,2
|
9,3
|
|
|
|
|
ВО4
|
10
|
8,3
|
6,1
|
5,2
|
|
5,4
|
|
ВВ-ВО4-ВО11-ВО1-ВВ
- включаємо ВО20
|
|
ВВ
|
12
|
9,2
|
8,1
|
9,3
|
5,4
|
|
|
ΔℓВВ-ВО4=
|
9,3+5,2-5,4=9,1
|
|
∑
|
34,5
|
26,2
|
22,2
|
24,5
|
35
|
44
|
|
ΔℓВО4-ВО11=
|
5,2+5,4-10=0,6
|
|
|
|
|
|
|
|
|
ΔℓВО11-ВО1=
|
5,4+3,1-3,1=5,4
|
|
|
|
|
|
|
|
|
ΔℓВО1-ВВ=
|
3,1+9,3-9,2=3,2
|
|
|
|
|
|
|
|
|
|
|
|
|
|
|
|
|
|
|
ВВ-ВО4-ВО20-ВО11-ВО1-ВВ
- включаємо ВО8
|
|
|
|
|
|
|
|
|
ΔℓВВ-ВО4=
|
8,1+6,1-5,4=8,8
|
|
|
|
|
|
|
|
|
ΔℓpВО4-ВО20=
|
6,1+1,5-5,2=2,4
|
|
|
|
|
|
|
|
|
ΔℓВО20-ВО11=
|
1,5+4-5,4=0,1
|
|
|
|
|
|
|
|
|
ΔℓВО11-ВО1
|
4+2,5-3,1=3,4
|
|
|
|
|
|
|
|
|
ΔℓВО1-ВВ=
|
2,5+8,1-9,2=1,4
|
|
|
|
|
|
|
|
|
|
|
|
|
|
Уточнений
маршрут
|
ВВ-ВО4-ВО20-ВО8-ВО11-ВО1-ВВ
|
5. Маршрут ВВ-ВО5-ВО13-ВО9-ВО2-ВО14-ВВ
|
ВО5
|
ВО13
|
ВО9
|
ВО2
|
ВО14
|
ВВ
|
|
ВО5-ВО14-ВО13-ВО5
- включаємо ВО2
|
|
ВО5
|
|
3,1
|
9,8
|
13,5
|
16,2
|
11,1
|
|
ΔℓВО5-ВО14=
|
13,5+5,2-16,2=2,5
|
|
ВО13
|
3,1
|
|
6,7
|
10,7
|
13,9
|
8,1
|
|
ΔℓВО14-ВО13=
|
5,2+0,7-13,9=2
|
|
ВО9
|
9,8
|
6,7
|
|
4
|
8,3
|
1,5
|
|
ΔℓВО13-ВО5=
|
10,7+13,5-3,1=21,1
|
|
ВО2
|
13,5
|
10,7
|
4
|
|
5,2
|
3,1
|
|
|
|
|
ВО14
|
16,2
|
13,9
|
8,3
|
5,2
|
|
7,9
|
|
ВО5-ВО14-ВО2-ВО13-ВО5
- включаємо ВВ
|
|
ВВ
|
11,1
|
8,1
|
1,5
|
3,1
|
7,9
|
|
|
ΔℓВО5-ВО14=
|
11,1+7,9-16,2=2,8
|
|
∑
|
53,7
|
42,5
|
30,3
|
36,5
|
51,5
|
31,7
|
|
ΔℓВО14-ВО2=
|
7,9+3,1-5,2=5,8
|
|
|
|
|
|
|
|
|
ΔℓВО2-ВО13=
|
3,1+8,1-10,7=0,5
|
|
|
|
|
|
|
|
|
ΔℓВО13-ВО5=
|
8,1+11,1-3,1=16,1
|
|
|
|
|
|
|
|
|
|
|
|
|
|
|
|
|
|
|
ВО5-ВО14-ВО2-ВВ-ВО13-ВО5
- включаємо ВО9
|
|
|
|
|
|
|
|
|
ΔℓВО5-ВО14=
|
9,8+8,3-16,2=1,9
|
|
|
|
|
|
|
|
|
ΔℓВО14-ВО2=
|
8,3+4-5,2=7,1
|
|
|
|
|
|
|
|
|
ΔℓВО2-ВВ=
|
4+1,5-3,1=2,4
|
|
|
|
|
|
|
|
|
ΔℓpВВ-ВО13=
|
1,5+6,7-8,1=0,1
|
|
|
|
|
|
|
|
|
ΔℓВО13-ВО5=
|
8,1+11,1-3,1=16,1
|
|
|
|
|
|
|
|
|
|
|
|
|
|
Уточнений
маршрут
|
ВО5-ВО14-ВО2-ВВ-ВО9-ВО13-ВО5
|
Уточнення порядку об'їзду пунктів на розвізних
маршрутах
|
Маршрути,
отримані за НЗМ
|
Обсяг перевезень,
т
|
Довжина
маршруту, км
|
Уточнені
маршрути
|
Обсяг
перевезень, т
|
Довжина
маршруту, км
|
|
ВВ-ВО16-ВО7-ВО12-ВО6-ВО17-ВВ
|
6,357
|
37,9
|
ВО16-ВО7-ВВ-ВО17-ВО6-ВО12-ВО16
|
6,357
|
36,9
|
|
ВВ-ВО10-ВО19-ВО18-ВО15-ВО3-ВВ
|
6,315
|
35,4
|
ВВ-ВО10-ВО19-ВО18-ВО15-ВО3-ВВ
|
6,315
|
35,4
|
|
ВВ-ВО11-ВО1-ВО8-ВО20-ВО4-ВВ
|
6,148
|
29,7
|
ВВ-ВО4-ВО20-ВО8-ВО11-ВО1-ВВ
|
6,148
|
28,4
|
|
ВВ-ВО5-ВО13-ВО9-ВО2-ВО14-ВВ
|
6,48
|
38
|
ВО5-ВО14-ВО2-ВВ-ВО9-ВО13-ВО5
|
6,48
|
35,8
|
|
Всього
|
25,3
|
141
|
Всього
|
25,3
|
136,5
|
3.
Вибір автомобіля оптимальної вантажопідйомності з використанням методу
номограмм
Область доцільного використання автомобілів різної вантажопідйомності при
виконанні перевезень на розвізних маршрутах можна встановити через рівноцінну
середню відстань доставки вантажу по критерію собівартості 
. Основними факторами, які враховуються при виборі
вантажопідйомності автомобіля, є розмір завезеної партії вантажу, середня
відстань доставки вантажу, середня відстань доставки вантажу між суміжними пунктами
завозу на маршруті.
Вибір автомобіля більшої вантажопідйомності буде доцільним,
якщо виконується умова:
Провівши аналіз величини середнього розміру завезеної
партії вантажу 
та обсягу перевезень на отриманих розвізних маршрутах, з
урахуванням коефіцієнту використання вантажопідйомності автомобіля при розвозі 
за допомогою автомобільного довідника вибираємо дві марки одного
типу різної вантажопідйомності, якими можна виконувати перевезення заданого
виду вантажу.
Для порівняння взято такі автомобілі:
· MAN TGL 12.180 4x2 -
бортовий автомобіль, призначений для перевезення різного виду вантажу,
вантажопідйомністю 8 т.
· Hyundai HD 120 - бортовий
автомобіль, призначений для перевезення різного виду вантажу,
вантажопідйомністю 10 т.
Значення рівноцінної середньою відстані доставки
вантажів по критерію собівартості визначається із рівняння:



- середній розмір завезеної партії вантажу, т.
де 
,
- вантажопідйомності
відповідно першого та другого порівнюваних автомобілів на 1 кілометр пробігу,
грн./км;

загальні
витрати відповідно першого та другого порівнюваних автомобілів на 1 кілометр
пробігу, грн./км;

постійні
витрати відповідно першого та другого порівнюваних автомобілів, грн./год;

- додатковий час на заїзд у кожний проміжний пункт маршруту, год;

час простою відповідно першого та другого порівнюваних автомобілів
під операціями навантаження-вивантаження вантажу, год.
Час простою автомобіля під операціями
навантаження-вивантаження вантажу визначається за виразом:
де 
- норма
часу простою автомобіля під навантаженням-розвантаженням 1 тонни вантажу, що
визначається за допомогою довідника;

- коефіцієнт
супутнього збору;

- час на виконання підготовчо-заключних операцій.
Показники автомобілів
|
№
|
Показник
|
MAN TGL
12.180 4x2
|
Hyundai
HD 120
|
|
1
|
Спос грн/год
|
14
|
16,15
|
|
2
|
Сзм грн/км
|
1,2
|
1,34
|
|
3
|
γр
|
1
|
1
|
|
4
|
Vт км/год
|
24
|
24
|
|
5
|
tз год
|
0,2
|
0,2
|
|
6
|
tпз год
|
0,2
|
0,2
|
|
7
|
Кс
|
0
|
0
|
|
8
|
q т
|
6,5
|
7,5
|
|
9
|
Īі
км
|
9,08
|
9,08
|
|
10
|
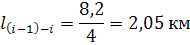
Ī(і-1)-і км
|
4,8
|
4,8
|
|
11
|
gрі сер.
|
1,27
|
1,27
|
|
12
|
tт год
|
0,67
|
0,83
|
|
13
|
Скм
грн/км
|
1,88
|
2,01
|
|
14
|
tнв
год
|
4,6
|
6,4
|
tнв(j)=
0,67*6,5*1*(1+0)+0,2=4,6 год.
tнв(j+1)=0.83*7.5*1*(1+0)+0.2=6.4
Скм(j)=1.2+(16.36/24)=1.88
грн/км
Скм(j+1)=1,34+(16,15)=2,01
грн/км
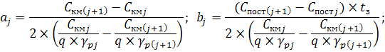
1. Розрахунок aj bj та cj для MAN TGL 12.180
4x2 і Hyundai HD 120
aj=2.01-1.88/ 2*(1.88/6.5*1-2.01/7.5*1)=3.1
bj= (16.15-14)*0.2/2*(1.88/6.5*1-2.01/7.5*1)= 10.2
cj=(16.15/7.5*1*(6.4-0.2) -
14/6.5*1*(4.6-0.2))/2*(1.88/6.5*1-2.01/7.5*1)=91
2. Розрахунок 

= (3.1/1.265+0.5)*4.8+10.2/1.265+91=113.6
Вибір автомобіля оптимальної вантажопідйомності для
виконання перевезень вантажу на розвізних маршрутах виконується за допомогою
методу номограм. Номограма уявляє собою графік залежності середньої рівноцінної
відстані доставки вантажу по критерію собівартості від середньої відстані
доставки вантажу між суміжними пунктами маршруту при різних значеннях розмірів
завезеної партії вантажу. При побудові номограми розраховуються значення
середньої рівноцінної відстані доставки вантажу для двох значень середньої
відстані між суміжними пунктами, що дорівнюють 0 та 10.
Номограма будується для восьми значень розмірів завезеної
партії вантажу з урахуванням конкретної величини 
для заданих умов перевезень. Дані для побудови номограми
формуються у вигляді табл. 5.2.
Розрахунок рівноцінної відстані для побудови номограми
|
Значення
|
Значення величин
розмірів завезеної партії вантажу, т
|
|
|
0.19
|
0.46
|
0.73
|
1
|
1.27
|
1.54
|
1.81
|
2,08
|
|
|
|
145
|
113
|
105
|
101
|
99
|
97.6
|
96.6
|
96
|
|
|
313.9
|
185
|
153
|
137
|
128.4
|
122.7
|
118.7
|
115.8
|
З урахуванням визначеної за НЗМ середньої
відстані доставки вантажу між суміжними пунктами завозу, з урахуванням
середнього розміру завезеної партії вантажу за допомогою номограми визначають
середню рівноцінну відстань доставки вантажу по критерію собівартості. Її
порівнюють із визначеною за НЗМ середньою відстанню доставки вантажу.
В залежності від результаті порівняння вибирають
більш придатний автомобіль.

- тоді
із двох порівнюваних автомобілів слід використовувати автомобіль більшої
вантажопідйомності.
4. Розрахунок техніко-експлуатаційних показників роботи
автомобіля на кожному маршруті
Для кожного маршруту необхідно визначити
узагальнюючі техніко-експлуатаційні показники роботи рухомого складу.
Для розвізного маршруту вони розраховуються
наступним чином:
а) середня відстань доставки вантажу 
, км:
б) середня відстань між суміжними пунктами доставки вантажу

:
в) довжина розвізного маршруту 
, км:
г) обсяг перевезення на маршруті 
, т:
д) фактичний коефіцієнт використання вантажопідйомності при
розвозі:
є) середній розмір завезеної партії вантажу 
, т:
ж) час простою автомобіля під операціями навантаження-розвантаження
з) годинна продуктивність автомобіля 
, т/год:

- нульовий
пробіг автомобіля, км;

- час перебування автомобіля в наряді, год.
Результати розрахунків для всіх маршрутів навести в табл.
8.
Маршрут: P0 - P2 - P19 - P7 - P17 - P9 -
P0
Маршрут: P0 - P11 - P8 - P4 - P22 - P16 - P0
Маршрут: P0 - P18 - P25 - P6 - P1 - P14 - P0
Маршрут: P0 - P24 - P3 - P21 - P20 - P12 - P0
Маршрут: P0 - P10 - P23 - P5 - P13 - P15 - P0
Узагальнюючі техніко-експлуатаційні показники
роботи автомобіля на маршрутах
|
Маршрут
|
|
|
|
|
|
|
|
|
|
P0
- P2 - P19 - P7
- P17 - P9-P0
|
3,18
|
1,75
|
13,36
|
8,69
|
0,87
|
1,74
|
1,61
|
4,04
|
|
P0
- P11 - P8 - P4
- P22 - P16 - P0
|
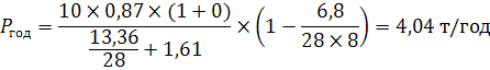
4,18
|
1,6
|
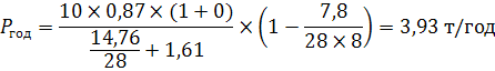
14,76
|
8,67
|
0,87
|
1,74
|
1,61
|
3,93
|
|
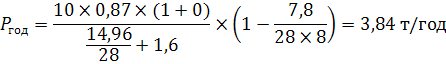
P0
- P18 - P25-P6 -
P1 - P14 - P0
|
3,38
|
2,05
|
14,96
|
8,53
|
0,85
|
1,7
|
1,6
|
3,84
|
|
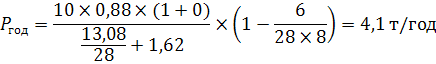
P0
- P24 -P3 - P21 -P20
- P12 - P0
|
3,04
|
1,75
|
13,08
|
8,82
|
0,88
|
1,76
|
1,62
|
3,93
|
|
P0
- P10 -P23 - P5
- P13 - P15 - P0
|
2,52
|
2,25
|
14,04
|
8,69
|
0,87
|
1,74
|
1,61
|
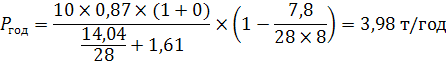
3,98
|
|
Сер.
значення
|
14,04
|
|
0,87
|
|
1,61
|
|
5. Визначення необхідної кількості обслуговуючих механізмів
та числових характеристик замкненої Пуассонівської системи масового
обслуговування
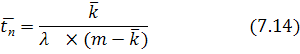
Кількість постів обслуговування, що є необхідними
для виконання операцій навантаження-розвантаження автомобілів, які виконують
перевезення вказаного виду вантажу, визначаються за формулою:
де m - загальна кількість автомобілів, що потребують обслуговування
на посту навантаження;

- середній
час повернення автомобіля на пост навантаження, хв.;

середній
час обслуговування на посту навантаження, хв.
Розрахована кількість постів обслуговування округлюється до
цілого числа у сторону зростання.
Середній час повернення автомобіля на пост навантаження
визначається:
де 
- довжина
маршруту, км. Ця величина визначається як сума довжин усіх маршрутів, на яких
здійснюється перевезення вантажу, поділена на кількість таких маршрутів;

- середній
час розвантаження автомобіля, хв.
Середній час обслуговування на посту навантаження
визначається:
де 
- норма
часу простою автомобіля під розвантаженням 1 тонни вантажу, хв.; 
;

- середня
величина коефіцієнту використання вантажопідйомності, яка визначається як сума
всіх значень цього коефіцієнту для всіх маршрутів, поділена на кількість
маршрутів перевезення маршрутів.
Розрахунковий коефіцієнт визначається за таким виразом:
де 
- інтенсивність обслуговування, що характеризує роботу
навантажувально-розвантажувального засобу; 

- параметр,
що характеризує інтенсивність потоку вимог на обслуговування від одного
автомобіля; 
Для одно канальної системи масового обслуговування
ймовірність того, що н/р засіб буде простоювати в очікуванні прибуття
автомобіля під навантаження розраховується за формулою:
де 
;

Величина 
визначається
за допомогою таблиць розподілу Пуассона.
Середня кількість автомобілів, що знаходяться під навантаженням та в очікуванні навантаження
визначається:
Середня кількість автомобілів, що очікують початку операції
навантаження, розраховується:
Середній час простою автомобіля на пункті обслуговування визначається за виразом:
Середній час очікування початку навантаження автомобіля
розраховується:
Розрахунок показників для одноканальної
системи масового обслуговування m=5
Для багатоканальної системи масового обслуговування усі
параметри функціонування розраховується таким чином:
Для визначення ймовірностей слід скористатися рекурентними
формулами:
Точність розрахунків 
визначається
чотирма нулями після коми.
Імовірність того, що н/р засіб буде простоювати в очікуванні
прибуття автомобіля під навантаження розраховується за формулою:
Середня кількість автомобілів, що знаходяться під
навантаженням та в очікуванні навантаження, визначається:
Середнє число автомобілів, які очікують навантаження,
визначається:
Середня кількість н/р механізмів, які не працюють внаслідок
відсутності автомобілів, визначається:
Середній час простою автомобіля на пункті навантаження,
хв.:
Середній час очікування навантаження, хв.:

Кількість автомобілів, що знаходяться під
навантаженням та в очікуванні навантаження:
Число автомобілів, які очікують навантаження:
Кількість н/р механізмів, які не працюють
внаслідок відсутності автомобілів:
Результати розрахунків наводять в табл.
|
k
|
|
|
|
|
|
|
0
|
1,0000
|
0,1600
|
0,0000
|
-
|
0,3200
|
|
1
|
1,8500
|
0,2960
|
0,2960
|
-
|
0,2960
|
|
2
|
1,3690
|
0,2190
|
0,4381
|
0,0000
|
0,0000
|
|
3
|
0,7598
|
0,1216
|
0,3647
|
0,1216
|
-
|
|
4
|
0,2811
|
0,0450
|
0,1799
|
0,0900
|
-
|
|
5
|
0,0520
|
0,0083
|
0,0416
|
0,0250
|
-
|
|
Σ
|
5,3119
|
0,8499
|
1,3203
|
0,2365
|
0,6160
|



Для побудови графіка зміни витрат та трудомісткості робіт в
залежності від кількості автомобілів у системі масового обслуговування
необхідно знайти значення для 5 точок:
Для m=1

|
k   
|
|
|
|
|
|
|
0
|
1,0000
|
0,4200
|
0,0000
|
-
|
0,8400
|
|
1
|
0,3700
|
0,1554
|
0,1554
|
-
|
0,1554
|
|
Σ
|
1,3700
|
0,5754
|
0,1554
|
0,0000
|
0,9954
|



Для m=2
|
k   
|
|
|
|
|
|
|
0
|
1,0000
|
0,3500
|
0,0000
|
-
|
0,7000
|
|
1
|
0,7400
|
0,2590
|
0,2590
|
-
|
0,2590
|
|
2
|
0,1369
|
0,0479
|
0,0958
|
0,0000
|
0,0000
|
|
Σ
|
1,8769
|
0,6569
|
0,3548
|
0,0000
|
0,9590
|



Для m=3
|
k   
|
|
|
|
|
|
|
0
|
1,0000
|
0,2800
|
0,0000
|
-
|
0,5600
|
|
1
|
1,1100
|
0,3108
|
0,3108
|
-
|
0,3108
|
|
2
|
0,4107
|
0,1150
|
0,2300
|
0,0000
|
0,0000
|
|
3
|
0,0760
|
0,0213
|
0,0638
|
0,0213
|
-
|
|
Σ
|
2,5967
|
0,7271
|
0,6046
|
0,0213
|
0,8708
|




|
k   
|
|
|
|
|
|
|
0
|
1,0000
|
0,2100
|
0,0000
|
-
|
0,4200
|
|
1
|
1,4800
|
0,3108
|
0,3108
|
-
|
0,3108
|
|
2
|
0,8214
|
0,1725
|
0,3450
|
0,0000
|
0,0000
|
|
3
|
0,3039
|
0,0638
|
0,1915
|
0,0638
|
-
|
|
4
|
0,0562
|
0,0118
|
0,0472
|
0,0236
|
-
|
|
Σ
|
3,6615
|
0,7689
|
0,8945
|
0,0874
|
0,7308
|



Для m=5
|
k
|
|
|
|
|
|
|
0
|
1,0000
|
0,1600
|
0,0000
|
-
|
0,3200
|
|
1
|
1,8500
|
0,2960
|
0,2960
|
-
|
0,2960
|
|
2
|
1,3690
|
0,2190
|
0,4381
|
0,0000
|
0,0000
|
|
3
|
0,7598
|
0,1216
|
0,3647
|
0,1216
|
-
|
|
4
|
0,2811
|
0,0450
|
0,1799
|
0,0900
|
-
|
|
5
|
0,0520
|
0,0083
|
0,0416
|
0,0250
|
-
|
|
Σ
|
5,3119
|
0,8499
|
1,3203
|
0,2365
|
0,6160
|



6. Розрахунок показників ефективності використання
транспортних та навантажувально-розвантажувальних засобів
Показники ефективності роботи транспортних та н/р
засобів можуть бути розраховані для одно канальної або багатоканальної
Пуассонівської системи масового обслуговування, тобто для n=1 або n>1. В даному
випадку проводитимуться розрахунки для багатоканальної СМО (n=3).
До показників ефективності роботи транспортних та
н/р засобів належать:
а) вартість втрат із-за непродуктивних робіт та простоїв
транспортних та н/р засобів у системі обслуговування із розрахунку на 1 годину їх
роботи, грн./год, 
:
Де 
витрати внаслідок простою транспортного засобу протягом 1-єї
години;

витрати
на 1 годину простою н/р механізму;

середня
величина довжини черги;

середня кількість вільних постів обслуговування
б) сумарні витрати та вартість втрат із розрахунку на одне
навантаження автомобіля, коп./1 навант, 
:
Де 
середня кількість зайнятих постів обслуговування
Для багатоканальної СМО величина числа зайнятих н/р засобів
розраховується:
в) непродуктивні простої водіїв та робітників, які зайняті
на н/р роботах, люд. хв./1 навант, 
:
Де 
число робітників, які зайняті на н/р роботах.
Значення розрахованих показників наводять в табл.
|
m
|
|
|
|
|
|
1
|
0,9954
|
0,1554
|
0,0000
|
0,1554
|
|
2
|
0,9590
|
0,3548
|
0,0000
|
0,3548
|
|
3
|
0,8708
|
0,6046
|
0,0213
|
0,5833
|
|
4
|
0,7308
|
0,8945
|
0,0874
|
0,8071
|
|
5
|
0,6160
|
1,3203
|
0,2365
|
1,0838
|
m=1

/год

люд.
хв./1 навант
m=2

/год

люд.
хв./1 навант
m=3

/год

люд.
хв./1 навант
m=4

/год

люд.
хв./1 навант
m=5

/год

люд.
хв./1 навант
Отримані дані заносяться в табл.
|
m
|
|
|
|
|
1
|
8,06
|
26,18
|
193,89
|
|
3
|
7,77
|
11,05
|
81,82
|
|
4
|
7,13
|
6,17
|
46,29
|
|
5
|
6,24
|
3,90
|
30,69
|
|
7
|
5,86
|
2,73
|
23,81
|
Висновок
При виконанні даної роботи я організовувала
ефективний процес перевезення продукції харчової промисловості у системі
постачання кінцевих споживачів. В даному випадку продуктом перевезення є пиво у
пляшках, яким відповідає 1й клас вантажу, а коефіцієнт використання
вантажопідйомності дорівнює одиниці.
Було визначено всі відстані між кореспондуючими
пунктами, між ВО і АТП та наведені у карто-схемі. В роботі наведений
план-замовлення на перевезення вантажу.
За допомогою найкоротшої зв’язуючої мережі для
визначеної кількості завозу вантаж були утворені розвізні маршрути. Мною було
отримано 5 маршрутів, на яких будуть використовуватись автомобілі КамАЗ-53212,
вантажопідйомністю 10 т (визначивши за допомогою методу номограм).
Дані маршрути було уточнено за допомогою методу
підсумовування по стовпчиках. Потім були розраховані техніко-економічні
показники роботи автомобіля на кожному з маршрутів.
В курсовій роботі я визначила числові характеристики
замкненої Пуассонівської системи масового обслуговування, а саме кількість
обслуговуючих механізмів n=2,
розрахунковий коефіцієнт 
, параметри функціонування одно - та багатоканальної СМО.
В роботі розраховані показники ефективності транспортних
н/р засобів. Результати наведені в таблиці, за даними яких побудуваний графік
зміни витрат та трудомісткості робіт в залежності від кількості автомобілів (m=5).
За критерієм вартості втрат транспортних та
навантажувально-розвантажувальних засобів із-за непродуктивних робіт та простоїв
транспортних засобів, сумарних витрат та вартості втрат із розрахунку на 1
навантаження, непродуктивні простої водіїв та робітників із розрахунку на одне
навантаження було визначено, що витрати будуть меншими, якщо у систему масового
обслуговування залучити 5 автомобілів.
Список літературних джерел
1. Правила перевезень вантажів автомобільним транспортом в Україні.
- К.: - 2001.
2. Прейскурант №13-01-02. Тарифы на перевозку грузов и другие услуги,
выполняемые автомобильным транспортом. - К.: Госкомцен УССР, 1989, - 55 с.
3. Краткий
автомобильный справочник, - 10-е изд., перераб. и доп. - М.: Транспорт, 1983. -
220 с.
4. Справочник
инженера-экономиста автомобильного транспорта /Под общей ред. С.Л. Голованенко.
- М.: Транспорт, 1984. - 320 с.