Оценка и совершенствование эксплуатационно-технических свойств автомобилей

  • Вид работы:
    Курсовая работа (т)
  • Предмет:
    Транспорт, грузоперевозки
  • Язык:
    Русский
    ,
    Формат файла:
    MS Word
    970,74 Кб
  • Опубликовано:
    2015-01-09
Вы можете узнать стоимость помощи в написании студенческой работы.
Помощь в написании работы, которую точно примут!

Оценка и совершенствование эксплуатационно-технических свойств автомобилей

Введение

Тягово-скоростные свойства имеют важное значение при эксплуатации автомобиля, так как от них во многом зависят его средняя скорость движения и производительность. При благоприятных тягово-скоростных свойствах возрастает средняя скорость, уменьшаются затраты времени на перевозку грузов и пассажиров, а также повышается производительность автомобиля.

Показатели тягово-скоростных свойств автомобиля

Основными показателями, позволяющими оценить тягово-скоростные свойства автомобиля, являются:

• максимальная скорость vmax, км/ч;

• минимальная устойчивая скорость (на высшей передаче) vmin, км/ч;

• время разгона (с места) до максимальной скорости tp, с;

• путь разгона (с места) до максимальной скорости Sp, м;

• максимальные и средние ускорения при разгоне (на каждой передаче) jmax и jср,м/с2;

• максимальный преодолеваемый подъем (уклон) на низшей передаче и при постоянной скорости imax, %;

• длина динамически преодолеваемого подъема (с разгона) Sj , м;

• максимальная сила тяги на крюке (на низшей передаче) Рс , Н.

В качестве обобщенного оценочного показателя тягово-скоростных свойств автомобиля можно использовать среднюю скоростьнепрерывного движения vcp, км/ч. Она зависит от условий движения и определяется с учетом всех его режимов, каждый из которых характеризуется соответствующими показателями тягово-скоростных свойств автомобиля.

1.Силы, действующие на автомобиль при движении

При движении на автомобиль действует целый ряд сил, которые называются внешними. К ним относятся (рис. 1.1) сила тяжести G, силы взаимодействия между колесами автомобиля и дорогой (реакции дороги) Rx1, Rx2, Rz1, Rz2 и сила взаимодействия автомобиля с воздухом (реакция воздушной среды) Рв.

Рис. 1.1. Силы, действующие на автомобиль с прицепом при движении: а - на горизонтальной дороге; б - на подъеме; в - на спуске

Одни из указанных сил действуют в направлении движения и являются движущими, другие - против движения и относятся к силам сопротивления движению. Так, сила Rx2 на тяговом режиме, когда к ведущим колесам подводятся мощность и крутящий момент, направлена в сторону движения, а силы Rx1 и Рв - против движения. Сила Рп - составляющая силы тяжести - может быть направлена как в сторону движения, так и против b зависимости от условий движения автомобиля - на подъеме или на спуске (под уклон).

Основной движущей силой автомобиля является касательная реакция дороги Rx2 на ведущих колесах. Она возникает в результате подвода мощности и крутящего момента от двигателя через трансмиссию к ведущим колесам.

2.Расчет тягово-скоростных свойств автомобиля

Таблица 1. «Исходные данные»


Построение внешней скоростной характеристики двигателя внутреннего сгорания ЗМЗ 40522. В двигателе внутреннего сгорания выделяющиеся при сгорании топлива газы давят на поршень, и через преобразующий механизм выполняют механическую работу по вращению коленчатого вала двигателя. Затем эта работа используется для вращения ведущих колес автомобиля.

Наиболее точные результаты при снятии внешней скоростной характеристики получают экспериментально на специальном моторном стенде, где возможно достаточно точно управлять и устанавливать различную нагрузку на коленчатый вал двигателя внутреннего сгорания.

При отсутствии возможности экспериментального определения показателей, внешнюю скоростную характеристику можно примерно определить с помощью математического аппарата, адекватно описывающий рабочий процесс двигателя внутреннего сгорания (ДВС). Таким образом, выбор указанных ниже параметров должен учитывать режим работы ДВС в выбранном диапазоне частоты вращения КВ при максимальной подаче топлива и различной нагрузке. Внешняя скоростная характеристика двигателя представляет собой зависимость эффективной мощности - Ne, кВт; эффективного крутящего момента - Me, Нм; удельного расхода топлива - ge, г/кВт ч; часового расхода топлива - GT, кг/ч; от частоты вращения коленчатого вала ne, мин-1; при установившемся режиме работы двигателя и максимальной подаче топлива. Определение текущего значения эффективной мощности от частоты вращения коленчатого вала двигателя, производится по эмпирической зависимости, предложенной С.Р. Лейдерманом:

, (кВт)

где Nеi- мощность двигателя в определяемых точках;max- номинальная мощность двигателя;i-частотах вращения коленчатого вала двигателя в определяемых точках;N - частота вращения коленчатого вала двигателя при номинальной мощности двигателя; a, b , c - эмпирические коэффициенты, зависящие от типа двигателя, a=b=c=1 для бензинового двигателя, a=0,75, b=1,5, c=1,25 для дизеля без наддува и a= -0,5, b=6, c=2,5 для дизеля с наддувом

=

=

, (кВт)

=

=

, (кВт)

=

=

, (кВт)

=

= , (кВт)

Соответствующее значение крутящего момента коленчатого вала двигателя определяю по формуле:

, (Нм)

где Ni -значение мощности двигателя, кВт;i - частота вращения коленчатого вала двигателя, мин-1.

, (Нм)

, (Нм)

, (Нм)

, (Нм)

На основе полученных данных составим таблицу 2.

Таблица. «Результаты расчета параметров ВСХ автомобиля ГАЗ 3302 «ГАЗель»«


При помощи полученных результатов выполним графическое построение ВСХ ДВС ЗМЗ 40522:

Рис.2 ВСХ ЗМЗ40522

Графический вид внешней скоростной характеристики позволяет проследить последовательность изменения мощности крутящего момента в зависимости от изменения оборотов двигателя.

3.Определение свободного радиуса и радиуса качения колеса

скоростной автомобиль колесо

Автомобиль движется в результате действия на него различных сил, которые делятся на движущие силы и силы сопротивления движению. Основной движущей силой является тяговая сила, приложенная к ведущим колесам. Тяговая сила возникает в результате работы двигателя и вызвана взаимодействием ведущих колес с дорогой.

Тяговую силу Pк определяют как отношение момента на полуосях к радиусу ведущих колес при равномерном движении автомобиля. Следовательно, для определения тяговой силы необходимо знать свободный радиус r0, определяемый по формуле:

, (мм)

где dк- диаметр обода колеса;к- высота профиля шины

, (мм)

Затем по формуле находим радиус качения колеса rк:

 

, (мм)

Где - свободный радиус.

, (мм) = 0,3173 , (м)

4.Расчет силы тяги на ведущих колесах на передачах

Расчет производится по формуле


где Мi- крутящий момент двигателя, кгс м ( М1, ММ, М2, МN,);кп - передаточное число коробки передач (КП) наi -той передаче;рк - передаточное число раздаточной коробки (РК) наi-ой передаче;гл.п - передаточное число главной передачи;k - радиус качения колеса, м;

ηтр- КПД трансмиссии;

Для полноприводного автомобиля можно принять ηm = 0,85



Рассчитаем силу тяги на колесе при частоте вращения коленчатого вала двигателя 2500 об/мин:


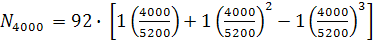
Рассчитаем силу тяги на колесе при частоте вращения коленчатого вала двигателя 4000 об/мин:


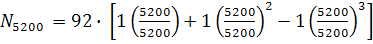
Рассчитаем силу тяги на колесе при частоте вращения коленчатого вала двигателя 5200 об/мин:


Полученные результаты занесем в таблицу 3.

Таблица. «Определение силы тяги на колесе для автомобиля ГАЗ 3302 «ГАЗель»«


Расчет скоростей движения автомобиля на передачах.

Скорости движения автомобиля на i-х передачах в КП (Vi) определяются по формуле:



где ni- частота вращения коленчатого вала ДВС

- скорость движения при i-ой частоте вращения КВ ДВС и j-ой передаче в КП

Подобным образом рассчитаем скорость автомобиля при частоте вращения коленчатого вала 900 об/мин:


При частоте вращения коленчатого вала 2500 об/мин:


При частоте вращения коленчатого вала 4000 об/мин:


При частоте вращения коленчатого вала 5200 об/мин:


Полученные результаты занесем в таблицу 4.

Таблица. «Определение скорости движения для автомобиля ГАЗ 3302 «ГАЗель»«


5.Расчет силы сопротивления воздуха

Так как сопротивление воздуха проявляется при более высоких скоростях, то расчет выполним для 2-х высших передач в КП.

Определение силы сопротивления движению рассчитывается по формуле:


где Vi- скорость движения, км/ч;

Kw - коэффициент обтекаемости (лобового сопротивления) ;

В- ширина автомобиля, м;

Н- высота автомобиля, м,

Выполним расчет силы сопротивления движению при частоте вращения коленчатого вала 900 об/мин на 4 и 5 передаче в КП:


При частоте вращения коленчатого вала 2500 об/мин на 4 и 5 передаче в КП:


При частоте вращения коленчатого вала 4000 об/мин на 4 и 5 передаче в КП:


При частоте вращения коленчатого вала 5200 об/мин на 4 и 5 передаче в КП:


Полученные результаты занесем в таблицу 5.

Таблица. «Сила сопротивления воздуха ГАЗ 3302 «ГАЗель»«


6.Определение значений динамического фактора

Динамический фактор автомобиля представляет собой совокупность динамических характеристик и дает представление о динамических свойствах автомобиля при заданных дорожных условиях и нагрузке автомобиля.

Динамическая характеристика - это зависимость динамического фактора автомобиля с полной нагрузкой от скорости его движения. Динамическим фактором (D) автомобиля называется отношение разности силы тяги и силы сопротивления воздуха к весу автомобиля, и рассчитывается по формуле:


где D- динамический фактор;

- вес автомобиля, (Н)

- сила тяги на ведущих колесах на передачах, (Н)

- сила сопротивления воздуха, (Н)

Так как сопротивление воздуха было рассчитано только для 4 и 5 передачи в КП, то для расчета динамического фактора на 1, 2 и 3 передачах примем значение

Определим динамический факторпри частоте вращения коленчатого вала 900 об/мин:



Определим динамический фактор при частоте вращения коленчатого вала 2500 об/мин:


7.Определим динамический фактор

при частоте вращения коленчатого вала 4000 об/мин:


Определим динамический факторпри частоте вращения коленчатого вала 5200 об/мин:


Результаты расчетов вносим в таблицу 6.

Таблица. «Динамический фактор ГАЗ 3302 «ГАЗель»«


На основании полученных результатов строим график: «Динамическая характеристика автомобиля ГАЗ 3302 «ГАЗель» с двигателем внутреннего сгорания ЗМЗ40522», изображенный на рисунке 3.

Вывод

С использованием рекомендуемой литературы по техническим характеристикам двигателя внутреннего сгорания ЗМЗ40522 был построен график внешней характеристики автомобиля ГАЗ 3302 «ГАЗель», который позволяет отследить изменение мощности крутящего момента в зависимости от частоты вращения коленчатого вала и определить наиболее выгодные режимы работы двигателя.

Список использованных источников

.        Вахламов В.К. Автомобили. Основы конструкции.

.        Фаробин Я.Е., Литвинов А.С. .Учебник. Автомобиль. Теория эксплуатационных свойств. - М.: Машиностроение, 1989.

.        Конспект лекций.

.        Краткий автомобильный справочник НИИАТ. М. Транспорт, 1983.

.        Михалев Ю.В.Оценка и совершенствование тягово-скоростных свойств автотранспортных средств. Учебное пособие. - СПб.: СУРАО, 2009.

6. 

Похожие работы на - Оценка и совершенствование эксплуатационно-технических свойств автомобилей

 

Не нашли материал для своей работы?
Поможем написать уникальную работу
Без плагиата!
Без нейросетей!