Динамическое воздействие автотранспорта на пролетные строения мостовых сооружений

  • Вид работы:
    Статья
  • Предмет:
    Строительство
  • Язык:
    Русский
    ,
    Формат файла:
    MS Word
    62,55 Кб
  • Опубликовано:
    2015-05-17
Вы можете узнать стоимость помощи в написании студенческой работы.
Помощь в написании работы, которую точно примут!

Динамическое воздействие автотранспорта на пролетные строения мостовых сооружений















Динамическое воздействие автотранспорта на пролетные строения мостовых сооружений


Хазанов М.Л., канд. техн. наук,

начальник отдела измерений НПИ ИМИДИС, Москва

Динамическое воздействие автотранспорта на пролетные строения мостовых сооружений в процессе их проектирования учитывается при помощи динамического коэффициента, величина которого нормируется СНиП 2.05.03-84* «Мосты и трубы». Обозначается этот коэффициент, как 1+m и показывает, во сколько раз надо увеличить расчетную нагрузку для учета динамического воздействия. Отсюда следует, что этот коэффициент не может быть меньше единицы. Однако во многих трудах по строительной механике [1, 2, 3] динамическим коэффициентом называют выражение

,  (1)

где: w - частота собственных колебаний системы; q - частота изменения нагрузки, возбуждающей колебания системы; d - декремент колебания. Из (1) видно, что k может принимать значение меньше единицы, а при q®¥ стремится к нулю. Таким образом, становится ясно, что динамический коэффициент в СНиПе и в упомянутых трудах по строительной механике - не одно и то же.

В [4] выражение (1) названо иначе - коэффициентом динамичности. И только в недавно вышедшей книге [5] график этого выражения назван в соответствии с его физическим смыслом - амплитудно-частотной характеристикой (АЧХ) системы. Действительно, (1) показывает зависимость реакции (отклика) системы на воздействие синусоидальной силы от ее частоты по отношению к статическому воздействию этой силы. Это по форме похоже на СНиПовский динамический коэффициент, а точнее на его второе слагаемое m, но и это не так. В реальных нагрузках, для которых были получены эмпирические формулы, приводимые в СНиП 2.05.03-84* «Мосты и трубы», статическая составляющая нагрузки не равна амплитуде динамической составляющей, как это подразумевается в (1).

Динамическая составляющая воздействия реальной нагрузки на мост зависит от многих факторов: от величины подрессоренной массы нагрузки, от упругих свойств рессор, от скорости движения, от величины и характера неровностей проезжей части. Динамическое воздействие на пролетное строение окажет даже безрессорная нагрузка с идеальными колесами, едущая по идеально гладкому покрытию. При этом динамический коэффициент будет зависеть от скорости движения нагрузки. Покажем это на примере.

Предположим, что по идеально гладкому однопролетному мосту проезжает с постоянной скоростью безрессорная нагрузка на идеально сцентрированных колесах. Линия влияния напряжения в середине пролета для этого примера представляет собой треугольник. Если в графике линии влияния заменить положение нагрузки временем, которое при данной скорости нужно нагрузке, что бы достичь этого положения, получим импульс воздействия нагрузки на пролетное строение. Для разных скоростей будет соответственно разная длительность этого импульса при неизменной амплитуде.

Согласно теореме Фурье, любой изменяющийся во времени процесс может быть представлен в виде суммы гармонических колебаний с соответствующими частотами, амплитудами и фазами. Математическая формула прямого преобразования Фурье имеет вид:

,  (2)

где F(jw) - спектральная характеристика функции f(t);

w - круговая частота.

Далее для заданного воздействующего импульса проводим прямое преобразование Фурье, в результате чего получаем его частотный спектр, который модифицируется пролетным строением в соответствии с АЧХ. Эта модификация определяется путем умножения спектральной характеристики возбуждающего импульса на АЧХ пролетного строения. Сделав модифицированному спектру обратное преобразование Фурье, т.е. сложив все спектральные составляющие после их модификации, получим диаграмму напряжений, возникающих в середине пролета при проезде нагрузки с соответствующей скоростью. Приняв амплитуды входного воздействия за единицу, получим, что максимальное значение отклика численно будет равняться динамическому коэффициенту 1+m.

Теперь воспользуемся статистическими данными, которые достаточно точно подтверждаются результатами динамических испытаний многих десятков мостов, проведенных автором, а именно:

. Частота колебаний подрессоренной массы груженых двадцатитонных автомобилей типа КАМАЗ лежит в пределах 2 - 4 Гц. Примем ее для определенности равной 3 Гц.

. Период свободных колебаний пролетных строений с достаточной степенью приближения описывается формулой T=L/100 (T - в секундах, L - в метрах).

Подставляя эти данные в (1), получаем:

         (3)

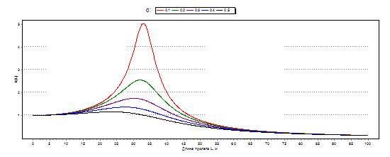
На рисунке 1 приведено семейство кривых, построенных по этой формуле.


Рисунок 1. Зависимость коэффициента передачи синусоидального воздействия (с частотой 3 Гц) на пролетное строение в зависимости от длины пролета для разных декрементов колебания

Сделаем расчет для самой неблагоприятной длины пролетного строения L=33 м.

Построим импульсы воздействия для скоростей прохождения нагрузки, приведенных в таблице 1. Хронограммы этих импульсов показаны на рисунке 2.

Таблица 1

Время проезда, с

Скорость, км/час

10

11.9

8

14.9

6

19.8

5

23.8

4

29.7

3.5

33.9

3

2.5

47.5

2.2

54.0

2

59.4

1.5

79.2

1.4

84.9

1.3

91.4



Рисунок 2. Импульсы воздействия нагрузки на пролетное строение

На рисунке 3 показана АЧХ пролетного строения (для d=0.03) и фрагмент спектральных характеристик импульсов, показанных на рисунке 2. Результаты их перемножения с АЧХ показаны на рисунке 4, обратного преобразования Фурье - на рисунке 5.

Рисунок 3. Фрагменты спектральных характеристик импульсов воздействия

Рисунок 4. Фрагменты спектральных характеристик откликов пролетного строения

Поскольку амплитуда исходных импульсов была принята за единицу, то амплитуда импульсов на рисунке 5 совпадает с динамическим коэффициентом 1+m. Построенная по этим расчетам зависимость динамического коэффициента от скорости нагрузки показана на рисунке 6.

Рисунок 5. Диаграммы откликов пролетного строения

Рисунок 6. Зависимость 1+m от скорости нагрузки

Как видно, динамический коэффициент больше единицы и зависимость его от скорости неравномерна, даже при проезде неколеблющейся нагрузки по абсолютно ровному пролетному строению. Неравномерность объясняется тем, что спектр возбуждающего импульса имеет вид, близкий по форме к кривой вида sin(x)/x с чередующимися затухающими максимумами и минимумами. Периодичность максимумов равна 2/T, где T - время проезда нагрузкой пролета. Таким образом, на разных скоростях нагрузки то максимум, то минимум спектра совпадает с частотой собственных колебаний пролета. Это приводит, соответственно, то к увеличению, то к уменьшению динамического коэффициента.


Рисунок 7. АЧХ неразрезной балки с двумя одинаковыми пролетами (а) - расчет по формуле (1), (б) - расчет методом конечного элемента

Поскольку реальные нагрузки (в частности, автомобили) имеют свои собственные частоты колебаний, которые для пролетного строения являются вынужденными, то это еще одна причина неравномерной зависимости динамического коэффициента от скорости нагрузки. Действительно, пока нагрузка не покинула пролетное строение, будут одновременно существовать вынужденные и свободные колебания, отличающиеся по частоте. Сумма нескольких гармонических колебаний различных частот характеризуется периодическими увеличениями и уменьшениями суммарной амплитуды (биения). Период этих биений равен периоду разностной частоты в случае двух частот или более сложной зависимости, если частот больше двух. Если за время движения автомобиля от начала пролета до его середины суммарная амплитуда достигнет максимума - получим максимальный динамический коэффициент, а если минимума - то минимальный.

На рисунке 8 показана типичная диаграмма прогиба неразрезного пролетного строения при проезде одного автомобиля.

Рисунок 8. Диаграмма прогиба неразрезного пролетного строения в процессе динамических испытаний

На рисунке 9 показан тот же случай, но математическими методами разделены статическая и динамическая составляющие прогиба пролетного строения.

Из этого рисунка хорошо просматривается, что динамический коэффициент будет зависеть от скорости движения автомобиля. Действительно, если бы автомобиль двигался немного медленнее и достиг середины пролета только к 24-й секунде, а не к 22-й, как на рисунке, то динамический коэффициент был бы не 1.07, а 1.3.

Рисунок 9. Разделение статической и динамической составляющих прогиба

Имея реальную АЧХ пролетного строения можно точно рассчитать его реакцию на любое воздействие. Получить же такую АЧХ можно, по крайней мере, двумя способами. Первый - приложить к пролетному строению гармоническую нагрузку, которая будет медленно менять частоту колебания с постоянной амплитудой усилия. Записав амплитуду отклика (например, диаграмму напряжения), как функцию частоты, мы и получим искомую АЧХ.

Но есть и более простой способ. Если на пролетное строение воздействовать коротким импульсом или перепадом с крутым фронтом (сброс груза), то прямое преобразование Фурье записанного отклика, в соответствии с теорией линейной фильтрации, будет совпадать с искомой АЧХ. Имея реальную АЧХ, мы одновременно определяем и частоты различных форм собственных колебаний и декременты колебаний для каждой из этих частот [6].

В СНиП 2.05.03-84* «МОСТЫ И ТРУБЫ» п. 1.48* введены ограничения на период собственных колебаний пешеходных и городских мостов, который «не должен быть от 0,45 до 0,60 с». Это ограничение введено в связи с тем, что именно с таким периодом мост может раскачиваться колонной марширующих людей. При этом в условиях резонанса, амплитуда колебаний моста может возрасти до опасных пределов. Однако этот случай достаточно экзотический. А вот раскачивание моста тяжелыми автомобилями, период колебания подрессоренной массы которых близок к периоду свободных колебаний пролетного строения, встречается достаточно часто. Особенно сильно ощущается раскачивание в длинной плети неразрезного пролетного строения с пролетами одинаковой длины. В этом случае при определенных скоростях движения довольно сильные колебания возникают при заезде автомобиля уже в первый пролет и значительно возрастают по мере продвижения автомобиля к последнему пролету. Это вызывает заметный дискомфорт у находящихся на мосту пешеходов и уменьшает сцепления колес автомобиля с покрытием. В частности, такое явление наблюдается на подходах к мосту «Миллениум» в Казани и на подходах к новому мосту в Ульяновске. Необходимо, чтобы проектировщики обратили на это внимание. Можно также дополнить новые СП запретом на плети из неразрезных пролетных строений с пролетами одинаковой длины при длине одного пролета от 10 до 50 м для металлических пролетных строений и от 20 до 45 м - для остальных.

Всё выше изложенное доказывает несостоятельность опубликованного в статьях [7, 8] предложения отказаться от использования нормативных динамических коэффициентов при проектировании мостов, а пользоваться формулой (1) в таком виде:

,  (4)

где e - частота сил, демпфирующих колебания.

Здесь сразу бросается в глаза, что левая часть формулы (4) не может быть 1+m, если под m понимать отношение амплитуды динамической составляющей (напряжения, прогиба и т.п.) к соответствующей статической составляющей. При q/w>1.41 правая часть всегда меньше единицы, что для динамического коэффициента 1+m невозможно, т.к. m - это отношение двух положительных чисел, а, следовательно, тоже положительное. Формулу (4) автор статей приписывает С.П. Тимошенко. Однако, в книге С.П. Тимошенко [1] левой части в приведенной формуле вообще нет, а правая часть хоть и названа динамическим коэффициентом, но не имеет никакого отношения к динамическому коэффициенту, которым оперируют в СНиП и СП.

В статье [9] тот же автор возражает против введения в нормы постоянного динамического коэффициента для тележки, не зависящего от длины пролетного строения, на том основании, что хоть математически все верно, но это «приводит к нарушению физики явления». На самом деле физике явления противоречит призыв автора этих статей пользоваться формулой С.П. Тимошенко везде и на все времена. Ведь эта формула выведена для простейшей модели с одной степенью свободы (груз на пружине). При этом внешняя сила воздействует на груз по синусоидальному закону y(t)=Psin(2pqt), т.е. полпериода она давит на груз вниз, а другие полпериода - вверх. Такой тип нагрузки обладает нулевой статической составляющей. То есть эту математическую модель нельзя напрямую применять к расчетам реальных мостов с реальными нагрузками, как это призывает делать автор статьи.

Еще большее противоречие физическому смыслу представляет собой таблица динамических коэффициентов (посчитанная по этой формуле), которой автор статьи призывает пользоваться при проектировании мостов. Ведь формула верна только для вынужденных колебаний, а динамический коэффициент должен учитывать и свободные. Первый столбец указанной таблицы соответствует нулевому декременту колебаний, при котором свободные колебания не прекращаются никогда. Следовательно, этот столбец неверен по определению и лишен физического смысла. А последняя строка в указанной таблице просто неверно рассчитана и, видимо, умышленно, т.к. при точном расчете там получается 1+m<1.

Таким образом, ясно, что для подтверждения или корректировки эмпирических формул расчета динамического коэффициента 1+m, приведенных в СНиП 2.05.03-84* «Мосты и трубы», нужно провести большой объем статистических исследований. Заменять же их на формулу амплитудно-частотной характеристики пружинного маятника лишь на том основании, что автор формулы (С.П. Тимошенко) назвал ее динамическим коэффициентом, нет оснований.

динамический скорость нагрузка пролет

 

 

. Тимошенко С.П. Колебания в инженерном деле. М.: «Наука», 1967, стр. 80.

. Прокофьев И.П., Смирнов А. Ф. Теория сооружений. Часть III, М.: ГТЖДИ, 1948, стр. 125.

. Леонтьев Н.Н., Соболев Д.Н., Амосов А.А. Основы строительной механики стержневых систем. М.: Из-во Ассоциации строительных вузов, 1996, стр. 462.

. Бидерман В.Л. Теория механических колебаний. М.: «Высшая школа», 1980, стр. 40.

. Александров А.А., Потапов В.Д., Зылев В.Б. Строительная механика. Книга 2: Динамика и устойчивость упругих систем. М.: «Высшая школа», 2008, стр. 49.

. Хазанов М.Л. Оценка влияния резонансных явлений от подвижной нагрузки на пролетные строения мостовых конструкций. Сборник трудов МАДИ (ГТУ) «Исследование мостовых и тоннельных сооружений», М.: 2006.

. П.М. Саламахин. О динамическом воздействии автотранспорта на пролетные строения мостов и расчете их на выносливость. «Транспортное строительство», № 11, 2009, стр. 9.

. П.М. Саламахин. Проблемы совершенствования технологии и норм проектирования автодорожных мостов. «Дорожная держава», №19, 2009, стр. 30.

. П.М. Саламахин. О физически обоснованном способе учета динамических коэффициентов и коэффициентов надежности по временной нагрузке при расчетах автодорожных мостов. «Дорожная держава», №22, 2009, стр. 49.

Похожие работы на - Динамическое воздействие автотранспорта на пролетные строения мостовых сооружений

 

Не нашли материал для своей работы?
Поможем написать уникальную работу
Без плагиата!
Без нейросетей!