Возможное применение процессов квантового перепутывания во времени в криптографических схемах, основанных на неравенстве Белла
Введение
С древних времен человечество нуждается в организации проверенных каналов
связи для передачи той или иной информации от отправителя к получателю. Для
того чтобы перехват или подслушивание информации не были возможными,
разрабатываются всевозможные методы шифровки сообщений.
Криптография - наука о методах обеспечения конфиденциальности и
аутентичности передачи информации между двумя абонентами. [1] В
противоположность криптографии, криптоанализ - область криптологии,
разрабатывающая методики расшифровки, перехвата и фальсификации сообщений.
Различные методы создания и организации передачи зашифрованных сообщений
были известны еще в Древнем Египте, однако свое более полное математическое
истолкование эта проблема получила только в 20 веке.
Согласно современной терминологии вводятся следующие понятия. Отправителя
секретного сообщения называют Алисой, принимающую сторону - Бобом, а некоторое
третье лицо, нарушающее конфиденциальность передачи данных, называют Евой. Под
ключом будем понимать последовательность битов информации, используя которую
можно превратить любое сообщение в шифр путем взаимно-однозначного отображения.
Большинство схем классической криптографии построены на идее создания
такого соответствия между шифром и сообщением, которое максимально усложняло бы
перехватчику задачу расшифровки. Алиса передает Бобу ключ, кодирует посредством
этого ключа сообщение, а далее по открытому каналу передает полученный шифр.
Боб, обладая ключом, способен восстановить секретное сообщение (Рис 1).
Проблема определения ключа по шифру представляет для перехватчика исключительно
вычислительную задачу и, в принципе, может быть решена, как только будут
разработаны квантовые компьютеры, вычислительная мощь которых практически
неограниченна [2].
квантовый перепутывание
временя криптографический
В 1945 году Клод Шеннон в своей работе «Теория связи в секретных
системах» [3] подробно исследовал проблему организации передачи данных с
математической стороны. Он показал, что при использовании одноразового
случайного ключа, кодирующего соответственно только одно сообщение, расшифровка
сообщений принципиально невозможна. Таким образом, проблема свелась к вопросу
передачи случайной последовательности битов ключа от Алисы к Бобу так, чтобы Ева
не имела возможности ее перехватить или подделать тайно от получателя и
отправителя. Современная криптография во многом базируется на вероятностной
процедуре распределения ключа между абонентами.
Проблема конфиденциальности и аутентичности в процедуре распределения
случайных ключей во многом решается методами современной квантовой криптографии
(раздел «Квантовая криптография»). Ряд протоколов квантовой криптографии
базируется на невозможности клонирования квантового состояния, приводящей к
тому, что Ева, проводящая свои измерения, будет обязательно обнаружена.
Выдающихся достижений квантовая криптография достигла в связи с использований
особых квантовых состояний, называемых перепутанными. Специфичные
неклассические квантовые корреляции между перепутанными частицами позволяют
Алисе и Бобу контролировать процедуру передачи ключа, исключая проблему
подслушивания и даже фальсификации последовательности. Стоит также отметить,
что на данный момент ряд протоколов квантовой криптографии имеет коммерческую
основу и в ближайшее время может быть широко использован в банковских, Интернет
или других частных системах. [4]
В то же время, физика перепутанных состояний в последнее время достигла
значительного прогресса. Поставлен ряд экспериментов, характеризующих наличие
квантовой корреляции в перепутанных состояниях, как некое фундаментальное
свойство, справедливое не только в пространстве, но и во времени. В связи с
этим, представляется интересным подробно изучить методику создания перепутанных
состояний, а также способы переноса квантовых корреляций между созданными
состояниями. Учитывая колоссальную роль, которую теория запутанных состояний
играет на данный момент в развитии современной криптографии, появляется
возможность применить новые результаты из области физики перепутанных состояний
для создания улучшенных версий криптографических протоколов.
Целью данной работы является ознакомление с современными на данный момент
методиками получения перепутанных состояний, а также с рядом новейших открытий
в области переноса квантовой запутанности между частицами. Более того, будет
рассмотрена возможность применения в квантовой криптографии новейшего эффекта,
связанного с созданием перепутанных во времени состояний.
1. Физика
перепутанных состояний
.1 Парадокс
Эйнштейна-Подольского-Розена
Квантовая механика является быстро развивающейся областью физики,
способной, в отличие от классических представлений, дать истолкование
большинству из известных на данный момент физических феноменов. В то же время,
сложность интуитивной интерпретации большинства законов и методов этой области
науки в значительной мере осложняет ее освоение и понимание.
Возможность создания специфических, перепутанных состояний в квантовой
физике тесно связана с нелокальным характером квантовой теории. Проблема,
касающаяся нелокального взаимодействия и необходимости принимать концепцию
«мгновенной передачи информации» впервые поднимается А. Эйнштейном еще в 1935
году [5].
Известно, что основным в квантовой механике является понятие состояния
системы, описываемое волновой функцией. Расчет наблюдаемых величин, доступных
экспериментальному исследованию, осуществляется на базе волновой функции и
носит принципиально вероятностный характер. Вопрос, поднятый в своей статье
Эйнштейном, Подольским и Розеном, касается непосредственно физического смысла
волновой функции.
Рассматривая понятие состояния, как объективное и, аналогично
классическим представлениям, независимое от каких-либо экспериментальных
сведений о нем, Эйнштейн приходит к парадоксу, демонстрирующему неполноту
законов квантовой механики.
В
своем мысленном эксперименте Эйнштейн использует модель двух взаимодействующих
некоторое время квантовых систем, которые затем удаляются друг от друга, чтобы
далее исключить всякое взаимодействие. Как результат применения законов
квантовой механики, получается пара невзаимодействующих частей общей системы,
характеризующейся совместной волновой функцией 
(
-
совокупность переменных для описания i-ой подсистемы.
Определение
состояния каждой из подсистем после взаимодействия может быть выполнено с
помощью последующих измерений, путем процесса, известного как «редукция
волнового пакета». Если, к примеру, 
, 
-
собственные значения некоторой физической величины A подсистемы 1,
соответствующие собственным функциям 
, тогда
совместная функция может быть представлена разложением в ряд по собственным
функциям этой физической величины:

(1)
Измеряя
величину A для 1-ой подсистемы и выясняя, например, что ее
значение равно 
,
получаем после измерения, что 1-ая подсистема останется в состоянии 
, тогда
как вторая - в состоянии 
.
Если
же теперь выбрать другую физическую величину B с
соответствующим набором собственных значений 
, 
и
собственных функций 
, то
представление 
изменится:
Функции

и 
в обоих
случаях представляют собой просто коэффициенты разложения. Аналогично, выясняя
значение величины B для первой подсистемы экспериментально (например, оно
окажется 
),
получим состояние второй подсистемы, как функцию вида 
. Таким
образом, в результате двух различных измерений над подсистемой 1, мы получили
различные функции состояния для подсистемы 2.
Эйнштейн
полагает далее, что, так как разделенные системы никак не взаимодействуют, а
понятие состояния объективно не зависит от процессов измерения, следует одной и
той же физической реальности приписать две различные волновые функции [5].
Подбирая особым образом вид функции 
для
системы двух частиц, а операторы А и B определяя, как операторы
координаты и импульса, можно показать, что 
и 
будут
собственными функциями двух не коммутирующих операторов. Таким образом, к одной
и той же физической реальности следует отнести две не коммутирующие друг с
другом физические величины.
Эйнштейн
определяет физически реальную величину в некотором состоянии, как ту, которая
без возмущения системы может быть определена сколь угодно точно. Однако
невозможность одновременной измеримости не коммутирующих операторов в одном
волновом состоянии доказана в квантовой механике, поэтому два не коммутирующих
оператора никак не могут соответствовать одной физической реальности по
Эйнштейну. Это приводит к противоречию со сказанным выше.
Разрешимость
данного парадокса, согласно Эйнштейну, возможна только в двух случаях. Либо нам
необходимо положить, что физической реальностью будут обладать только величины,
которые можно одновременно измерить или предсказать, либо усомниться в полноте
описания квантовой системы через функцию состояния.
В
первом случае, необходимо представить физическую реальность зависимой от
процесса измерения, что приводит к нелокальному характеру теории
взаимодействия.
Во
втором же случае, следует полагать наличие дополнительных характеристик
системы, невозможных для определения, но определяющих физическую реальность вне
зависимости от процесса измерения. Подобная точка зрения привела к целому ряду
теорий скрытых параметров.
Решающим
доводом в пользу той или иной точки зрения мог стать только эксперимент. В 1965
году Беллом были предложены неравенства, способные при их экспериментальной
проверке дать ответ на этот вопрос.
.2
Перепутанные состояния и неравенства Белла. Белловский базис
Итак, в своей статье Эйнштейн показал, что существует такое двухчастичное
состояние, в котором, если придерживаться детерминистической концепции
физической реальности, для одной из частиц одновременно могут быть физически
реальны два не коммутирующих оператора. Важным моментом является тот факт, что
получение таких состояний математически возможно, когда совместная волновая
функция, описывающая данное двухчастичное состояние, находится в некотором
перепутанном (нефакторизуемом) виде. Состояния, описываемые волновой функцией
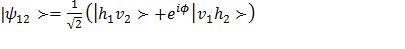
подобного вида называются соответственно «перепутанными состояниями». Как
показал Бом [6], такую ситуацию можно реализовать, например, используя пары
частиц, образующиеся в синглетном состоянии:
Предположим, что мы обладаем источником пар перепутанных фотонов, а также
набором фотодетекторов и поляризаторов (Рис 2). Введем параметры a и b, характеризующие углы соответственно первого и второго
поляризатора, а
наблюдаемые A и B определим, как величины, принимающие
только значения ±1. Так, если A(a) = 1, то это означает появление
фотона на фотодетекторе в первом плече установки, при угле поляризатора,
соответствующем параметру а. При А(а)= -1 детектирования фотона не происходит.
Если теперь предположить локальность теории, а также допустить наличие
скрытых параметров, определяющих результат эксперимента, можно получить
неравенство на корреляционные функции для наблюдаемых операторов [7].
Локальность
теории заключается в том, что наблюдаемая А не зависит от параметра b
(аналогично для наблюдаемой В и параметра a). Теория
скрытых параметров подразумевает наличие экспериментально неопределяемого
параметра 
с
плотностью распределения ρ(λ),
связывающего наблюдаемые величины друг с
другом. Мы имеем дело с корреляционной функцией наблюдаемых C(a,b):

(4)
Рядом
математических преобразований можно получить искомое неравенство в виде [7]:

(5)
Таким
образом, если верна теория скрытых параметров, выполняется указанное выше
неравенство. В теории квантового фотодетектирования (раздел «Теория
фотодетектирования и проекционные измерения») показывается, что корреляционная
функция однозначно связана с совместной вероятностью детектирования фотонов.
Поэтому, вычисляя совместные вероятности, как средние операторов проектирования
на состояние пропускаемое поляризатором, можно получить корреляционные функции
в квантовой механике.
К
примеру, в синглетном перепутанном состоянии корреляционная функция 
ри
частном выборе углов поляризации можно получить нарушение неравенства Белла.
Этот факт опровергает теорию скрытых параметров и локальность взаимодействий в
данном эксперименте. Стоит отметить, что нарушение неравенства Белла является
признаком того, что пара частиц находится в перепутанном состоянии, и далее
может быть использовано для экспериментального обоснования квантовой
перепутанности.
Весьма
плодотворной оказывается идея перехода на операторный язык в неравенстве Белла
и анализа состояний, дающих максимальное нарушение этого неравенства [8]. В
частности, вводится оператор Белла

(6)
и
анализируется ограничение величины 
.
Доказывается, что в квантовой механике справедливо неравенство 
, а
максимального значения модуль достигает в состояниях образующих, так
называемый, Белловский базис:

; (7)
По
этой причине, состояния Белла называются еще максимально перепутанными
состояниями, а любое другое состояние может быть представлено их комбинацией
[8].
Добавим
также что, в зависимости от экспериментальной задачи, существует большое количество
различных формулировок неравенства Белла. [6]
.3 Получение
перепутанных состояний путем параметрической генерации света
В
связи со сказанным выше, большое значение имеет проблема получения квантово
перепутанных состояний. Квантовая перепутанность может наблюдаться между
частями распавшейся молекулы (в таком случае состояния 
и 
характеризуют
направление спина частиц), или в случае пары испускаемых фотонов (тогда, мы
говорим о поляризации частиц). Возможны и другие ситуации (об этом мы поговорим
далее), однако, как правило, запутанные пары появляются из некоторого общего
источника.
Возвращаясь
к проблемам криптографии, стоит отметить, что большое значение в современных
квантовых протоколах имеют источники перепутанных фотонных пар. Здесь мы
рассмотрим два варианта применения процессов параметрической генерации [9] для
получения перепутанных состояний.
Как
известно, наряду с балансом частот, необходимым условием эффективной
параметрической генерации света в нелинейном кристалле является условие
фазового синхронизма [9]. Это условие, накладываемое на волновые вектора
холостой и сигнальной волн, а также на вектор волны накачки. Добавляя к этим
условиям зависимости от длин волн коэффициентов преломления для обыкновенной и
необыкновенной волн, можно определить область наиболее эффективной генерации.
[10]
В
процессах параметрической генерации выделяют два типа синхронизма. Тип I
синхронизма связан с накачкой кристалла необыкновенной волной. Результирующий
конус синхронизма [10] имеет обыкновенную, горизонтальную поляризацию (подобный
синхронизм обозначают еще, как e
Идея
получения перепутанных состояний заключается в следующем (Рис 3). Два
нелинейных кристалла BBO с ортогональными кристаллографическими осями
совмещают друг с другом. Облучение сдвоенного кристалла производится волной
накачки с поляризацией, направленной под 
к
горизонтали. В связи с этим, сдвоенный кристалл выдает пару конусов с
ортогональными поляризациями, которые являются когерентными друг другу ввиду
перекрытия пространственных мод фотонов на кристаллах [10]. Перекрытие
пространственных мод излучаемых фотонов обеспечивает их пространственную
неразличимость - нельзя определить, какой из двух кристаллов излучил
соответствующий фотон перепутанной пары. Связь подобной неразличимости
(фактически, невозможности получить классическую информацию об источнике
фотонов) с когерентностью излучения обуславливается законами квантовой механики
и подробно выяснена в работах [11,12].
Как
результат, в области перекрытия конусов синхронизма рождаются пары фотонов,
совместная волновая функция которых представляется в виде:
где

-
горизонтальная поляризация, 
-
вертикальная поляризация i-го фотона.
Набег
фазы 𝝌 связан с эффектом двулучепреломления в кристаллах.
Путем включения в схему на пути полученных фотонов полуволновых и
четвертьволновых пластинок можно контролировать значение 𝟀 (например, сделать его равным 0 или 
).
Полуволновая пластинка может быть использована для изменения горизонтальной
поляризации на вертикальную, и наоборот. Таким образом, представляется
возможным получить все 4 составляющих Белловского базиса.
В
случае II типа синхронизма, справедлив переход 
. Здесь
холостой и сигнальный фотоны обладают разными, ортогональными друг другу
поляризациями. Как показано в [10], в случае данного типа синхронизма, при
облучении кристалла BBO накачкой под некоторым углом 𝞱 к кристаллографической оси, наблюдаются два конуса с
ортогональными поляризациями (соответственно, обыкновенный и необыкновенный).
Подбирая угол 𝞱, можно добиться необходимого пересечения конусов. В
точках пересечения будут излучаться фотоны, находящиеся в перепутанном
состоянии:

(9)
Подбирая компенсирующие кристаллы в соответствующих плечах установки (Рис
4), можно снова получить все 4 составляющие Белловского базиса.
Условие неразличимости здесь будет выполняться, когда максимальная
относительная задержка обыкновенного и необыкновенного фотонов вследствие
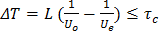
эффектов двулучепреломления, не будет превышать времени когерентности накачки:

(10)
Параметрические
генераторы света на данный момент являются наиболее эффективными источниками
фотонных пар, находящихся в перепутанном состоянии.
Теория
фотодетектирования и проекционные измерения.
Подробным образом теория фотодетектирования изложена в [6] . Мы коротко
отметим основные результаты.
Процедура квантования электромагнитного поля основывается на разложении
полей на составляющие моды, а затем, введении операторов рождения и уничтожения
соответствующих мод вместо классического амплитудного представления. Как
результат, классический вид напряженностей электрического и магнитного поля
приобретает вид операторный. Для электрического поля теперь имеем:
Здесь

-
содержит операторы уничтожения мод, а 
- только
операторы рождения.
Процесс
фотодетектирования принято рассматривать, как уничтожение фотона на пластинке
детектора с рождением соответствующего фотоэлектрона. Вероятность
детектирования фотона определяется усреднением оператора уничтожения электрического
поля по всем квантовым состояниям света в соответствующей точке фотодетектора.
В [6] показано, что вероятность перехода детектирующего атома вещества в
возбужденное состояние вследствие поглощения фотона из поля в точке 
в
центральный момент времени t равна:
Здесь

-
корреляционная функция электрического поля первого порядка.
Здесь

-
корреляционная функция электрического поля второго порядка.
Важно,
что вероятность совместного детектирования определяется экспериментально, как
совместная скорость фотоотсчетов на двух фотодетекторах, помещенных в разные
точки. Вычисление корреляционных функций ведется путем усреднения операторов
поля по квантовым состояниям частиц. Обладая источником пар перепутанных
фотонов и наблюдая совместную скорость фотоотсчетов этих фотонов в зависимости
от положения фотодетекторов, появляется возможность проверить теоретические
предсказания, касательно квантовых корреляций.
Одним
из важнейших приборов линейной оптики, используемых для наблюдения неклассической
двухфотонной интерференции, является светоделитель. В статье [13] подробно
рассмотрена операторная теория светоделителя и получены статистики
фотодетектирования для случаев симметричной и антисимметричной волновых функций
пар частиц, поступающих на вход системы. Показано, что важным условием
наблюдения интерференционной картины совместной вероятности фотодетектирования,
является перекрытие волновых пакетов фотонов, поступающих на вход, в области
светоделителя.
Это
условие - не что иное, как необходимое требование неразличимости фотонов на
светоделителе, которое, как уж было отмечено выше, играет первостепенную роль в
процессах квантовой интерференции.
Подобные
статистики могут быть полезны для определения состояния перепутанной пары
частиц. К примеру, 
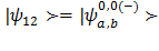
является
единственной антисимметричной волновой функцией из всех Белловских состояний.
Наблюдая антикорреляцию поляризаций на выходе светоделителя, получаем
возможность выделить это состояние относительно всех других [14].
Вообще,
за счет того, что разные Белловские состояния могут давать разные
интерференционные эффекты, появляется возможность дифференцировать их друг от
друга. В результате, были созданы системы из ряда светоделителей, способные
путем измерения различных совместных корреляций, различать пары состояний 
или даже
каждое из 4 состояний базиса [15].
Определение
волновой функции одной части системы вызовет редукцию волнового пакета другой
части в некоторое определенное состояние. Выбор базиса, в котором будет
происходить детектирование волновой функции, является важнейшим инструментом в
регистрации перепутанных состояний. Описанные выше измерения, в силу законов
квантовой механики, проецируют совместную волновую функцию пары частиц на
Белловский базис и называются проекционными измерениями Белла (Bell-State measurements [15]).
Проекционные
измерения являются важнейшим методом перепутывания квантовых состояний для
частиц, не рожденных совместно (Рис 5). Эту процедуру, называемую еще переносом
квантовых корреляций между состояниями, мы рассмотрим в следующем разделе,
посвященном обзору новейших экспериментальных разработок области физики
перепутанных состояний.
2. Новейшие
достижения в области физики перепутанных состояний
В данной части мы рассмотрим ряд наиболее интересных экспериментов,
выполненных в последние годы в области физики перепутанных состояний. На наш
взгляд именно эти эксперименты могут оказаться полезными с точки зрения
разработки совершенно новых протоколов современной квантовой криптографии.
.1
Пространственный перенос перепутанного состояния
Как уже отмечалось ранее, большинство современных методов создания
перепутанных состояний базируется на генерации пар частиц из некоторого общего
источника. Использование же проекционных измерений в Белловском базисе
позволяет осуществить перенос квантовых корреляций между частицами, не имеющими
общего прошлого. Подобный эксперимент был поставлен и тем самым показал
практическую возможность квантового переноса [15].
В данном эксперименте два независимых источника (параметрические
генераторы света) испускают перепутанные фотонные пары (Рис 6). Здесь в
качестве a(a’) и d(d’) рассматриваются различные
поляризации сигнальных мод каждого генератора. Моды c(c’) и b(b’) связаны с различными поляризационными составляющими
холостых мод соответствующих генераторов.
Совместную волновую функцию всех 4 пространственных мод можно записать в
таком виде:
Если
теперь положить 
в
формуле (7), то мы получим базис максимально перепутанных состояний (Белловский
базис). Нетрудно видеть, например, что:
Измеряя
скорость совместных отсчетов на детекторах 
и 
, мы
осуществляем проекционное измерение в состоянии 
,
редуцируя волновой пакет сигнальных фотонов в перепутанное состояние 
.
На
примере данного эксперимента хорошо видна роль процессов измерения в
определении элемента физической реальности.
В
конечном счете, путем проекционных измерений на светоделителях, мы получаем
возможность создать перепутанное состояние из сигнальных фотонов, которые не
имели общего источника. Мы еще вернемся к этому эксперименту, затрагивая
вопросы квантовой криптографии.
.2
Эксперимент с отложенным выбором
Концепция данного эксперимента была предложена еще в 2000 г. [16], однако
ее экспериментальная реализация относится к 2011 году [17].
Следуя
терминологии [17], будем рассматривать трех экспериментаторов - Алису, Боба и
Виктора. Идея эксперимента следующая. Алиса и Боб изготавливают у себя пары
перепутанных фотонов в синглетных состояниях (то есть вида
.
Соответственно, для Алисы и Боба имеем 
пары.
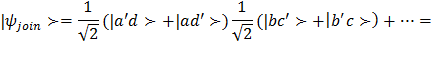
Далее,
Алиса и Боб посылают по одному фотону из своих пар Виктору (Рис 7), а
оставшуюся частицу измеряют (определяют ее поляризацию в некотором произвольном
базисе). Естественно ожидать, что результаты измерений Алисы и Боба никак не
коррелированны. Совместное 4х-частичное состояние в базисе Белла:

=
Виктор
объединяет полученные от Боба и Алисы фотоны в пару и может измерить их в
соответствующем Белловском базисе. Как видно из разложения, в этом случае
состояние частиц 1-4, уже измеренных Бобом и Алисой, станет перепутанным.
Устройство, изготовленное в [17], позволяет Виктору проводить измерения либо в
максимально перепутанном, либо в классическом базисах. В зависимости от того,
какой выбор совершит Виктор, фотоны Боба и Алисы могут стать коррелированными
или остаться классическими уже после процедуры их измерения!
Устройство,
используемое в эксперименте [17], включает в себя генератор случайных чисел,
определяющий выбор базиса Виктора, систему двулучепреломляющих пластин и
электрооптических модуляторов, изменяющих соответствующие углы поляризации для
измерения совместного счета фотонов, а также из набора фотодетекторов, проводящих
измерение.
Экспериментальная
проверка показала, что, действительно, для пар фотонов Алисы и Боба,
соответствующих Белловскому базису измерений Виктора, нарушается неравенство
Белла, тогда как для пар, соответствующих классическому базису, видность
интерференционной картины совместных отсчетов ограничивается классически
допустимым пределом.
.3
Перепутывание пар фотонов во времени
Эксперимент по «временному перепутыванию» фотонов был проведен в 2012
году [18]. Идея эксперимента заключается в том, чтобы навести квантовую
корреляцию в случае измерения пары фотонов, разделенных во времени. Иначе
говоря, один из фотонов данной пары измеряется еще до того, как второй фотон
создается. Тем не менее, после измерения второго фотона, мы наблюдаем
устойчивую корреляцию между полученными в разные моменты времени результатами.
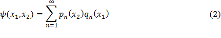
При математическом описании процессов проекционных измерений переходят от
части пространственных мод к временным модам. Тем самым, анализируя волновую
функцию каждого фотона, мы будем отслеживать ее эволюцию с течением времени.
Схема эксперимента указана на Рис 8.
Фотоны 1-2 рождаются в некоторый заданный момент времени t=0 в результате параметрической
генерации света на кристалле BBO.
Один из этих фотонов (1) измеряется сразу после генерации пары. Второй фотон
подается на линию задержки, представленную группой зеркал с высоким
коэффициентом отражения [18]. В момент времени t=𝞽 создается вторая пара фотонов 3-4.
Фотоны 3 и 2 подвергаются проекционному измерению в Белловском базисе на
светоделителе. В результате подобного измерения, состояние фотонов 1 и 4
становится перепутанным во времени. Наличие квантовых корреляций между этими
частицами может быть подтверждено проведением измерений над фотоном 4. В работе
[18] проводилось вычисление матрицы плотности фотонов 1-4 посредством
комбинационных измерений с различными углами поляризации перед детекторами.
Данный метод основан на теории томографии квантовых состояний и описан в [19].
Пара фотонов теперь описывается набором пространственных мод a и b, а также набором временных мод (в зависимости от того, в
какой момент времени родился фотон). Синглетное состояние пары фотонов 1-2,
рожденных в один момент времени t=0:

(17)
Совместная волновая функция для первой и второй пары фотонов с учетом
времени их рождения:

Фактически,
данное совместное состояние следует рассматривать, как начальное. В результате
процессов измерения на светоделителе мы приходим к конечному состоянию системы
(учтем, что фотон 4 будет измерен на том же светоделителе в момент времени t=2𝞽, ибо его оптический путь аналогичен фотону 2),
которое имеет вид:

(19)
Данное состояние может быть разложено в Белловском базисе (см. [18])

(20)
В
результате, измеряя фотоны 2-3 в Белловском базисе (с временными модами t= 𝞽), мы получим редукцию совместной волновой функции
фотонов 1-4 к соответствующему квантово перепутанному состоянию.
Схема
эксперимента представлена на рис 8 (б).
3. Квантовая
криптография
В качестве иллюстрации основных принципов квантовой криптографии, мы
кратко рассмотрим здесь два традиционных типа протоколов передачи информации -
протоколы Беннета-Брассарда и Экерта [21,22]. Более подробный анализ вопросов
квантовой криптографии можно найти в [4]. Протокол Беннета-Брассарда основан на
передаче однофотонных импульсов от Алисы Бобу без использования перепутанных
состояний. Протокол Экерта использует для контроля создаваемого ключа неравенство
Белла.
.1 Протокол
Беннета-Брассарда
Квантовый
криптографический прибор состоит из приемника и передатчика [6,21]. Отправитель
на конце передатчика посылает фотоны в одном из четырех состояний поляризации,
характеризуемых углами 
по
отношению к вертикальному направлению. Два первых состояния обозначают бит 0,
тогда как, два последних - бит 1. На принимающем конце, получатель измеряет
поляризацию приходящих фотонов, выбирая случайно базис 
или 
(диагональная и вертикальная ориентация поляризатора). Если выбранный
получателем и отправителем базис совпадет, то измеренная поляризация будет
нести для получателя истинную информацию. Если же базисы не совпадут,
корреляции между поляризациями отправленного и полученного состояния
наблюдаться не будет. После процедуры измерения, по классическому каналу
отправитель и получатель сравнивают набор базисов. Фотоны, соответствующие
совпадающим базисам, используются для создания криптографического ключа.
В
данном протоколе пассивное подслушивание невозможно ввиду того, что,
перехватывая фотоны и измеряя их состояние, третья сторона тем самым разрушает
их поляризацию. Этот факт приводит к несоответствию последовательностей
отправителя и адресата. В этом случае, обе стороны могут забраковать свои
данные и начать процедуру передачи информации сначала.
3.2 Квантовая
криптография на теореме Белла
Идея подобного рода криптографии основана на генерации перепутанных
фотонов в синглетном состоянии [6, 22]. Источник перепутанных пар помещается
между отправителем и получателем информации (Рис 2)
Каждая
из сторон измеряет состояние соответствующего фотона в базисах 
или 
. В
результате опять получается набор поляризаций, соответствующих каждому фотону
пары. Далее, по классическому каналу стороны сравнивают наборы базисов, в
которых они проводили измерения. В случае совпадения некоторых из них,
известно, что фотоны перепутанной пары антикоррелируют друг с другом. В этих
случаях формируется криптографический ключ.
В
случае несовпадающих базисов, известно, что совместная корреляция фотонов
нарушает неравенство Белла. Проверяя этот факт, можно вычислить, действительно
ли пара фотонов является запутанной, или, что при подслушивании фотон был
заменен.
3.3
Пространственный перенос корреляций в квантовой криптографии
В предыдущем разделе была рассмотрена экспериментальная идея реализации
эффекта пространственного переноса квантовых корреляций между двумя различными
перепутанными состояниями.
Отметим, что эта идея может быть использована для увеличения расстояния
между Алисой и Бобом в криптографической схеме. Эта возможность была
теоретически рассмотрена в работе [20], посвященной квантовым повторителям.
Ограничение расстояния между Алисой и Бобом во многом обуславливается
процессами затухания сигнала, передаваемого фотонами по оптическому волокну или
воздуху. Как было показано в [20], затухание имеет экспоненциальный характер в
зависимости от длины оптического пути.
Установка дополнительных, перехватывающих источников перепутанных пар в
некоторых узлах оптической схемы может существенно продлить дистанцию сообщения
между абонентами (Рис 9).
Возможность экспериментальной реализации процессов пространственного
переноса корреляций открывает в свою очередь практическую возможность
реализации указанной схемы.
4. Вариант
применения эффекта перепутывания во времени в криптографии
В предыдущих разделах мы подробно рассмотрели физическую сущность и
методы получения квантово перепутанных состояний. В предыдущем разделе, мы
показали, что процесс детектирования квантовых корреляций в перепутанных
состояниях с успехом может быть использован для улучшения протоколов
криптографии. Мы показали, что процесс пространственного наведения корреляций
между двумя перепутанными состояниями, может вполне быть используем для
улучшения технических характеристик криптографической схемы передачи
информации.
В свою очередь, процесс временной передачи квантовых корреляций, как нам
представляется, также может быть положен в основу протокола квантовой
криптографии.
Обратимся к Рис 10. Ввиду того, что процесс перепутывания во времени
связан с эволюцией временных мод фотонных пар («Перепутывание пар фотонов во
времени»), мы будем рассматривать процедуру распределения ключа в несколько
тактов. В первом такте работы схемы, источник фотонных пар распределяет частицы
Бобу и Алисе. Алиса измеряет состояние своего фотона в некотором базисе, а Боб
пропускает фотон на линию задержки. Во втором такте, генерируется вторая пара
запутанных частиц. При этом Алиса в свою очередь пропускает фотон на другой
конец линии задержки, а Боб осуществляет измерение. Процесс
пропусканияизмерения фотона может контролироваться, например, переключением
зеркала, прикрепленного к пьезоэлементу. Время переключения зеркала необходимо
синхронизировать с тактовой работой схемы, которая в свою очередь будет
определяться частотой генерации пар перепутанных частиц на параметрическом
генераторе. Фотоны первой и второй пар, пропущенные на разные концы линии
задержки будут попадать на светоделитель, где, используя фотодетекторы, можно
будет осуществлять Белловские проекционные измерения.
После ряда соответствующих процедур, Алиса и Боб смогут в классическом
канале обнародовать информацию о том, в каких базисах производились их
измерения, а также информацию о наборе Белловских состояний, в которые произошла
редукция при проекционных измерениях.
При совпадении базисов Алисы и Боба, с учетом типа перепутанного
состояния, можно использовать информацию для генерации криптографического
ключа.
Остальные случаи пойдут на проверку неравенства Белла.
В случае перехвата частиц Евой, Алиса и Боб смогут это обнаружить по
соблюдению неравенства.
Важным атрибутом предложенной схемы является тот факт, что для создания
перепутанного состояния теперь необходимо проводить проекционные измерения.
Каждой паре перепутанных частиц, измеренных Бобом и Алисой, теперь будет
соответствовать информация о конкретном типе перепутанного состояния.
Мы предполагаем, что этот факт должен будет уменьшить относительную
ошибку при проверке неравенств Белла, а также ошибку, вносимую регистрацией
случайных фотонов.
Стоит отметить также, что даже если Еве каким-либо способом удастся
подменить передаваемый фотон другим запутанным (теоретически, с помощью
процессов пространственного переноса), это вероятно потребует определенного
количества времени. Затраченное время вызовет относительную задержку на
светоделителе, где производятся проекционные измерения. В результате, процесса
переноса корреляций все равно не произойдет, и Алиса с Бобом смогут
идентифицировать факт подслушивания.
Таким образом, мы ввели в этой схеме еще одну степень свободы, связанную
с временной эволюцией состояний.
Исследование возможных преимуществ и недостатков данной схемы, а также
изучение аспектов ее экспериментальной реализации станет предметом наших
будущих исследований в этой области.
Были рассмотрены новейшие эксперименты, относящиеся к проблемам
временного и пространственного переноса квантовых корреляций.
Мы отметили экспериментальную возможность продления криптографической линии
на основе эффекта пространственного переноса, как это теоретически было
предложено и рассмотрено без анализа конкретного механизма передачи корреляций
между состояниями в работе [20].
Нами была теоретически предложена схема возможного протокола передачи
данных на перепутывании состояний во времени. Возможности и недостатки данного
метода реализации процесса временного перепутывания еще не изучены нами
достаточно полно и станут предметом нашего дальнейшего исследования.
Хотелось бы выразить благодарность научному руководителю курсовой работы
Магницкому Сергею Александровичу, а также Нагорскому Николаю Михайловичу за
плодотворное обсуждение проблемы и помощь в поиске необходимой литературы.